| Скачать .docx |
Курсовая работа: Топологія геометрична та коливальна структура фулеренів Механізм утворення фулеренів
НАЦІОНАЛЬНИЙ АВІАЦІЙНИЙ УНІВЕРСИТЕТ
КАФЕДРА ХІМІЇ ТА ХІМІЧНОЇ ТЕХНОЛОГІЇ
Курсова робота
з дисципліни: «Хімія природних енергоносіїв та вуглецевих матеріалів»
Тема: Топологія, геометрична та коливальна структура фулеренів. Механізм утворення фулеренів.
Виконала: студентка 208 групи
факультету екологічної безпеки
Юрченко О.О.
Київ 2006
Зміст
Список умовних скорочень
Вступ
1. Механізм утворення фулуренів
1.1 Ввідні зауваження
1.2 Ранні моделі
1.3 Іонна хроматографія
1.4 Бімолекулярні реакції
1.5 Терсодинамічні аспекти
2. Топологія і стабільність фулеренів
3. Геометрична, електронна і коливальна структура фулеренів
Список літератури
Додаток А
Додаток Б
Додаток В
Додаток Г
Додаток Д
Додаток Е
Додаток Є
Додаток З
НВМО−нижчої вакантної молекулярної орбіталі
ВЗМО−вищої зайнятої молекулярної орбіталі
IPR−Isolated Pentagon Rule
POAV−π-orbital axsis vector
HMR−Нехаgоп Neighboring Ru1е
NICS−Nuclear Independent Chemical Shift
Д− додаток
Вступ
Відвіку людині були відомі дві кристалічні алотропниі модифікації вуглецю: графіт і алмаз. Ще в 1973 році Бочвар і Гальпері показали, що замкнутий поліедр з атомів вуглецю у формі усіченого ікосаедра повинен мати замкнуту електронну оболонку і високу енергію зв'язку. Проте ця робота пройшла непоміченою, і лише в 1985 році Крото із співробітниками виявили в мас-спектрі продуктів розкладання графіту під дією лазерного пучка інтенсивний пік з масою 720 у.е.м., походження якого пояснювалося присутністю молекул С60 . Інший, менш інтенсивний пік, відповідний масі 840 у.е.м., зв'язувався з молекулою С70 . Захоплююча історія цього відкриття детально виклади в нобелівських лекціях Крото, Смоллі і Керла. Нова аллотропная модифікація вуглецю одержала назву «фулерени». Відкриття в 1990 році Кречмером методу отримання фулеренів в макроскопічних кількостях дало початок інтенсивним дослідженням і привело до появи фактично нових розділів фізики твердого тіла, хімії ароматичних сполук, молекулярної електроніки.
Фулерени є стійкими багатоатомними кластерами вуглецю з числом атомів від декількох десятків і вище. Число атомів вуглецю в такому кластері не довільно, а підкоряється певній закономірності. Форма фулеренів - сфероїд, грані якого утворюють пяти- і шестикутники. Згідно геометричному розрахунку, проведеному ще Ейлером, для побудови такого многогранника необхідно, щоб число п'ятикутних граней було рівне дванадцяти, число ж шестикутних граней може бути довільно. Такій умові відповідають кластери з числом атомів N = 32, 44, 50, 58, 60, 70, 72, 78, 80, 82, 84 і т.д. Найбільший інтерес експериментальних досліджень представляє фулерен С60 зважаючи на його найбільшу стабільність і високу симетрію.
В даний час опубліковано безліч експериментальних і теоретичних робіт, присвячених різним аспектам фізики С60 в різних станах: ізольована молекула, С60 в розчинах і особливо С60 в твердотільному стані. При температурах нижче 600К С60 утворює молекулярні кристали. Кристали високої чистоти (99.98%) і міліметрових розмірів можуть бути вирощені з газової фази. Називатимемо фулеренами ізольовані молекули Сn , фулеритами - фулерени в твердотільному стані, зокрема полімеризовані фулеренові структури. До різноманітгим фулереновим похідним відносяться також інтеркаліровані з'єднання і ендоедральні фулерени. При інтеркаляції домішки вводяться в порожнини кристалічної гратки фулериту, а ендоедральні фулерени утворюються при впровадженні атомів різного сорту всередину кластера Сn .
З хімічної точки зору фулерени можуть розглядатися як тривимірні аналоги планарних ароматичних з'єднань, але з тією істотною різницею, що сполучення π-елетронної системи безперервно. Фулерени не містять водню, який може брати участь в реакції заміщення. Хімічний реакції з фулеренами можуть бути двох типів: реакції приєднання і окислювально-відновні, такі, що приводять відповідно до ковалентних екзоедральних з'єднань і солей. Якщо знайти хімічну реакцію, що відкриває вкінці в каркасі фулерену, що дозволяє впустити туди якийсь атом або невелику молекулу і знов поновлюючи з'єднання кластера, вийде красивий метод отримання ендоедральних фулеренів. Проте більшість ендоедральних металофулеренів в даний час проводяться або в процесі формування фулеренів у присутності чужорідної речовини, або шляхом імплантації.
1. Механізм утворення фулеренів
1.1 Ввідні зауваження
Синтез фулеренів в газоподібному вуглецевому середовищі відбувається в різко нерівноважних умовах; його хід визначається кінетикою хімічних реакцій між складовими такої пари, атомів вуглецю і всіляких кластерів, що є сумішшю, на його основі: лінійних і розгалужених ланцюжків, циклічних утворень різної форми, і т.п. Не дивлячись на високу температуру, така пара через високу щільність і швидке охолодження у міру видалення від місця його утворення відразу ж стає переохолодженим по відношенню до твердого вуглецю. Це означає, що термодинамічно вигідний процес конденсації, в ході якого серед інших кластерів з'являються молекули із замкнутим вуглецевим каркасом - фулерени.
Механізм утворення фулеренів із самого початку став інтригуючою проблемою, що викликала багато публікацій і дотепер багато в чому залишається дискусійним питанням. Яким чином з газоподібного - самого хаотичного стану - утворюються високоупорядковані структури - молекули фулеренів? У природі, як відомо, відбуваються і складніші процеси, наприклад, саме існування живих організмів. У клітинних структурах здійснюються складні хімічні реакції, що приводять до синтезу дуже специфічних макромолекул. Пристрій цих молекул повинен в точності відповідати тій ролі, яка призначена даному з'єднанню в подальших перетвореннях. Має значення хіральність молекул, тобто відмінність між L- і D-енантіомерами. Відомо, що білки побудовані виключно з L- амінокислот. 2-рибоза - основна хіральна структурна одиниця молекули ДНК, тоді як та, що відповідає їй є дзеркально симетричною молекулою - 2-рибоза - в живих організмах не зустрічається. Щонайменший збій в механізмі синтезу приводить до згубних наслідків для організму.
Вже декілька десятиліть існує область науки, основу якої заклав І.Р. Пригожин, - сильно нерівноважна термодинаміка. Вона, на відміну від класичної нерівноважної термодинаміки розглядає макроскопічні процеси, в умовах дуже сильного відхилення від стану рівноваги. Це приводить до зникнення характерної для традиційної термодинаміки лінійної залежності між потоками різних величин і силами (градієнтами), що їх викликають. В результаті з'являються нелінійні системи кінетичних рівнянь, які допускають рішення, що приводять до самоорганізації даних систем у вигляді нових просторово-часових структур. Тому пояснення факту утворення фуллеренов в природно протікаючих процесах, що носять макроскопічний характер, не викликає принципових труднощів.
Труднощі виникають при спробах запропонувати конкретну послідовність реакцій, що приводять до утворення фулеренів. Найбільше здивування викликає не сам факт появи замкнутих тривимірних вуглецевих структур в парі, а те, що процес синтезу фуллеренов за методом Кретчмера-Хаффмана дає такий великий вихід С60 (20-40%) і С70 як в абсолютному сенсі, так і в порівнянні з вищими фулеренами. Будь-яка модель повинна так або інакше пояснювати цей факт. Відправною крапкою у пошуках пояснення звичайно служить масс-спектр, одержаний в 1984 р. в експериментах лазерного випаровування графіту, який містить відносно легкі кластери Сn (з парним і непарним п) і важчі (тільки з парним п). Ці останні і є фулеренами. Даний масс-спектр, по суті, «миттєвий знімок», що відображає склад вуглецевого газу в певний момент часу (або вельми короткий проміжок часу), коли компоненти газу вже позбавлені можливості взаємодіяти між собою завдяки швидкому розширенню (і охолодженню) в буферному газі пара-плазми, яка спочатку утворилася під дією лазерного нагріву. «Ідеальний експеримент» повинен був би дати можливість прослідкувати еволюцію у часі такого масс-спектру при співвідношенні реального часу «заморожування» кластерів з концентрацією (вуглецю) і температурою у цей момент часу. Постановка подібного експерименту зв'язана з величезними, можливо, непереборними, труднощами. Реально накопичені експериментальні дані, здатні пролити світло на механізм самоорганізації вуглецевих атомів у фулерени, носять непрямий характер. Є значний масив фактичних даних, вказуючих на можливі стадії синтезу фулеренів і на можливі проміжні продукти на шляху їх синтезу. Ці дані часто допускають різну інтерпретацію. Найбільш яскравим прикладом служать роботи по вимірюванню рухливості позитивно заряджених вуглецевих кластерів (одержаних в результаті лазерного випаровування графіту), які вводяться в буферний газ з певними кінетичними енергіями (50-150 еВ). Трансформація кластерів відбувається під впливом зіткнень з буферним газом, при яких кінетична енергія переходить у внутрішню. Вивчення їх дрейфу в газі дає уявлення про їх форму. Вельми показові роботи по лазерній десорбції з'єднань типу Сn (CO)m , де показано, що циклічні повністю вуглецеві утворення трикутного, квадратного і пентагонального типів можуть, взаємодіючи між собою, приводити до утворення фулеренів С60 , С70 і інших.
До прямих і безперечних слід віднести результати експериментів з випаровуванням графіту, що містить ізотопи 12 С і 13 С. Процес кластеризації починається з вуглецевих атомів або з фрагментів з мінімальною кількістю атомів вуглецю (С2 і С3 ), оскільки розподіл ізотопів в кінцевих продуктах в точності відповідає Пуассонівському. Оптимальний вихід продуктів (фулеренів), синтезованих за допомогою методики випаровування графіту при дуговому або омічному нагріві, виходить лише в достатньо вузькому інтервалі умов утворення. Температура і тиск буферного газу сильно впливають на відсоток виходу. Фулерени С60 і С70 у будь-якому випадку залишаються основними серед продуктів із замкнутим вуглецевим каркасом. Якщо синтез проводиться в електростатичному полі, то фулерени, які утворюються, можна згодом виділити майже виключно з сажи, яка осідає в областях, близьких до катода. Це дає вагомі підстави стверджувати: катіони як проміжні продукти грають якусь роль в ланцюзі реакцій, що приводять до фулеренів. Нарешті, газоподібний С60 менш стабільний, чим С70 і інші фулерени, що підкоряються правилу ізольованих пентагонів, тобто має меншу енергію атомізації з розрахунку на один атом вуглецю.
Перерахований набір початкових даних, службовець основою для обговорення моделей механізму утворення фулеренів, слід доповнити важливими результатами, одержаними в дослідах по вивченню внутрішньої реорганізації позитивно заряджених вуглецевих кластерів при високоенергетичних зіткненнях на основі порівняння їх рухливості в буферному газі. Ці експерименти, крім даних про трансформацію, дали цінні відомості про величину, ізомерний склад і форму кластерів, що утворюються при лазерному випаровуванні графіту, а також про їх реакційну здатність при взаємодії один з одним.
1.2 Ранні моделі
Ще до виділення фуллеренов в макроскопічних кількостях автором і їх відкриття Р. Смоллі із співробітниками запропонована перша модель механізму синтезу, названа "Раrty Liпе". Цей термін важко перекладається російською мовою і означає приблизно «розділова лінія». З її допомогою вони спробували пояснити таке помітне утворення С60 у власних масс-спектральних експериментах з молекулярними пучками, що виходять в результаті лазерного випаровування графіту. Відмінна риса запропонованого сценарію –застосування в якості проміжних продуктів вуглецевих частинок, що нагадують відкриті графітоподобні листи. Вважається, що ці кластери стають найбільш термодинамічно стабільними, коли розмір кластерів досягає 25-35 атомів. До цього моменту зростання кластерів відбувається спочатку утворення з атомів простих лінійних молекул (ланцюжків), а потім за рахунок їх реакцій один з одним. У міру збільшення розміру вигіднішим стає формування замкнутих циклів (кілець). Трансформація кілець в графітові листи хоч і приводить до термодинамічної стабілізації, але робить кластери більш реакційно здатними, ніж ланцюжки або кільця, оскільки, на відміну від останніх, мають більше вільних зв'язків, або, як часто говорять в англомовній літературі, зв'язків, що «бовтаються» (“dangling bonds”). Внаслідок цього в структурі даних кластерів з'являються пятічленнs цикли (пентагони), що зменшують число вільних зв'язків. Це викликає викривлення поверхні, перетворюючи частинки на чашоподібні утворення. Коли число тих, що накопичилися в потрібних місцях пентагонsв стає достатньо великим, чаша може замкнутися і утворити порожнисту структуру, тобто фулерен. Абсолютно очевидно, що точне стикування ребер, що зближуються, вельми маловірогідний процес і поверхні багатьох з кластерів, що ростуть таким чином, будуть спіралеподібно закручуватися, утворюючи другий шар. Таким чином, дана модель не може пояснити великий вихід фулеренів при синтезі. Нагадаємо, про те, що автори моделі такої задачі собі і не ставили, оскільки цей факт ще не був відомий.
