| Скачать .docx |
Курсовая работа: Фінансовий стан підприємства
Міністерство освіти та науки України
Український державний морський технічний університет
імені адмірала Макарова
Кафедра економіки та організації виробництва
КУРСОВА Р О БОТА
з дисципліни: «Фінанси підприємства»
на тем у : “ Фінансовий стан підприємства ”
Виконала:
Студентка гр.4427
Баранова Т.А.
Перевірив викладач:
Воробйова І.А.
Миколаїв 2006р.
План
Вступ 3
1. Фінансова діяльність підприємства 5
Характеристика фінансової діяльності підприємств 5
Фінансова звітність підприємства 12
Сучасний стан фінансової діяльності малих підприємств в Україні 20
2. Дослідження фінансового стану НВКФ “Енергія-Юг” 26
Основні напрямки фінансової діяльності НВКФ “Енергія-Юг” 26
Методика розрахунку та критерії оцінки показників фінансового стану 27
Аналіз динаміки показників фінансового стану НВКФ “Енергія-Юг” 37
3. Переваги та недоліки системи оцінювання фінсового стану підприємства 38
3.1. Удосконалення фінансового стану НВКФ “Енергія-Юг” 38
3.2.Шляхи вдосконалення законодавчо-нормативної бази 42
Висновки 50
Перелік використаних джерел 52
Вступ
Розвиток підприємництва в Україні є об’єктивним процесом, зумовленим тими ринковими перетвореннями, що здійснюються в державі. Підприємництво у різних формах виступає як невід’ємна частина сучасного суспільного процесу, як рушійна сила економічного прогресу.
При переході до ринкових відносин вітчизняні підприємства зіткнулись з проблемою невпевненості у ділових партнерах, у законодавчій базі, політиці держави, з невизначеністю майбутніх доходів і витрат, а отже, і перспектив діяльності підприємства. Тому треба звернути увагу на доцільне використання фінансів підприємства та його фінансову діяльність. Цей фактор дуже впливає на фінансовий стан підприємства.
Виявлення фінансового стану підприємства дозволить власникам, керівникам, партнерам по бізнесу, банкам визначати надійність, стабільність даного підприємства, оцінювати ефективність використання фінансових ресурсів, спрогнозувати фінансові результати його діяльності.
Фінансовий стан підприємства характеризується ступенем його прибутковості та оборотності капіталу, фінансової стійкості та динаміки структури джерел фінансування, здатності розраховуватися за борговими зобов'язаннями. Ці фактори дозволяють визначити недоліки у діяльності підприємства і шляхи їх подалання. Комплексний і систематичний підхід до фінансового стану підприємства дасть можливість підприємству розвиватись у довгостроковій перспективі.
Правильна оцінка фінансових результатів діяльності та фінансового стану підприємства за сучасних умов господарювання конче потрібна як для його керівництва і власників, так і для інвесторів, партнерів, кредиторів, державних органів.
У зв’язку з цим тема є актуальною. Метою курсової роботи є удосконалення фінансового стану підприємства. Для досягнення цієї мети в роботі використовується ряд послідовних завдань:
- проаналізувати динаміку показників підприємства;
- оцінити одержані результати;
- запропонувати заходи з удосконалення фінансового стану підприємства.
Об’єктом дослідження є науково-виробнича комерційна фірма “Енергія-Юг”. Предметом дослідження курсової роботи є фінансовий стан НВКФ “Енергія-Юг”.
Базою дослідження фінансового стану даного підприємства є Закон України “Про підприємства в Україні”, Закон України “Про бухгалтерський облік та фінансову звітність в Україні”, Положення (стандарти) бухгалтерського обліку в Україні, Постанови Кабінету Міністрів України, Статут НВКФ “Енергія-Юг”, звітні дані підприємства, підручники вітчизняних авторів, газети та журнали, а також компьютерна мережа Internet.
Фінансова діяльність підприємства
Характеристика фінансової діяльності підприємств
Фінансова діяльність – це діяльність, що призводить до змін розміра, а також склада власного та запозиченого капіталу. Суть фінансової діяльності підприємства полягає у виникненні грошових відносин, що пов’язані з неперервним кругообігом коштів у формах витрачання ресурсів, одержання доходів, їх використання, а також з приводу відносин з постачальниками, покупцями продукції, працівниками підприємства та державними органами. [5,8]
Найважливішою стороною фінансової діяльності підприємств є формування та використання різних грошових фондів, за допомогою яких здійснюється забезпечення господарської діяльності необхідними грошовими засобами. Грошові фонди підприємств можна поділити на чотири групи:
1) Фонди власних засобів (статутний капітал, додатковий капітал, інвестиційний фонд, валютний фонд);
2) Фонди запозичених засобів (різноманіття цих фондів дає можливість їх використання в різних становищах; запозичені засоби в нормальних економічних умовах сприяють підвищенню ефективності виробництва);
3) Фонди притягнутих засобів (ці засоби знаходяться в обігу підприємства та належать його робітникам – дивіденди та фонд споживання, що утворюється за рахунок прибутку і використовується для задоволення потреб робітників);
4) Оперативні грошові фонди (фонд заробітної плати, фонд для сплати податків до бюджету та інші фонди, які створюються періодично).[10]
Основні завдання фінансової діяльності підприємства полягають в наступному:
1) вибір форми фінансування та їх оптимальне співвідношення. Фінансування поділяється на внутрішнє і зовнішнє в залежносі від джерел коштів. Важливими формами фінансування підприємств є кредит (грошовий і майновий), випуск цінних паперів (акцій і облігацій). Спеціальними формами довгострокового кредитування є оренда і лізинг (оперативний і фінансовий);
2) вибір структури капіталу підприємства, напрямків його використання;
3) збалансування надходжень і видатків платіжних зособів підприємства у часі;
4) забезпечення своєчасності розрахунків;
5) підтримання необхідної ліквідності. Ліквідність підприємства - це його здатність швидко продати активи й одержати гроші для оплати своїх зобов’язань. Ліквідність підприємства характерізується співвідношенням величини його високоліквідних активів і короткострокової заборгованості. [5]
Фінансова діяльність підприємств відображається в грошових потоках, які характеризують різноманітні й різносторонні відносини.
До зовнішніх фінансових відносин входять:
— взаємовідносини між суб'єктами господарювання у вигляді розрахунків з поставщиками і покупцями;
— взаємовідносини з бюджетом: платежі та асигнування;
— взаємовідносини з фондами спеціального призначення: внески і надходження;
— взаємовідносини зі страховими компаніями: страхові платежі й страхове відшкодування;
— взаємовідносини з банками: відкриття та ведення рахунків, зберігання коштів на депозитах, отримання і погашення кредитів, отримання і сплата процентів;
— взаємовідносини з інститутами фінансового ринку: розміщення власних цінних паперів та інвестування тимчасово вільних коштів;
— взаємовідносини з галузевими і корпоративними органами:
внески у централізовані фонди і надходження з них. Внутрішні фінансові відносини включають:
— розподіл доходу підприємства і формування прибутку;
— розподіл чистого прибутку та його використання;
— формування та використання амортизаційних відрахувань;
— утворення та використання фондів підприємств.
В основі фінансової діяльності підприємств лежить здійснення витрат і формування доходів. Проведення витрат забезпечується за рахунок фінансових ресурсів, які знаходяться в розпорядженні підприємств. Підсумки фінансової діяльності відображаються у фінансових результатах (прибутках чи збитках). Таким чином формується ланцюг, що характеризує механізм фінансової діяльності підприємств: фінансові ресурси → витрати → доходи → фінансові результати → збільшення (зменшення) фінансових ресурсів.
Фінансові ресурси формуються за рахунок власних та зовнішніх джерел. Власні ресурси концентруються у статутному фонді.
Зовнішніми джерелами фінансових ресурсів підприємств є кошти, що надходять з бюджету, цільових та централізованих корпоративних фондів, як правило, на безповоротній основі, а також кредити, що надаються банками за плату на поворотній основі.
Фінансові ресурси підприємств спрямовуються на формування основних фондів і оборотних коштів. За рахунок фінансових ресурсів здійснюються витрати підприємств на виробництво та реалізацію товарів, робіт і послуг, а також інші витрати, пов'язані з діяльністю підприємства. У процесі здійснення витрат виникають вихідні грошові потоки — оплата рахунків поставщиків і підрядчиків за товари, роботи, послуги, страхові платежі.
Результатом здійснення витрат є товари, роботи і послуги. На основі їх реалізації за рахунок вхідних грошових потоків від покупців формуються доходи підприємства від виробничої діяльності. Крім того, джерелом доходів є надходження від страхових компаній страхового відшкодування за понесені втрати і збитки. Виручка від реалізації включає відшкодування проведених витрат (перенесену вартість) і валовий доход (додану вартість) — суму заробітної плати і прибуток. З позицій фінансової діяльності заробітна плата має двоїстий характер: з одного боку, вона є елементом витрат, з другого — частиною валового доходу. Виплата заробітної плати характеризує внутрішні грошові потоки підприємства.
За рахунок отриманих доходів забезпечуються фінансові відносини з державою — платежі в бюджет і цільові фонди, з банківською системою – погашення кредитів і сплата процентів. Після відшкодування проведених витрат, виплати заробітної плати, розрахунків з бюджетом, цільовими фондами і банками визначаються фінансові результати – прибуток чи збиток. Прибуток – це перевищення валових доходів над валовими витратами. Збиток – це перевищення валових витрат над валовими доходами. З чистого прибутку формуються фонди і резерви підприємств, за рахунок яких проводяться певні витрати. З фондів та безпосередньо з чистого прибутку може проводитись оплата праці у вигляді премій і допомог. Тимчасово вільна частина чистого прибутку може бути розміщена на фінансовому ринку через фондову біржу чи фінансових посередників або на основі прямих зв’язків з емітентами (вихідні грошові потоки). За результатами такого розміщення можуть бути отримані доходи від фінансової діяльності (вхідні потоки). [14]
Функціонування фінансів підприємств характеризується певними фінансовими категоріями. Такими категоріями, як це видно із наведеного рисунку (Рис.1.1.), виступають: фінансові ресурси, витрати, доходи, фінансові результати.

