| Скачать .docx |
Реферат: Понятие флавоноидов
Оглавление
I. Введение..................................................................................................................................... 3
II.Классификация.......................................................................................................................... 4
III. Физико-химические свойства. ............................................................................................. 9
IV. Распространение в растительном мире.............................................................................. 10
V. Локализация по органам и тканям....................................................................................... 10
VI. Роль флавоноидов в жизнедеятельности растительного организма............................... 12
VII. Влияние онтогенетических факторов и условий среды на накопление флавоноидов в растениях. ....................................................................................................................................................... 13
VIII. Сбор, сушка и хранение ЛРС, содержащего флавоноиды. ......................................... 13
IX. Методы выделения............................................................................................................... 14
X. Методы анализа...................................................................................................................... 17
Качественное определение..................................................................................................... 17
1.Цветные реакции.............................................................................................................. 17
2. Реакции осаждения......................................................................................................... 19
3. Хроматография................................................................................................................ 20
Количественное определение................................................................................................ 20
XI. Применение флавоноидов в медецине и других отрослях народного хозяйства......... 21
XII. Заключение.......................................................................................................................... 26
Литература................................................................................................................................... 29
I. Введение
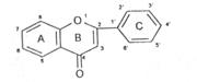
Флавоноидами называется группа фенольных соединений с двумя ароматическими кольцами, объединенных общим структурным составом С6-С3-С6. Первое бензольное кольцо, конденсированное в большинстве классов с кислородосодержащим гетероциклом С или непосредственно прилежащее к карбонильной группе пропанового фрагмента, как в халконах, обозначают буквой А, а боковой фенильный заместитель - буквой В латинского алфавита. Исходя из такого обозначения, порядок нумерации в гетероциклических флавоноидах начинается с гетероатома с переходом на кольцо А, а в кольце В порядок нумерации автономный и начинается с углерода, связанного с остальной частью молекулы [3].
Большинство флавоноидов можно рассматривать как производные хромона (бензо-γ-пирон) [6].


Под термином флавоноиды (от лат. flavus - желтый, так как первые выделенные из растений флавоноиды имели желтую окраску, позднее установлено, что многие из них бесцветны) объединены различные соединения, генетически связанные друг с другом, но обладающие различным фармакологическим действием [7].
Изучение флавоноидов относится к началу XIX в., когда в 1814 г. Шевроле выделил из коры особого вида дуба кристаллическое вещество, названное кверцетрином. Спустя 40 лет Риганд установил гликозидный характер этого вещества и агликон назвал кверцетином. В 1842 г. Вайс сообщил о выделении рутина из Rutagraveolens. Впервые в 1864 г. в индивидуальном виде был получен хризин из тополя; строение его было подтверждено в 1898 г. Косанецким путем синтеза метилового эфира хорацетофенона с этиловым эфиром бензойной кислоты [5]. В 1903 г. Валяшко установил строение рутина. Систематическое изучение строения природных флавоноидов многие годы проводили польские химики. Большую работу по изучению антоцианов провел Вильштеттер. Исследованиями катехинов занимались А. Л. Курсанов, М. Н. Запраметов, К. Фрейденберг и др. Интерес к флавоноидным соединениям особенно возрос в 40-е годы нашего столетия: флавоноиды привлекают внимание ученых разносторонней биологической активностью и чрезвычайно низкой токсичностью. После 1970 г. выделено свыше 1400 соединений, относящихся к флавоноидам. Перспективным направлением является поиск биологически активных соединений группы ксантонов - близких по строению к флавоноидам [7].
II.Классификация
В зависимости от степени окисления и гидроксилирования пропанового скелета С6-С3-С6 , положения фенильного радикала и величины гетероцикла флавоноиды делятся на несколько групп:
I. Собственно флавоноиды (эуфлавоноиды) с боковым фенильным радикалом у С2.
II. Изофлавоноиды с фенильным радикалом у С3.
III. Неофлавоноиды с фенильным радикалом у С4.
IV. Бифлавоноиды.
I . Собственно флавоноиды
К этой подгруппе относятся:
1) производные флавана (2 фенилхромана):



|
|

![]()
2) производные флавона (2 фенилхромона):


ФЛАВОН ФЛАВОНОЛ


ФЛАВОНОН ФЛАВОНОНОЛ
3) флавоноиды с раскрытым пироновым кольцом:


ХАЛКОН ДИГИДРОХАЛКОН
4) ауроны:
АУРОН
II . Изофлавоноиды
с фенильным радикалом в положении 3:

ИЗОФЛАВАН ИЗОФЛАВОН ИЗОФЛАВОНОН и др.
