| Скачать .docx |
Курсовая работа: Курсовая работа: Корреляционный анализ финансов предприятия
Содержание
Глава 1. Теоретические основы корреляционного анализа финансов предприятий строительства
Глава 2. Оценка финансовых показателей
Заключение
Список использованной литературы
Приложение
Глава 1. Теоретические основы корреляционного анализа финансов предприятий строительства
Корреляционный анализ является одним из методов статистического анализа взаимосвязи нескольких признаков.
Он определяется как метод, применяемый тогда, когда данные наблюдения можно считать случайными и выбранными из генеральной совокупности, распределенной по многомерному нормальному закону. Основная задача корреляционного анализа (являющаяся основной и в регрессионном анализе) состоит в оценке уравнения регрессии.
Корреляция – это статистическая зависимость между случайными величинами, не имеющими строго функционального характера, при которой изменение одной из случайных величин приводит к изменению математического ожидания другой.
1. Парная корреляция – связь между двумя признаками (результативным и факторным или двумя факторными).
2. Частная корреляция – зависимость между результативным и одним факторным признаками при фиксированном значении других факторных признаков.
3. Множественная корреляция – зависимость результативного и двух или более факторных признаков, включенных в исследование.
Финансы предприятий строительства связаны с организацией документооборота и движения материальных ресурсов на всех стадиях строительного цикла.
Специфика финансов предприятий строительства связана с большим объемом источников внешнего финансирования от сторонних заказчиков.
Предприятия строительства имеют на балансе в основном оборудование, инструменты и зарплату работников. Денежные средства предоставляют заказчики в лице бюджетных организаций, промышленных предприятий и других юридических лиц. В результате финансовые ресурсы предприятий строительства зависят от объема монтажных работ а текущем периоде.
Основная цель финансов предприятий строительства- обеспечить единую сумму фактических затрат на строительство и объем плановых смет до начала строительства. Это необходимо, чтобы провести калькуляцию всех строительных работ и разработать техническую документацию.
Корреляционный анализ имеет своей задачей количественное определение тесноты связи между двумя признаками (при парной связи) и между результативным признаком и множеством факторных признаков (при многофакторной связи).
Корреляционный анализ– это группа статистических методов, направленная на выявление и математическое представление структурных зависимостей между выборками.
Корреляционный анализ есть метод установления связи и измерения ее тесноты между наблюдениями, которые можно считать случайными и выбранными из совокупности, распределенной по многомерному нормальному закону.
Корреляционной связью называется такая статистическая связь, при которой различным значениям одной переменной соответствуют разные средние значения другой. Возникать корреляционная связь может несколькими путями. Важнейший из них- причинная зависимость вариации результативного признака от изменения факторного.
Практическая реализация корреляционного анализа включает следующие этапы:
- постановка задачи и выбор признаков;
- сбор информации и ее первичная обработка;
- предварительная характеристика взаимосвязей;
- устранение мультиколлинеарности (взаимозависимости факторов) и уточнение набора показателей путем расчета парных коэффициентов корреляции;
- исследование факторной зависимости и проверка ее значимости;
- оценка результатов анализа и подготовка рекомендаций по их практическому использованию.
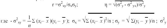
Корреляционныйанализрешаетзадачуизмерениятеснотысвязимеждуварьирующимипеременнымииоценкифакторов, оказывающихнаибольшеевлияниенарезультирующийпризнак. Различаютпарную имножественную корреляцию. Впервомслучаеизучаетсясвязьмеждуоднимфакторомирезультативнымпоказателем, вовтором - междунесколькимифакторамиирезультативнымпоказателем. Теснотасвязиоцениваетсяспомощьюкоэффициентакорреляции (прилинейнойзависимости) r, иликорреляционногоотношения (принелинейнойзависимости) η.
Величиныэтихпоказателейопределяетсятак:

Y - среднеквадратическоеотклонениеэмпирических (фактических) значений y ;
σ2 yx - среднеквадратическоеотклонениеу оттеоретическихзначенийу х .