![]() |
Рис. 1.1. Схема фінансової діяльності та грошових потоків підприємства. [14]
Фінансові ресурси – це сума коштів, спрямованих в основні та оборотні засоби підприємства. Вони характеризують фінансовий потенціал, тобто можливості підприємства у проведенні витрат з метою отримання доходу.
Витрати підприємства розглядаються за такими ознаками:
- за напрямами фінансування виділяють витрати на:
· виробництво і реалізацію продукції;
· відтворення основних засобів;
· операційні заходи;
· соціальні цілі.
- за джерелами фінансування витрати поділяються на:
· забезпечені власними фінансовими ресурсами;
· покриті залученими позиковими коштами;
· здійснені за рахунок наданих коштів.
Доходи виступають об’єктом розподільних відносин. Вони поділяються на групи:
· від виробничої діяльності;
· від реалізації майна;
· від фінансової діяльності;
· від перерозподілу фінансових ресурсів через фінансову систему.
Фінансові результати – це зіставлення регламентованих податковим законодавством валових доходів і валових витрат. Прибуток виступає метою підприємницької діяльності й джерелом витрат на розвиток виробництва. Прибуток і його рівень характерізує ефективність виробництва, збиток свідчить про неефективне господарювання [8].
Звичайно, представлена схема фінансової діяльності і грошових потоків підприємств, яка відображує умовно виділений початковий виробничий цикл, є певною мірою абстракцією. У реальній дійсності всі фінансові операції – і формування фінансових ресурсів, і проведення витрат, і отримання доходів здійснюються паралельно, що і визначає складність управління фінансами підприємств. Разом з цим ця схема дає змогу визначити і показати організацію, характер і складові фінансової діяльності підприємств, кругообіг їх фінансових ресурсів, взаємозв’язок з іншими суб’єктами підприємницької діяльності, сферами й ланками фінансової системи. [14]
Фінансова діяльність підприємств може бути організована трьома методами:
1) комерційний розрахунок;
2) неприбуткова діяльність;
3) кошторисне фінансування.
Відмінність між окремими методами полягає у схемі організації фінансової діяльності, тобто у встановленні взаємозалежності між фінансовими ресурсами і джерелами їх, формування, доходами, витратами і фінансовими результатами (рис. 1.2.).
Рис. 1.2 . Схема організації фінансової діяльності. [14]
Отже, зміст фінансової діяльності підприємств полягає у безперервному кругообігу коштів, який здійснюється у вигляді витрат ресурсів і одержання доходів, їхнього розподілу й використання. При цьому визначаються джерела коштів, напрямки та форми фінансування, оптимізується структура капіталу, проводяться розрахунки з постачальниками матеріально-технічних ресурсів, покупцями продукції, державними органами та персоналом підприємства.
Фінансова звітність підприємства
Звітність — це система узагальнених і взаємопов'язаних показників, які характеризують результати фінансово-господарської діяльності підприємств і організацій за минулий період (місяць, квартал, рік). Вона складається шляхом підрахунку, групування і спеціальної обробки даних поточного бухгалтерського обліку.
Значення звітності полягає, перш за все, в тому, що вона є джерелом інформації про результати діяльності підприємства, про витрати виробництва та реалізацію продукції (товару, робіт, послуг ), про платоспроможність підприємства та його життєздатність. За даними звітності здійснюють аналіз фінансової діяльності підприємства (стан засобів та джерела їх формування), розробляють у необхідних випадках заходи фінансового оздоровлення підприємства. Звітність використовується також для подальшого планування фінансової діяльності підприємства. [18]
Основні вимоги, що ставляться до всіх видів звітності: своєчасність складання та надання відповідним органам; об'єктивність; єдність методики звітних показників; ясність та зпівставленість звітних показників з минулим періодом часу. Правові основи регулювання, організації, ведення бухгалтерського обліку і складання фінансової звітності визначені Законом України "Про бухгалтерський облік і фінансову звітність в Україні", затвердженим наказом Мінфіну України від 16.07.99 № 996-ХIV, а також прийнятими відповідними Положеннями (стандартами) бухгалтерського обліку в Україні. [6]
Фінансова звітність — це бухгалтерська звітність, що містить інформацію про фінансове положення, результати діяльності і рух коштів підприємства за звітний період. Вона повинна забезпечити інформаційні потреби користувачів відносно:
— придбання, продажі й володіння цінними паперами;
— участі в капіталі підприємства;
— оцінки якості керування;
— оцінки здатності підприємства вчасно виконувати свої зобов'язання;
¾ забезпеченості зобов'язань підприємства;
¾ визначення суми дивідендів, що підлягають розподілу;
¾ регулювання діяльності підприємства;
¾ інших рішень.
Фінансова звітність повинна задовольняти потреби тих користувачів, що не можуть вимагати звітів, складених з обліком їхніх конкретних інформаційних потреб. Фінансова звітність повинна цілком висвітлювати всі напрямки діяльності підприємства і разом з тим містити тільки доречну інформацію, що впливає на прийняття рішень користувачами, дає можливість вчасно оцінити минулі, дійсні і майбутні події, підтвердити я скорегувати їхньої оцінки, зроблені в минулому.
Для того, щоб фінансова звітність була зрозумілою користувачам, вона повинна містити дані про:
— підприємства (назву, організаційно-правову форму і місце перебування, короткий опис основної діяльності, назва органа керування, у веденні якого знаходиться підприємство);
— дату звітності чи звітний період. Якщо період, за який складений фінансовий звіт, відрізняється від звітного періоду, передбаченого Положенням (стандартом), то причини і наслідки цього повинні бути розкриті в примітках до фінансової звітності;
— валюту звітності й одиницю виміру (якщо валюта звітності відрізняється від валюти, в якій ведеться бухгалтерський облік, то підприємство повинне розкрити причини цього і методи, що були використані для перекладу фінансових звітів з однієї валюти в іншу);
— облікову політику підприємства і її зміни (принципи оцінки статей звітності, методи обліку щодо окремих статей звітності);
— іншу інформацію, розкриття якої передбачено відповідними положеннями (стандартами).
Інформація, приведена у фінансових звітах, повинна не тільки відбивати результати попередньої діяльності, але і бути корисною для прогнозування розвитку фінансової діяльності підприємства в наступні періоди. [12]
Так, інформація про фінансовий стан підприємства в звітному періоді використовується для прогнозування його фінансового стану, результатів фінансової діяльності і платоспроможності в майбутніх періодах. Аналітичні потреби користувачів задовольняються завдяки відповідній структурі фінансових звітів, а також надання порівнянної інформація за звітний і попередні періоди.
Фінансова звітність підприємства (крім бюджетних установ, представництв іноземних суб'єктів господарської діяльності і суб’єктів малого підприємництва, визнаних такими відповідно до чинного законодавства) включає:
Баланс (форма № 1);
Звіт про фінансові результати (форма № 2);
Звіт про рух коштів (форма № 3);
Звіт про власний капітал (форма № 4).
Малі підприємства вокористовують спрощену форму фінансової звітності, яка складається із скороченої форми Балансу (Додаток А) і Звіту про фінансові результати (Додаток Б).
Форми фінансової звітності і порядок їхнього заповнення встановлюються:
— для підприємств і організацій (крім банків і бюджетних установ) — Міністерством фінансів України за узгодженням з Держкомстатом України;
— для банків — Національним банком України за узгодженням з Держкомстатом України;
¾ для бюджетних установ, органів Державного казначейства України по виконанню бюджетів усіх рівнів і кошторисів витрат — Державним казначейством України. [8]
У більшості країн світу фінансова звітність складається і подається для зовнішніх користувачів зі значним інтервалом, як правило, після закінчення фінансового року. Але для внутрішніх потреб вона складається здебільшого з коротким інтервалом. [12]
В Україні звітним періодом для складання фінансової звітності є календарний рік. Проміжна звітність (місячна, квартальна), що охоплює визначений період, складається наростаючим підсумком з початку року.
Для суб'єктів малого підприємництва і представництв іноземних суб'єктів господарської діяльності національними положеннями (стандартами) установлена скорочена по показниках фінансова звітність у складі балансу і звіту про фінансові результати.
Основною формою фінансової звітності є баланс. Зміст і форма балансу, а також загальні вимоги до розкриття його статей регламентуються Положенням (стандартом) бухгалтерського обліку №2 "Баланс", затвердженим наказом Мінфіну України 31.03.99 № 87. [8]
Баланс – це деталізована репрезентація фінансового стану підприємства на конкретний момент часу. За своєю структурою бухгалтерський баланс — це двостороння таблиця, з лівого боку якої відображено склад засобів господарства та їх розміщення — "актив"; а з правого боку таблиці — утворення засобів господарства та їх цільове призначення — "пасив". У балансі відображаються також результати господарської діяльності. [5,18]
В перекладі з латинського слово "баланс" означає "двочашкові терези", що стосовно бухгалтерського обліку означає обов'язкову рівність результатів пасиву і активу, тобто сума всіх статей активу балансу повинна дорівнювати сумі всіх статей пасиву балансу.