III . Неофлавоноиды с фенильным радикалом у С4

4-БЕНЗОКУМАРИН 4-БЕНЗОХРОМАН (неофлаван)
IV . Бифлавоноиды –
димерные соединения, состоящие из связанных С-С
связью флавонов, флавононов и др.
БИФЛАВОН
В растениях флавоноидные соединения, кроме катехинов и лейкоантоцианов, сравнительно редко встречаются в свободном состоянии. Подавляющее большинство их представлено в виде разнообразных гликозидов. Многообразие флавоноидных гликозидов обусловлено значительным набором сахаров и возможностями присоединения их в ряде положений, а также тем, что сахара могут иметь различную величину окисных циклов, конфигурацию гликозидных связей порядок сочетаний между ними. Причём такие сложные смеси часто встречаются в одном и том же растительном материале.
В качестве углеводной части могут быть моно-, ди- и трисахариды. Моносахаридами являются обычные для растений сахара: D-глюкоза, D-галактоза, D-ксилоза, L-рамноза и др. В некоторых случаях встречаются специфические дисахариды: рутиноза (рамноза и глюкоза), софороза (2 молекулы глюкозы).
Сахара могут присоединяться к агликону в 3, 7, 3', 4' и др. положениях. Для флавоноидов характерно гидроксилирование. Оно возможно почти во всех положениях. У некоторых флавоноидов гидроксилы метилированы.
Все известные флавоноидные гликозиды разделяются на следующие группы [2].
Основную группу флавоноидов составляют О-гликозиды, в которых сахара cвязаны с агликоном полуацетальной связью через атом кислорода. О-гликозиды в зависимости от количества сахаров, положения и порядка присоединения делятся на моногликозиды, биозиды, дигликозиды и смешанные гликозиды.
Вторую группу составляют С-гликозиды или гликофлавоноиды, которые можно подразделить на С-моногликозиды, С-дигликозиды, С-О-дигликозиды, С-О-биозиды. В гликофлавоноидах углеводные заместители связаны с агликоном через углеродный атом в 6 или 8-м положении.
К третьей группе флавоноидных гликозидов относятся так называемые комплексные соединения.Они представляют собой ацилированные гликозиды различных групп и в зависимости от положения ацильного заместителя делятся на гликозиды депсиноидного типа и гликозиды со сложноэфирной связью в сахарных заместителях. Из кислот, выделенных из комплексных гликозидов, идентифицированы бензойная, n-оксибензойная, кофейная, уксусная, пропионовая, n-оксикоричная и другие кислоты [3].
К флавоноидам относятся производные халкона, катехины, антоцианидины, ауроны. Катехины относятся к полифенолам, входят в состав конденсированных дубильных веществ. Катехины представляют собой наиболее восстановленные флавоноидные соединения. Многие красные и синие окраски цветков с различными оттенками обусловлены присутствием антоцианидинов. В зависимости от рН среды окраска цветков меняется. В кислотной среде они образуют розовую, красную окраску, в щелочной среде - от голубой до синей с разными оттенками. Ауроны имеют разнообразную структуру. Они встречаются в растениях семейства астровых. В растениях присутствуют в форме гликозидов [7].
III. Физико-химические свойства.
Флавоноиды являются кристаллическими веществами с определенной температурой плавления, без запаха, имеющие жёлтый (флавоны, флавонолы, халконы и др.), бесцветные (изофлавоны, катехины, флаваноны и др.), а также окрашенные в красный или синий цвет в зависимости от ρН среды (антоцианы) [6]. В кислой среде они имеют красный цвет (соли катионов), в щелочной – синий (соли анионов)[2].
Агликоны флавоноидов, как правило, растворимы в ацетоне, спиртах, органических растворителях и нерастворимы в воде. Гликозиды плохо растворимы в воде, за исключением гликозидов, имеющих в своей молекуле более трёх остатков сахара, не растворимы в органических растворителях (эфире и хлороформе).
Флавоноидные гликозиды обладают оптической активностью, для них характерна способность к кислотному и ферментативному гидролизу. Скорость гидролиза и условия его проведения различны для различных групп флавоноидов [6].
О-гликозиды при действии разбавленных минеральных кислот и ферментов легко гидролизуются до агликона и углеводного остатка. С-гликозиды с трудом расщепляются под действием концентрированных кислот (HCl или СН3 СООН) или их смесей при длительном нагревании [2].
Под влиянием света и щелочей легко окисляются, изомеризуются, разрушаются. При нагревании до температуры 200°С эти соединения возгоняются, а при более высокой температуре разрушаются [3].
IV . Распространение в растительном мире.
Флавоноиды широко распространены в растительном мире. Более того, многие семейства характеризуются исключительным многообразием типов флавоноидных соединений, синтезируемых в их представителях [5].