Після відкриття способу синтезу фулеренів в конденсованому вигляді автори запропонували вдосконалену версію моделі, усунувши один з її головних недоліків. Вона здобула згодом широку популярність. Правильне замикання вуглецевої поверхні з утворенням фуллерену С60 можливо тільки при специфічному розташуванні пентагонів і гексагонів, тому вони постулювали наступне. Найбільш енергетично вигідна структура чашоподібних фрагментів має якомога більшу кількість пентагонів, і пентагони не мають суміжних сторін, тобто підкоряються відомому правилу ізольованих пентагонів. Передбачається, що кластери, які досягли розмірів 20-30 атомів, здатні сформуватися в описану структуру в процесі повільного охолоджування в оточенні інертного газу під дією теплових зіткнень, як це має місце в умовах реального синтезу (т.з. відпал). Подальше зростання чашоподібних частинок відбувається за рахунок реакцій приєднання С2 або інших малих молекул до вільних країв. Повністю замкнуті кластери (фулерени), яких при описаних припущеннях повинно бути багато, випадають, таким чином, з подальших реакцій, тобто є кінцевими продуктами.
У міру накопичення експериментальних даних стали очевидними два істотні недоліки запропонованого механізму. Перший, менш важливий, пов'язаний з тим, що наявність малих вуглецевих частинок, необхідних згідно моделі на всьому протязі синтезу, не підтверджується досвідченим шляхом. Такі частинки присутні в достатній кількості тільки на початкових стадіях процесу. Щоб обійти це ускладнення, Р. Керл запропонував чергову модифікацію, згідно якої зростання чашоподібних кластерів цілком може відбуватися при їх реакціях з кластерами Сn середнього розміру, а саме з кільцями. При цьому утворюється кільце меншого розміру Сn -2 . Крім усунення необхідності мати постійне джерело, що поставляє частинки С2 або С3 , такий обмін двома атомами не вимагає особливої перебудови ні того, ні іншого реагенту і тому не повинен мати велику енергію активації.
Набагато серйознішим недоліком виявилося те, що експериментально не виявлено існування самих чашоподібних структур, покладених в основу механізму “Pentsgon Road” як проміжні продукти. Відмітимо, що були спроби зафіксувати присутність тих або інших вуглецевих інтермедіатів використанням свого роду хімічної пастки, які завершилися певним успіхом. Для цього в буферний газ гелій вводилися домішки: H2 , Cl2 , диціан (CN)2 , метанол, деякі вуглеводні, щоб заблокувати ненасичені зв'язки вуглецевих кластерів приєднанням по них атомів або невеликих груп, що входять до складу речовин, що додаються. Тим самим дані компоненти вуглецевої пари виводяться з ланцюга реакцій подальшого кластероутворення. Наприклад, якщо випаровування графіту відбувається у присутності хлору, в продуктах, крім невеликих кількостей (<5%) фулерену, виявляються з досить великим виходом перхлоровані циклічні з'єднання 1-3 (рис.1, Д.А), відтворюючи структурні фрагменти вуглецевого каркасу фулерену. Якщо як домішка вводиться метанол або пропен, окрім С60 і С70 , утворюються деякі поліциклічні арени складу С12 Н8 , Сn Н10 (п = 14-18), Сn Н22 (n = 20-24). Найцікавіші з цих з'єднань - (4,5), які також містять структурний мотив фулерену, показані на рис.1(Д.А). Розглянуті результати можна було б вважати такими, що говорять на користь, якщо не прямо підтверджуючими, концепцію "Репtаgоп Rоаd", якщо не визнати, що подібна функционалізацsя вуглецевих кластерів може спрямувати весь процес синтезу по іншому шляху. Немає достатніх підстав стверджувати, що «хімічно захоплені» фрагменти були б одним з основних компонентів і у відсутність агентів, які додаються.
1.3 Іонна хроматографія
На противагу описаним в попередньому розділі непрямим свідоцтвам на підтримку моделі Смоллі існують пряміші і достатньо вагоміші дані, що суперечать їй. Ці дані в основному одержані двома дослідницькими групами, що вивчали ізомерний склад вуглецевих кластерів, які утворюються при лазерному випаровуванні графіту, за допомогою апаратури, що дозволяє розділяти кластери однієї і тієї ж маси, але мають різну структуру. Як відомо, у області нагріву графітової поверхні лазерним випромінюванням спочатку утворюється високотемпературна вуглецева плазма, в якій крім нейтральних частинок Сn містяться вимірні кількості іонів обох знаків (Сn + , Сn - ). Ці заряджені кластери витягуються з плазми електричним полем і після проходження масс-аналізатора, який сортує іони по масових числах (точніше, по відношенню маси до заряду m/z) прискорюються до бажаної енергії і потім прямують в т.з. трубу дрейфу, наповнену буферним газом (гелієм) під тиском 2-5 мм рт.ст. Як правило, відібрані іони інжектируются в газ у вигляді імпульсного пучка. Якщо мас-аналізатор налаштований на певне масове число, то пучок містить набір заряджених ізомерів.
Зіткнення іонів з молекулами газу ініціює різні процеси: структурну перебудову кластерів, їх дисоціацію на простіші частинки і т.п. Певна частка іонів при цьому може «виживати». У трубі дрейфу іони (як введені, так і ті, що знов утворилися) рухаються під дією слабкого електричного поля через газ (дрейфують) у напрямі детектора. Час, за який вони досягнуть детектора, залежить від рухливості іонів, яка, у свою чергу, відповідно до перетинів зіткнень (вже при низьких енергіях) визначається їх розміром і формою. Таким чином, розгортка сигналу (іонів однієї і тієї ж маси) в часі дає розподіл ізомерів по структурах. Описану техніку часто називають в літературі газовою іонною хроматографією. Автори методики стверджують, що аналіз експериментально одержаних рухливостей в зіставленні з розрахунками ab initio і методом Монте-Карло з урахуванням усереднювання по обертанню частинок дозволяє у багатьох випадках безапеляційно визначити структуру кластерів. Хоча «безапеляційність» і викликає деякі питання, поза сумнівом, що за допомогою іонної хроматографії можна достатньо надійно відрізнити ізомери, що мають істотно різну форму.
Дані, одержані таким шляхом, виявилися вельми інформативними. Одним з найважливіших результатів стала класифікація позитивно заряджених кластерів, які існують у вуглецевій плазмі залежно від числа атомів. Не дивлячись на певні незначні розбіжності у віднесенні деяких частинок до тієї або іншої структури, склалася достатньо ясна картина. Малі частинки С5 + -С6 + −лінійні структури;,С7 + -С10 + присутні як у вигляді лінійних частинок, так і у вигляді моноциклів (кілець);, С11 + -С20 + існують вже тільки як моноцикли. Діапазон С21 + -С28 + представлений плоскими моно- і біциклічними утвореннями. Тривимірна структура вперше з'являється у кластерів С29 + , і при більшому числі атомів стають істотними кластери, що містять три або більше кілець. Фулерени вперше реєстріруются також, починаючи з області С30 + , і стають домінуючими, починаючи з С50 + (див. мал. 2, Д.А.). Таким чином, не дивлячись на те, що кластери з різною структурою співіснують при п > 30, не виявлено частинок, структура яких співвідносилася б з графітовими листами або чашоподібними незамкнутими тривимірними об'єктами, що містять усередині себе пентагони.
Зважаючи на розглянуті результати вимірювань рухливості катіонів, Хіт запропонував інший механізм, в якому як проміжні кластери, які потім перетворяться у фулерени, виступають частинки розміром 30-58 атомів із замкнутим каркасом. Модель одержала назву "Fullereпe Rоаd". Зростання кластерів, згідно цієї моделі відбувається так само, як і в моделі "Репtаgоп Rоаd", тобто за рахунок приєднання С2 . Оскільки частинки вказаних розмірів не можуть підкорятися правилу ізольованих пентагонів, то вони реакційніші, ніж кластери з великим числом атомів. Межі між суміжними пентагонами якраз і є тими реакційними центрами, до яких відбувається приєднання груп С2 . Як можливий механізм, по якому згодом відбувається реструктуризація в ізомери з меншим числом суміжних пентагонів, притягується відоме перегрупування Стоуна-Вейлса (див. Д. Б, рис.3).
Модифікація Керла, в якій приєднувані невеликі лінійні групи замінюються на крупніші кільця (див. Д. Б, рис.3), цілком підходить і до моделі “Fullerene Road”. Залишається, правда, неясним, яким чином з'являються самі замкнуті попередники фулеренів.
Ті ж самі експерименти з трубою дрейфу проливають світло на цю проблему, даючи переконливі доводи на користь того, що для задовільного пояснення утворення фулеренів зовсім немає необхідності привертати у якості попередників ні чашоподібні, ні замкнуті кластери. Як випливає з дослідів, кластери, які накопичили більше 30 атомів вуглецю і мають форму одиночного кільця або бі- і тріциклічну структуру, легко перетворяться у фулерени, якщо у внутрішні міри свободи закачується достатня енергія (говорять також, що відбувається «відпал» кластерів). Цей висновок - другий найважливіший результат застосування методу іонної хроматографії, робить зрозумілішим найважчий етап синтезу фулеренів - поява частинок із замкнутим вуглецевим каркасом. У самій справі, не є великою складністю пояснити, яким чином виникають плоскі або об'ємні структури з двома або трьома великими циклами. Спочатку лінійні молекули ростуть за рахунок приєднання чергових атомів. Після досягнення певних розмірів вони при коливальному збудженні (під впливом теплового руху з високою температурою) легко можуть замкнутися в кільце. Кільця, реагуючи між собою, утворюють мультициклічні структури. Тому, якщо знайдено пояснення наступному етапу - переходу до кластерів із замкнутою оболонкою, то і весь ланцюг реакцій, який веде до фулеренів, стає зрозумілим.
Розглянемо докладніше, що відбувається, коли пучок катіонів Сn + з тією або іншою заданою кінетичною енергією частинок стикається з молекулами буферного газу. Дані на мал. 2.(Д.А) одержані при невеликій енергії налітаючих частинок 2-20 еВ, недостатньої для такого збудження кластерів, яке може привести до їх дисоціації або внутрішньої перебудови. Таким чином, розподіл кластерів за розмірами і структурою в цьому випадку відповідає тому, яке виникає «природним» чином у вуглецевій плазмі при лазерній дії. У цих умовах час, який кластери проводять при достатніх для відпалу температурі і тиску, досить мало. Унаслідок швидкого охолоджування при розширенні плазми кластерний склад (у тому числі і ізомерний) продуктів «заморожується» в мета-стабільному стані. В умовах дугового синтезу тривалість даного періоду, очевидно, значно більше.
Щоб побачити, як мінявся б склад вуглецевої пари при тривалішому відпалі, кінетична енергія катіонів була збільшена до 50 еВ, а потім до 150 еВ. Візьмемо для прикладу катіони з числом атомів вуглецю в діапазоні 30-40. Саме при таких розмірах кластерів вперше з'являються фулерени.
На мал. 4(Д.Б) показані хроматограми, одержані при налаштуванні мас-анализатора на масові числа 39 і 40 відповідно. Реєстровані детектором катіони С39 + і С40 + - це кластери, які «вижили» при зіткненнях, тобто не зазнали дисоціації. Характер розподілу ізомерів за часом дрейфу при енергії 50 еВ мало відрізняється від такого при енергії 2-3 еВ і свідчить про те, що більшість кластерів є плоскими структурами з одним, двома або трьома замкнутими циклами. У кластерів з одним кільцем час дрейфу найбільший. Є також невелика кількість тривимірних кільцевих структур (час дрейфу ~160 мкс) і кластерів із замкнутою кліткою, тобто фулеренів (~120 мкс). Схожі результати можна спостерігати і для катіонів С40 + , серед яких фулеренів значно більше. Фуллерени С39 + і С40 + -це, зрозуміло, «неправильні» фулерени, що не підкоряються правилу ізольованих пентагонів. Існування «сьогодення» фулеренів в даному діапазоні мас у принципі неможливе.