Показники в балансі приводяться по двох графах: "на початок року"; "на кінець звітного періоду". Співставленням цих двох граф встановлюються зміни складу засобів і джерел їх утворення за звітний період, здійснюється контроль за станом та структурою господарських засобів; аналіз фінансового стану і платоспроможності підприємства, розміщення коштів, ступінь зносу основних засобів. [18]
З 1 січня 2000 року в Україні введено в дію спрощену форму балансу для малих підприємств, що відповідає міжнародним стандартам здіснення бухгалтерського обліку суб'єктами господарювання. [4]
В активі балансу підприємства за новою формою виділені розділи:
I . Необор отні активи (• Нематеріальні активи • Незавершене будівництво • Основні засоби • Довгострокові фінансові інвестиції);
II . Оборотні активи (• Виробничі запаси • Незвершене виробництво • Готова продукція • Дебіторська заборгованість • Поточні фінансові інвестиції • Грошові кошти та їхні еквіваленти);
III . Витрати майбутніх періодів.
Пасив балансу підприємства за новою формою складається з п'яти відокремлених розділів:
I . Власний капітал (• Статутний капітал • Пайовий капітал •Резервний капітал • Нерозподілений прибуток);
II . Забезпечення наступних витрат і платежів (• Забезпечення виплат персоналу • Інші забезпечення • Цільове фінансування);
III . Довгострокові зобов'язання (• Довгострокові кредити банків •Відстрочені податкові зобов'язання • Інші довгострокові зобов'язання);
IV . Поточні зобов'язання (• Короткострокові кредити банків •Поточна заборгованість за довгостроковими зобов'язаннями • Векселі видані • Кредиторська заборгованість • Інші поточні зобов'язання);
V Доходи майбутніх періодів. [4]
Кожне підприємство повинно здійснювати фінансову діяльність відповідно до свого Статуту. Для цього йому необхідно мати основні й оборотні засоби, нематеріальні активи, певні кошти, здійснювати фіінансові вкладення. Інформація про наявність і рух майна та джерела його утворення має надходити своєчасно, а періодично її треба узагальнювати для більш ефективного використання в управлінні, для здійсненя контролю за збереженням засобів виробництва, вивчення складу та йільового використання господарських засобів. З цією метою засоби господарства та джерел їх утворення на підприємствах об’єднують в економічно однородні групи, що знаходить відображення в бухгалтерському балансі. [12]
Співвідношення між окремими групами активів і пасивів балансу мають важливе економічне значення та використовуються для оцінки й діагностики фінансового стану підприємства. [4]
Другим звітом, який входить до складу фінансової звітності, є Звіт про фінансові результати. Вимоги до його змісту і форми встановлені Положенням (стандартом) бухгалтерського обліку №3 "Звіт про фінансові результати", затвердженим наказом Міністерства фінансів України від 31.03.99 р.
Звіт про фінансові результати – це звіт про доходи, витрати і фінансові результати підприємства, що надасться зовнішнім користувачам та використовусться в системі моніторингу поточної фінансової діяльності підприємства.
Звіту про фінансові результати складається з трьох розділів та будується на функціональному групуванні доходів та витрат (виробництво, керування, реальзація продукції). Прибутки та витрати наводяться з метою визначення чистого доходу. Фінансові результати в звіті знаходяться та відображаються у вигляді звичайної діяльності та надзвичайних подій. (Рис.1.3.).
![]() |
Рис. 1.3. Структура звіту про фінансові результати. [6]
Згідно з класифікацісю доході и і витрат за видами діяльності та функціями побудований розділ І Звіту про фінансові результати, що забезпечує послідовне зіставлення доходів і витрат для визначення чистого прибутку (збитку) звітного періоду він називається “Фінансові результати”.
У розділі II “Елементи операційних витрат” надається інформація про втрати (на виробництво, збут. управління та інші операційні витрати) в розрізі економічних елементів операційних витрат, які здійснюються підприємством в процесі своєї діяльності за звітний період.
III розділ "Розрахунок показників прибутковосіі акцій" заповнюється тільки акціонерними товариствами, прості акції яких відкрито продаються і купуються на фондових біржах, включаючи товариства, які знаходяться у процесі випуску таких акцій. [6]
Чистий доход від реалізації продукції (товарів, робіт, послуг) визначається шляхом вирахування з доходу (виторгу) від реалізації продукції відповідних податків і зборів.
Валовий прибуток (збиток) розраховується як різниця між чистим доходом від реалізації продукції і її собівартістю.
Фінансові результати від операційної діяльності визначаються як алгебраїчна сума валового прибутку (збитку), інших операційних доходів, адміністративних витрат, витрат на збут і інші операційні витрати.
Прибуток (збиток) від звичайної діяльності визначається як алгебраїчна сума прибутку (збитку) від основної діяльності, фінансових і інших витрат (збитків) і суми податку з прибутку.
Чистий прибуток (збиток) розраховується як алгебраїчна сума прибутку (збитку) від звичайної діяльності і надзвичайного прибутку, надзвичайного збитку і податків з надзвичайного прибутку. [8]
Ці звіти містять показники руху різноманітних фінансових фондів підприємства, використання коштів бюджету і позабюджетних коштів, спрямування на виробничий розвиток та інші цілі, наявності і руху нематеріальних активів, фінансових вкладів. Ці звіти містять досить широке коло показників і мають велике значення для користувачів.
Необхідність регулювання результатів діяльності підприємства визначається його значною роллю у розвитку підприємства і гармонійному забезпеченні інтересів власників, персоналу та держави. Ефективність цього регулювання, як і ефективність будь-якої управлінської системи, значною мірою залежить від якості її інформаційної бази. Чим розширеніша операційна, інвестиційна та фінансова діяльність підприємства, тим вища роль якісної інформації, необхідної для прийняття урпавлінських рішень у галузі формування і використання рівня результатів його діяльності. [7]
Формування системи інформаційного забезпечення регулювання результатів діяльності підприємства являє собою цілеспрямований підбір відповідних інформативних показників для аналізу, планування та прийняття стратегічних і оперативних управлінських рішень.
Інформаційна база, що сформована на основі фінансового обліку, має певні вади:
1. вона відбиває інформативні показники лише по підприємству в цілому, що не дає змоги використовувати її у прийняті управлінських рішень в окремих сферах діяльності, центрах відповідальності, видах продукції;
2. вона характеризується низькою періодичністю розробки (один раз на квартал чи на рік);
3. використовуються лише вартісні показники, що утруднює аналіз впливу змін цін і інших факторів на формування показників. [16]
Сучасний стан фінансової діяльності малих рідприємств в Україні
Підприємництво в Україні після більш ніж 70-літньої перерви має невелику історію. Тому його становлення і розвиток пов’язані з чисельними проблемами фінансового характеру. Економіка України до початку 90-х років була в основному повністю одержавленою, тобто абсолютна маса підприємств перебувала у власності держави чи під таким її контролем, що говорити про інші форми власності реально було просто неможливо. Отже, зародження підприємства пов’язане з появою насамперед малих підприємств як найхарактерніших представників реального підприємництва у чистому вигляді, де власник підприємства є водночас і його головним менеджером.
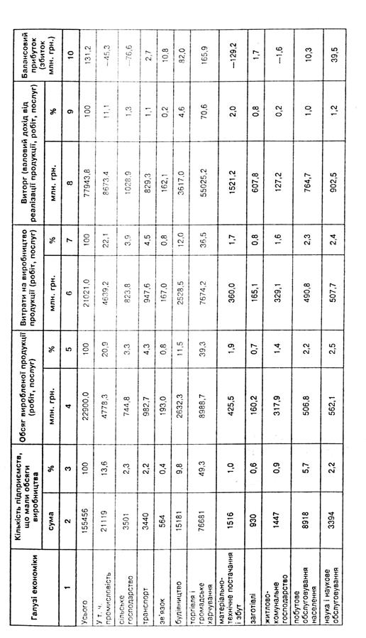
Найбільше малих підприємств зосереджено у сфері торгівлі й громадського харчування – близько 50%. У галузях промисловості та бцдівництва – відповідно 14% і 10%. У сфері побутового обслуговування населення було створено понад 5% малих підприємств, в інших галузях частка їх становила від 0,4% до 2,4%. У сільському господарстві частка малого бізнесу дорівнює лише 2,3% у 2003 році. Діяльність малих підприємств в цілому у країні характерізується даними, наведеними у Табл.1.1.
З 197 127 малих підприємств, зареєстрованих у країні, реально здійснювали свою діяльність тільки 155 456, або 78,8%. Найбільший обсяг продукції був виконаний у торгівлі - 39,3% від загального обсягу.у середньому на одне діюче торгівельне підприємство припадає 0,117 млн. грн. виконаних робіт і послуг. У розрахунку на одне торгове мале підприємство в 2005 році припадало 2,2 тис. грн. прибутку, водночас у цілому в Україні прибуток на одне мале підприємство становив лише 0,8 тис. грн. [13, 17]

Табл. 1.1. Основні фінансові показники діяльності малих підприємств у 2003 році за галузями економіки . [17]
Малий бізнес не лише виготовляє продукцію, формує валовий дохід і прибуток, а й досить активно бере участь у процесі утворення централізованих державних фондів коштів за рахунок податкових платежів.
Діяльність малих підприємств істотно різниться не лише за галузями економіки, а й за формами власності (Табл.1.2.).

Рис. 1.2. Основні фінансові показники діяльності малих підприємств у 2005 році за формами власності [17].
