| Скачать .docx |
Дипломная работа: Инвстиционный проект строительства жилого дома ОАО "Стройком"
Анализ эффективности инвестиционной политики предприятия, а следовательно, оценка инвестиционных проектов, занимает важное место в процессе обоснования выбора альтернативных вариантов вложения предприятиями средств.
Ошибочно считать, что достоверная оценка эффективности проекта необходима только аналитикам банков, инвестиционных фондов и других финансовых институтов, которые будут эти проекты анализировать и решать вопрос, стоит ли под них выделять предприятию финансовые ресурсы для закупки оборудования или других объектов инвестиционной деятельности. Прежде всего, эти проекты необходимы самому предприятию, экономисты которого должны готовить инвестиционные проекты, а потом заниматься их реализацией. При всех прочих благоприятных показателях инвестиционного проекта, предприятие никогда не сможет его реализовать, если не докажет эффективность использования инвестиций.
Реальность достижения такого результата произведенных инвестиций является ключевой задачей финансово-экономической оценки любого проекта вложения средств. Экономически грамотное и достоверное проведение такой оценки – сложная задача для предприятия.
Рассматриваемая проблема усложняется экономической ситуацией в России, пока не благоприятствующей инвестиционной деятельности предприятий, а также недостаточной экономической грамотностью разработчиков инвестиционных проектов на большинстве предприятий.
Несмотря на это, все большее число банков, промышленно-финансовых и инвестиционных компаний и предприятий проявляют повышенный интерес к современным методам оценки инвестиционных проектов. Факт возрастающего интереса участников инвестиционной деятельности к методам разработки и оценки инвестиционных проектов объясняется необходимостью выполнения подробного инвестиционного анализа.
Каждый город имеет свое лицо. И компания «Стройком» приносит в облик Челябинска неповторимое чувство красоты, совершенства, уюта и комфортности. Каждый год челябинцы и гости города замечают, как меняется его облик. Столица Южного Урала постепенно становится мегаполисом с широкими улицами и современными зданиями с развитой инфраструктурой. Свой весомый вклад в это вносит строительное предприятие «Стройком».
Цель дипломной работы – разработать инвестиционный проект строительства жилого дома, и обосновать экономическую эффективность его строительства.
Объектом исследования выступает ОАО СК «СтройКом». Предметом исследования в дипломной работе выступает инвестиционное проектирование строительства жилого дома. Для решения поставленной цели необходимо решить ряд задач:
– рассмотреть теоретические основы инвестиционного проекта;
– рассмотреть и проанализировать финансовое состояние ОАО СК «СтройКом»;
– разработать инвестиционный проект строительства жилого дома.
Дипломный проект включает три главы, введение, заключение и список литературы.
В первой главе раскрываются методологические основы оценки эффективности инвестиционных проектов. Во-второй, дается оценка финансово-хозяйственной деятельности ОАО «СтройКом». В третьей разрабатывается инвестиционный проект строительства жилого дома на ОАО «СтройКом» оценивается его эффективность.
1. Эффективность инвестиционного проекта: принципы, содержание и методы оценки
1.1 Понятие и экономический смысл инвестиций
В современном мире многообразных и сложных экономических процессов и взаимоотношений между гражданами, предприятиями, финансовыми институтами, государствами на внутреннем и внешнем рынках острой проблемой является эффективное вложение капитала с целью его приумножения, или инвестирование. Экономическая природа инвестиций обусловлена закономерностями процесса расширенного воспроизводства и заключается в использовании части дополнительного общественного продукта для увеличения количества и качества всех элементов системы производительных сил общества. Источником инвестиций является фонд накопления, или сберегаемая часть национального дохода, направляемая на увеличение и развитие факторов производства, и фонд возмещения, используемый для обновления изношенных средств производства в виде амортизационных отчислений. Все инвестиционные составляющие формируют таким образом структуру средств, которая непосредственно влияет на эффективность инвестиционных процессов и темпы расширенного воспроизводства [7, с. 15].