Хроматограми, зняті при енергії 150 еВ, однозначно показують: переважна більшість бі- і тріциклічних кластерів реструктуруються в частинки з одним кільцем. Фулерени і тривимірні циклічні кластери не зазнають помітних змін під дією відпалу. Очевидно, що при заданому числі атомів моноциклічні кластери найбільш стабільні серед плоских структур. Найважливішим є той факт, що при підвищенні енергії значна частина початкових катіонів С39 + і С40 + зазнає зіштовхувальної дисоціації і перетворюється на фуллерени з меншим числом атомів, викидаючи при цьому один або невелику групу атомів вуглецю (див. схему на мал. 5 Д.В). Це ясно видно з хроматограм для іонів С38 + і С36 + , що показують, що ці іони є фактично на 100% фулерени. З'являються вони тільки при великих енергіях зіткнень. Реєстрація іонів з даними масовими числами відбувається при настройці на них ще одного (квадрупольного) мас-аналізатора, що стоїть в кінці труби дрейфу.
Збільшення внутрішньої енергії кластера в результаті зіткнення, яке приводить до фулерену, вельми велика. У літературі посилаються на величину 5-20 еВ, маючи на увазі початкову кінетичну енергію іонів, що вводяться, 150 еВ і вважаючи, що тільки частина її йде на «розігрівання» кластера. Не можна достовірно сказати, яким чином вона розподіляється по внутрішніх мірах свободи. Як відомо, число коливальних ступеней свободи n-атомной молекули рівне 3п - 6. Якщо вважати, що вся енергія переходить в коливальну, то для С40 + на кожну моду припадає приблизно 0.18 еВ, що відповідає температурі 2000 К; Для С36 + 0.2 еВ і 2300 К. Все це відноситься до збудженої частинки, що ще не прийняла форми фулерену. Згідно з деякими розрахунковими даними, енергія, яка вивільняється при перегрупуванні кластера С36 + з біциклічної структури в структуру фуллерена, рівна ~9 еВ. Якщо ця енергія додається до одержаної при зіткненні, то коливальна температура стає ~3300 К; що вельми близько до температури плавлення графіту. «Розігріта» до такої температури частинка, скажімо, С38 + , потім охолоджується в результаті відщеплення фрагмента С2 . Енергія, яка вивільняється в аналогічному процесі для кластера з тричленним циклом, що приводить до утворення фулерена С60 , складає ~45 еВ.
Таким чином, зіткнення, енергія яких достатня для подолання порогу ізомеризації, ініціюють швидкий розрив зв'язків в плоских кластерах досить великого розміру з подальшою перебудовою в структуру фулерена. Процес формування фулеренів починається з кластера С33 + , який дає фулерен С30 + з втратою групи С3 . Теоретичні розрахунки підтверджують: фулерени саме такої величини вперше стають стійкішими, ніж відповідні плоскі циклічні кластери. Із зростанням маси кластерів процес утворення фулеренів сильно прискорюється, що видно вже з порівняння хроматограм для С39 + і С40 + . Це дає підстави для висновку: активаційний бар'єр, пов'язаний з перетворенням плоских кластерів у фулерени, швидко падає із збільшенням маси, що узгоджується із зростанням стабільності фулеренів в порівнянні з їх попередниками, передбаченим теоретично. За оцінками, енергія активації, необхідна для трансформації поліциклічних кластерів розміром 50-70 атомів у фулерені, менше, ніж типова енергія одинарного σ-зв’зку С-С. Автори знайшли, що кластери С58 + реструктуруються у фулерен майже також легко, як і С60 + . Дещо пізніше в одній з груп, що займається іонною хроматографією, поставлені ще тонші експерименти, в яких дрейфуючі катіони піддавалися додатковій лазерній дії вже в трубі дрейфу, щоб ініціювати подальші перетворення. Синхронізація лазерного імпульсу з певним часом дрейфу дозволяє впливати випромінюванням на конкретні ізомери і відокремити процеси, що відбуваються з ними, від інших. Встановлено: чим більше циклів має кластер, тим легше він трансформуєтся у фулерен. Різниця в швидкості процесу для кластерів, що містять чотири або три кільця, в порівнянні з біциклічними, вельми помітна. Прості ж кільця схильні, швидше, до фрагментації, чим до реорганізації.
Ще одним доводом на користь того, що проміжні продукти − попередники фулеренів − не обов'язково повинні виглядати як гостьові фрагменти цих молекул, є експериментальні дані, які показують, що фулерени легко утворюються шляхом коалесценциєю («злипанням») кластерів середнього розміру. Такі дані одержані в дослідах з лазерною десорбцією циклічних вуглецевих оксидів наступного вигляду(див Д.В, рис. 6).
Під дією лазерного променя молекули (або їх частина) втрачають кисень і перетворюються в чисто вуглецеві моноциклічні кластери, що містять відповідно 18, 24 і 30 атомів, які присутні в продуктах випаровування і у вигляді катіонів. При десорбції з'єднання 3 кільця С30 реагують з іонами С30 + утворюючи фуллерен С60 + (див. Д.Г,рис.7 ). Аналогічно коалесценція чотирьох 18-членних або трьох 24-членних циклів приводить до фуллерену С70 + через попереднє утворення С72 + . С60 + і С70 + є домінуючими продуктами за відсутності процесів приєднання малих вуглецевих груп типу С2 . Останнє ясно з виду мас-спектрів, в яких найбільш виділяються піки, відповідні катіонам з різницею чисел атомів вуглецю, кратною 18 або 24. В той же час наявність у складі плазми малих груп, що випаровується, достатньо очевидна. На рис.8(Д.Г) представлені мас-спектри негативно заряджених кластерів, в яких піки розташовані на відстанях, якраз відповідних масовому числу С2 . Це доводить, що серед аніонів відбувається як приєднання, так і відщеплення даної групи. Інтенсивності іонів С60 - і С70 - особливо не виділяються на тлі інших, тобто дані аніони не володіють структурою фулеренів. Описана різниця в поведінці катіонів і аніонів відносно реакцій з С2 перекликається з приведеними раніше фактами щодо ролі катіонів в процесі синтезу фулеренів, пов'язаними з дуговим синтезом в електричному полі.
З приводу спостереження заряджених частинок у вуглецевій плазмі необхідні наступні зауваження. Реєстровані в мас-спектрах іони утворюються в згустку, що виникає при дії лазерного променя на графіт. Такі мас-спектри відображають іонний склад плазми. Тим часом для отримання даних про механізм утворення фулеренів в першу чергу потрібна інформація про її молекулярний склад. Це питання ніде не обговорюється, маючи на увазі, що всі висновки, зроблені з аналізу поведінки іонів, автоматично можна перенести на нейтральні частинки. Відносні інтенсивності іонів (як того, так і іншого знаку) в мас-спектрах не зобов'язані відображати молекулярний склад газу. Спектри на рис.7-8(Д.Г) наочно показують: розподіл аніонів і катіонів має абсолютно різний вигляд. Якби іони знаходилися в іонізаційній рівновазі з відповідними-нейтральнимі частинками (при цьому рівноваги в реакціях іншого типу може і не бути), то їх інтенсивності відповідали б концентраціям незаряджених кластерів з поправкою на неоднакову величину спорідненості до електрона у різних кластерів у випадку аніонів і на величину енергії іонізації у випадку катіонів. Очевидно, що навіть при невеликій відмінності на 0.2-0.3 еВ поправка може бути вельми істотною через експоненціальний характер залежності концентрації заряджених частинок від цих величин згідно формулі Саха-Ленгмюра. Зазначимо, що в таких експериментальних методах з використанням мас-спектрометра, як МАLDI, LDI, електроспрей і ін., спостереження іонів звичайно вважається індикатором присутності в досліджуваних зразках відповідних нейтральних частинок.
1.4 Бімолекулярні реакції
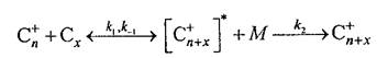
Процес синтезу фулеренів йде в умовах кінетичного контролю. До такого висновку підштовхують: термодинамічні міркування, згідно яким утворення вищих фулеренів (що підкоряються правилу ізольованих пентагонов) вигідніше, ніж С60 або С70 , всупереч тому, що має місце насправді; факти, які говорять, що для ефективного виходу фулеренів необхідні вельми специфічні умови. Резюмуючи основні результати, описані вище, розглянемо, яка загальна кінетична картина складається на їх основі. Почати доцільно з етапу, на якому в плазмі дугового разряду вже утворилася достатня кількість кластерів Сn середнього розміру (умовно кажучи, п> 15-20), які при об'єднанні можуть мати число атомів, необхідне для появи фулеренів. На раніших стадіях має місце поступове зростання лінійних молекул за рахунок простого приєднання атомів або малих груп, а також утворення циклічних структур невеликого розміру. На даній же стадії співіснують кластери трьох типів: циклічні (з різною кількістю циклів); «погано організовані» фулерени, тобто що не підкоряються правилу ізольованих пентагонів; «справжні» фулерени. Всі ці компоненти так або інакше реагують між собою, хоча реакційна здатність кластерів різного типу сильно відрізняється. Все це відбувається в умовах ще високої температури і досить високих концентрацій, тобто до «заморожування» складу плазми в буферному газі, коли частинки мають можливість стикатися між собою. Цілком очевидно, що основну роль гратимуть бімолекулярні реакції. Відповідно до реакційної здатності учасників їх можна розділити на три великі класи відносно величини константи швидкості. До першого класу відносяться реакції збільшення кластерів середнього розміру за рахунок їх об'єднання (коалесценція) з подальшим відпалом у фулерени (у правильні або неправильні, залежно від результуючого числа атомів):
Сn (цикл)+ Сm (цикл)→ Сn + m (возб.)→ Сn + m -2 (фул.)+C2 (2.1)
Емісія групи С2 позначена тільки як приклад. При непарному числі атомів в кластері, що виходить при коалесценції, може відбутися викид C або С3 . У оригінальній літературі термін «відпал» уживається без достатньо ясного роз'яснення його сенсу. Часто можна припускати, що мається на увазі перебудова енергетично збудженого кластера під дією молекулярних ударів з боку буферного газу. Ми маємо на увазі тут мимовільне перегрупування з викидом малого фрагменту, що відбувається без жодної участі інертного газу. Такий процес можливий завдяки тому, що коли два кластери середнього розміру зближуються на відстань, близьку до довжини зв'язку С-С, тобто вступають в хімічну взаємодію, то складену частинку можна розглядати як єдине ціле. Енергія цієї частинки набагато перевищує межу дисоціації на фулерені і фрагменті. Кажучи квантовомеханічною мовою, рівень енергії кластера Сn + m лежить у області безперервного спектру. Це означає метастабільний стан відносно розпаду кластера на частини, але вже відмінний від початкових реагентів. При цьому енергія, що виділяється в результаті утворення нових хімічних зв'язків при з'єднанні двох початкових кластерів і що розподіляється по різних ступенях свободи (залишаючись усередині кластера), виявляється достатньою для подолання (можливих) активаційних бар'єрів, пов'язаних як з внутрішньою перебудовою кластера, так і з процесом розпаду. Буферний же газ, швидше, сприяє поступовому «охолодженню» кластерів, відбираючи у них енергію, накопичену в поступальному, обертальному і коливальному русі. В рамках такого уявлення вірогідність перегрупування у фулерен практично не залежить від первинної структури реагуючих частинок. Останній чинник важливий лише відносно констант швидкості даних бімолекулярних реакцій, оскільки вірогідність зіткнень в газі безпосередньо залежить від форми кластерів.
Реакції типу (2.1) характеризуються великими величинами констант швидкостей. Як витікає з розглянутих вище даних, ці величини в першому наближенні слабо залежать від конкретної форми кластерів порівнянних розмірів. Дійсно, ми бачили, що циклічні кластери, показані на рис.6(Д.В), так само реорганізуються у фулерени, як і кластери, що виходять при лазерній десорбції з'єднання С30 (СО)10 у результаті коалесценції.
Разом з реакціями (2.1) - головними ефективними постачальниками фулеренів в плазму - можливі реакції між «неправильними» фулеренами, що знов утворилися, і кільцевими кластерами:
Сn (непр.фул.)+ Сm (цикл)→Сn +2 (фул.)+ Сm -2 (цикл) (2.2)
Ці реакції можуть приводити до утворення як неправильних, так і правильних фулеренів, залежно від початкового числа атомів п. Така схема узгоджується з моделлю “Fullerene Road” при обліку модифікації Керла, як обговорювалося раніше. Дана модифікація спочатку запропонована для обліку можливості реакцій графіто-подібних частинок в моделі "Репtagon Road" не тільки з малими вуглецевими молекулами, але і з кільцеподібними, і була лише припущенням. Що стосується фулеренів, то вважалось, що вони здатні приєднувати тільки малі вуглецеві фрагменти. Проте подальше вивчення масивніших вуглецевих кластерів Сп (п = 100-320) іонною хроматографією показало наявність ізомерів, що мають структуру фулерена з приєднаним до нього кільцем. Такі ізомери легко перебудовуються у фулерен, тобто фулерени можуть рости також за рахунок реакцій з кластерами середнього розміру. Константи швидкості реакцій (2.2) повинні бути істотно менше, ніж реакцій (2.1), оскільки, хоча неправильні фулерени ще залишаються реакционоздатними частинками, через їх замкнуту структуру число реакційних центрів різко зменшується в порівнянні з плоскими циклічними кластерами.
