| Скачать .docx |
Курсовая работа: Анализ технологического процесса схемы переэтерификации диметилового эфира цианоэтилфосфоновой
СОДЕРЖАНИЕ
1.Информационный поиск
2. Концептуальное описание схемы переэтерификации диметилового эфира β-цианоэтилфосфоновой кислоты моноэтиленгликоль (мет) акрилатом
3. Конструктивно-функциональный анализ лабораторного реактора для проведения переэтерификации диметилового эфира β-цианоэтилфосфоновой кислоты моноэтиленгликоль(мет)акрилатом
4. Функционально-физический анализ ТО
5. Анализ технологического процесса переэтерификации диметилового эфира β-цианоэтилфосфоновой кислоты моноэтиленгликоль(мет)акрилатом
6. Постановка задачи поиска нового технического решения
7.Синтез с помощью эвристических приемов
8. Морфологический анализ процесса и аппарата для проведения переэтерификации
9. Морфологический синтез
Выводы
История развития человечества - это прежде всего история изобретения, создания и совершенствования различных изделий и технологий, другими словами - процесса инженерного творчества (ИТ). Результатами ИТ чаще всего являются новые, более совершенные и эффективные технические объекты и технологии.
Техническим объектом (ТО) называется созданное человеком или автоматом реально существующее устройство, предназначенное для удовлетворения определенной потребности.
Каждый ТО может быть представлен определенным иерархически соподчиненными описаниями. На самой нижней ступени данной иерархической структуры стоит потребность, или функция ТО. Это понятие должно рассматриваться достаточно подробно, иначе ошибка на уровне постановки потребности может привести к созданию невостребованного технического проекта.
Выявление потребности в ТО.
Потребность- общепринятое и краткое описание на естественном языке назначения ТО или цели его создания. При описании потребности отвечают на вопрос о том, какой результат желают получить, каким особым условиям и ограничениям при этом нужно удовлетворить.
Можно ответить на этот вопрос с позиции темы магистерской диссертации: «Синтез фосфорсодержащих метакрилатов на основе диметилового эфира β-цианоэтилфосфоновой кислоты».
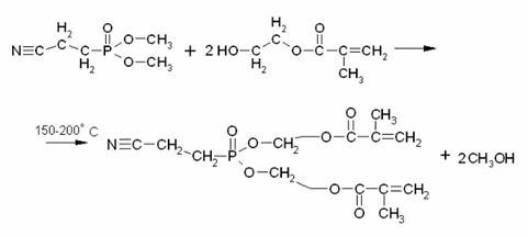
В настоящее время актуальной является задача получения полимеров с пониженной горючестью, перспективных для применения в строительстве, технике и прочих отраслях, а также “оптимальный” синтез таких соединений. В магистерской диссертации рассматривается способ получения мономеров для получения таких полимеров, а именно переэтерификацией диметилового эфира β-циано-этилфосфоновой кислоты моноэтиленгликольметакрилатом .
Описание любой потребности формализованно можно представить в виде трех компонентов:
![]()
где D –указание действия, производимого рассматриваемым ТО и приводящего к желаемому результату, т.е. к удовлетворению (реализации) интересующей потребности; G – указание объекта, на который направлено действие D , H - указание особых условий и ограничений, при которых выполняется действие D .
Представим это в таблице:
Таблица 1 Описание потребности в рассматриваемом ТО
| Наименование ТО |
D |
G |
H |
| Мономеры и полимеры с пониженной горючестью |
Снижение горючести полимерных материалов |
Горючие полимеры |
Внедрение фосфора в структуру полимеров |
Для получения сведений о данном техническом решении и об его аналогах был произведен информационный поиск, который позволил получить сведения о новейших достижениях в требуемой предметной области и исключить дублирование исследований и разработок. На его основании можно сделать вывод о том, что все предыдущие исследования были посвящены реакциям фосфорилирования других органических веществ.
Таким образом, поставленная цель исследования и синтеза фосфорсодержащих метакрилатов на основе диметилового эфира β-цианоэтилфосфоновой кислоты является актуальной и востребованной.
При выполнении научно-технических разработок и исследований составной частью деятельности любого инженера и ученого является поиск и обработка источников информации.
Чтобы создавать новые, на уровне мировых образцов изделия, нужно быть на переднем крае науки и техники, профессионально владеть информацией в области своей специализации, быть информированным в смежных областях.