Значенияэтихкоэффициентовколеблютсяот 0 до 1. Приη(r)= 0 связьмежупоказателями отсутствует, еслиη (r) = 1, тосвязьфункциональная. Еслиη (r) имеетотрицательноезначение, тосвязьмеждупоказателямиотрицательная.
Привеличинепоказателей:
0,1 - 0,3 . связьслабая;
0,3 - 0,5 . умеренная;
0,5 - 0,7 . заметная;
0,7 - 0,9 . высокая;
0,9 - 0,99 . весьмавысокая.
Исследователя нередко интересует, как связаны между собой две или большее количество переменных в одной или нескольких изучаемых выборках. Например, могут ли учащиеся с высоким уровнем тревожности демонстрировать стабильные академические достижения, или связана ли продолжительность работы учителя в школе с размером его заработной платы, или с чем больше связан уровень умственного развития учащихся — с их успеваемостью по математике или по литературе и т.п.
Такого рода зависимость между переменными величинами называется корреляционной, или корреляцией. Корреляционная связь — это согласованное изменение двух признаков, отражающее тот факт, что изменчивость одного признака находится в соответствии с изменчивостью другого.
Корреляционные связи — это вероятностные изменения, которые можно изучать только на представительных выборках методами математической статистики. «Оба термина, — пишет Е.В. Сидоренко, — корреляционная связь и корреляционная зависимость — часто используются как синонимы. Зависимость подразумевает влияние, связь — любые согласованные изменения, которые могут объясняться сотнями причин. Корреляционные связи не могут рассматриваться как свидетельство причинно-следственной зависимости, они свидетельствуют лишь о том, что изменениям одного признака, как правило, сопутствуют определенные изменения другого.
Корреляционная зависимость - это изменения, которые вносят значения одного признака в вероятность появления разных значений другого признака (Е.В. Сидоренко, 2000).
Задача корреляционного анализа сводится к установлению направления (положительное или отрицательное) и формы (линейная, нелинейная) связи между варьирующими признаками, измерению ее тесноты, и, наконец, к проверке уровня значимости полученных коэффициентов корреляции.
Корреляционные связи различаютсяпо форме, направлению и степени (силе).
По форме корреляционная связь может быть прямолинейной или криволинейной. Прямолинейной может быть, например, связь между количеством тренировок на тренажере и количеством правильно решаемых задач в контрольной сессии. Криволинейной может быть, например, связь между уровнем мотивации и эффективностью выполнения задачи (см. рис. 1). При повышении мотивации эффективность выполнения задачи сначала возрастает, затем достигается оптимальный уровень мотивации, которому соответствует максимальная эффективность выполнения задачи; дальнейшему повышению мотивации сопутствует уже снижение эффективности.
По направлению корреляционная связь может быть положительной ("прямой") и отрицательной ("обратной"). При положительной прямолинейной корреляции более высоким значениям одного признака соответствуют более высокие значения другого, а более низким значениям одного признака - низкие значения другого. При отрицательной корреляции соотношения обратные. При положительной корреляции коэффициент корреляции имеет положительный знак, например r =+0,207 , при отрицательной корреляции - отрицательный знак, например r =—0,207 .
Степень, сила или теснота корреляционной связи определяется по величине коэффициента корреляции.
Сила связи не зависит от ее направленности и определяется по абсолютному значению коэффициента корреляции.
Максимальное возможное абсолютное значение коэффициента корреляции r =1,00 ; минимальное r =0,00 .
В общем виде формула для подсчета коэффициента корреляции такова:

Где:
х i — значения, принимаемые в выборке X,
y i — значения, принимаемые в выборке Y;
— средняя по X,
— средняя по Y.
Расчет коэффициента корреляции Пирсона предполагает, что переменные Х и У распределены нормально.
В формуле подсчета коэффициента корреляции встречается величина
при делении на n (число значений переменной X или Y) она называется ковариацией. Формула предполагает также, что при расчете коэффициентов корреляции число значений переменной Х равно числу значений переменной Y.
