| Скачать .docx |
Курсовая работа: Красители на основе 2-амино-5-меркапто-1,3,4-тиадиазола
Курсовая работа
На тему:
«Дисперсные красители на основе 2-амино-5-меркапто – 1,3,4 – тиадиазола»
Чебоксары, 2010
Красителями, в широком смысле этого слова, называют органические соединения, обладающие способностью поглощать и преобразовывать световую энергию в видимой и ближних ультрафиолетовой и инфракрасной областях спектра. Применение веществ, способных придавать тот или иной цвет предметам, в том числе волокнам, тканям, поверхности тела, известно с незапамятных времен. Для этого использовались цветные глины, минеральные пигменты, вытяжки из растений и животных.
Только в XVIII веке стали предприниматься попытки создания дешевых синтетических красителей. К этому химиков подтолкнуло бурное развитие текстильной промышленности и переход к машинному производству. Первый синтетический краситель был получен в 1855 г. профессором Я. Натансоном, соединение красного цвета. Позже в 1858 г., во Франции, Верген получил этот же краситель другим способом и назвал фуксином. В том же году Грисс открыл реакцию диазотирования, положившую начало синтезу азокрасителей. [1]
В настоящее время известно большое количество красителей, разделяющиеся по химическому строению: нитрокрасители, нитрозокрасители, азокрасители, арилметановые, хинониминовые, сернистые, индигоидные, антрахиноновые, полициклические, фталоцианиновые, полиметиновые, азометиновые красители.
Несмотря на многообразие органических красителей известны лишь ограниченные сведения о синтезе красителей на основе 1,3,4-тиадиазолов. Так как среди тиадиазолов обнаружены вещества с высокой биологической активностью, синтез красителей на основе 2-амино-5-меркапто – 1,3,4-тиадиазола является актуальной проблемой. Бактерицидные тиадиазол-содержащие красители могут найти применение для покраски и обработки днищ судов и подводных сооружений.
Целью данной курсовой работы является изучение органических красителей, полученных на основе 2-амино-5-меркапто – 1,3,4-тиадиазола.
краситель дисперсный суспензия химический
Дисперсные красители – специальные неионные красители для гидрофобных волокон, используемые при крашении в виде высокодисперсных водных суспензий. Не содержат групп, придающих растворимость в воде, вследствие чего она очень низка (при комнатной температуре в 1 л воды растворяется от долей до нескольких мг красителя). Молекулы дисперсных красителей имеют небольшие размеры. Применяются дисперсные красители при крашении полиэфирных, полиамидных и ацетатных волокон, реже – полиакрилонитрильных (в светлые тона). Дисперсные красители – единственная группа красителей, пригодных для окрашивания полиэфирных и ацетатных волокон. Обеспечивают получение окрасок полной цветовой гаммы. В процессе крашения молекулы дисперсных красителей, перешедшие в раствор, сорбируются волокном и диффундируют вглубь него с образованием твердого раствора в полимере. Краситель удерживается в полимере силами Ван-дер-Ваальса, в отдельных случаях – водородными связями. Выпускают дисперсные красители в виде тонкодисперсных порошков, гранул или в жидкой форме (в том числе паст) с размером основной массы частиц не более 1–2 мкм; в их состав входят также вспомогательные вещества, способствующие сохранению дисперсности при применении и хранении.