Если из общего объема инвестиций, или «Валовых инвестиций» (В), вычесть амортизационные отчисления (А), то полученные «Чистые инвестиции» (Ч) будут представлять собой вложения средств во вновь создаваемые производственные фонды и обновляемый производственный аппарат. При этом возможно возникновение следующих макроэкономических пропорций:
– Ч < 0, или А > В, что приводит к снижению производственного потенциала, уменьшению объемов продукции и услуг, ухудшению состояния экономики;
– Ч = 0, или В = А, что свидетельствует об отсутствии экономического роста;
– Ч > 0, или В > А, обеспечивающее тем самым расширенное воспроизводство, экономический рост за счет роста доходов, темпы которого превышают темпы роста объема чистых инвестиций.
Под инвестициями понимаются все виды имущественных и интеллектуальных ценностей, которые вкладываются в объекты предпринимательской и других видов деятельности, в результате которой создается прибыль (доход) или достигается социальный эффект.
Виды инвестиций принято подразделять на денежные средства, целевые банковские вклады, паи, акции и другие ценные бумаги; движимое и недвижимое имущество; имущественные права, связанные с авторским правом, опытом и другими видами интеллектуальных ценностей; совокупность технических, технологических, коммерческих и иных знаний, оформленных в виде технической документации, навыков и производственного опыта, необходимого для организации того или иного вида производства, но не запатентованного («ноу-хау»); права пользования землей, водой, ресурсами, домами, сооружениями, оборудованием, а также иные имущественные права и другие ценности.
В отношении объектов вложения инвестиции подразделяются на реальные инвестиции, или вложения средств в материальные (здания, сооружения, оборудование и т.п.) и нематериальные активы (патенты, лицензии, «ноу-хау», научно-технические и проектно-конструкторские работы в виде документации, программные средства и т.п.), а также финансовые инвестиции, или вложения средств в различные финансовые инструменты – ценные бумаги, депозиты, целевые банковские вклады.
По характеру участия в инвестиционном процессе инвестиции подразделяются на:
– прямые, предполагающие непосредственное участие инвестора в выборе объекта инвестирования и вложении средств, при этом инвестор непосредственно вовлечен во все стадии инвестиционного цикла, включая прединвестиционные исследования, проектирование и строительство объекта инвестирования, а также производство конечной продукции;
– косвенные, осуществляемые через различного рода финансовых посредников (инвестиционные фонды и компании) аккумулирующих и размещающих по своему усмотрению наиболее эффективным образом финансовые средства.
Воспроизводство средств производства может осуществляться в одной из следующих форм инвестиций:
– новое строительство, или строительство предприятий, зданий, сооружений, осуществляемое на новых площадках и по первоначально утвержденному проекту;
– расширение действующего предприятия – строительство вторых и последующих очередей действующего предприятия, дополнительных производственных комплексов и производств, строительство новых либо расширение существующих цехов с целью увеличения производственной мощности;
– реконструкция действующего предприятия – осуществление по единому проекту полного или частичного переоборудования и переустройства производств с заменой морально устаревшего и физически изношенного оборудования с целью изменения профиля, выпуска новой продукции;
– техническое перевооружение – комплекс мероприятий, направленных на повышение технико-экономического уровня производства отдельных цехов, производств, участков.
1.2 Основные положения инвестиционного проектирования
В международной практике план развития предприятия представляется в виде специальным образом оформленного бизнес-плана, который, по существу, представляет собой структурированное описание проекта развития предприятия. Если проект связан с привлечением инвестиций, то он носит название «инвестиционного проекта». Обычно любой новый проект предприятия в той или иной мере связан с привлечением новых инвестиций. В наиболее общем понимании проект – этоспециальным образом оформленное предложение об изменении деятельности предприятия, преследующее определенную цель.
Проекты принято подразделять на тактические и стратегические. К числу последних обычно относятся проекты, предусматривающие изменение формы собственности (создание арендного предприятия, акционерного общества, частного предприятия, совместного предприятия и т.д.), или кардинальное изменение характера производства (выпуск новой продукции, переход к полностью автоматизированному производству, и т.п.). Тактические проекты обычно связаны с изменением объемов выпускаемой продукции, повышением качества продукции, модернизацией оборудования.
Для отечественной практики понятие проекта не является новым. Его отличительное качество прежних времен заключалось в том, что основные направления развития предприятия, как правило, определялись на вышестоящем, по отношению к предприятию, уровне управления экономикой отрасли. В новых экономических условиях предприятие в лице его собственников и высшего состава управления должно само беспокоиться о своей дальнейшей судьбе, решая самостоятельно все стратегические и тактические вопросы. Такая деятельность в области инвестиционного проектирования должна быть специальным образом организована.
