| Скачать .docx |
Реферат: Определение карбонильных и карбоксильных групп в целлюлозе
РЕФЕРАТ
ОПРЕДЕЛЕНИЕ КАРБОНИЛЬНЫХ И КАРБОКСИЛЬНЫХ ГРУПП В ЦЕЛЛЮЛОЗЕ
Москва, 2009
Введение
Природная целлюлоза характеризуется незначительным содержанием карбонильных групп. Кетонные и карбоксильные группы в ней практически отсутствуют. При получении технической целлюлозы из растительного сырья в процессах варки и отбелки увеличивается число концевых альдегидных групп и появляются неконцевые альдегидные, а также кетонные и карбоксильные группы. Это обусловлено гидролитической и окислительной деструкцией макромолекул целлюлозы и окислением спиртовых групп.
Реакции гидролиза и окисления целлюлозы при одних технологических процессах, таких как варка и отбелка технической целлюлозы, в основном — нежелательные процессы, так как они приводят к снижению молекулярной массы и механической прочности получаемых из целлюлозы изделий. При других операциях эти реакции необходимы, например при предсозревании щелочной целлюлозы в вискозном производстве, модификации целлюлозы окислением.
При гидролитическом расщеплении целлюлозы в месте разрыва в-Й-4-гликозидной связи у С, глюкопиранозного звена макромолекулы возникает восстанавливающая альдегидная группа. При окислении спиртовых групп в разных позициях ангидроглюкозного звена могут возникать самые разнообразные группы: карбонильные, карбоксильные, и в том числе дикетонные, диальдегидные и дикарбоксильные группировки. Возможны различные комбинации образующихся карбонильных и карбоксильных групп. Увеличение в макромолекуле числа карбонильных и карбоксильных групп приводит к изменению химических и физико-химических свойств технических целлюлоз, что в значительной степени определяет ее дальнейшее поведение в процессах переработки в эфиры целлюлозы и бумагу.
Карбонильные группы, образующиеся у C2, C3 или у C6 глюкопиранозного звена макромолекулы, вызывают понижение устойчивости целлюлозы к действию раствора щелочи при мерсеризации и повышение скорости окислительной деструкции щелочной целлюлозы при предсозревании в производстве вискозных волокон и пленок. Способность беленых целлюлоз к пожелтению в значительной мере зависит от числа карбонильных групп, главным образом, неконцевых альдегидных, присутствующих в целлюлозе. Наличие в целлюлозе диальдегидной группировки или карбоксильной группы у C6 резко ухудшает растворимость ацетатов и нитратов целлюлозы в органических растворителях. Это, очевидно, обусловлено образованием поперечных связей между макромолекулами эфиров целлюлозы. Повышенное содержание карбоксильных групп в целлюлозе способствует увеличению в ней массовой доли золы и зольных элементов, отрицательное влияние которых в производстве бумаги и искусственных волокон и пленок было рассмотрено выше. Карбоксильные группы также заметно снижают термостойкость и светостойкость целлюлозы и получаемых из нее волокон.
Таким образом, определение функциональных групп имеет важное значение для характеристики степени деструкции и химических изменений технической целлюлозы.
1. Методы определения карбонильных и карбоксильных групп
Для непосредственного определения в целлюлозе карбонильных и карбоксильных групп разработано большое число химических методов, многие из которых до сих пор широко используются при характеристике технических и модифицированных препаратов целлюлозы. Целлюлоза имеет два вида карбонильных групп: альдегидные и кетонные. Методы их определения основаны на химических реакциях, характерных для карбонильной группы: окисление, восстановление, присоединение и конденсация.
Кетонные группы труднее окисляются и благодаря этому становится возможным дифференцировать оба типа карбонильных групп. Наиболее часто для определения альдегидных групп в целлюлозе используют их восстанавливающую способность, применяя окислительные методы, например реакции восстановления реактива Фелинга, аммиачного раствора оксида серебра, щелочного раствора йода, а также окисление хлористой кислотой. Содержание альдегидных групп при этом определяют либо по расходу окислителя, либо по количеству образовавшегося продукта его восстановления, либо по увеличению количества в окисленной целлюлозе карбоксильных групп.
