| Скачать .docx |
Курсовая работа: Реакції 22 та 24-циклоприєднання до фулеренів С60 і С70 Механізми реакції та спектральні
НАЦІОНАЛЬНИЙ АВІАЦІЙНИЙ УНІВЕРСИТЕТ Кафедра хімії та хімічної технології
КУРСОВА РОБОТА
з дисципліни «Хімія природних енергоносіїв та вуглецевих матеріалів»
Тема:«Реакції [2+2] та [2+4]-циклоприєднання до фулеренів С60 і С70 . Механізми реакції та спектральні докази»
Виконала: студентка 208 групи
Факультету екологічної безпеки
Мороз Тетяна
КИЇВ 2006
ЗМІСТ
ВСТУП
1. РЕАКЦІЇ [2+2]-ЦИКЛОПРИЄДНАННЯ
2. ТИПОВА МЕТОДИКА РЕАКЦІЇ [2+2]-ЦИКЛОПРИЄДНАННЯ
3. РЕАКЦІЇ [2+4]-ЦИКЛОПРИЄДНАННЯ
4. ТИПОВА МЕТОДИКА РЕАКЦІЇ [2+4]-ЦИКЛОПРИЄДНАННЯ З ЕЛЕКТРОН-НАДЛИШКОВИМИ ДІЄНАМИ
5. ТИПОВА МЕТОДИКА РЕАКЦІЇ [2+4]-ЦИКЛОПРИЄДНАННЯ З ЕЛЕКТРОН-ЗБИТКОВИМИ ДІЄНАМИ
6. ТИПОВА МЕТОДИКА РЕАКЦІЇ [2+4]-ЦИКЛОПРИЄДНАННЯ З О-ХІНОДИМЕТАНАМИ, ЩО ГЕНЕРУВАЛИСЯ IN SITU З О-ДИ(БРОММЕТАЛ)АРЕНІВ
7. ТИПОВА МЕТОДИКА РЕАКЦІЇ [2+4]-ЦИКЛОПРИЄДНАННЯ З ДІЄНАМИ, ЩО ГЕНЕРУВАЛИСЯ IN SITU З СУЛЬФОЛЕНІВ
СПИСОК УМОВНИХ СКОРОЧЕНЬ
СПИСОК ВИКОРИСТАНОЇ ЛІТЕРАТУРИ
Вступ
Відвіку людині були відомі дві кристалічні алотропниі модифікації вуглецю: графіт і алмаз. Ще в 1973 році Бочвар і Гальпері показали, що замкнутий поліедр з атомів вуглецю у формі усіченого ікосаедра повинен мати замкнуту електронну оболонку і високу енергію зв'язку. Проте ця робота пройшла непоміченою, і лише в 1985 році Крото із співробітниками виявили в мас-спектрі продуктів розкладання графіту під дією лазерного пучка інтенсивний пік з масою 720 у.е.м., походження якого пояснювалося присутністю молекул С60 . Інший, менш інтенсивний пік, відповідний масі 840 у.е.м., зв'язувався з молекулою С70 . Захоплююча історія цього відкриття детально виклади в нобелівських лекціях Крото, Смоллі і Керла. Нова аллотропная модифікація вуглецю одержала назву «фулерени». Відкриття в 1990 році Кречмером методу отримання фулеренів в макроскопічних кількостях дало початок інтенсивним дослідженням і привело до появи фактично нових розділів фізики твердого тіла, хімії ароматичних сполук, молекулярної електроніки.
Фулерени є стійкими багатоатомними кластерами вуглецю з числом атомів від декількох десятків і вище. Число атомів вуглецю в такому кластері не довільно, а підкоряється певній закономірності. Форма фулеренів - сфероїд, грані якого утворюють пяти- і шестикутники. Згідно геометричному розрахунку, проведеному ще Ейлером, для побудови такого многогранника необхідно, щоб число п'ятикутних граней було рівне дванадцяти, число ж шестикутних граней може бути довільно. Такій умові відповідають кластери з числом атомів N = 32, 44, 50, 58, 60, 70, 72, 78, 80, 82, 84 і т.д. Найбільший інтерес експериментальних досліджень представляє фулерен С60 зважаючи на його найбільшу стабільність і високу симетрію.
В даний час опубліковано безліч експериментальних і теоретичних робіт, присвячених різним аспектам фізики С60 в різних станах: ізольована молекула, С60 в розчинах і особливо С60 в твердотільному стані. При температурах нижче 600К С60 утворює молекулярні кристали. Кристали високої чистоти (99.98%) і міліметрових розмірів можуть бути вирощені з газової фази. Називатимемо фулеренами ізольовані молекули Сn , фулеритами - фулерени в твердотільному стані, зокрема полімеризовані фулеренові структури. До різноманітгим фулереновим похідним відносяться також інтеркаліровані з'єднання і ендоедральні фулерени. При інтеркаляції домішки вводяться в порожнини кристалічної гратки фулериту, а ендоедральні фулерени утворюються при впровадженні атомів різного сорту всередину кластера Сn .
З хімічної точки зору фулерени можуть розглядатися як тривимірні аналоги планарних ароматичних з'єднань, але з тією істотною різницею, що сполучення π-елетронної системи безперервно. Фулерени не містять водню, який може брати участь в реакції заміщення. Хімічний реакції з фулеренами можуть бути двох типів: реакції приєднання і окислювально-відновні, такі, що приводять відповідно до ковалентних екзоедральних з'єднань і солей. Якщо знайти хімічну реакцію, що відкриває вкінці в каркасі фулерену, що дозволяє впустити туди якийсь атом або невелику молекулу і знов поновлюючи з'єднання кластера, вийде красивий метод отримання ендоедральних фулеренів. Проте більшість ендоедральних металофулеренів в даний час проводяться або в процесі формування фулеренів у присутності чужорідної речовини, або шляхом імплантації.
1. Реакції [2+2]-циклоприєднання фулеренів
Електрофільний [60] фулерен проявляє схильність до реакцій радикального приєднання. Ця властивість може бути використана для аннелювання до С60 циклобутанових фрагментів [2+2]-фотоциклоприєднанням. Прикладом служить фотоциклоприєднання до С60 циклічних енонів [1].


Опромінювання при довжині хвилі, де поглинає тільки фулерен (λ=532 нм), не приводить до утворення аддукта С60 — енон. Тому автори роблять висновок: механізм реакції включає приєднання триплетного збудженого стану енона до основного стану фулерена через триплетний бірадикальний інтермедіат. З приведеної схеми видно, що об'ємні замісники в енонах перешкоджають фотоциклоприєднанню.
Стереоізомерні циклобутанофулерени, отримані [2+2]-циклоприєднанням циклогексенона, розділені хіральною ВЕЖХ з WheIk-О колонкою і заміряні їх спектри КД [2].

Через циклобутановий інтермедіат йде також і фотоциклоприсоєднання до С60 циклічних 1,3-діонів або їх триметилсилільних похідних. Але цей інтермедіат зазнає подальшого перетворення, що призводять до утворення двох конденсованних фуранофулеренів: одного ахірального 31, іншого — хірального 32[3].
Електрононадлишкові алкіни також приймають участь в [2+2]-фотоциклоприєднанні до С60 . При приєднанні N,N-діэтил-4-метил-3-пентен-1-ін-1-аміна утворюється стабільний конденсований циклобутенамін 32, який піддається далі самосенсибілизовому фотоокисненню в дигідрофулеренонамід 33 [4].