Фактически требуемая и полезная для решения конкретной инженерной задачи информация получается в результате работы огромного количества специалистов из различных областей знания, она рассеяна по множеству источников, непрерывно пополняется и корректируется. Качественно выполненный информационный поиск позволяет вооружить инженера новейшими достижениями в требуемой предметной области.
Наиболее характерным в деятельности инженера является тематический информационный поиск, который включает в себя в качестве элементов документальный и фактографический поиск, а также аналитическую переработку полученной информации.
Информационный поиск предполагает решение следующих задач:
1. выявление информационной потребности;
2. постановка задачи поиска информации;
3. поиск источников информации;
4. выбор информации из источников;
5. переработка информации к виду, удобному для использования при решении его основной научно-технической задачи.
Составной частью информационного поиска является проведение патентных исследований.
Целью патентных исследований является получение исходных данных для обеспечения высокого технического уровня и конкурентноспособности объекта техники, использование современных научно-технических достижений, исключение неоправданного дублирования исследований и разработок
Таблица 2 Основные параметры регламента поиска
| Предмет поиска |
Цель поиска информации |
Страна поиска |
УДК |
МКИ, НКИ |
Ретроспективность поиска |
Наименование источников, по которым проводится поиск |
| Фосфорсодержащие акрилаты и другие фосфорсодержащие мономеры |
Поиск методов синтеза фосфорсодержащих мономеров |
США |
C07C103/79 C07C101/00 C07C101/72 C07C049/76 C07C049/84 A01N009/24 C07C049/44 |
http:/patft.uspto. gov-американская патентная база |
Таблица 3 Патентная документация, отобранная для анализа
| Предмет поиска |
Страна выдачи, вид и номер охранного документа, классификационный индекс |
Заявитель с указанием страны, номер заявки, дата публикации |
Сущность заявленного технического решения и цели его создания |
Сведения о действии охранного документа или причина аннулирования |
| Фосфорсодержащие акрилаты и другие фосфорсодержащие мономеры |
США США США США |
Valdiserri; Leo L.; Belpre; Номер патента- 298967 Дата публикации- 15 Mar 1983 E.N. Allen, Faesingers R.F. Номер патента-3969440 Дата публикации- 13 дек. 1977 H.Y. Coover Номер патента-2790823 Дата публикации- 5 авг. 1960 Steckler Robert Номер патента-3855364 Дата публикации- 15 окт. 1975 |
Получение фосфорсодержащих изоцианатных олигомеров Фосфорсодержащие акриловые эфиры и амиды Акриловые эфиры, содержащие фосфонамидную группу Фосфатные эфиры гидроксиалкилакрилатов и гидроксиалкил метакрилатов |
2. Концептуальное описание схемы переэтерификации диметилового эфира β-цианоэтилфосфоновой кислоты моноэтиленгликоль(мет)акрилатом
В колбу Кляйзена, снабженную водяным холодильником, помещают диметилового эфира β-цианоэтилфосфоновой кислоты. Добавляют моноэтиленгликольметакрилат (МЭГ), а также около 1 % гидрохинона для ингибирования реакции полимеризации МЭГа. Нагревают силиконовую баню до ~150°С и выдерживают эту температуру в течение 5-6 часов.
По мере протекания реакции переэтерификации, проходя через водяной холодильник, конденсируются пары метанола, который собирается в приемник.

В качестве побочной может выступать реакция самопроизвольной полимеризации МЭГ при повышенных температурах:


Рис.1 Лабораторный реактор для проведения переэтерификации диметилового эфира β-цианоэтилфосфоновой кислоты моноэтиленгликоль(мет)акрилатом
КФА выполняется в 3 стадии:
· Вначале выбранный для анализа технический объект декомпозируется на отдельные элементы, в зависимости от потребности задачи и с учетом системных свойств объекта;
· На второй стадии для каждого элемента формулируется одна или несколько функций, также в зависимости от проектной ситуации;
· На третьей стадии результаты анализа для наглядного представления изображаются графически.