Третій тип реакцій − це реакції за участю правильних фулеренів як початкові реагенти. Ці частинки найменше сприйнятливі як до приєднання яких-небудь груп, так і до їх відщеплення. Це визначається підвищеною стійкістю через відсутність суміжних пентагонів і, отже, високою енергією активації процесу взаємодії з будь-якими вуглецевими частинками. Відповідно, константи швидкості таких реакцій ще на порядок нижче, ніж у реакцій (2.1) і (2.2). Якщо в результаті останніх утворюються правильні фулерени, то вони практично випадають з ланцюга подальших реакцій.
Описані уявлення легко пояснюють великий вихід фулеренів С60 і С70 . Основну масу кластерів середнього розміру, які активно коалесціювали, складають частинки з числом атомів 20-30. Кластери, які містять 40-50 атомів, дуже легко відпалюють у фулерени. Тому утворення циклів подібного розміру, які в свою чергу реагували б один з одним з утворенням ще більших циклічних кластерів (80-100 атомів), сильно ускладнено. Крім того, С60 і С70 - перші фулерени, що підкоряються правилу ізольованих пентагонів. Неправильні фулерени, які вийшли в результаті відпалу, (n < 60) набирають потрібне число атомів (до 60) за допомогою реакцій (2.1) і в подальших реакціях практично не беруть участь. Фулерени С70 утворюються при реорганізації масивніших кластерів, що виникли в результаті коалесценції С36 + С36 або С34 + С38 ) тобто таких, які самі по собі ще не з дуже великою швидкістю перетворяться у відповідні неправильні фулерени (С34 , С36 , С38 ). Додатковий внесок у вихід С70 дає зростання неправильних фулеренів С62-68 по реакції (2.2). Утворення ж С80 , який міг би служити безпосереднім попередником фулерену С78 , набагато рідкісніше явище. Як показують досліди з відпалом в трубі дрейфу, необхідні для цього матеріали (кластери С40 або близькі по масі) вже з істотно більшою швидкістю самі стають (неправильними) фулеренами.
Приведений вище якісний опис можна наочно проілюструвати за допомогою нескладної кінетичної моделі, в яку можна включити і реакції неправильних фулеренів один з одним, хоча їх внесок навряд чи істотний. Основною перешкодою є відсутність хоч би орієнтовних, але досить надійних у вказаних рамках даних про константи швидкостей. Свого часу у зв'язку з механізмом “Fullerene Road” змодельована кінетика зростання катіонів фулеренів реакціями з короткими лінійними молекулами Сх (х= 1,2,3):

Вважаючи константи k1 однаковими для всіх фулеренів з парним числом атомів, за винятком С60 + і С70 + , вдалося знайти значення цієї величини, при якому відтворюється типовий мас-спектр, реєстрований при лазерному випаровуванні графіту.
1.5 Термодинамічні аспекти
Уже була обговорена можливість утворення фулеренів в конденсуючій фазі з інших алотропних модифікацій вуглецю. Такий (термодинамічний) розгляд дозволяє уявити собі рамки, в межах яких процеси реально протікають в природі. Тому корисно провести в певному сенсі аналогічне дослідження за участю газової фази фулерену, розглянувши питання про існування фулеренових молекул в насиченій парі графіту як одна з рівноважних його складових.
Коли мова заходить про склад газової фази, в якій можливі хімічні реакції, можна стверджувати, що згідно константам рівноваги відповідних реакцій будь-які частинки, що цікавлять нас, для яких в газі принципово є складові частини, завжди присутні в тій або іншій кількості. Тому питання потрібно ставити в тому плані, наскільки велика ця кількість, чи значуща вона, чи вимірювана вона і т.п. Виключення, можливо, треба зробити лише для нестабільних частинок навіть в умовах ізоляції. Це буває тоді, коли енергія збудження частинки перевищує мінімальну енергію, необхідну для її розпаду по якому-небудь з каналів. У окремому випадку молекула (або іон) може зовсім не мати мінімуму на потенційній поверхні, достатнього для існування хоч би одного зв'язаного стану. Говорити про частинку як про хімічний об'єкт можна, коли час її життя хоч би на порядок перевищує характерний час одного коливання. Коли константа рівноваги передбачає існування всього лише однієї молекули (у заданій кількості суміші), не говорячи вже про «долі» молекул, така газофазова реакція не йде.
Енергетика молекул фулеренів (будемо для визначеності говорити про С60 ) по відношенню до атомів вуглецю вельми сприяє їх освіті з газової фази, оскільки об'єднання 60 атомів в молекулу С60 приводить до вивільнення енергії приблизно 43 кеВ. Це порівнянно з енергією 511 кеВ, еквівалентній масі спокою електрона.
Заявлений аналіз простіше всього провести, розглядаючи наступну «реакцію»:
60С(тв.)= С60(г.). (2.3)
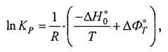
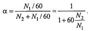
Константа рівноваги цієї реакції якраз є шуканим парціальним тиском Р(С60 ) фулерену в насиченій парі графіту. Розрахунки зручно вести за допомогою формули, в яку входять приведені стандартні термодинамічні потенціали Ф°т = = -(G°т - H°0 ) /T учасників реакції:

у якій R=8.314 Дж∙моль-1 К-1 − універсальна газова стала. Початковими величинами при обчисленнях, які проведені з використанням термодинамічних функцій, послужили ентальпія утворення газоподібного фулерену, перерахована до абсолютного нуля: ∆Нºƒ (С60 , г., 0К)= 2532 кДж/моль. Аналогічно тим же способом обчислені і константи рівноваги для чисто газофазової реакції
С60 (г.)= С60 (г.), (2.4)
а також ентальпії реакцій (2.3) і (2.4) при тих же температурах. Результати представлені в табл. 1.1.(Д.Д).
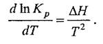
Парціальний тиск фулерену залишається нікчемним у всьому представленому діапазоні температур. Хоча спочатку він і росте із збільшенням температури, але у області 4000 К проходить через максимум. Цей факт − слідство зміни знаку ентальпії реакції (2.3) відповідно до відомого співвідношення:

Не дивлячись на те, що ентальпія стає негативною і реакція (2.3) з ендотермічної перетворюється на екзотермічну, тобто стає «вигідною» з енергетичної точки зору, подальше підвищення температури вже не сприятливо для утворення фулерену через те, що вирішальну роль починає грати ентропійний чинник.
У разі реакції (2.3) швидка зміна знаку (див. другу колонку справа в табл. 2.1) відбувається завдяки різкому збільшенню ентальпії вуглецю унаслідок його переходу в рідкий стан (температура плавлення 4130 К). Проте і без урахування цього чинника ентальпія реакції, як бачимо, досить швидко змінюється з температурою при достатньо високих її значеннях. У зв'язку з цим доречно зробити відступ, який стосується специфіки багатьох процесів за участю фулеренів.
При термодинамічному розгляді «звичайних» реакцій, що найбільш часто зустрічаються в традиційній хімії, ми маємо справу із з'єднаннями з не дуже великого числа атомів. Найчастіше стехіометричні коефіцієнти, що з'являються в рівняннях реакцій, теж невеликі. Нарешті температури, при яких доводиться вивчати реакції, лежать в межах декількох сотень градусів. Реакції, які протікають при 700-900 К, прийнято відносити до високотемпературної хімії.
У зазначених рамках зміна ентальпії і ентропії в реакціях (∆Н і ∆S) слабо залежить від температури, оскільки при малій сумі алгебри стехіометричних коефіцієнтів (різниці ∆υ коефіцієнтів, які стоять справа і зліва в записаній реакції) зростання абсолютних значень величин в двох частинах реакції в значній мірі компенсується. Вказаною зміною дуже часто нехтують. Відповідно, енергія Гіббса реакції (∆G=∆Н−Τ∆S) вважається лінійно залежною від температури. Температурна залежність константи рівноваги в координатах (1/Т, lnKp ) також описується прямою. Особливо все сказане відноситься до ізомолекулярних реакцій. Коли ж в числі реагентів є фулерен, навпаки, реакція часто виявляється, якщо можна так виразитися, різко не ізомолекулярна. Крайніми прикладами є реакції (2.3) і (2.4), що розглядаються нами. Це призводить до того, що за рахунок великого коефіцієнта при якій-небудь ділянці (у нашому випадку при вуглеці) термодинамічна величина стає швидко змінною функцією температури. Тому компенсація може і не відбуватися, особливо при широкому діапазоні температур, що ми і бачимо за даними табл. 2.1(Д.Д).
Повертаючись до парціального тиску фулерену, можна сказати, що в насиченій парі вуглецю цей компонент відсутній з будь-якої практичної точки зору навіть в термодинамічній межі. Якщо ж відвернутися від конденсуючої фази вуглецю і задавати довільний тиск Рс в газовій фазі, то ми побачимо, що при температурах до 4000 К рівновага в реакції (2.4) сильно зміщена у бік фулерену. Для прикладу візьмемо вказану температуру і тиск атомарного вуглецю 0.1 атм., порівняно з його тиском в умовах дугового розряду або лазерного випаровування. Тоді, згідно константі рівноваги реакції (2.4), отримаємо результат:
Р(С60 ) = Кр (2)·Рс 60 =1046,9 -(0,1)60 =8·1013 атм,
це означає, що газова фаза повинна складатися виключно з молекул фулерену. Насправді цього не відбувається з кінетичних причин. Реальний процес синтезу йде по зовсім інших маршрутах, які не мають нічого спільного з одномоментним об'єднанням 60 атомів вуглецю в молекулу С60 .
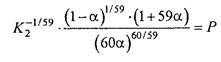
Приведемо корисні відомості, що стосуються ступеня рівноважної термічної дисоціації α газоподібного фулерену С60 . Це важливо, щоб оцінити, в якому стані може знаходитися вуглецевий газ в умовах реального синтезу. Йдеться про повну атомізації молекул згідно реакції (2.4), записаної в зворотному порядку: С60(г.)= 60С(г.), без урахування можливості розпаду на інші, складніші фрагменти. Дану величину прийнято визначати як відношення числа дісоційованих молекул N(С)/60 до молекул в недисоційованому газі N(С60 ) + N(C)/60:
(2.5)
де скорочено введені позначення N(C)=N1 , N(C60)=N2 . Парціальний тиск фулерен і атомарного вуглецю виражається через загальний тиск
Р=Р1 +Р2 (2.6)
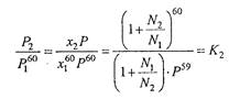
і відповідні мольні частки хі : за допомогою співвідношень Рі =хі Р і зв'язані між собою константою рівноваги реакції (1.4):
(2.7)
Виключаючи з системи рівнянь (2.6)-(2.7) парціальний тиск і враховуючи співвідношення (2.5), одержуємо рівняння, яке в неявному вигляді дає залежність ступеня дисоціації від температури і загального тиску в газі, причому температура входить в рівняння через константу рівноваги Кг = φ(Т):
(2.8)
Задаватимемо Т і Р незалежно, тобто розглядаючи вуглецевий газ окремо, ніяк не пов'язуючи його співіснування з тією або іншою конденсуючою фазою (фулерену або вуглецю).
У табл. 2.2(Д.Д) приведені розраховані на основі даних табл. 2.1 Значення ступеня дисоціації С60 двох температур і ряду тиску. Звернемо увагу на жахливо сильну залежність величини α від тиску у визначеному, дуже вузькому його діапазоні. Наприклад, при Т=4000 К і загальному тиску 0.2 атм частка дисоційованих молекул вельми мала (~6%). Зменшення тиску в дуже незначному ступені, всього лише до 0.14 атм, приводить практично до повної дисоціації молекул фулерену. Чому це відбувається, наочно видно з графіків а і b на рис.9 (Д.Е), де побудована функція, що стоїть в лівій частині рівняння (2.8). Графіки показують, що дане явище має місце в широкому діапазоні температур, тільки область абсолютного тиску, де лежить інтервал, який відповідає різкій зміні ступеня дисоціації, зміщується на декілька порядків.
