| Скачать .docx |
Реферат: Крашение натурального шелка бромакриламидными красителями
МОСКОВСКИЙ ГОСУДАРСТВЕННЫЙ ТЕКСТИЛЬНЫЙ УНИВЕРСИТЕТ им.А.Н.КОСЫГИНА
КАФЕДРА ХТВМ
Курсовая работа на тему:
«Крашение натурального шелка активными бромакриламидными ланазолевыми красителями»
Работу выполнил: студент гр.26-99 Белая В.В
Научный руководитель: Балашова Т.Д.
М осква 2003 г.
Оглавление
1. Введение стр.3
2. Натуральный шелк стр.6
2.1. Фиброин стр.7
2.2. Серицин стр.12
3. Активные красители стр.15
3.1. Фиксация активных красителей волокном стр.16
3.2. Массоперенос красителя из внешней фазы к активным центрам волокна стр.18
3.3. Сорбция активных красителей волокном стр.20
3.4. Гидролиз активных красителей стр.21
4. Химизм взаимодействия активных красителей с белковыми волокнами стр.23
5. Технология крашения натурального шелка стр.27
5.1. Подготовка натурального шелка стр.28
6. Крашение натурального шелка стр.29
6.1. Бромакриламидные ланазолевые красители стр. 30
6.2. Технология крашения бромакриламидными красителями стр.32
7. Вывод стр.33
8. Литература стр.34
Введение
Красителями называются органические соединения, обладающие способностью интенсивно поглощать и преобразовывать энергию электромагнитных излучений (световую энергию) в видимой, ближних ультрафиолетовой и инфракрасных областях спектра и применяемые для придания (сообщения) этой способности другим телам.
В мае 1956 г. на заседании Лондонского общества было сделано сообщение, что фирмой ICI выпущены первые три марки нового класса активных (Procion) красителей, образующих в процессе крашения ковалентную связь с целлюлозным волокном.
Это событие ознаменовало начало бурного развития в области химии активных красителей. С их помощью оказалось возможным получать на волокнистом материале яркие и исключительно прочные к мокрым обработкам окраски.
Промышленное производство первых активных красителей начато под маркой М (mild-красители окрашивают волокно в мягких условиях).
В 1957 г. выпускаются той же фирмой ICI активные проционовые красители с маркой Н (heat-требуют нагревания при крашении) и швейцарской фирмой Ciba-цибакроновые красители.
Ассортимент активных красителей за последние годы сильно расширился и включает группы красителей, предназначенных специально для крашения целлюлозных красителей, печатания тканей из целлюлозных волокон, активные дисперсные красители для колорирования изделий из полиамидных волокон, металлосодержащие активные красители для шерсти, и т.д.
Быстрое внедрение активных красителей в технологию отделочного производства обусловлено следующими свойствами:
1. Высокая прочность окраски к мокрым обработкам, сравнимая с прочностью окрасок, получаемых при использовании кубовых красителей.
2. Яркость окрасок, не уступающая получаемым с помощью кислотных и основных красителей.
3. Сравнительно невысокая стоимость, по сравнению с кубовыми.
4. Простота и, следовательно, дешевизна технологии применения.
Неослабевающий интерес к активным красителям со стороны анилинокрасочной промышленности как производящей эти красители и текстильной промышленности как потребителя могут быть охарактеризованы числом патентов и публикаций по синтезу и применению активных красителей.
Устойчивость окраски к различным физико-химическим воздействиям зависит от природы связи краситель-субстрат.
Все красители, используемые в колорировании волокнистых материалов, удерживаются на волокне межмолекулярными силами взаимодействия четырех типов: 1) водородные связи, 2) полярные и неполярные силы Ван-дер-Ваальса, 3) ионные силы, 4) координационные силы.
Применение активных красителей показало, что окраска, полученная фиксацией красителя на волокне за счет ковалентной химической связи, характеризующейся энергией разрыва 50-100 ккал/моль, будет отличаться более высокой устойчивостью к действию различных физико-химических факторов.
Исследования по окрашиванию волокон путем введения красителя в состав макромолекул волокнистого полимера велись в основном в трех направлениях.
1. Введение различными путями в состав волокнистого полимера ароматических аминов, способных диазотироваться и сочетаться с азосоставляющими, в результате чего проявляется окраска.
2. Введение в макромолекулу полимера активных группировок, способных взаимодействовать с функциональными группами красителей.
3. Синтез красителей, содержащих атомы или группы, реакционноспособные по отношению к функциональным группам волокнистого полимера.
Так, появление активных красителей было закономерно и обусловлено значительными успехами в области химии высокомолекулярных соединений, в частности химии целлюлозы и белков, а также достижениями в области синтеза красителей.
Натуральный шелк
Шелк относится к белковым волокнам, отличается от других природных волокон (хлопковых, льняных, шерстяных) отсутствием клеточного строения. Шелк обнаруживает большое сходство с искусственными и синтетическими волокнами.