Около 40% флавоноидов приходится на группу производных флавонола, несколько меньше – флавона, значительно реже встречаются флаваноны, халконы, ауроны [6].
Особенно богаты флавоноидами высшие растения семейств:
· Розоцветные (Rosacea) (различные виды боярышников, черноплодная рябина);
· Бобовые (Fabaceae) (софора японская, стальник полевой, солодка);
· Гречишные (Polygonaceae) (различные виды горцев - перечный, почечуйный, птичий; гречиха);
· Астровые (Asteraceae) (бессмертник песчаный, сушеница топяная, пижма);
· Яснотковые (Lamiaceae) (пустырник сердечный);
· Сельдерейные (Apiaceae) (володушка многожильчатая);
· Рутовые (Rutaceae) (бархат, рута душистая)
Более часто флавоноиды встречаются в тропических и альпийских растениях. Обнаружены и у низших растений: зеленые водоросли (ряски), споровые (мхи, папоротники), хвощи (хвощ полевой), а также у некоторых насекомых (мраморно-белая бабочка) [7].
V. Локализация по органам и тканям.
В растениях флавоноиды локализуются в различных органах, но чаще в надземных: цветках, обуславливая окраску лепестков(бессмертник песчаный, василек синий, пижма обыкновенная); в траве(фиалка, чистец, рута, горец), плодах(боярышник, софора японская); значительно меньше их в стеблях и подземных органах (солодка, шлемник байкальский, стальник полевой). Наиболее богаты ими молодые цветки, незрелые плоды. Локализуются в клеточном соке в растворенном виде. Содержание флавоноидов в растениях различно: в среднем 0,5-5%, иногда достигает 30% (в цветках софоры японской) [энт].
В клетках растений флавоноиды накапливаются в форме гликозидов, главным образом в вакуолях, а в свободном состоянии - в специальных образованиях, зачастую имеющих довольно сложное строение - смоляных и эфирномасличных ходах, канальцах, вместилищах, железках и т.д. В надземных частях растений более 85% суммы флавоноидов локализуется в клетках эпидермы и только 15% - в остальных тканях [2].
В лепестках цветков обычно находятся антоцианы, обуславливая окраску большинства алых, красных, розово-лиловых и синих цветков. В окраске желтых цветов принимают участие флавоноловые гликозиды, ауроны, и халконы, хотя наиболее важным источником этого цвета являются каротиноиды. Поскольку антоцианиды и флавонолы особенно близко связаны структурно и биогенетически, то они часто присутствуют вместе в одинаковых гликозидных структурах. С антоцианами совместно могут находиться также гликозиды флавонов, флавононов, ауронов и халконов. Очевидно, в зависимости от сочетаний этих соединений лепестки цветков приобретают разные оттенки. Гликолизирование флавоноидных пигментов цветков имеет существенное значение. С одной стороны, это состояние обеспечивает их устойчивость к свету и к действию ферментов, с другой – в форме гликозидов улучшается растворимость пигментов в клеточном соке.
В большинстве плодов основной их окраски являются также антоцианы. Широко распространены и флавоноловые гликозиды. В листьях главными являются флавоноловые гликозиды, а антоцианов в них сравнительно мало. В семенах флавоноиды могут находиться как в свободном, так и в связанном состоянии. Например, это может относиться к флавонолу кверцетину. Функция флавоноидов в семенах неясна. Высказано предположение, что они могут быть ингибиторами прорастания [5].
VI. Роль флавоноидов в жизнедеятельности растительного организма.
Биологическая роль флавоноидов в жизни растений изучена еще недостаточно.
Некоторые авторы считают, что флавоноиды принимают участие:
• в окислительно-восстановительных процессах растений;
• в выработке иммунитета;
• в защите растений от неблагоприятных воздействий ультрафиолетовых лучей и низких температур. Предполагается, что благодаря способности поглощать ультрафиолетовое излучение (330–350 нм ) и часть видимых лучей (520–560 нм )флавоноиды защищают растительные ткани от избыточной радиации. Это подтверждается локализацией флавоноидов в эпидермальных (близких к поверхности) клетках растений.
• в процессе оплодотворения высших растений;
• обуславливают огромное разнообразие окрасок цветков и плодов, что привлекает насекомых и тем самым способствуют опылению;
• некоторые флавоноиды защищают аскорбиновую кислоту от окисления (т.е. являются антиоксидантами).
· входя в состав экстрактивных веществ древесины, флавоноиды способны придавать ей особую прочность и устойчивость к поражениям патогенными грибами [2].
VII. Влияние онтогенетических факторов и условий среды на накопление флавоноидов в растениях.
- На накопление флавоноидов оказывают влияние возраст и фаза развития растения. В молодых растениях их больше; в старых растениях их количество уменьшается. Максимальное содержание флавоноидов наблюдается в цветках, листьях и травах в период бутонизации и цветения, а к фазе плодоношения содержание снижается; в плодах и семенах - в период молочной зрелости - полного созревания; в корнях - в период увядания надземной массы осенью.