1.2 Основные группы дисперсных красителей
По химическому строению дисперсные красители – главным образом, азокрасители и антрахиноновые красители, реже – стириловые, хинофталоновые красители, нитродифениламины, ароиленимидазолы, антрапиридоны. Дисперсные азокрасители обеспечивают гамму цветов от желтого до темно-синего. В основном представлены моноазокрасителями – производными 4-аминоазобензола, дающими окраски оранжевых, красных, фиолетовых, темно-синих цветов, например, алый Ж (I) и бордо 2С (II). Получение широкой цветовой гаммы достигается изменением характера и положения заместителей в молекуле. Большинство моноазокрасителей содержит (в остатке диазосоставляющей) в параположении к азогруппе NO2 -гpyппy, углубляющую цвет. Углублению цвета способствует также введение электроноакцепторных заместителей в положения 2 или 2,6 к азогруппе или электронодонорных заместителей (алкилов, алкокси- и ациламиногрупп) в остаток азосоставляющей. Электроноакцепторные заместители (CN, ОСОСН3 ) в алкиламиногруппах азосоставляющей, понижая основность атома N аминогруппы, приводят к повышению цвета. Гидроксиазокрасители (ОН-группа в орто- или параположении к азогруппе) применяют ограниченно для получения цветов от желтого до красного. Более яркие желтые цвета обеспечивают стириловые, хинофталоновые красители, ароиленимидазолы. Практическое значение имеет и небольшое число дисазокрасителей, преимущественно желтого и оранжевого цветов, например, желтый прочный 4К (III). К дисперсным красителям относятся моноазокрасители, содержащие первичные аминогруппы, способные диазотироваться на волокне и сочетаться с азосоставляющими (диазотирующиеся дисперсные красители), например, диазочерный С (IV). Однако, ввиду сложности крашения, эти красители используют редко, главным образом, для получения на ацетатных тканях прочных черных окрасок.

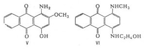
Антрахиноновые красители обеспечивают гамму красных, фиолетовых, синих и бирюзовых цветов, например, розовый Ж (V) и синий К – смесь соединений с основным компонентом формулы VI.

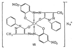
Они представлены 1-амино-4-гидроксиантрахиноном и его замещенными, которые содержат в положении 2, например, атом Вr, группы ОСН3 или ОС6 Н5 и дают розовые и красные окраски; 1,4-диаминоантрахиноном и его производными, содержащими N-алкильные (или арильные), N, N-диалкильные, 5-нитро-, 2,3-дихлор- или 2-алкоксигруппы и обеспечивающими гамму цветов от красно-фиолетовых до сине-зеленых; синими красителями на основе 1,4,5,8-тетразамещенных антрахинона, содержащих группы ОН, NO2 , NH2 или NHR (R – алкил, арил). Так как индивидуальные зеленые, коричневые, серые и черные дисперсные красители отсутствуют, для получения окрасок указанных цветов готовят смесовые композиции. Наиболее практическое значение имеют дисперсные красители для полиэфирного волокна. Поскольку в процессах крашения и отделки это волокно подвергается высокотемпературным обработкам, к окраскам дисперсных красителей предъявляется требование высокой устойчивости не только к свету, но и к сублимации. Светостойкость окрасок повышается при введении в молекулу дисперсного красителя электроноакцепторных заместителей, снижающих основность атома N в аминогруппе, а устойчивость к сублимации – при увеличении размера и полярности молекулы. В случае моноазокрасителей повышение устойчивости окрасок достигается введением в остаток диазосоставляющей в ортоположение к азогруппе Cl, Br, CN, в пара-положение – NO2 , в параположение остатка азосоставляющей – N, N-диацетоксиэтиламино-, N-этил-N-цианоэтиламино-, N-цианоэтил-N-ацетоксиэтиламиногрупп; в ряду антрахиноновых красителей вводят, например, атомы галогена. Светостойкость окрасок зависит также от химической природы и физических свойств волокна. Окраски многих дисперсных красителей на полиамидном волокне менее светостойки, чем на ацетатном и полиэфирном. В особые группы выделяют металлсодержащие и активные дисперсные красители, предназначенные для прочного окрашивания полиамидных волокон. Металлсодержащие дисперсные красители – металлкомплeксные соединения, содержащие один атом Сr или Со на две молекулы моноазокрасителя, например, дисперсный красный СМП (VII, М – металлсодержащий, П – для полиамидных волокон).