Общая процедура упорядочения инвестиционной деятельности предприятия по отношению к конкретному проекту формализуется в виде так называемого проектного цикла, который имеет следующие этапы:
1. Формулировка проекта (иногда используется термин идентификация). На данном этапе высший состав руководства предприятия анализирует текущее состояние предприятия и определяет наиболее приоритетные направления его дальнейшего развития. Результат данного анализа оформляется в виде некоторой бизнес идеи, которая направлена на решение наиболее важных для предприятия задач. Уже на этом этапе необходимо иметь более или менее убедительную аргументацию в отношении выполнимости этой идеи. На данном этапе может появиться несколько идей дальнейшего развития предприятия. Если все они представляются в одинаковой степени полезными и осуществимыми, то далее производится параллельная разработка нескольких инвестиционных проектов с тем, чтобы решение о наиболее приемлемых из них сделать на завершающей стадии разработки.
2. Разработка (подготовка) проекта. После того, как бизнес идея проекта прошла свою первую проверку, необходимо развивать ее до того момента, когда можно будет принять твердое решение. Это решение может быть как положительным, так и отрицательным. На этом этапе требуется постепенное уточнение и совершенствование плана проекта во всех его измерениях – коммерческом, техническом, финансовом, экономическом, институциональном и т.д. Вопросом чрезвычайной важности на этапе разработки проекта является поиск и сбор исходной информации для решения отдельных задач проекта. Необходимо сознавать, что от степени достоверности исходной информации и умения правильно интерпретировать данные, появляющиеся в процессе проектного анализа, зависит успех реализации проекта.
3. Экспертиза проекта. Перед началом осуществления проекта его квалифицированная экспертиза является весьма желательным этапом жизненного цикла проекта. Если финансирование проекта проводится с помощью существенной доли стратегического инвестора (кредитного или прямого), инвестор сам проведет эту экспертизу, например с помощью какой-либо авторитетной консалтинговой фирмы, предпочитая потратить некоторую сумму на этом этапе, нежели потерять большую часть своих денег в процессе выполнения проекта. Если предприятие планирует осуществление инвестиционного проекта преимущественно за счет собственных средств, то экспертиза проекта также весьма желательна для проверки правильности основных положений проекта.
4. Осуществление проекта. Стадия осуществления охватывает реальное развитие бизнес идеи до того момента, когда проект полностью входит в эксплуатацию. Сюда входит отслеживание и анализ всех видов деятельности по мере их выполнения и контроль со стороны надзирающих органов внутри страны и / или иностранного или отечественного инвестора. Данная стадия включает также основную часть реализации проекта, задача которой, в конечном итоге, состоит в проверке достаточности денежных потоков, генерируемых проектом для покрытия исходной инвестиции и обеспечения желаемой инвесторами отдачи на вложенные деньги.
5. Оценка результатов. Оценка результатов производится как по завершению проекта в целом, так и в процессе его выполнения. Основная цель этого вида деятельности заключается в получении реальной обратной связи между заложенными в проект идеями и степенью их фактического выполнения. Результаты подобного сравнения создают бесценный опыт разработчиков проекта, позволяя использовать его при разработке и осуществлении других проектов.
Практика проектного анализа позволяет обобщить опыт разработки проектов и перечислить типовые проекты. Основные типы инвестиционных проектов, которые встречаются в зарубежной практике, сводятся к следующим:
1. Замена устаревшего оборудования, как естественный процесс продолжения существующего бизнеса в неизменных масштабах. Обычно подобного рода проекты не требуют очень длительных и многосложных процедур обоснования и принятия решений. Многоальтернативность может появляться в случае, когда существует несколько типов подобного оборудования, и необходимо обосновать преимущества одного из них.
2. Замена оборудования с целью снижения текущих производственных затрат. Целью подобных проектов является использование более совершенного оборудования взамен работающего, но сравнительно менее эффективного оборудования, которое в последнее время подверглось моральному старению. Этот тип проектов предполагает очень детальный анализ выгодности каждого отдельного проекта, т. к. более совершенное в техническом смысле оборудование еще не однозначно более выгодно с финансовой точки зрения.