Прирасчетепарнойкорреляциивначалепроизводитсяотборнаиболееважных (существенных) факторов, влияющихнарезультативныйпоказатель. Этифакторыпомещаютсявтаблицу, вкоторойфакторныепризнакиранжируютсявпорядкевозрастанияилиубывания. Далееданныеизтаблицынаносятсянаплоскостькоординат . строитсякорреляционноеполе. Поформеполяилипутемвизуальногоанализаранжированногорядапроизводитсяобоснованиеформысвязи. Принелинейнойсвязивначалеопределяетсятеоретическоезначениефункцииу х, длячегорешаетсяуравнениерегрессии, описывающеесвязьмеждуизучаемымипоказателями. Затемрассчитываетсякорреляционноеотношение.
Теснота связи количественно выражается величиной коэффициентов корреляции. Коэффициенты корреляции, представляя количественную характеристику тесноты связи между признаками, дают возможность определить «полезность» факторных признаков при построении уравнений множественной регрессии. Величина коэффициентов корреляции служит также оценкой соответствия уравнению регрессии выявленным причинно-следственным связям.
Первоначально исследования корреляции проводились в биологии, а позднее распространились и на другие области, в том числе на социально-экономическую. Одновременно с корреляцией начала использоваться и регрессия. Корреляция и регрессия тесно связаны между собой: первая оценивает силу (тесноту) статистической связи, вторая исследует ее форму. И корреляция, и регрессия служат для установления соотношений между явлениями и для определения наличия или отсутствия связи между ними.
Для применения корреляционного анализа необходимо, чтобы все рассматриваемые переменные были случайными и имели нормальный закон распределения. Причем выполнение этих условий необходимо только при вероятностной оценке выявленной тесноты связи.
Рассмотрим простейшие случай выявления тесноты связи – двумерную модель корреляционного анализа.
Для характеристики тесноты связи между двумя переменными обычно пользуются парным коэффициентом корреляции
, если рассматривать генеральную совокупность, или его оценкой – выборочным парным коэффициентом
, если изучается выборочная совокупность. Парный коэффициент корреляции в случае линейной формы связи вычисляют по формуле
,
а его выборочное значение – по формуле :

При малом числе наблюдений выборочный коэффициент корреляции удобно вычислять по следующей формуле:

Величина коэффициента корреляции изменяется в интервале
.
При
между двумя переменными существует функциональная связь, при
- прямая функциональная связь. Если
, то значение Х и У в выборке некоррелированы; в случае, если система случайных величин
имеет двумерное нормальное распределение, то величины Х и У будут и независимыми.
Если коэффициент корреляции находится в интервале
, то между величинами Х и У существует обратная корреляционная связь. Это находит подтверждение и при визуальном анализе исходной информации. В этом случае отклонение величины У от среднего значения взяты с обратным знаком.
Если каждая пара значений величин Х и У чаще всего одновременно оказывается выше (ниже) соответствующих средних значений, то между величинами существует прямая корреляционная связь и коэффициент корреляции находится в интервале
.
Если же отклонение величины Х от среднего значения одинаково часто вызывают отклонения величины У вниз от среднего значения и при этом отклонения оказываются все время различными, то можно предполагать, что значение коэффициента корреляции стремится к нулю.
Следует отметить, что значение коэффициента корреляции не зависит от единиц измерения и выбора начала отсчета. Это означает, что если переменные Х и У уменьшить (увеличить) в К раз либо на одно и то же число С, то коэффициент корреляции не изменится.
Строительство, как немногие отрасли экономики, в силу длительного инвестиционного цикла, немыслимо без планирования. Планирование в строительстве - сложная вещь, т.к. необходимо учитывать многие факторы, такие как :
· Данные проектно-сметной документации;
· Взаимосвязь между подразделениями;
· Использование субподрядных организаций;
· Ограниченность материальных и трудовых ресурсов;
· Своевременность поставки сырья и материалов.
План должен охватывать все стороны деятельности строительной компании:
· Производственную;
· Хозяйственную;
· Финансовую.
Одним из современных методов финансового планирования является бюджетирование. Под бюджетированием понимается управленческая технология финансового планирования, которая позволяет контролировать и анализировать планируемые и получаемые финансовые показатели [3]. Основным инструментом здесь является бюджет. Под бюджетом понимается финансовый план, в котором все показатели относятся либо к доходной, либо к расходной части.