- На накопление флавоноидов влияет освещенность. Содержание флавоноидов в растениях увеличивается с ростом освещенности, а степень их гидроксилирования (число -ОН групп) - с увеличением высоты над уровнем моря.
- На накопление флавоноидов влияет температура. Содержание антоцианов увеличивается при понижении температуры (покраснение листьев у щавеля), у других групп флавоноидов, наоборот, содержание увеличивается при повышении температуры [2].
VIII. Сбор, сушка и хранение ЛРС, содержащего флавоноиды.
Сбор сырья проводится в фазу наибольшего накопления флавоноидов. Заготовку надземных частей проводят в фазу бутонизации или начала цветения, подземных – в конце вегетации [2]. В фазу цветения собирают цветки василька синего, пижмы, бессмертника, траву сушеницы, горцев, пустырника. Особенностью сбора сушеницы является выдергивание растения с корнем. Пустырник собирают при цветении нижних цветков. В фазе полного цветения наступает "перезревание", чашечка твердеет и становится колючей, а сырье считается некачественным. Траву череды собирают в период бутонизации. После цветения образуются плоды - семянки с колючими остями. Сбор дикорастущего сырья производят вручную с использованием ножей, ножниц и серпов. Для сбора культивированных растений (цветки бессмертника, плоды боярышника) применяют малую механизацию [7].
Сырье необходимо сушить вскоре после сбора, т.к. флавоноидные гликозиды под влиянием ферментов в присутствии влаги легко гидролизуются на сахар и агликон, а свободные агликоны могут окисляться.
Сушить сырье следует в тени или в сушилках с искусственным и естественным обогревом. Плоды сушат при температуре 70-90°С, траву - 50-60°С; цветки - 40°С. Не допускается сушка на солнце. Медленная сушка, особенно на солнце, ведет к разрушению флавоноидов.
Сырье необходимо оберегать от влаги и прямых солнечных лучей. Сохранять в плотно укупоренной таре, в хорошо проветриваемом помещении [2].
IX. Методы выделения.
Для флавоноидов, как и для других веществ, не существует способа выделения, универсального для всех растительных материалов. В каждом конкретном случае прибегают к наиболее подходящему методу или сочетанию методов, с учётом в основном свойств веществ и особенностей растительного сырья. Наиболее часто используются избирательная экстракция, осаждение с помощью солей тяжёлых металлов и хроматографические методы [5].
Для выделения флавоноидов из растительного сырья в качестве экстрагента чаще всего используют метиловый или этиловый спирты или их смеси с водой.
Полученное спиртовое извлечение упаривают (упаривание проводят в вакууме при возможно низкой температуре (50-70º)), разбавляют горячей водой и удаляют липофильные вещества (жирные масла, смолы, хлорофилл) из водной фазы делительной воронки дихлорэтаном или четыреххлористым углеродом. После этой очистки агликоны извлекают этиловым эфиром, монозиды (в основном) этилацетатом и биозиды, триозиды – н- бутанолом, насыщенным водой.
Компоненты каждой фракции разделяют, используя колоночную хроматографию, с применением в качестве сорбента полиамида, силикагеля или целлюлозы. Элюирование веществ с колонки (агликоны) проводят смесью хлороформа с метанолом или этанолом с возрастающей концентрацией спиртов или спиртоводными смесями (гликозиды), начиная с воды и увеличивая концентрацию спирта [6].
Для отделения и очистки многих флавоноидов иногда используют их способность образовывать нерастворимые в воде и спирте соли при взаимодействии с ионами тяжелых металлов, а также влияние рН на образование таких осадков. Флавоноиды, содержащие свободные орто-гидроксильные группы в кольце В, при обработке их спиртовых растворов солями среднего или основного ацетата свинца образуют осадки, окрашенные в ярко-желтый и красный цвета. Осадки затем центрифугируют и после суспендирования в разбавленных спиртах разлагают с помощью сероводорода. Далее флавоноиды отделяют либо путем перекристаллизации, либо хроматографическими методами [5].
Для идентификации флавоноидов используют их физико-химические свойства: определение температуры плавления, определение удельного вращения гликозидов и сравнение их УФ-, ИК-, ПМР- спектров со спектрами известных образцов [6].

X. Методы анализа.
Качественное определение.
Для обнаружения флавоноидов в ЛРС используют химические реакции и хроматографию. Химические реакции подразделяются на цветные и реакции осаждения.
1.Цветные реакции.
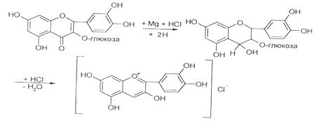
1.Цианидиновая проба.