3. Увеличение выпуска продукции и / или расширение рынка услуг. Данный тип проектов требует очень ответственного решения, которое обычно принимается верхним уровнем управления предприятия. Наиболее детально необходимо анализировать коммерческую выполнимость проекта с аккуратным обоснованием расширения рыночной ниши, а также финансовую эффективность проекта, выясняя, приведет ли увеличение объема реализации к соответствующему росту прибыли.
4. Расширение предприятия с целью выпуска новых продуктов. Этот тип проектов является результатом новых стратегических решений и может затрагивать изменение сущности бизнеса. Все стадии анализа в одинаковой степени важны для проектов данного типа. Особенно следует подчеркнуть, что ошибка, сделанная в ходе проектов данного типа, приводит к наиболее драматическим последствиям для предприятия [8, с. 29].
5. Проекты, имеющие экологическую нагрузку. В ходе инвестиционного проектирования экологический анализ является необходимым элементом. Проекты, имеющие экологическую нагрузку, по своей природе всегда связаны с загрязнением окружающей среды, и потому эта часть анализа является критичной. Основная дилемма, которую необходимо решить и обосновать с помощью финансовых критериев – какому из вариантов проекта следовать: (1) использовать более совершенное и дорогостоящее оборудование, увеличивая капитальные издержки, или (2) приобрести менее дорогое оборудование и увеличить текущие издержки.
6. Другие типы проектов, значимость которых в смысле ответственности за принятие решений менее важна. Проекты подобного типа касаются строительства нового офиса, покупки нового автомобиля и т.д.
После формулировки бизнес идеи будущего инвестиционного проекта естественным образом возникает вопрос, способно ли предприятие реализовать эту идею в принципе. Для ответа на этот вопрос необходимо проанализировать состояние отрасли экономики, к которой принадлежит предприятие, и сравнительное положение предприятия в рамках отрасли. Данный анализ и составляет содержание предварительной стадии разработки и анализа инвестиционного проекта. В практике западного проектного анализа принято использовать следующие два критерия:
– зрелость отрасли;
– конкурентоспособность предприятия (его положения на рынке).
Анализ зрелости отрасли принято производить, относя ее к одному из четырех состояний развития: эмбриональному, растущему, зрелому и стареющему.
В соответствии со вторым критерием необходимо установить конкурентоспособность предприятия в рамках отрасли, к которой оно принадлежит. Другими словами, необходимо выяснить сравнительное с другими предприятиями положение данного предприятия на целевом рынке товаров или услуг. Принято использовать шесть основных состояний предприятия: доминирующее, сильное, благоприятное, неустойчивое, слабое, нежизнеспособное.
Сопоставляя критерии зрелости отрасли и конкурентной способности предприятия, мы можем представить матрицу жизненных циклов предприятия.
Представленная на рисунке 1 матрица носит конструктивный характер, устанавливая не только положение предприятия, но и давая принципиальные рекомендации по дальнейшему развитию.


Рисунок 1 – Матрица наборов жизненных циклов
Конечным результатом предварительной стадии анализа проекта является установление положения конкретного предприятия по указанным критериям.
Исходя из приведенной формализации, может быть рассмотрена одна из возможных стратегий развития предприятия, представленных в таблице 1.
Таблица 1 – Стратегии развития предприятия
| Положение | Стадии зрелости | |||||
| на рынке | Эмбриональная | Растущая | Зрелая | Стареющая | ||
| Доминирующее | Инвестируйте быстрей требований рынка | Удерживайте позиции. Удерживайте долю | Удерживайте позиции. Развивайтесь вместе с отраслью | Удерживайте позиции | ||
| Сильное | Инвестируйте со скоростью, диктуемой рынком | Попытайтесь улучшить положение. | Удерживайте позиции. Развивайтесь | Удерживайте позиции или подводите итоги | ||
| Неустойчивое | Избирательно подходите к завоеванию позиций | Найдите свою нишу и обороняйтесь | Найдите нишу и удерживайте ее или постепенно уходите | Уходите постепенно или сразу | ||
| Слабое | Вверх или вон | Перестраивайтесь или уходите совсем | Перестраивайтесь или постепенно уходите | Уходите сразу | ||
| Благоприятное | Избирательно или целиком увеличивайте долю. Все силы на увеличение рыночной доли | Попытайтесь улучшить положение. Избирательное увеличение доли | Выжидание или стабилизация. Найдите нишу и пытайтесь защищаться | Подводите итоги или постепенно уходите | ||
Новый проект почти наверное обречен на неудачу, если положение предприятия соответствует нижней правой части матрицы.