Таблица 4 КФА лабораторного реактора для проведения переэтерификации
| Элемент ТО |
Функция элемента |
||
| Обозн. |
Наименование |
Обозначение |
Описание (D,G,H) |
| Е0 |
Колба Кляйзена |
Ф00 |
Создает объем для проведения химического взаимодействия |
| Ф01 |
Передает тепло от теплоносителя к реакционной массе |
||
| Ф02 |
Передает воздействие массы емкости с реакционной смесью V1 на стол |
||
| Е1 |
Водяной холодильник |
Ф11 |
Создает пространство для циркуляции теплоносителя (воды) |
| Ф12 |
Предотвращает “унос” реакционной массы из реактора |
||
| Е2 |
Горло для ввода сырья |
Ф21 |
Подводит реакционную массу из окружающей среды в реактор |
| Е3 |
Горло для вывода реакционной массы |
Ф31 |
Выводит реакционную массу в приемник |
| Е4 |
Горло реактора для установки холодильника |
Ф41 |
Служит “соединительным звеном” реактора и холодильника |
| Е5 |
Электроплитка |
Ф51 |
Создает пространство для установки нагревательной бани |
| Ф52 |
Передает тепло от электроплитки к нагревательной бане |
||
| Е6 |
Нагревательная баня |
Ф61 |
Создает пространство для лабораторного реактора |
| Ф62 |
Передает тепло от нагревательного устройства к реактору |
||
| Ф63 |
Равномерное распределение тепла, передаваемого к реактору |
||
| Е7 |
Патрубок для входа теплоносителя (воды) |
Ф71 |
Подводит теплоноситель из окр. среды к холодильнику (Е1) |
| Ф72 |
Рассредоточивает теплоноситель (воду) в холодильнике (Е1) |
||
| Е8 |
Патрубок для выхода теплоносителя (воды) |
Ф81 |
Отводит теплоноситель из холодильника во внешнюю среду |
| Ф82 |
Сосредотачивает теплоноситель (воздух) холодильника |
||
| W1 |
Реакционная масса |
Фv01 |
Занимает полезный объем реактора (Е0) |
| W2 |
Теплоноситель среды (вода) |
Фv02 |
Принимает тепло от холодильника |
| Фv12 |
Переносит тепло из холодильника в окружающую среду |
||
Изобразим КФС лабораторного реактора для проведения переэтерификации диметилового эфира β-цианоэтилфосфоновой кислоты моноэтиленгликоль(мет)акрилатом:

Рис.2 КФС лабораторного реактора для переэтерификации диметилового эфира β-цианоэтилфосфоновой кислоты моноэтиленгликоль(мет)акрилатом
Таблица 5 Экспертная оценка недостатков элементов ТО
| Обозначение элемента ТО |
Обозначение функции элемента |
Экспертная оценка элементов |
|
| Недостатки элемента |
Оценка |
||
| Е0 |
Ф00 |
____________ |
10 |
| Е1 |
Ф11 |
Неравномерность циркуляции теплоносителя |
9 |
| Е2 |
Ф21 |
____________ |
10 |
| Е3 |
Ф31 |
____________ |
10 |
| Е4 |
Ф41 |
Возможная негерметичность соед-й реактора и холодильника |
8 |
| Е5 |
Ф52 |
Возможность перегрева реактора |
8 |
| Е6 |
Ф63 |
_____________ |
10 |
| Е7 |
Ф71 |
_____________ |
10 |
| Е8 |
Ф81 |
_____________ |
10 |
4. Функционально-физический анализ ТО
Особенностью функционально-физического анализа является то, что при его проведении учитывается физическая сущность технического объекта, которая является наиболее понятной для человека абстрактной моделью.
Для проведения ФФА используется многократное, ступенчатое формулирование задачи с постепенно увеличивающейся степенью конкретности.
Объекты материального мира, взаимодействуя, вызывают протекание физических процессов, которые можно описать физическими операциями (ФО).
Физические операции (ФО) могут быть реализованы с помощью одного физико-технического эффекта (ФТЭ). Описание ФТЭ ведется на основе анализа выделенных ФО элементов.