Частка приватних малих підприємств у загальній кількості функціонуючих підприємств становила близько 30%, але основна частина малих підприємств припадала на колективну форму власності (понад 65%). Малі підприємства колективної форми власності виробили більш як 3/4 усієї продукції, тоді як приватні малі підприємства тільки 16,5%. Колективні малі підприємства забезпечили одержання майже 3/4 валового доходу від реалізації продукції, у той час як приватні лише 24%. Однак прибутковими виявилися приватні підприємства, а малі підприємства інших форм власності одержали балансовий збиток. У розрахунку на одне приватне підприємство було отримано 4,85 тис. грн. балансового прибутку.
З метою виходу з економічної кризи та виправлення становища, що склалося в державі у сфері малого підприємництва, Верховна Рада України прийняла Закон України “Про державну підтримку малого підприємництва” від 19.10.2000 року та Закон України “Про Національну програму сприяння розвитку малого підприємництва в Україні” від 21.12.2000 року, із розробленими Кабміном України “Заходами щодо реалізації Національної програми сприяння розвитку малого підприємництва в Україні на 2001 рік”. Програма складається із комплексу заходів, спрямованих на реалізацію державної політики щодо розв’язання проблем розвитку малого підприємництва. Зокрема, програмою передбачені активізація фінансово-кредитних та інвестиційних механізмів; пошук нових форм фінансово-кредитної підтримки малого підприємництва; розробка та запровадження ефективних кридитно-гарантійних механізмів мікрокредитування суб’єктів малого підприємництва.
Законом передбачається фінансування програм підтримки малого підприємництва за рахунок Державного бюджету України, місцевих бюджетів, позабюджетних коштів, у тому числі коштів, одержаних від приватизації державного і відчуження комунального майна, та інших джерел фінансування, не заборонених законом [13].
На 2005 рік у видатковій частині Державного бюджету України на підтримку малого і середнього підприємництва було виділено 27,0 млн. грн., які спрямовані на: впровадження регіональної політики - 65,7%, активізацію фінансово-кредитної та інвестиційної підтримки - 12,1%, сприяння створенню інфраструктури - 22,2%. Що стосується окремих програм сприяння розвитку і підтримки малого підприємництва, в 2005 році кошти в сумі 32,3 млн. грн. мали бути спрямовані на фінансуваня значних програм (рис.1.4.).

Рис.1.4. Програми сприяння розвитку і підтримки малго підприємництва в 2005 році в Україні. [13]
Таким чином, необхідний диференційований підхід до малих підприємств, що повинен знайти відображення у всіх законодавчих актах України, у тому числі в законах з оподаткування, податковому кодексі. Однак мало звільнити підприємців від необгрунтованого податкового тягаря, треба надати їм, осбливо на початковому етапі, відповідну фінансову підтримку:
створення законодавчо-нормативних умов, сприятливих для одержання необхідних кредитів і позичок від комерційних банків та фнших фінансових установ;
фінансово-кредитна підтримка малих підприємств із боку держави за умови здійснення діяльності, що сприяла б скороченню безробіття, підвищенню обсягу виробництва товарів та послуг, розв’язувала б соціальні проблеми суспільства;
надання підприємствам малого бізнесу відповідних фінансових та інших послуг на пільгових умовах із боку держави для стимулювання розвитку малих підприємств.[9]
2. Дослідження фінансового стану НВКФ “Енергія-Юг”.
2.1.Ос новні напрямки фінансової діяльності НВКФ “Енергія-Юг”
Науково-виробнича комерційна фірма “Енергія-Юг” створена з метою сучасної підприємницької діяльності учасників, розвитку ринка товарів та послуг в регіоні, створенню робочих місць та отримання прибутку.
Підприємство діє на підставі Статуту, у відповідності до Законів України “Про підприємства в Україні”, “Про господарські товариства” та інших законодавчих і нормативних актів.
Предметом діяльності НВКФ “Енергія-Юг” є торгівельна діяльність у сфері роздрібної торгівлі та громадського харчування щодо реалізації продовольчих і непродовольчих товарів, алкогольних напоїв, тютюнових виробів, а також створення торгової мережі магазинів.
Фінансові ресурси підприємства формуються за рахунок виручки від реалізації продукції, робіт, послуг, що одержані від продажу, благодійних внесків та інших фінансових коштів.
НВКФ “Енергія-Юг” реалізує свою продукцію по цінам, що встановлюються самостійно. Отримуючи товар від київських иостачальників, фірма включає в ціну продукції свої 20%, з яких формується прибуток.
Із виручки від реалізації продукції, робіт, послуг та інших надходжень відшкодовуються матеріальні та дорівнювальні до них витрати, витрати на оплату праці, виплачуються податки та інші обов’язкові платежи, сплачуються відсотки по кредитам. Чистий прибуток надходить у повне розпорядження НВКФ “Енергія-Юг”. За рахунок чистого прибутку підприємство формує резервний фонд у розмірі 25% від Статутного фонду. Формування зазначеного фонду здійснюється шляхом щорічних відрахувань, але не менш 5% від суми чистого прибутку до досягнення фондом зазначеного розміру.
Підприємство самостійно планує свою діяльність та визначає перспективи розвитку виходячи із попиту на виготовлену продукцію, роботи, послуги та необхідності свого виробничого та соціального розвитку, підвищення особистих доходів своїх працівників.
2.2. Методика розрахунку та критерії оцінки показників фінансового стану
Фінансовий стан підприємства характеризується ступенем його прибутковості та оборотності капіталу, фінансової стійкості та динаміки структури джерел фінансування, здатності розраховуватися за борговими зобов'язаннями.
Правильна оцінка фінансових результатів діяльності та фінансового стану підприємства за сучасних умов господарювання конче потрібна як для його керівництва і власників, так і для інвесторів, партнерів, кредиторів, державних органів. Фінансовий стан підприємства цікавить і його конкурентів, але вже в іншому аспекті — негативному; вони заінтересовані в ослабленні позицій конкурентів на ринку.
Для оцінки фінансового стану підприємства необхідна відповідна інформаційна база. Такою можуть бути звіт про фінансові результати діяльності і баланс. З погляду фінансового аналізу є три основні вимоги до бухгалтерської звітності. Вона повинна містити:
· оцінку динаміки та перспектив одержання прибутку підприємством;
· оцінку наявних у підприємства ресурсів та ефективності їх використання;
· прийняття обгрунтованих управлінських рішень для здійснення інвестиційної політики.
Також необхідно знати групи показників для оцінки фінансового стану підприємства (Рис. 2.5.)
![]() |
Рис. 2.5. Групи розрахункових показників для оцінки фінансового стану підприємства . [4]
Прибутковість підприємства вимірюється двома показниками — прибутком і рентабельністю. Прибуток виражає абсолютний ефект без урахування використаних ресурсів. Тому для аналізу його доповнюють показником рентабельності.
Рентабельність — це відносний показник ефективності роботи підприємства, котрий у загальній формі обчислюється як відношення прибутку до витрат (ресурсів). Рентабельність має кілька модифікованих форм залежно від того, які саме прибуток і ресурси (витрати) використовують у розрахунках.
Передусім виокремлюють рентабельність інвестованих ресурсів (капіталу) і рентабельність продукції. Рентабельність інвестованих ресурсів (капіталу) обчислюється в кількох модифікаціях: рентабельність активів, рентабельність власного капіталу, рентабельність акціонерного капіталу.
Рентабельність активів (РА) характеризує ефективність використання всього наявного майна підприємства та обчислюється за формулою:
П З(Ч)
Р А = ¾¾¾¾ * 100
К А
де ПЗ(Ч) – загальний (чистий) прибуток підприємства;
КА — середня сума активів за річним балансом.
Розрахуємо цей показник для НВКФ “Енергія-Юг”:
16,56
I Р A= ¾¾¾¾ *100 = 2,3
722,136
2,64
II Р A = ¾¾¾¾ * 100 = 0,37
722,136
79,32
III Р A = ¾¾¾¾ * 100 = 10,98
722,136
138,36
IV Р A= ¾¾¾¾ *100 = 19,16
722,136
Показники рентабельності активів збільшуються протяго року, але у другому кварталі цей показник різко зменьшується за рахунок зменьшення чистого прибутку підприємства. Взагалі, ефективність використання всього власного майна підприємства у 2001році є нормальною.
Обчислюючи цей показник, виходять як із загального (до оподаткування), так і з чистого (після оподаткування) прибутку. Єдиного методичного підходу тут не існує. Тому треба обов'язково зазначити, який саме прибуток узято.
Показник рентабельності сукупних активів може бути дезагрегований, якщо підприємство здійснює різні види діяльності (за її диверсифікації). У цьому разі поряд із рентабельністю всіх активів визначається рентабельність за окремими видами діяльності (рентабельність виробництва, сервісного обслуговування, комерційної діяльності).
Рента бел ьність власного капіталу ( РВК) відображає ефективність використання активів, створених за рахунок власних коштів:
П Ч
РВК = ¾¾¾ *100
КВ
де ПЧ – чистий прибуток підприємства; КВ — власний капітал підприємства.
Розрахуємо цей показник виходячи з даних НВКФ “Енергія-Юг” за кожен квартал:
16 ,56
I РВК = ¾¾¾ *100 = 19,97
82 ,92
2,64
II РВК = ¾¾¾ *100 = 2,32
113,64
79,32
III РВК = ¾¾¾ *100 = 54,49
145 ,56
138,36
IV РВК = ¾¾¾ *100 = 67,66
204 ,48
Величина власного капіталу береться за даними балансу підприємства або його звіту про власний капітал на певну дату (після 1 січня).
Як бачимо з розрахунків, показники рентабельності власного капіталу зростають у кожному кварталі за вийнятком другого, що зумовлено низьким рівнем чистого прибутку підприємства. За рік цей показник збільшився на 47,96, тому характерізується середньою ефективністю використання активів, створених за рахунок власних коштів підприємства.