Нить, отделенная от тутового шелкопряда, состоит из двух рядом лежащих нитей фиброина, покрытых снаружи и соединенных между собой шелковым клеем-серицином. Освобожденное от серицина неповрежденное шелковое волокно имеет вид гомогенной бесструктурной нити. С помощью химических и механических (раздавливание, трение) воздействий можно вызвать продольное расщипление волокна на более тонкие волоконца - фибриллы.
Помимо фиброина и серицина - веществ белковой природы в состав коконной нити входит небольшое количество соединений, извлекаемых эфиром и этиловым спиртом. В шелковом волокне, имеющем естественную окраску (желтую, зеленую и др.), содержится небольшое количество красящих веществ. После сжигания шелкового волокна остается немного золы. Содержание всех этих веществ непостоянно, а изменяется в довольно широких пределах, зависящих от природы шелкопряда, а также от места и условий выкормки. Так, в состав коконной нити может входить 70-75 % фиброина, 25-30 % серицина, 0,5-0,6 % веществ, извлекаемых эфиром, 1,5-2,5 % веществ, извлекаемых спиртом, и 1-1,7 % минеральных веществ.
Натуральный шелк благодаря амфотерным свойствам и способности фиксировать красители путем адсорбции окрашивается красителями многих классов: кислотными, основными, прямыми, активными, кубовыми, хромовыми.
Наибольшее применение при крашении тканей находят прямые, кислотные и активные красители.
В данной работе будет рассмотрено крашение натурального шелка активными бромакриламидными ланазолевыми красителями.
Фиброин
Строение фиброина
Фиброин относится к фибриллярным белкам. Не растворяется в обычных растворителях, растворим в этилендиаминовом растворе гидроокиси меди или в концентрированных растворах йодистого и роданистого лития. Молекулярная масса по скорости осаждения в ультрацентрифуге - 84 000, по вязкости - 55 000. Молекулярная масса, рассчитанная по данным определения конечных аминокислот, оказалась 84 000 - 100 000.
Особенностью фиброина является высокое содержание главным образом глицина и аланина, а также серина и тирозина; суммарный выход глицина и аланина из 100 г фиброина составляет 75 г.
В настоящее время первичная структура фиброина полностью не расшифрована. Решение вопроса о конечных аминокислотах усложняется трудностью удаления серицина без деструкции фиброина. В полипептидной цепочке фиброина имеются участки, в построении которых принимают участие простейшие по структуре аминокислоты. (глицин, аланин, серин), а также участки, в построении которых принимают участие и другие, более сложные, аминокислоты, входящие в состав фиброина.
В результате рентгенографических исследований обнаружена относительно высокая ориентация полипептидных цепей вдоль оси волокна; ориентированные участки составляют 40-60 % его общей массы.
Более ориентированные (кристаллические) участки волокна состоят из полипептидных цепей, содержащих глицин, аланин и серин. Они построены по схеме:
Группы, расположеные в аморфных участках, более доступны действию химических реагентов, поэтому полное насыщение основных групп, какими-либо кислотами или кислотными красителями возможно без изменения ренгенограммы волокна. Наоборот, гидроксильные группы остатков серина менее доступны действию химических реагентов.
Важнейшим свойством фиброина является легкость изменений формы молекулы, связанная с особенностями его аминокислотного состава и отсутствием внутри частиц связей более стойких, чем водородные.
Другой важной особенностью фиброина является высокое содержание в нем простейших аминокислот - аланина и глицина, что придает устойчивость образовавшейся b-конфигурации, возможность высокой ориентации полипептидных цепей в волокне и и эффективного межмолекулярного взаимодействия.
Свойства фиброина
Набухание и растворение. Фиброин не растворим в спирте, петролейном эфире, сероуглероде и других органических растворителях. Практически нерастворим в воде, но набухает ограниченно: при температуре 18 °С поперечный размер волокна увеличивается на 16-18 %, маса волокна - на 30-35 %.Удлинение же нити при этих условиях равно 1,2 %.
Набухание усиливается в растворах щелочей и кислот.
В концентрированных растворах некоторых солей фиброин неограниченно набухает и образует вязкий раствор, из которого может быть регенерирован.
Фиброин легко растворяется в медно-аммиачном растворе, щелочном медно-глицериновом расворе, этилендиаминовом расворе гидроокиси меди, аммиачно-никелевом расворе, в растворе крепких кислот - фосфорной, серной, соляной, дихлоруксусной и муравьиной.
Реакции фиброина. Для фиброина характерны реакции превращения, обусловленные наличием в его структуре химически активных функциональных групп. Возможно ацелирование фиброина, бензоилирование, ацетилирование. При этом в реакцию вступают гидроксильные группы и аминогруппы волокна.
Фиброин можно алкилировать.
Химические связи между смежными цепями образуются при действии на шелк формальдегида за счет участия в реакции содержащихся в боковых радикалах H2 N-групп, возможно и НО-групп, а также имидных групп - NH- пептидных связей.