Дослідження стереохімії і вторинних ізотопних ефектів [2+2]-фотоциклоприєднання до С60 транс-транс-, цис-цис-, цис-, транс-2,4-гексадієнів, 2,5-диметил-2,4-гексадієна та їх дейтерированих аналогів показує, що першою стадією реакції є радикальне приєднання дієна до збудженого триплетного стану С60 з подальшим швидким перенесенням електрона і колапсом іонної пари, що утворюється, в [2+2]-циклоаддукти. Ця перша стадія реакції, що призводить до утворення бірадикального інтермедіату, визначає швидкість процесу і відповідальна за регіоселективнісь, що наблюдається, і вторинні ізотопні ефекти. Друга стадія (колапс іонної пари) визначає діастереоселективніть з переважанням більш термодинамічно стабільних транс-циклобутанових аддуктів. У всіх випадках спостерігалася втрата стереохімії реагуючого подвійного зв'язку початкового дієна, тобто переважне утворення транс-циклобутанів. Це явище обумовлено тим, що час життя бірадикального інтермедіата достатньо велике, щоб допустити обертання навкруги зв'язку С(2) -С(3) , що веде до втрати стеріохімічної чистоти приєднання. Проте стереохімія не реагуючого подвійного зв'язку дієнів зберігається.

Аналогічні висновки про механізм реакції з утворенням відкритого бірадикального або біполярного інтермедіата на підставі вивчення стереохімії і кінетичних ізотопних ефектів зроблені для [2+2]-фотоциклоприєднання до С60 ізомерних стиролів.

Ациклічні енони також реагують з фулереном по механізму [2+2]-фотоциклоприєднання. При опромінюванні 1000-кратного надлишку окислу мезитила з С60 через 30 хв. утворюється відповідний [2+2]-циклоаддукт, проте реакція обернена, а константа рівноваги дуже мала.

Для вивчення регіо- і стереоселективності цієї реакції досліджено фотохімічне приєднання діенонів — транс-6-метил-3,5- гептадієн-2-она (34) і транс-2-метил-2,5-гептадієн-4-она (35). Такі діенони ідеально підходять для цієї мети, оскільки сполука 34 містить два нееквівалентні заміщені спряжені подвійні зв'язки, з яких обидва здатні до реакції [2+2]-циклоприєднання, тоді як в сполуці 35 карбонільна функція розділяє два стерично і електронно-нееквівалентні подвійні зв'язки в діеноні. Рівновага циклоприєднання у випадку діенонів 34 і 35 більшою мірою зміщена у бік утворення аддуктів, ніж у бік утворення окису мезитила. Циклоприєднання діенона 34 веде до утворення двох регіоізомерів в співвідношенні 3:1.

Фотоциклоприєднання діенона 35 регіоспецифічно йде тільки по більш заміщеному подвійному зв’язку:

Ацетилени вступають як у фотохімічну, так і в термічну реакцію [2+2]-циклоприєднання з С60 . Так, взаємодія фулерена з диетиламінопропіном веде до утворення циклобутенового аддукта, який при подальшому гідролізі кількісно утворює амід 36. Окислювальна циклізація цього аміда на вугільному каталізаторі (каталізатори, що не містять вугілля, неефективні) дозволила отримати новий фулереновий лактон 37.

Циклоприєднння тетрафероценіл[5]кумулена до [60]фулерену при кип'ятінні в бензолі призводить до утворення суміші регіоізомерних [2+2]-циклоаддуктів.

[2+2]-Циклоприєднання між фулереном і дегідробензолом, що генерується з антраніловою або 4,5-диметоксиантраніловою кислотою, дає суміш моно-, біс- і поліаддуктів.

Останнім часом значну увагу при вивченні реакцій [2+2]-циклоприєднання надається можливості отримання цим способом фулеренових димерів. Наприклад, фотодимеризація високорозчинного м-феніленбіс(арилметанофулерена) 38, в якому фулеренові фрагменти тісно зближені, з високим виходом (84%), призводить до утворення димеру 39.

Стиснення кристала (ЕТ)2 С60 [ЕТ = біс(етилендитіо)тетратіафульвален] при 5 ГПа і 200°С дає димер фулерена С120 з виходом біля 80%. В данному випадку ініцируємому тиском кросс-приєднанню молекул фулерена сприяє їх тісна упаковка в кристалі.

Синтез цього димеру у великих кількостях здійснений механохімічною реакцією С60 з КСN з використанням високошвидкісного вібраційного помелу. В оптимальних умовах утворюється тільки димер і залишається не прореагувавший фулерен в співвідношенні 3:7. Димер С120 легко дисоціює на два С60 при нагріванні, вібраційному помелі, експозиції при звичайному освітленні і електрохімічному відновленні. Запропоновано два можливі механізми цього процесу.
Існують нуклеофільний і радикальний варіанти цього механізму, причому останній здається авторам найвірогіднішим, оскільки навіть малі кількості поновлюючого металу, здатні ефективно ініціювати радикальний ланцюговий процес.

В аналогічних умовах твердофазного механохімічного синтезу, але при каталізі 4-амінопіридином, крім димера, який є основним продуктом реакції, за допомогою ВЕЖХ і скануючої тунельної мікроскопії знайдений тример С180 (4%):

При термолізі етоксикарбонілметано-1,2-дигідрофулеренів утворюється новий димер С122 Н4 , в якому зв'язок двох фулеренових ядер забезпечується двома зв'язками С—С і двома метиленовими містками [22]. Розрахунки МО показують, що близькість фулеренових ядер призводить до значного просторового перекриття ВЗМО і НЗМО, слідством якого є електронна взаємодія між фулереновими фрагментами (знайдено постадійне електрохімічне відновлення кожного ядра при різних потенціалах). Механізм утворення димера поки не ясний, проте автори припускають розщеплення циклопропана на бірадикал і первине утворення димера С122 .

Термолізом С120 0 отриманий аналогічний С2ν -симметричный димер, що містить замість метиленових, кисневі містки. Термоліз у присутності сірки приводить до димеру з одним кисневим і одним сірковим містком.

Розрахунки повної енергії різних регіоізомерних тримерів С60 емпіричним методом компактного зв'язування і напівемпіричними методами РМЗ, АМ1 і МNDО свідчать, що з 10 можливих регіоізомерів найстабільнішим є екваторіальний ізомер.

