| Скачать .docx |
Реферат: Определение степени полимеризации целлюлозы
ОПРЕДЕЛЕНИЕ СТЕПЕНИ ПОЛИМЕРИЗАЦИИ ЦЕЛЛЮЛОЗЫ
Москва, 2009
Введение
Молекулярная масса целлюлозы является одной из важнейших ее характеристик и в значительной степени определяет как области практического использования различных препаратов целлюлозы, так и физико-механические свойства получаемых из нее волокон и пленок. Целлюлоза - линейный гомополимер с одинаковыми звеньями и связями, поэтому размер ее цепной молекулы обычно характеризуют степенью полимеризации, т.е. числом звеньев в макромолекуле. Однако целлюлоза, подобно другим полимерам, полидисперсна, т.е. состоит из молекул различной длины, поэтому значения M или СП, определенные с помощью того или иного метода, являются средними величинами. Различают среднечисленную и среднемассовую молекулярные массы.
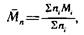
Среднечисленная молекулярная масса Mn представляет собой среднеарифметическую величину, определяемую числовыми долями макромолекул каждого размера:
![]()
где лДл,, л2 , /I3 .) - число молекул с молекулярной массой Ai,.
Среднемассовая молекулярная масса Mw - среднестатистическая величина, определяемая массовыми долями макромолекул каждого размера,
![]()
где Wi - массы фракций макромолекул с молекулярной массой MjiMl , M2 , Ai3 . .); масса каждой фракции равняется числу макромолекул в ней, умноженному на соответствующую молекулярную массу Wi = Hi Mi .
В практике чаще всего определяют средневязкостную молекулярную массу
![]()
где а - эмпирическая постоянная, характеризующая форму макромолекул для данной системы целлюлоза - растворитель при определенной температуре. Ее значение обычно больше 0,5 и меньше или равно 1,0.
Для полидисперсных полимеров
причем Mv
ближе к Мш
, чем к Mn
. Отношение Mw
/Mn
служит характеристикой полидисперсности. Чем больше это отношение, тем больше неоднородность образца целлюлозы по молекулярной массе.
Значения СП целлюлозы изменяются в широких пределах в зависимости от происхождения образца и для природных древесных целлюлоз лежат в интервале 5000...10000. Химическая обработка древесины - варка, отбелка - сильно снижает степень полимеризации целлюлозы. Например, СП беленой сульфитной целлюлозы находится в пределах 1200...1800, а у соответствующей сульфатной целлюлозы 1000...1400. Таким образом, определение средней степени полимеризации целлюлозы позволяет достаточно точно охарактеризовать ее степень деструкции при различных химических, физических и биологических воздействиях.
Влияние степени полимеризации на отдельные стадии технологического процесса получения искусственных волокон и пленок и их качество неоднозначно. Установлено, что увеличение степени полимеризации целлюлозы благоприятно сказывается на механических свойствах искусственных вискозных волокон, в частности на усталостной прочности. Однако при этом резко возрастает вязкость вискозы и затрудняется ее переработка. С увеличением степени полимеризации также понижается растворимость целлюлозы и ее производных. Поэтому при производстве целлюлозы для химической переработки степень полимеризации регулируется до оптимального значения, определяемого параметрами технологического процесса. В зависимости от области применения целлюлозы ее СП изменяется в пределах от 600 до 1500. В литературе также отмечается, что целлюлоза с СП свыше 1500 устойчива к укорочению волокон в процессе размола, а волокна целлюлозы с СП, составляющей около половины этого значения, легко укорачиваются.
1. Методы определения степени полимеризации целлюлозы
Все методы можно разделить на химические и физико-химические.
Химические методы - методы концевых групп позволяют определять среднечисленное значение молекулярной массы Mn . Однако в химии целлюлозы из-за малой точности их применяют только для качественной характеристики технических целлюлоз, например определение медного числа целлюлозы.
Физико-химические методы основаны на измерении свойств макромолекул целлюлозы в растворах. Для этого целлюлозу растворяют непосредственно в растворителях или превращают в ее производные, которые растворяются в соответствующих растворителях. В зависимости от измеряемых свойств физические методы определения молекулярной массы целлюлозы подразделяются на термодинамические, молекулярно-кинетические и оптические. Кроме того, все эти методы можно подразделить на абсолютные и косвенные.
