| Скачать .docx |
Дипломная работа: Анализ прибыли как одной из основных функций управления
Введение
Объектом исследования данной работы является анализ прибыли и основных направлений её использования.![]()
Данная тема достаточно хорошо разработана и рассмотрена такими авторами , как Любушин Н.П., Шеремет А. Д., Савицкая Г. В. , Пястолов С. М. , Ковалев В.В..
Главная задача предприятия в условиях рыночной экономики является всемерное удовлетворение потребностей народного хозяйства и граждан в его продукции, работах и услугах с высокими потребительскими свойствами и качеством при минимальных затратах, увеличение вклада в ускорение социально-экономического развития страны. Для осуществления своей главной задачи предприятие обеспечивает увеличение прибыли.
Прибыль является первоочередным стимулом к созданию новых или развитию уже действующих предприятий. Возможность получения прибыли побуждает людей искать более эффективные способы сочетания ресурсов, изобретать новые продукты, на которые может возникнуть спрос, применять организационные и технические нововведения, которые обещают повысить эффективность производства.
Прибыль - многозначная экономическая категория. От глубины ее познания и рациональности использования зависит эффективность коммерческого расчета, ценообразования и других экономических рычагов хозяйствования. Являясь источником производственного и социального развития, прибыль занимает ведущее место в обеспечении самофинансирования предприятий и объединений, возможности которых во многом определяется тем, насколько доходы превышают затраты.
Прибыль является показателем, наиболее полно отражающим эффективность производства, объем и качество произведенной продукции, состояние производительности труда, уровень себестоимости. В этом и состоит актуальность данной темы, так как на основе анализа показателей прибыли и рентабельности дается обобщающая оценка финансово-хозяйственной деятельности предприятия.
Тема прибыли и рентабельности особенно остра для российских предприятий, поскольку затяжной экономический кризис, составляющими которого являются высокие налоги и неплатежи, значительно обесценивают получаемые прибыли.
Вследствие выше перечисленного, анализ прибыли на предприятии сегодня становится чрезвычайно актуальным. Анализ прибыли позволяет выявить основные факторы ее роста, эффективное использование ресурсов, потенциальные возможности предприятия, а также определить влияние внешних и внутренних факторов на размер прибыли, порядок ее распределения.
Целью работы является получение целостного представления об анализе прибыли как одной из основных функций управления на материалах организации ОАО « Мурманский тарный комбинат» за 2004 год. За счет прибыли осуществляются финансирование мероприятий по научно-техническому и социально-экономическому развитию предприятий, увеличение фонда оплаты труда их работников.
Она является не только источником обеспечения внутрихозяйственных потребностей предприятий, но приобретает все большее значение в формировании бюджетных ресурсов, внебюджетных и благотворительных фондов.
Исходя из цели вытекают следующие основные задачи данного исследования:
1. раскрыть значение анализа прибыли, как одной из функций, характеризующей финансовый результат хозяйственной деятельности предприятия;
2. провести анализ состава и динамики балансовой прибыли;
3. факторный анализ прибыли от реализации;
4. проанализировать операционные и внереализационные доходы и расходы;
5. проанализировать формирование чистой прибыли и влияние налогов на прибыль;
6. дать оценку эффективности распределения прибыли на накопление и потребление;
7. раскрыть анализ влияния использования прибыли на финансовое положение предприятия.
Краткая характеристика предприятия ОАО « Мурманский тарный комбинат»
Тарный комбинат действует с 1932 г. Специализируется на выпуске картонной тары, металлической тары для рыбных, мясных, овощных консервов, вино - водочных и кондитерских изделий, банок для упаковки лакокрасочной продукции.
Открытое акционерное общество «Мурманский тарный комбинат» зарегистрировано Постановлением Администрации города Mypманска№ 1683 от 10.06.1999 г. Общество создано путем преобразования Товарищества с ограниченной ответственностью «Мурманский тарный комбинат» в соответствии с Законом РФ «об обществах с ограниченной ответственностью», является его правопреемником.
ОАО «МТК» имеет У став, расчетные счета в банках, эмблему, круглую печать, штампы, бланки со своим наименованием, товарный знак и другие реквизиты.
Юридический адрес: 183001, г. Мурманск, рыбный порт.
Целями деятельности общества являются расширение рынка товаров и услуг, а также извлечение прибыли.
Имущество ОАО «МТК» образуется за счет вкладов в уставной капитал, а также за счет иных источников, предусмотренных действующим законодательством. ОАО «МТК» осуществляет учет результатов работ, ведет оперативный, бухгалтерский и статистический учет по нормам, действующим в Российской Федерации.
Бухгалтерский учет ведется с применением журнально - ордерной формы учета согласно «Инструкции по применению единой журнально - ордерной формы счетоводства», утвержденной приказом Минфина СССР от 8 марта 1960 г. .N~ 63 с учетом Рекомендаций по применению учетных регистров бухгалтерского учета на предприятиях, приведенных в письме Минфина России от 24.09.92 г. Обработка информации ведется с применением ПК.
Исполнительным органом предприятия является генеральный директор, избранный советом директоров.
Общество самостоятельно планирует свою производственно хозяйственную деятельность, а также социальное развитие коллектива. Основупланов составляют договоры, заключаемые с потребителями продукции и услуг, а также поставщиками материально - технических и иных ресурсов. Реализация продукции, выполнение работ и предоставление услуг осуществляются по ценам и тарифам, устанавливаемым самостоятельно.
Бухгалтерский учет на ОАО «МТК» ведется в соответствии с Законом «О бухгалтерском учете», Положением по ведению бухгалтерского учета и бухгалтерской отчетности в РФ, ПЛаном счетов финансово - хозяйственной деятельности организации и Инструкцией по его применению, утвержденным приказом Минфина России от 31 октября 2000 года .N~ 94 н. Бухгалтерский учет ведется с применением журнально - ордерной формы учета согласно «Инструкции по применению единой журнально - ордерной формы счетоводства», утвержденной приказом Минфина СССР от 8 марта 1960 г. .N~ 63 с учетом Рекомендаций по применению учетных регистров бухгалтерского учета на предприятиях, приведенных в письме Минфина России от 24.09.92 г. Обработка информации ведется с применением ПК.
Конкурентная среда и доля на рынке
Сегодня ОАО «МТК» является несомненным лидером в производстве многокрасочной металлической упаковки России. Потребителям этой продукции являются сотни предприятий, расположенных почти на всей территории страны: от Минска до Красноярска, от Мурманска до Ставропольского края. Металлическая упаковка для кондитерских изделий комбината завоевала в конкурентной борьбе с производителями из Дании, Венгрии, Польши золотые медали на международных выставках в Новосибирске (1997 г.), Санкт-Петербурге (1998 г.), Москве (2001 г.). В 2002 году стал лауреатом конкурса «100 лучших товаров России». В 2003 году на выставках «Росупак - 2003» и «Люксупак-2003» продукция комбината награждена высшими наградами «Упаковка - Звезда России». ОАО «МТК» в 2003 году выпустил 6,1 млн. штук красочных металлических упаковок для кондитерской, чайной, ликероводочной продукции, новогодних подарков и сувениров; 1,9 млн. штук банок под хим. продукцию. В 2004 году планируется выпустить 7 млн. штук кондитерских упаковок.
Рынок сбыта постоянно расширяется. Значительно увеличился ассортимент выпускаемой продукции - банки различных форм и объемов.
Глава 1 Анализ формирования прибыли предприятия
ОАО « Мурманский тарный комбинат»
Финансовые результаты деятельности предприятия характеризуются суммой полученной прибыли и уровнем рентабельности. Прибыль предприятии получают главным образом от реализации продукции, а также от других видов деятельности (сдача в аренду основных фондов, коммерческая деятельность на финансовых и валютных биржах и т.д.).
Прибыль - это часть чистого дохода, который непосредственно получают субъекты хозяйствования после реализации продукции. Только после продажи продукции чистый доход принимает форму прибыли.[1] Количественно она представляет собой разность между чистой выручкой (после уплаты налога на добавленную стоимость, акцизного налога и других отчислений из выручки в бюджетные и внебюджетные фонды) и полной себестоимостью реализованной продукции. Значит, чем больше предприятие реализует рентабельной продукции, тем больше получит прибыли, тем лучше его финансовое состояние. Поэтому финансовые результаты деятельности следует изучать в тесной связи с использованием и реализацией продукции.
Объем реализации и величина прибыли, уровень рентабельности зависят от производственной, снабженческой, маркетинговой и финансовой деятельности предприятия, иначе говоря, эти показатели характеризуют все стороны хозяйствования.
Основными задачами анализа финансовых результатов деятельности являются:
-систематический контроль за выполнением планов реализации продукции и получением прибыли;
-определение влияния как объективных, так и субъективных факторов на финансовые результаты;
-выявление резервов увеличения суммы прибыли и рентабельности;
-оценка работы предприятия по использованию возможностей увеличения прибыли и рентабельности;
-разработка мероприятий по использованию выявленных резервов.
Основными источниками информации при анализе финансовых результатов прибыли служат накладные на отгрузку продукции, данные аналитического бухгалтерского учета по счетам финансовых результатов, финансовой отчетности ф.2 «Отчет о прибылях и убытках», а также соответствующие таблицы бизнес -плана предприятия.
На предприятиях проводится итоговый (ретроспективный) и прогнозный (перспективный) анализ прибыли.
Цель итогового анализа: дать количественную оценку причин, вызвавших изменение прибыли, налоговых платежей из прибыли в бюджет, выявить влияние издержек на изменение прибыли или влияния на прибыль изменения цен, вызванных рыночной конъюнктурой.
В условиях рынка руководители предприятий больше склонны проводить прогнозный анализ прибыли, т.е. сопоставлять различные варианты получения прибыли в будущем, нежели затрачивать время на анализ результатов фактического исполнения путем их сравнения со стандартным решением или оценкой прибыли в динамике.
1.1 Анализ состава и динамики балансовой прибыли
В процессе анализа используются следующие показатели прибыли:
маржинальная прибыль - это разность между выручкой (нетто) и прямыми производственными затратами по реализованной продукции;
прибыль от реализации продукции, работ и услуг представляет собой разность между суммой маржинальной прибыли и постоянными расходами отчетного периода;
балансовая (валовая) прибыль включает финансовые результаты от реализации продукции, работ и услуг, доходы и расходы от финансовой и инвестиционной деятельности, внереализационные доходы и расходы;
налогооблагаемая прибыль - это разность между балансовой прибылью и суммой прибыли, облагаемой налогом на доход (по ценным бумагам и от долевого участия в совместных предприятиях), а также суммы льгот по налогу на прибыль в соответствии с налоговым законодательством, которое периодически пересматривается;
чистая (нераспределенная) прибыль - это та прибыль, которая остается в распоряжении предприятия после уплаты всех налогов, экономических санкций и прочих обязательных отчислений;
капитализированная (реинвестированная) прибыль - это часть нераспределенной прибыли, которая направляется на финансирование прироста активов, т.е. в фонд накопления;
потребляемая прибыль - та ее часть, которая расходуется на выплату дивидендов, персоналу предприятия или на социальные программы.