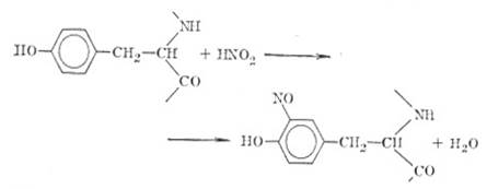
При действии азотистой кислоты происходит дезаминирование фиброина:
R-NH2 +ONOH®R-OH-N2 +H2 O.
В реакцию вступают концевые аминокислоты полипептидных цепей и e-аминогруппы остатков лизина. Одновременно происходит нитрозирование фенольных ядер остатков тирозина
![]() |
При действии азотной кислоты на фиброин происходит нитрование ароматических ядер остатков фенилаланина и тирозина (ксантопротеиновая реакция на белки):
![]() |
Исключение - взаимодействие с HNO3 .
Действие на фиброин гидролизующих реагентов. Являясь белковым веществом, фиброин обладает характерной способностью к гидролитическому распаду, который через ряд промежуточных продуктов (полипептидов) приводит к образованию аминокислот по схеме
H2O
- СО-NH- ®COOH +H2 O-.
Уже продолжительное кипячение в воде вызывает некоторый гидролиз, резко усиливающийся в присутствии кислот и щелочей.
В 5 % NAOH фиброин растворяется при кипячении, а в концентрированной при 25 °С .
к ислота
H2 N-шелк -СООН®HN+ -шелк -COO®H3 N-шелк-COOH
щелочь
®H2 N-шелк-СООН
К кислотам фиброин несколько более устойчив, чем к щелочам. Растворы даже сильных минеральных кислот в низких концентрациях при нагревании не оказывают заметного разрушительного действия на волокно. Это свойство используют при крашении шелка. После отварки или крашения шелк обрабатывают кислотами, в результате чего он приобретает характерный скрип, возникающий в результате трения одних волокон о другие.
В более высоких концентрациях и при высокой температуре кислоты разрушают фиброин. Концентрированная серная и соляная кислоты растворяют шелк на холоду в течении короткого времени. Более устойчив фиброин к слабым минеральным кислотам - фосфорной, сернистой, уксусной, щавелевой, муравьиной.
Особенностью фиброина является его устойчивость к протеолитическим ферментам.
Отношение к окислителям и восстановителям. Соли хлорноватистой кислоты и хлор даже в растворах слабой концентрации повреждают фиброин. По аналогии с другими белками в этом случае можно ожидать образование хлораминокислот и далее - кетонокислот и хлорамина.
Шелк отличается относительно низкой устойчивостью к фотохимическому окислению (разрушение на свету при действии кислорода воздуха).
Фиброин устойчив к восстановителям, обычно применяемым в текстильной практике (гидросульфиту, сернистой кислоте и ее солям).

Серицин
Строение серицина
Белковая часть природной шелковины - серицин. Значительно отличается от фиброина. Для серицина характерно более высокое содержание оксиаминокислот (в особенности серина и дикарбоновых и диаминокислот), наличие небольшого колическтва цистина. По аминокислотному составу серицин более гидрофилен, чем фиброин.
Дикарбоновые аминокислоты частично входят в состав серицина в виде своих амидов. Из продуктов гидролиза серицина выделены также углеводы - 0,6 % (в пересчете на глюкозу) и аминоуглеводы - 0,5 % (в пересчете на глюкозамин).
Отсутствие данных о первичной стуктуре серицина. По вторичной установлено, что в серицине на волокне определенная доля цепей находится в b-форме, образуя упорядоченные области, и фиксация их достигается за счет связывания соседних цепей небелковыми компонентами, цистинными связями. Электронно-микроскопические исследования поверхности кокона, предварительно освобожденного от жировосковых компонентов, подтверждают, что структура серицина, покрывающего нити, несколько фибриллярна.
Свойства серицина
Серицин нерастворим в спирте, эфире, ацетоне, бензине, но растворим в воде, водных растворах щелочей и кислот. Растворимость серицина в воде, резко отличающая его от фиброина, обусловлена особенностями химического строения: высоким содержанием полярных, способных гидратироваться групп в боковых цепях, менее упорядоченным расположением цепей с меньшим межмолекулярным взаимодействием между ними.
Растворимость серицина в воде зависит от температуры: если она ниже 90°С, серицин только ограниченно набухает и практически в раствор не переходит; при более высокой температуре набухание становится неограниченным и начинается растворение. При температуре 100 °С можно полностью обесклеить волокно при многочасовом кипячении. Резко увеличивается скорость расворения при температуре выше 105 °С; при температуре 110 °С волокно в течении 1 ч можно полностью освободить от серицина.
Растворимость существенно зависит от реакции среды и возрастает в растворах кислот и щелочей (амфотерность серицина как белкового тела, способности его соединятся с кислотами и щелочами, с образованием ионизируемых солей с более высокой сольватацией. При слабощелочном растворе с pH 9,5-10, волокно можно обесклеить при температуре 95-100°С .