Автори [26] вважають, що взаємодія Сб0 і С60 О при нагріванні в 1,2-дихлорбензолі при 200°С також йде по механізму [2+2]-циклоприєднання і призводить до утворення препаративних кількостей нового димера С120 0 з фураноподібним містком:

2. Типова методика реакції [2+2]-циклоприєднання
1,2-[61-(Диетиламіно)-62-ізопропіліденциклобутено]дигідро[60]фулерен

Розчин 86 мг (0,12 ммоль) С60 в 50 мл толуолу опромінюють ультразвуком на протязі 5 хв та дегазують пропусканням аргону на протязі 20 хв, приперемішуванні шприцем додають 20 мг (0,12 ммоль) N,N-диетил-4-метил-3-пентен-1-ін-1-аміну. Суміш опромінюють 50 хв ксеноновою ламною 300 В з К2 Cr2 O7 -фільтром (довжина 3,5 см, 530 нм). Коричневий розчин, що утрорився, упарюють. Колонною хроматографією в градвєнті гексан–толуол виділяють непрореагувавший фулерен, а потім циклобутенофулерен, з виходом 58 мг (70%).
Спектр ЯМР 1 Н (500 МГц, CS2 -CDCl3 ), δ м..д.,:J Гц: 1.48 (6Н, т, J=7,СН2 СН3 ), 2.09 (3Н, с, Ме), 2.25 (3Н, с, Ме), 3.83 (4Н, к, J=7, СН2 СН3 ), 6.45 (1Н, с, =СН).
Спектр ЯМР 13 С (125 МГц, CS2 -CDCl3 ), δ м..д.,: 13.99 (2С, СН3 СН2 ), 21.70 (=ССН3 ), 25.85 (=ССН3 ), 43.16 (2С,СН2 N), 75.42 (sp3 C фулерена), 76.10 (sp3 C фулерена), 116.10, 118.44 (=СН), 138.69,138.32 (2C), 139.58 (2C), 138.64 (2C), 139.85 (2C), 141.64 (2C), 141.73 (2C), 141.80 (2C), 142.03 (2C), 142.15 (2C), 142.42 (2C), 142.44 (2C), 142.74 (2C), 144.06 (2C), 144.38 (2142.42 (2C), C), 144.67 (2C), 144.74 (2C), 144.78 (2C), 144.86 (2C), 144.91 (2C), 145.52 (2C), 145.59 (2C), 145.72 (2C), 145.14 (2C), 146.14 (2C), 146.21 (2C), 146.35 (2C), 146.67 (2C), 150.09 (2C), 155.97 (2C), 157.74 (2C).
ІК-спектр (Фур'є-перетворення) (KBr), ν, см-1 : 1671, 1636, 541, 1094, 694, 527.
Мас-спектр (FAB) m/z (I, %): 871(М- ,50),720 (Сб0 , 100)
3. Реакції [2+4]-циклоприєднання
Дієнофільні властивості фулерена в реакції [2+4]-циклоприєднання вперше продемонстровані Вудлем зі співробітниками при вивченні взаємодії фулерена з надлишком циклопентадієна. Їм, проте, не вдалося виділити моноаддукт і визначити регіохімію утворившихся поліаддуктів. Знайдено, що додавання 1.2 экв. свіжоперегнаного циклопентадіеєна до бензольного розчину фулерена при 20°С приводить до утворення моноаддукта Дільса—Альдера з виходом 74%.

Пентаметилциклопентадієн також добре утворює моноаддукт, менш схильний до зворотної реакції розщеплення, ніж аддукт з самим циклопентадієном. Ще більша термічна стабільність спостерігається у разі аддуктів утворених при дії на фулерен циклопентадіенона або його етиленкеталя. Для запобігання оборотності циклоприєднання подвійний зв'язок циклоаддукта, що утворився, можна гідрувати, що призводить до утворення термічно стабільного продукту.
Перфторалкілциклопентадієн менш активний в реакції циклоприєднання до фулерену, ніж незаміщений циклопентадієн, але його застосовування дозволяє отримати аддукт з незвичайними властивостями.

Продукти реакції добре розчинні у фреоні, але погано розчиняються в іншій «фторній фазі» — перфторгексані.
Як і в реакціях з іншими дієнофілами, циклогексадієн проявляє дещо меншу реакційну здатність, ніж циклопентадієн, утворюючи в схожих умовах циклоаддукт з виходом лише 30%. Гідрування цього аддукта дає сполуку, стійку до фрагментації по механізму ретро-реакції Дільса—Альдера.

Менша реакційна здатність 1,3-циклогексадієна у порівнянні з фулереном звичайно пояснюється великою відстанню між атомами С(1) і С(4) (г1-4 ) в циклогексадієні в порівнянні з циклопентадієном [8]. Аналогічно пояснюється порівняльна реакційна здатність трьох 2,3-диоксизаміщеннних бутадієнів в реакції з фулереном С60 . 2,3-диметилен-1,4-диоксан (г1-4 = 3.226 Å) проявляє істотно більшу реакційну здатність ніж 4,5-дмметилен-2,2-диметил-1,3-диоксолан (г1-4 =3.385 Å). Якщо перший легко приєднується до фулерену вже при кімнатній температурі, то останній неактивний навіть при 80°С і вступає в реакцію циклоприєднання тільки за умов високого тиску.

Завдяки своїм електроннодефіцитним властивостям, фулерен досить активний дієнофіл. Дійсно, реакційну здатність фулерена, як дієнофіла можна порівняти лише з активністю малеімідів, а в деяких випадках наголошується навіть помітно більш висока реакційна здатність фулерена в порівнянні з типовими дієнофілами. Як і слід чекати для реакцій [4+2]-циклоприєднання з нормальними електронними вимогами, фулерен легше вступає в реакції з дієнами, що містять електроннодонорні замісники. Так, при кип'ятінні фулерена з 2 екв. 1-триметилсилилоксибутадієна з подальшим гідролізом з виходом 66% виділений 1-гідрокси-1,4-дигідробензо[b]фулерен [14,15]:

Аналогічно реагують 2—триметилсилилоксибутадієн, 3- триметилсилилокси-1,3-пентадієн, 1-метокси-3-триметилсилилоксибутадієн, 2-триметилсилилокси-1,3-циклогексадієн і інші заміщенні силилоксидієни. Гідроліз аддуктів призводить до утворення стабільних фулероциклогексанонів:

Вивчені також реакції фулерена з 2,3-дипропілбутадієном, 2,3-диметилбутадієном, мірценом, ізомерними 2,4-гексадієнами, активованими фуранами і іншими дієнами.

Використання хіральних дієнів дозволяє отримувати оптично активні похідні фулерена. Так, Уїлсон зі співробітниками вивчили реакцію фулерена з (R)-нопадієном. Реакція протікає стереоселективно, даючи один продукт з виходом 64%:
Те саме справедливо і для стероїдныих дієнів (Р = Ас,TBS):

Похідні антрацену активно застосовуються як реакційноздатні дієни в реакціях Дільса—Альдера. Не дивно, що похідні антрацену були одними з перших дієнів, використаних в реакціях циклоприєднання до фулерену. Знайдено, що реакції з антраценом протікають швидше при опромінюванні реакційної суміші. Без опромінювання фулерен не реагує з антраценом при кімнатній температурі. Проте опромінювання бензольного розчину еквімольних кількостей фулерена С60 і антрацену протягом 9 год веде до утворення моно- і біс-аддуктів з виходами 10 і 26% відповідно, а також димера антрацену. У відсутності розчинника антрацен не вступає в реакцію циклоприєднання до фулерену за цих умов. Навпаки, 9-метилантрацен дає суміш моно- і біс-аддуктів (30 і 19% відповідно) без утворення продукту самоконденсації. Ця відмінність пояснена реалізацією механізму з фотоіндукованим перенесенням електрона на першій стадії реакції:

У випадку антрацена ця стадія ендотермічна і вимагає подолання великого енергетичного бар'єру. Введення метильної групи знижує потенціал іонізації антрацену, що зменшує енергію перехідного стану (ПС). Таке пояснення узгоджується також з відсутністю реакції в розчинниках, звичайно що використовуються для такого циклоприєднання (бензол і його похідні). При протіканні реакції в розчині енергія реорганізації розчинника вносить значний внесок у величину термодинамічного бар'єру, тоді як стабілізація іон-радикальної пари, що утворюється, малополярними розчинниками дуже мала, щоб компенсувати цей небажаний ефект.
В той же час на основі вивчення кінетичних ізотопних ефектів Хронакіс і Орфанопулос зробили висновок про злагоджений механізм реакції Дільса—Альдера при термічно індукованій взаємодії фулерена С60 як з антраценом, так і з його 9,10-диметильними похідними. У разі постадійного механізму через утворення диполярного або бірадикального інтермедіата очікується нормальний вторинний кінетичний ізотопний ефект при заміщенні α-водню і значний β-вторинний кінетичний ізотопний ефект. Отримані ж значення kH /kD = 0.93 (0.96 на 1 атом дейтерію) і ≈1.0 не узгоджуються з постадійним механізмом. В реакції фулерена з 2,3-диметилен-7-оксанорборнаном зафіксований набагато більш значний зворотний α-кінетичний ізотопний ефект (kH /kD = 0.61, kH /kD = 0.88 на 1 атом дейтерію). Симетричний характер перехідного стану підтверджується рівним кінетичним ізотопним ефектом (на 1 атом дейтерію) для 2,3-біс(дидейтерометилен)- і 2-(дидейтерометилен)-3 -метиленового похідного. Менший зворотний ізотопний ефект в циклоприєднанні антраценів можна пояснити більш «раннім» перехідним станом в реакціях з їх участю. Злагоджений механізм реакції [2+4]-циклоприєднання підтверджується і даними квантово-хімічних розрахунків реакцій Дільса-Альдера за участю фулерена, виконаних як на полуемпіричному, так і на неемпіричному рівні.
Значне прискорення [2+4]-циклоприєднання спостерігається і при опромінюванні реакційної суміші ультразвуком. Аддукт С60 з антраценом утворюється з виходом 35% після 15 хв опромінювання толуольного розчину, тоді як при нагріванні в бензолі вихід циклоаддукта через 12 год складає 25%. В киплячому толуолі вихід аддукта Дільса—Альдера складав лише 12%. Дещо більший вихід продукту (39%) отриманий лише при нагріванні реагентів в нафталіні як розчиннику протягом 48 год. В той же час при ініціації реакції ультразвуком фулерен реагує з антраценом і його алкільними похідними в О-діхлорбензолі, утворюючи моноаддукти з виходами від 60 до 90%.
Інший спосіб збільшення ефективності циклоприєднання антраценів і їх аналогів — проведення реакції в умовах високошвидкісного вібраційного подрібнення твердих реагентів («механохімічний синтез»). Вихід моноаддукта Дільса—Альдера в реакції антрацену (1.2 екв.) через 1 год такої обробки рівний 55%. Побічно утворюється 19% суміші ізомерних бісаддуктів. Високі виходи аддуктів Дільса—Альдера отримані також для механохімічного циклоприєднання тетрацена (61%) і нафто[2,3-а]пірена (5 1%). При механохімічному синтезі вихід продуктів циклоприєднання звичайно більше, ніж при використанні звичайних методів. Це пояснюється сприятливим положенням рівноваги хімічної реакції в умовах «механосинтеза». Важливу роль грає не тільки більш низька температура, але і відсутність розчинника. Циклоприєднання 9,10-диметилантрацена до фулерену при кімнатній температурі протікає оборотно при проведенні реакції в розчині. Навпаки, швидке розділення суміші, що утворилася після механохімічної обробки цих реагентів (30 хв), дозволяє виділити моноаддукт Дільса—Альдера з виходом 62%. При розчиненні цього циклоаддукта він піддається легкій дисоціації на фулерен і 9,10-ди- метилантрацен з періодом напіврозпаду близько 2 год. Просте розтирання суміші фулерена і антрацену в ступці малоефективне (вихід аддукта, за даними хроматографії, складає лише 2,3%), оскільки енергетичний бар'єр для циклоприєднання достатньо високий для протікання реакції при відносно слабкій механічній дії.
Вищі ацени в принципі можуть утворювати як різні регіоізомери моноаддукта, так і бісаддукти. Кип'ятіння еквімолярних кількостей пентацена і фулерена С60 в толуольному розчині дає продукт циклоприєднання по центральних вуглецях С(6), С(13) з виходом 59%. Використання 10-кратного надлишку фулерена дозволяє збільшити вихід до 86% (з розрахунку на той, що прореагував пентацен).

В умовах твердофазного механохімічного синтезу еквімолярні кількості цих же реагентів дають суміш продуктів (1:1, 1:2 і 2:1). Основним продуктом (19%) є моноаддукт. Крім того, з виходом 11% виділяється транс-бісфулереновий аддукт і 15% ізомерних біс(пентацено)фулеренів:

Використання двох еквівалентів фулерена дозволяє збільшити вихід біс(фулерено)пентацена до 16%.
Введення арильних замісників в положення 6 і 13 пентацена веде до обороту селективності циклоприєдання. В цьому випадку з добрими виходами (85% для R=Ph; 75% для R = 4-гідроксифеніл; 5 екв. фулерена) отримані цис-бісфулеренові аддукти.

Для пояснення відмінності в поведінці незаміщеного і 6,13-ди- арилзамещених пентаценів Міллер і Мек використовували результати напівемпіричних розрахунків методом РМЗ, які показали, що при використанні біциклопентилідена як моделі фулерена у випадку утворення моноаддукта приєднання по центральному ядру (С(6) -С(13) ) вигідніше і термодинамічно (ентальпія утворення на 4.0 ккал/моль нижче) і кінетично (бар'єр активації на 1.4 ккал/моль нижче), ніж приєднання по атомах (С(5) -С(14) ). Введення арильних замісників в положення 6 і 13 приводить до обороту стабільності циклоаддуктів, як наслідок, до обороту реакційної здатності. Ця відмінність збільшується із збільшенням розміру дієнофіла. В умовах як кінетичного, так і термо- динамічного контролю син-бісаддукти переважають над трансізомерами. Це результат специфічної взаємодії фулеренових ядер, оскільки у разі циклоприєднання диметилового ефіру ацетилендикарбонової кислоти утворюються як син-, так і анти-біс-аддукти відносно 1:1.3. Для перевірки цього припущення автори провели реакцію циклоприєднання фулерена з 6,13-біс(триметилсилилетиніл)пентаценом, об'ємні замісники якого перешкоджають здійсненню стабілізуючої π-складчатої взаємодії між фулереновими ядрами в перехідному стані другої стадії циклоприєднання. Дійсно, в цьому випадку через 24 год кип'ятіння реагентів в сірковуглеці виділений моноаддукт з виходом 75%. Бісаддукти утворюються повільніше. В суміші присутні як цис-, так і транс-бісаддукт, хоча автори не змогли твердо встановити, який із стереоізомерів переважає (відношення двох ізомерів приблизно 2.5:1).
Аддукти фулерена С60 з антраценом і його похідними цілком стабільні при кімнатній температурі, але розкладаються при нагріванні. Докладніше оборотність цієї реакції вивчена Саундерсом зі співробітниками спектроскопією ЯМР 3 Не з використанням 2 Не@С60 . При використанні великого надлишку (15 екв.) ДМА утворюється суміш моно-, біс-, трис- і тетраокисаддуктів. Константа рівноваги для утворення моноаддукта зменшується від 3600 при 295.4 К до 100 при 325.0 К. Для утворення біс-, трис- і тетракисаддуктів значення К2 , К3 і К4 при 295 К рівні 490, 41 і 2.3 л/моль. З температурної залежності значень К1 і К2 в інтервалі від 295.4 до 325.0 К отримані значення ∆G, ∆H, ∆S, рівні —4.8, —22.9 ккал/моль і —61.2 кал/моль•К для утворення моноаддукта, а також —3.7, —22.5 ккал/моль і -63.7 кал/моль•К для перетворення моноаддукта в бісаддукт. З цих величин можна розрахувати температури, при яких константа рівноваги рівна одиниці, тобто температури, при якій швидкість реакції Дільса—Альдера рівна швидкості зворотного процесу. Вони рівні 374 К для утворення моноаддукта і 353 К для його перетворення в бісаддукт. Аналогічні вимірювання для циклоприєднання фулерена С70 показують менше (в 4-7 разів) значення константи рівноваги для утворення моно- і бісаддуктів, що викликане менш негативним значенням теплового ефекту утворення аддукта (—21.1 ккал/моль для моноаддукта). Кінетичні і синтетичні аспекти оборотності [4+2]-циклоприєднання обговорені вище.
Відомо, що циклооктатетраєн вступає в багато реакцій [4+2]-циклоприєднання після електроциклічної ізомеризації в біцикло[4.2.0]окта-2,4,7-триєн. Кип'тіння фулерена С60 в хлорбензолі з 5 екв. циклооктатетраєна дає з виходом 79% (48 год) відповідний циклоаддукт.