В процессе анализа необходимо изучить состав балансовой прибыли, ее структуру, динамику и выполнение плана за отчетный год. При изучении динамики прибыли следует учитывать инфляционные факторы изменения ее суммы. Для этого выручку корректируют на средневзвешенный индекс роста цен на продукцию предприятия в целом по отрасли, а затраты по реализованной продукции уменьшают на их прирост в результате повышения цен на потребленные ресурсы за анализируемый период
Таблица № 1.1
Анализ состава, динамики и выполнения плана прибыли за отчетный год
| Показатель |
За аналогичный период предыдущего года |
За отчетный период |
Прибыль фактическая в ценах на начало года |
||||
| Сумма, тыс.руб |
Доля, % |
План |
Факт |
||||
| Сумма, тыс.руб |
Доля, % |
Сумма, тыс.руб |
Доля, % |
||||
| Прибыль от реализации продукции, услуг |
14500 |
96,66 |
17900 |
96,8 |
19296 |
96,48 |
15450 |
| Прочие операционые доходы |
710 |
4,7 |
780 |
4,2 |
970 |
4,85 |
600 |
| Прочие опера ционные расходы |
-160 |
-1,1 |
-180 |
-1,0 |
-220 |
-1,1 |
--- |
| Внереализацион ные доходы |
50 |
0,3 |
- |
- |
80 |
0,4 |
650 |
| Внереализацион ные расходы |
-100 |
-0,66 |
- |
- |
-1 26 |
-0,63 |
-105 |
| Общая сумма прибыли |
15000 |
100 |
18500 |
100 |
20000 |
100 |
16000 |
| Налоги из прибыли ли прибыли |
5250 |
35,0 |
6300 |
34,05 |
6800 |
34,0 |
- |
| Чистая(нераспределенная) прибыль |
9750 |
65,0 |
12200 |
65,95 |
13200 |
66,0 |
- |
Как показывают данные таблицы, план по балансовой прибыли перевыполнен на 8.1 %. Темп ее прироста на начало года в сопоставимых ценах составляет 6.6%. Наибольшую долю в балансовой прибыли занимает прибыль от реализации товарной продукции (96,48%). Удельный вес операционных результатов составляет всего 4,85%, но с развитием рыночных отношений он может быть значительно большим.
После этого следует основательно изучить факторы изменения каждой составляющей общей суммы прибыли.
Кроме того, следует иметь в виду, что размер прибыли во многом зависит и от учетной политики, применяемой на анализируемом предприятии. Закон о бухгалтерском учете и другие нормативные документы предоставляют субъектам хозяйствования самостоятельно выбирать некоторые методы учета, способные существенно повлиять на формирование финансовых результатов.
Действующие нормативные акты допускают следующие методы регулирования прибыли субъектом хозяйствования.
1. Изменение стоимостных границ отнесения имущества к основным средствам или к оборотным активам, что влечет за собой изменение суммы текущих затрат и прибыли в связи с различными способами отнесения их на затраты.
2.Изменение метода переоценки основных средств: путем индексации первоначальной стоимости с использованием среднестатистических коэффициентов пересчета или прямым пересчетом первоначальной стоимости в цены, сложившуюся на дату переоценки на соответствующие виды основных средств. От выбранного метода переоценки основных средств зависят фонд переоценки имущества, сумма амортизационных отчислений и как результат - величина прибыли и собственного капитала предприятия.
3.Использование метода ускоренной амортизации по активной части основных средств также приводит к увеличению себестоимости продукции и уменьшению суммы прибыли, а следовательно и налогов на прибыль.
4.Изменение сроков погашения расходов будущих периодов, сокращение которых ведет к росту себестоимости продукции отчетного периода
5. Изменение метода определения прибыли от реализации продукции (по моменту отгрузки продукции или моменту ее оплаты) и другие методы.
Таким образом, учетная политика, формируемая администрацией, открывает большой простор для выбора методологических приемов, способных радикально менять всю картину финансовых результатов и финансового состояния предприятия.
Поэтому в процессе анализа необходимо установить соответствие принятой учетной политики предприятия действующим нормативным положениям по ведению бухгалтерского учета и определить влияние изменений в учетной политике на сумму балансовой, налогооблагаемой и чистой прибыли, а также на размер налогов и сумму выплаченных дивидендов акционерам. Для этого следует отразить в специальной таблице уровень перечисленных показателей до и после изменения каждого метода учета политики субъекта хозяйствования.
1.2 Факторный анализ прибыли от реализации
Основную часть прибыли предприятия получают от реализации продукции и услуг. В процессе анализа изучаются динамика, выполнение плана прибыли от реализации продукции и определяются факторы изменения ее суммы.
Прибыль от реализации продукции в целом по предприятию зависит от четырех факторов первого уровня соподчиненности: объема реализации продукции (VPП); структуры продаж (Vdj); себестоимости единицы продукции или услуг (Сi) и уровня среднереализационных цен (Цi)
Ее факторная модель выглядит следующим образом:
П = ∑ [VPПi * (Цi – Ci)] = ∑ [VPП общ. * Yd i ( Цi – Ci)]
Объем реализации продукции может оказывать положительное и отрицательное влияние на сумму прибыли. Увеличение объема продаж рентабельной продукции приводит к пропорциональному увеличению прибыли. Если же продукция является убыточной, то при увеличении объема реализации происходит уменьшение суммы прибыли.[2]
Структура продаж также может оказывать как положительное, так и отрицательное влияние на сумму прибыли. Если увеличится доля более рентабельных видов продукции в общем объеме ее реализации, то сумма прибыли возрастет и, наоборот, при увеличении удельного веса низкорентабельной или убыточной продукции общая сумма прибыли уменьшится.
Себестоимость продукции и прибыль находятся в обратно пропорциональной зависимости: снижение себестоимости приводит к соответствующему росту суммы прибыли и наоборот.
Изменение уровня среднереализационных цен и величина прибыли находятся в прямо пропорциональной зависимости: при увеличении уровня отпускных цен сумма прибыли возрастает, и наоборот.
Расчет влияния этих факторов на сумму прибыли можно выполнить способом цепной подстановки, используя данные таблицы № 1.2
Таблица № 1.2
Исходные данные для факторного анализа прибыли от реализации продукции, тыс.руб.
| Показатель |
За аналогичный период предыдущего года |
Данные за аналогичный период, пересчитанные на объем продаж отчетного периода |
За отчетный период |
| Выручка (нетто) от реализации продукции, товаров, услуг (В) |
∑ (VPП iо * Цiо) =83414 |
∑(VPПi1 * Цiо) =81032 |
∑(VPПi1 *Цi1) =97 120 |
| Полная себестоимость реализованной продукции (3) |
∑ (VPП iо * Сiо) = 66960 |
∑(VPПi1 * Сiо) = 65534 |
∑(VPПi1 *Сi1) = 77824 |
| Прибыль (П) |
16454 |
15498 |
19296 |
Сначала нужно найти сумму прибыли при объеме продаж на конец года и базовой величине остальных факторов. Для этого следует рассчитать индекс объема реализации продукции, а затем сумму прибыли скорректировать на его уровень.
Если продукция однородна по своему составу, индекс объема реализации продукции исчисляют путем соотношения фактического объема продаж на конец года к объему продаж на начало года в натуральном или условно-натуральном измерении
I pn = VPП1: VPП
Когда продукция неоднородна по своему составу, индекс продаж рассчитывают отношением объема продаж на конец года в оценке по себестоимости на начало года к объему продаж на начало года в той же оценке:

На анализируемом предприятии продукция однородна по своему составу, поэтому индекс продаж рассчитан по физическому объему продаж: Пусть VРП1=18405, а VРП 0 =20500, получим:
I pn = VPП1:VPП0 = 18405 : 20500 = 0,9
Если бы величина остальных факторов не изменилась, то сумма прибыли должна была бы уменьшиться на 10% и составить 14813 тыс. руб.(16459*0,9).
Затем следует определить сумму прибыли при объеме и структуре реализованной продукции на конец года, но при базовой себестоимости и отпускных ценах. Для этого необходимо из условной выручки вычесть условную сумму затрат:
∑(VPПi1 *Цi1) - ∑(VPПi1 * Сiо) = 97120-65534 = 31586 тыс. руб.
По данным таблицы №1.3 можно установить, как изменилась сумма прибыли за счет каждого фактора:
- объема реализации продукции
∆ Пvрп = Пусл1 - П0 = 13930-16454 = -2524тыс.руб.
- структуры реализованной продукции
∆Пстр =Пусл2 – Пусл1 =15498 - 13930 = +1568 тыс.руб.
- отпускных цен
∆Пц=Пусл3-Пусл2=31586–15498= +16088тыс.руб.
- себестоимости реализованной продукции
∆ Пс =П1 – Пусл3 =19296-31586= -12290 тыс.руб.
Итого +2842тыс.руб.
Таблица № 1.3
Расчет влияния факторов первого уровня на изменение суммы прибыли от реализации продукции в целом по предприятию:
| Показатель прибыли |
Факторы |
Порядок расчета |
Прибыль, тыс.руб. |
|||
| Объем продаж |
Структура продаж |
Цены |
Себестоимость |
|||
| На начало года |
to |
to |
to |
to |
В 0-З 0 |
16454 |
| Усл.1 |
t 1 |
to |
to |
to |
П0 * Iрп |
13930 |
| Усл.2 |
t 1 |
t 1 |
to |
to |
В усл-З усл |
15498 |
| Усл. З |
t 1 |
t 1 |
t 1 |
to |
В1-З усл |
31586 |
| На конец года |
t 1 |
t 1 |
t 1 |
t 1 |
В1-31 |
19296 |
Результаты расчетов показывают, что увеличение прибыли обусловлено в основном ростом среднереализационных цен. Росту суммы прибыли на 1568 тыс.руб. способствовали также изменения в структуре товарной продукции, так как в общем объеме реализации увеличился удельный вес высокорентабельных видов продукции. В связи с повышением себестоимости продукции сумма прибыли уменьшилась на 12290 тыс.руб.