Рентаб ель ність продукції (РП) характеризує ефективність витрат на її виробництво і збут. Вона визначається за формулою:
ПРП
Р П = ¾¾¾ *100
С РП
де ПРП – прибуток від реалізації продукції за певний період;
| деП С |
СРП – певна собівартість реалізованої продукції.
Розрахуємо цей показник виходячи з даних НВКФ “Енергія-Юг” за кожен квартал:
16,56
I Р П = ¾¾¾ *100 = 5,94
63,84
2,64
II Р П = ¾¾¾ *100 = 0,48
554,16
79,32
III Р П = ¾¾¾ *100 = 6, 29
1262,04
138,36
IV Р П = ¾¾¾ *100 = 6, 79
2038, 56
Показники рентабельності продукції НВКФ “Енергія-Юг” зросли протягом досліджуємого періоду на 0,85, але у другому кварталі цей показник різко зменшився, що пояснює низька дохідність реалізації у той час. Вцілому ж на підприємстві рентабельність продукції має середній рівень ефективності.
Рентабельність продукції можна обчислювати також як відношення прибутку до обсягу реалізованої продукції. Саме в такому вигляді цей показник використовується в зарубіжній практиці.
Ділова активність підприємства є досить широким поняттям і включає практично всі аспекти його роботи. Специфічними показниками тут є оборотність активів і товарно-матеріальних запасів, величини дебіторської та кредиторської заборгованості.
Оборотність активів (nА) — це показник кількості оборотів активів підприємства за певний період (переважно за рік), тобто:
n A = В/К А
де В — виручка від усіх видів діяльності підприємства за певний період;
КА — середня величина активів за той самий період.
Розрахуємо цей показник виходячи з даних НВКФ “Енергія-Юг” за кожен квартал:
96,48
I nA = ¾¾¾ = 0,19
495,48
936,84
II nA = ¾¾¾ = 1,62
577,2
1600,8
III nA = ¾¾¾ = 1,71
934,68
2481,12
IV nA = ¾¾¾ = 2,24
1107,6
Як бачимо із зроблених розрахунків, показники оборотності активів постійно збільшуються, що є позитивним для підприємства. За рік цей показник збільшився на 2,05 і показує кількість оборотів, що здійснюють оборотні кошти.
За цих умов середня тривалість одного обороту (tА) становитиме:
t А = Д К / n А
де Д — кількість календарних днів у періоді.
Розрахуємо цей показник виходячи з даних НВКФ “Енергія-Юг” за кожен квартал:
90
I tA = ¾¾¾ = 473,68
0,19
90
II tA = ¾¾¾ = 55,56
1,62
90
III tA = ¾¾¾ = 52,36
1,71
90
IV tA = ¾¾¾ = 40,18
2,24
Розрахувавши показники середньої тривалості одного обороту, можна побачити його постійне скорочення, що є позитивним для нашого підприємства і не є перешкодою нормальному ходу реалізації продукції.
Фінансова стійкість підприємства характеризується співвідношенням власного і залученого капіталу. Для цього використовуються коефіцієнти автономії та забезпечення боргів. З-поміж них найбільш поширеними є коефіцієнт автономії та забезпечення боргів.
Коефіцієнт автономії (kA) обчислюється як відношення власного капіталу до підсумку балансу підприємства:
K A = K B / K Б
де КВ – власний капітал підприємства;
КБ – підсумок балансу (сума всіх джерел фінансування).
Розрахуємо цей показник виходячи з даних НВКФ “Енергія-Юг” за кожен квартал:
82,92
I kA = ¾¾¾ = 0,17
495,48
113,64
II kA = ¾¾¾ = 0,2
577,2
145,56
III kA = ¾¾¾ = 0,16
934,68
204,48
IV kA = ¾¾¾ = 0,18
1107,6
Якщо kА < 0,5, то зростає ризик не сплати боргів, а відтак і занепокоєння кредиторів. Збільшення значення коєфіцієнту автономії зумовлює підвищення фінансової незалежності та зменшення ризику порушення фінансової стійкості підприємства.
Як бачимо з отриманих результатів, коефіцієнт автономії НВКФ “Енергія-Юг” менше 0,5, що говорить про ризик несплати боргів підприємства, а також показує залежність підприємства від зовнішніх джерел фінансування, тому треба збільшувати власний капітал.
Коефіцієнт забезпечення боргів (kЗБ) визначається як співвідношення власного та залученого капіталу:
k ЗБ = К В / К З
де КЗ – боргові зобов’язання підприємства (залучений капітал).
Розрахуємо цей показник виходячи з даних НВКФ “Енергія-Юг” за кожен квартал:
82,92
I kЗБ = ¾¾¾ = 0,2
12,56
113,64
II kЗБ = ¾¾¾ = 0,25
463,32
145,56
III kЗБ = ¾¾¾ = 0,18
788,88
204,48
IV kЗБ = ¾¾¾ = 0,23
902,88
Нормальною вважають ситуацію, коли kЗБ³1. На жаль, аналітична оцінка фінансового стану підприємства на базі таких коефіцієнтів не завжди є однозначною.
Розрахувавши коефіцієнт забезпечення боргів для НВКФ “Енергія-Юг” можна побачити, що збільшення частки боргів у сукупному капіалі зводить нанівець фінансову незалежність підприємства. Проте водночас збільшуються джерела фінансування та можливості підвищення ефективності його діяльності.
За певних умов кредити вигідно брати. Тут проявляється ефект так званого фінансового важеля (лівериджу) , який виражають через відношення заборгованості до власного капіталу.
Коли плата за кредит є меншою за рентабельність активів з урахуванням оподаткування, збільшення заборгованості (збільшення відношення КЗ/КВ) веде до зростання рентабельності власного капіталу. Отже, залучення кредиту у цьому випадку є фінансовим важелем (лівериджем) підвищення ефективності діяльності підприємства.
Платоспроможність підприємства, тобто його здатність вчасно розраховуватися з боргами, визначається за допомогою коефіцієнтів ліквідності. Вони показують, наскільки короткострокові зобов’язання покриваються ліквідними активами. А оскільки поточні активи мають різну ліквідність, то й обчислюється кілька коефіцієнтів ліквідності – загальної, термінової та абсолютної.
Коефіцієнт загальної ліквідності ( k ЛЗ ) – це відношення оборотних активів до короткострокових пасивів:
k ЛЗ = К ОА / К ЗК ,
де КОА – оборотні активи підприємства;
КЗК – короткострокова заборгованість підприємства.
Беручи до уваги звітність підприємства, розрахуємо коефіцієнт загальної ліквідності:
417,12
I kЛЗ = ¾¾¾ = 1,08
358,8
501,6
II kЛЗ = ¾¾¾ = 1,15
437,76
859,8
III kЛЗ = ¾¾¾ = 1,12
765,72
1030,32
IV kЛЗ = ¾¾¾ = 1,17
880,32
Якщо kЛЗ <2, то платоспроможність підприємства вважається низькою. За надто високого його значення (kЛЗ >3-4), може виникнути сумнів в ефективності використання оборотних активів. На оптимальну величину kЛЗ помітно впливає частка товарно-матеріальних запасів у оборотних активах. Для підприємств з невеликими товарно-матеріальними запасами та оперативно оплачуваними дебіторськими зобов’язаннями є прийнятими нижчий рівень співвідношення оборотніх активів і короткострокової заборгованості (kЛЗ <2), і навпаки, на підприємствах, в оборотних активах яких велика частка належить товарно-матеріальним запасам, це співвідношення треба підтримувати на більш високому рівні.
Для НВКФ “Енергія-Юг” коефіцієнт загальної ліквідності менше 2, що говорить про низьку платоспроможність підприємства у середньостроковому періоді.
Коефіцієнт термінової ліквідності (kЛТ) обчислюється як відношення оборотніх активів високої (термінової) ліквідності до короткострокових пасивів, тобто
k Л Т = К ТЛ / К ЗК ,
де КТЛ – оборотні активи високої (термінової) ліквідності, до яких відносять оборотні активи за мінусом товарно-матеріальних запасів (запасів і витрат).
Розрахуємо коефіцієнт термінової ліквідності, підставивши у формулу базові дані:
17,4
I kЛТ = ¾¾¾ = 0,05
385,8
14,76
II kЛТ = ¾¾¾ = 0,03
437,76
49,32
III kЛТ = ¾¾¾ = 0,06
765,72
35,04
IV kЛТ = ¾¾¾ = 0,04
880,32
Зробивши розрахунки коефіцієнту термінової ліквідності для нашого підпрємства, можна побачити, що НВКФ “Енергія-Юг” характерізується низькою платоспроможністю у короткостроковому періоді
Коефіцієнт абсолютної ліквідності ( k ЛА ) – це відношення абсолютно ліквідних активів до короткостракових пасивів:
k ЛА = К АЛ / К ЗК ,
де КАЛ – абсолютно ліквідні активи підприємства, до яких належать гроші та короткострокові фінансові вкладення (ліквідні цінні папери). Підставимо у формулу дані з фінансових звітів за чотири квартали:
79,68
I kЛА = ¾¾¾ = 0,2
385,8
87,48
II kЛА = ¾¾¾ = 0,2
437,76
152,6
III kЛА = ¾¾¾ = 0,2
765,72
179,64
IV kЛА = ¾¾¾ = 0,2
880,32
Нормальною можна вважати ситуацію, коли kЛА ³0,5.
Коефіцієнти абсолютної ліквідності НВКФ “Енергія-Юг” у всіх кварталах дорівнюють 0,2, що говорить про нормальний стан цього коефіцієнту і миттєву платоспроможність підприємства.