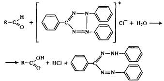
Для определения в целлюлозе альдегидных групп, особенно небольших количеств, часто применяют простой и быстрый метод, основанный на реакции восстановления хлорида 2,3, 5-трифенилтетразолия в щелочной среде с образованием красного красителя формазана. Количество красителя определяют фотоколориметрически.
К недостаткам окислительных методов определения альдегидных групп в целлюлозе можно отнести возможность окисления кетонных групп, а также образование новых восстанавливающих групп в результате окисления целлюлозы кислородом воздуха при проведении анализа в щелочной среде. Кроме того, альдегидные группы могут находиться не только в свободном, но и в связанном виде, что затрудняет их определение. Поэтому, чтобы получить более точные сведения о содержании альдегидных групп в препаратах целлюлозы, рекомендуется применять два и более метода.
Общее содержание карбонильных групп в целлюлозе позволяют установить методы, основанные на реакциях восстановления, присоединения и конденсации. Кетонные группы можно определить по разности данных, полученных при определении суммы карбонильных групп и только альдегидных групп.
Восстановление карбонильных групп обычно осуществляют с помощью борогидрида натрия. Расход восстановителя является мерой содержания карбонильных групп.
При определении суммарного содержания карбонильных групп с помощью реакции присоединения чаще всего используют цианид водорода

а с помощью реакции конденсации — хлорид гидроксиламина
![]()
Эти реакции являются обратимыми и полнота протекания процессов присоединения или конденсации зависит от правильно выбранного значения рН. Следует отметить, что оба метода главным образом используются для образцов оксицеллюлозы с высоким содержанием карбонильных групп.
В технических целлюлозах и в ее производных могут быть два вида карбоксильных групп: группы типа уроновых кислот, расположенные у C6, и карбоксильные группы, находящиеся у C2 и C3 мономерного звена макромолекулы целлюлозы.
Метод определения карбоксильных групп типа уроновых кислот основан на декарбоксилировании при кипячении с 12%-ной HCl. Выделившийся диоксид углерода улавливают щелочами. Этот метод позволяет определить с достаточно большой точностью даже небольшие количества диокеида углерода. К недостаткам метода можно отнести неполную его специфичность, так как определяется диоксид углерода, выделяемый при нагревании с 12%-ной HCl не только уроновыми кислотами, но и группировками кето- и гидроксикислот.
Суммарное содержание карбоксильных групп в целлюлозах можно определять различными методами, основанными на реакции катионного обмена. К ним относятся: алкалиметрические методы, основанные на прямом или обратном титровании кислотных групп щелочами в присутствии солей сильных кислот, например метод с гидрокарбонатом натрия — хлоридом натрия; методы, основанные на обменной реакции карбоксильных групп с солями слабых кислот; методы, основанные на сорбции целлюлозой основных красителей.
Каждый из указанных ионообменных методов имеет свои преимущества и недостатки. Алкалиметрические методы являются наиболее простыми в работе, но дают несколько завышенные результаты вследствие возможного окисления присутствующих в целлюлозе карбонильных групп. Этот недостаток отсутствует в методах, основанных на обменной реакции с солями слабых кислот, однако в условиях этого анализа не определяются карбоксильные группы, связанные в результате их взаимодействия с гидроксильными группами в виде лактонов. Данный метод дает хорошие результаты при содержании карбоксильных групп более 0,25%.
В технических и окисленных целлюлозах карбоксильные группы, вследствие их высокой катионообменной способности, находятся, как правило, в виде солей. Поэтому необходимым условием для проведения реакций катионного обмена является перевод их в свободную кислотную группу так называемым обеззоливанием — обработкой целлюлозы разбавленной минеральной кислотой. Массовая доля золы в препаратах после обеззоливания должна быть менее 1%.