Они превосходят обычные дисперсные красители по устойчивости окрасок к свету и мокрым обработкам, уступают по яркости и ровняющей способности. Используются преимущественно для получения темных тонов. Дисперсные активные красители сочетают хорошие ровняющие свойства дисперсных красителей с высокой устойчивостью окрасок к мокрым обработкам. [2]
Процесс проводят в присутствии 1–2 г/л анионоактивного ПАВ, обычно диспергатора НФ [метилен-бис – (нафталинсульфоната) динатрия]. По периодической схеме процесс осуществляют при повышенной температуре: ацетатное волокно не выше 85°С, полиамидное, триацетатное и полиакрилонитрильное при 98–100°С, полиэфирное при 130°С под давлением и рН 4,5–5,5. Триацетатное и полиамидное волокна можно также окрашивать под давлением при 115–120°С. Реже полиэфирное волокно окрашивают при 98–100°С в присутствии переносчика, в качестве которого используют, например, о- и п-фенилфенолы, дифенил, эфиры бензойной и салициловой кислот, производные нафталина; переносчик, изменяя состояние волокна и красителя, способствует увеличению скорости диффузии и сорбции дисперсного красителя волокном. Крашение диазотирующимися дисперсными красителями проводят вначале обычным периодическим способом, после чего осуществляют диазотирование красителя на ткани при ~ 15°С в растворе, содержащем NaNO2 и НСl, а затем – азосочетание, например, с 2-гидроксинафтойной кислотой. По непрерывной схеме окрашивают ткани из полиэфирного волокна и его смесей с хлопковым или вискозным, используя термозольный способ: сначала ткань «плюсуют» (пропитывают и отжимают) в ванне, содержащей, кроме красителя и ПАВ, загуститель, например, алъгинат Na, затем сушат при 120–140°С и нагревают примерно 1 мин при 190–210°С. Крашение металлсодержащими дисперсными красителями осуществляют в присутствии неионогенного ПАВ, например, полиоксиэтилированного алкилфенола, при рН 8,0–8,5 около 100°С; в конце крашения вводят сульфат или ацетат аммония. Процесс можно проводить под давлением, использовать красители для печатания по тканям из полиамидных волокон, иногда – из триацетатных. При использовании активных дисперсных красителей процесс проводят сначала в кислой среде (рН 3,5–4,0), когда красители не проявляют активных свойств и ровно окрашивают подобно дисперсным красителям, а затем в слабощелочной (рН 10,0–10,5), в которой красители взаимодействуют с волокном с образованием ковалентных связей. Активные дисперсные красители применяют также для печатания по полиамидным тканям. Различия в условиях крашения разными способами настолько значительны, что краситель, пригодный для одного из способов крашения, может быть неприемлем для другого. Например, для термозоль-процесса с высокими температурами фиксации требуются дисперсные красители с высокой устойчивостью к сублимации, для термопечати – с низкой устойчивостью к сублимации, так как рисунок переносится на ткань с бумажной подложки в результате сублимации красителя при нагревании. При крашении в присутствии переносчика необходимы дисперсные красители с повышенной светостойкостью, так как переносчики могут ее понизить, при крашении изделий из текстурированных нитей – красители с хорошими миграционными свойствами, способностью скрывать структурную неоднородность волокна. [3]
2.1 Синтезы на основе 2,5-димеркапто – 1,3,4-тиадиазола
2,5-димеркапто – 1,3,4-тиадиазол ввиду доступности и простоты его синтеза [9] вызывает интерес в плане его структурной модификации с целью получения новых потенциально биологически активных веществ. Окисление 2,5-димеркапто – 1,3,4-тиадиазола водным раствором перманганата калия протекает только по тиольным группам, не затрагивая гетероциклический атом серы, и приводит к образованию 1,3,4-тиадиазол – 2,5-дисульфокислоты (I).

Необходимое соотношение 2,5-димеркапто – 1,3,4-тиадиазола и перманганата калия для полного окисления тиольных групп до сульфогрупп было определено методом кислотно-основного титрования и оказалось равным 1:4. при этом перманганат-ионы восстанавливаются до диоксида марганца.