Рівень ліквідності підприємства залежить від його прибутковості, але однозначний зв’язок між цими показниками простежується тільки в перспективному періоді. У перспективі висока прибутковість є передумовою належної ліквідності. У короткостроковому періоді такого прямого зв’язку немає. Підприємство з непоганою прибутковістю може мати низьку ліквідність унаслідок великих виплат власникам, ненадійності дебіторів. Про незадовільний стан ліквідності підприємства свідчитиме той факт, що потреба підприємства в коштах перевищує їх реальні надходження. Отже, забезпечення задовільної ліквідності потребує певних управлінських зусиль та оптимизації фінансово-економічних рішень. Фінансовий стан підприємства тісно пов’язаний із перспективною його платоспроможністю. Її аналіз дає змогу визначити фінансові можливості підприємства на відповідну перспективу.
2.3. Аналіз динаміки показників фінансового стану НВКФ “Енергія-Юг”
Фінансовий аналіз – це спосіб оцінювання і прогнозування фінансового стану підприємства на підставі його бухгалтерської звітності.
Інформаційною базою аналізу фінансового стану є внутрішня і зовнішня звітність підприємства, статистичні дані загальноекономічного характеру, інформація про конкурентів і споживачів продукції підприємства та інші відомості.
Вітчизняні розробки фінансового аналізу не враховують особливлстей перехідного періоду економіки України, не відповідають вимогам комплексності, повноти аналізу. Методичні рекомендації, що надаються різними міністерствами і відомствами, спрямовані на аналіз фінансового стану підприємства у конкретних умовах, наприклад, при приватизації, санації, банкрутстві, аудиторських перевірках. Комплексної методики фінансового аналізу не розроблено.
Розрахунок коефіцієнтів не повинен стати самоціллю; показники повинні допомагати визначати недоліки у роботі підприємства, причини, що викликали стан речей; можливі шляхи покращення діяльності у майбутньому. Для більш повної і точної оцінки фінансового стану метод коефіцієнтів неопхідно доповнювати іншими прийомами, методами, показниками.
Оцінка фінансового стану НВКФ “Енергія-Юг” має на меті обєктивний аналіз величини та структури активів та пасивів підприємства і визначення рівня його фінансової стабільності.
3.Переваги та недоліки системи оцінювання фінансового стану підприємства.
3.1.Удосконалення фінансового стану НВКФ “Енергія-Юг”
Проаналізувавши низку показників фінансового стану НВКФ “Енергія-Юг”, можна сказати, що загальний стан фінансової діяльності підприємства знаходиться на низькому рівні. Про це також говорять чисельні проблеми, з якими зустрічається сучасне мале підприємство.
Малому й середньому підприємництву, безумовно, небхідно відвести одне з провідних місць у проблемі досягнення стабільності фінансової системи в Україні і, очевидно, процес стабілізації слід терміново здійснювати водночас на макро- і мікрорівнях. Аналіз світового досвіду доводить, що практично в усіх розвинутих країнах держава на макроекономічному рівні бере активну участь у створенні умов формування й розвитку малого підприємництва, стимулює і підтримує процес розвитку найдоцільніших та найефективніших його напрямків.
Прийняті нормативно-правові акти не врегульовували законодавче поле діяльності малого й середнього підприємництва та не містили реальних і дієвих механізмів його фінансово-кредитної підтримки. Водночас спостерігалися інвестиційна криза; нерозвинутість ринку; фіскальний характер податкової політики з надмірним тиском, з одного боку, і відсутність у держави бюджетної можливості компенсувати це пільговим наданням позикового капіталу для здійснення прибуткового малого бізнесу, з другого. Однією з найпопулярніших форм підтримки підприємництва за кордоном є гарантія. Проте Кредитно-гарантійній установі, створеній Указом Президента України від 20.05.99р., реалізувати в цьому аспекті наміри поки що не вдалося через відсутність інституту гарантій і достатніх коштів у державному бюджеті.
Функціонування суб’єктів малого підприємництва свідчить теж про існування низких проблем – нестачу стартового капіталу, власних фінансових ресурсів і заставного майна. Підприємці просто неспроможні витримати вимоги банків щодо забезпечення кредитів або гарантій їх повернення з високими відсотками. Тому банки неохоче працюють із малими і середніми підприємствами і віддають перевагу кредитувавнню тих підприємств, де прибуток порівняно з мікрокредитуванням малого бізнесу значно більший. Воднораз, як переконує досвід, переважна більшість суб’єктів малого і середнього бізнесу відчуває гострий “інвестиційний голод”, потребу в пільговому кредитуванні для поповнення обігових коштів і капітальних вкладень, у майновій підтримці, участі у реалізації державних і регіональних замовлень та доступі до участі у конкурсах високоефективних інвестиційних проектів, які фінансуються з бюджету.
Із цими факторами безпосередньо пов’язані ти чи інші негаразди й негативні процеси: обмежені можливості для розвитку й удосконалення організації ринкового виробництва та інноваційної сфери; переміщення активності малих підприємств із виробничої у торгівельно-посередницьку сферу; розвиток невраховоного обігу коштів і тіньового ринку; відсутність соціальної інфраструктури. Спостерігається невпевненість підприємців у стабільності умов ведення бізнесу.
Існує нагальна потреба кардинальних змін у підходах до розв’язання накопичених проблем у малому і середньому підприємництві, що потребують пошуку нових шляхів його реформування й здійснення таких заходів:
1. визначення фінасування пріорітетних напрямів розвитку малого підприємництва та оптимізації використання русурсів за галузями, сферами господарської діяльності й теріторіями з урахуванням сучасного високотехнологічного товаровиробничого сектору. При цьому слід виходити з результатів аналізу статистичних даних, що свідчать про найширший розвиток малого бізнесу у цих сферах, як в Україні, так і в усьому світі.
2. визначення економічних і соціальних проблем в аспекті підтримки і розвитку малого підприємництва на районному та регіональному рівнях, з урахуванням того, що діяльність малих підприємств орієнтована, головним чином, на місцевий ринок. Заходи щодо їх розв’язання мають здійснюватися за рахунок обсягів регіональних джерел фінансових і матеріально-технічних ресурсів. Це вписується в загальну концепцію розвитку господарської і фінансової самостійності теріторіальних утворень.
3. розробки державної системи підтримки малого підприємництва на умовах широкого залучення позабюджетних ресурсів, нових позабюджетних схем відтворення капітал, самофінансування малого бізнесу (наприклад, через кредитні спілки, товариства взаємного страхування). Централізовані кошти на приоритетні напрями розвитку регіону надавати тільки під конктретний проект на умовах співфінансування. Це знизить навантаження на бюджети різних рівнів.
4. формування ринку продукції малих підприємств шляхом розмішення на них установленої законом на конкурсній основі частки державного замовлення щодо поставок продукції для регіональних потреб.
5. сприяння розширенню виробничо-технологічної та інноваційної кооперації малих підприємств із великим виробництвом і використанню потенціалу малого підприємництва при здійсненні заходів щодо підприємств-банкрутів.
6. інтеграції прогресивних фінансових механізмів малого підприємництва в загальну кредитно-фінансову систему України; реалізації схеми пайової участі бюджетних і позабюджетних коштів для підтримки пріоритетних напрямів розвитку цієї сфери.
7. систематизації через інформаційну мережу й створення бази даних із використання коштів, спрямованих на підтримку малого і середнього бізнесу в Україні, з подальшим аналізом ефективності їх використання.
Виконання зазначених заходів дасть можливість не лише залучити нові фінансові ресурси, а й забезпечити їх прибутковість, і в результаті капіталізувати малий і середній бізнес. Головне, буде сформоване платоспроможний попит населення, який є суттєвим чинником накопичення фінансових ресурсів на місцевому, регіональному і державному рівнях. Їх невиконання зробить підтримку малого і середнього підприємництва неефективною, а фінансову стабільність в Україні неможливою
Певна складність як на НВКФ ”Енергія-Юг” так і інших малих підприємств виникає при визначені права на податковий кредит. Річ утому що відповідно Закону про податок на додану вартість: податковий кредит звітного періоду складається із суми податків сплачених платниками податку в звітному періоді у зв’язку з придбанням товарів вартість яких відносіться до складу валових витрат виробництва та основних фондів або нематеріальних активів, які підлягають амортизації.
Оскільки платники єдиного податку не являються платниками податку наприбуток підприємства, в їх забов’язання не входить ведення податкового обміну валових доходів і валових витрат, а також нарахування податкової амортизації.
Незважаючи на те, що об’єкт оподаткування єдиним податком ніяким чином з витратами не пов’язаний (єдиним виключенням складають операції з продажу основних фондів об’єктом для оподаткування єдиним податком яких є фінансовий результат який враховує залишкову вартість таких фондів тобтонедоамартизованих витрат на їх придбання ) платники все ж таки забов’язані вести облік витрат в книзі обліку доходів і витрат недостатньо.
Для підтвердження права платників єдиного податку на податовий кредит їм необхідно вести облік валових витрат виключно для цілей оподаткування ПДВ. Більш логічно і раціонально було б вести облік валових витрат в окремій відомості.
Пропоную для обліку доходів від реалізації створити окрему відомість доходів. В ній будуть відображатися розрахунки за рахунком 70 ”Доходи” дозволять швидше скласти звіт про фінансові результати (Фора № 2)(В частині доходів), і заповнити декларацію з ПДВ,для платників єдиного податку у частині податкових забов’язань .