В абсолютных методах измеряется какое-либо свойство, непосредственно связанное с молекулярной массой Mn или Mm . В косвенных методах по измеряемому свойству рассчитывают среднюю молекулярную массу с помощью константы, которую определяют по образцу целлюлозы с известной М.
Для определения молекулярной массы целлюлозы из абсолютных термодинамических методов используют определение осмотического давления, - определение скорости седиментации, а также определение интенсивности светорассеяния. Для расчета молекулярной массы по данным абсолютных методов необходимы универсальные константы и константы вещества, например плотность, которую легко определить. Наиболее информативным является метод седиментации в ультрацентрифуге. Он позволяет получить среднемассовую величину молекулярной массы Mw и дает полную характеристику молекулярно-массового распределения целлюлозы и ее гидродинамических параметров. Однако широкое применение этого метода на практике ограничено сложностью и высокой стоимостью аппаратуры и сложными расчетными операциями.
При определении степени полимеризации целлюлозы абсолютными физико-химическими методами встретились с определенными трудностями. Целлюлоза, как полярный кристаллический полимер, растворяется только в растворителях, которые, как правило, вступают с ней в химическое взаимодействие. Для определения степени полимеризации целлюлозы нашли применение различные комплексные основания и фосфорная кислота. В то же время в этих растворителях может происходить деструкция целлюлозы и, следовательно, снижение молекулярной массы.
В научных исследованиях, чтобы избежать деструкции целлюлозы в растворителе, ее превращают в тринитрат, который растворим в обычных органических растворителях - ацетоне, этилацетате. Однако и в этом случае необходимо следить, чтобы при получении нитрата целлюлозы не произошло деструкции цепей.
Важным условием при определении молекулярной массы является также то, что раствор целлюлозы должен быть истинным, т.е. диспергирование целлюлозы должно быть полное до молекул. Это возможно только лишь при очень малых концентрациях, что требует повышения точности измерения.
Кроме того, при определении молекулярной массы каким-либо методом возникают трудности, свойственные только этому методу. Например, осмометрический метод не применяется к природной целлюлозе, так как ее растворители растворяют используемые в практике полупроницаемые мембраны осмометра. Из-за длительности определения целлюлоза претерпевает значительную деструкцию. Определению молекулярной массы методом светорассеяния мешает окраска, характерная для растворов природной целлюлозы во многих растворителях. При использовании ультрацентрифуги растворители целлюлозы могут вызвать коррозию кювет, а длительность эксперимента приводит к деструкции целлюлозы.
Наиболее простым и доступным методом определения молекулярной массы целлюлозы почти во всей области значений молекулярных масс, представляющих практический интерес, является вискозиметрия. Применяемая аппаратура намного проще, чем в других физико-химических методах. Различия в полидисперсности образцов целлюлозы не влияют на точность измерения. Однако этот метод, как косвенный, не очень точен. В то же время он достаточно широко используется для относительных измерений, проводимых с целью сравнения однотипных образцов, например при анализе технических целлюлоз. Вискозиметрический метод используется как для качественной характеристики технической целлюлозы, так и с целью определения средней степени полимеризации целлюлозы.
Основными растворителями, используемыми в настоящее время при аискозиметрическом измерении, служат комплексные соединения металлов: медно-аммиачный реактив - гидроксид тетрааммин меди 2 ; кадмийэтилендиамин - гидроксид трискадмия.
2. Определение вязкости медно-аммиачного раствора целлюлозы
Для качественной характеристики целлюлозы обычно определяют динамическую вязкость растворов, при этом пользуются сравнительно высокой их концентрацией. Такая концентрация соответствует не свободному движению макромолекул, а частичной их ассоциации. В этих условиях вязкость растворов целлюлозы изменяется не пропорционально ее степени полимеризации, и найденные значения вязкости не дают возможности определять численные значения степени полимеризации целлюлозы. Однако при использовании растворов одной и той же концентрации по вязкости можно сравнительно надежно контролировать степень деструкции целлюлозы в процессах варки и отбелки и определять пригодность полученных образцов целлюлозы для их дальнейшей переработки, а также оценивать ожидаемые физические свойства готовых волокон и пленок.