Полученное соединение (I) представляет собой белое кристаллическое вещество с высокой температурой плавления, хорошо растворимое в воде. Образование 1,3,4-тиадиазол – 2,5-дисульфокислоты (I) протекает почти с количественным выходом и составляет около 98% [10].
2.2 Синтез производных аминотиадиазолов
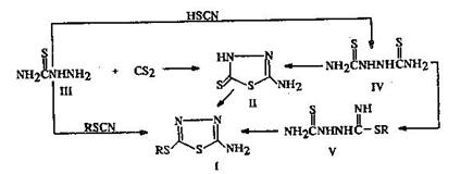
Методы получения производных 2-амино-5-алкилтио – 1,3,4-тиадиазолов (I) основаны на реакции алкилирования щелочных солей 2-амино-5-меркапто – 1,3,4-тиадиазолов, получаемых из 2-амино – 1,3,4-тиадиазолин-5 (4) – тиона (II). Практически этим путем синтезированы почти все известные соединения (I). Отмечено, что N, N’ – дитиокарбамоилгидразин (IV) при алкилировании диалкилсульфатами через алкилтиоэфиры (V) может быть превращен в соединения (I) [11]. Нами установлено, что алкил (аралкил) тиоционаты в среде полифосфорной кислоты при 90–100°С реагируют с тиосемикарбазидом (III) с образованием производных аминотиадиазолов (I).

2.3 Красители на основе 2-амино-5-меркапто – 1,3,4-тиадиазолов
Некоторые новые гетероциклические моноазокрасители, синтезированные на основе 2-амино-5-меркапто – 1,3,4-тиадиазола с различными N-фенилакриламидными производными, используются для окрашивания полиэфирных тканей [12].
Красители охарактеризованы данными электронных спектров в ИК и видимой области. Эти красители были найдены от коричнево-оранжевого до красно-розовых оттенков в окраске с хорошей глубиной. Окрашенные ткани показали себя очень хорошо со стороны прочности к стирке, трению, поту.
Аминотиадиазолы были одними из первых гетероциклических диазокомпонентов дисперсных красителей, которые описаны в патентной литературе [13]. Такие гетероциклические амины были использованы для получения красителей, которые дают ярко-красные оттенки на полиэфирной ткани. За последние два десятилетия вырос интерес в области новых тиадиазольных красителей [14–23].
Целью курсовой работы является получение дисперсных красителей на основе 2-амино-5-меркапто – 1,3,4-тиадиазола по следующей общей схеме:

2-Амино-5-меркапто – 1,3,4-тиадиазол, используемый в качестве диазосоставляющей, получали следующим образом:
1) реакция тиосемикарбазида с сероуглеродом
![]()

2) кислотная циклизация N, N'-дитиокарбамоилгидразина
![]()

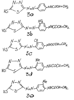
Шесть новых моноазо красителей были получены диазотированием 2-амино-5-меркапто – 1,3,4-тиадиазола 1 , и в последующем азосочетанием с различными N-фенилакриламидами 2а-е . Диазотирование проводили в концентрированных кислотах, так как гидролиз соли диазония происходит в разбавленных кислотах. Использовали концентрированную Н2 SO4 в смеси с ледяной уксусной кислотой, а также нитрозилсерную кислоту (NOHSO4 ). Аминосоединения 1 были успешно диазотированы при 0–5 °С нитрозилсерной кислотой в уксусной кислоте. Конец точки диазотирования определяли на наличие избытка азотной кислоты по йодкрахмальной бумаге. Раствор соли диазония сразу же использовали в реакции азосочетания с N-арилациламидами, так как он при стоянии разлагается даже на холоду. В результате получали хорошие красители 3а-е с выходом 68–85%:

Чистота красителей была оценена методом ТСХ с использованием AcOEt-бензола (1:4) в качестве элюента на пластинах «Silyfol». Данные Rf приведены в таблице 1. Видимые адсорбционные максимумы λmax красителей 3a-е были зарегистрированы в концентрированной H2 SO4 и диметилформамиде (ДМФ).