Следует проанализировать также выполнение плана и динамику прибыли от реализации отдельных видов продукции, величина которой зависит от трех факторов первого порядка:-объема реализации продукции;
-себестоимости продукции;-среднереализационных цен.
Факторная модель прибыли от реализации отдельных видов продукции имеет вид: П= VРПi* (Цi-Ci)
Методика расчета влияния факторов способом абсолютных разниц:
∆П vрп= (VРПi- VРПо)* (Цо-Со)
∆Пц=(Ц1-Цо)*VРП1
∆Пс= - (С1-Со)* VPП1
Аналогичные расчеты проводятся по каждому виду продукции, что позволяет установить, как изменилась сумма прибыли по каждому виду продукции и из-за чего: какие факторы оказали положительное влияние, а какие – отрицательное, и в какой степени.
После этого необходимо детально изучить причины изменения объема продаж, цены и себестоимости.
1.3 Анализ прибыли по системе «директ-костинг»
Рассмотренные факторные модели, лежащие в основе анализа прибыли от реализации, не учитывают различий в характере зависимости издержек от объема выручки или выпуска продукции. Предполагается, что увеличение объема продаж (выпуска продукции) связано всегда с ростом издержек, и себестоимость продукции изменяется в меру росту или снижения объема выпуска продукции. Однако в меру роста объема выпуска изменяется только часть затрат, называемых переменными издержками, поэтому увеличение объемов производства приводит к снижению затрат на рубль или единицу продукции (эффект масштаба).
Анализ зависимости прибыли от переменных и постоянных издержек позволяет расширить возможности управленческого анализа.
Методика управленческого анализа прибыли требует ведения раздельного учета переменных и постоянных издержек, прямых и косвенных (основных или накладных) расходов. Система учета прямых затрат носит название «директ-костинг».
Система «директ-костинг» - атрибут рыночной экономики. В ней достигнута высокая степень интеграции учета, анализа и обоснования управленческих решений. Главное внимание в этой системе уделяется изучению поведения затрат ресурсов в зависимости от изменения объемов производства.
Разделение затрат в системе «директ-костинг» позволяет определить важный в аналитических расчетах показатель - маржинальный доход.
Маржинальный доход представляет собой разность между выручкой от реализации и переменными затратами, или сумму постоянных расходов и прибыли от реализации:
МД=П+ Спост , где
М Д - маржинальный доход,
Спост - постоянные издержки.
Факторная модель прибыли в системе «директ-костинг» принимает вид:
П = МД – С пост
Из этой формулы следует, что предприятие начнет получать прибыль только после того, как возместит постоянные затраты за счет дохода от реализации определенного объема выпускаемой продукции. Выручки от продаж должно хватить для покрытия переменных расходов и образования прибыли.
В свою очередь МД=N- С пер, где
Спер - переменные издержки,
N- выручка
или МД=Q * р – Спер * Q = Q (p - С пер), где
Q- количество реализованной продукции,
Р- цена.
Такая факторная модель позволяет определить влияние количества реализованных товаров, средней цены, средних переменных издержек на единицу продукции и постоянных издержек на маржинальный доход.
Та же модель может применяться при анализе прибыли по каждому виду изделий. Применительно к конкретному виду изделий маржинальный доход характеризует вклад i-го изделия в возмещение постоянных затрат.
При проведении внешнего анализа или экспресс-анализа прибыли на основе маржинального дохода по формулам МД=П+ Спост и
П= МД- С пост может применяться следующая факторная модель:

Углубление анализа в направлении изучения факторов увеличения издержек и структурных сдвигов в номенклатуре реализуемой продукции позволит установить причины снижения прибыли и разработать конкретные управленческие решения по формированию ассортиментного портфеля и повышению эффективности использования экономического потенциала.
Основным фактором повышения эффективности производственного потенциала является рост объема выпуска и реализации от единицы используемых ресурсов.
Влияние прироста объема реализации на прибыль зависит от соотношения переменных и постоянных издержек и измеряется с помощью показателя, который носит название «эффект операционного рычага».
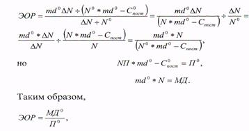
Эффект операционного рычага показывает, на сколько процентных пунктов увеличивается прибыль при изменении выручки на 1 процентный пункт, т.е.:
ЭОР = (∆ П : По) : (∆ N :Nо)
Выразив прибыль через маржинальный доход и постоянные издержки, получить П=МД-Спост в свою очередь MД=N*md,
где md - маржинальный доход на 1 рубль выручки,
тогда П=N*md - С пост.
Подставив выражение П=N*md - Спост в выражение
Получим:(N * md - Cпост ) = (Nl *mdl – Спост )- (N0 * md° - С°дост )
Считая удельный маржинальный доход и постоянные издержки неизменными (при условии элиминирования их влияния), получим:
∆П= md*∆N, отсюда:

т.е. операционный рычаг равен отношению маржинального дохода к прибыли.
Рассмотренный метод расчета влияния выручки на прибыль позволяет оценить изменение прибыли в результате изменения объема выпуска и реализации продукции при неизменном соотношении переменных и постоянных издержек как за отчетный период, так и при составлении бюджета по прибыли на планируемый период. С помощью операционного рычага оценивается «чувствительность» прибыли к изменению выручки. Чем выше значение операционного рычага, тем выше «чувствительность», т.е. тем больший прирост прибыли обеспечивает один процент прироста выручки. В то же время операционный рычаг является одним из показателей предпринимательского риска. Чем выше значение рычага, тем выше степень предпринимательского риска, так как при высоком значении операционного рычага снижение объема продаж на один процент приводит к многократному понижению прибыли[3] .
Величина операционного рычага зависит от соотношения переменных и постоянных издержек. Чем выше доля постоянных затрат, тем больше разница между маржинальным доходом и прибылью, тем соответственно выше соотношение между этими показателями. Таким образом, предприятие, имеющее в составе своего имущества высокую долю основных фондов, с эксплуатацией и содержанием которых связаны в основном постоянные издержки, подвержено высокому предпринимательскому риску. Причем чем ближе к точке безубыточности работает предприятие, тем значительнее будет влияние изменения продаж на прибыль, что вызывает необходимость постоянного контроля за масштабом производственной деятельности.
1.4 Анализ операционных и внереализационных доходов и расходов
Размер прибыли в значительной степени зависит от финансовых результатов деятельности, не связанных с реализацией продукции. Это прежде всего операционные и внереализационные доходы и расходы.
К операционным доходам относятся проценты к получению по облигациям, депозитам, по государственным ценным бумагам, доходы от участия в других организациях, доходы от реализации основных средств и иных активов и т.п.
Операционные расходы включают выплату процентов по облигациям, акциям, за предоставление организации в пользование денежных средств (кредитов, займов).
Основными видами ценных бумаг являются акции, облигации внутренних государственных и местных займов, облигации хозяйствующих субъектов (акционерных обществ, коммерческих банков), депозитные сертификаты, казначейские, банковские и коммерческие векселя и др.
Доход держателя акций складывается из суммы дивиденда и прироста капитала, вложенного в акции вследствие роста их цены. Сумма дивиденда зависит от количества акций и уровня дивиденда на одну акцию, величина которого определяется уровнем рентабельности акционерного предприятия, налоговой и амортизационной политикой государства, уровнем процентной ставки за кредит и т.д. В процессе анализа изучается динамика дивидендов, курса акций, чистой прибыли, приходящейся на одну акцию, устанавливаются темпы их роста или снижения.
Доход от других ценных бумаг (облигаций, депозитных сертификатов, векселей) зависит от количества приобретенных облигаций, сберегательных сертификатов, векселей, их стоимости и уровня процентных ставок.
В процессе анализа изучают динамику и структуру доходов по каждому виду ценных бумаг.
Таблица №1.4
Состав и динамика доходов от ценных бумаг
| Вид ценных бумаг |
На начало года |
На конец года |
||||||
| Кол-во |
Ст-сть, тыс. руб. |
Доход, тыс. руб. |
Удельный вес, % |
Кол-во |
Ст-сть, тыс. руб. |
Доход, тыс. руб. |
Удельный вес, % |
|
| Акции |
200 |
2000 |
300 |
85,7 |
270 |
2700 |
432 |
93,5 |
| Облигации |
50 |
500 |
50 |
14,3 |
30 |
300 |
30 |
6,5 |
| И т.д. |
||||||||
| Итого |
- |
2500 |
350 |
100 |
- |
3000 |
462 |
100,0 |
Доходы от акций на конец года увеличились на 132 тыс.руб., в том числе на 105 тыс.руб. за счет увеличения их количества и на 27 тыс. руб. за счет уровня дивиденда на одну акцию. Доходы от 10%-ных облигаций снизились в связи с уменьшением их количества, так как они приносят предприятию меньший доход на рубль инвестированного капитала.
Величина прибыли (убытка) от реализации основных средств и прочих материальных активов зависит от количества проданного имущества, его балансовой стоимости и цены реализации. При этом нужно учитывать не только прямой финансовый результат, но и эффект от ускорения оборачиваемости капитала.
Внереализационные доходы и расходы - это безвозмездно полученные (переданные) активы; прибыль (убытки) прошлых лет, выявленные в отчетном году; курсовые разницы по операциям в иностранной валюте; полученные и выплаченные пени, штрафы и неустойки; убытки от списания безнадежной дебиторской задолженности, по которой истекли сроки исковой давности; убытки от стихийных бедствий и т.д.[4]
В процессе анализа изучаются состав, динамика, выполнение плана и факторы изменения суммы полученных убытков и прибыли по каждому конкретному случаю.
Убытки от выплаты штрафов возникают в связи с нарушением отдельными службами договоров с другими предприятиями, организациями и учреждениями. При анализе устанавливаются причины невыполнения обязательств, принимаются меры для предотвращения допущенных ошибок.
Изменение суммы полученных штрафов может произойти не только в результате нарушения договорных обязательств поставщиками и подрядчиками, но и по причине ослабления финансового контроля со стороны предприятия в отношении их. Поэтому при анализе данного показателя следует проверить, во всех ли случаях нарушений договорных обязательств поставщикам были предъявлены соответствующие санкции.
Убытки от списания безнадежной дебиторской задолженности возникают обычно на тех предприятиях, где постановка учета и контроля за состоянием расчетов находится на низком уровне. Прибыли (убытки) прошлых лет, выявленные в текущем году, также свидетельствуют о недостатках бухгалтерского учета.