Для измерения вязкости наибольшее распространение получил капиллярный метод, основанный на измерении времени истечения определенного объема жидкости через капиллярную трубку. Динамическую вязкость з рассчитывают на основании закона Пуазейля:
![]()
где г - радиус капилляра; с - давление, под которым вытекает жидкость; V - объем жидкости, вытекающий за время <; / - длина капилляра. Однако абсолютных измерений не производят, а сравнивают время истечения испытываемого раствора с временем истечения такого же объема жидкости, вязкость которой известна.
Если жидкость вытекает из капилляра под действием силы тяжести, то разность давлений p=gfiQ, где g - ускорение силы тяжести; H - высота столба жидкости; с - плотность раствора. Отсюда
![]()
Константу вискозиметра определяют по жидкостям с известной вязкостью. Для калибровки капиллярных вискозиметров, предназначенных для измерения вязкости растворов целлюлозы, пользуются водными растворами глицерина с известной вязкостью.
Обычно для измерений используют капиллярные вискозиметры типа Оствальда или Уббеллоде, а также их модификации. В обоих типах вискозиметров можно получить достаточно точные результаты определений. Ошибки в отсчете времени уменьшаются, если использовать автоматически работающие капиллярные вискозиметры. Для проведения точных измерений требуется соблюдение способов приготовления и очистки растворов и промывки вискозиметра. Например, при использовании очень разбавленных растворов и при неправильном проведении промывки вискозиметра на стенках капилляра могут адсорбироваться макромолекулы целлюлозы и тем самым затруднять последующие серии измерений.
Для определения вязкости растворов беленых облагороженных целлюлоз, предназначенных для химической переработки, в соответствии с ГОСТ 14363.2-83 применяют 1% -ный медно-аммиачный раствор целлюлозы в присутствии металлической меди как восстановителя. Защитное действие металлической меди объясняют тем, что она взаимодействует с Cu2+ в медно-аммиачном растворе по равновесной реакции:
![]()
Образующаяся Cu+ как восстановитель взаимодействует с кислородом воздуха. По мере ее расхода равновесие реакции сдвигается вправо.
Методика анализа в соответствии с ГОСТ 14363.2-83. Вязкость раствора измеряют на капиллярном вискозиметре типа ВПЖ-3 с постоянной 0,1...0,5 мм2 /с2 при температуре °С.
Постоянная вискозиметра выбирается в зависимости от ожидаемого значения измеряемой динамической вязкости.
Растворение целлюлозы в медно-аммиачном растворе проводят в толстостенных стеклянных банках с плотно пришлифованными пробками вместимостью 30...50 см3 . Рабочий объем банок определяют следующим образом: в чистую сухую банку помещают 9 или 15 г кусочков электротехнической медной проволоки и заполняют банку из бюретки дистиллированной водой с температурой 0 C полностью до пробки. Рабочий объем банки V в см3 рассчитывают по формуле
V = a - 0,3,где а - общий объем воды в банке, см3 ; 0,3 или 0,5 - объем, занимаемый навеской целлюлозы соответственно при объеме банки 30 или 50 см3 .
Масса навески воздушно-сухой целлюлозы т, г, подготовленной в виде отливок, необходимую для приготовления 1% -ного раствора, рассчитывают по формуле m = Vc/g\00, где V - объем медно-аммиачного раствора, см3 ; g - масса навески абсолютно сухой целлюлозы, г; с - массовая доля целлюлозы в растворе, %. Навеску воздушно-сухой целлюлозы и 9 или 15 г кусочков меди помещают в банку для растворения вместимостью 30 или 50 см3 и наливают из бюретки медно-аммиачный реактив с температурой 0 C в количестве, соответствующем рабочему объему банки. Банку закрывают пробкой, закрепляя ее двумя плоскими резиновыми кольцами, энергично встряхивают 20...30 с и помещают в аппарат для взбалтывания. Продолжительность растворения составляет 10...30 мин. В полном растворении целлюлозы необходимо убедиться путем визуальною просмотра банки в проходящем свете. При неполном растворении банку снова помещают в аппарат для взбалтывания на 10 мин. После полного растворения банку с раствором целлюлозы ставят в термостат при °С. По истечении 10 мин открывают банку и погружают в нее нижнюю промежуточную трубку вискозиметра почти до дна банки. На верхний конец вискозиметра надевают насадку, соединенную с водоструйным насосом, и, открывая кран насадки, засасывают раствор из банки в вискозиметр до тех пор, пока уровень раствора в верхней насадке не достигнет примерно ее половины. Кран закрывают, отделяют от вискозиметра насадку и промежуточную трубку с банкой и измеряют по секундомеру время истечения раствора между верхней и нижней метками капилляра вискозиметра. Раствор целлюлозы собирают в стакан.