Общей реакцией на флавоноидные соединения является цианидиновая проба, проводимая с помощью концентрированной соляной кислоты и металлического магния. Действие водорода в момент выделения приводит к восстановлению карбонильной группы и образованию ненасыщенного пиранового цикла, который под действием соляной кислоты превращается в оксониевое соединение, имеющее окраску от оранжевой (флавоны) до красно-фиолетовой (флаваноны, флавонолы, флаванонолы).
Изменение условий восстановления путем замены магния на цинк приводит к изменению окраски. При использовании цинка положительную реакцию дают флавонолы и флавонол-3-гликозиды, а флаваноны не обнаруживают ее.
Цианидиновую реакцию не обнаруживают халконы, ауроны, но при добавлении концентрированной соляной кислоты (без магния) образуют красное окрашивание за счет образования оксониевых солей [6].
Для постановки реакции 1 г порошка сырья заливают 10 мл 95% этанола, нагревают на водяной бане до кипения и настаивают 3-4 ч. Спиртовое извлечение фильтруют, упаривают до объема 2 мл, делят пополам и разливают в 2 пробирки; в каждую пробирку прибавляют по 3 капли концентрированной хлористоводородной кислоты. В 1-ю пробирку добавляют 0,03-0,05 г цинковой пыли и нагревают на водяной бане до кипения. Жидкость окрашивается в красный цвет. Во 2-й пробирке окрашивание отсутствует [7].

ЦИАНИДИНХЛОРИД
2. Борно-лимонная реакция (реакция Вильсона- Таубека).
5-оксифлавоны и 5-оксифлавонолы, взаимодействуя с борной кислотой в присутствии лимонной (реактив Вильсона), образуют желтую окраску с красноватой флюоресценцией в УФ-свете. При замене лимонной кислоты на щавелевую (реактив Таубека) в УФ-свете отмечается зеленая или желтая флюоресценция.
3. Реакция с треххлористой сурьмой.
5-оксифлавоны и 5-оксифлавонолы, взаимодействуя с треххлористой сурьмой, образуют комплексные соединения, окрашенные в желтый или желто-оранжевый цвет - флавоны, в красный или красно-фиолетовый - халконы.
4
.
Характерной реакцией на флавоноиды является их взаимодействие со
щелочами
с образованием желтой окраски. Халконы и ауроны дают со щелочами красное или ярко-желтое окрашивание, антоцианидины-синее окрашивание.
5. Флавоноиды со свободной 7-оксигруппой легко образуют азо-красители с диазотированной сулъфаниловой кислотой и другими производными ароматических аминов [6]. Появление тотчас же оранжево-красной окраски в видимом свете указывает на присутствие 7-оксифлавонов, 7-оксифлавонолов, 7-оксиизофлавонов. Появление окраски через 1-2 минуты, подтверждает наличие 7-оксифлавононов [5].
6. Ряд флавоноидов дает окрашенные комплексы с ионами алюминия, циркония, окрашенные, как правило, в УФ-свете в ярко-желтый цвет, что используется при их хроматографическом обнаружении.
7. Как все фенольные соединения, флавоноиды взаимодействуют с хлоридом окисного железа с образованием различно окрашенных комплексов (от зеленого до коричневого). Реакция мало специфична [6].
2. Реакции осаждения.
Все флавоноиды с основным ацетатом свинца образуют осадки, окрашенные в ярко-жёлтый или красный цвет.
Средним ацетатом свинца осаждаются лишь флавоноид, содержащие свободные орто-гидроксильные группы в 3’4’-положениях кольца В [2].
3. Хроматография.
Для обнаружения флавоноидов в растительном материале широко используется бумажная и тонкослойная хроматография. Флавоноиды идеально подходят для хроматографического анализа благодаря их различной растворимости, сорбционной способности, а также характерным окраскам самих веществ в видимом и фильтрованном ультрафиолетовом свете до и после проявления различными хромогенными реагентами. Обнаружение флавоноидов на хроматограммах проводят:
• по окраске пятен в видимом свете (антоцианы);
• по характеру свечения в УФ-свете: флавоны, флавонол-3-О-гликозиды, флаваноны и халконы обнаруживаются в виде темно-коричневых пятен, флавонолы и их 7-О-гликозиды – в виде желтых или желто-зеленых;
• по характеру свечения в УФ-свете после проявления 5%-ным спиртовым раствором хлорида алюминия и последующего прогревания хроматограммы при 105°С в течение 2-3 мин, наблюдают пятна флавоноидов с интенсивной желтой и желто-зеленой флуоресценцией [2].
Количественное определение.
Для количественного определения флавоноидов в растительном сырье наибольшее распространение получили физико-химические методы, прежде всего фотоколориметрия и спектрофотометрия.