Стадия предварительного анализа не должна быть продолжительной по времени, и выводы, которые делаются на предварительном этапе преимущественно, базируются на качественных оценках. Тем не менее, эта стадия необходима, по крайней мере, по следующим двум причинам:
– при дальнейшем общении со стратегическим инвестором вопросы зрелости отрасли и конкурентного положения предприятия обязательно будут подниматься и к этому необходимо быть готовым заранее;
– если менеджеры предприятия не позаботятся об этом анализе, то стратегический инвестор сделает это сам и его выводы могут быть не столь благоприятными.
Несмотря на разнообразие проектов их анализ обычно следует некоторой общей схеме, которая включает специальные разделы, оценивающие коммерческую, техническую, финансовую, экономическую и институциональную выполнимость проекта. Добропорядочный, с точки зрения стратегического инвестора, проект должен оканчиваться анализом риска. На рисунке 2 представлена общая последовательность анализа проекта [10, с. 26].

Рисунок 2 – Общая последовательность анализа проекта
Задачей технического анализа инвестиционного проекта является:
– определение технологий, наиболее подходящих с точки зрения целей проекта;
– анализ местных условий, в том числе доступности и стоимости сырья, энергии, рабочей силы;
– проверка наличия потенциальных возможностей планирования и осуществления проекта.
Технический анализ обычно производится группой собственных экспертов предприятия с возможным привлечением узких специалистов. Стандартная процедура технического анализа начинается с анализа собственных существующих технологий. При этом необходимо руководствоваться следующими критериями: (1) технология должна себя хорошо зарекомендовать ранее, то есть быть стандартной, (2) технология не должна быть ориентирована на импортное оборудование и сырье.
Если оказывается невозможным использовать собственную технологию, то проводится анализ возможности привлечения зарубежной технологии и оборудования по одной из возможных схем:
– совместное предприятие с иностранной фирмой – частичное инвестирование и полное обеспечение всеми технологиями;
– покупка оборудования, которое реализует технологическое know-how;
– «turn-key» – покупка оборудования, постройка завода, наладка технологического процесса;
– «product-in-hand» – «turn-key» плюс обучение персонала до тех пор, пока предприятие не произведет необходимый готовый продукт;
– покупка лицензий на производство;
– техническая помощь со стороны зарубежного технолога.
Правило выбора технологии предусматривает комплексный анализ некоторых альтернативных технологий и выбор наилучшего варианта на основе какого-либо агрегированного критерия.
Ключевые факторы выбора среди альтернативных технологий сводятся к анализу следующих аспектов использования технологий:
1. Прежнее использование выбранных технологий в сходных масштабах (масштабы могут быть слишком велики для конкретного рынка).
2. Доступность сырья (сколько потенциальных поставщиков, какие их производственные мощности, качество сырья, каково количество других потребителей сырья, стоимость сырья, метод и стоимость доставки, риск в отношении окружающей среды).
3. Коммунальные услуги и коммуникации.
4. Нужно быть уверенным, что организация, которая продает технологию, имеет на нее патент или лицензию.
5. По крайней мере начальное сопровождение производства продавцом технологии.
6. Приспособленность технологии к местным условиям (температура, влажность и т.п.).
7. Загрузочный фактор (в процентах от номинальной мощности по условиям проекта) и время для выхода на устойчивое состояние, соответствующее полной производительности.
8. Безопасность и экология.
9. Капитальные и производственные затраты.
Расчет обобщенного критерия производится по формуле:
, (1)
где w – вес частного критерия;
Gk – величина частного критерия.
Наилучшим принимается технический проект, который имеет наибольшее значение критерия. В частности, в рассмотренном примере технические альтернативы А и D почти одинаковые, но можно отдать предпочтение D [11, с. 58].