Таблица 6 Описание ФТЭ, действующих в схеме переэтерификации диметилового эфира β-цианоэтилфосфоновой кислоты моноэтиленгликоль (мет)акрилатом
| Наименование элементов объекта |
Физико-технический эффект |
Математический закон, описывающий ФТЭ и его формула |
||
| Входное воздействие (А) на элемент |
Физический объект (В) |
Выходное воздействие (С) элемента |
||
| Е0 |
Сила Р0 (вес) |
Твердое тело |
Сила реакции R0 |
Эффект равновесия сил Р0=- R0 |
| Сила реакции R1 |
жидкость |
Сила Р1 (вес) |
Эффект равновесия R1=-Р1 |
|
| Е1 |
Поток теплоноси теля W2, скорость V1н |
жидкость |
Поток теплоносителя W2, скорость V2н |
Массовый расход М0=w0·f·r |
| Сила Р2 (вес) |
твердое тело |
Сила реакции R2 |
Эффект равновесия R2=-Р2 |
|
| Е2 |
Поток реакц. массы W1, давление P2н |
Жидкость |
Поток реакц.массы W1,давление Р2к |
Закон Бернулли p/rg+r+2/2p=c |
| E3 |
Поток реакц. массы W1, давление P2н |
газ |
Поток реакц. массы W1, давление P2н |
Закон Бернулли p/rg+r+2/2p=c Массовый расход М=а•f•r |
| E4 |
Сила Р3 (вес) |
Твердое тело |
Сила реакции R3 |
Эффект равновесия R3=-Р3 |
| Сила реакции R4 |
Твердое тело |
Сила Р4 (вес) |
Эффект равновесия R3=-Р3 |
|
| Е5 |
Теплота Q1,Дж, темп-ра Т1,0С |
Твердое тело |
Теплота Q2,Дж, темп-ра Т2,0С |
Закон теплового баланса Q1=Q2+∆ |
| Сила реакции R5 |
Твердое тело |
Сила Р5 (вес) |
Эффект равновесия R5=-Р5 |
|
| Е6 |
Теплота Q2, Дж, темп-ра Т2,К |
жидкость |
Теплота Q3, Дж, темп-ра Т3,К |
Закон теплового баланса Q2=Q3+∆ |
| Темп-ра Т2,К |
Твердое тело |
Относительная деформация |
Тепловое расширение А=l/l0t |
|
| Сила Р6 (вес) |
твердое тело |
Сила реакции R6 |
Эффект равновесия R6=-Р6 |
|
| Е7 |
Поток теплоносителя W2, давление P3 |
жидкость |
Поток теплоносителя W2, давление P3 |
Массовый расход М=а•f•r |
| Е8 |
Поток теплоносителя W2, давление P4 |
жидкость |
Поток теплоносителя W2, давление P4 |
Массовый расход М=а•f•r |
| W1 |
Тепл. энергия Q3, |
твердое тело, жидкость |
Тепл. энергия Q3-∆ |
Закон теплового баланса |
| Поток реакц. массы W1 |
твердое тело, жидкость |
Поток реакц. массы W1 |
Теплопроводность веществ |
|
| W2 |
Тепл. энергия Q4 |
твердое тело, газ |
Тепл. энергия Q4-∆ |
Закон теплового баланса |
Основные параметры процесса:
· Т-температура реакционной массы;
· С(эфира)-концентрация диметилового эфира β-цианоэтилфосфоновой кислоты;
· τ- время реакции;
· С(МЭГ) – концентрация моноэтиленгликольметакрилата
· C(гидрохинона)- концентрация гидрохинона.
Недостатками данной схемы переэтерификации являются:
1) Длительное время реакции из-за недостаточной активности исходных реагентов;
2) Практически невозможно прогнозировать количественный выход продукта из-за сложной качественной зависимости от параметров процесса.
3) Возможно осмоление и полимеризация целевого продукта
4) Наряду с основной реакцией может протекать полимеризация МЭГ.
5. Анализ технологического процесса переэтерификации диметилового эфира β-цианоэтилфосфоновой кислоты моноэтиленгликоль (мет)акрилатом
Проведем анализ реакции переэтерификации диметилового эфира β-цианоэтилфосфоновой кислоты моноэтиленгликоль(мет)акрилатом.