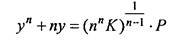
Щоб виявити, які чисто математичні властивості рівняння (2.8) лежать в основі розглянутої поведінки фулерену, перепишемо його в компактному вигляді стосовно загального випадку дисоціації молекули Аn на п однакових фрагментів, зробивши заміну змінної α=1/(1+yn -1 ):
(2.9)
З виду рівняння (2.9) ясно, що його не можна в загальному вигляді вирішити відносно у, отже, і відносно α; зміна величини вільного члена повинна дуже сильно впливати на рішення завдяки різкій зміні нахилу кривої, представленою функцією в лівій частині.
Виконаний аналіз підкреслює специфічну термодинамічну поведінку речовин, що беруть участь в реакціях, в які вони входять з великими стехіометричними коефіцієнтами. Нічого подібного не спостерігається в переважній більшості звичайних випадків. Дисоціація двоатомного газу характеризується плавною залежністю від тиску, яка при невеликому тиску часто навіть не береться до уваги. Таким чином, фулерени один з небагатьох об'єктів, на яких можна продемонструвати, наскільки обережно слід відноситися до оцінок величин, що характеризують подібні з'єднання.
Ще наочніше уявлення про термічну поведінку рівноважного фулеренового газу можна одержати, якщо наперед задавати бажаний ступінь дисоціації. В цьому випадку рівняння (2.8) описує на координатній площині Р,Т лінію, яка показує при яких значеннях даних величин цей ступінь досягається. На рис. 10(Д.Є) показані такі криві для двох протилежних станів - практично повної відсутності термічної дисоціації (α = 0.0001, лінія 2) і практично повної дисоціації газу фуллерена С60 (α = 0.9999, лінія 3). На цьому ж графіці нанесені лінії рівноваги фулериту (лінія 1) і графіту (лінія 4) зі своєю насиченою парою. Криві 2 і 3 відповідають дуже далеким один від одного станам. Якщо взяти ближчі значення ступеня дисоціації (наприклад, α =0.1 і α =0.9), то лінії були б майже невиразні в масштабі графіка, хоча в першому випадку газ перебуває на 90% з молекул фулерену, а в другому − на 90% з атомів вуглецю. Це відповідає тому, що було сказане вище: для переходу у дисоційований стан досить дуже невеликої зміни тиску. Таким чином, область часткової дисоціації С60 є вельми вузькою смугою.
Взаємне розташування ліній на малюнку показує, що крива рівноваги «графіт-пара» цілком лежить в області, яка відповідає повній дисоціації фулеренового газу, і відображає вже встановлений раніше факт: утворення фулерену в насиченій парі графіту термодинамічно заборонене. При дуговому або лазерному способі синтезу фулеренів процес починається саме з випаровування графіту під дією температури, тобто спочатку створюється газова фаза вуглецю, близька до насиченої пари, тому можна вважати, що на найпершій стадії (у безпосередній близькості від графітового зразка) фулерен не тільки не встигає утворитися, але і що це не може відбуватися у принципі. Подальші події розгортаються у області термодинамічної стабільності твердого вуглецю, тобто зліва від лінії рівноваги «графіт-пара». Ця частина діаграми цілком відноситься до метастабільних станів. Область між лініями 2 і 4 відповідає переохолодженій парі вуглецю, де зберігається термодинамічна заборона на утворення фулерену. З графіків неважко оцінити, який повинен бути ступінь переохолодження вуглецевої плазми, щоб утворення молекул фулерену було можливе в термодинамічній межі. Характерна температура у області дуги складає ~3000 К.
Порівнюючи криву 2 у точці, яка відповідає даній температурі, з кривою 4 при тому ж значенні тиску (пунктирна стрілка), ми бачимо, що лінії відстоять на цьому рівні один від одного по температурі на величину ~700-800 К. Очевидно, це є мінімальна різниця температур, необхідна для досягнення області недисоціюючого фулерену. Дійсно, при видаленні згустка плазми від місця випаровування падає не тільки температура, але і загальний тиск, так що конфігураційна точка, яка описує стан газу, рухатиметься по траєкторії, направленій вниз, і перетне криву 2 при нижчій температурі, чим це було б при русі по горизонтальній прямій. Дуже швидке розширення може привести до того, що область, в якій утворення фулерену дозволене, буде досягнута при таких низьких температурах, коли реакції між вуглецевими кластерами вже неефективні. Оскільки швидкість розширення істотно залежить від тиску буферного газу, то навіть з термодинамічних міркувань, не говорячи вже про кінетичні, стає зрозумілою критична роль тиску гелію у величині виходу фулеренів.
Знаходячись в переохолодженому стані в області лівої лінії 2, тобто там, де утворення фулеренів уже можливо, вуглецевий газ прагнутиме сконденсуватися назад в графіт −наибольш термодинамічно вигідний стан («повалитися» знов на криву 4). Призначення буферного газу − не дати можливість здійснюватися цьому процесу і забезпечити тим самим достатній час для зіткнень кластерів між собою і, отже, для проходження тих бімолекулярних реакцій (2.1-2), які обговорювалися раніше. В результаті рухомий газ до моменту перетину з кривою 1 міститиме вже певну кількість фулеренів, які сконденсуються у фулерит, а основна маса − у вуглець.
2. Топологія і стабільність фулеренів
Фулеренами в найбільш загальному значенні цього поняття можна назвати експериментально одержані і гіпотетичні молекули, що складаються виключно з атомів вуглецю і що мають форму опуклих многогранників. Атоми вуглецю розташовані в їх вершинах, а С-С зв'язки пролягають уздовж ребер. Подібна опукла структура не може бути побудована sp3 -гибридизованных атомів вуглецю, що віддають перевагу тетраедричній координації, тоді як для структури, побудованої з прагнучих до трігональної плоскої координації sр2 -атомов, наявність деякої локальної кривизни вимагає не дуже великих енергетичних витрат. Таким чином, фулерени - це поліненасищенні з'єднання, в яких всі атоми вуглецю знаходяться в sр2 -гибридизованому стані. Останнє іноді описується як sр2+х стану у зв'язку з відхиленням координації атомів від ідеально планарної. Кожен атом має по три сусіди, пов'язані з ним σ-зв'язками, тобто з кожної вершини многогранника виходить по три ребра, тоді як валентні електрони, що залишилися, утворюють π-систему молекули, що складається з в тому чи іншому ступені делокалізованних подвійних зв'язків. Звідси слідує парність числа атомів у фулеренах, оскільки число σ-зв'язків, що цілим, дорівнює 3n/2, де п - число атомів вуглецю.
Найбільш енергетично вигідною вуглецевою структурою, що складається з ковалентно зв'язаних sр2 -гибридизованных атомів вуглецю, є гексагональний моношар (лист) графіту, в якому всі валентні кути мають оптимальне для даного гібридного стану значення - 120°. Проте одержати замкнутий многогранник згорткою якого-небудь фрагменту такого листа неможливо, оскільки многогранники підкоряються теоремі Ейлера, тобто формулі В + Г- Р = 2, де В - число вершин, Г- граней, а Р - ребер. Якщо припустити наявність многогранника, що складається з одних шестикутників, то враховуючи той факт, що кожна вершина буде загальною для трьох граней, одержимо В = 6Г/3 = 2Г,Р = 6Г/2 = 3Г, тобто В + Г-Р = 0. Поверхня фулерену, таким чином, повинна включати разом з шестикутниками і інші грані, причому переважно з меншим числом вершин. Необхідність цього видно з наступного розгляду: при середньому числі вершин, що доводяться на грань, рівному N ми матимемо В=NГ/3, Р = NГ/2, тобто В + Г- Р = Г(1 – N/6). Звідси N повинне бути принаймні менше шести, інакше величина В + Г-Р виявиться непозитивною.
Як відомо, найбільш поширеними і стабільними циклами в органічній хімії серед як насичених, так і ненасичених, є шести- і пятічленні. Тому розумно припустити, що виникаючі стеричні напруги будуть мінімальні при усуненні дефіциту кривизни в графітовій сітці шляхом введення саме пятичленних циклів. Доступні до теперішнього часу експериментальні дані підтверджують це припущення. Хоча недавно одержана молекула, яка може бути формально розглянута як толільне похідне фулерен С62 (рис.11), що містить четирьохчленний цикл, а в теоретичних роботах розглядаються структури, що включають, крім пятичленних, і семичленні цикли, подібних фулеренів самих по собі дотепер не виявлено. Їх існування маловірогідно. Таким чином, надалі рахуватимемо фулеренами тільки замкнуті вуглецеві многогранники з шести- і п'ятикутними гранями.
Для таких многогранників відразу можна вивести деякі корисні співвідношення. Припустимо, що поверхня фулерену складається з k п'ятикутних і m шестикутних граней. В цьому випадку Г=к + т, В = (5к+6т)/3, Р = (5к+6т)/2, таким чином, В + Г- Р = к/6. З'ясовується цікавий факт: якщо поверхня фулеренe утворена гранями тільки цих двох типів, то число шестикутних граней може бути довільним, тоді як пятикутних повинно бути рівно 12 (k/6 = 2). Число шестикутних граней при цьому буде пов'язано з числом вершин, тобто атомів вуглецю, співвідношенням т = В/2 - 10. Слід, враховувати, що теорема Ейлера є тільки необхідна, але не достатня умова існування многогранника. Наприклад, не може бути побудована молекула С22 , що містить 12 п'ятикутних і одну шестикутну грань. Простим же фулереном є вуглецевий додекаедр С20 , що містить 12 п'ятикутних і ні єдиної шестикутної грані. Це з'єднання, не одержане; існують лише непрямі свідоцтва його утворення в газовій фазі.
Крім співвідношень, витікаючих з теореми Ейлера, особливості будови фулеренів обумовлюють і ряд обмежень по симетрії. Ясно, що групи симетрії молекул фулеренів можуть містити осі симетрії лише другого, третього, п'ятого і шостого порядків, з яких лише осі третього порядку можуть пролягати через атоми. Таким чином, реалізація груп симетрії, другого, п'ятого і шостого порядків, що містять осі, можлива лише для структур з кратним порядку осі числом атомів. Наявність осей симетрії п'ятого і шостого порядків вимагає, як виявляється, вищої симетрії, оскільки при побудові таких структур «поясами» уздовж осі вищого порядку з'ясовується наступне. Після введення поясу, що містить, відповідно, п'ять або шість п'ятикутників, всі подальші пояси можуть бути тільки однакові, аж до введення другого з поясів, що містять п'ятикутники, за яким з необхідністю послідує симетрична добудова молекули. У зв'язку з цим група симетрії не зможе бути нижче Dn де п = 5,6. Для фулеренів може бути реалізовано п'ять вищих груп симетрії, включаючи досить рідкісні хиральні, а саме Т, Тd , Тh , I, Ih .
Взагалі при синтезі фулеренів утворюються переважно С60 і С70 , а також вищі фуллерени С≥72 . Що ж до з'єднань меншого розміру, то, крім відомостей про утворення в газовій фазі С20 , є лише не цілком відтворені дані про утворення з'єднання С36 , які полімеризуються в конденсованій фазі. Подібну поведінку можна пояснити стабільністю різних фулеренових вуглецевих каркасів. Тут слід сказати про два типи стабільності − термодинамічної і кінетичної. Термодинамічна стабільність описується енергією Гіббса утворення з деякого набору стандартних речовин, у якості якого у нашому випадку може виступати, наприклад, графіт або гіпотетичний одноатомний вуглецевий газ. При переході до 0 К енергія Гіббса порівнюється із стандартною ентальпією утворення, яка з точністю до деякої аддитивної постійної рівна енергії основного стану молекули. Остання величина визначається в нашому випадку топологією вуглецевого каркасу, тобто перейшовши до якісних емпіричних міркувань, енергією стеричних напруг і π-сопряжения залежно від взаєморозташування пяти- і шестичленних циклів. Кінетична ж стабільність при синтезі, екстракції і зберіганні визначається здатністю до взаємодії з середовищем, тобто атмосферою і розчинниками, до взаємодії молекул один з одним. У разі поліненасиченних фулеренів слід чекати схильності до реакцій приєднання, переважно циклоприєднання. Залежно від конкретного типу реакції простота її протікання може визначатися енергією НВМО, енергією ВЗМО, а також енергетичною щілиною між ВЗМО і НВМО, тобто енергією електронного збудження, енергіями нізьколежачих станів, високоспінових (перш за все триплетних). Останні величини, ймовірно, найбільш важливі характеристики кінетичної стабільності фулеренів, оскільки полімеризація фулеренів в твердій фазі протікає по механізму [2+2]-циклоприєднання, що включає у якості першої стадії електронне збудження. Надалі термодинамічну стабільність іменуватимемо просто стабільністю, приділяючи їй головну увагу, а з приводу кінетичної говоритимемо спеціально.