При постановке бюджетирования строительной деятельности необходимо учитывать специфические особенности, присущие данной отрасли экономики.
Для данной сферы функционирования финансов характерна некоторая специфика, обусловленная особенностями складывающихся здесь экономических отношений. Выделим следующие особенности:
1) более продолжительный производственный цикл, обуславливающий повышенную потребность в оборотных средствах;
2) функционирование строительных организаций осуществляется в различных территориально-климатических зонах, что влияет на индивидуальную стоимость сдаваемых объектов, а также на равномерность поступления выручки;
3) сметная стоимость строящихся объектов устанавливается исходя из договоров с заказчиками и поставщиками;
4) этапы осуществляемых строительно-монтажные работ характеризуются различной степенью трудоемкости, материалоемкости, финансовой обеспеченности;
Осуществление строительства происходит, как правило, в несколько этапов: 1) геологоразведовательных работ; 2) разработки сметы строительства; 3) осуществление строительных и монтажных работ. Финансирование проводимых работ осуществляется заказчиками, а работы выполняются специализированными организациями. Подобная детализация обуславливает выделение в данной сфере финансовых отношений следующих компонентов, также характеризующихся своими особенностями:
- финансы заказчика;
- финансы проектных организаций;
- финансы геологоразведовательных организаций;
- финансы строительной организации.
Различают подрядный и хозяйственный способы ведения работ.
При подрядном способе строительная организация привлекает для отдельных видов работ специализированные организации (подрядчики), которые в свою очередь также могут иметь заключенные договора со специализированными исполнителями (субподрядчики).
При хозяйственном способе строительства организация осуществляет все виды работ собственными силами.
Планирование себестоимости работ осуществляется строительной организацией самостоятельно при разработке финансовых планов на основе заключенных договоров. Себестоимость строительных работ может включать элементы:
- затраты непосредственно связанные с осуществлением строительных работ;
- затраты связанные с обслуживанием произодственного процесса;
- затраты некапитального характера, обусловленные совершенствованием технологии строительства, улучшением отдельных видов работ и т.д.
- текущие затраты: на эксплуатацию очистных сооружений, природоохранные мероприятия и др.;
- дополнительные затраты (например, на осуществление работ вахтовым способом);
- другие виды затрат.
Финансовый результат (прибыль или убыток) деятельности строительной организации слагается из финансового результата от сдачи заказчику объектов, работ и услуг, предусмотренных договорами, реализации на сторону основных средств, иного имущества организации, продукции и услуг подсобных и вспомогательных производств, находящихся на балансе строительной организации, а также доходов от внереализационных операций, уменьшенных на сумму расходов по ним.
Балансовая прибыль может быть рассчитана по формуле:
Пб = Прп + Фри + Дв – Рв
где Пб - прибыль (убыток) балансовая;
Фри - финансовый результат от реализации основных средств и иного имущества;
Дв - доходы по внереализационным операциям;
Рв - расходы по внереализационным операциям.
Прибыль (убыток) от сдачи заказчику строительных объектов, других работ, предусмотренных договором определяется как разница между выручкой от их реализации по ценам установленным в договоре, без налога на добавленную стоимость и других вычетов, предусмотренных законодательством, и затратами на их производство и сдачу.
Учет вышеотмеченных особенностей функционирования финансов строительной сферы, знание особенностей и этапов организации строительных работ, методов их осуществления позволяют в наибольшей степени максимизировать положительный финансовый результат от осуществления данного вида деятельности.
Для характеристики финансовой устойчивости могут быть также использованы коэффициенты:
1. Обеспеченности собственными = собственные оборотные средства
оборотными средствами запасы и затраты
Показывает наличие собственных оборотных средств необходимых для финансовой устойчивости, его нормальное значение К ≥ 0,6-0,8
2.Маневреннооти= собственные оборотные средства
общая величина собственных средств
Показывает какая часть собственных средств находится в мобильной форме позволяющей относительно свободно маневрировать этими средствами. В качестве ориентировочного значения можно назвать 0,5.