По окончании измерений вискозиметр тщательно промывают аммиаком, водой, разбавленной соляной кислотой и дистиллированной водой, которые засасывают с помощью водоструйного насоса. При проведении непрерывных измерений такую промывку не проводят, так как при засасывании раствора в насадку вискозиметр промывается первыми порциями исследуемого раствора. Банки и кусочки меди промывают проточной водой, раствором 10% -ной HCI1 снова проточной водой, а затем дистиллированной. Промытые кусочки меди обсушивают фильтровальной бумагой, а затем сушат в сушильном шкафу при температуре 0 C и хранят в закрытой банке. Перед употреблением кусочки меди должны иметь блестящую поверхность, не. покрытую оксидом меди. Если обработкой соляной кислотой не достигается полная очистка меди, производят дополнительную обработку ее азотной кислотой, которую затем тщательно отмывают.
Вязкость медно-аммиачного раствора целлюлозы з, мПа · с, рассчитывают по формуле, где плотность раствора с=0,95 г/см3 .
За конечный результат принимают среднее арифметическое двух параллельных определений, округляемое при значениях з<15,0 до 0,2 мПа-с; 15,1...30 до 0,5; 30,5...55 до 2 и >55 до 5 мПа ■ с. Допустимое расхождение между результатами двух параллельных определений не должно превышать 4% среднего арифметического при значениях з<30 мПа · с; 6% - при 31...55 и 10% - при з>55 мПа · с.
Массовую долю меди Cu, г/дм3 , рассчитывают по формуле Cu= /25·25,где а - расход раствора трилона в концентрацией 0,02 моль/дм3 на титрование, см3 ; 0,00127 - масса меди, соответствующая I см3 раствора трилона Б концентрацией 0,02 моль/дм3 , г.
Массовую долю аммиака NH3 , г/дм3 , рассчитывают по формуле:
NH3 =/25·25,
где ft - расход серной кислоты концентрацией 1 моль/дм3 на титрование, см3 ; 0,017 - масса аммиака, соответствующая 1 см3 раствора серной кислоты концентрацией 1 моль/дм3 .
Расхождение между параллельными определениями не должно превышать 0,2 г/дм3 для меди и 2 г/дм3 - для аммиака.
Дозировка реактива. Изменить массу меди в реактиве при дозировке можно лишь в сторону понижения, поэтому получаемый медно-аммиачный реактив всегда должен содержать некоторый избыток меди. Для получения медно-аммиачного реактива точного состава проводят его дозировку добавлением водного раствора аммиака и дистиллированной воды, содержащего 2,0 г/дм3 сахарозы.
3. Определение средней степени полимеризации целлюлозы вискозиметрическим методом
При определении степени полимеризации целлюлозы вискозиметрическим методом количественными характеристиками являются относительная зПФЗ , удельная г) уя , приведенная вязкость т) ул /с и предельное число вязкости, или характеристическая вязкость.
Следует отметить, что, несмотря на широкое распространение в практической вискозиметрии одноточечного метода, возможность его применения ограничена двумя причинами: математической неправомерностью некоторых предложенных уравнений и необходимостью учета влияния полидисперсности целлюлозы на вязкость при ее определении у нефракционированных образцов. Различия в молекулярно-массовом распределении образцов с одинаковой средней СП могут приводить к большим различиям определяемых значений приведенной вязкости при одинаковых концентрациях и, следовательно, к ошибкам в определении по раствору одной концентрации. Отмечено, что чем выше концентрация, тем сильнее выражены эти различия. Определения усложняются еще тем, что растворы целлюлозы проявляют неньютоновское течение, и вязкость ее растворов является функцией скорости сдвига. Однако позднее было показано, что в образцах технической целлюлозы с СП<2500 при ниже 0,1 см3 -г~' ее определение может проводиться без учета скорости сдвига. Для избежания ошибок целесообразно определение характеристической вязкости проводить методом экстраполяции на нулевую концентрацию значений приведенной вязкости, определенных при нескольких концентрациях раствора. Прямую приведенной вязкости можно построить с использованием метода наименьших квадратов.