Серицин нестоек к протеолитическим ферментам, с чем связана способность его разлагаться микроорганизмами.
Обработка шелка-сырца в растворе формальдегида переводит серицин в видоизменение, характеризующееся пониженной расворимостью в воде. Это вызвано взаимодействием формальдегида с NH2 -группами серицина и образованием метиленовых связей между цепями.
Изоэлектрическая точка серицина находится в пределах pH 3,9-4,3. Следовательно, серицин, хотя и амфотерное вещество, но из-за преобладания кислотной функции является слабой кислотой.Способен растворяться в кислотных растворах при pH ниже 4 и растворяется в щелочных среде.
В водных растворах, полученных при обесклеивании шелка, серицин представляет сложную смесь белковых продуктов, которая может быть разделена на 5-6 фракций методом электрофореза или на 10-11 фракций прибавлением к раствору серицина в 0,1 н. NH4 OH ацетона.
Связь между серицином и фиброином осуществляется за счет водородных и химических связей через небелковые компоненты - цистиновые мостики. Существенную роль в образовании макроструктуры шелка играют также разветвленные и проходные полипептидные цепи. Нить шелка представляет собой армированный полимерный материал. Фиброиновые стержни являются несущим остовом этой структуры, а серицин играт роль связующего. [1] [1]
Активные красители
Общая формула активных красителей:
(Р)n - Кр - А
где Кр - хромофорная часть молекулы;
А - активный центр;
Р - группы, придающие красителю растворимость (OH, SO3 H, SO3 Na).
Формула отражает только общие свойства структуры активных красителей и не учитывает некоторых специфических особенностей некоторых групп.
У нерастворимых в воде дисперсных красителей отсутствуют Р - группы, придающие растворимость в воде.
В водорастворимых активных красителях в качестве растворимых используют сульфо-, карбоксильные- и сульфоэфирные группы. Число этих групп определяется величиной молекулы красителя в целом; их число должно обеспечить хорошую растворимость красителей в условиях применения.
В качестве хромофорной части используют разнообразные хромофорные системы, характерные для кислотных и других классов красителей: моноазо-, дисазо-, антрахиноновые, фталоцианиновые и другие системы. По строению акитвные красителяи можно разделить на несколько групп:
- носитель активного атома гетероциклический фрагмент молекулы
- носитель активного центра винилсульфоновая группа (или другие группы, содержащие непредельные связи)
- красители, содержащие сульфоаминазидную группу (активное начало – сульфоаминазидная группа)
- прочие красители
Под активным центром следует понимать часть молекулы красителя, которая содержит реакционноспособный атом углерода и группировки, обеспечивающие активность этого углеродистого атом в реакциях с волокном за счет реакций нуклеофильного присоединения или замещения.
К группе активных красителей, реагирующих с волокном по типу нулеофильного замещения, относятся все красители с гетероциклами в качестве активных центров. К группе нуклеофильного присоединения относятся красители, в которых активными центрами являются производные винильных соединений. Эти красители часто содержат активные центры не в активной, а в скрытой, пассивной, форме, которая превращается в активную в процессе фиксации красителя.
Фиксация активных красителей волокном
В зависимости от природы волокнистого материала, типа активного красителя, технологической схемы процесса крашения и печатания и их аппретутного оформления фиксация красителя может протекать в разнообразных условиях. Общим для всех условий является гетерогенность процесса, заключающаяся в том, что краситель, первоначально находящийся во внешней фазе, доставляется в фазу волокна, где и происходит химическая реакция красителя с активным центром волокна. Внутри волокна химическую реакцию сопровождают процессы сорбции красителя и диффузии. Процессы массопереноса красителя из внешней фазы во внутреннюю фазу волокна заканчиваются необратимой химической реакцией, приводящей к образованию прочной химической ковалентной связи краситель - волокно.
Для количественной оценки и прогнозирования результатов протекания гетерогенной химической реакции краситель - волокно целесообразно использовать методы гетерогенной макроскопической химической кинетики.
Первая скорость - макроскопическая, или кажущаяся, зависит в той или иной степени от скорости доставки реагента к активным центрам, а вторая, микроскопическая, или истинная, характеризует скорость самого акта взаимодействия между парнерами реакции и не зависит от скорости доставки их к друг другу.
Протекание фиксации, т.е. гетерогенной химической реакции в одной из трех характеристических областей, определяется соотношением скоростей доставки красителя к активным центрам волокна и реакции красителя с активными центрами волокна.
Диффузионная область протекания гетерогенной химической реакции характеризуется медленным протеканием процессов диффузии по сравнению со скоростью истинной химической реакцией. В этой области скорость процесса в целом (скорость фиксации красителя) определяется главным образом скоростью самой медленной реакции, т.е. скоростью доставки диффундирующего вещества (красителя) к партнеру по реакции (активным центрам волокна).
Кинетическая область протекания гетерогенной химической реакции характеризуется более медленной скоростью истинной химической реакции между партнерами по сравнению со скоростью доставки их к друг другу. Скорость процесса в целом будет определяться скоростью истинной химической реакции.