1. Фотоколориметрический метод основан:
• на цветных реакциях комплексообразования с солями различных металлов (алюминия, циркония, хрома, сурьмы);
• на реакции с лимонно-борным реактивом;
• на реакции восстановления атомарным водородом в кислой
среде в присутствии металлического магния или цинка.
2. Спектрофотометрический метод, основанный на способности флавоноидов поглощать свет в УФ-области спектра.
3. Хромато-спектрофотометрический метод - более совершенный метод количественного определения флавоноидов, используется в сочетании с хроматографией, что позволяет произвести очистку и разделение суммы веществ на отдельные компоненты.
Реже используют:
4. Флюориметрический метод.
5. Полярографический метод.
6. Наличие фенольных гидроксилов, обуславливающих слабокислые свойства флавоноидов, позволяет использовать метод кислотно-основного титрования в неводных растворителях:
диметилформамиде, диметилсульфоксиде, ацетоне [2].
XI. Применение флавоноидов в медецине и других отрослях народного хозяйства.
Диапазон терапевтического применения растительного сырья, богатого флавоноидами, очень широк. Флавоноиды не токсичны для человека при любом способе введения.
Ранее других биологических свойств флавоноидов было обнаружено их сосудоукрепляющее действие. Благоприятное влияние флавоноидов на состояние капиллярной системы обычно проявляется в снижении патологически повышенной проницаемости капилляров и в устранении их ломкости и хрупкости. Именно это свойство витамина Р открывает широкие возможности для терапевтического его применения, так как повышение проницаемости и ломкости сосудов довольно часто встечается в патологии человека. Так, изменение сосудистой стенки наблюдается при ревматизме, гипертонической болезни, базедовой болезни, пневмониях и при многих инфекционных заболеваниях.
Установленно, что флавоноиды способствуют сохранению аскорбиновой кислоты в организме, приводят к её накоплению в органах, прежде всего в надпочечниках. Учитывая эти данные, флавоноиды рекомендуют больным С-гиповитаминозом в комплексе с аскорбиновой кислотой.
Кроме того, флавоноиды оказывают нормализующее влияние на лимфоток, с чем, по-видимому, согласуется их противоотечное действие.
Наряду с действием на сосуды, флавоноиды известны и как слабые кардиотонические средства: они способны урежать ритм сердечных сокращений и увеличивать их амплитуду. По другим данным, кверцетин, рутин и другие флавонолы восстанавливают силу утомленного или гиподинамического сердца, нормализуют пульс. Некоторые флавоноиды обладают слабым гипотензивным действием.
Флавоноидные соединения влияют на состав крови, снижают уровень холестерина и β-липопротеидов, что наблюдали под действием кверцетина, лютеолина и других Р-витаминных препаратов.
Одним из ценных свойств флавоноидов является их положительное влияние на функцию печени: они усиливают желчеотделение, улучшают ее детоксицирующую способность по отношению к таким веществам, как барбитураты, мышьяк. Детоксикации организма способствует свойство флавоноидов оказывать мочегонное влияние. Некоторые флавоноиды из семейства норичниковых благоприятно влияют на пищеварение, понижают тонус гладкой мускулатуры кишечника, и оказывают спазмолитическое действие при спазмах мускулатуры желудочно-кишечного тракта. Большое значение придается противовоспалительному действию флавоноидов, с чем, возможно, связаны их противоязвенное, ранозаживляющее, жаропонижающее и вяжущее действия. Привлекают внимание и антимикробные свойства флавоноидов. Так, выявлено отрицательное влияние кверцетина на граммположительных бактерий, флавонов и халконов – на стафилококка. Антимикробное действие отмечается у антоцианов.
В заключение перечня свойств флавоноидов необходимо упомянуть об их противоопухолевом, радиозащитном, также об эстрогенном действии одной из групп – изофлавонов, которые благодаря этому свойству могут воздействовать на воспроизводительную функцию организма [7].
Препараты, содержащие флавоноиды.
Препаратов, содержащих чистые флавоноиды, пока имеется немного. Чаще эти соединения находятся в растениях в комплексе с другими БАВ и используются суммарно.
Флавоноидами богаты чай, (содержит катехины, кверцетин, кверцетрин, кемпферол), цветы васильков, трава фиалки трёхцветной, плоды черники, вишни, бузины (содержат антоцианы, керацианин, цианин, вигланин), кожура цитрусовых, плоды рябины черноплодной, боярышника, цветки бессмертника (содержат флавоны, флавонолы – гесперидин, диосцин, рутин, кверцетин, апигенин), корень солодки (содержит флавононы и халконы – ликвиритин,изоликвиритин, лакризид, глаброзид).