Таблица 7 Анализ технологического процесса переэтерификации
| Наименование элемента |
Функция элемента |
Механизм действия |
Математическая модель |
Экспертная оценка |
Недостатки |
| Диметиловый эфир C5H10NO3Р |
Реагент |
см. раздел Концептуальное описание схемы переэтерификации |
Параметры, которыми можно влиять на кинетическое уравнение: С, t,ф, |
10 |
“объемность” молекулы |
| МЭГ С6Н10О3 |
реагент для переэтерификации |
9 |
Повышенная склонность к полимеризации |
||
| Гидрохинон |
Ингибитор полимеризации |
8 |
Недостаточное ингибирование полимеризации МЭГ |
Совокупность указанных недостатков различных стадий рассматриваемой химической реакции позволяет выявить ее основной и наиболее существенный недостаток - низкую скорость реакции, а, следовательно, большое время проведения синтеза. Это обусловлено низкой концентрацией активных молекул и малым числом их эффективных актов взаимодействия, приводящих к образованию целевого продукта, а также склонностью молекул МЭГа вступать в реакцию полимеризации.
6. Постановка задачи поиска нового технического решения
Для реактора:
1) Недостаток - большое время реакции;
2) Элемент системы, ответственный за этот недостаток - водяной холодильник;
3) Параметры этого элемента – длина, форма теплопередачи водяного холодильника;
4) Ввести в систему водяной холодильник большей длины и более сложной формы (например, шариковый, змеевиковый, многоходовой или другой), для того, чтобы эффективнее “уходили” из реактора пары метанола, который сдвигает равновесие в обратную сторону и тормозит процесс.

5) Конфликт между показателями качества: улучшение отвода теплоты паров метанола за счет увеличения поверхности теплообмена в холодильнике приводит к возрастанию гидравлического сопротивления холодильника, и, как следствие, к затруднению отвода метанола.
6) Функциональный конфликт: чтобы улучшить теплоотвод от паров метанола, необходимо использовать холодильник, не создающий повышенного гидравлического сопротивления.
7) Конфликт свойств: холодильник должен быть таким, чтобы при максимальном теплоотводе сопротивление движению метанола было минимальным.
8) Таким образом, для решения этих конфликтов, необходимо использовать не один длинный холодильник сложной формы, а систему нескольких n коротких холодильников более сложной формы, например, так:
При этом используется прием №5: изменить условия, в которых находится узловой элемент таким образом, чтобы его различные части имели различные значения параметра, указанного в формуле конфликта свойств – то есть применение шарикового холодильника, различные части которого имеют бо́льшую поверхность теплообмена и пониженное гидравлическое сопротивление.
Показатель эффективности ТС, улучшаемый при этом – увеличение скорости конденсации и количества сконденсированного метанола, и, как следствие, сокращение времени реакции.
Для процесса:
1) Недостаток - низкий выход процесса;
2) Элемент системы, ответственный за этот недостаток – моноэтиленгликольметакрилат (МЭГ);
3) Один из параметров этого элемента – склонность этого вещества к побочной реакции полимеризации;
4) Необходимо понизить активность элемента системы - моноэтиленгликольметакрилата.
5) Конфликт между показателями качества: со снижением активности МЭГ в побочной реакции полимеризации, падает также его активность и в основной реакции переэтерификации.
6) Функциональный конфликт: необходимо избирательно понизить активность МЭГа в побочной реакции, и повысить (или оставить прежней) в основной реакции.
7) Химический конфликт свойств: необходимо придать моноэтиленгликолю свойства низкой полимеризуемости, и одновременно реакционоспособность при взаимодействии с эфиром.
8) Необходимо применить прием № 9: включить узловой элемент в состав системы, которая характеризуется одним значением параметра, указанного в формуле конфликта свойств, а узловой элемент - другим значением, то есть, ввести МЭГ в систему, придающую МЭГу низкую способность к полимеризации (содержащую ингибиторы полимеризации).
9). Показатель эффективности ТС, который при этом увеличился - выход реакции, за счет снижения доли побочной реакции.
7. Синтез с помощью эвристических приемов
Синтез с помощью эвристических приемов проведем благодаря автоматизированной информационно-поисковой системе. Уровень проектирования - химическая система.