3. Автономии= собственные средства / итог баланса
Показывает долю собственных средств в общем объеме ресурсов предприятия. Нормальным значением можно считать К≥0,5 - в этом случае все обязательства предприятия покрываются его собственными средствами.
4.Краткосрочной задолженности = краткосрочные обязательства / общая величина обязательств.
Следует помнить, что внешним проявлением финансовой устойчивости является платежеспособность предприятия т.е. его способность в срок рассчитываться по своим обязательствам. Предприятие считается платежеспособным если имеющиеся у него денежные средства, краткосрочные финансовые вложения (ценные бумаги) и активные расчеты (расчеты с дебиторами) покрывают его краткосрочные обязательства.
Глава 2. Оценка финансовых показателей
На основание предоставленной отчетности:
· Отчет о прибылях и убытках
· Бухгалтерский баланс
Произвели расчеты и выводы следующих коэффициентов:
Коэффициент текущей (общей) ликвидности
При анализе хозяйственной деятельности предприятия, во время проведения финансового анализа, для оценки платежеспособности применяют коэффициент текущей ликвидности.
Коэффициент текущей (общей) ликвидности определяется как отношение фактической стоимости находящихся в наличии оборотных активов (средств), в том числе запасов, готовой продукции, денежных средств, дебиторских задолженностей, незавершенного производства и т.д. к краткосрочным пассивам (обязательствам).
ОборАктКоэфТекЛик ≥ 2 КраткПассив
Значение коэффициента текущей ликвидности в начале года:
2742239КоэфТекЛикнач = 1,19<2 2303572
Значение коэффициента текущей ликвидности в конце года:
3912389КоэфТекЛиккон = 1,57 <2 2482810
Изменение значения:
КоэфТекЛиккон ИзмКоэфТекЛик = КоэфТекЛикнач
1,57ИзмКоэфТекЛик = 1,3193 1,19
или увеличилась на +31,93%.
Коэффициент текущей ликвидности увеличился за год на 31,93%.
Коэффициент текущей ликвидности (или общий коэффициент покрытия долгов, или коэффициент покрытия, current ratio) характеризует степень покрытия оборотных активов оборотными пассивами, и применяется для оценки способности предприятия выполнить свои краткосрочные обязательства.
Коэффициенты ликвидности характеризуют платежеспособность предприятия не только на данный момент, но и в случае чрезвычайных обстоятельств.
Коэффициент оборачиваемости собственных средств
Коэффициент оборачиваемости собственных средств - относится к коэффициентам деловой активности. Отражает скорость оборота собственного капитала предприятия. Рассчитывается как соотношение: Капитал и резервы – ВнеобАктивы/ ОборАктивы.
Капт и рез - ВнеобАктивыКоэфОбрСобстСрв ≥0,1 ОбрАктивы
Значение коэффициента оборачиваемости собственных средств в начале года:
575588-378967КоэфОбрСобстСрвнач = 0,071 <0,1 2742239
Значение коэффициента оборачиваемости собственных средств в конце года:
792201-482631КоэфОбрСобстСрвкон = 0,079 <0,1 3912389
Изменение значения:
КоэфОбрСобстСрвкон ИзмКоэфОбрСобстСрв = КоэфОбрСобстСрвнач
0,079ИзмКоэфОбрСобстСрв =1,1127 0,071 или увеличилась на +11,27%.
Коэффициент оборачиваемости собственных средств за год увеличился на 11,27%, это значит, что наличие собственных оборотных средств необходимых для финансовой устойчивости хозяйственного субъекта меньше нормы, это означает, что хозяйственный субъект финансово не устойчив.
Рентабельность - показатель эффективности производства (инвестиций), показывающий уровень отдачи на вложенные средства. Определяется как отношение полученной прибыли к размерам вложенных средств.