Определение карбоксильных групп по поглощению метиленового голубого фотоколориметрическим методом по сравнению с титриметрическими методами имеет два преимущества. Во-первых, фотоколориметрическое определение понижения концентрации красителя в растворе позволяет находить в целлюлозе с достаточно высокой точностью даже очень малое содержание карбоксильных групп. Во-вторых, высокое относительное «сродство» катионов метиленового голубого к карбоксильным группам намного превышает сродство прочих катионов, что обеспечивает практически полную нейтрализацию этих групп метиленовым голубым, вследствие чего отпадает необходимость предварительного обеззоливания.
Относительную оценку содержания карбонильных и карбоксильных групп в целлюлозах можно получить с помощью УФ- и ИК-спектроскопии, а также метода ионообменной хроматографии. Эти методы позволяют проводить анализ без химического воздействия на целлюлозу и являются перспективными.
2. Определение редуцирующей способности по медному числу
Для определения восстанавливающих альдегидных групп в целлюлозе сравнительно широкое применение получил метод определения медного числа. Медное число — это масса меди в граммах, восстанавливаемая из двухвалентного состояния в одновалентное 100 г абсолютно сухой технической целлюлозы в определенных стандартных условиях. Этот метод используют не только для определения числа альдегидных групп, но и для качественной характеристики длины цепей и ее изменения в результате окислительной и гидролитической деструкции. Очищенная хлопковая целлюлоза имеет медное число не более 0,17, а древесные беленые целлюлозы 2,0...3,0, а иногда и выше.
Метод определения медного числа целлюлозы впервые был введен в 1907 г. Швальбе. Для восстановления меди применялся медно-щелочной раствор, получаемый смешиванием растворов сульфата меди и щелочного раствора сегнетовой соли. При действии реактива Фелинга на целлюлозу происходит окисление ее концевой альдегидной группы до карбоксильной с образованием оксида меди. В окисленных целлюлозах в реакцию вступают также альдегидные группы у C6 и у C2 и C3.
В дальнейшем метод Швальбе неоднократно модифицировали. При модификациях метода вносили изменения в его три стадии: изменяли состав медно-щелочного раствора; использовали разные окислители для окисления Cu+ в Cu2+; изменяли метод определения массы Cu2+.
Для уменьшения возможности окисления целлюлозы Хегглунд предложил применять раствор Бертрана с последующим титриметрическим определением восстановленной меди. Этот метод лежит в основе определения медного числа по ГОСТ 9418—75 и определения PB в гидролизатах по методу Бертрана.
В методе Швальбе — Брэди реактив Фелинга заменили раствором сульфата меди со смесью карбоната и гидрокарбоната натрия. Этот метод положен в основу стандарта TAPPIT—215 m, в котором для окисления Cu+ в Cu2+ применяют раствор молибдено-фосфорной кислоты.
Наиболее существенные изменения в определение медного числа внесены в методе Энка. В этом методе в составе медно-щелочного реактива неустойчивая к окислению сегнетова соль заменена смесью лимонной кислоты и гидроксида натрия. Для окисления Cu+ в Cu2+ используется азотная кислота.
Образовавшуюся Cu2+ определяют комплексонометрическим титрованием раствором трилона Б — 2· NC2H4N2^H2O.