Переходная область характеризуется сравнивыми близкими скоростями протекания процессов диффузии и истинной химической реакции.Скорость процесса в целом в этой области зависит от скорости диффузии и истинной химической реакции.
Перечисленные явления сильно меняются от изменеия многочисленных параметров крашения и печатания и от условий фиксации (температура, pH среды, теплоноситель, природы среды для диффузии красителя), природы волокна (физической и химической) и красителя.
Массоперенос красителя из внешней фазы к активным центрам волокна
Независимо от метода крашения и печатания массоперенос, т.е. доставка молекул красителя к активным центрам волокнистого материала, с которым краситель вступает в химическую реакцию, является обязательной стадией, без которой не может осуществляться фиксация активного красителя.
Рассмотрим роль диффузионных свойств активных красителей и стадии диффузии на примере периодических способов крашения.
В периодических способах крашения процесс строится по двухстадийной схеме.
На первой стадии крашения реакция красителя с волокном не идет, происходит массоперенос красителя из фазы раствора в фазу волокна с истощением внешнего раствора и почти равномерным распределением красителя в волокне.
Скорость диффузии активных красителей в превышает скорость диффузии прямых красителей, что связано с малой молекулярной массой и компактностью молекул активных красителей (малое сродство в волокну), что обуславливает высокую скорость накрашивания текстильных материалов. Эта стадия крашения в нейтральной среде продолжается не более 30-40 минут.
Скорость диффузии активных красителей зависит от pH среды и концентрации электролита. С изменением pH изменяется заряд внешней и внутренней поверхностей волокна, его набухание, заряд красителя, что отражается на скорости диффузии красителя в волокне, которая возрастает в щелочной среде.
На второй стадии крашения, когда с помощью pH среды создаются условия для реакции красителя с активными центрами волокна, краситель вступает в химическую реакцию с волокном. Диффузия красителя не прекращается, краситель диффундирует в волокно и доставляется к доступным и свободным центрам волокна. Пока краситель в активной форме и доступны свободные активные группы, происходит нарушение и восстановление равновесия между красителем, сорбированным волокном, и красителем во внешней фазе.
На рис.1 кинетические кривые сорбции и ковалентной фиксации активных красителей на обеих стадиях крашения периодическим способом. Видно, что на второй стадии диффузия красителя осложняется химическими реакциями красителя с волокном и гидролизом красителя в ванне и волокне. Первая фракция красителя доставляется к активным центрам волокна на первой стадии крашения, при изменении pH среды или температуры на второй стадии крашения молекулы красителя этой фракции начинают реагировать с активными центрами волокна.
Сорбция, фиксация,% Добавка щелочи
|
|
1 Время, t [1][2]
Сорбция активных красителей волокном
Сорбция предшествует истинной химической реакции. В результате сорбции молекула красителя располагается в непосредственной близости и в благоприятном стерическом положении к активным центрам волокна, с которыми они затем реагируют. Сорбция красителя соответствует физической при применении водорастворимых активных краителей и целлюлозных волокон или обратимой хемосорбции при использовании белковых и полиамидных волокон.
В периодических способах крашения роль сорбции проявляется в максимальном истощении красильной ванны, что в значительной степени определяет эффективность использования красителя.
Гидролиз активных красителей
Фиксация активных красителей в крашениии печатании протекает в водной системе. Когда используют активные красители, то при параллельной реакции с волокном протекает побочная реакция гидролиза, поскольку молекулы воды или гидроксильные ионы являются высокореакционными нуклеофильными реагентами реакции с красителем.
Гидролиз протекает между двумя реагентами - ионом красителя и гидроксильным ионом воды. Скорость реакции пропорциональна произведению концентрации красителя в активной форме и гидроксильных ионов и является реакцией второго порядка:
Vг= ¾ = Кг[ Кр- ] [ОН- ] (1) [1][3]
Где Сг - концентрация гидролизной формы красителя; Кг - константа гидролиза.
Скорость гидролиза зависит от факторов, изменяющих концентрацию активной формы красителя и гидроксильных ионов в системе. К таким факторам относится концентрация красителя и pH среды. На все химические реакции, протекающие в гомогенной среде, существенное влияние оказывает температура.
Как и во взаимодействии с волокном, активные красители в зависимости от мезанизма гидролиза можно разделить на две группы:
-красители, реагирующие с водой и волокном по механизму нуклеофильного замещения Sn:
(NaO3 S)n - Kp - NH - C C - Cl + HOH ®
®(NaO3 S)n - Kp - NH - C C - OH
-красители, реагирующие с водой и волокном по механизму нуклеофильного присоединения Аn:
(NaO3 S)n - Kp - SO2 - CH =CH2 + HOH ®
® (NaO3 S)n - Kp - SO2 - CH2 - CH2 - OH.
Как уже отмечалось, скорость гидролиза описывается уравнением (1), т.е. это реакция второго порядка относительно концентрации обоих реагентов и первого порядка относительно концентрации каждого из реагентов.