Таблица 1. Характеристические данные красителей (3a-e)
| краситель |
Т. плавл. (DMF), °C |
(λmax , нм) |
Log ε |
E, % |
F, % |
Rf (AcOEt-PhH) |
Выход, % |
|
| DMF |
H2 SO4 конц |
|||||||
| 3a 3b 3c 3d 3e |
174–175 209–210 232–233 249–250 240–241 |
445 430 450 435 440 |
410 390 390 406 410 |
4.65 4.42 4.44 4.58 4.65 |
80 76 80 76 74 |
85 83 89 86 85 |
0.83 0.91 0.90 0.81 0.68 |
80 85 75 79 68 |
Таблица 2. Элементный анализ красителей (3а-е)
| краситель |
Молекулярная формула |
С |
Н |
N |
|||
| Найд, % |
Вычисл, % |
Найд, % |
Вычисл, % |
Найд, % |
Вычисл, % |
||
| 3a 3b 3c 3d 3e |
C11 H9 N5 OS2 C11 H8 N6 O3 S2 C11 H8 N5 OS2 Cl C12 H11 N5 OS2 C12 H11 N5 OS2 |
45.10 39.00 40.15 47.10 47.06 |
45.36 39.28 40.55 47.21 47.21 |
2.92 2.18 2.30 3.41 2.92 |
3.09 2.38 2.45 3.60 3.60 |
23.92 24.86 21.36 22.79 23.92 |
24.05 25.00 21.50 22.95 22.95 |
Значения логарифмов молярного коэффициента экстинкции красителей 3a-е были в диапазоне 4,42–4,65 в соответствии с их высокой интенсивностью поглощения.
ИК-спектры красителей показывают характерные полосы около 2960–3010, 1580–1610 и 1500 см-1
в связи с ароматическими валентными колебаниями фенильного кольца, полосы 600–660 и 675–700 см-1
(CSH растяжения), 1070 (CN растяжение), 1200 (NHCOCH = СН2
группа) и 1435 см-1
(SC растяжение). Полосы 800–870, 960–990, 870–900 см-1
обусловлены изгибом CH группы вне плоскости. Азо группа (N = N) указывает валентные колебания на 1540–1560 см-1
. Две сильные полосы, наблюдаемые в 1650–1690 см-1
, относятся к валентным колебаниям C=O группы. Валентные колебания амидной группировки NH наблюдалась около 3275–3350 см-1
. Полоса 1320–1350 см-1
связана с симметричным растяжением NO2
группы. Полосы 620–685 и 1385–1450 см-1
связаны с C-C1 и C-СН3
валентными колебаниями соответственно.
Все краски были применены в 2% глубине на полиэфирной ткани, как дисперсные красители. Окрашивающие свойства красителей приведены в таблице 3.
Таблица 3. Окрашивание и свойства прочности красителей (3а-е) на полиэфирных тканях
| краситель |
Оттенок на полиэфирной ткани |
Свойства прочности |
||||||
| свет |
мытье |
Прочность к поту |
возгонка |
Протирка прочности |
||||
| кислота |
щелочь |
Сухая |
влажная |
|||||
| 3a 3b 3c 3d 3e |
Светло-оранжевый Коричневый Красновато-розовый Яркий красно-розовый Красно-коричневый |
4–5 3–4 4–3 4–3 3–4 |
5 5 5 5 4–5 |
5 5 4–5 4–5 5–4 |
5 5 5 5 5 |
5 5 4–5 5 5 |
5–4 5 5 5 5 |
5 5–4 5 5 5 |
Эти красители дали узкий диапазон цветов, варьирующийся от оранжевого до розового с отличной яркостью и глубиной на тканях. Окрашенные ткани имеет хорошие (3–4) и превосходные (5) оттенки.