В заключение анализа разрабатываются конкретные мероприятия, направленные на предупреждение и сокращение убытков и потерь от внереализационных операций и увеличение прибыли от долго- и краткосрочных финансовых вложений.
1.5 Анализ рентабельности предприятия
Рентабельность - это относительный показатель, характеризующий уровень доходности бизнеса. Показатели рентабельности характеризуют эффективность работы предприятия в целом, доходность различных направлений деятельности (производственной, коммерческой, инвестиционной и т.д.) они более полно, чем прибыль, характеризуют окончательные результаты хозяйствования, потому что их величина показывает соотношение эффекта с наличными или потребленными ресурсами. Их используют для оценки деятельности предприятия и как инструмент в инвестиционной политике и ценообразовании[5] .
Показатели рентабельности можно объединить в несколько групп:
1. показатели, характеризующие окупаемость издержек производства
и инвестиционных проектов;
2. показатели, характеризующие рентабельность оборота;
3.показатели, характеризующие доходность капитала и его частей
Рентабельность производственной деятельности (окупаемость издержек) (Rз) исчисляется путем отношения прибыли от реализации (Прп) к сумме затрат по реализованной продукции (3рп ):
Rз = П рп / Зрп
Она показывает, сколько предприятие имеет прибыли с каждого рубля, затраченного на производство и реализацию продукции. Может рассчитываться в целом по предприятию, по отдельным его сегментам и видам продукции.
Аналогично определяется окупаемость инвестиционных проектов: полученная или ожидаемая сумма прибыли от проекта относится к сумме инвестиций в данный проект.
Рентабельность оборота (коммерческая маржа) (Коб) рассчитывается делением прибыли от реализации продукции, работ и услуг на сумму полученной выручки (В). Характеризует эффективность производственной и коммерческой деятельности: сколько прибыли имеет предприятие с рубля продаж. Широкое применение этот показатель получил в рыночной экономике. Рассчитывается в целом по предприятию и отдельным видам продукции: Rоб = П рп / В рп
Рентабельность (доходность) капитала исчисляется отношением балансовой или чистой прибыли к среднегодовой стоимости всего инвестированного капитала (KL) или отдельных его слагаемых: собственного (акционерного), заемного, перманентного, основного, оборотного, операционного капитала и т.д.:
Rkl= Общая сумма прибыли до налогообложения (или сумма чистой прибыли) / Среднегодовая сумма капитала (или отдельных его частей)
В процессе анализа следует изучить динамику перечисленных показателей рентабельности, выполнение плана по их уровню и провести межхозяйственные сравнения с предприятиями-конкурентами, после чего определить факторы, формирующие их уровень.
Уровень рентабельности производственной деятельности (окупаемость затрат), исчисленный в целом по предприятию, зависит от трех основных факторов первого порядка:
-изменение структуры продаж;
-уровня себестоимости реализованной продукции;
-средних цен реализации.
Факторная модель этого показателя имеет вид:
|
|
Расчет влияния факторов первого порядка на изменение уровня рентабельности в целом по предприятию можно выполнить способом цепной подстановки по данным таблицы № 1.1 и №1.2:

Общее изменение уровня рентабельности:
∆R общ= R1- R0 =24.8 – 24.6 =+ 0.2%
в том числе за счет:
объема продаж ∆R VРП= Rуслl- R0 =24.6 -24.6 =0
структуры продаж ∆Ryд=Rусл2- Rусл 1=23,6-24.6 = -1%
отпускных цен ∆Rц= Rycл3- Rycл 2 =48,2-23,6 =+24,6%
себестоимости продукции ∆R c= R1- Ryсл3 =24.8-48,2 =-23.4%
Далее следует сделать факторный анализ рентабельности по каждому виду продукции. Уровень рентабельности отдельных видов продукции зависит от изменения среднереализационных цен и себестоимости единицы продукции:

Расчет влияния факторов производится способом цепной подстановки:

Результаты расчетов покажут, какие виды продукции на предприятии более доходные, как изменился уровень рентабельности, и какие факторы на это повлияли.
После этого необходимо более детально изучить причины изменения среднего уровня цен и способом пропорционального деления рассчитать их влияние на уровень рентабельности:

Нужно установить также, за счет каких факторов изменилась себестоимость единицы продукции, и аналогичным образом определить их влияние на уровень рентабельности:

Такие расчеты производятся по каждому виду продукции (услуг), что позволяет точнее оценить эффективность операционной деятельности и полнее выявить внутрихозяйственные резервы роста рентабельности на анализируемом предприятии.
Примерно таким же образом производится факторный анализ рентабельности оборота. Детерминированная факторная модель этого показателя, исчисленного в целом по предприятию, имеет следующий вид:
Зная, из-за каких факторов изменились прибыль и выручка от реализации продукции, можно определить их влияние на изменение уровня рентабельности, последовательно заменяя базовый уровень каждого фактора данной модели на фактический отчетного периода.
Уровень рентабельности продаж отдельных видов продукции зависит от среднего уровня цены и себестоимости изделия:
![]()
Аналогично осуществляется факторный анализ рентабельности капитала. Общая сумма прибыли зависит от объема реализованной продукции (VPП), ее структуры (Удi), себестоимости (Сi), среднего уровня цен (Цi) и финансовых результатов от прочих видов деятельности, не связанных с реализацией продукции и услуг (ВФР).
Среднегодовая сумма основного и оборотного капитала (KL) зависит от объема продаж и скорости оборота капитала (коэффициента оборачиваемости (Коб), который определяется отношением выручки к среднегодовой сумме основного и оборотного капитала. Чем быстрее оборачивается капитал на предприятии, тем меньше его требуется для обеспечения запланированного объема продаж. И наоборот, замедление оборачиваемости капитала требует дополнительного привлечения средств для обеспечения того же объема производства и реализации продукции.
Взаимосвязь названных факторов с уровнем рентабельности капитала можно записать в виде следующей модели:
Таблица № 1.5
Исходные данные для факторного анализа рентабельности совокупного капитала, тыс. руб.
| Показатель |
На начало года |
На конец года |
| Прибыль от реализации |
16454 |
19296 |
| Внереализационные финансовые результаты |
2783 |
3653 |
| Общая сумма брутто-прибыли |
18260 |
22250 |
| Среднегодовая сумма основного и оборот- ного капитала |
41700 |
53955 |
| Выручка от реализации продукции |
83414 |
97120 |
| Коэффициент оборачиваемости капитала |
2,0 |
1,8 |
На основании данных табл. № 1.2, 1.3 и 1.5 произведем расчет влияния факторов способом цепной подстановки

Аналогично Rусл1=45,1%;R усл2=70,8%; Rусл3=44,0%;Rусл4 =45,8%;
R 1 =41,2%.
Общее отклонение от плана по уровню рентабельности капитала составляет:
∆RОбщ. *=R1 -R0 =41.2- 46.1 =-4.9%
В том числе за счет
Структуры продаж ∆Ryд = R усл1 -R 0 = 45,1-46.1 = -1%
Отпускных цен ∆Rц = R усл2 -R усл1 = 70,8-45, 1=+25,7% Себестоимости продукции ∆Rс = R усл3 -R усл2 = 44,0-70, 8=-26,8%
Внереализационных финансовых результатов ∆Rвфp= R усл4 — R усл3 = 45,8-44,0=+1,8%
Коэффициента оборачиваемости капитала ∆Rкоб= R 1 — R усл4 = 41,2- 45,8=-4,6%
Таким образом, уровень рентабельности совокупного капитала снизился в основном за счет роста себестоимости продукции и замедления оборачиваемости средств.
При углубленном анализе необходимо изучить влияние факторов второго уровня, от которых зависит изменение среднереализационных цен, себестоимости продукции и внереализационных результатов.
Если рентабельность капитала рассчитывается по чистой прибыли, то при ее факторном анализе в числителе добавляется налоговый корректор
( 1-Кн), где Кн - коэффициент налогообложения (отношение всех налогов из прибыли к общей сумме балансовой прибыли).
Глава 2 Анализ распределения и использования прибыли на
Предприятии ОАО « Мурманский тарный комбинат»
Для анализа используются закон о налогах и сборах, взимаемых в бюджет, инструктивные и методические указания Министерства финансов, устав предприятия, а также данные отчета о прибылях и убытках, приложения к балансу, расчетов налога на имущество, на прибыль, на доходы и др[6] .
Одна часть общей суммы брутто-прибыли в виде налогов и сборов поступает в бюджет государства и используется на нужды общества. Оставшаяся сумма -чистая прибыль, используется на выплату дивидендов акционерам предприятия, на расширение производства, материальное поощрение работников, пополнение собственного оборотного капитала и т.д.
В процессе анализа необходимо изучить факторы изменения величины налогооблагаемой прибыли, суммы выплаченных дивидендов, процентов, налогов из прибыли, размера чистой прибыли, отчислений в фонды предприятия[7] .
2.1 Анализ налогооблагаемой прибыли
Для налоговых органов большой интерес представляет налогооблагаемая прибыль, так как от этого зависит сумма налога на прибыль, а соответственно и сумма чистого дохода.
Для определения налогооблагаемой прибыли необходимо из суммы валовой прибыли вычесть
1.доход предприятия от ценных бумаг, долевого участия в совместных предприятиях и других внереализационных операций, облагаемый налогом по специальным ставкам и удерживаемый у источника его выплаты;
2.прибыль, по которой установлены налоговые льготы в соответствии с действующим налоговым законодательством.
Таблица № 2.1
Расчет налогооблагаемой прибыли, тыс.руб.
| Показатель |
План |
Факт |
Отклонение |
| 1 .Прибыль от реализации продукции и услуг |
17900 |
19296 |
+1396 |
| 2. Сальдо операционных доходов и расходов |
600 |
750 |
+ 150 |
| 3. Внереализационные финансовые результаты |
- |
-46 |
-46 |
| 4. Балансовая сумма прибыли 5.Увеличение (+),умен.(-) суммы прибыли в результате ее корректировки для нужд налогообложения в соответствии с установленными инструкциями 6. Прибыль, подлежащая налогообложению 7. Прибыль от ценных бумаг и других внереализационных операций, облагаемая по специальным ставкам 8.Льготы по налогу на прибыль 9. Налогооблагаемая прибыль (п.6 – п7 -п8) |
18500 120 18620 360 3460 14800 |
20000 150 20150 462 3668 16020 |
+1500 +30 +1530 +102 +208 +1220 |
Данные таблицы показывают, что фактическая сумма налогооблагаемой прибыли выше плановой на 1220 тыс.руб. на изменение ее суммы влияют факторы, формирующие величину балансовой прибыли ,а также показатели 5,7 и 8 таблицы, вычитаемые из балансовой прибыли при расчете ее величины. Используя данные факторного анализа прибыли от реализации продукции, внереализационных финансовых результатов, а также данные таблицы, мы можем определить, как влияют эти факторы на изменение суммы налогооблагаемой прибыли, (таблица 2.2).