Определение степени полимеризации целлюлозы по вязкости основано на том, что с ростом степени полимеризации характеристическая вязкость увеличивается. Наиболее точно описывается эта зависимость с помощью уравнения Марка - Куна - Хаувинка:
![]()
где К, К' - вязкостно-молекулярные константы; а - показатель формы макромолекул целлюлозы в данном растворителе, в частности для целлюлозы он лежит в пределах 0,6...0,95. Значения констант К, К' и а находят путем определения молекулярной массы абсолютными методами. Измерения выполняют в определенном диапазоне степени полимеризации на 10...15 узких фракциях. Определив характеристическую вязкость, вычисляют К' и а для уравнения, используя его логарифмическую форму:
![]()
Непосредственное определение молекулярной массы целлюлозы затруднено вследствие специфичности ее растворов, содержащих комплексные соединения, и особенно из-за взаимодействия между растворителем и растворенной целлюлозой. Поэтому при работе с целлюлозой обычно пользуются уравнениями, в которых выражена зависимость между характеристической вязкостью и степенью полимеризации.
Необходимо отметить, что на характеристическую вязкость растворов целлюлозы, вследствие определенной гибкости ее макромолекул, влияют природа растворителя и температура, так как от них зависит параметр а, отражающий взаимодействие между растворителем и растворенной целлюлозой. При повышении температуры показатель а несколько уменьшается. Поэтому при определении характеристической вязкости раствора целлюлозы необходимо строго соблюдать температуру, указанную в методиках.
Ниже приведены методики определения степени полимеризации по характеристической вязкости растворов целлюлозы в различных растворителях. Определение степени полимеризации целлюлозы по вязкости растворов тринитрата целлюлозы в органических растворителях можно найти в литературе.
4. Определение средней степени полимеризации целлюлозы по вязкости ее медно-аммиачного раствора
Метод основан на определении вязкости разбавленных медно-аммиачных растворов целлюлозы в присутствии металлической меди как восстановителя.
Методика анализа. Вязкость раствора измеряют на капиллярном вискозиметре типа ВПЖ-3 с постоянной 0.03 мм'/с3 при температуре J C. Приготовление медно-аммиачного реактива, подготовка целлюлозы к анализу, измерение рабочего объема банок и промывку вискозиметра, банок и меди по окончании измерений проводят по методике, описанной в 2.
Рабочий объем банки V, см3 , рассчитывают по формулам: V=Vi -OA при объеме банки 50 см3 и 15 г меди; V=V1 -0,2 при объеме банки 100 см3 и 30 г меди.
Концентрацию приготовляемого медно-аммиачного раствора целлюлозы выбирают в соответствии с ожидаемой степенью полимеризации при условии, чтобы значение удельной вязкости находилось в пределах 0,3...0,1. При СП от 600 до 1000 рекомендуется концентрация раствора 1,5 г/дм3 , при СП свыше 1000 - 1,0...0,75 г/дм3 .
Расчет массы навески воздушно-сухой целлюлозы, г, необходимой для приготовления медно-аммиачного раствора целлюлозы, производят по формуле
![]()
где V - рабочий объем банки, см3 ; с - концентрация целлюлозы в растворе, г/дм3 ; /0 C в количестве, равном рабочему объему банки. Банку закрывают пробкой, закрепляя ее двумя плоскими резиновыми кольцами, энергично встряхивают и помещают в аппарат для взбалтывания. Целлюлозу растворяют в течение 10...30 мин. В полном* растворении целлюлозы необходимо убедиться путем визуального просмотра банки с раствором в проходящем свете. При неполном растворении банку снова помещают в аппарат для взбалтывания на 10 мин. После полного растворения банку с раствором целлюлозы ставят в термостат при температуре °С. По истечении 10 мин открывают банку и погружают в нее нижнюю промежуточную трубку вискозиметра почти до дна банки. На верхний конец вискозиметра надевают насадку, соединенную с водоструйным насосом, и, открывая кран насадки, засасывают раствор из банки в вискозиметр до тех пор, пока уровень раствора в верхней насадке не достигнет примерно ее половины. Кран закрывают, отделяют от вискозиметра насадку и промежуточную трубку с банкой и измеряют по секундомеру время истечения раствора между верхней и нижней метками капилляра вискозиметра t. Таким же образом измеряют время истечения растворителя /0 . Раствор целлюлозы и растворитель собирают в стакан.