В настоящщее время для получения препоратов широко используются следующие лекарственные растения:
· Плоды расторопши пятнистой (FructusSilybimariani) используют для производства препаратов «Легалон», «Силибор», «Гепабене». В 1969 г.из этих плодов была выделена группа флавоноидных соединений, оказывающих гепатотропное действие. Она была обозначена как силимарин. В дальнейшем из силимарина выделили три изомерных соединения: силибинин, силикристин и силидианин. Все они в той или иной степени обладают гепатопротекторной активностью. «Легалон» является суммарным препаратом, содержащим силибинин, силимарин и экстракт плодов расторопши пятнистой. Все эти препараты оказывают гепатопротекторное действие и назначаются при различных формах гепатита и цирроза печени [4].
· Из цветков пижмы (FloresTanaceti) готовят настои, которые применяют как противоглистное (аскариды, острицы) и желудочное средство. Препарат «Танацехол», включающий сумму флавоноидов и фенолкарбоновых кислот, усиливает секрецию и выделение желчи, оказывает спазмолитическое действие на желчный пузырь и желчные протоки. Пижма входит в состав желчегонных сборов и в сбор Здренко. Надземные части растения также обладают инсектицидными свойствами [6].
· Цветки бессмертника песчаного (FloresHelichrysiarenarii) используют для получения настоя, сухого экстракта, препаратов «Фламин» и «Аренарин». «Фламин»- концентрат бессмертника песчаного, содержащий сумму флавонов и применяется как желчегонное средство при хронических холециститах, гепатитах, дискинезиях желчных путей. «Аренарин» - экстракт, получаемый из соцветий бессмертника песчаного и применяемый как противовирусный препарат при химических, термических ожогах глаз и язвах роговицы [1].
· Бутоны софоры японской (FructusSophoraejaponicae) используются для получения рутина и кверцетина. Препараты применяют для профилактики и лечения гипо- и авитаминоза Р и при заболеваниях, сопровождающихся нарушением проницаемости сосудов, гемморагических диатезах, кровоизлияниях. Входит в состав препарата «Аскорутин» (смесь с аскорбиновой кислотой). Из плодов (AlabastraSophoraejaponicae) получают настойку, которая обладает ранозаживляющим действием и применяется в виде примочек и орошения при гнойных ранах, экземах, трофических язвах и ожогах [6].
· Из цветков и плодов боярышника (FloresetfructusCrataegi) получают настои, настойки и жидкий экстракт (из плодов). Применяют как кардиотоничкское средство при функциональных расстройствах сердечной деятельности, сердечной недостаточности, после перенесенных тяжелых заболеваний и при начальных формах гипертонии, ангионеврозах, бессоннице у сердечных больных. В сочетании с сердечными гликозидами терапевтический эффект достигается при значительно меньших дозах препаратов и снижается их токсическое действие [1]. Экстракт входит также в состав комплексного препарата «Кардиовален» . «Кардиплант» - стандартизованный сухой экстракт из листьев и цветков боярышника. Применяют при начальной стадии сердечной недостаточности, сопровождаюшейся быстрой утомляемостью, отдышкой и серцебиением [6].
· Из травы леспедецы копеечной (HerbaLespedezaehedysaroides) получают препараты «Хелепин», «Леспенефрил», «Леспефлан». «Хелепин» обладает противовирусным действием, эффективен при опоясывающем и простом пузырьковом лишае, ринитах, отитах, а также аденовирусном коньюнктивите [1]. «Леспенефрил» и «Леспефлан» применяют при острых и хронических нефритах, сопровождающихся гиперазотемией [4].
В отраслях народного хозяйства флавоноиды применяют в качестве красителей, пищевых антиоксидантов, дубящих веществ.
Природные флавоноиды, включающие многочисленные и разнообразные по структуре соединения, пользуются непрерывным вниманием исследователей. Интерес к этой группе соединений объясняется широким диапазоном их биологического действия, широким распространением в природе и незначительной или полным отсутствием ТОКСИЧНОС
XII. Заключение.
1. Флавоноиды - это многочисленная группа растительных фенольных соединений, в основе структуры которых лежит скелет, состоящий из двух бензольных колец (А и В), соединённых между собой трёхуглеродной цепочкой. Современная классификация их основана на степени окисленности трёхуглеродного фрагмента, положении бокового фенильного радикала, величине гетероцикла и других признаках.
2. Выделяют четыре основных класса флавоноидов: а) собственно флавоноиды (эуфлавоноиды) с боковым фенильным радикалом у С2; б) изофлавоноиды с фенильным радикалом у С3; в) неофлавоноиды с фенильным радикалом у С4; г) бифлавоноиды.