Коэффициент рентабельности продаж
Вр КоэфRпр =*100% З(с/ст)
Коэффициент рентабельности продаж в начале года:
654980 КоэфRпрнач =*100%=136 % -2667911
Коэффициент рентабельности продаж в конце года:
2745488 КоэфRпркон =*100% =132% -2076243
Коэффициент рентабельности продаж показывает эффективность производства и коммерческой деятельности КоэфRпрнач =136 %, а КоэфRпркон =132% и показывает сколько предриятие имеет чистой рибыли с рубля продаж.
Коэффициент рентабельности деятельности
ЧПр КоэфRд =*100% Вр
Коэффициент рентабельности деятельности в начале года:
231183 КоэфRднач =*100%=6,32% 3654980
Коэффициент рентабельности деятельности в конце года:
208299 КоэфRдкон =*100%=4,73% 2745488
Коэффициент рентабельности деятельности на начало года равен 6,32%, что показывает процент чистой прибыли от выручки, а на конец года чистая прибыль от выручки равна 4,73%.
Коэффициент рентабельности инвестиций
Пр до упл нал КоэфRи =*100% Вбал - ∑Кр об
Коэффициент рентабельности инвестиций в начале года:
278022 КоэфRинач =*100%=34% 3121206 - 2303572
Коэффициент рентабельности инвестиций в конце года:
247483 КоэфRи кон =*100%=12,94% 4395020 - 2482810
Коэффициент рентабельности инвестиций отображает эффективность использования средств инвесторов в начале года на 34%, а в конце года использование средств на 12,94%, от сюда следует, что средства используются не эффективно.
Коэффициент рентабельности оборотных активов
ВПрКоэфRОА =*100%ОА
Коэффициент рентабельности оборотных активов в начале года:
987069 КоэфRОАнач =*100%=35,99% 2742239
Коэффициент рентабельности оборотных активов в конце года:
669245 КоэфRОА кон =*100%=17,105% 3912389
Коэффициент рентабельности оборотных активов отражает возможность предприятия в обеспечении достаточного объема прибыли по отношению к оборотным средствам компании, чем выше значении, тем более эффективнее используются оборотные средства, в начале года КоэфRОАнач =35,99% средства использовались эффективно, КоэфRОА кон = 17,105% средства использовались менее эффективно.
Коэффициент оборачиваемости кредиторской задолженности
Вр Коборкр/зад =*100% Кр/Зад
Коэффициент оборачиваемости кредиторской задолженности в начале года:
3654980 Коборкр/зад нач =*100% =24% 1528592
Коэффициент оборачиваемости кредиторской задолженности в конце года:
2745488 Коборкр/зад кон =*100% =49% 1841242
Кредиторская задолженность — задолженность по расчетам с кредиторами за товары, работы и услуги, с дочерними предприятиями, с рабочими и служащими по оплате труда, с подрядчиками, с бюджетными и внебюджетными фондами, задолженность по налогам и сборам и с другими кредиторами.
Чем выше коэффициент оборачиваемости кредиторской задолженности, тем быстрее компания рассчитывается со своими поставщиками.
Коэффициент рентабельности собственного капитала
Пр после упл нал КоэфRсоб.кап =*100% Соб. Кап
Коэффициент рентабельности собственного капитала в начале года:
231183 КоэфRсоб.кап нач =*100%=40% 575588
Коэффициент рентабельности собственного капитала в конце года:
208299 КоэфRсоб.кап кон =*100%=26,3% 792201
Рентабельность собственного капитала характеризует доходность бизнеса для его владельцев, рассчитанную после вычета процентов по кредиту. Коэффициент рентабельности собственного капитала в начале года имеет большую доходность чем коэффициент на конец года.
Коэффициент оборачиваемости собственного капитала
Объем реалКоэфОбрСобстКап = Соб. Кап
Коэффициент оборачиваемости собственного капитала в начале года:
-2667911КоэфОбрСобстКап нач =4,64 575588
Коэффициент оборачиваемости собственного капитала в конце года:
-2076243КоэфОбрСобстКап кон =2,62 792201
Коэффициент оборачиваемости собственного капитала характеризует активность денежных средств которыми рискует предприятие, КоэфОбрСобстКап нач =4,64 а на конец 2,62 это означает, что коэффициент имеет тенденцию к снижению, это говорит о бездействии части собственных средств для предприятия, необходимо вложить эти средства в более прибыльный источник дохода.