Отже, у чому ж причини відсутності малих фулеренів? По-перше, очевидно, що із зменшенням розміру фулерену і зростанням його кривизни структура стає більш напруженою, ефективність ароматичного сполучення падає. Таким чином, слід чекати зменшення стабільності фулеренів із зменшенням їх розміру. Ті ж причини одночасно обумовлюють і нижчу кінетичну стабільність малих фулеренів, оскільки напруженість подвійних зв'язків і неефективність їх сполучення означають порівняно низьке розташування реакційноздатних полірадикальних станів. Більш того, в деяких випадках триплетними, згідно з даними розрахунків, виявляються основні стани. У високосиметричних молекул за рахунок ефекту Яна-Теллера може відбуватися спотворення геометрії вироджених по симетрії синглетних станів, що стають в результаті цього основними. Це якраз випадки додекаедра С20 і найбільш стабільного ізомеру С36 симетрії D6 h . Наявність декількох близьких по геометрії і енергії станів дає підставу чекати прояву у таких молекул і динамічного ефекту Яна-Теллера.
Які ж структурні особливості С60 , С70 і вищих фулеренів, що обумовлюють їх стабільність? Як відомо, в С60 всі п'ятикутні грані відокремлені один від одного шестикутними і не мають загальних ребер. Оскільки в подібних структурах кожну п'ятикутну грань повинні оточувати п'ять шестикутних, а кожна шестикутна може бути сусідами не більше ніж з трьома п'ятикутними, то легко підрахувати, що мінімальне число шестикутних граней в такій структурі складає 12 ∙ 5/3 = 20, що відповідає шістдесяти атомам вуглецю. Таким чином, С60 − найменший з фулеренів, в якому всі пятичленні цикли ізольовані один від одного шестичленними. Ця молекула, представлена на рис.12(Д.Ж) зверху, має форму усіченого ікосаедра і, відноситься до вищої точкової групи симетрії Ih . Наступна молекула з ізольованими пятичленними циклами може бути побудована тільки з сімдесяти атомів вуглецю. Нею, якраз і є фулерен С70 симетрії D5 h , (рис.12, знизу). С60 і С70 часто порівнюють з футбольним і регбійним м'ячами, оскільки футбольний м'яч має таку ж, як у С60 , форму усіченого ікосаедра, а С70 володіє витягнутою еліпсоїдною формою. Після С70 структури з ізольованими п'ятикутниками реалізуються для кластерів будь-якого розміру, і всі молекули С2 n , 2n > 70 були насправді зареєстрованіщонайменше мас-спектрально, а деякі - виділені і охарактеризовані.
Експериментальні спостереження дозволяють припустити, що всі фулерени, які синтезуються не мають п'ятикутних циклів, які є сусідами. Причина цього інтуїтивно зрозуміла: п'ятикутні грані є центрами максимальної кривизни поверхні фулеренів. Тому їх сусідство повинне приводити до максимальних величин стеричних напруг. Правило, що відображає це явище, запропоноване в 1988 р., називається правилом ізольованих п'ятикутників. Надалі ми вживатимемо його латинську абревіатуру IPR. З'явившись раніше відкриття способу отримання макрокількостей фулеренів, IPR згодом значно спростило інтерпретацію даних непрямих структурних методів. Наприклад, на підставі даних ЯМР 13 С була встановлена симетрія ряду виділених експериментально ізомерів вищих фуеренів. Розгляд тільки IPR-структур дозволило обмежитися у кожному випадку лише одним або декількома відповідними ізомерами, а в поєднанні з квантово-хімічними розрахунками - виявити найбільш стабільний, тобто найбільш вірогідний.
Правило ізольованих п'ятикутників введене не із загальних міркувань, а на підставі порівняльних розрахунків, які задовольняють і не задовольняють його структури різними емпіричними методами, часто використовуваними в описі ароматичних з'єднань, тобто емпіричними схемами, що пов'язують енергію резонансу з числом резонансних структур або з числом спряжених ароматичних (4n+2-членних) і антиароматbxних (4n-членных) циклічних підструктур, а також простим методом Хюккеля. Всі ці методи мають справу тільки з π-системою ненасиченої молекули, причому враховують не геометрію вуглецевого каркаса, а лише топологію π-системи. Таким чином, утворення IPR -структур обумовлено, ймовірно, різними діючими симбатно чинниками. Для виявлення відносної стабільності IPR -изомерів подібні підходи виявляються вже непридатними, оскільки їх нездатність врахувати енергію π-каркасу молекули виявляється дуже критичною. Згодом з метою обліку непланарності фулеренів, із-за якої в них спостерігається істотна альтернація зв'язків (про нього буде сказано нижче), була запропонована модифікація простого методу Хюккеля. До уваги приймалася гіпотетична просторова орієнтація атомних π-орбіталей. У цьому підході, що одержав назву РОАV, враховувався ступінь пірамідалізациі, вимірюваний кутом між напрямом атомної π-орбіталі і σ-зв'язків. У С60 ця величина склала 11.6º. Але у зв'язку з швидким розвитком неемпіричних розрахункових методів і комп'ютерної техніки, а також у зв'язку з нерівномірністю локальної кривизни і порядків зв'язків в реальних молекулах фулеренів підхід РОАV розвитку не одержав.
Згодом правило ізольованих п'ятикутників неодноразово підтверджувалося безпосередніми неемпіричними квантово-хімічними розрахунками відповідних конкуруючих структур. Єдиний випадок, в якому можна підозрювати його порушення, - фулерен С72 , єдиний IPR -ізомер якого виявляється, за даними розрахунків, менш стабільний, чим один з ізомерів з п'ятикутниками, що є сусідами. При цьому порівняно з фулеренами близького до нього розміру С72 утворюється в істотно менших кількостях, дотепер не виділений і навіть не завжди детектує мас-спектрально.
Проблеми ізомерного складу фулеренів слід приділити окрему увагу. Складена з пятічленних циклів молекула С20 не може мати інших ізомерів, окрім додекаедричного, але число складених з пяти- і шестикутників і відрізняючихся ізомерів С60 , які розрізняються їх взаємним розташуванням, досягає вже.1812. Один з них відповідає правилу ізольованих п'ятикутників. У С84 , що є одним з найбільш поширених вищих фулеренів, загальне число ізомерів досягає вже 51592. З них 24 відповідають правилу ізольованих п'ятикутників. З останніх вдалося виділити і охарактеризувати два основних і шість домішкових ізомерів. Це геометричне різноманіття обумовлює важливість систематизації структур фулеренів. Остання може бути реалізована за допомогою спірального алгоритму. Він грунтується на гіпотезі про можливість послідовно обійти всі грані фулерену по спіралі, починаючи з деякої. Оскільки число шестикутних граней однозначно пов'язане з числом атомів, всі можливі ізомери фулерену з даним числом атомів можуть бути відновлені спіральною згорткою всіх можливих послідовностей з 12 п'ятикутних і потрібного числа шестикутних граней. Відкидання послідовностей, згортка яких не приводить до замкнутої структури або приводить до еквівалентних структур, залишає унікальні послідовності і відповідні їм унікальні ізомери. Насправді гіпотеза, яка лежить в основі спірального алгоритму, в загальному випадку невірна, але відхилення від неї виявляються для молекул, що складаються з не менше ніж декількох сотень атомів і не мають у зв'язку з цим хімічного сенсу. Проте, строгий облік всіх ізомерів для фулеренів будь-якого розміру вимагає витонченіших топологічних підходів. Варто також згадати про взаємозв'язки між різними ізомерами фулеренів. Багато хто з них виявляється попарно зв'язані чотирьохелектронним пірацикленовим перегрупуванням Стоуна-Вейлза (рис.13, Д.Ж).
Остання полягає в повороті на 90 градусів фрагмента С2 , який служить загальним ребром шестикутних граней, що є сусідами, зчленовуються при цьому в кожній з суміжних вершин з гранню п'ятикутної. Перебудова системи зв'язків в результаті повороту призводить до того, що пяти- і шестикутні грані фактично міняються місцями. В результаті безліч ізомерів фулеренів з даним числом атомів може бути розбите на класи, серед яких всі ізомери будуть зв'язані одно- або багатостадійними перегрупуваннями Стоуна-Вейлза. Так, бакмінстерфулерен С60 може бути перетворений за різне число стадій в 1709 з 1811 ізомеру С60 , ізольованих п'ятикутників, що не відповідають правилу, що залишився. Наочним прикладом перегрупувань Стоуна-Вейлза служить фулерен С78 , у якого ланцюгом перегрупувань безпосередньо зв'язані чотири з пяти IPR-ізомерів, з яких три виділені експериментально. Активаційний бар'єр перегрупувань Стоуна-Вейлза складає не менше 100 кДж/моль, тому при звичайних температурах вона не протікає.
Важливим результатом квантово-хімічних розрахунків в зіставленні з експериментальними даними стало виявлення того факту, що при синтезі в дуговому розряді утворюються найбільш стабільні ізомери фулеренів. Випадки відхилення від цього правила украй рідкісні і пов'язані з кінетичною нестабільністю найбільш термодинамічно стабільних ізомерів, що втрачаються внаслідок цього в результаті полімеризації при виділенні. Відносні виходи таких фулеренів виявляються помітно меншими, ніж у фулеренів близького розміру, найбільш стабільний ізомер яких стабільний і кінетично. Таким чином, можна говорити про термодинамічний контроль ізомеризації вуглецевих кластерів. Дійсно, при температурах більш 1000°С, що досягаються вуглецево-гелієвою плазмою в дуговому розряді, можна чекати порівняно легкого протікання перегрупувань Стоуна-Вейлза або навіть складніших. Не можна точно сказати, при яких температурах ці процеси істотно сповільнюються. Тому можна лише припустити, що ізомерний склад даного фулерену відповідає, деякій температурі в декілька сотень градусів Цельсія. Відмінності цього складу від того, що відповідає 0 К присутність єдиного найбільш стабільного ізомеру обумовлена внесками внутрішніх ступеней свободи, що дещо розрізняються, для різних ізомерів. Проте виникаючі тут відмінності вельми незначні, тому відмінності в стабільності експериментально знайдених ізомерів того або іншого фулерену навряд чи перевищує 20-30 кДж/моль. Рівноважність ізомерного складу породжує питання про існування якихось критеріїв стабільності вже IPR-ізомерів фулеренів. Виходячи із загальних міркувань, можна чекати великих стеричних напруг для тих ізомерів фулеренів, в яких п'ятикутні грані нерівномірно сконцентровані на певних ділянках поверхні, прагнучих через це до більшої викривленості. Решта ділянок поверхні, що не містять п'ятикутників, при цьому прагнутимуть до планарності, що може зажадати взаїмоневигідного з енергетичної точки зору компромісу при сполученні всіх цих фрагментів. Ці міркування привели до введення правила сусідства шестикутників HNR, яке предбачає найвищу стабільність ізомерам, в яких оточення шестикутних граней якомога однорідніше по кількості в ньому п'ятикутних, тобто розподіл п'ятикутних граней по поверхні достатньо рівномірний. Проте практична значущість цього правила вельми низка, оскільки для тих, що реально синтезуються фулеренів, що містять менше 100 атомів вуглецю, подібний розподіл майже завжди нерівномірний через дуже мале число шестикутних граней. Крім того, можуть грати роль і інші, структурні чинники, що не так просто враховуються. Найбільш явний з них - невигода наявності подвійних зв'язків усередині пятічленних циклів. Хоча фулерени є складними зв'язаними системами, в яких всі зв'язки мають проміжні дробові порядки, показником подібної невигоди може служити наявність таких зв'язків у всіх резонансних структурах. Тому набагато простіше провести безпосереднє квантово-хімічне порівняння щодо невеликого в таких випадках числа IPR-ізомерів. Як приклад прямої суперечності з правилом HNR вступає фулерен С80 , серед IPR-ізомерів якого ізомер симетрії Ih , що характеризується найбільш рівномірним розподілом п'ятикутних граней, виявляється найменше стабільний. Фулерени ж великих розмірів, для яких правило HNR, ймовірно, актуально, хоч і спостерігалися в декількох експериментах в газовій фазі, в скільки-небудь істотних кількостях дотепер не одержані.