Следует подчеркнуть, что несмотря на многочисленные усовершенствования методов определения медного числа целлюлозы, до настоящего времени оно остается лишь приблизительной мерой содержания восстанавливающих карбонильных групп в целлюлозе по ряду причин: при определении медного числа в щелочной среде происходят побочные реакции окисления спиртовых групп, что приводит к увеличению восстанавливающей способности целлюлозы; реагенты, применяемые для определения медного числа, например реактив Фелинга, не являются достаточно устойчивыми и в процессе определения медного числа могут выделять некоторое количество Cu2O в результате реакции самовосстановления; реакция восстановления меди, происходящая во время определения медного числа, не является стехиометрической, так как надмолекулярная структура и физическое состояние целлюлозы влияют на доступ реагентов к макромолекулам; условия проведения анализа медного числа целлюлозы по разным методикам различны и их необходимо строго соблюдать, а приводя значения медного числа всегда указывать метод, по которому оно определялось; определение альдегидных групп по значению медного числа не совпадает с результатами других методов и поэтому нельзя утверждать, что медное число пропорционально содержанию альдегидных групп. Несмотря на все эти недостатки, определение медного числа целлюлозы имеет ценность при серийных анализах, особенно при анализах образцов целлюлозы, подвергнутых сходным обработкам, с целью сравнения степени деструкции, а также для качественной характеристики целлюлозы.
Методика определения медного числа. Готовят два раствора: А—62,5 г трижды перекристаллизованного CuSO4 · 5Н20 в 1 дм3 воды; Б—346 г сегнетовой соли и 150 г NaOH в 1 дм3 воды. Для растворения осадка оксида меди готовят раствор в,—50 г Fe2., и 200 г H2SO4 в 1 дм3 воды или раствор B2—100 г Fe2;,-24Н20 и 140 г H2SO4 в 1 дм3 воды.
Навеску массой около 1 г воздушно-сухой целлюлозы помещают в сухую коническую колбу вместимостью 250 см3, приливают 20 см3 дистиллированной воды и нагревают содержимое колбы до кипения. Одновременно в две сухие конические колбы, вместимостью по 50 см3 каждая, из бюреток наливают по 20 см3 соответственно растворов А и Б. Растворы нагревают до кипения и сливают вместе в одну из колб. Образовавшийся раствор темно-синего цвета осторожно вливают в колбу с навеской, закрывают пробкой с воздушным холодильником и ставят колбу на юрячую электроплитку. С момента закипания содержимое колбы кипятят точно 3 мин. Во время кипячения необходимо следить, чтобы не было выбросов из колбы в холодильник. После этого снимают колбу с плитки, быстро обмывают пробку воздушного холодильника 50 см'1 дистиллированной воды, сливают эту воду в колбу и охлаждают ее в струе проточной воды. Содержимое колбы после охлаждения фильтруют через стеклянный пористый фильтр под вакуумом. Целлюлозу с осадком Cu2O промывают горячей водой до нейтральной реакции по фенолфталеину. При фильтровании и промывке необходимо следить, чтобы целлюлоза с осадком Cu2O во избежание окисления последнего кислородом воздуха всегда находилась под водой. Затем стеклянный пористый фильтр с промытой целлюлозой и осадком Cu2O1 покрытыми водой, переносят на другую чистую отсосную колбу. Отсасывают воду, быстро отключают вакуум, приливают 15 см3 раствора B1 или B2 и помешивают стеклянной палочкой. После этого отсасывают жидкость из стеклянного фильтра, отключают вакуум и вторично приливают 15 см3 раствора Я, или B2, перемешивают его с осадком и снова отсасывают. Целлюлозу на фильтре промывают в два приема по 30 см3 раствора серной кислоты концентрацией 4 моль/дм3 и затем примерно 150 см3 дистиллированной воды до отрицательной реакции на железо.
Фильтрат непосредственно в отсосной колбе титруют раствором перманганата калия, концентрацией 0,04 моль/дм3 до первой устойчивой розовой окраски раствора.
Медное число, г на 100 г абсолютно сухой целлюлозы, рассчитывают по формуле
![]()
гден— объем раствора перманганата калия концентрацией 0,04 моль/дм3, израсходованный на титрование, см3; 0.00254 — масса меди, соответствующая I см3 раствора перманганата калия концентрацией 0,04 моль/дм3, г; g— масса абсолютно сухой навески целлюлозы, г.
Расхождения между результатами двух параллельных определений не более 0,03 г при уровне показателя медного числа до 1,0 г и 0,2 г — свыше 1,0 г.