Реакція [2+4]-циклоприєднання циклооктатетраєна також є оборотною, що слідує зі зменшення виходу аддукта із збільшенням температури. Більш того, тривале нагрівання при 180º С веде до утворення лише кількісних слідів циклоаддукта. В той же час аддукт цілком стійкий при кімнатній температурі і може зберігатися протягом 3 місяців без розкладання. Ця стабільність дозволяє здійснювати функціоналізацію аддукта з утворенням продуктів електрофільного приєднання або епоксидування подвійного зв'язку його циклобутенового фрагмента.
Напрям реакцій електрофільного приєднання до цього аддукту помітно відрізняється від результатів, знайдених для аддуктів циклооктатетраєна із звичайними дієнофілами, для яких утворюються в основному продукти кросс- і цис-приєднання електрофільних реагентів.
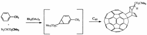
На відміну від циклооктатетраєна циклогептатриєн реагує з фулереном в обох ізомерних формах — і як циклогептатрієн, і як норкарадієн, причому кінетично контрольованим продуктом є аддукт, що утворюється з норкарадієна. Інший спосіб утворення аддукта [4+2]-циклоприєднання між фулереном і норкарадієнами використаний в роботі, де до толуольного розчину фулерена і трет-бутилдіазоацетата (1:3) додавали діацетат родія. Той, що утворюється карбеноїд реагує з більш термодинамічно стійким толуолом, даючи похідну норкарадієна. Остання і взаємодіє з фулереном по реакції Дільса—Альдера з 43% виходом циклоаддукта (на основі фулерена, що прореагував). При цьому вихід метанофулерена складає лише 4%.
При проведенні аналогічної реакції в бензольному розчині вихід аддукта Дільса—Альдера складає 24%. Анти-екзо орієнтація циклоприєднання пояснюється значними стеричними вимогами трет-бутоксикарбонільної групи. Отримані циклоаддукти далі можна трансформувати у відповідну кислоту та/або інші її похідні.
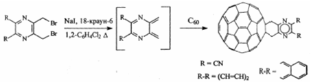
[4+2]-Циклоприєднання стає необоротним, якщо подвійний зв'язок циклоаддукта, що утворюється, включений в ароматичну систему, як у випадку реакції ізобензофурана. Більшість подібних дієнів, похідних орто-хінодиметана, нестабільні через легко протікаючу ароматизацію. Генерація орто-хінодиметанів in situ — важливий спосіб отримання реакційнозддатних дієнів, вступаючих в необоротну реакцію [4+2]-циклоприєднання з фулереном С60 . Існує ряд методів генерації ортохінодиметанів. Найбільш часто для цієї мети використовується йодидіндуковане 1,4-дегідрогалогенування орто-біс(бромометил) бензолів. Цей метод не раз використовувався для утворення аддуктів Дільса—Альдера з фулереном С60 . Як характерний приклад приведемо нагрівання 1,2-біс(бромометил)-4,5-диметоксибензола з йодидом тетрабутиламонія в толуолі:

Аналогічним шляхом отримували аддукти фулерена з 1,4-диметокси- і 1,4-дигідрокси-2,3-біс(бромометил)автрахіноном, фулеренотіофени і фулеренохіноксаліни:

Швидкість реакції і вихід продукту помітно збільшуються при дії ультразвука (для 2,3-біс(бромометил)хіноксаліна вихід аддукта Дільса—Альдера рівний 13% після 24 год кип'ятіння в о-дихлорбензолі і 26% — через 30 хв реакції під дією ультразвука).
Реакцією фулерена з дієнами, що генеруються з відповідних орто-біс(бромометил)аренів, отримані фотоактивні з'єднання, що містять як електронноакцепторний фулереновый фрагмент, так і електроннодонорний тетратіафульваленовий фрагмент або його аналоги:

На відміну від дії NaI/18-краун-6, обробка 2,3-біс(бромо- метил)[2.2.2]окта-2,5-дієна трет-бутилатом калія дає в результаті дегідрогалогенування бромодієн. Що утворився в результаті взаємодії з фулереном аддукт цього дієна нестійкий і відщеплює НВг за умов реакції. В результаті утворюється похідне фулероциклогексадієна, яке, проте, недостатньо стабільно для виділення і розкладається, утворюючи незвичайний фулероїд:

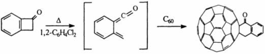
Інший спосіб генерації похідних орто-хінодиметана полягає у фотохімічній ізомеризації о-толуальдегіда і його аналогів:

Виходи циклоаддуків, основані на поглиненому фулерені, складають в цій реакції 63-87%. Застосовуваність даного підходу здається вельми обмеженою. При опромінюванні о-метилбензофенона в присутності С60 спочатку утворюється циклоаддукт нестійкий і розщеплюється, утворюючи 1-(2-бензоїлфеніл)метил-1,2-дигідро-фулерен:

Це розщеплення викликане, однак, нестабільністю аддукта Дільса—Альдера, що утворюється в результаті перенесення протона від гідроксигрупи, оскільки при генерації дієна термічно індукованим перегруповуванням 3-фенілбензоциклобутенола, замість аддукта [4+2]- циклоприєднання також отриманий продукт, відповідний гідроалкілуванню. Дійсно, нагрівання 3-феніл-3-метоксибензоциклобутенона з фулереном дає продукт циклоприєднання, стійкий при тривалому кип'ятінні в толуолі. Стійкий і аддукт, отриманий термолізом 1-бутил-1-гідроксибензоциклобутена.