По полученным экспериментальным данным вначале рассчитывают удельную вязкость с точностью до 0,001 по формуле.
Для расчета используют формулу Шульца - Блашке - см. формулу, принимая константу к'" для медно-аммиачных растворов целлюлозы, равной 0,29. Среднюю степень полимеризации рассчитывают по формуле Марка - Куна - Хаувинка, где К' для медно-аммиачных растворов целлюлозы равна 5 · 10 ~4 , а показатель а=\.
Из формул и с использованием вышеуказанных констант получают для расчета средней степени полимеризации формулу
![]()
где с - концентрация целлюлозы в растворе, г/дм3 .
Результаты определения выражают ближайшим целым числом, кратным 10 при СП до 600 и кратным 20 при СП свыше 600.
Расхождение между результатами двух параллельных определений не должно превышать 4% среднего арифметического значения.
5. Определение средней степени полимеризации целлюлозы по вязкости ее раствора в кадоксене
Водный раствор кадмийэтиленового комплекса, как уже отмечалось, является бесцветным и устойчивым растворителем целлюлозы. Окисление целлюлозы в кадоксене незначительно, что позволяет измерять ее вязкость обычными методами на воздухе. Однако растворение целлюлозы в кадоксене при комнатной температуре протекает медленно и неполно. Целлюлозы с высокой степенью кристалличности и полимеризации растворяются медленнее, чем с низкой. Эти особенности необходимо учитывать при растворении различных образцов целлюлозы, полученных разными методами варки и отбелки Растворяющая способность кадоксена значительно увеличивается при понижении температуры и при добавлении в раствор небольших количеств гидроксида натрия. Предварительное набухание целлюлозы в воде также способствует повышению ее растворимости в кадоксеновом растворе. Так как раствор кадаксена недостаточно светостоек, рекомендуется хранить его в темноте.
Методика анализа. Для определения степени полимеризации целлюлозы для химической переработки применяют раствор кадоксена, содержащий % кадмия и % этилендиамина. Определение вязкости осуществляют на капиллярном вискозиметре типа ВПЖ-3 с постоянной 0,03 мм2 /с2 . Подготовку проб целлюлозы проводят по методике, описанной в 2. Концентрацию раствора целлюлозы выбирают так, чтобы удельная вязкость раствора была в пределах 0,2...0,8. При предполагаемой характеристической вязкости до 300 см3 /г рекомендуется концентрация раствора 2 · 10_3 г,/см3 , при характеристической вязкости свыше 300 см3 /г - 1 ■ 10"3 г/см.
Массу навески воздушно-сухой целлюлозы, г, необходимую для приготовления раствора целлюлозы, рассчитывают по формуле, приведенной на с.249.
Навеску воздушно-сухой целлюлозы взвешивают и помещают в стеклянную банку с притертой пробкой. Влажность целлюлозы определяют в отдельной пробе. Из бюретки заливают в банку раствор кадоксена при температуре 0 C в объеме, принятом для расчета массы навески, и помещают 9...12 стеклянных шариков для ускорения процесса растворения. Банку закрывают пробкой, закрепляя ее двумя плоскими резиновыми кольцами, энергично встряхивают и помещают в аппарат для взбалтывания. Перемешивание осуществляют при комнатной температуре в течение 20 мин.
При приготовлении раствора сульфитной и сульфатной вискозной целлюлозы, предгидролизной сульфатной кордной целлюлозы горячего облагораживания после перемешивания в аппарате банки с раствором выдерживают в холодильнике 40...50 мин при температуре 2...4°С, периодически встряхивая вручную. При приготовлении раствора сульфатной предгидролизной кордной целлюлозы холодного облагораживания, сульфитной ацетатной и хлопковой банки с раствором после перемешивания в аппарате выдерживают 3...4 ч в холодильнике при температуре 2...4°С, также периодически встряхивая вручную.