3. Определение альдегидных групп фотоколориметрическим
методом по Саболксу
Метод основан на восстановлении альдегидными группами хлорида 2,3,5-трифенилтетразолия с образованием красного красителя формазана, который определяют фотоколориметрически.

Этот метод дает достаточно точные и хорошо воспроизводимые результаты и позволяет определять очень малые количества альдегидных групп.
Методика анализа. Навеску абсолютно сухой измельченной целлюлозы массой 0,01 г помещают в пробирку и заливают 0,5 см3 раствора гидроксида калия концентрацией 0,2 моль/дм3 и 0,5 см3 0,2%-ного водного раствора хлорида 2,3,5-трифенилтетразолия. Пробирку опускают на 10 мин в кипящую водяную баню. Затем пробирку с окрашенной целлюлозой быстро охлаждают под струей холодной воды. Массу из пробирки переносят на стеклянный пористый фильтр и отфильтровывают, применяя отсос, в мерную пробирку на 10 см3. Массу на стеклянном фильтре промывают без отсоса небольшими порциями этанола до тех пор, пока образовавшийся в ходе реакции краситель не перейдет полностью в раствор и объем жидкости в отсосной пробирке не достигнет 10 см3. Для улучшения растворения красителя массу на фильтре перемешивают стеклянной палочкой.
Интенсивность окраски полученного раствора определяют на спектрофотометре при длине волны 546 нм или на фотоэлектрическом колориметре с зеленым светофильтром в кювете толщиной 10 мм. Параллельно проводят контрольное определение без образца целлюлозы. Контрольную пробу, которая должна быть бесцветной, используют в качестве раствора сравнения.
Следует отметить, что образовавшийся краситель формазан нестоек, и поэтому все операции необходимо выполнять быстро.
Содержание альдегидных групп — CHO определяют по градуировочному графику в мг и рассчитывают их массовую долю, % к абсолютно сухой целлюлозе, по формуле
![]()
где т — масса СНО-групп в навеске, определенная по градуировочному графику, мг; g— масса абсолютно сухой навески, г.
Построение градуировочного графика. Готовят точно 0,1%-ный раствор химически чистой глюкозы. В мерную пробирку вносят микропипеткой 0,05 см3 этого раствора, добавляют 0,5 см3 раствора гидроксида калия концентрацией 0,2 моль/дм3 и 0,5 см3 0,2%-ного раствора ХТТ. Смесь в пробирке нагревают 10 мин на кипящей водяной бане, охлаждают, доливают этанолом до метки, соответствующей 10 см3, и фотоколориметрируют. Найденное значение оптической плотности соответствует 0,05 мг глюкозы или 0,007775 мг СНО-групп. Строят градуировочный график, откладывая по оси абсцисс найденную оптическую плотность 0,1%-ного раствора глюкозы, а по оси ординат — массу СНО-групп. Полученную точку соединяют с началом системы координат.
4. Определение карбонильных групп с борогидридом натрия
Щелочной раствор борогидрида натрия или калия при комнатной температуре быстро и селективно восстанавливает альдегидные и кетонные группы до спиртовых групп. В этих условиях он достаточно инертен по отношению к двойным связям, эпоксидным, сложноэфирным и карбоксильным группам. Механизм реакции заключается в присоединении гидрид-иона к карбонильному атому углерода, а атома бора к кислороду карбонильной группы с последующим гидролизом промежуточного боросодержащего комплекса. В этой реакции используются все четыре атома водорода борогидрида.
![]()
При подкислении реакционной смеси в результате разложения избытка борогидрида натрия выделяется водород
По разности объемов водорода, выделяющегося при подкислении контрольного и исследуемого растворов можно определить массовую долю карбонильных групп в исследуемой целлюлозе: 1 моль H2 соответствует 1 молю СО-групп. Для количественного определения карбонильных групп в полисахаридах Линдберг и Теандер разработали газометрический метод.