Полученные результаты свидетельствуют о том, что крашение полиэфирных тканей с дисперсными красителями тиадиазольного ряда могут оказаться перспективными для практического использования, в основном за счет доступности веществ, использованных в синтезе красителей.
Акриламид
1. Гидролизом акрилонитрила 84,5%-ной H2 SO4 при 80–100 °С в присутствии ингибиторов полимеризации (соли Си или Fe, сера, фенотиазин и др.). Образовавшуюся сернокислую соль акриламида нейтрализуют стехиометрическим количеством NH3 или известковым молоком.
2. Каталитическим гидролизом акрилонитрила при 80–120 °С в присутствии медных катализаторов (медь Ренея, Cu/Cr2 O3 , Cu/Al2 O3 -SiO2 или др.). Степень превращения акрилонитрила 98,5%. Основная примесь-гидроксипропионитрил (до 0,1%). Этот способ производства предпочтительнее, чем сернокислотный, в экономическом и экологическом отношении.
Все точки плавления определяли по капиллярному методу. Видимые спектры поглощения были измерены в спектрометре Carl Zeiss UV/VIS Specord. Элементный анализ был проведен на Perkin-Elmer 240 элементным анализатором. ИК-спектры были записаны в гранулы KBr на спектрометр Perkin-Elmer 983. Растворители и реагенты были получены из коммерческих источников. Они были дополнительно очищены по стандартной методике [24]. Диазо компонента 1 была подготовлена так, как сообщалось в литературе [25]. Соединение компонентов 2а-е были получены методом, описанный в литературе [26]. Все краски наносились на полиэфирные ткани, приняв общий метод окраски [27]. Устойчивость к свету, сублимация, и другие свойства были оценены в соответствии с BS [28].
2 – (N-фенилакриламидо) азо-5-меркапто – 1,3,4-тиадиазол (3а ).
Синтез соединения 3a включает два этапа:
а) диазотирование 2-амино-5-меркапто – 1,3,4-тиадиазола (1 ). Соединения 1 были диазотированы общим методом, как в литературе [18].
б) азосочетание с N-фенилакриламидом (2а ). Компонент 2а (2,94 г., 0,02 моль) растворяют в 10 мл уксусной кислоты и охлаждается до 0–5 °С в ледяной ванне. Свежеприготовленный раствор соли диазония был добавлен в 0–5 °C достаточно медленно, чтобы предотвратить разложение соли диазония. Реакционную смесь перемешивали при 0–5 °С в течение 45 минут, поддерживая рН 4,5–5,0, добавив 10% раствор ацетата натрия (AcONa). Смесь перемешивали в дальнейшем при 0–5 °С в течение 1 ч, затем разбавляют 100 мл воды, твердый продукт отфильтровывали, промывали водой и, наконец, перенесли в сушильный шкаф, где продукт сушили при температуре 50 °C. Полученный таким образом сырой продукт перекристаллизовывали из минимального количества DMF, обеспечивая 3a , как коричневый порошок.
Аналогично были получены другие красители 3b-е . Характеристика данных красителей 3а-е приведены в таблицах 1 и 2.
1. Приведен литературный обзор по дисперсным красителям, их группировкам и технологии крашения этими красителями.
2. Полученный 2-амино-5-меркапто – 1,3,4-тиадиазол использован в качестве диазосоставляющей в синтезе гетероциклических азокрасителей.
3. Полученные азокрасители охарактеризованы данными элементного анализа, электронных спектров в ИК- и видимой области и другими спектральными данными.
1. Коган И.М., Химия красителей, 3 изд., М., 1956.
2. Степанов Б.И., Введение в химию и технологию органических красителей, М., 1971.
3. Чекалин М.А., Пассет Б.В., Иоффе Б.А., Технология органических красителей и промежуточных продуктов, Л., 1972.