Институциональный анализ оценивает возможность успешного выполнения инвестиционного проекта с учетом организационной, правовой, политической и административной обстановки. Этот раздел инвестиционного проекта является не количественным и не финансовым. Его главная задача – оценить совокупность внутренних и внешних факторов, сопровождающих инвестиционный проект.
Оценка внутренних факторов обычно производится по следующей схеме:
1. Анализ возможностей производственного менеджмента. Хорошо известно, что плохой менеджмент в состоянии завалить любой, даже сверх хороший проект. Анализируя производственный менеджмент предприятия, необходимо сфокусироваться на следующих вопросах:
– опыт и квалификация менеджеров предприятия;
– их мотивация в рамках проекта (например, в виде доли от прибыли);
– совместимость менеджеров с целями проекта и основными этическими и культурными ценностями проекта.
2. Анализ трудовых ресурсов. Трудовые ресурсы, которые планируется привлечь для реализации проекта должны соответствовать уровню используемых в проекте технологий. Данный вопрос становится актуальным в случае использования принципиально новой для предприятия зарубежной или отечественной технологии. Может сложиться ситуация, когда культура производства на предприятии попросту не соответствует разрабатываемому проекту, и тогда необходимо либо обучать рабочих, либо нанимать новых.
3. Анализ организационной структуры. Данный раздел инвестиционного проекта является наиболее сложным, учитывая практически полное отсутствие опыта на украинских предприятиях в этом вопросе. Принятая на предприятии организационная структура не должна тормозить развитие проекта. Необходимо проанализировать, как происходит на предприятии процесс принятия решений и как осуществляется распределение ответственности за их выполнение.
1.3 Основные критерии эффективности инвестиционного проекта и методы их оценки
Международная практика оценки эффективности инвестиций существенно базируется на концепции временной стоимости денег и основана на следующих принципах:
1. Оценка эффективности использования инвестируемого капитала производится путем сопоставления денежного потока (cash flow), который формируется в процессе реализации инвестиционного проекта и исходной инвестиции. Проект признается эффективным, если обеспечивается возврат исходной суммы инвестиций и требуемая доходность для инвесторов, предоставивших капитал.
2. Инвестируемый капитал равно как и денежный поток приводится к настоящему времени или к определенному расчетному году (который как правило предшествует началу реализации проекта).
3. Процесс дисконтирования капитальных вложений и денежных потоков производится по различным ставкам дисконта, которые определяются в зависимости от особенностей инвестиционных проектов. При определении ставки дисконта учитываются структура инвестиций и стоимость отдельных составляющих капитала.
Суть всех методов оценки базируется на следующей простой схеме:
Исходные инвестиции при реализации какого-либо проекта генерируют денежный поток CF1 , CF2 ,…, CFn . Инвестиции признаются эффективными, если этот поток достаточен для:
– возврата исходной суммы капитальных вложений;
– обеспечение требуемой отдачи на вложенный капитал.
Наиболее распространены следующие показатели эффективности капитальных вложений:
– дисконтированный срок окупаемости (DPB);
– чистое современное значение инвестиционного проекта (NPV);
– внутренняя норма прибыльности (доходности, рентабельности) (IRR).
Данные показатели равно как и соответствующие им методы, используются в двух вариантах:
– для определения эффективности независимых инвестиционных проектов (так называемая абсолютная эффективность), когда делается вывод о том принять проект или отклонить;
– для определения эффективности взаимоисключающих друг друга проектов (сравнительная эффективность), когда делается вывод о том, какой проект принять из нескольких альтернативных.
Существенным недостатком метода дисконтированного периода окупаемости является то, что он учитывает только начальные денежные потоки, именно те потоки, которые укладываются в период окупаемости. гораздо более привлекательным.
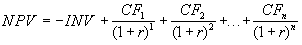
Метод чистого современного значения (NPV – метод)
Этот метод основан на использовании понятия чистого современного значения (Net Present Value)
, (2)
где CFi – чистый денежный поток; r – стоимость капитала, привлеченного для инвестиционного проекта.
В соответствии ссущностью метода современное значение всех входных денежных потоков сравнивается с современным значением выходных потоков, обусловленных капитальными вложениями для реализации проекта. Разница между первым и вторым есть чистое современное значение, величина которого определяет правило принятия решения.