Таблица № 2.2
Факторы изменения налогооблагаемой прибыли
| Фактор |
Изменение налогооблагаемой прибыли |
|
| тыс. руб. |
в % к итогу |
|
| 1 .Изменение общей суммы балансовой прибыли |
+1500 |
123,0 |
| 1.1. Прибыль от реализации продукции |
+1396 |
+ 114,4 |
| 1.1.1 .Объем реализации продукции |
-158 |
-13,0 |
| 1.1.2. Структура реализованной продукции |
+536 |
+44,0 |
| 1.1.3. Средние цены реализации |
+3335 |
+273,4 |
| 1.1.4. Себестоимость продукции |
-2317 |
-190,0 |
| В том числе за счет роста: |
||
| Цен на ресурсы |
-2118 |
-173,7 |
| Ресурсоемкости |
-199 |
-16,3 |
| 1.2. Сальдо операционных доходов и расходов |
+ 150 |
+ 12,3 |
| 1.3. Сальдо внереализационных финансовых результатов |
-46 |
-3,8 |
| 1.3.1.Штрафы и пени полученные |
+80 |
+6,5 |
| 1.3.2. Штрафы и пени выплаченные 1.3.3. Убытки от списания дебиторской задолженности 2. Изменение суммы прибыли в результате ее корректировки для нужд налогообложения 3. Изменение прибыли, облагаемой налогом по специальным ставкам 4. Изменение суммы льготируемой прибыли Итого |
-106 -20 +30 -102 -208 +1220 |
-8,7 -1,6 +2,5 -8,4 -16,9 100 |
Из таблицы видно, что сумма налогооблагаемой прибыли увеличилась в основном за счет повышения уровня отпускных цен и удельного веса более дорогой продукции в общем объеме продаж. Рост себестоимости продукции, уменьшение объема продаж, выплата штрафов и пени, убытки от списания долгов, увеличение суммы льготируемой прибыли и налога на имущество способствовали сокращению суммы налогооблагаемой прибыли.
2.2 Анализ налогов из прибыли
Анализ налогов, вносимых в бюджет из прибыли, целесообразно начинать с изучения их состава и структуры
Таблица № 2.3
Анализ состава налогов предприятия, тыс.руб.
| Вид налога |
Сумма, тыс. руб. |
Структура, % |
||||
| На начало года |
На конец года |
На начало года |
На конец года |
|||
| План |
Факт |
План |
Факт |
|||
| Налог на имущество |
1560 |
1700 |
1820 |
29,7 |
27,0 |
26,8 |
| Налог на прибыль |
3570 |
4440 |
4806 |
68,0 |
70,0 |
70,7 |
| Прочие налоги и сборы |
120 |
160 |
174 |
2,3 |
2,5 |
2,5 |
| ИТОГО: |
5250 |
6300 |
6800 |
100,0 |
100,0 |
100,0 |
| В процентах к балансовой прибыли |
35,0 |
34,05 |
34,0 |
- |
- |
- |
Данные таблицы показывают, что налоги из прибыли увеличились по сравнению с прошлым годом на 29.5%, а по сравнению с планом - на 7,9%. Несколько изменилась и структура налогов: доля налога на имущество уменьшилась, а доля налога на прибыль увеличилась. Налоги от прибыли в общей ее сумме составляют около 34%, что на 1% ниже прошлого года.
Изменение суммы налога на имущество (Ним) может произойти за счет увеличения или уменьшения среднегодовой стоимости имущества (Им), подлежащего налогообложению, и ставки налога на имущество (Сн):
Н им = Им * Сн : 100
Используя данные расчета среднегодовой стоимости имущества, подлежащего налогообложению, можно установить изменения в его составе и влияние каждой составляющей на сумму данного налога. Для этого изменение суммы налогооблагаемого имущества по каждому виду нужно умножить на плановую (базовую) ставку налога на имущество:
∆Н им = ∆Им * Сн0 : 100
Если произошло изменение ставки налога на имущество, то изменение ее величины необходимо умножить на фактическую сумму налогооблагаемого имущества отчетного периода:
∆Н им = Им1 * ∆Сн :100
Налог на доходы зависит также от суммы налогооблагаемых доходов и ставки налогообложения. Чтобы рассчитать влияние данных факторов на изменение суммы налога, необходимо изменение величины каждого вида или общей суммы налогооблагаемого дохода умножить на плановую ставку налогообложения, а изменение уровня последней - на фактическую сумму налогооблагаемого дохода.
Сумма налога на прибыль (Нп) может измениться за счет величины налогооблагаемой прибыли (Пн) и ставки налога на прибыль (Сн):
Нп = Пн * Сн0 : 100
Изменение суммы налога за счет первого фактора определяется следующим образом:
∆Нп = ∆Пн * Сн0 :100
Влияние второго фактора рассчитывается по формуле: ∆Нп = Пн1 * ∆Сн / 100 Если уже известно, за счет каких факторов изменилась налогооблагаемая прибыль, то влияние их на сумму налога можно определить умножением ее прироста за счет i-го фактора на плановую (базовую) ставку налога:
∆Нп = ∆П нхi * Cн 0 /100
По данным таблицы № 2.2 произведем расчет влияния факторов на изменение суммы налогов на прибыль по приведенной выше формуле.
Таблица № 2.4
Расчет влияния факторов на изменение суммы налога на прибыль
| Фактор изменения налогооблагаемой прибыли |
Расчет влияния |
Изменение суммы налога, тыс. руб. |
| 1 .Изменение общей суммы балансовой прибыли |
+1500x0,3 |
+450 |
| 1.1. Прибыль от реализации продукции |
+1396x0,3 |
+418,7 |
| 1.1.1 .Объем реализации продукции |
-158x0,3 |
-47,4 |
| 1 . 1 .2. Структура реализованной продукции |
+536x0,3 |
+ 160,8 |
| 1.1.3. Средние цены реализации |
+3335x0,3 |
+1000,5 |
| 1 . 1 .4. Себестоимость продукции |
-2317x0,3 |
-695,1 |
| В том числе за счет роста: |
||
| Цен на ресурсы |
-2118x0,3 |
-635,4 |
| Ресурсоемкости |
-199x0,3 |
-59,7 |
| 1.2. Сальдо операционных доходов и расходов |
+150x0,3 |
+45,0 |
| 1.3. Сальдо внереализационных финансовых |
||
| результатов |
-46x0,3 |
-13,8 |
| 1.3.1 .Штрафы и пени полученные |
+80x0,3 |
+24,0 |
| 1.3.2. Штрафы и пени выплаченные |
-106x0,3 |
-31,8 |
| 1.3.3. Убытки от списания дебиторской |
||
| задолженности |
-20x0,3 |
-6,0 |
| 2. Изменение суммы прибыли в результате ее |
||
| корректировки для нужд налогообложения |
-30x0,3 |
+0,9 |
| 3. Изменение прибыли, облагаемой налогом по |
||
| специальным ставкам |
-102x0,3 |
-30,6 |
| 4. Изменение суммы льготируемой прибыли |
-208x0,3 |
-62,4 |
| ИТОГО: |
-1220x0,3 |
+366,0 |
Из таблицы видно, какие факторы оказали решающее влияние на изменение суммы налогооблагаемой прибыли и величину налогов на прибыль.
2.3 Анализ формирования чистой (нераспределенной) прибыли
Чистая прибыль является одним из важнейших экономических показателей, характеризующих конечные результаты деятельности предприятия. Количественно она представляет собой разность между суммой балансовой прибыли и суммой внесенных в бюджет налогов из прибыли экономических санкций, отчислений в благотворительные фонды и других расходов предприятия, покрываемых за счет прибыли
Данные таблицы №2.3 показывают, что фактическая сумма нераспределенной чистой прибыли выше плановой в отчетном году на 850 тыс.руб., или на 72%. Ее величина зависит от факторов изменения балансовой прибыли и факторов, определяющих удельный вес чистой прибыли в общей сумме балансовой прибыли, а именно доли налогов, экономических санкций в общей сумме прибыли.
Таблица №2.5
Определение суммы нераспределенной прибыли
| Уровень показателя, тыс. руб. |
Удельный вес в балансовой прибыли, % |
|||||
| план |
Факт |
+,- |
план |
Факт |
+,- |
|
| 1 .Балансовая прибыль |
18500 |
20000 |
+ 1500 |
100,0 |
100,0 |
- |
| 2. Налоги из прибыли |
6300 |
6800 |
+500 |
34,05 |
34,0 |
-0,05 |
| В том числе: |
||||||
| Налог на имущество |
1700 |
1820 |
+ 120 |
9,19 |
9,1 |
-0,09 |
| Налог на прибыль |
4440 |
1806 |
+366 |
24,0 |
24,03 |
+0,03 |
| Прочие налоги и сборы |
160 |
174 |
+14 |
0,86 |
0,87 |
+0,01 |
| 3 .Экономические |
||||||
| санкции по платежам в |
400 |
550 |
+150 |
2,17 |
2,75 |
+0,58 |
| бюджет |
||||||
| 4. Нераспределенная чистая прибыль (п. l-n.2- п.3) |
11800 |
12650 |
+850 |
63,78 |
63,25 |
-0,53 |
Чтобы определить изменение суммы нераспределенной прибыли за счет факторов первой группы, необходимо изменение балансовой прибыли за счет каждого фактора умножить на плановый (базовый) удельный вес чистой прибыли в сумме балансовой прибыли:
∆ЧП = ∆БП хi * УДчп0
Прирост нераспределенной чистой прибыли за счет второй группы факторов рассчитывается умножением прироста удельного веса i-го фактора (налогов, санкций, отчислений) в общей сумме балансовой прибыли на фактическую ее величину в отчетном периоде:
![]()
Таблица №2.6
Расчет влияния факторов на изменение суммы нераспределенной прибыли, тыс руб.