Если в реакции гидролиза поддерживать постоянство рН за счет избытка щелочи или буферным раствором, то оно превращается в уравнении первого порядка:
Vг = Кг[Кр-- ]; Кг = 0,693/t1|2 [1][4]
Где t1|2 - время половинного гидролиза красителя.
Следовательно Кг зависит от рН среды, увеличиваясь пропорционально увеличению [ОН- ].
Реакционная способность активных красителей изменяется в широком интервале не только при переходе от одного типа красителей к другому, но и внутри одного типа, что затрудняет применение активных красителей одного типа в смеси с другим.
Реакционная способность зависит от усовий реакции - рН среды, температуры и концентрации красителя.
Несмотря на то что гидролиз активных красителей протекает в гомогенной жидкой внешней среде, а химическая реакция с волокном в твердой полимерной матрице, в которой диффузия красителя затруднена, основная химическая реакция с волокном доминирует над побочной реакцией гидролиза. Поэтому степень гидролиза в периодических способах крашения не превышает 20 %.
Химизм взаимодействия активных красителей с белковыми волокнами
Как и в случае крашения активными красителями целлюлозных волокон, при взаимодействии с белковыми волокнами реакция может идти по схеме нуклеофильного замещения или присоединения, в зависимости от строения активного центра красителя.
Аминогруппы белковых и полиамидных волокон являются нуклеофильным реагентом, причем они по нуклеофильности занимают промежуточное положение между неионизированной и ионозированной гидроксильными группами.
Фиброин шелка содержит набор различных функциональных групп нуклеофильного характера, теоретически способных взаимодействовать с активными красителями.
Такими функциональными группами являются:
-NH2 , -NH-, -CH2 OH-, CH-OH, -C6 H4 OH, -SH, C=NH,
Фиброин шелка не содержит сульфгидрильных групп.
Основную роль в реакциях взаимодействия активных красителей с белковыми волокнами играют их первичные концевые и боковые аминогруппы.
Красители, содержащие активный гетероцикл, на примере монохлортриазиновых реагируют с аминогруппами волокна по схеме:
NaO3 S – Kp – NH – C C – Cl + волокно – NH2
N N
C
NHR
Волокно – NH – C C – NH – Kp – SO3 Na
N N
C
NHR
Волокно – NH – C C – NH – Kp – SO3 Na
N N
C
NHR
Красители, содержащие в качестве активного центра винильную группу, реагируют с аминогруппами волокна по схеме:
NaO3 S – Kp – R – CH = CH2 + H2 N – волокно
NaO3 S – Kp – R – CH2 – CH2 – NH – волокно
Помимо первичных аминогрупп в реакциях с активными красителями принимают участие и другие нуклеофильные функциональные группы белковых волокон. Доля участия этих групп в общем процессе химического связывания активных красителей определяется химической природой красителя, т.е. распределением электронной плотности в активном центре красителя, природой белкового волокна (аминокислотный состав) и условиями процесса крашения. Все три перечисленные выше фактора оказывают сильное влияние на протекание нуклеофильных реакций замещения или присоединения, которые имеют место между активными красителями и белковыми волокнами.
Окрашенное красителем I волокно натурального шелка подвергалось кислотному гидролизу. В гидролизате методом хроматографии на бумаге были обнаружены продукты взаимодействия красителя с аминогруппами глицина, серина, аланина, лизина, и с аминогруппами гистидина.
Роль первичных аминогрупп белковых волокон в реакциях с активными красителями преимущественна в крашении натурального шелка, содержащего блокированные аминоруппы, так как модифицированные волокна ковалентно фиксируют значительно меньше красителя, чем немодифицированные.
| Волокно |
Конст. n краш. К в Мин-1 |
Содержание амино- и иминогрупп в моль/кг волокна |
|||
| концевые |
лизин |
гистидин |
общие |
||
| шелк |
0,037 |
0,03 |
0,04 |
0,02 |
0.09 |
Основная роль при крашении в слабокислой и слабощелочной средах принадлежит непротонированным боковым и концевым аминогруппам. В зависимости от реакционной способности красителя и жесткости условий крашения в реакции могут принимать участие имногруппы гистидина и серина.
Активные красители различной природы способны в слабокислой среде образовывать ковалентную связь с амногруппами белковых волокон. В кислой среде аминогруппы белковых волокон заряжены положительно и, следовательно, не способны выступать в роли нуклеофильных реагентов в реакции с активными красителями.[3][5]
Технология крашения
Реакция взаимодействия активных красителей с волокном может происходить в присутствии щелочных и кислотных агентов. При любом методе крашения активными красителями одновременно с реакцией взаимодействия красителя с волокном идет реакция взаимодействия красителя с гидроксильными группами воды, ведушая к частичному гидролизу красителя. Поэтому полная фиксация на натуральном шелке не достигается, и в конце процесса крашения на ткани остается часть красителя, не способного к реакции с натуральным шелком. Гидролизованный краситель должен быть удален путем последующей тщательной промывки и мыловки ткани с целью получения хорошей устойчивости окрасок к мокрым обработкам и трению.