Другими исследователями предложен титриметрический метод, основанный на реакции борогидрида натрия с иодатом калия и последующим иодометрическим определением избытка иодата
По количеству иодата калия, израсходованного на реакцию, определяют количество борогидрида натрия до и после взаимодействия с целлюлозой и устанавливают в ней содержание карбонильных групп.
Достоинством борогидридного метода является возможность определения в препаратах целлюлозы малых количеств карбонильных групп. Окисленные целлюлозы восстанавливаются быстрее, чем гидролизованные и технические, однако при анализе окисленных целлюлоз этот метод недостаточно точен, так как с борогидридом реагируют не только карбонильные, но и лактонные группировки. Чтобы уменьшить ошибку, рекомендуют перед реакцией восстановления переводить карбоксильные группы в их соли. К завышенным результатам могут также привести и окислительные процессы, протекающие в целлюлозе под воздействием кислорода воздуха в щелочной среде.
Для предотвращения ошибок необходимо проводить все операции анализа при одной и той же температуре и продолжительности; строго соблюдать рН реакции, так как увеличение рН приводит к усилению побочных реакций в растворах борогидрида натрия, а уменьшение рН ускоряет распад борогидрид-иона. Установлено, что содержание карбонильных групп, определенное борогидридным методом, пропорционально медному числу Хегглунда. Для целлюлоз, окисленных периодатом натрия, борогидридный и гидроксиламиновый методы дают сравнимые результаты.
![]()

Методика определения карбонильных групп газометрическим борогидридным методом. Количественное восстановление карбонильных групп в целлюлозе или оксицеллюлозе борогидридом натрия проводят в приборе, состоящем из реакционного трехкамерного сосуда и газовой бюретки. Определение осуществляют при комнатной температуре.
Навеску массой около 0,15 г воздушно-сухой целлюлозы помещают в среднюю часть в реакционного сосуда / и добавляют3 см раствора ортоборной кислоты концентрацией 0,1 моль/дм3, туда же помещают магнитную мешалку в стеклянной оболочке. В боковую камеру А пипеткой отмеряют точно 3 см3 раствора борогидрида натрия концентрацией в растворе гидроксида натрия концентрацией 0,1 моль/дм3, в боковую камеру С заливают 1 см3 раствора серной кислоты концентрацией 2 моль/дм3. Реакционный сосуд присоединяют к газовой бюретке объемом 50 см3 с помощью трехходового крана. Кран закрывают и, наклоняя реакционный сосуд, приливают раствор NaBH4 из боковой камеры А в среднюю часть В.
Прибор для определения карбонильных групп газометрическим борогидридным методом:
/ — реакционный сосуд; 2 — трехходовой кран; 3 — магнитная мешалка; 4 — газовые бюретки

Реакционную смесь перемешивают магнитной мешалкой 3 в течение 3 ч. После этого избыток борогидрида натрия разлагают, приливая из боковой камеры С разбавленную серную кислоту. Мешалку останавливают и реакционный сосуд погружают в воду при комнатной температуре на 3 мин, периодически встряхивая. С помощью крана соединяют реакционный сосуд с газовой бюреткой и измеряют объем выделяющегося водорода. Аналогично, только без навески целлюлозы, проводят контрольное определение одновременно на другом идентичном приборе.
В качестве газовой бюретки вместо обычной рекомендуют применять бюретки специальной конструкции. Средняя часть такой бюретки представляет собой баллон, объем которого вместе с верхней ее частью примерно на 5 см3 меньше ожидаемого объема водорода в рабочем опыте. Нижняя прямая часть бюретки может быть узкой, с ценой деления 0,01... 0,02 см3, что значительно повышает точность отсчета.
Бюретки заполняют водой или дибутилфталатом. Давление паров дибутилфталата при комнатной температуре ничтожно мало, и объем газа можно не корректировать. В случае же применения воды обязательно вводят поправку, учитывающую упругость водяных паров.