Якщо ізомерний склад для фулеренів будь-якого вибраного розміру близький до рівноважного, то що може бути сказано про суміш в цілому? І конкретні квантово-хімічні розрахунки, і загальні стеричні міркування говорять про те, що чим більша молекула, тим менше середня кривизна її поверхні і відносний вміст п'ятикутних граней і тим вона стабільніше. Перші уявлення про гігантських фулеренів ікосаедричної симетрії припускали близькість їх форми до сферичної. Але тепер ясно, що вони повинні представляти швидше гігантські ікосаедри з майже планарних трикутних графітових фрагментів, сполучених достатньо локальними областями високої кривизни - дванадцятьма «вершинами», в центрах яких розташовані пятічленні цикли, і сполучаючими їх «ребрами». Відносна частка останніх в поверхні молекули істотно падає із зростанням її розміру. Не дивлячись на ентропійний чинник, діючий на користь менших молекул, калориметричний експеримент в поєднанні з молекулярно-статистичними розрахунками передбачає невелику позитивну енергію Гіббса утворення з графіту для молекул С70 (39.4 кДж/моль атомів вуглецю при 0 К і 36.9 при 800 К) і ще дещо велику - для С60 (42.3 кДж!молъ атомів вуглецю при 0 К і 39.6 при 800 К). Порівняння відповідних молекул, а тим більше молекул вищих фулеренів, з гіпотетичним графітовим листом унаслідок трудності вивчення перших в газовій фазі і неіснування другого неможливо. Проте можна припустити, що встановлення рівноваги між фулеренами різного розміру в процесі охолоджування вуглецево-гелієвої плазми означало б зростання виходу кластерів у міру зростання їх розміру. Спостережувана насправді картина протилежна, тому слід припустити, що процес синтезу фулеренів контролюється кінетичними чинниками. Можна очікувати, що вірогідність збірки фулерену з малих вуглецевих кластерів достатньо швидко зменшується з розміром фулерену, тобто числом потрібних «будівельних блоків». Після утворення якої-небудь стійкої початкової структури, володіючи при цьому великим запасом внутрішньої енергії, кластер може за рахунок її практично рівноважно ізомери-зуватися. Зазначимо, що які-небудь істотні свідоцтва як в накористь, так і проти «термодінамічності» розподілу продуктів синтезу фулеренів по числу атомів вуглецю в молекулі, враховуючи складність коректного розрахунку термодинамічних функцій фулеренів при температурах синтезу, відсутні.
Нижче ми перейдемо до конкретнішого опису структури фулеренів. На закінчення згадаємо лише про досить екзотичне сімейство - багатошарових фулеренах. Існування цих молекул, що є декількома молекулами фулеренів діаметру, який збільшується, що вільно поміщаються одна в іншій, виявлено за допомогою електронної мікроскопії. На жаль, вони утворюються в недостатніх для виділення і дослідження кількостях.
3. Геометрична, електронна і коливальна структура фулеренів
Оскільки фулерени є зв'язаними поліненасиченими системами, постає природне питання, якою мірою вони ароматичні і який вплив це робить на їх структуру і властивості. До звичайних ароматичних молекул застосовується правило Хюккеля і теорія резонансу. Правило Хюккеля передбачає ароматичність для структур з 4п+2 π-електронами. Виходячи з нього, молекула С60 неароматична, тоді як С70 повинен проявляти ароматичні властивості. Проте істотних відмінностей в хімічних властивостях між С60 , С70 і вищими фулеренаміине виявлене. Справа, у тому, що правило Хюккеля коректно для плоских систем, тоді як фулерени повинні вимагати інших підходів. Навіть форма π-орбіталей в молекулах фулеренів, згідно з розрахунковими даними, не співпадає з такою в плоских молекулах. Електронна хмара виявляється зосередженою більшою мірою зовні молекули, де відштовхування електронів менше. З погляду іншої відомої теорії ароматичної, теорії резонансу, можна чекати, що всі фулерени повинні бути суперароматічни, оскільки володіють величезною кількістю резонансних структур (вже в С60 їх 12500). Але чи будуть ці структури еквівалентні? Адже С-С зв'язки в молекулах фулеренів з топологічної точки зору неоднакові. Тому в 1986 р. була запропонована концепція сферичної ароматичної. Вона заснована на тому, що сфероподобні молекули фулервнів з рівномірним розподілом атомів по поверхні можна приблизно розглядати в рамках групи симетрії сфери, Кh , якій відповідають і атоми, π-орбіталі у фулеренах досить близькі по енергії, і хоча насправді нижчі з них перемішані з σ-орбіталями, вони можуть бути розглянуті по аналогії з атомними орбіталями, які відповідають одному головному квантовому числу. Відомо, що серед атомів найбільш стабільною електронною конфігурацією характеризуються атоми інертних газів, у яких на кожному рівні повністю заселені всі або деякі підрівні, тобто на кожному рівні є 2n2 електрони. Таким чином, максимальна ароматичність повинна спостерігатися саме для фулеренів з 2n2 π-електронами. Для таких структур можна передбачити вирівнювання довжин всіх зв'язків і мінімальну реакційну здатність. На жаль, ця концепція не має практичного значення. С60 , відповідно їй, не ароматичні, але будуть ароматичні його заряджені форми С60 10+ і С60 12- , існування яких безглуздо і обговорювати. Вищі ж фулерени, такі, як С72 дуже несферичні, щоб такі міркування були до них добре застосовні. Зазначимо все ж таки, що практично у всіх фулеренах нижчі π-орбіталі дійсно нагадують формою атомні s- і р-орбіталі, але ці орбіталі мають дуже низьку енергію і практично не беруть участь у формуванні хімічних властивостей фулеренів, вище ж аналогія поступово втрачається.
Сумніви в застосованості теоретичних підходів вимушують звернутися до експериментальних відомостей. Головні особливості хімії ароматичних з'єднань полягають в тому, що для них характерні реакції електрофільного заміщення, тоді як в типові для неароматичних молекул реакції приєднання по подвійних зв'язках і нуклеофільного заміщення вони практично не вступають. Фулерени поводяться абсолютно інакше. Вони легко гідруются як по реакції Берча, так і іншими способами, а їх галогенопохідні досить легко гідролізуются, не дивлячись на їх нерозчинність у воді і неможливість інверсії вуглецевого каркаса, тобто реалізації класичної Sn 2 реакції. Здібність до участі в реакціях нуклеофільного заміщення пояснюється порівняно високою спорідненістю фулеренів до електрона (мінімальне значення, 2.7 еВ, спостерігається у С60 ), яке дозволяє говорити про близькість властивостей фулеренів, швидше, до електронодефіцитним поліалкенам, ніж до ароматичних з'єднань, деякі з них володіють навіть негативною спорідненістю до електрона. При цьому, фулерени володіють не дуже високими енергіями іонізації. Максимальної ергією іонізації 7.6 еВ, яка істотно нижче за енергію іонізації бензолу і спостерігається вже в поліциклічних ароматичних з'єднаннях, володіє С60 . У міру збільшення розмірів фулеренів і спорідненість до електрона, і енергія іонізації прагнуть до однієї і тієї ж величини − роботі виходу графітового листа, яка повинна, за теоретичними оцінками, складати 5-5.5 еВ.
Для опису ароматної фулеренів можна застосувати і магнітний критерій. Відомо, що при приміщенні ароматичних молекул в магнітне поле виникають кільцеві струми π-електронів, що індукують вторинне поле. У площині циклів воно опиняється направлено проти первинного усередині них і по його напряму зовні. Внаслідок цього при дослідженнях методом ЯМР ароматичних молекул спостерігаються характерні хімічні зрушення. На відміну від ЯМР-експеременту, за допомогою квантово-хімічних методів тензор магнітного екранування може бути розрахований для будь-якої точки простору, що не обов'язково містить яке-небудь ядро. Тому розраховану де-небудь поза ядрами атомів ізотропну компоненту тензора магнітного екранування останнім часом часто називають NICS, тобто незалежне від ядер хімічне зрушення. Розрахунок подібних «хімічних зрушень» в центрах вуглецевих циклів дозволяє визначити, чи є наявними в цих циклах кільцеві струми, тобто чи ароматичні вони. Цим методом показано, що шестичленні цикли в С60 слабоароматичні, тоді як пятичленні - неароматичні. У менш симетричних вищих фулеренах картина істотно ускладнюється. Стає можливим говорити про градації ароматичної для різних ділянок молекули. Можна, таким чином, розглядати фулерени як молекули з нерівномірною ароматичністю.
Геометричним критерієм ароматичності є вирівнювання довжин С-С зв'язків, що часто розглядається як результат усереднювання резонансних структур. Будова С60 широко вивчена як дифракційними і іншими структурними методами, так і теоретично. Достатньо вивчений також С70 , що ж до вищих фулеренів, то структурні відомості про них обмежуються переважно розрахунковими. У фулеренах, які підкоряються правилу ізольованих п'ятикутників, всі зв'язки можна віднести до двох основних типів. До першого відносяться зв'язки, лежачі по загальному ребру шести- і п'ятикутної грані, т.з. зв'язки 6-5; до другого - зв'язки, лежачі по загальному ребру суміжних шестикутних граней, т.з. зв'язки 6-6. Було з'ясовано, що в С60 має місце альтернація зв'язків: довжина зв'язків 6-6 складає близько 1.39 Ǻ, що є характерним значенням для зв'язків близько 1.5 в ароматичних сполуках, тоді як зв'язки 6-5 дещо ближче по своєму характеру до одинарних і мають довжину близько 1.45 Ǻ. Аналіз продуктів реакцій приєднання до фулеренів показує, що у відсутність стеричних чинників, зв'язаних з розміром приєднуваних груп і дуже сильною деформацією всього вуглецевого каркаса фулеренів при великому числі таких груп, приєднання йде послідовно по зв'язках більш «подвійного» характеру, тобто зв'язкам 6-6. Крім того, присутність подвійного зв'язку усередині п'ятикутної грані менш термодинамічно вигідно. Таким чином, ми не бачимо ароматичного спряження в такому ж ступені, в якій воно характерно для конденсованих плоских ароматичних систем. Проте, проміжні довжини зв'язків говорять про його наявність. При переході до С70 і вищим фулеренам симетрія молекул стає більш низкою. В результаті альтернація зв'язків дещо посилюється, а їх довжини лежать, як правило, в діапазоні 1.38-1.47 Ǻ (за даними квантово-хімічних розрахунків). При цьому зв'язки типу 6-5 мають, як правило, меншу кратність; зв'язки типу 6-6 покривають практично весь діапазон довжин.
Розглянемо структурні особливості найбільш поширених фулеренів дещо докладніше. Отже, фулерен С60 має ікосаедричну симетрію, завдяки чому його форма найближче до сферичної, і він здібний до ізотропних реорієнтациям в твердій фазі вже при кімнатній температурі. Всі атоми вуглецю в С60 еквівалентні, а зв'язки розпадаються на два основних згаданих вище типи. Радіус молекули С60 складає 3.57 Ǻ, а ван-дер-ваальсів радіус - 5 Ǻ.
Фулерен С70 має нижчу симетрію D5 h , і еліпсоїдну форму, хоч і він здібний до ізотропних обертань в твердій фазі. Молекула С70 може бути одержана з С60 за допомогою наступної гіпотетичної процедури: роз'єднання С60 на дві половини уздовж осі п'ятого порядку, при якій роздвояться 10 атомів вуглецю, згортки однієї з половин на 36° і замикання С-С зв'язків. В результаті якого виникає 5 нових шестикутників. С72 - єдиний фулерен, що порушує правило ізольованих п'ятикутників. Єдиний ізомер С72 , що відповідає цьому правилу, характеризується достатньо напруженою структурою унаслідок украй нерівномірного розподілу пятbчленних циклів. Це може приводити, згідно розрахункам, до більшої стабільності того, що не підкоряється правилу ізольованих п'ятикутників ізомеру симетрії С2 υ (рис.14, Д. З), у зв'язку з чим С72 утворюється в дуже малих кількостях.
У фулерена С74 симетрії D3 h , енергетична щілина між НВМО і ВЗМО складає всього декілька сотих еВ. З цієї причини молекула має, за даними квантово-хімічних розрахунків, тріплетно основний стан. На рис.15(Д.З) представлена діаграма її граничних молекулярних орбіталей. С74 практично повністю втрачається при виділенні за рахунок полімеризації і може бути виділений двухстадійною електрохімічною відновлювально-окислювальною дією на полімерний залишок екстракції фулеренів з сажи. Фулерен С76 − перший, такий, що має 2 IPR -изомера. З них утворюється лише один симетрії D2 через меншу як термодинамічну, так і кінетичну стабільності другого. С76 , таким чином, перший хіральний фулерен.З п'яти IPR -ізомерів фулерену С78 виявлене, унаслідок близької стабільності, утворення чотирьох, три з яких - основні. Всі вони розділені хроматографічні і охарактеризовані.
Найбільш стабільний ізомер фулерену С80 симетрії D5 d кінетично нестабільний і переважно втрачається при полімеризації. Вихід наступного по стабільності ізомеру симетрії D2 виявляється істотно меншим за виходи С76 і С78 . Інші 5 IPR -ізомерів менш стабільні.
Всі дев'ять IPR -ізомерів фулерену С82 характеризуються низькою симетрією, що не перевищує С3υ . З них утворюються 3 ізомери, серед яких один ізомер симетрії С2 основний.