Коэффициент собственности
Соб. кап КоэфСобст = Итог Баланса
Коэффициент собственности в начале года:
575588 КоэфСобстнач =0,184*100%=18,4% 3121206
Коэффициент собственности в конце года:
792201 КоэфСобсткон =0,180*100%=18% 4395020
Коэффициент собственности характеризует соотношение интересов собственников предприятий (владельцев акций) и кредиторов. КоэфСобнач равен 18,4% а на конец 18%, а нормальным его значением обеспечивающим достаточно стабильное положение является 60%, что не соответствует норме.
Показатель факторной модели банкротства
Рб=3,38*К1 +К2 +0,054*К3 +0,63*К4
ОА Вр Коэф1 = Коэф3 = Вб Вб
2742239 3654980 Коэф1нач =0,878=0,88 Коэф3нач =1,17 3121206 3121206
3912389 2745488 Коэф1кон =0,89 Коэф3кон =0,62 4395020 4395020
ЧПр ЧПр Коэф2 =Коэф4 = Ск З
231183 231183 Коэф2нач =0,40 Коэф4нач =-0,087 575588 -2667911
208299 208299 Коэф2кон =0,26 Коэф4кон =-0,1 792201 -2076243
Показатель факторной модели банкротства в начале года:
Рбнач =3,38*К1 +К2 +0,054*К3 +0,63*К4 =3,38*0,88+0,4+0,054*1,17-0,63*0,087=3,378>0,42
Показатель факторной модели банкротства в конце года:
Рбкон =3,38*К1 +К2 +0,054*К3 +0,63*К4 =3,38*0,89+0,26+0,054*0,62-0,63*0,1=3,239>0,42
Если показатель факторной модели банкротства Рб< 0,42 то риск банкротства минимальный, у нас это условие не выполняется.
Коэффициент прогноза банкротства
ОА-Кр.об + Пр КоэфПБ = Вб
Коэффициент прогноза банкротства в начале года:
2742239-2303572+278022 КоэфПБнач =0,23 3121206
Коэффициент прогноза банкротства в конце года:
3912389-2482810+247483 КоэфПБкон =0,38 4395020
Коэффициент обеспеченности собственными оборотными средствами
СобОбСрв КоэфОбСобОбСрв = ЗиЗ
Коэффициент обеспеченности собственными оборотными средствами в начале года:
2742239 КоэфОбСобОбСрвнач =2,16>0,6-0,8 1268444
Коэффициент обеспеченности собственными оборотными средствами в конце года:
3912389 КоэфОбСобОбСрвкон =2,88>0,6-0,8 1357737
Показывает наличие собственных оборотных средств необходимых для финансовой устойчивости, его нормальное значение К ≥ 0,6-0,8 у нас это условие не выполняется.
Коэффициент автономии
СобСрв Коэфавт = Итог Баланса
Коэффициент автономии в начале года:
575588 Коэфавтнач =0,1844<0,5 3121206
Коэффициент автономии в конце года:
592201 Коэфавткон =0,135<0,5 4395020
Коэффициент автономии меньше нормы, что говорит о том, что все обязательства предприятия не покрываются его собственными средствами. Коэффициент показывает долю собственных средств в общем объеме ресурсов предприятия. Нормальным значением можно считать К≥0,5 - в этом случае все обязательства предприятия покрываются его собственными средствами.
Чистая рентабельность капитала
Чпр КоэфRкап =*100% Итог Баланса
Чистая рентабельность капитала в начале года:
231183 КоэфRкапнач =*100% =7,4 % 3121206
Чистая рентабельность капитала в конце года:
208299 КоэфRкапкон =*100% =4,7 % 4395020
Чистая прибыль на рубль объема реализации
Чпр КоэфЧПрнарбореал=*100% Вр
Чистая прибыль на рубль объема реализации в начале года:
231183 КоэфЧПрнарбореалнач =*100% =6,3% 3654980
Чистая прибыль на рубль объема реализации в конце года:
208299 КоэфЧПрнарбореалкон =*100% =7,6% 2745488
Коэффициент чистой прибыли на рубль объема реализации в начале год составил 6,3% а на конец 7,6% что говорит о росте чистой прибыли с рубля от объема реализации.