| Факторы изменения нераспределенной прибыли |
Расчет влияния |
Изменение суммы, тыс.руб. |
| 1 .Изменение общей суммы балансовой прибыли |
+ 1500x0,6378 |
+956,7 |
| 1.1. Прибыль от реализации продукции |
+ 1396x0,6378 |
+890,4 |
| 1.1.1 .Объем реализации продукции |
-158x0,6378 |
-100,8 |
| 1 . 1 .2. Структура реализованной продукции |
+536x0,6378 |
+341,9 |
| 1 . 1 .3. Средние цены реализации |
+3335x0,6378 |
+2127,1 |
| 1 . 1 .4. Себестоимость продукции |
-2317x0,6378 |
-1477,8 |
| В том числе за счет роста: |
||
| Цен на ресурсы |
-2118x0,6378 |
-1350,9 |
| Ресурсоемкое |
-199x0,6378 |
-126,9 |
| 1.2. Сальдо операционных доходов и расходов |
+ 150x0,6378 |
+95,7 |
| 1.3. Сальдо внереализационных финансовых |
||
| результатов |
-46x0,6378 |
-29,3 |
| 1.3.1. Штрафы и пени полученные |
+80x0,6378 |
+51,0 |
| 1.3.2. Штрафы и пени выплаченные |
-106x0,6378 |
-67,6 |
| 1.3.3. Убытки от списания дебиторской |
||
| задолженности |
-20x0,6378 |
-12,7 |
| 2. Налоги из прибыли |
-(-0,05x20000)7100 |
+10,0 |
| В том числе: |
||
| Налог на имущество |
-(-0,09x20000)7100 |
+ 18,0 |
| Налог на прибыль |
-(+0,03x20000)7100 |
-6,0 |
| Прочие налоги и сборы |
-(+0,01x20000)7100 |
-2,0 |
| 3. Экономические санкции |
-(+0,58x20000)7100 |
-116,7 |
| ИТОГО: |
+850 |
Из таблицы следует, что сумма чистой прибыли увеличилась в основном за счет роста отпускных цен и изменения структуры продаж. Сокращение объема, рост себестоимости продукции, выплаченные пени и штрафы, убытки от списания долгов, экономические санкции вызвали уменьшение суммы чистой прибыли. Поэтому, изыскивая пути увеличения чистой прибыли, данному предприятию необходимо в первую очередь обратить внимание на факторы, отрицательно влияющие на формирование чистой прибыли.
2.4 Анализ распределения и использования чистой прибыли
Нераспределенная прибыль используется в соответствии с Уставом предприятия. За счет ее выплачиваются дивиденды акционерам предприятия, создаются фонды накопления, потребления, резервный фонд, часть прибыли направляется на пополнение собственного оборотного капитала и на другие цели[8] .
В процессе анализа необходимо изучить выполнение плана по использованию нераспределенной прибыли, для чего фактические данные об использовании прибыли по всем направлениям сравнивают с данными плана и выясняют причины отклонения от плана по каждому направлению использования прибыли
Таблица № 2.7
Данные об использовании чистой прибыли, тыс.руб.
| Показатель |
План |
Факт |
+,- |
| 1. Нераспределенная чистая прибыль |
11800 |
12650 |
+850 |
| 2. Использование прибыли: |
|||
| на выплату дивидендов |
2360 |
2530 |
+ 170 |
| в фонд накопления |
4720 |
5313 |
+593 |
| в фонд потребления |
3540 |
3542 |
+2 |
| в резервный фонд |
1180 |
1265 |
+85 |
| З.Доля в распределяемой прибыли: |
|||
| выплаченных дивидендов |
20 |
20 |
- |
| фонда накопления |
40 |
42 |
+2 |
| фонда потребления |
30 |
28 |
-2 |
| резервного фонда |
10 |
10 |
- |
Приведенные данные свидетельствуют о том, что на анализируемом предприятии на выплату дивидендов использовано 20% прибыли, в фонд накопления - 42%, в фонд потребления -28% и в резервный фонд- 10%.
Анализ формирования фондов должен показать, насколько и за счет каких факторов изменилась их величина. Основными факторами, определяющими размер отчислений в фонды накопления и потребления, могут быть изменения суммы нераспределенной чистой прибыли (ЧП) и коэффициента отчислений прибыли в соответствующие фонды (Ki). Сумма отчислений прибыли в фонды предприятия равняется их произведению:
Фi =ЧП * Котч i
Для расчета их влияния можно использовать один из приемов детерминированного факторного анализа .
Таблица № 2.8
Расчет влияния факторов первого уровня на размер отчислений в фонды предприятия
| Фонд |
Сумма распределяемой прибыли, тыс. руб. |
Доля отчислений, % |
Сумма отчислений, тыс. руб. |
Отклонение от плана |
|||||
| План |
Факт |
План |
Факт |
План |
Факт |
Общее |
В том числе засчет |
||
| ЧП |
К отч |
||||||||
| Накопления |
11800 |
12650 |
40 |
42 |
4720 |
5313 |
+593 |
+340 |
+253 |
| Потребления |
11800 |
12650 |
30 |
28 |
3540 |
3542 |
+2 |
+255 |
-253 |
| Резервный |
11800 |
12650 |
10 |
10 |
1180 |
1265 |
+85 |
+85 |
- |
| Дивиденды |
11800 |
12650 |
20 |
20 |
2360 |
2530 |
+ 170 |
+170 |
- |
Затем надо рассчитать влияние факторов изменения чистой прибыли на размер отчислений в фонды предприятия. Для этого прирост чистой прибыли за счет каждого фактора умножаем на плановый коэффициент отчислений в соответствующий фонд:
∆Фi =∆ЧП xi * К отч
Таблица № 2.9
Расчет влияния факторов второго уровня на сумму отчислений в фонды предприятия
| Фактор |
Изменение суммы, тыс. руб. |
||||
| Нераспре деленной прибыли |
Отчислений в фонды |
||||
| накопления |
потребления |
резервный |
дивиденды |
||
| 1. Изменение общей суммы балансовой |
+956,7 |
+382,7 |
+287,0 |
+95,7 |
+191,3 |
| прибыли |
|||||
| 1 . 1 .Прибыль от реализации продукции |
+890,4 |
+356,2 |
+267,1 |
+89,0 |
+ 178,1 |
| 1.1.1 Объем реализации продукции |
-100,8 |
-40,3 |
-30,2 |
-10,1 |
-20,2 |
| 1.1. 2. Структура реализованной |
|||||
| продукции |
+341,9 |
+136,8 |
+ 102,5 |
+34,2 |
+68,4 |
| 1 . 1 .3. Средние цены реализации |
+2127,1 |
+850,8 |
+638,1 |
+212,7 |
+425,4 |
| 1 . 1 .4. Себестоимость продукции |
-1477,8 |
-591,1 |
-443,3 |
-147,8 |
-295,6 |
| В том числе за счет роста: |
|||||
| Цен на ресурсы |
-1350,9 |
-540,4 |
-405,1 |
-270,2 |
-540,2 |
| Ресурсоемкости |
-126,9 |
-52,0 |
-39,0 |
-13,0 |
-25,9 |
| 1.2. Сальдо операционных доходов и |
|||||
| расходов |
+95,7 |
+38,3 |
+28,7 |
+9,6 |
+19,1 |
| 1.3. Сальдо внереализационных |
|||||
| финансовых результатов |
-29,3 |
-11,7 |
-8,8 |
-2,9 |
-5,9 |
| 1 .3. 1 .Штрафы и пени полученные |
+51,0 |
+20,4 |
+ 15,3 |
+5,1 |
+ 10,2 |
| 1.3. 2. Штрафы и пени выплаченные |
-67,6 |
-27,0 |
-20,3 |
-6,8 |
-13,5 |
| 1.3.3. Убытки от списания дебиторской |
|||||
| задолженности |
-12,7 |
-5Д |
-3,8 |
-1,3 |
-2,5 |
| 2. Налоги из прибыли |
+10,0 |
+4,0 |
+3,0 |
+1,0 |
+2,0 |
| В том числе: |
|||||
| Налог на имущество |
+18,0 |
+7,2 |
+5,4 |
+ 1,8 |
+3,6 |
| Налог на прибыль |
-6,0 |
-2,4 |
-1,8 |
-0,6 |
-1,2 |
| Прочие налоги и сборы |
-2,0 |
-0,8 |
-0,6 |
-0,2 |
-0,4 |
| 3. Экономические санкции по платежам |
|||||
| в бюджет |
-116,7 |
-46,7 |
-35,0 |
-11,7 |
-23,3 |
| ИТОГО: |
+850 |
+340,0 |
+255,0 |
+85,0 |
+ 170,0 |
Данные таблицы показывают причины увеличения суммы отчислений в фонды предприятия и дивидендные выплаты, что позволяет сделать определенные выводы и разработать мероприятия, направленные на увеличение суммы прибыли,а соответственно и фондов предприятия. В данном примере прирост отчислений в фонды предприятия вызван изменением структуры реализованной продукции, повышением отпускных цен, доходами по внереализованным операциям. Отрицательное влияние оказали такие факторы, как повышение себестоимости продукции, в том числе за счет роста ресурсоемкости продукции, экономические санкции за сокрытие прибыли, занижение налогов и несвоевременное внесение их в бюджет, а также сверхплановые отчисления прибыли в благотворительные фонды.
В процессе анализа необходимо изучить динамику доли прибыли, которая идет на выплату дивидендов держателям акций предприятия, самофинансирование предприятия (реинвестированная прибыль), фонд социальной сферы, материальное стимулирование работников, и таких показателей, как сумма самофинансирования и сумма капитальных вложений на одного работника, сумма зарплаты и выплат на одного работника. Причем изучать данные показатели надо в тесной связи с уровнем рентабельности, суммой прибыли на одного работника, на один рубль основных производственных фондов. Если эти показатели выше, чем на других предприятиях, или выше нормативных для данной отрасли производства, то существует перспективы для развития предприятия.
Важной задачей анализа является изучение вопросов использования средств фондов накопления и потребления. Средства этих фондов имеют целевое назначение и расходуются согласно утвержденным сметам. Фонд накопления используется в основном для финансирования затрат на расширение производства, его техническое перевооружение, внедрение новых технологий и т.д.
Фонд потребления может использоваться на коллективные нужды (расходы на содержание объектов культуры и здравоохранения, проведение оздоровительных и культурно-массовых мероприятий) и индивидуальные (вознаграждение по итогам работы за год, материальная помощь, стоимость путевок в санатории и дома отдыха, стипендии студентам, частичная оплата питания и проезда, пособия при уходе на пенсию и т.д.).
В процессе анализа устанавливается соответствие фактических расходов расходам, предусмотренным сметой, выясняются причины отклонений от сметы по каждой статье, изучается эффективность мероприятий, проводимых за счет средств этих фондов. При анализе использования средств фонда накопления следует изучить полноту финансирования всех запланированных мероприятий, своевременность их выполнения и полученный эффект.