Таблица 8 Синтез решений с помощью эвристических приемов
| Недостаток ТС |
Улучшаемый параметр |
Ухудшающийся параметр |
Описание эвристического приема |
Конкретные предложения для ТС |
| Низкий выход продукта |
Снижение реакционной способности МЭГа в побочной реакции |
Понижение реакционной способности в основной реакции |
Эвристический прием №7: Изменить алгоритм функционирования. Например, использовать принцип предварительного действия-антидействия. Заранее выполнить требуемые действия, или, наоборот, антидействия. При этом а) требуемое действие или антидействие выполнить заранее полностью или частично б) использовать предварительное изменение реакционной способности молекул в) компенсировать невысокую (высокую) реакционную способность введением катализаторов, инициаторов (ингибиторов, стабилизаторов) комплексообразователей, регуляторов и т.д. |
Введение ингибитора гидрохинона (>1 %) для ингибирования полимеризации МЭГа |
| Низкий выход продукта |
Снижение реакционной способности МЭГа в побочной реакции |
Понижение реакционной способности в основной реакции |
Эвристический прием N 11: Принцип прерывности-непрерывности. Перейти от непрерывного действия к прерывному и наоборот. Использовать импульсную технологию. Обеспечивая непрерывность, устранить холостые и промежуточные ходы. Для достижения единства прерывности и непрерывности заполнить паузы одного действия другим действием. Следить за согласованием ритма внутренних и внешних процессов. Изменить время существования комплексов, промежуточных продуктов за счет специфической сольватации, повышения (понижения) температуры и т.д |
Сначала разогреть греющую баню до температуры реакции (150 °С), и только затем погружать в нее реактор |
| Большое время реакции |
Продолжительность реакции |
Производительность |
Эвристический прием N 18: Изменение химической реакционной способности. Изменить свойства молекулы введением функциональных групп с тем или иным мезомерным, индуктивным или стерическим эффектом. Изменить температуру, применить катализаторы, растворители или их смеси, краун-эфиры, комплексообразователи |
Для активации реакции применить ионообменные смолы – катиониты (КУ-1, КУ-2) |
Таблица 9 Технические функции физических эффектов
| № |
Элемент |
ТФ |
ФЭ |
Конкретная реализация |
| 1 |
электроплитка |
повышение температуры |
нагревание тела |
изменение температуры тела под действием тепловой энергии, подведенной к телу или отведенной от него. Изменение температуры пропорционально количеству теплоты и определяется удельной теплоемкостью тела. |
| 2 |
электроплитка |
повышение температуры |
Явление Томсона |
Выделение или поглощение тепла (избыточного над Джоулевым) при прохождении тока по неравномерно нагретому однородному проводнику или полупроводнику |
| 4 |
электроплитка |
повышение температуры |
Фазовые переходы первого рода |
изменение плотности, агрегатного состояния веществ при определенной температуре, сопровождающееся выделением или поглощением тепла |
8. Морфологический анализ процесса и аппарата для проведения переэтерификации
Таблица 10 Оценка вариантов технических решений (1)
| Наименование элемента |
Оценка по категориям |
||
| Экономичность |
Простота конструкции |
Надежность |
|
| Теплопередающее устройство |
|||
| А11 Воздушная баня |
6 |
7 |
8 |
| А12 Глицериновая баня |
3 |
5 |
5 |
| А13 Масляная баня |
2 |
3 |
5 |
| Материал реактора |
|||
| А21 Тюрингское стекло |
8 |
7 |
1 |
| А22 Иенское боросиликатное стекло |
5 |
6 |
5 |
| А23 Иенское стекло разотерм |
3 |
6 |
7 |
| А24 Кварцевое стекло |
1 |
3 |
7 |
| Форма реактора |
|||
| А31 Круглый |
6 |
8 |
6 |
| А32 Грушевидный |
5 |
5 |
5 |
| А33 Эллиптический |
2 |
3 |
5 |
| Холодильник водяной |
|||
| А41 Прямой |
8 |
8 |
7 |
| А42 Обратный |
6 |
5 |
6 |
| А43 Обратный со змеевиком внутри |
2 |
2 |
6 |
Таблица 11Оценка вариантов технических решений (2)
| Наименование элемента |
Критерии оценки |
||
| Селективность |
Время реакции |
Выход |
|
| Холодильник |
|||
| Обратный |
5 |
5 |
6 |
| Шариковый |
5 |
7 |
7 |
| Змеевиковый |
5 |
7 |
6 |
| Состоящий из нескольких коротких шариковых |
5 |
8 |
8 |
| МЭГ |
|||
| А21 Химически чистый |
6 |
6 |
5 |
| А22 МЭГ, содержащий разл. примеси |
3 |
4 |
3 |
| Ингибитор |
|||
| А41 Cu |
4 |
3 |
3 |
| А42 Гидрохинон |
8 |
6 |
6 |
| Тип реакции |
|||
| А51 Гомофазная ж-ж |
6 |
5 |
5 |
| Температура процесса |
|||
| А61 150 0С |
7 |
7 |
6 |
| А62 130 0С |
4 |
3 |
2 |
9. Морфологический синтез
Для реактора получено 216 комбинаций .