3.2 Шляхи вдосконалення законодавчо-нормативної бази,яка регулює спрощену систему оподаткування,обліку та звітності
Спрощена система оподаткування, обліку та звітності суб’єктів малого підприємства є найбільш поширеною із альтернативних способівоподаткування. Платники вперше отримали можливість переходу на єдиний податок-з 1 січня 1999 року. Через півроку був прийнятий Указ №746 “Про спрощену систему оподаткування, обліку та звітності суб’єктів малого підприємства” ,після вступу в силу якого остаточно сформувалася діюча сьогодні спрощена система оподаткування, обліку та звітності.
Але нажаль це тільки Указ. У зв’язку з цим виникають розбіжності взаконодавчих актах по альтернативним способом оподаткування з іншими нормативними актами і, як наслідок-неоднозначна трактова контролюючими органами спірних питань оподаткування і державного регулювання підприємницької діяльності.
Указ №746 діє на період “до законодавчого врегулювання цього питання”.
Тому відсутня впевненість у незмінності умов оподаткування у перспективі і неможливості довгострокового прогнозування фінансового положення підприємства.
Всі недоліки законодавчо-нормативної бази,яка регулює спрощену систему оподаткування,обліку та звітності можна представити у наступному вигляді:
1.Бухгалтерський облік:
- невідповідність спрощеної форми бухгалтерського обліку сучасним принципом обліку;
- відсутність сучасної форми бух. обліку призначеної для використання малими підприємствами.
2.Податковий облік:
- неузгодженість окремих законодавчо-нормативних актів;
- відсутність чіткого підходу до визначення об’єкта оподаткування;
- відсутність методичних рекомендацій щодо переходу зі спрощеної системи оподаткування на звичайну і навпаки .
3. Звітність :
- виникають проблеми щодо заповнення фінансового звіту суб’єкта малого підприємництва при веденні повного плану розрахунків бух. обліку;
- неузгодженні строки в подачі податкової звітності .
Недоліки в бух. обліку зумовлені застарілими регістрами обліку майна малого підприємства , які не відповідають сучасним принципам обліку.
Для усунення цих недоліків було доцільно запропонувати нову спрощену форму бух. обліку, яка б відповідала новому плану рахунків та положенню.
Неузгодженість окремих законодавчо-нормативних актів можна усунути шляхом їх переглядання ,або навіть й прийняття нових.
Щоб вирішити проблему відсутності чіткого підходу до визначення об’єкта оподаткування потрібно або переглянути де-яки пункти Указу №746 або скасувати листи ДПАУ , які суперечать даному Указу.
Великим недоліком вважається відсутність чітких рекомендацій щодо переходу зі звичайної системи оподаткування на спрощену і навпаки. Більш раціональну було б видати методичні рекомендації , які б врегулювали дане питання. В цих рекомендаціях потрібно чітко вказати хто має право перейти на спрощену систему оподаткування , обліку та звітності, а хто ні.
Недоліком у звітності суб’єкта малого підприємництва є те , що при ведені повного плану рахунків виникають проблеми при заповненні фінансового звіту.
Адже фінансовий звіт суб’єкта малого підприємництва значно скорочений за показниками , а це свідчить про те що застосовувати повний план рахунків їм нераціонально. Більш важливим недоліком у звітності є неузгодженість строків в подачі податкової звітності. Указом №746 встановлений квартальний податковий період по сплаті ПДВ .А відповідно Закону про ПДВ якщо об’єм господарських операцій за попередній календарний рік перевищує 7200 не оподаткованих мінімумів доходів громадян потрібно застосовувати місячний податковий період а якщо не перевищує то застосовують або квартальний або місячний податковий період щоб вирішити це питання потрібно переглянуту низку законів.
Таким чином для усунення всіх цих недоліків необхідно прийняти Закон “Про спрощену систему оподаткування обліку та звітності суб’єктів малого підприємництва” який повинен врегулювати розбіжності між законодавчо-нормативними актами закріпити принципи нарахування сплати єдиного податку, врегулювати взаємозв’язок єдиного податку з іншими податками і зборами.
Щоб закріпити принципи спрощеної системи оподаткування , обліку та звітності потрібно не тільки прийняти Закон але й переглянути порядки рекомендації, вказівки які стосуються єдиного податку.
Основними шляхами зниження витрат є економія усіх видів ресурсів, що споживаються у виробництві: трудових та матеріальних. Так, значну долю в структурі витрат виробництва займає оплата праці. Тому актуальною є задача зниження трудомісткості продукції, що виготовляється, зростання продуктивності праці, скорочення чисельності персоналу.
Зниження трудомісткості продукції, збільшення продуктивності праці можна досягнути різними шляхами. Найбільш важливі з них – механізація та автоматизація виробництва, розробка та застосування прогресивних, високопродуктивних технологій, заміна та модернізація застарілого обладнання. На даному підприємстві дуже багато застарілого обладнання, яке можна продати без будь – якої шкоди для виробництва, це допоможе скоротити простої. Отримані кошти можна вкласти в нове, ресурсозберігаюче обладнання, яке підвищить фондовіддачу.
Можна порекомендувати виробництво продукції маленькими партіями, тоді витрати по складуванню готової продукції будуть мінімальними. Але, з іншого боку, збільшаться витрати на підготовку виробництва. Для НВКФ”Енергія-Юг” доцільним є продаж деякої кількості виробничих запасів та незавершеного виробництва, отримані гроші можна залучити до виробництва, з цього отримати додатковий прибуток.
Проаналізувавши майнову структуру капіталу та зробивши оцінку структурних змін, можна сказати, що НВКФ”Енергія-Юг” має проблему з дебіторською заборгованістю. Підприємство може скоротити відвантаження продукції, тоді рахунки дебіторів зменшаться. Наявність заборгованості дебіторів спричиняє фінансові труднощі, оскільки підприємство відчуває недолік фінансових ресурсів для придбання виробничих запасів, виплати заробітної плати та інше.
Сума дебіторської заборгованості та запасів покриває суму оборотних активів у нормативному значенні. Якщо провести правильну політику по управлінню дебіторською заборгованістю, то необхідну суму можна отримати із неї, а частину дебіторської спрямувати на покриття кредиторської заборгованості. Але для цього потрібно вибрати найбільш доцільні строки платежів та форми розрахунків із споживачами (попередня оплата, з відстрочкою платежу, по факту відвантаження продукції). Доцільним є надання відстрочки платежу споживачам, бо за рахунок цього збільшується обсяг реалізації, тобто прибуток (для стимулювання збуту в умовах високої конкуренції), але можливе виникнення додаткових витрат по залученню короткострокових банківських кредитів для компенсації дебіторської заборгованості (сплата банку відсотків за кредит).
Проаналізувавши фінансову структуру капіталу та зробивши оцінку структурних змін, можна сказати, що НВКФ”Енергія-Юг” має кредиторську заборгованість. Хоча підприємство і не бере короткострокові кредити у банку, що пояснюється досить високою обліковою ставкою НБУ та жорсткими умовами кредитування. Більшу частину об’єму кредиторської заборгованості складає заборгованість перед постачальниками, яка являє собою комерційний кредит, по якому не потрібне забезпечення та який майже безкоштовний.
Наявність кредиторської заборгованості не дуже вдало характеризує діяльність підприємства, але якщо сума власного капіталу із внутрішніх джерел є недостатньою, то іншого виходу немає - треба звертатись до зовнішніх джерел залучення. Це вимагає необхідність розробки емісійної політики підприємства. Основною метою цієї політики є залучення на фондовому ринку необхідного обсягу власних фінансових коштів в мінімально можливі строки.
Процес управління вартістю залученого капіталу за рахунок зовнішніх джерел характеризуються високим рівнем складності і потребує відповідної кваліфікації виконавців.
1. Як вже зазначалося, поряд з власним капіталом підприємства певну частину своїх фінансових ресурсів формує за рахунок позикового капіталу. За питомою вагою у складі залучених джерел фінансування значне місце займають банківські кредити, комерційний кредит та інші види кредитів. Необхідність кредиту як джерела поповнення фінансових ресурсів підприємства визначається характером кругообігу основних і оборотних активів.
Вартість внутрішньої кредиторської заборгованості при визначенні вартості капіталу враховується по нульовій ставці, тому що це безкоштовне фінансування підприємства за рахунок цього позикового капіталу. Але не можна збільшувати суму капіталу за рахунок цього джерела, бо якщо кошти затримуються на тривалий час в обігу і своєчасно не повертаються, це може стати причиною простроченої кредиторської заборгованості, що в кінці приведе до виплати штрафів, санкцій та погіршить фінансовий стан підприємства.
Таким чином, в результаті розглянутих варіантів можна сказати, що політика оптимізації структури капіталу спрямована на підвищення долі власного капіталу. А саме прибутку, через неможливість залучення кредитів. Але ж якщо взяти за мету підвищення рентабельності власного капіталу, то теоретично найкращий варіант – залучення позик. Але є обмеження по коефіцієнту платоспроможності, який не дозволяє збільшити позиковий капітал без збільшення оборотних активів. Збільшення питомої ваги оборотних активів дозволяє збільшити позиковий капітал та зменшити власний і зберегти платоспроможність. Рентабельність капіталу тим більша, чим нижче його сума і вище прибуток, а при заміні власного капіталу позиковим вона підвищується.