Глава 3 Анализ влияния использования прибыли на финансовое положение
предприятия ОАО « Мурманский тарный комбинат»
Соотношение использования прибыли на накопление и потребление оказывает влияние на финансовое положение предприятия. Недостаточность средств, направляемых на накопление, сдерживает рост оборота, приводит к увеличению потребности в заемных средствах.
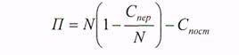
Верхнюю границу потенциального развития предприятия определяет рентабельность собственных средств (Rcc ):
Чистая прибыль
Rcc = -------------------- *100%
Собственный капитал
Если Rcc ровна 20% , то, отказавшись от использования средств на потребление и выплату дивидендов, можно увеличить собственные средства на 20% или, отказавшись от использования средств на накопление, направить все средства на потребление или выплату 20%-ных дивидендов.
В действительности приходится находить оптимальное соотношение между использованием средств на потребление (нормой распределения) и процентом увеличения собственных средств (внутренними темпами роста).
Для достижения высоких темпов роста оборота нужно повышать возможности увеличения рентабельности собственных средств предприятия.
Рентабельность собственных средств можно представить как отношение суммы средств, направляемых на накопление и потребление, к величине собственных средств.
Сумма средств, направляемых на накопление и потребление, представляет собой сумму чистой прибыли, которая образуется предприятия после уплаты налога на прибыль и финансовых издержек:
|
|
где Фн — фонд накопления;
Фп - фонд потребления;
СК - собственный капитал.
Отношение фонда накопления к величине собственного капитала определяет внутренние темпы роста, т.е. темпы увеличения активов. Теоретически при неизменном значении коэффициента оборачиваемости капитала прирост объема реализации продукции равен внутренним темпам роста.
Отношение фонда потребления к размеру собственного капитала составляет уровень потребления.
Если представить фонд потребления как произведение чистой прибыли и нормы распределения прибыли, рентабельность собственных средств может быть рассчитана так:

где HP- норма распределения прибыли; ВТР - внутренние темпы роста. Отсюда ВТР = Rcc (1-НР).
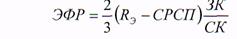
В тоже время рентабельность собственных средств может быть выражена через эффект финансового рычага:
Rcc = 2/3 Rэ + ЭФР
где Кэ - экономическая рентабельность;
ЭФР — эффект финансового рычага.
Эффект финансового рычага - это приращение к рентабельности собственных средств, получаемое благодаря использованию заемных средств, несмотря на их платность.
Эффект финансового рычага (финансовый леверидж) определяется по формуле:
![]()
где СРСП - средняя ставка ссудного процента;
ЗК - заемный капитал;
СК -собственный капитал.
Формула определения эффекта финансового рычага выводится из определения экономической рентабельности ( или рентабельности актива):
|
|
Где СРСП *ЗК - сумма процентов по заемным средствам ( или финансовые издержки).
Чистую прибыль (Пч) из формулы можно определить так:
![]()
Данное выражение подставим в формулу рентабельности собственных средств:
![]()
Если экономическая рентабельность рассчитывается по балансовой прибыли, то рассчитанный эффект уменьшается на размер налога на прибыль, составляющий в среднем 1/3 балансовой прибыли.
Финансовый рычаг показывает влияние финансовых издержек, связанных с заимствованием капитала, на величину чистой прибыли. Если он является величиной положительной, то увеличение рентабельность собственных средств. Положительным финансовый рычаг будет при условии, если экономическая рентабельность капитала выше ставки ссудного процента. В рыночной экономике ставка ссудного процента определяется, кроме всех прочих условий, размером заемного капитала: чем выше размер заемного капитала в структуре источников средств предприятия, тем выше ставка ссудного процента и тем ниже величина чистой прибыли и соответственно рентабельность собственных средств. Использование чистой прибыли на потребление увеличивает потребности предприятия в заемном капитале. При высокой цене ресурсов и низкой рентабельности активов это приводит к отрицательному эффекту финансового рычага и снижению рентабельности собственных средств, ограничивает внутренние темпы роста предприятия.
Анализ использования прибыли влияет, насколько эффективно распределялись средства на накопление и потребление. Здесь можно выделить следующие критерии оценки:
1) если в структуре капитала возросла доля заемных средств, значит социальные выплаты ограничивали внутренние темпы роста;
2) если внутренние темпы роста возрастают, значит политика распределения прибыли выбрана правильно.
Оценка эффективности распределения прибыли на накопление и потребление производится также с помощью количественного измерения эффекта финансового рычага.
Заключение
Проведенный в курсовой работе анализ организации ОАО « Мурманский тарный комбинат» показывает, что прибыль является составным элементом рыночных отношений. Она играет важную роль в формировании доходов бюджета и создании финансовых средств предприятий.
Изучение социально- экономической сущности прибыли имеет первостепенное значение для рассмотрения источников ее формирования, влияния на нее различных производственных и непроизводственных факторов, разработки системы распределения, формирования основных направлений деятельности предприятия.
Обобщающая оценка финансового - хозяйственной деятельности предприятия ОАО « Мурманский тарный комбинат» дается на основе изучения показателей прибыли и рентабельности. Выбор направлений и объектов анализа, приемов и способов его проведения определяется задачами управления.
Ретроспективный анализ прибыли в большей степени важен для контролирующих органов; прогнозный анализ позволяет управлять ресурсами с учетом прогнозируемых изменений в конъюнктуре рынка. Методики ретроспективного и прогнозного анализа существенным образом не различаются.
Объектами ретроспективного анализа является:
-прибыль от реализации;
-отдельные виды доходов и расходов, формирующие прибыль отчетного периода;
-величина налога на прибыль;
-направление использования прибыли;
-фонды специального назначения, образуемые из прибыли.
При анализе состава прибыли следует придерживаться формы № 2 «Отчет о прибылях и убытках» и порядка ее заполнения. Объектом особого внимания на предприятии является прибыль от реализации и факторы, на нее влияющие:
-объем реализации; -издержки; -уровень цен;
-ассортиментная структура выпускаемой и реализуемой продукции.
Анализ прибыли в системе «директ- костинг» предполагает расчет и изучение показателя «маржинальный доход», характеризующего возможности предприятия по возмещению постоянных издержек. Снижение маржинального дохода по сравнению с постоянными издержками увеличивает риск предпринимательской деятельности и «чувствительность» прибыли к изменению выручки. Анализ соотношения переменных и постоянных издержек и их влияния на финансовый результат позволяет принять управленческое решение по изменению состава имущества и структуры располагаемых ресурсов.
Результаты аналитических расчетов прибыли применяются для обоснования бизнес-планов, отдельных управленческих решений, например, при формировании ассортимента, расширении экономического потенциала предприятия, ценообразовании.
Анализ прибыли, остающейся в распоряжении предприятия ОАО « Мурманский тарный комбинат», предполагает решение следующих задач:
-количественная оценка влияния факторов на изменение чистой прибыли;
-выявление тенденций, сложившихся в распределении прибыли за отчетный период;
-оценка влияния распределения прибыли на финансовое состояние предприятия;
-измерение влияния факторов на величину специальных фондов;
-оценка эффективности использования фондов накопления и потребления в соответствии с показателями эффективности экономического потенциала.
Факторный анализ формирования чистой прибыли позволяет определить выгоды от увеличения прибыли от финансово-хозяйственной деятельности, снижения налога на прибыль, расширения перечня и увеличения размера льгот.
Распределение прибыли оказывает существенное влияние на финансовое состояние предприятия.
Направление средств на накопление увеличивает экономический потенциал, способствует повышению платежеспособности и финансовой независимости предприятия, способствует росту объема выпуска, реализации и прибыли без увеличения размера заемных средств.
Напротив, использование прибыли на потребление ограничивает возможности роста товарооборота и прибыли.
Анализ использования фонда накопления проводится параллельно с анализом движения и эффективности использования основных средств.
Использование фонда потребления является эффективным, если сопровождается ростом производительности труда, сокращением текучести кадров, повышением уровня квалификации персонала.
Результаты анализа распределения и использования прибыли применяются при разработке финансового плана и выборе стратегии финансирования предприятия.
Список литературы
1. Специальная литература
1.1 Баканов М.И., Шеремет А.Д. Теория анализа хозяйственной деятельности -Москва, Финансы и статистика, 2000год.
1.2 Бердникова Т.Б. Анализ и диагностика финансово-хозяйственной деятельности предприятия: Учебное пособие-Москва, ИНФРА-М, 2002год.
1.3 Гиляровской П. Т. Экономический анализ: учебник для вузов– Москва, ЮНИТИ – ДАНА, 2001 г. – 527 с.
1.4 Любушин Н.П., Лещева В. Б., Дьякова В.Г. Анализ финансово-хозяйственной деятельности предприятия: Учебное пособие для вузов- Москва, ЮНИТИ -ДАНА, 2002 г. – 471 с.
1.5 Пястолов С. М. Экономический анализ деятельности предприятий: Учебное пособие для студентов экономических специальностей высших учебных заведений, экономистов и преподавателей – Москва, Академический проспект, 2003 г. – 573 с.
1.6 Савицкая Г.В. Анализ хозяйственной деятельности предприятия: Учебное пособие ,7-ое издание, Москва, Новое знание , 2002 г. – 704 с. (экономическое образование)
1.7 Савицкая Г.В. Анализ хозяйственной деятельности предприятия: Учебное пособие - Москва: ИНФРА- М, 2003 г. – 256 с. (Серия «вопрос – ответ»).
1.8 Ковалев В.В. , Волкова О.Н. Анализ хозяйственной деятельности предприятия – Москва, Проспект,2000год
1.9 Шеремет А. Д., Сайфулин Р. С. Методика финансового анализа – Москва: ИНФРА – М, 2001 г., 208 с.
2.Переодическая печать
2.1 Финансы 6/2000 г., М, 64с. Ф.И. Шамхалов «Прибыль- основной показатель результатов деятельности организаций».
Приложение
Готовая бухгалтерская отчетность ОАО « Мурманский тарный комбинат» за 2004год.