Красить натуральный шелк активными красителями можно по щелочному и кислотному способу, для большинства этих красителей рекомендуется щелочной метод крашения.
Щелочной способ является предпочтительным, так как легче поддается контролю и позволяет получать наиболее ровные окраски ткани. При крашении по кислотному способу необходима большая осорожность, чтобы предотвратить неровноту окраски при быстрой адсорбции красителя. Поэтому перед введением очередной порции кислоты следует понизить температуру красильной ванны. Кислотный метод крашения представляет интерес при крашении смешанных тканей из натурального шелка и целлюлозных волокон, так как целлюлозные волокна по этому способу резервируются.
Натуральный шелк перед крашением следует тщательно подготовить: отварить и промыть, чтобы удалить серицин, оставшийся в ткани. Серицин может вступить в реакцию с активным красителем, после чего его трудно будет удалить.
Ткани из натурального шелка красят на механических жгутовых барках, а легко заламывающиеся ткани - на красильных роликовых машинах.[4][6]
Подготовка натурального шелка
Отварка шелка в мыльно-содовом растворе. Образец шелка сырца массой 1г обрабатывают при температуре 95-97°С (модуль ванны 50) в течении 40 минут в растворе, содержащем мыло олеиновое (40%-е) - 15 г/л и карбонат натрия - 3 г/л, затем образец переносят в раствор (переварочный), содержащий мыло олеиновое (40 %-е) - 7,5 г/л и карбонат натрия - 1 г/л, и обрабатывают при модуле ванны 50 в течении 30 минут. Далее шелк обрабатывают при температуре 60°С в течении 20 минут в растворе аммиака (25 %-ного) концентрации 2 мл/л, промывают теплой водой и проверяют полноту обесклеивания шелка. Для этого необольшую часть отваренного шелка обрабатывают в течении 5 минут при температуре 20-25°С в 1 %-ном растворе пикрокармина, затем промывают водой. При отсутсвии серицина шелк окрашивается в желтый цвет, при неполном удалении серицина - в красный.
После промывки проводят «оживку» шелка, обрабатывая его в растворе, содержащем 5 мл/л 30%-ной уксусной кислоты, в течении10 минут при температуре 30°С и модуле ванны 50. «Оживка» придает шелку характерный скрип (при трении одних волокон о других). После сушки определяют потерю массы, %, шелка. Сравнивают по внешнему виду шелк до и после отварки. Если шелк предназначен для крашения, «оживку» не проводят.
Отварка шелка в гидросульфитно-содовом растворе. Шелк сырец массой 1г обрабатывают при модуле 50 и температуре 95-97°С в течении 20 минут в растворе, содержащем 10 г/л карбоната натрия и 4 мл/л 38 %-ного гидросульфита натрия (NaHSO3 ).Затем образец переносят в раствор, содержащий 8 г/л 40 %-ного олеинового мыла и 0,4 г/л карбоната натрия и при модуле ванны 50 и температуре 95-97°С обрабатывают в течении 20 минут.
Обработку шелка в растворе аммиака и «оживку» шелка проводят так же, как после отварки в мыльно-содовом растворе. Определяют потерю массы шелка, %.
Отварка шелка в щелочных растворах моющих веществ. Образец шелка-сырца массой 1г обрабатывают при температуре 95-97°С и модуле ванны 50 в течении 20 минут в растворе, содержащем 10 г/л карбоната натрия и 2 г/л анионоактивного или неионогенного ПАВ, затем шелк переносят в раствор, содержащий 2 г/л ПАВ и 1 г/л стеарокса-6 и при модуле ванны 50 и температуре 80-90°С обрабатывают в течении 20 минут. Далее шелк обрабатывают в растворе гексаметафосфата натрия концентрации 1 г/л при модуле ванны 50 и температуре 90-92°С в течении 20 минут, затем шелк промывают водой. Определяют потерю массы шелка, %.
«Оживку» шелка проводят также, как после отварки в мыльно-содовом растворе.[5][7]
Крашение натурального шелка
Помимо обычных активных красителей можно использовать также активные красители для шерсти с индексом «Ш». При использовании дихлортриазиновых красителей крашение ведется при модуле 50 в растворе, содержащем 1-10 г/л красителя и 10 г/л Na2 SO4 , с постепенным повышением температуры до 50°С. После 15-минутного крашения при этой температуре добавляют Na2 CO3 до его концентрации в красильной ванне 2 г/л и продолжают крашение еще 40 минут. Затем ведется промывка окрашенного образца в холодной воде и в слабокислом растворе, содержащем 2 г/л ПАВ, в течении 10 минут. При использовании монохлортриазиновых красителей температуру крашения повышают до 80°С.
Бромакриламидные красители
Практическое применение в крашении из белковых волокон находят красители, производные бромакриламида, монохлордифторпиримидина и метилтауриноэтилсульфона. Красителям, производным бромакриламида, отдают предпочтение.