Проаналізувавши показники рентабельності, можна сказати, що аналіз показника рентабельності продажу свідчить про те, що НВКФ”Енергія-Юг” не отримує прибуток з однієї гривні продажу, аналіз показника рентабельності капіталу свідчить про падаючий попит на продукцію підприємства і про перенагромадження активів, аналіз показника рентабельності майна свідчить, що ефективність використання основних засобів підприємства знизилась з 3 % до 2% (негативна тенденція), рентабельності продукції знизилась з 14% до 8%
Підвищення рентабельності продукції забезпечується переважно зниженням собівартості одиниці продукції. Чим краще використовуються основні виробничі фонди, тим нижче фондомісткість, вище фондовіддача і в наслідок цього відбувається зростання показника рентабельності виробництва. При поліпшенні використання матеріальних обігових коштів знижується їхній розмір, що припадає на 1 гривню реалізованої продукції. Отже, чинники прискорення оборотності матеріальних оборотних коштів є одночасно чинниками росту рентабельності виробництва.
Проаналізувавши показники ліквідності НВКФ”Енергія-Юг” , можна зробити висновок, що коефіцієнт абсолютної ліквідності дуже низький. Його значення свідчить про те, що підприємство має низьку платоспроможність у середньостроковому періоді.
Коефіцієнт швидкої ліквідності теж має низьке значення, яке майже вдвічі нижче оптимального. На кінець періоду цей показник декілька збільшився за рахунок збільшення дебіторської заборгованості. А оскільки даний коефіцієнт має вирішальне значення для банків, так як характеризує ступінь надійності підприємства при поверненні кредитів, тенденція до збільшення свідчить на користь підприємству.
Тобто показники абсолютної і швидкої ліквідності набагато нижчі нормативних значень. Це визнано перевищенням темпів росту поточної заборгованості темпів росту ліквідних коштів підприємства.
Чистий оборотний капітал необхідний для підтримки фінансової стійкості підприємства, оскільки перевищення оборотних коштів над короткостроковими зобов'язаннями означає, що підприємство не тільки може погасити свої короткострокові зобов'язання, але і має резерви для розширення діяльності. Оптимальна сума чистого оборотного капіталу залежить від особливостей діяльності компанії, зокрема від її масштабів, обсягів реалізації, швидкості оборотності матеріальних запасів і дебіторської заборгованості. Недолік оборотного капіталу свідчить про нездатність підприємства вчасно погасити короткострокові зобов'язання. Значне перевищення чистого оборотного капіталу над оптимальною потребою свідчить про нераціональне використання ресурсів підприємства. Наприклад: випуск акцій чи одержання кредитів понад реальну потребу. НВКФ”Енергія-Юг” відбувається збільшення чистого оборотного капіталу, це вважається позитивною тенденцією.
По значенню коефіцієнта автономії можна судити на скільки НВКФ”Енергія-Юг” незалежно від позикового капіталу. Що говорить про ризик несплати боргів підприємства, ось чому останні намагаються збільшувати з року в рік абсолютну суму власного капіталу підприємства. Такі можливості є насамперед у добре функціонуючих підприємств. Маючи великі прибутки, вони намагаються утримати значну їх частину в обігу підприємства шляхом створення резервів з валового та чистого прибутку або прямого зачислення у власний капітал нерозподіленого прибутку. З отриманих даних можна сказати, що підприємство не залежить від зовнішнього фінансування.
Але щоб судити на скільки НВКФ”Енергія-Юг” незалежно від позичених коштів розглядається коефіцієнт співвідношення позичених і власних коштів. Він показує, яких коштів у підприємства більше - залучених чи власних. Чим більше коефіцієнт, тим більше залежність підприємства від залучених коштів. Допустимий рівень залежності визначається умовами роботи кожного підприємства і, в першу чергу, швидкістю обігу обігових коштів. Проаналізувавши цей показник, можна сказати, що на початок року на одну гривню власних коштів НВКФ”Енергія-Юг” мало 2 коп. запозичених коштів, а на кінець року - 23 коп. Щоб збільшити боргів у сукупному капіталі зводить нанівець фінансову незалежність підприємства. Проте водночас збільшуються джерела фінансування та можливості підвищення ефективності його діяльності. За певних умов кредити вигідно брати. Тут проявляється ефект так званого фінансового важеля, який виражають через відношення заборгованості до власного капіталу.
Важливою також є оцінка коефіцієнта реальної вартості основних засобів у майні підприємства. Цей коефіцієнт визначає рівень виробничого потенціалу підприємства, забезпеченість виробничого процесу засобами виробництва. Він є дуже важливим, якщо дане підприємство бажає встановити договірні відносини з новими партнерами – постачальниками або покупцями. Коефіцієнт реальної вартості майна у таких постачальників або покупців допоможе підприємству скласти уяву про їх виробничий потенціал та доцільність укладання договорів з ними з цієї точки зору. Аналіз цього показника показав, що рівень виробничого потенціалу НВКФ”Енергія-Юг”дуже високий.
. Підбиваючи підсумок, можна сказати, що комплексна оцінка фінансового стану НВКФ”Енергія-Юг” виявила проблеми стосовно його діяльності, але якщо керівники зможуть реалізувати всі вище приведені пропозиції, то дане підприємство буде мати стійкий фінансовий стан – запаси й витрати забезпечуються сумою власних оборотних коштів та довгостроковими позиковими джерелами.
Висновки
В роботі було розглянуто фінансову діяльність та фінансовий стан підприємства на прикладі НВКФ “Енергія-Юг”. Після опрацювання цієї теми, можна зробити наступні висновки:
- Реальні умови господарювання не сприяють прибуткованому функціонуванню малих підприємств. Держава поки що лише на словах підтримує підприємництво, а реально займається малим бізнесом недостатньо. Особливо бачимо недоскональність законодавства, відсутність зацікавленості в держорганів у становлені малих підприємств.
- Необхідно докорінно змінити ставлення до малих підприємств, особливо до тих, що справді виготовляють продукцію, виконують роботи, надають послуги, тобто беруть участь у збільшенні обсягу випуску продукції і створюють внутрішній валовий продукт.
Щоб успішно розвивалось підприємництво, необхідно розв’язати кілька основних проблем:
1. розробити законодавчо-нормативну базу прямої дії з функціонування малого бізнесу;
2. розв’язати проблему взаємозв’язку: державний чиновник – підприємець;
3. створити необхідні фінансові умови для можливості утворення нових малих підприємств у всіх галузях економіки за рахунок банківського пільгового кредитування, а також державного фінансування і кредитування на взаємовигідній основі;
4. розробити і впровадити у регіонах програму сприяння розвитку малого підприємництва відповідно до положень національної програми, оголошеної Законом України від 21.12.2000р.;
5. запровадити систему відстрочок податкових платежів чи нульового оподаткування залежно від характеру діяльності, галузі економіки, регіону, соціальної спрямованості бізнесу, фактичних результатів діяльності, термінів утворення підприємства, використовувати різні ставки і види податків.
Ефективне функціонування підприємств малого бізнесу, можливе тільки за загального сприятливого екеномічного, політичного, законодавчого клімату в країні.
Перелік використаних джерел
1. Закон України “Про підприємства в Україні” від 28.02.95
2. Закон України "Про бухгалтерський облік і фінансову звітність в Україні", затверджений наказом Мінфіну України від 16.07.99 № 996-ХIV
3. Положення (Стандарти) бухгалтерського обліку.
4. “Економіка підприємства”/за ред. Покропивного С.Ф. – Київ: КНЕІ, 2001р. – 528с.
5. Бойчик І.М., Харів П.С., Хопчан М.І., Піча Ю.В. “Економіка підприємства”. – Київ: Каравела; Львів: Новий світ, 2001р. – 298с.
6. Бутинець Ф.Ф., Малюга Н.М. “Бухгалтерський облік: облікова політика і план рахунків, стандарти і кореспонденція рахунків, звітність”. – Житомир: ЖІТІ, 2000р. – 480с.
7. Глущенко В.В., Лиущенко И.И. “Финансы”. – Москва :ТОО НПЦ Крылья, 1998г. – 416с.
8. Грабова Н.Н., Добровский В.Н. “Бухгалтерский учет в производственных и торговых предприятиях”. – Киев: А.С.К., 2000г.– 624с.
9. Замасло О.Т. “Вплив податкової політики держави на фінансову діяльність підприємства”// ж. “Фінанси України”. – Київ: Міністерство Фінансів України, 2002р. – с. 39-42.
10. Ковалева А.М. “Финансы”. – Москва: Финансы и статистика, 1999г. – 384с.
11. Котикова О.І. “Фінансові результати розвитку Миколаївщини”// ж. “Фінанси України”. – Київ: Міністерство Фінансів України, 2002р. – с. 30-33.
12. Кужельний В.М., Лінник В.Г. “Теорія бухгалтерського обліку”. – Київ: КНЕІ, 2001р. – 334с.
13. Наумова Л.Ю. “Розвиток малого та середнього підприємництва як фактор фінансової стабілізації в державі”// ж. “Фінанси України”. – Київ: Міністерство Фінансів України, 2001р. – с. 24-29.
14. Опарін В.М. “Фінанси”. – Київ: КНЕІ, 2001р. – 240с.
15. Партін Г.О., Загородній А.Г. “Облікова політика та її вплив на фінансові результати діяльності підприємства”// ж. “Фінанси України”. – Київ: Міністерство Фінансів України, 2001р. – с. 54-57.
16. Поліщук Н.В. “Інформаційне забезпечення регулювання результатів діяльності підприємства”// ж. “Фінанси України”. – Київ: Міністерство Фінансів України , 2002р. – с. 61-66.
17. Узунов В.М. “Фінансові аспекти розвитку підприємництва в Україні”// ж. “Фінанси України”. – Київ: Міністерство Фінансів України, 2001р. – с. 142-150.
18. Шакуна В.І., Мельник П.В., Попович В.М. “Правові основи підприємницької діяльності”. – Київ: Правові джерела, 1997р. – 780с.