Корреляционный анализ дает возможность установить ассоциированы ли наборы данных по величине, то есть: большие значения из одного набора данных связаны с большими значениями другого набора (положительная корреляция); или, наоборот, малые значения одного набора связаны с большими значениями другого (отрицательная корреляция); или данные двух диапазонов никак не связаны (корреляция близка к нулю).
Экономика страны состоит из отдельных отраслей, которые в зависимости от характера выполняемых ими функций относятся к сфере материального производства либо к непроизводственной сфере. Сфера материального производства охватывает промышленность, строительство, энергетику, сельское хозяйство, транспорт и ряд других отраслей народного хозяйства, создающих материальные блага. К непроизводственной сфере относятся здравоохранение, просвещение, культура, наука и другие отрасли народного хозяйства, в процессе деятельности которых материальные блага не создаются.
Российская система жилищного финансирования в дореформенный период соответствовала проводимой жилищной политике и заключалась в централизованном распределении бюджетных ресурсов для строительства государственного жилья и его бесплатном предоставлении гражданам, стоящим в очереди на улучшение жилищных условий.
Под влиянием новых экономических методов произошли коренные изменения в финансах предприятий строительной индустрии. Для нее стало характерным наличие многообразия организационно-правовых форм субъектов хозяйствования. Основополагающим фактором в изменении производственной структуры отрасли явилось существенное изменение в объемах и источниках финансирования, когда доля государственных инвестиций перестала быть доминирующей. В этих условиях быстро формировался малый сектор строительного бизнеса, который по численности субъектов хозяйствования в настоящее время значительно превышает количество крупных и средних предприятий и организаций. Главными требованиями, предъявляемыми к организационной, производственной структурам и системе управления строительной отраслью, явились необходимость максимальной их адаптации к новой экономической среде. В этих условиях значительно повысились требования к конкурентоспособности, качеству строительных работ, организационной мобильности и другим экономическим критериям.
Эффективное функционирование строительной отрасли в ближайшей перспективе в существенной мере может быть обеспечено за счет сохранения целостности системообразующих основ сформировавшейся структуры управления и непрерывного ее совершенствования в соответствии с требованиями динамично изменяющейся экономики.
Цель работы исследовать корреляционный анализ финансов предприятий строительства.
В соответствии с поставленной целью, в работе были решены следующие задачи: во-первых, рассмотрена теоретическая характеристика корреляционного анализа финансов строительства в современных условиях, во-вторых, проведена оценка финансовых показателей на основании предоставленной финансовой отчетности.
Список использованной литературы
1. Афитов, Э.А. Планирование на предприятии: учеб. пособие / Э.А. Афитов. – 2-е изд., перераб. и доп. – Мн.: Вышэйшая школа, 2007.
2. Баканов, М.И. Теория экономического анализа: Учебник / М.И. Баканов, А.Д. Шеремет; - 4-е изд., доп. и перераб. М.: Финансы и статистика, 2007
3. Грузинов В.П., Грибов В.Д., Экономика предприятия: Учебное пособие. – М.: Финансы и статистика, 2005. -208с.
4. Дикман Л.Г. Организация и планирование строительного производства: управление строительными предприятиями с основами АСУ: учебник для вузов и фак. М.: Высшая школа, 2006
5. Ковалева А.М. Финансы. – М.: Финансы и статистика, 2007.
6. Финансы: Учебник. 2-е изд., перераб. и доп. / Под ред. В.В. Ковалева. – М.: ТК Велби, 2008.
7. Экономический анализ: ситуации, тесты, примеры, задачи, выбор оптимальных решений, финансовое прогнозировании: Учебное пособие/ Под ред. М.И. Баканова, А.Д. Шеремета. – М.: Финансы и статистика, 2008.

Рис.1. Связь между эффективностью решения задачи и силой мотивационной тенденции