Массовую долю СО-групп,% к абсолютно сухой целлюлозе, рассчитывают по формуле

где W0 — приведенный к нормальным условиям объем водорода, израсходованного на восстановление СО-групп, см3; V1 — объем водорода, выделившегося в рабочем опыте, см3; V2 — объем водорода, выделившегося в контрольном опыте, см3; В — барометрическое давление, ГПа; U'' — давление паров воды при температуре /, если газ собирается над водой, ГПа; / — температура окружающей среды, 0C; 28,011 — масса 1 ммоля СО-групп, мг; 22,414 — объем 1 ммоля водорода при нормальных условиях, см3; g— масса абсолютно сухой навески целлюлозы, г.
Для определения низкого содержания карбонильных групп в целлюлозе применяют модифицированный метод. Восстановление борогидридом натрия проводится в течение 6 ч в реакционном сосуде большей вместимости и с большей массой навески целлюлозы. Увеличивается также расход и концентрация используемых для восстановления реагентов. В центральную часть В реакционного сосуда заливают 20 см3 раствора H3BO3 концентрацией 0,15 моль/дм3, в боковую камеру А 20 см3 раствора NaBH4 концентрацией 0,025 моль/дм3 в растворе NaOH концентрацией 0,1 моль/дм3, а в боковую камеру С—5 см3 раствора H2SO4 концентрацией 2 моль/дм3.
5. Определение карбоксильных групп с гидрокарбонатом натрия
по Вильсон
Метод основан на обратном титровании карбоксильных групп гидрокарбонатом натрия
![]()
Избыток гидрокарбоната натрия оттитровывают соляной кислотой
![]()
Подготовка целлюлозы к анализу. Воздушно-сухую целлюлозу предварительно обессмоливают экстрагированием органическими растворителями по обычной методике. Из обессмоленной целлюлозы приготавливают отливки и сушат на воздухе. Навеску воздушно-сухой целлюлозы в виде отливок массой около 2,5 г для обеззоливания помещают в коническую колбу вместимостью 500 см3, заливают 250 см3 раствора HCI концентрацией 0,1 моль/дм3 и хорошо взбалтывают. Массу выдерживают в течение 1 ч при комнатной температуре, затем целлюлозу отфильтровывают на воронке Бюхнера с полотняным фильтром и тщательно промывают теплой дистиллированной водой до нейтральной реакции промывных вод. Обеззоленную целлюлозу подсушивают на воздухе.
Методика анализа. Целлюлозу после обеззоливания и подсушивания взвешивают и помещают в коническую колбу вместимостью 250 см3 с притертой пробкой, заливают пипеткой 50 см3 раствора гидрокарбоната натрия концентрацией 0,01 моль/дм3 и хлорида натрия концентрацией 0,1 моль/дм3, закрывают колбу и оставляют на 1 сут, периодически встряхивая. Затем массу отфильтровывают на сухом стеклянном пористом фильтре под вакуумом в чистую сухую отсосную колбу. Пипеткой отбирают 25 см3 фильтрата, переносят в коническую колбу вместимостью 250 см3 и титруют раствором соляной кислоты концентрацией 0,1 моль/дм3 с индикатором метиловым красным. По достижении переходной окраски раствор кипятят несколько минут для удаления CO2, быстро охлаждают под струей воды и затем титруют до изменения окраски в розовую. Параллельно титруют таким же образом 25 см3 раствора гидрокарбоната.
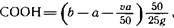
Количество карбоксильных групп СООН, ммоли на 100 г абсолютно сухой целлюлозы, рассчитывают по формуле
![]()
где а — расход раствора соляной кислоты концентрацией 0,01 моль/дм3 на титрование 25 см3 фильтрата, см3; b— то же на титрование 25 см3 раствора NaHCO3+ NaCI, см3;н— объем воды в навеске целлюлозы после обеззоливания и подсушивания, который рассчитывают по разности между массой целлюлозы после обеззоливания и подсушивания и массой абсолютно сухой целлюлозы до обеззоливания, см3; g— масса навески абсолютно сухой целлюлозы.