Приложение №1
БУХГАЛТЕРСКИЙ БАЛАНС
| |
|
Коды |
|||||
| Форма № 1 по ОКУД |
0710001 |
|||||
| Дата (год, месяц, число) |
||||||
|
00462692 |
|||||
|
5190500054 |
|||||
| Вид деятельности _________________________________________________по ОКВЭД |
28.72 |
|||||
|
||||||
|
47 |
49 |
||||
| Единица измерения: тыс. руб./млн руб. (ненужное зачеркнуть) по ОКЕИ |
384 |
|||||
|
||||||
|
||||||
| Дата утверждения |
24.03.05 |
|||||
| Дата отправки (принятия) |
25.03.05 |
|||||
| Актив |
Код показа-теля |
На начало отчетного года |
На конец отчетного периода |
|
| 1 |
2 |
3 |
4 |
|
| I . ВНЕОБОРОТНЫЕ АКТИВЫ |
||||
| Нематериальные активы |
110 |
- |
- |
|
| Основные средства |
120 |
257312 |
231800 |
|
| Незавершенное строительство |
130 |
- |
- |
|
| Доходные вложения в материальные ценности |
135 |
- |
- |
|
| Долгосрочные финансовые вложения |
140 |
- |
- |
|
| Отложенные налоговые активы |
145 |
- |
- |
|
| Прочие внеоборотные активы |
150 |
- |
- |
|
| ИТОГО по разделу I |
190 |
257312 |
231800 |
|
| II. ОБОРОТНЫЕ АКТИВЫ |
||||
| Запасы в том числе: |
210 |
45484 |
50698 |
|
| сырье, материалы и другие аналогичные ценности |
211 |
3705 |
5122 |
|
| животные на выращивании и откорме |
212 |
- |
- |
|
| затраты в незавершенном производстве |
213 |
725 |
389 |
|
| готовая продукция и товары для перепродажи |
214 |
41031 |
45017 |
|
| товары отгруженные |
215 |
- |
- |
|
| расходы будущих периодов |
216 |
23 |
170 |
|
| прочие запасы и затраты |
217 |
- |
- |
|
| Налог на добавленную стоимость по приобретенным ценностям |
220 |
736 |
802 |
|
| Дебиторская задолженность (платежи по которой ожидаются более чем через 12 месяцев после отчетной даты) |
230 |
- |
- |
|
| в том числе покупатели и заказчики |
- |
- |
||
| Дебиторская задолженность (платежи по которой ожидаются в течение 12 месяцев после отчетной даты) |
240 |
15333 |
10800 |
|
| в том числе: покупатели и заказчики |
- |
- |
||
| Краткосрочные финансовые вложения (56, 58, 82) |
250 |
2500 |
3000 |
|
| Денежные средства |
260 |
270 |
1230 |
|
| Прочие оборотные активы |
270 |
- |
- |
|
| ИТОГО по разделу II |
290 |
64323 |
66530 |
|
| БАЛАНС (сумма строк 190 + 290) |
300 |
321635 |
298330 |
|
| Пассив |
Код показа-теля |
На начало отчетного |
На конец отчетного |
|
| 1 |
2 |
3 |
4 |
|
| III . КАПИТАЛ И РЕЗЕРВЫ |
||||
| Уставный капитал |
410 |
50000 |
50000 |
|
| Собственные акции, выкупленные у акционеров |
- |
- |
||
| Добавочный капитал |
420 |
- |
- |
|
| Резервный капитал в том числе: |
430 |
8500 |
9440 |
|
| резервы, образованные в соответствии с законодательством |
431 |
- |
- |
|
| резервы, образованные в соответствии с учредительными документами |
432 |
- |
- |
|
| Нераспределенная прибыль (непокрытый убыток ) |
470 |
7800 |
11800 |
|
| ИТОГО по разделу III |
490 |
66300 |
71240 |
|
| IV. ДОЛГОСРОЧНЫЕ ОБЯЗАТЕЛЬСТВА |
||||
| Займы и кредиты |
510 |
- |
- |
|
| Отложенные налоговые обязательства |
515 |
- |
- |
|
| Прочие долгосрочные обязательства |
520 |
- |
- |
|
| ИТОГО по разделу IV |
590 |
- |
- |
|
| V. КРАТКОСРОЧНЫЕ ОБЯЗАТЕЛЬСТВА |
||||
| Займы и кредиты |
610 |
70000 |
100000 |
|
| Кредиторская задолженность в том числе: |
620 |
183015 |
124560 |
|
| поставщики и подрядчики |
621 |
141855 |
117662 |
|
| задолженность перед персоналом организации |
622 |
120 |
98 |
|
| задолженность перед государственными внебюджетными фондами |
623 |
50 |
40 |
|
| задолженность по налогам и сборам |
624 |
5200 |
6760 |
|
| прочие кредиторы |
625 |
35790 |
- |
|
| Задолженность участникам (учредителям) по выплате доходов |
630 |
2320 |
2530 |
|
| Доходы будущих периодов |
640 |
- |
- |
|
| Резервы предстоящих расходов |
650 |
- |
- |
|
| Прочие краткосрочные обязательства |
660 |
- |
- |
|
| ИТОГО по разделу V |
690 |
255335 |
227090 |
|
| БАЛАНС |
700 |
321635 |
298330 |
|
| Справка о наличии ценностей, учитываемых на забалансовых счетах |
||||
| Арендованные основные средства |
910 |
- |
- |
|
| в том числе по лизингу |
911 |
- |
- |
|
| Товарно-материальные ценности, принятые на ответственное хранение |
920 |
- |
- |
|
| Товары, принятые на комиссию |
930 |
- |
- |
|
| Списанная в убыток задолженность неплатежеспособных дебиторов |
940 |
- |
- |
|
| Обеспечение обязательств и платежей полученные |
950 |
- |
- |
|
| Обеспечение обязательств и платежей выданные |
960 |
- |
- |
|
| Износ жилищного фонда |
970 |
- |
- |
|
| Износ объектов внешнего благоустройства и других аналогичных объектов |
980 |
- |
- |
|
| Нематериальные активы, полученные в пользование |
990 |
- |
- |
|
| |
| |
| |
| |
(подпись)(расшифровка подписи) (подпись)(расшифровка подписи)
Приложение №2
ОТЧЕТ О ПРИБЫЛЯХ И УБЫТКАХ
за 200 4 г.
|
Коды |
|||||
| Форма № 2 по ОКУД |
0710002 |
|||||
| Дата (год, месяц, число) |
||||||
|
00462692 |
|||||
|
5190500054 |
|||||
| Вид деятельности _________________________________________________по ОКВЭД |
28.72 |
|||||
|
||||||
|
47 |
49 |
||||
| Единица измерения: тыс. руб./млн руб. (ненужное зачеркнуть) по ОКЕИ |
384 |
|||||
| Показатель |
За отчетный период |
За аналогичный период предыдущего года |
|
| наименование |
код |
||
| 1 |
2 |
3 |
4 |
Доходы и расходы по обычным видам деятельностиВыручка (нетто) от продажи товаров, продукции, работ, услуг (за минусом налога на добавленную стоимость, акцизов и аналогичных обязательных платежей) |
010 |
97120 |
83414 |
| Себестоимость проданных товаров, продукции, работ, услуг |
020 |
77824 |
66960 |
| Валовая прибыль |
029 |
18597 |
15477 |
| Коммерческие расходы |
030 |
() |
() |
| Управленческие расходы |
040 |
() |
() |
| Прибыль (убыток) от продаж |
050 |
19296 |
14500 |
Прочие доходы и расходы |
|||
| Проценты к получению |
060 |
||
| Проценты к уплате |
070 |
() |
() |
| Доходы от участия в других организациях |
080 |
||
| Прочие операционные доходы |
090 |
970 |
710 |
| Прочие операционные расходы |
100 |
( 220) |
( 160) |
| Внереализационные доходы |
120 |
80 |
50 |
| Внереализационные расходы |
130 |
( 126) |
( 100) |
Прибыль (убыток) до налогообложения |
140 |
20000 |
15000 |
| Отложенные налоговые активы |
141 |
||
| Отложенные налоговые обязательства |
142 |
() |
() |
| Текущий налог на прибыль |
150 |
( 6800) |
( 5250) |
Чистая прибыль прибыль (убыток) отчетного периода |
190 |
13200 |
9750 |
| Постоянные налоговые обязательства (активы) |
200 |
||
| Базовая прибыль (убыток) на акцию |
|||
| Разводненная прибыль (убыток) на акцию |
|||
Расшифровка отдельных прибылей и убытков
| Показатель |
За отчетный период |
За аналогичный период предыдущего года |
|||
| наименование |
код |
прибыль |
убыток |
прибыль |
убыток |
| 1 |
2 |
3 |
4 |
5 |
6 |
| Штрафы пени и неустойки, признанные или по которым получены решения суда (арбитражного суда) об их взыскании |
210 |
||||
| Прибыль (убыток) прошлых лет |
220 |
||||
| Возмещение убытков, причиненных неисполнением или ненадлежащим исполнением обязательств |
230 |
||||
| Курсовые разницы по операциям в иностранной валюте |
240 |
||||
| Отчисления в оценочные резервы |
250 |
Х |
Х |
||
| Списание дебиторских и кредиторских задолженностей, по которым истек срок исковой давности |
260 |
||||
|
|||||
| |
| |
| |
| |
(подпись)(расшифровка подписи) (подпись)(расшифровка подписи)
| |
| |
| |
| |
| |
| |
| |
[1] Пястолов С. М. Экономический анализ деятельности предприятий: Учебное пособие для студентов экономических специальностей высших учебных заведений, экономистов и преподавателей – Москва, Академический проспект, 2003 г. – 573 с.
[2] Баканов М.И., Шеремет А.Д. Теория анализа хозяйственной деятельности -Москва, Финансы и статистика, 2000год.
[3] Савицкая Г.В. Анализ хозяйственной деятельности предприятия: Учебное пособие - Москва: ИНФРА- М, 2003 г. – 256 с. (Серия «вопрос – ответ»).
[4] Савицкая Г.В. Анализ хозяйственной деятельности предприятия: Учебное пособие ,7-ое издание, Москва, Новое знание , 2002 г. – 704 с. (экономическое образование)
[5] Ковалев В.В. , Волкова О.Н. Анализ хозяйственной деятельности предприятия – Москва, Проспект,2000год
[6] Финансы 6/2000 г., М, 64с. Ф.И. Шамхалов «Прибыль- основной показатель результатов деятельности организаций».
[7] Любушин Н.П., Лещева В. Б., Дьякова В.Г. Анализ финансово-хозяйственной деятельности предприятия: Учебное пособие для вузов- Москва, ЮНИТИ -ДАНА, 2002 г. – 471 с.
[8] Шеремет А. Д., Сайфулин Р. С. Методика финансового анализа – Москва: ИНФРА – М, 2001 г., 208 с.