Термоліз бензоциклобутенів — загальний спосіб генерації ортохінодиметанів, у тому числі для отримання досить незвичайних циклоаддуктів:

Нагрівання фулерена і 3,6-дигідроксибензоциклобутенів з подальшим окисненням аддукта 2,3-дихлор-5,б-диціан-1,4-бензохіноном, що утворився дає фулеробензохінони (Х=Н,Cl):

Цей метод особливо зручний для синтезу фулеротетралінів, що містять різні замісники при бензильному атомі вуглецю, наприклад, гідрокси- і ацилоксизаміщенні похідні:

Аналогічно реагують і бензоциклобутени з карбоксильним замісником:

Нагрівання бензоциклобутенона в о-дихлорбензолі у присутності фулерена протікає аналогічно, даючи фулеротетралін:

Цей же підхід використаний для отримання фулеренвмісних високомолекулярних сполук, для чого використовували похідну біс(бензоциклобутена):

Нагрівання 1,2-біс(триметилсилилокси)циклобутена з 0,6 екв. фулерена в 1,2-дихлорбензолі веде до утворення моноаддукта гідроліз якого дає описаний раніше ацилоін з сумарним виходом 50% (89% на основі того, що прореагував фулерена), а низькотемпературна обробка бромом веде до нестабільного дикетону, який може бути виділений або у вигляді біс(О-метил)оксима, або перетворений in situ в похідні феназіна:

На відміну від реакцій більшості інших бензоциклобутенів, циклоаддукт фулерена з 1,1,2,2-тетраізопропілбензо-1,2-дисилациклобутеном вдається виділити лише при опромінюванні в присутності трет-бутилового спирту, тоді як у відсутності спирту фулерен повністю поглинається, але утворюється суміш, що не ідентифікується.
Гетероциклічні похідні фулерена можна одержувати також реакцією Дільса—Альдера між фулереном і гетеродієном. Останні звичайно генеруються in situ. Наприклад, 1-аза-заміщені дієни одержували декарбоксилюванням похідних 3,1-бензоксазин-2-она.

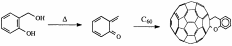
Термоліз о-амінобензилових спиртів приводить до утворення реакційноздатних орто-хінонметидимінів, реагуючих з фулереном з утворенням фулерохінолінів:

Аналогічно, о-хінонметид, що використовується для синтезу фулерохроманів, генерували термолізом о-гідроксибензилового спирту:

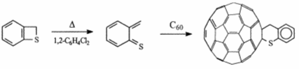
Як і у випадку антрацену, реакція швидшає при дії ультразвука. Навпаки, фулеротіохроман отримували нагріванням бензотієта — тіо-аналога бензоциклобутена.

У якості дієнового фрагменту використовувалися також α,β-ненасиченні тіокарбонільні сполуки, отримані ацилюванням тіоакриламіда. На відміну від більшості інших гетеродієнів, стабільні 2-азадієни достатньо активні, щоб давати аддукти Дільса—Альдера з фулереном без помітного ретро-розпаду за умов реакції. Проте і в цьому випадку рекомендується перетворювати аддукти на більш стабільну форму аміда:

В цій реакції, не дивлячись на застосовування триразового надлишку дієна, поліаддукти знайдені не були.
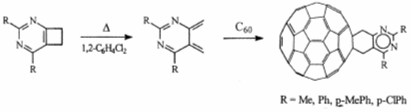
Пірімідинциклобутени при нагріванні в орто-дихлорбензолі ізомеризуються у відповідні хінодиметани, реакція яких з фулереном С60 приводить до утворення хіназолінофулеренів:

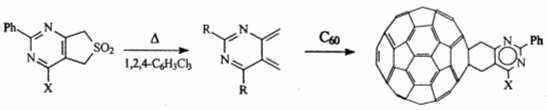
Кавалейро зі співробітниками використовували альтернативний спосіб генерації орто-хінодиметанового похідного піримідина — нагрівання відповідного сульфолена:

Цей спосіб застосовувався для генерації і інших гетероциклічних похідних фулерена – піриьідонів:

оліготіофенів, що містять до п’яти тіофенових кілець:

і інших сірковмісних циклів:

Термоліз сульфоленів використаний також для генерації олігомірних фулеренових похідних (n = 0 ÷ 5); сполуки з n = 0 і 1 були виділені препаративною хроматографією, а вищі олігомери охарактеризовані мас-спектрометрично:

Нагрівання фулерена з сумішшю дисульфона і сульфоно-сульфоксида дає інший тип олігомерів, додатковий тетрагідронафталіновий фрагмент, що міститься у фулереновому ядрі:

Кип'ятіння тетрасульфоленового похідного мезо-тетраарилпорфірината цинку з 10 еквівалентами порфірина в 1,2-дихлорбензолі протягом 10-15 год дає порфірин, що містить чотири фулеренових замісники:

Залежно від умов і тривалості реакції можна отримати переважно моно-, біс- і трис(фулерено)порфіринати. Аналогічно, взаємодією моносульфоленопорфірината з фулереном Монтфортс і Кутцкі отримали фулеренохлорин з мінімальним розділенням донорного і акцепторного фрагмента.
Дієни утворюються при екструзії діоксиду сірки не тільки з похідних сульфолена, але і з сультінів:

Реакції протікають швидше та ефективніше під дією ультразвука:

Алкоксизамещені аддукти далі дією ВВг3 перетворювали в дигідроксипохідні, окиснення яких дає відповідні бензохінони.
Генеруючий in situ біс-орто-хінодиметан приєднує дві молекули фулерена:

При кип'ятінні в толуолі 2,3,5,6,7,8-гексаметилиденбіцикло [2.2.2]октана з надлишком фулерена утворюється трис-аддукт Дільса— Альдера:

Іто зі співробітниками генерували дієн обробкою похідного гепта-1,6- діїна триалкілсиланом у присутності PhСI(РРh3 )3 . Похідне циклопента-1,2-диметилена, що утворюється, вступає в реакцію з фулереном, даючи аддукт Дільса—Альдера з 36%-вим виходом. Дієн, що утворюється можна також виділити. Реакція фулерена з очищеним дієном, протікаючи в порівнянних умовах, призводить до більш високого виходу циклоаддукта (58%).

Аналогічні результати (без виділення дієна) отримані при використанні дипропаргілового ефіру і N,N-дипропаргілтозиламіна.
Нагрівання η5 -біцикло[3.2.0]гепта-1,3 -дієнового комплексу кобальту в орто-дихлорбензолі також веде до утворення дієнового фрагмента, який захоплюється присутнім фулереном, утворюючи моно- і ізомерні біс-аддукти Дільса—Альдера з виходами 28 і 12%, відповідно:

Комплекс карбоніла заліза використовувався для отримання циклоаддукта з похідним циклобутадієна, що дозволяє синтезувати не- доступні звичайними шляхами фулерен-зчленовані біцикло[2.2.0]гексани:

Фулерен поводиться в реакції Дільса—Альдера як електрон- дефіцитний дієнофіл. Отже, електрон-надлишкові дієни — найбільш підходящі реагенти для [2+4]-циклоприєднання. Численні приклади таких реакцій обговоренні вище. В той же час фулерен С60 реагує і з електрон-збитковими дієнами, демонструючи здатність вступати в реакції Дільса—Альдера із зворотними електронними вимогами. Міллер і Тетро показали, що кип’ятіння толуольного розчину 3,6-диарил-1,2,4,5-тетразинів з фулереном С60 дає фулеропіридазин з виходом 50-60%:

Проведення тієї ж реакції у присутності світла веде до утворення 4,15-дигідропохідних. Передбачається, що на світлі невелика частка тетразина відновлюється в дигідротетразин, який відновлює спочатку утворившийся аддукт Дільса— Альдера по механізму перенесення електрона/перенос протона.
Фулерен вступає в реакцію Дільса—Альдера не тільки з похідними тетразина, але і з іншими електрон-збитковими дієнами. Наприклад, Егучі з співробітниками знайшли високу ефективність циклоприєднання при нагріванні фулерена з 2-заміщеними бутадієнами. Замісник при атомі С(2) може бути як донорним (силилокси-), так і акцепторним. В результаті отримані фулерени, містять складноефірну, ціано-, кето-, сульфо- і нітро-групи:

Ті аддукти, що утворюються, проявляють підвищену стійкість до ретро-розпаду. Ця стабільність пояснена авторами як результат сполучення подвійного зв'язку продукту з акцепторним замісником.
Описані також реакції Дільса—Альдера фулерена з тропоном і його похідними, 2-піроном, 6,6-диметоксициклогекса-2,4-дієноном і його аналогами і іншими дієнами з акцепторними замісниками. Більш того, в реакцію [4+2]-циклоприєднання з фулереном вступають дієни з набагато більш вираженими електроноакцепторними властивостями. Фулерен реагує (хоча і з невеликим виходом) навіть з 2,3-біс(фенілсульфоніл)бута-1,3-дієном, який не утворює аддукти Дільса—Альдера з нормальними дієнофілами. При використанні ж дієнів з двома акцепторами середньої сили виходи реакції циклоприєднання можна порівняти лише з результатами, отриманими для незаміщених і багатьох електрононадлишкових дієнів. Наприклад, нагрівання фулерена з 2,3-біс(метоксикарбоніл)-1,3-циклогексадієном приводить до утворення відповідного аддукта Дільса—Альдера, а термоліз 3,4-диалкоксикарбонілсульфоленів у присутності фулерена С60 веде до утворення циклоаддуктів з виходом 32-47%:

Циклоаддукти, що містять електроноакцепторні групи, легко піддаються подальшій модифікації з утворенням самих різних фулеренових похідних.
Незвичайне циклоприєднання продемонстрували Мурата з співробітниками, в якому у якості дієнового компонента виступали електрон-збиткові металлациклопентадієни:

Платина- і палладациклопентадієни з різними лігандами і складноефірними групами вступають в цю реакцію, даючи фулероциклогексадієни з виходами від помірних до вельми добрих (71% для L = диметилгліоксимат, М=Рd, R=СН3 ). У разі трифенілфосфінового комплексу напрям реакції залежить від розчинника: в толуолі, що містить 20% ДМСО, [4+2]-циклоприєднання — основна реакція (вихід аддукта рівний 44%), а в толуолі з 20% ацетонітрила основний продукт — комплекс С60 Рd(РРh3 )2 (вихід 20%).
Металлациклопентадієни можуть генеруватися in situ при дії М(II) на 1,6-діїни. Подальша їх взаємодія з фулереном приводить до фулероциклогексадієнів. Цю реакцію можна описати формально також як [2+2+2]-циклоприєднання:

Схоже [2+2+2]-циклоприєднання етил- і метилпропіолата з фулереном у присутності трициклогексилфосфіна дає фулероциклогексадієни з орієнтацією сложноефірних груп «голова до хвоста»:

Хоча реакція Дільса—Альдера звичайно протікає по злагодженому механізму (шлях АС на мал.), у ряді випадків наголошувалася реалізація постадійних механізмів з утворенням бірадикальних (шлях АВС або АDС) або цвиттер-іонних (AFС, АКС, АМС, АНС) інтермедіатів. Останні можуть утворюватися як напряму, так і по механізму перенесення електрона як перша стадія процесу з подальшою взаємодією катіон-радикального і аніонрадикального фрагмента, ведучим до утворення цвиттер-іона (наприклад, шлях АЕFС).

Трьохмірна діаграма реакції Дільса-Альдера
Механізм перенесення електрона запропонований вище. Враховуючи значний електронодефіцитний характер фулерена, такий механізм здається вірогідним при використанні дієнів з яскраво вираженими електронодонорними властивостями. Дійсно, Мікамі зі співробітниками показали реалізацію механізму перенесення електрона в реакції фулерена з дієнами Данишевського: (1Е)-1-метокси-3-триметилсилоксибутадієном і його (IЕ,3Z)-2,4-диметильним похідним. Ця реакція дає суміш транс- і цис-аддуктів з переважанням транс-ізомеру, що не узгоджується із злагодженим механізмом [4+2]-циклоприєднання.

Утворення «неузгодженого» транс-аддукта не є результатом цис-транс ізомеризації, оскільки збільшення часу реакції веде до повільного зменшення частки транс-аддукта (5% транс- і 1% цис-аддукта через 30 хв, 13% транс- і 3% цис-аддукта через 1 год; 36 і 33% через 6 год). Як і у разі взаємодії фулерена із заміщеними антраценами, реакція швидшає при опромінюванні реакційної суміші (18% транс-аддукта після 30 хв реакції). Це прискорення — результат більш ефективного перенесення електрона від електрон-надлишкового дієна до триплетного стану фулерена в порівнянні з його синглетною формою:

Реакційна здатність диметильного похідного вище, ніж у самого (1Е)-1-метокси-3-триметилсилоксибутадієна (24% після 6 год реакції при кімнатній температурі), але за фотохімічних умов проведення реакції ця відмінність зникає або навіть обертається.
Висновок про реалізацію механізму перенесення електрона (а не просто утворення бірадикального інтермедіата) був зроблений на підставі наступних фактів. По-перше, вдалося спостерігати спектр утвореного в ході реакції аніон-радикала фулерена. Швидкість розпаду триплетного стану фулерена пропорційна концентрації доданого дієна. По-друге, швидкість реакції добре узгоджується з величиною, оціненою для процесу перенесення електрона з величин потенціалів окиснення і відновлення реагуючих молекул. Ето відкидає можливість, що аніон-радикал не є інтермедіатом, а утворюється в якомусь побічному процесі. Постадійний механізм з перенесенням електрона на першій стадії процесу запропонований і для циклоприєднання 9-метилантрацена, що обговорювався вище.
Утворений в результаті циклоприєднання шестичленний цикл можна використовувати для подальшої регіоселективної модифікації, одержуючи похідні фулерени з різноманітними властивостями. Серед інших напрямів подальших модифікацій аддуктів Дільса—Альдера можна відзначити гідроліз продукту реакції з 1-триметил- силилоксибутадієном з подальшою дегідратацією, ведучою до утворення фулеро[е]циклогексадієна (вихід 88%). Останній виділяли в чистому вигляді або як комплекс трикарбоніла заліза або піддавали перегруповуванням, що фотоініціюються, ведучим до біс-метанофулероїдній структурі:

Той же продукт був отриманий фотолізом 1-гідрокси-1,4-дигідро- бензо[b]фулерена у присутності n-толуолсульфокислоти. Такий підхід має синтетичні переваги, оскільки 1-гідрокси-1,4-дигідробензо[b]фулерен утворюється з добрим виходом при кип’ятінні толуольного розчину фулерена і відносно дешевого 1-(триметилсилокси)бутадієна з подальшим кислотним гідролізом силилового ефіру.
Більш прості перетворення, використані Рубіним зі співробітниками дозволяють, однак, отримати вельми широкий спектр похідних фулерена, включаючи фулеронуклеотиди:

4. Типова методика реакції [2+4]-циклоприєднання з електрон-надлишковими дієнами
1’,4’-Діокса-1’,2’,3’,4’,5’,6’,7’,8’-тетрагідронафталіно[6’,7’:1,21[60] фуллерен