3. Большинство флавоноидов — твердые кристаллические вещества, окрашенные в желтый цвет (флавоны, флавонолы, халконы, ауроны) или бесцветные (катехины, лейкоантоцианидины, флаваноны, изофлавоны). Наиболее яркие оттенки свойственны антоцианам, которые придают растительным тканям красную, синюю или фиолетовую окраску. Гликозилированные формы, как правило, хорошо растворимы в воде, нерастворимы или малорастворимы в органических растворителях (хлороформ, эфир и др.). Агликоны хорошо растворяются в низших спиртах (метиловом и этиловом), ацетоне, этилацетате и в растворах щелочей.
4. В растительном сырье и препаратах флавоноидные соединения обнаруживают с помощью качественных реакций и методов хроматографии. Характерной реакцией на флавоноиды является цианидиновая проба (проба Шинода), основанная на восстановлении их атомарным водородом в кислой среде в присутствии Mg2.
5. Для количественного определения флавоноидов в растительном сырье и препаратах наибольшее распространение получили физико-химические методы, прежде всего спектрофотометрия и фотоколориметрия. Спектрофотометрический метод, основанный на способности флавоноидов поглощать свет в УФ-области спектра, часто используется в сочетании с хроматографией, что позволяет произвести очистку и разделение суммы веществ на отдельные компоненты.
6. Флавоноиды имеют широкий спектр действия на организм. В частности они обладают:
Гепатопротекторным действием – препараты «Легалон», «Силибор», «Гепабене»;
Капилляроукрепляющим действием или Р-витаминной активностью - катехины чая, «Рутин», «Аскорутин», «Кверцетин» (из софоры японской);
Кардиотопическим действием - настойка боярышника, «Кардиовален», «Кардиплант»;
Гипотензивным действием - настойка пустырника, настой сушеницы топяной;
Седативным действием - настойка пустырника;
Противовоспалительным действием, способствуя заживлению язв и эрозий. Такие препараты, как «Ликвиритон», «Флакарбин», (из солодки), применяются как противоязвенные средства;
Желчегонным действием - препараты "Фламин", экстракт бессмертника сухой, "Танацехол" (из пижмы), "Конвафлавин" (из ландыша), "Флакумин" (из скумпии);
Мочегонным действием - флавоноиды хвоща полевого, шлемника байкальского;
Гипоазотемической активностью обладают "Леспенефрил" (из леспедецы головчатой) и "Леспефлан" (из леспедецы двухцветной), которые применяются при почечной недостаточности;
Противовирусной активностью - флавоноиды ивы остролистной (лютеолин-7-гликозид), препараты «Аренарин», «Хелепин»;
Противоопухолевой активностью обладаютлейкоантоцианидины, кверцетин и др. (однако противоопухолевая активность флавоноидов умеренная, поэтому они не находят широкого применения в онкологии);
Спазмолитической активностью. На основе лютеолина и кверцетина за рубежом запатентованы препараты спазмолитического действия. Спазмолитическое действие присуще кемпферолу, рутину, изо-рамнетину и другим флавоноидным соединениям. Как правило, наибольшую активность проявляют агликоны [1];
Литература
1. 1 .Блинова К.Ф. Растения для нас – «Учебная книга» -
2. 2 .Коноплева М.М. Фармокогнозия: природные биологически активные вещества
3. Биохемилюминесценция / Под ред. А.И. Журавлева. – М.: Наука, 1983. – 345с.
4. Исследование синтетических и природных антиоксидантов in vitro и in vivo. / Сборник науч. статей – М.: Наука, 1992. – 110 с.
5. Беляков В.А., Васильев Р.Ф., Федорова Г.Ф. Кинетика жидко (разного окисления дифенилметана при умеренных температурах // Кинетика и катализ. – 1996. – Т.37, №4. – С.542–552.
6. Васильев Р.Ф., Вичутинский А.А., Черкасов А.С. Хемилгомипесценция, активированная производными антрацена // Доклады АН СССР. – 1963. – Т. 149, № 1.– С. 124–127.
7. Беляков В.А., Васильев Р.Ф., Федорова Г.Ф. О переносе энергии с химически возбуждаемых карбонильных соединений на производные антрацена и кислород // Известия АН СССР, серия физическая. – 1973. – Т.37, №4. – С.747–752.
8. Теселкин Ю.О., Бабенкова И.В., Любицкий О.Б., Клебанов Г.И., Владимиров Ю.А. Ингибирование сывороточными аптиоксидантами окисления люминола в присутствии гемоглобина и пероксида водорода // Вопросы медицинской химии. – 1997. – Т.43, №2. – С. 87–92.
9. Навас M.X., Хименец А.М., Асуэро А. Г. Определение восстановительной способности настоек семени Канарского канареечника методом хемилюминесценции // Журнал аналитической химии. – 2004. – Т.59, №1. – С. 84–86.