Активные красители на белковых волокнах не всегда дают достаточно ровные окраски и высокую степень фиксации.
Этим требованиям удовлетворяют красители, активными центрами которых являются бромакриламидные или дифторпиримидиновые группировки.
Общая формула бромакриламидных красителей имеет вид:
Kp - NH - C - C = CH2 [2][8]
Активные бромакриламидные красители могут взаимодействовать с функциональными группами натурального шелка по механизму нуклеофильного замещения (а) и присоединения (б). Имеют индекс «S».
Br CH2
КрNHCOC = CH2 + H2 N - волокно® КрNHCOC – NH - волокно
Br CH2
KpNHCOCHCH2 - NH - волокно® KpNHCO – HC – N – волокно
a - Бромакрилоиламиногруппа имеется в Ланазолевых красителях. Ланазоль красный [4-а бромакрилоиламиноанилин-2-сульфокислота]:
CH2 = C – CONH
[7][9]
Бромакриламидные красители, в частности Ланазоли, отличаются высокой устойчивостью окрасок даже в насыщенных тонах, яркостью и чистотой оттенков. Эти красители содержат, как правило, более одной сульфогруппы, что обеспечивает их превосходную растворимость в воде.[6][10]
Для повышения прочности окрасок рекомендуется окрашенный шелк обработать при температуре 80°С в растворе аммиака (рН = 8 - 8,5) в течении 20 минут. При этом удаляется незафиксированный краситель.
Технология крашения бромакриламидными ланазолевыми красителями. Краситель 2 % от 1г волокна, СН3 СООН (30 %-ной) 10 г/л, Na2 SO4 10 г/л, Н2 О, модуль ванны 50.
Крашение начинают при температуре 50°С, затем нагревают раствор до кипения и красят 45 минут. После крашения раствор охлаждают до 80°С, вводят в него 5 мл раствора NH3 (10 г/л) и обрабатывают в этом растворе 20 минут при температуре 80°С. После этого образец промывают горячей водой, раствором ТМС (1 г/л) при температуре 60°С в течении 5 минут, затем горячей и холодной водой и высушивают. [5][11]
Вывод
Для крашения натурального шелка были использованы активные красители, так как они закрепляются прочными ковалентными связями с волокном, устойчивы к мокрым обработкам, имеют большой цветовой разброс, дешевы и просты в применении.
Введение в практику крашения активных красителей в значительной степени изменило установленные экономические соотношения между периодическими и непрерывными процессами. Активные красители обладают свойствами, которые дают возможность применять их по высокоскоростным полунепрерывным и непрерывным методам без необходимости использования специального оборудования.
Бромакриламидные красители дают ровную окраску и высокую степень фиксации. Ланазоли отличаются высокой устойчивостью окрасок даже в насыщенных тонах, яркостью и чистотой оттенка, были выбраны в виду их практического применения и хорошей растворимости.
В этой работе были изучены свойства натурального шелка, рассмотрены все стадии взаимодействия активных красителей с белковым волокном, а также описана непосредственно сама технология крашения бромакриламидными красителями.
Литература
1. Г.Е.Кричевский, М.В.Корчагин, А.В.Сенахов. “Химическая технология текстильных материалов”, Москва Легпромбытиздат 1985 г.
2. Г.Е.Кричевский. “Физико-химические основы применения активных красителей” , Издательство «Легкая индустрия» 1977 г.
3. Г.Е.Кричевский. “Активные красители” . Издательство «Легкая индустрия», Москва,1968 г.
4. Ш.В.Пичхадзе, С.М.Сошина “Крашение и печатание тканей из натурального шелка” ЦНИТЭИ Легпром, Москва, 1972 г.
5. “Базовый лабораторный практикум по химической технологии волокнистых материалов” МГТУ им.А.Н.Косыгина “Международная программа образования”, Москва 2000 г.
6. Б.Н.Мельников, Г.И.Виноградова “Применение красителей”, Издательство “Химия”, Москва 1986 г.
7. Б.И.Степанов “Введение в химию и технологию органических красителей” Москва “Химия”, 1984 г.
[1] Г.Е.Кричевский «Химическая технология текстильных материалов»
[2] Г.Е.Кричевский «Химическая технология текстильных материалов»
[3] Г.Е.Кричевский «Химическая технология текстильных материалов»
[4] Г.Е.Кричевский «Химическая технология текстильных материалов»
[5] Г.Е.Кричевский «Активные красители»
[6] Ш.В.Пичхадзе, С.М.Сошина «Крашение и печатание тканей из натурального шелка»
[7] Базовый лабораторный практикум
[8] Г.Е.Кричевский «Физико-химические основы применения активных красителей»
[9] Б.И.Степанов «Введение в химию и технологию органических красителей»
[10] Б.Н.Мельников, Г.И.Виноградова «Применение красителей»
[11] Базовый лабораторный практикум