6. Определение карбоксильных групп фотоколориметрическим
методом по Веберу
Метод основан на связывании карбоксильными группами основного красителя — метиленового голубого с последующим вытеснением связанного красителя соляной кислотой и фотоколориметрическим определением его количества и отсасывают воду. Затем закрывают кран на фильтре и обрабатывают волокно 25 см3 раствора метиленового голубого, при этом массу на фильтре перемешивают маленькой стеклянной палочкой. По истечении 10 мин открывают кран и отсасывают раствор красителя. Обработку повторяют несколько раз до тех пор, пока оптические плотности исходного раствора и фильтрата не сравняются. Для фотоколориметрирования отбирают пипеткой 2 см3 фильтрата, переносят в мерную колбу вместимостью 250 см3 и доводят до метки раствором соляной кислоты концентрацией 0,01 моль/дм3. Затем измеряют оптическую плотность полученного раствора на спектрофотометре при длине волны 600 нм или на фотоэлектроколориметре с оранжевым фильтром в кювете толщиной 10 мм. Таким же образом измеряют оптическую плотность исходного раствора. По окончании последней обработки тщательно отсасывают раствор красителя, вынимают окрашенную целлюлозу из фильтра, взвешивают и помещают в чистый стеклянный пористый фильтр с краном. После этого для извлечения МГ окрашенную целлюлозу подвергают следующей обработке:
1. Четырехкратной промывке порциями по 25 см1 раствора соляной кислоты концентрацией 0,01 моль/дм3 с перемешиванием по 5 мин при закрытом кране; фильтрат собирают в мерную колбу вместимостью 250 см3 и доводят его объем раствором соляной кислоты концентрацией 0,01 моль/дм3 до метки.
2. Четырехкратной промывке порциями по 25 см3 раствора соляной кислоты концентрацией 0,01 моль/дм3 с перемешиванием по 10 мин; фильтрат собирают в мерную колбу вместимостью 100 см3.
3. Четырехкратной промывке порциями по 25 см3 раствор;: соляной кислоты в этаноле концентрацией 0,2 моль/дм' с перемешиванием по 10 мин; фильтрат собирают в мерную колбу вместимостью 100 см3 и объем доводят до метки раствором соляной кислоты в этаноле концентрацией 0,2 моль/дм3.
После последней промывки, несмотря на бесцветный фильтрат, волокно может сохранять слабую окраску, обусловленную частично необратимым связыванием МГ. Однако удержанная масса красителя дает ошибку не более 1% от определяемого значения.
Промытое волокно помещают во взвешенный бюкс и высушивают в сушильном шкафу до постоянной массы. Полученные фильтраты подвергают фотоколориметрированию; при этом фильтрат I разбавляют в 10 раз, а фильтраты II и III исследуют без разбавления. Растворы фотоколориметрируют, как было указано сыше,— измеряют оптические плотности и по соответствующим градуировочным графикам определяют массу МГ в каждом фильтрате.
Количество карбоксильных групп СООН, ммоли на If1O г абсолютно сухой целлюлозы, рассчитывают по формуле
![]()
где т, — масса МГ в фильтрате I, рассчитанная с учетом разбавления фильтрата, мг; т2 — масса МГ в фильтрате II, мг; т3 — масса МГ в фильтрате III, мг; ти — концентрация МГ в исходном растворе, мг/см3; —количество исходного раствора МГ, удержанное волокном, г; 1 мг МГ соответствует 0,14 мг СООН-групп.
Построение градуировочных графиков. Для построения градуированных графиков готовят эталонные растворы МГ в водном и этанольном растворах соляной кислоты. С этой целью 1 см3 раствора МГ концентрацией примерно 0,0005 моль/дм3 разбавляют в мерных колбах соответствующими растворами соляной кислоты в 50, 100, 200, 400 и 800 раз. Полученные растворы фотоколориметрируют по вышеуказанной методике. На основании средних данных пяти-шести параллельных определений строят градуировочные графики для растворов МГ в воде и в этаноле.