Процедура метода.
Шаг 1. Определяется современное значение каждого денежного потока, входного и выходного.
Шаг 2. Суммируются все дисконтированные значения элементов денежных потоков и определяется критерий NPV.
Шаг 3. Производится принятие решения:
Общий вывод таков: при увеличении нормы доходности инвестиций (стоимости капитала инвестиционного проекта) значение критерия NPV уменьшается [15, с. 254].
Для полноты представления информации, необходимой для расчета NPV, приведем типичные денежные потоки.
Типичные входные денежные потоки:
– дополнительный объем продаж и увеличение цены товара;
– уменьшение валовых издержек (снижение себестоимости товаров);
– остаточное значение стоимости оборудования в конце последнего года инвестиционного проекта (так как оборудование может быть продано или использовано для другого проекта);
– высвобождение оборотных средств в конце последнего года инвестиционного проекта (закрытие счетов дебиторов, продажа остатков товарно-материальных запасов, продажа акций и облигаций других предприятий).
Типичные выходные потоки:
– начальные инвестиции в первый год(ы) инвестиционного проекта;
– увеличение потребностей в оборотных средствах в первый год(ы) инвестиционного проекта (увеличение счетов дебиторов для привлечения новых клиентов, приобретение сырья и комплектующих для начала производства);
– ремонт и техническое обслуживание оборудования;
– дополнительные непроизводственные издержки (социальные, экологические и т.п.).
Ранее было отмечено, что результирующие чистые денежные потоки, призваны обеспечить возврат инвестированной суммы денег и доход для инвесторов. Рассмотрим, как происходит разделение каждой денежной суммы на эти две части с помощью следующего иллюстрирующего примера.
Влияние инфляции на оценку эффективности инвестиций. Анализ влияния инфляции может быть произведен для двух вариантов:
– темп инфляции различный по отдельным составляющим ресурсов (входных и выходных);
– темп инфляции одинаковый для различных составляющих затрат и издержек.
В рамках первого подхода, который в большей степени отвечает реальной ситуации, особенно в странах с нестабильной экономикой, метод чистого современного значения используется в своей стандартной форме, но все составляющие расходов и доходов, а также показатели дисконта корректируются в соответствии с ожидаемым темпом инфляции по годам. Важно отметить, что произвести состоятельный прогноз различных темпов инфляции для различных типов ресурсов представляется чрезвычайно трудной и практически неосуществимой задачей.
В рамках второго подхода влияние инфляции носит своеобразный характер: инфляция влияет на числа (промежуточные значения), получаемые в расчетах, но не влияет на конечный результат и вывод относительно судьбы проекта. Рассмотрим это явление на конкретном примере.
В общем случае, если rр – реальная процентная ставка прибыльности, а Т – темп инфляции, то номинальная (контрактная) норма прибыльности запишется с помощью формулы:
, (3)
Внутренняя норма прибыльности (IRR).
По определению, внутренняя норма прибыльности (иногда говорят доходности) (IRR) – это такое значение показателя дисконта, при котором современное значение инвестиции равно современному значению потоков денежных средств за счет инвестиций, или значение показателя дисконта, при котором обеспечивается нулевое значение чистого настоящего значения инвестиционных вложений.
Экономический смысл внутренней нормы прибыльности состоит в том, что это такая норма доходности инвестиций, при которой предприятию одинаково эффективно инвестировать свой капитал под IRR процентов в какие-либо финансовые инструменты или произвести реальные инвестиции, которые генерируют денежный поток, каждый элемент которого в свою очередь инвестируется по IRR процентов [11, с. 185].
Математическое определение внутренней нормы прибыльности предполагает решение следующего уравнения
, (4)
где, CFj – входной денежный поток в j-й период;
INV – значение инвестиции.
Решая это уравнение, находим значение IRR. Схема принятия решения на основе метода внутренней нормы прибыльности имеет вид:
– если значение IRR выше или равно стоимости капитала, то проект принимается;
– если значение IRR меньше стоимости капитала, то проект отклоняется.
Таким образом, IRR является как бы «барьерным показателем»: если стоимость капитала выше значения IRR, то «мощности» проекта недостаточно, чтобы обеспечить необходимый возврат и отдачу денег, и следовательно проект следует отклонить.