4. Умаров Б.Б., Ишанходжаева М.М., Хусенов К.Ш. и др. // ЖОрХ. 1999. Т. 35. №4. С. 624–627.
5. Лабанаускас Л., Кальцас В., Удренайте Э. и др. // Междунар. конф. «Химия и биологическая активность азотистых гетероциклов и алкалоидов». Москва, 9–12 окт. 2001 г. М., 2001. Т. 2. С. 181.
6. Салимов Т.М., Куканиев М.А. Сатторов И.Т., Осимов Д.М. // Хим.-фарм. журн. 2005. Т.39. №6. С. 2829.
7. Houbin W., Shukui J., Shufen M., Zhaohai Q. // J. China Agr. Unw. 2004. Т. 9. №1. С. 63–66.
8. Vullo D., Franohi M., Gallori E. и др. // Ж. Мед. Хим. 2004. Т. 47. №5. С. 1272–1279.
9. Арбузов Б.А., Ухватова Э.Н. // ЖОХ. 1959. Т. 29. №2. С. 503–506.
10. Животова Т.С., Газалиев А.М., Дрюк О.В., Сейтембетова А.Ж. Синтез и антиоксидантная активность в ряду алкалоид(амино) содержащих солей 1,3,4-тиадиазол – 2,5-дисульфокислоты. // ЖПХ. 2008. Т.81. Вып. 2. С. 270–273.
11. Шукуров С.Ш., Куканиев М.А. Новый способ синтеза 2-амино-5-алкил (аралкил) тио – 1,3,4-тиадиазолов. // ЖОрХ. 1993. Т. 29. Вып. 11. С. 2327.
12. Hari R. Maradiya. Дисперсные красители на основе 2-амино-5-меркапто – 1,3,4-тиадиазолов. // ХГС. 2009. №10. С. 1558–1563.
13. O. Annen, R. Egli, R. Hasler, B. Henzi, H. Jakob, P. Matzinger, Rev. Progr.
Coloration Relat. Top, 17, 72 (1987).
14. A. Arcoria, M.R. De Giorgi, F. Futuzzo, M.L. Logo, Dyes and Pigment, 21, 67 (1993).
15. T.R. Desai, K.R. Desai, Indian J. Fiber Text. Res., 23, 185 (1998).
16. M.R. De Giorgi, R. Carpignano, A., Cerniani, Dyes and Pigment, 37, 187 (1998).
17. D.W. Rangnekar, V.R. Kanetkar, G.S. Shankarling, J.V. Malankar, J. Heterocycl. Chem., 36, 95 (1999).
18. H.R. Maradiya, V.S. Patel, Int. J. Polym. Matter, 48, 99 (2000).
19. H.R. Maradiya, V.S. Patel, Fiber and Polymer, 2, 212 (2001).
20. H.R. Maradiya, V.S. Patel, /. Text. Association, 62, 25 (2001).
21. H.R. Maradiya, V.S. Patel, Intern. J. Polymer Anal. Charact., 1, 314 (2002).
22. H.R. Maradiya, V.S. Patel, Polym.-Plast. Technol. Eng., 41,735 (2002).
23. H.R. Maradiya, V.S. Patel, J. Serb. Chem. Soc., 67, 709 (2002).
24. D.D. Perrin, W.L.F. Armarego, D.R. Perrin, Purification of Laboratory Chemicals, Pegamon Press, New York, 1980.
25. C.-Y. Chang, S.-Y. Yang, K.-C. Cheng, J. Selmiciu, H.-H. Lei, Yao Hsueh Hsueh Pao, 6, 351 (1958); Chem. Abstr., 54 (1960) 513.
26. C.E. Schildknecht, Vinyl and Related Polymers, John Willey and Sons, New York, 1986.
27. H.R. Maradiya, V.S. Patel, Adv. Color Sci. Tech., 7, 29 (2004).
28. H.R. Maradiya, V.S. Patel, Bull. Chem. Technol. Macedonia, 20, 51 (2001).