Полноту растворения устанавливают визуально путем просмотра банки в проходящем свете. После растворения, при наличии примесей нецеллюлозного характера, раствор фильтруют через стеклянный фильтр, снова переливают в банку, закрывают пробкой и помещают в термостат с температурой °С на 40 мин. По истечении этого времени банку открывают и погружают в нее нижнюю промежуточную трубку вискозиметра почти до дна банки. На верхний конец вискозиметра надевают насадку, соединенную с водоструйным насосом, и, открывая кран насадки, засасывают раствор из банки в вискозиметр до тех пор, пока уровень раствора в верхней насадке не достигнет примерно ее половины. Кран закрывают, отделяют от вискозиметра насадку и промежуточную трубку с банкой и измеряют по секундомеру время истечения раствора между верхней и нижней' метками капилляра вискозиметра t. Таким же образом измеряют время истечения растворителя /0 . По окончании испытания вискозиметр, банки и шарики промывают небольшим количеством чистого кадоксена, водой, 10 % -ной HCl и дистиллированной водой.
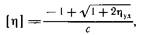
Характеристическую вязкость, см3 /г, рассчитывают с точностью до 0,001 по формуле
![]()
которая получена решением уравнения Хаггинса при к" для кадоксенового раствора целлюлозы, равной 0,5. Приводя уравнение Хаггинса к виду квадратного уравнения
![]()
и решая его, получаем формулу. Поскольку в формуле корень должен иметь смысл цул >0, то знак перед корнем - 4-.
Среднюю степень полимеризации целлюлозы рассчитывают по уравнению Марка - Куна - Хаувинка, используя его логарифмическую форму - см. уравнение. Подставляя в это уравнение константы К' и а, равные для кадоксеновых растворов целлюлозы соответственно 0,7 и 0,9, получаем формулу для расчета
![]()
Результаты определения выражают ближайшим целым числом, кратным 20 при СП до 1000 и кратным 50 при СП свыше 1000.
Расхождение между результатами двух параллельных определений не должно превышать 5% среднего арифметического значения.
6. Определение средней степени полимеризации целлюлозы в ЖВНК
Для определения характеристической вязкости и средней степени полимеризации целлюлозы в научно-исследовательской практике нашло широкое применение комплексное соединение гексанатрий тристартрат железа, или так называемый железовиннонатриевый комплекс, представляющий собой комплекс железа с тартратом натрия в растворе гидроксида натрия.
Первоначально ЖВНК был получен Джайме растворением свежеосажденного гидроксида железа в водном растворе тартрата натрия с последующим добавлением избытка гидроксида натрия для уменьшения возможного гидролитического разложения образующегося комплекса. Общая концентрация твердых веществ в растворе составляла 390...400 г/дм3 при следующем соотношении: Fe3 0,43...0,52 моль/дм3 , Na2 C4 H4 O6 0,9 и NaOH1,25...2,75 моль/дм3 . Позднее Валтасаари предложила более простую методику получения ЖВНК в одну стадию и с более точным составом. Общая концентрация твердых веществ в нем составляла 347 г/дм3 при соотношении исходных компонентов: Fe3 0,3 моль/дм3 , Na2 C4 H4 O6 0,9 и NaOH 2,4 моль/дм3 Раствор ЖВНК может быть также получен из готового кристаллического комплекса с добавкой тартрата натрия и гидроксида натрия. Этот раствор рекомендован для использования в международном стандарте.
Растворы KUMiLieKCi J, содержащие нитрат железа в качестве источника ионов железа, чувствительны к действию кислорода воздуха. При замене нитрата железа хлоридом железа растворы ЖВНК становятся устойчивыми к кислороду.
Растворимость целлюлозы в растворе ЖВНК зависит от температуры, содержания гидроксида натрия, морфологической и надмолекулярной структуры целлюлозы. С повышением температуры растворимость целлюлозы в ЖВНК значительно снижается. Поэтому для полного растворения целлюлозы необходимо проводить процесс растворения при температуре не выше 6°С. При повышении концентрации гидроксида натрия растворимость древесной целлюлозы в ЖВНК резко снижается, а растворимость гидратцеллюлозы, регенерированной и мерсеризованной, а также хлопковой целлюлозы возрастает. Отмечено также, что различия в морфологической и надмолекулярной структуре образцов целлюлозы значительно сильнее сказываются на растворении в ЖВНК, чем на растворимость в куоксаме и куоксене.