Суміш 101 мг С60 і 22.37 мг 2,3-диметилен-1,4-діоксана в 50 мл толуолу дегазують пропусканням азоту і перемішують при відсутності світла протягом 12 год. Розчинник упарюють при зниженому тиску, чорний порошок, що утворюється, очищають колонною хроматографією (85 г А12 03 , елюєнт толуол:гексан, 2:1, 500 мл), виділяючи не прореагувавший С60 (32 мг) і 58 мг (49%, 73% з розрахунку на прореагувавший фулерен) аддукта Дільса—Альдера у вигляді чорного порошку.
УФ спектр (СН2 СI2 ), λмакс (ε): 327 (34974), 431 (3747).
УФ спектр (толуол) λмакс (ε): 433 (3229), 640 (651), 704 (679).
ІЧ-спектр (Фурьє-претворення) (КВг)‚ ν, см-1 : 1510, 1318, 1234, 1181, 765, 552, 526.
Спектр ЯМР 13 С (90.5МГц, СS2 —СDС13 , 9:1), м.д.: 155.91
147.29, 146.21, 145.91, 145.41, 145.26, 145.14, 144.95, 144.38, 142.82
142.32, 142.09, 141.79, 141.33, 139.89, 135.29, 118.59, 66.31, 65.66
42.50.
Мас-спектр (MALDI-TOF, 1,8,9-тригідроксиантрацен) m/z (I, %):
834 (22), 720 (100).
5. Типова методика реакції [2+4]-циклоприєднання з електрон-збитковими дієнами
1’,4’-дигідро-2’,3’-ди(фенілсульфоніл)бензо[60]фулерен

Розчин 50мг (0.0б9 ммоль) С60 , і 464мг (1.39 ммоль) 2,3-ди(фе- нілсульфоніл)-1,3-бутадієна в 1,2-дихлоретані нагрівають при 180°С протягом 4 год. Суміш охолоджують, розчинник видаляють у вакуумі, залишок хроматографують (элюент-толуол), одержуючи циклоаддукт Дільса—Альдера, вихід 8 мг (9%, 27% з розрахунку на прореагувавший фулерен), і непрореагувавший фулерен (30 мг).
ІЧ-спектр (КВr), ν, см-1 : 2920, 1447, 1331, 1159, 1082, 752, 720, 527.
Спектр ЯМР 13 С (125 МГц, СS2 —СDС13 , 1:1), м.д.: 150.04, 147.74
146.58, 146.34, 145.54, 144.61, 143.16, 142.73, 142.14, 142.03, 141.80
139.42, 135.54, 134.53, 129.65, 129.30, 65.10, 44.70.
6. Типова методика реакції [2+4]-циклоприєднання з о-хінодиметанами, що генерувалися in situ з о-ди(бромметал)аренів
5',8'-Дигiдро-2’,3’-дицианохіноксаліно[g][60]фулерен

До киплячого розчину 0.125 мг (0.17 ммоль) фулерена С60 , 0.104 мг (0.69 ммоль) і 138 мг (0.52 ммоль) 18-краун-б в 25 мл о-дихлорбензолі добавляють 0.19 ммоль 2,3-диціано-6,7-біс(бромометил)піразина. Коричневу реакційну суміш, що виходить, кип'ятять протягом 5 год. Розчинник видаляють при зменшеному тиску, залишок хроматографують на сілиікагелі, використовуючи як елюєнта суміш циклогексана і СНСI3 . Отримане з'єднання промивають метанолом. Вихід аддукта Дільса—Альдера 16% (43% з розрахунку на прореагувавший фулерен).
УФ спектр (СНСI3 ), 342, 432, 692.
ІЧ-спектр (Фурьє-перетворення) (КВr), ν, см-1 : 2963, 2920, 1377, 1261, 1096, 1020, 800, 767, 526.
Спектр ЯМР 13 С (СS—СDСI3 ), 6, м.д.: 157.5 1, 153.70, 147.80, 146.6 1, 145.76, 145.56, 144.58, 144.30, 143.21, 142.73, 142.09, 141.78, 140.43,
135.15, 132.88, 112.85, 64.02, 46.82.
7. Типова методика реакції [2+4]-циклоприєднання з дієнами, що генерувалися in situ з сульфоленів

До киплячого розчину 144 мг (0.2 ммоль) С6 0 в толуолі добавляють 41мг (0.1 ммоль) сульфоленового похідного тетратіафульвалена у
8 мл бензонітрила. Розчин, що виходить, кип'ятять протягом 1 год. Розчинник упарюють. Залишок хроматографують на сілиікагелі (елюеєнт: СS2 /СН2 СI2 ), одержуючи 85 мг (59.5%) не прореагувавшого фулерена, 50 мг (58%) моноаддукта Дільса—Альдера, виділеного у вигляді чорних мікрокристалічних голок, і 18 мг суміші бісаддуктів (15.4%), виділених у вигляді коричневого порошку.
Список умовних скорочень
ВЗМО−вищої зайнятої молекулярної орбіта лі
НЗМО – нижньої зайнятої орбіталі
ПС- перехідний стан
R – радикал
Екв. – еквівалент
УФ-спектр – ультрафіолетовий спектр
ІК-спектр – інфрачервоний спектр
Список використаної літератури
1. http://shp.by.ru/sci/fullerene
2. http://www.krugosvet.ru/articles/43/1004371/1004371a1.htm
3. http://ru.wikipedia.org/wiki/фуллерены
4. http://perst.issp.ras.ru/contacts_Full.htm
5. http://grani.ru/Techno/m.66682.htm
6. http://elementary.ru/news/164992
7. http://www.meo.ru/catalog/395/79059.htm
8. http://kristall.lan.krasu.ru/Education/Lection/carbon/carbon2/carbon2.html
9. http:// www.5ka.ru/alike/29025.html
10. Соколов В. И., Станкевич И. В. Фуллереныновые аллотропные формы углерода: структура, электронное строение и химические свойства//Успехи химии, т.62 (5), с.455, 1993.
11. http://jsc.che.nsk.su/jsc_rus/2005-t46/n6/1_Full.pdf
12. http://www.ioffe.ru/journals/pjtf/2002/04/p1-6.pdf
13. http://www.issep.rssi.ru/pdf/0011_046.pdf
14. http://physics.wups.lviv.ua:8102/depts/KFM/im/r_nano.pdf
15. http://www.vesna.org.ua/txt/saranchv/fizhimk/ch-1.html
16. http://phd.cl.bas.bg/bg/programs_bg/clsene4.htm
17. http://www.microsystems.ru/files/publ/601.htm
18. http://www.ioffe.ru/journals/ftt/2006/07/p1324-1328.pdf
19. http://www.krugosvet.ru/articles/43/1004371/1004371a1.htm
20. http://www.rsci.ru/smi/?id=1389
21. http://arw.asu.ru/~sokol/server/resours/article/applicat/fuller.html
22. http://www.bigpi.biysk.ru/encicl/articles/43/1004371/1004371F.htm
23. http://kristall.lan.krasu.ru/Education/Lection/carbon/carbon2/carbon2.html
24. http://www.ostu.ru/departm/physics/sim/Scient/Fostu03.htm
25. Л.Н. Сидоров, М.А. Юровская „Фуллерены” Учебное пособие, М.: Экзамен, 2005.