По экономичности:
1-я комбинация: 2-я комбинация:
Силиконовая баня: 6 Силиконовая баня: 6
Тюрингское стекло: 8 Тюрингское стекло: 8
Круглый: 6 Круглый: 6
Система шариковых: 8 Шариковый: 6
У=28 У=26
По простоте конструкции:
1-я комбинация: 2-я комбинация:
Силиконовая баня: 7 Силиконовая баня: 7
Тюрингское стекло: 7 Тюрингское стекло: 7
Круглый: 8 Круглый: 8
Обратный: 8 Шариковый: 5
У=30 У=27
По надежности:
1-я комбинация: 2-я комбинация:
Силиконовая баня: 8 Силиконовая баня: 8
Иенское стекло разотерм: 7 Иенское стекло разотерм: 7
Круглый: 6 Круглый: 6
Система шариковых: 7 Шариковый: 6
У=28 У=27
Для процесса: 32 комбинаций
По селективности:
1-я комбинация: 2-я комбинация:
Эфир с конц. не менее 98%: 5 Эфир с конц. не менее 98%: 5
МЭГ ХЧ: 6 МЭГ ХЧ: 6
Cu: 5 Cu: 5
Гидрохинон: 8 Гидрохинон : 8
Гомофазная ж-ж: 6 Гомофазная ж-ж: 6
1500 С: 7 1300 С: 4
У=37 У=34
По времени пребывания:
1-я комбинация: 2-я комбинация:
Эфир с конц. не менее 98%: 6 Эфир с конц. не менее 98%: 6
МЭГ ХЧ: 6 МЭГ ХЧ: 6
Cu: 5 Cu: 5
Гидрохинон: 6 Гидрохинон: 6
Гомофазная ж-ж: 5 Гомофазная ж-ж: 5
1500 С: 7 1300 С: 3
У=35 У=31
По степени конверсии:
1-я комбинация: 2-я комбинация:
Эфир с конц. не менее 98%: 6 Эфир с конц. не менее 98%: 6
МЭГ ХЧ: 5 МЭГ ХЧ: 5
Cu: 5 Cu: 5
Гидрохинон: 6 Гидрохинон: 6
Гомофазная ж-ж: 5 Гомофазная ж-ж: 5
1500 С: 5 1300 С: 2
У=32 У=29
Расчет Ки . Для реактора: По первому критерию:
| Экономичность |
Простота конструкции |
Надежность |
|
| Силиконовая баня |
6 |
7 |
8 |
| Тюрингское стекло |
8 |
7 |
1 |
| круглый |
6 |
8 |
6 |
| Система шариковых |
8 |
8 |
7 |
л=0.3 л=0.4 л=0.3
Ки =(6·0.3+7·0.4+8·0.3)+(8·0.3+7·0.4+1·0.3)+(6·0.3+8·0.4+6·0.3)+(8·0.3+8·0.4+7·0.3)=27
По второму критерию :
| Экономичность |
Простота конструкции |
Надежность |
|
| Силиконовая баня |
6 |
7 |
8 |
| Тюрингское стекло |
8 |
7 |
1 |
| круглый |
6 |
8 |
6 |
| Система шариковых |
8 |
8 |
7 |
л=0.3 л=0.4 л=0.3
Ки =(6·0.3+7·0.4+8·0.3)+(8·0.3+7·0.4+1·0.3)+(6·0.3+8·0.4+6·0.3)+(8·0.3+8·0.4+7·0.3)=27
По третьему критерию :
| Экономичность |
Простота конструкции |
Надежность |
|
| Силиконовая баня |
6 |
7 |
8 |
| Иенское стекло разотерм |
3 |
6 |
7 |
| круглый |
6 |
8 |
6 |
| Система шариковых |
8 |
8 |
7 |
л=0.3 л=0.4 л=0.3
Ки =(6·0.3+7·0.4+8·0.3)+(3·0.3+6·0.4+7·0.3)+(6·0.3+8·0.4+6·0.3)+(8·0.3+8·0.4+7·0.3)=26.9
Для процесса: По первому критерию:
| Селективность |
Время пребывания |
Степень конверсии |
|
| Эфир с конц. Не менее 98% |
5 |
6 |
6 |
| МЭГ ХЧ |
6 |
6 |
5 |
| Гидрохинон |
8 |
6 |
6 |
| Cu |
5 |
5 |
5 |
| Гомофазная ж-ж |
6 |
5 |
5 |
| 1500С |
7 |
7 |
6 |
л=0.2 л=0.5 л=0.3