Преимуществом растворов целлюлозы в ЖВНК перед медно-аммиачными является достаточно высокая их устойчивость к окислительному воздействию даже при сравнительно продолжительном хранении. При правильном подборе условий растворения в ЖВНК могут быть растворены и высокомолекулярные препараты целлюлозы. Благодаря более светлой окраске железовиннонатриевого комплекса возможна достаточно точная визуальная оценка растворов целлюлозы.
В СССР разработан ГОСТ 25438-82 на метод определения характеристической вязкости железовиннонатриевого раствора целлюлозы для химической переработки, соответствующий Международному стандарту MC ИСО 5351/2-81. Он основан на определении времени истечения из капиллярного вискозиметра разбавленного раствора целлюлозы и растворителя.
Методика анализа. Для определения характеристической вязкости целлюлозы применяют раствор ЖВНК, содержащий в 1 дм3 217,09 г тартрата натрия, 81,09 г хлорида железа и 96,0 г гидроксида натрия. Определение вязкости осуществляют на капиллярном вискозиметре типа ВПЖ-3 с постоянной 0,03 мм2 /с2 . Подготовку проб целлюлозы проводят по методике, описанной в 2. Массу навески воздушно-сухой целлюлозы для приготовления раствора целлюлозы рассчитывают по формуле, представленной на с.249. Концентрацию раствора целлюлозы выбирают так, чтобы удельная вязкость раствора была в пределах 0,1...0,5: при предполагаемой характеристической вязкости
Навеску воздушно-сухой целлюлозы и 9...12 стеклянных шариков помещают в стеклянную банку. Из бюретки заливают в банку раствор ЖВНК при температуре 0 C в объеме, принятом для расчета массы навески. Банку закрывают пробкой, закрепляя ее двумя плоскими резиновыми кольцами, энергично встряхивают и помещают в аппарат для взбалтывания. Перемешивание в аппарате проводят при комнатной температуре до полного растворения сульфитной и сульфатной вискозной и сульфатной предгидролизной кордной целлюлозы горячего облагораживания в течение 30...60 мин, а сульфитной ацетатной - 120...180 мин. При приготовлении растворов сульфатной предгидролизной кордной целлюлозы холодного облагораживания и хлопковой целлюлозы содержимое банки перемешивают в аппарате при комнатной температуре в течение 40 мин, затем банку выдерживают в холодильнике при температуре 2...4°С в течение 8 ч, а затем в морозильной камере при температуре - 8... - 12°С в течение 4...5 ч, периодически встряхивая вручную. Полноту растворения во всех случаях устанавливают визуально путем просмотра банки в проходящем свете. После растворения раствор целлюлозы фильтруют через стеклянный фильтр, переливают в банку, закрывают пробкой и помещают в термостат с температурой °С. Термостатирование проводят в течение 20 мин в случае растворения целлюлозы при комнатной температуре и 40 мин в случае растворения при пониженной температуре.
Банку вынимают из термостата, открывают и погружают в нее нижнюю промежуточную трубку вискозиметра почти до дна банки. На верхний конец вискозиметра надевают насадку, соединенную с водоструйным насосом и, открывая кран насадки, засасывают раствор из банки в вискозиметр до тех пор, пока уровень раствора в верхней насадке не достигнет примерно ее половины. Кран закрывают, отделяют от вискозиметра насадку и промежуточную трубку с банкой и измеряют по секундомеру время истечения раствора между верхней и нижней метками капилляра вискозиметра /. Таким же образом измеряют время истечения растворителя t0 . По окончании испытания вискозиметр, банки и стеклянные шарики промывают водой, 10% -ной HCI и дистиллированной водой.
Определение средней степени полимеризации целлюлозы. Следует отметить, что исследования молекулярных параметров целлюлозы в ЖВНК с привлечением абсолютных методов до сих пор сравнительно малочисленны, и в связи с этим стандартизированные методы определения степени полимеризации целлюлозы в ЖВНК отсутствуют.
Для расчета P по характеристической вязкости можно рекомендовать уравнение Марка - Куна - Хаувинка - см. уравнение. При выражении характеристической вязкости в см3 /г можно использовать уравнение
![]()
для которого константы К и а были определены Валтасаари на образцах целлюлозы с использованием для определения их средней степени полимеризации методом светорассеяния при температуре 25°С. Это уравнение наиболее применимо для целлюлоз с СП> 1000. Для расчета степени полимеризации целлюлозы с СП< 1000 рекомендуется использовать уравнение
![]()