Біля С84 опиняється вже 24 IPR -ізомери, серед яких вперше зустрічається повністю несиметричний ізомер симетрії С1 . Експериментально знайдено 8 ізомерів С84 , серед яких два основних мають симетрію D2 і D2 d . Обидва вони складаються з однакових половин, що суміщаються у цих двох ізомерів по-різному. Після С84 виходи вищих фулеренів різко падають. Відомі лише роботи по дослідженню С90 і С96
Електронна структура фулеренів у області граничних орбіталей визначається їх зв'язаною π-системою. Графіт, як відомо, напівметал і володіє провідністю в площині своїх листів. Графітові листи - граничний випадок фулерену при стремлінні його розміру до нескінченності - окремо згідно розрахункам володіють тією ж властивістю, тобто мають нульову ширину забороненої зони. Чорний колір графіту обумовлений суцільним спектром поглинання в ІЧ, видимої і УФ-області при збудженні з валентної зони в зону провідності. Перейдемо тепер від листа графіту, як граничного випадку, до фулеренів.
У найбільш симетричному з фулеренв, С60 , слід чекати і найбільш дискретного розподілу щільності станів у області граничних орбіталей. Окрім цього, більше в порівнянні з іншими фулеренами число можливих переходів заборонене по симетрії. Як приклад розглянемо його електронну структуру докладніше. Адекватна якісна картина розташування граничних орбіталей С60 може бути одержана простим хюккельовськім розрахунком. Його результати приведені на рис.16(Д.З). П'ятикратно вироджена ВЗМО С60 володіє симетрією hи ; Триразово вироджена НВМО симетрії t1 и розташована за даними різних розрахунків аb initio на 1.6-1.9 еВ вище. Для твердої фази С60 ширина забороненої зони складає приблизно 1.5 еВ, тобто С60 володіє напівпровідними властивостями. Приблизно на 1.0-1.2 еВ нижче за НВМО розташована НВМО-1, що складається з двох надзвичайно близьких по енергії рівнів симетрії hg і gg ; приблизно на такій же відстані вище за НВМО розташована НВМО + 1 симетрії t1 g . Цих орбіталей достатньо для опису акцепторних властивостей С60 і його спектру поглинання у видимій області. Відносно перших відомо, що при електрохімічному дослідженні С60 спостерігається шість одноэлектронних хвиль відновлення, тобто молекула С60 здатна прийняти 6 електронів. За це, очевидно, відповідальна триразово вироджена НВМО С60 , тоді як подальше заселення НВМО+1 виявляється вже дуже невигідно. Тут, проте, слід розрізняти електрохімічне відновлення і акцепторні властивості вільної молекули. Молекула С60 може мимоволі приєднати лише один електрон, тоді як вже друга спорідненість до електрона буде вже негативна. Відзначимо, що всі аніони С60 , що характеризуються частковим заповненням своєї НВМО, тобто НВМО С60 , будуть схильні до ефекту Яна-Теллера і пов'язаним з ним симметрійним спотворенням.
Перейдемо тепер до спектру поглинання С60 . З можливих переходів між чотирма згаданими граничними орбіталями переходи з ВЗМО на НВМО і з ВЗМО-1 на НВМО+1 заборонені по симетрії, тоді як переходи з ВЗМО-1 на НВМО і з ВЗМО на НВМО+1 дозволені, і їх енергія повинна складати близько 3 еВ, що відповідає довжинам хвиль близько 400 нм. Проте, С60 має чорне (у тонких шарах - коричневу) забарвлення в твердому стані і насичену червоно-фіолетову - в розчинах, причому його концентрація в розчинах дуже мала. Це говорить про практично суцільний, але нерівномірний спектр поглинання у видимій області з істотно вищими коефіцієнтом екстинкції з боку УФ-області. Причина цього полягає в тому, що заборонений по симетрії перехід з ВЗМО на НВМО виявляється як малоінтенсивний вібронний в районі між 640 і 440 нм. Дозволені ж переходи виявляються у вигляді інтенсивних смуг поглинання нижче 350 нм. Переходи за участю інших граничних орбіталей потрапляють вже в УФ-область.
При переході до вищих фулеренів слід чекати як поступового зниження ширини забороненої зони, так і поступової трансформації щільності станів і спектру поглинання до квазібезперервного вигляду. Втім, для експериментально доступних вищих фулеренів, розмір яких ще відносно невеликий, ці ефекти можуть дещо затінюватися індивідуальними особливостями молекул.
На закінчення стисло торкнемося коливальних спектрів молекул фулеренів. Згідно з експериментальними даними і розрахунками, частоти нормальних коливань фулеренів лежать між 250 і 1600 см-1 . У нижній частині цього діапазону розташовані деформаційні коливання вуглецевого каркасу, у верхній - валентні. Валентні і деформаційні коливання через особливості замкнутого вуглецевого каркаса істотно перемішані, тому до певного типу можна віднести порівняно невелику їх частину. Для вищих фулеренів діапазон фундаментальних частот може опинитися дещо ширше. Проте слід чекати верхньої межі в районі 1700 см-1 , характеристичної частоти валентних коливань подвійного С-С зв'язку. Істотний вплив на вигляд спектрів надає симетрія молекул. Як легко підрахувати, у С60 є 174 ступеня свободи, але чере звироднілості унаслідок високої симетрії вони дають всього 46 фундаментальних частот. Через заборони по симетрії з них спостерігається всього лише 4 в ІЧ і 10 в КР-спектрі. Це істотно ускладнює завдання повного опису коливальних властивостей С60 . Не дивлячись на доступність відомостей про заборонені по симетрії коливання з даних нейтронного розсіяння, а також спостережень малоінтенсивних складених частот, обертонів і коливань С60 , що містить ізотоп 13 С, повне віднесення частот коливань залишається украй неоднозначним завданням.
При переході до вищих фулеренів як загальне число частот, так і число частот, які спостерігаються, істотно підвищується. У С70 , який володіє вже 122 фундаментальними частотами, ІЧ-активний 31, а КР-актівний 53. Далеко не всі вони, спостерігаються в реальних спектрах через те, що істотно розрізняються інтенсивностей і недозволеності ряду смуг. Для вищих фулеренів картина виявляється ще складнішою. Можна чекати, що ІЧ- і КР-спектри різних ізомерів фулеренів достатньо характеристичні, але вони навряд чи здатні допомогти у встановленні структури молекул без залучення інших методів, наприклад, квантово-хімічних розрахунків.
Список використаної літератури
1. http://ktf.krk.ru/courses/fulleren/g1.htm
2. http://shp.by.ru/sci/fullerene
3. http://www.krugosvet.ru/articles/43/1004371/1004371a1.htm
4. http://ru.wikipedia.org/wiki/фуллерены
5. http://perst.issp.ras.ru/contacts_Full.htm
6. http://grani.ru/Techno/m.66682.htm
7. http://elementary.ru/news/164992
8. http://www.meo.ru/catalog/395/79059.htm
9. http://kristall.lan.krasu.ru/Education/Lection/carbon/carbon2/carbon2.html
10. http:// www.5ka.ru/alike/29025.html
11. Соколов В. И., Станкевич И. В. Фуллереныновые аллотропные формы углерода: структура, электронное строение и химические свойства//Успехи химии, т.62 (5), с.455, 1993.
12. http://jsc.che.nsk.su/jsc_rus/2005-t46/n6/1_Full.pdf
13. http://www.ioffe.ru/journals/pjtf/2002/04/p1-6.pdf
14. http://www.issep.rssi.ru/pdf/0011_046.pdf
15. http://physics.wups.lviv.ua:8102/depts/KFM/im/r_nano.pdf
16. http://www.vesna.org.ua/txt/saranchv/fizhimk/ch-1.html
17. http://phd.cl.bas.bg/bg/programs_bg/clsene4.htm
18. http://www.microsystems.ru/files/publ/601.htm
19. http://www.ioffe.ru/journals/ftt/2006/07/p1324-1328.pdf
20. http://www.krugosvet.ru/articles/43/1004371/1004371a1.htm
21. http://www.rsci.ru/smi/?id=1389
22. http://arw.asu.ru/~sokol/server/resours/article/applicat/fuller.html
23. http://www.bigpi.biysk.ru/encicl/articles/43/1004371/1004371F.htm
24. http://kristall.lan.krasu.ru/Education/Lection/carbon/carbon2/carbon2.html
25. http://www.ostu.ru/departm/physics/sim/Scient/Fostu03.htm
26. ДикийВ.В., Кабо Г.Я., Успехи химии, 696, 107 (2000).
27. Л.Н.Сидоров, М.А. Юровская „Фуллерены” Учебное пособие, М.: Экзамен, 2005.
Додаток А

Рис. 1 Вуглецеві структури, «хімічно заморожені» введенням активних домішок в буферний газ

Рис.2 Поширеність різних вуглецевих кластерів при лазерному випаровуванні графіту
Додаток Б
![]()

Рис.3

Рис. 4
Додаток В

Рис.5 Схема перетворень вуглецевих кластерів при відпалі

Рис.6
Додаток Г


Рис.7 Масс-спектр позитивних іонів Рис.8 Масс-спектр негативних іонів при лазерній десорбції з'єднань 1- 3 при лазерній десорбції з'єднань 1, 3
Додаток Д
Логарифми констант рівноваги і ентальпії реакцій (1.3) і (1.4) табл. 1.1
| Т |
lgКр (1)=lnР(С60 ) |
lgКр (2). |
∆Н°(1) |
∆Н°(2) |
| К |
атм |
кДж/моль |
||
| 298,15 |
- 432,4 |
6624,1 |
2527,8 |
- 40472,5 |
| 300 |
-429,7 |
6580,4 |
2527,7 |
-40473,9 |
| 400 |
-319,7 |
4817,2 |
2525,3 |
-40538,1 |
| 500 |
-253,8 |
3757,8 |
2523,6 |
-40583,8 |
| 600 |
- 209,9 |
3050,9 |
2523,1 |
-40615,0 |
| 700 |
-178,5 |
2545,6 |
2523,0 |
-40635,2 |
| 800 |
-154,9 |
2166,5 |
2522,6 |
-40647,0 |
| 900 |
-136,6 |
1871,6 |
2521,1 |
-40652,6 |
| 1000 |
- 122,0 |
1635,7 |
2518,3 |
- 40653,3 |
| 1100 |
- 110,1 |
1442,6 |
2514,2 |
- 40650,2 |
| 1200 |
-100,1 |
1281,8 |
2508,9 |
-40644,1 |
| 1300 |
-91,7 |
1145,7 |
2502,5 |
-40635,7 |
| 1400 |
-84,6 |
1029,1 |
2495,3 |
- 40625,4 |
| 1500 |
-78,4 |
928,0 |
2487,7 |
-40613,5 |
| 2000 |
-56,9 |
574,7 |
2447,1 |
-40539,9 |
| 2500 |
-44,2 |
363,1 |
2406,8 |
-40456,8 |
| 3000 |
-35,9 |
222,4 |
2336,7 |
-40376,7 |
| 3500 |
-30,3 |
122,1 |
2160,5 |
-40298,3 |
| 4000 |
-26,5 |
46,9 |
1752,2 |
-40226,6 |
| 4500 |
-30,5 |
-11,4 |
- 4460,8 |
-40158,1 |
| 5000 |
-58,0 |
-40091,6 |
||
Ступінь термічної дисоціації молекул С60 залежно від тиску і температури табл.1.2
| → T, K |
2000 |
3000 |
4000 |
5000 |
| ↓ Р,(атм) |
||||
| 0.001 |
3.93 10"9 |
|||
| 0.01 |
4.08 10"'° |
|||
| 0.1 |
4.24 10"" |
3.16 КГ* |
||
| 0.11 |
2.87 КГ4 |
|||
| 0.12 |
2.64 КГ* |
|||
| 0.13 |
2.44 10"* |
1.000 |
||
| - 0.14 |
2.27 10"* |
0.979 |
||
| 0.15 |
2.12 10"* |
0.599 |
||
| 0.2 |
1.60 10~* |
5.68 КГ* |
||
| 0.3 |
1.07 КГ5 |
1.86 10"' |
||
| 0.5 |
6.48 КГ6 |
7.93 10"3 |
||
| 1 |
3.27 10"* |
3.27 10-* |
1.000 |
|
| 10 |
3.40 10"' |
2.91 10" |
0.163 |
Додаток Е
![]()
Ричс.9 Специфічні властивості функції ƒ(α), визначальні різку зміну ступені дисоціації газоподібного фуллерена С60 залежно від тиску в газі
Додаток Є

Рис.10 Діаграма, яка показує різкий перехід із області існування газу фулерену в область дисоціації на атоми вуглецю

Рис.11Структура молекули Аr2 С62 , за даними РСА. Проекції з циклобутановим фрагментом вгорі (a) і з циклобутановим фрагментом спереду і прибраними заступниками (b)
Додаток Ж
![]()
Рис.12 Структурфуллерена
С60 (зліва) і С70 (справа)
|
|
Рис. 13 Приклад перегрупування Стоуна-Вейлза в ізомерах фулерену С78
Додаток З

Рис.14.Передбачувана структура Рис.15 Діаграма молекулярних фуллерена С72 орбіталей фулерену С74

Рис.16 Діаграма хюккелівських орбіталей молекули С60