Ки =(5•0.2+6•0.5+6•0.3)+(6•0.2+6•0.5+5•0.3)+(5•0.2+5•0.5+5•0.3)+(8•0.2+6•0.5+6•0.3)++(6•0.2+5•0.5+5•0.3)+(7•0.2+7•0.5+6•0.3)=34.8
По второму критерию :
| Селективность |
Время пребывания |
Степень конверсии |
|
| Эфир с конц. Не менее 98% |
5 |
6 |
6 |
| МЭГ ХЧ |
6 |
6 |
5 |
| Cu |
5 |
5 |
5 |
| Гидрохинон |
8 |
6 |
6 |
| Гомофазная ж-ж |
6 |
5 |
5 |
| 1500С |
7 |
7 |
6 |
л=0.2 л=0.5 л=0.3
Ки =(5•0.2+6•0.5+6•0.3)+(6•0.2+6•0.5+5•0.3)+(5•0.2+5•0.5+5•0.3)+(8•0.2+6•0.5+6•0.3)+(6•0.2+5•0.5+5•0.3)+(7•0.2+7•0.5+6•0.3)=34.8
По третьему критерию :
| Селективность |
Время пребывания |
Степень конверсии |
|
| Эфир с конц. Не менее 98% |
5 |
6 |
6 |
| МЭГ ХЧ |
6 |
6 |
5 |
| Cu |
5 |
5 |
5 |
| Гидрохинон |
8 |
6 |
6 |
| Гомофазная ж-ж |
6 |
5 |
5 |
| 1500С |
7 |
7 |
6 |
л=0.2 л=0.5 л=0.3
Ки =(5•0.2+6•0.5+6•0.3)+(6•0.2+6•0.5+5•0.3)+(5•0.2+5•0.5+5•0.3)+(8•0.2+6•0.5+6•0.3)+(6•0.2+5•0.5+5•0.3)+(7•0.2+7•0.5+6•0.3)=34.8
1. На основе системного подхода проведен функционально-физический анализ процесса переэтерификации диметилового эфира β -цианоэтилфосфоновой кислоты моноэтиленгликоль(мет)акрилатом и реактора для его проведения.
В результате были выявлены следующие недостатки:
а) низкий выход продукта реакции;
б) большое время синтеза.
2. Для разрешения конфликтов в технических и химических системах предложены решения:
а) для реактора: введение системы водяных шариковых холодильников меньшей длины.
б) для процесса: использование в качестве ингибитора побочной реакции смеси меди и гидрохинона.
3. Массив проектных решений для реактора составил 216 комбинаций, для процесса- 32 комбинации.
Определены лучшие варианты по критериям экономичности, простоты конструкции, надежности (для реактора), селективности, времени пребывания, степени конверсии (для процесса).
На основе аддитивной свертки критериев для реактора определен наиболее оптимальный проектный вариант по аппарату: круглый реактор, изготовленный из тюрингского стекла, снабженный системой водяных шариковых холодильников, в качестве теплопередающего устройства используется силиконовая баня.
На основе аддитивной свертки критериев определен наиболее проектный вариант по процессу: использование в качестве исходных реагентов “чистых” эфира и МЭГа, в качестве ингибитора – смесь Сu и гидрохинона, синтез ведут при температуре 150 0 С в гомофазной системе ж-ж.
4. Произведена постановка задачи синтеза нового технического решения для реактора. Введение системы водяных шариковых холодильников небольшой длины.
5. Произведена постановка задачи синтеза нового технического решения для процесса. Использование в качестве ингибитора смеси меди и гидрохинона.