В общем случае уравнение для определения IRR не может быть решено в конечном виде, хотя существуют ряд частных случаев, когда это возможно. Рассмотрим пример, объясняющий сущность решения. Сравнение NPV и IRR методов . К сожалению NPV и IRR методы могут конфликтовать друг с другом.
Принятие решения по критерию наименьшей стоимости .
Существуют инвестиционные проекты, в которых трудно или невозможно вычислить денежный доход. Подобного рода проекты возникают на предприятии, когда оно собирается модифицировать технологическое или транспортное оборудование, которое принимает участие во многих разноплановых технологических циклах и невозможно оценить результирующий денежный поток. В этом случае в качестве критерия для принятия решения о целесообразности инвестиций выступает стоимость эксплуатации.
Допущения, принятые при оценке эффективности.
В заключение отметим одно важное для понимания инвестиционных технологий обстоятельство: какие допущения принимаются при расчете показателей эффективности и в какой мере они соответствуют реальной практике.
При использовании всех методов существенно были использованы следующие два допущения:
1. Потоки денежных средств относятся на конец расчетного периода времени. На самом деле они могут появляться в любой момент в течение рассматриваемого года. В рамках рассмотренных выше инвестиционных технологий мы условно приводим все денежные доходы предприятия к концу соответствующего года.
2. Денежные потоки, которые генерируются инвестициями немедленно инвестируются в какой-либо другой проект, чтобы обеспечить дополнительный доход на эти инвестиции. При этом предполагается, что показатель отдачи второго проекта будет по крайней мере таким же, как показатель дисконтирования анализируемого проекта.
Используемые допущения, разумеется, не полностью соответствуют реальному положению дел, однако, учитывая большую продолжительность проектов в целом, не приводят к серьезным ошибкам в оценке эффективности [9, с. 261].
1.4 Расчетные схемы оценки показателей эффективности инвестиционных проектов
Прогноз прибыли от реализации инвестиционного проекта производится с помощью стандартного подхода, предполагающего последовательное вычитание из доходов предприятия (выручки) всех его издержек, в число которых включаются издержки на приобретение сырья и материалов, покупных изделий и полуфабрикатов, зарплата основных рабочих, издержки на энергию и топливо, амортизация, административные затраты, издержки, связанные с продажей и налоги.
Особое внимание уделим налогам, которые инвариантны по отношению к типу производства. Все налоговые платежи подразделяются на три группы, согласно следующей схеме, представленной на рисунке 1.4: налоговые издержки, включенные в себестоимость, налоговые платежи, включенные в цену и налог на прибыль. Наиболее часто меняющаяся часть – это налоги, относимые на себестоимость продукции. Прогноз прибыли необходимо производить исходя из системы налогов, действующей на момент разработки инвестиционного проекта.

Рисунок 3 – Классификация налоговых издержек
Оба эти подхода используют в качестве исходной информации прибыль предприятия до амортизации, процентных платежей и налога на прибыль. Этот показатель часто обозначают с помощью аббревиатуры EBDIT, от английского Earnings Before Depreciation, Interest and Taxes.
Важно отметить, что при разработке инвестиционного проекта рекомендуется производить прогноз данных первого года с разбивкой по месяцам, второго года – по кварталам, а для всех оставшихся лет прогноз осуществляется по итоговым годовым значениям. В некоторых случаях прогноз прибыли осуществляется по итоговым годовым показателям.
Поскольку окончательная эффективность инвестиционного проекта оценивается путем сравнения денежных потоков (а не прибыли) с исходным объемом инвестиций, полученные значения показателя чистой прибыли до амортизации, процентов и налога на прибыль необходимо пересчитать в величину денежного потока. Это может быть сделано с помощью двух расчетных схем, в зависимости от способа оценки расчетного показателя дисконта: традиционная схема и схема собственного капитала.
В дальнейшем эти две схемы рассматриваются отдельно.
Традиционная схема расчета показателей эффективности
Данная схема имеет следующие особенности:
– в качестве показателя дисконта при оценке NPV проекта используется взвешенная средняя стоимость капитала (WACC) проекта;
– в процессе принятия решения на основе IRR-метода значение внутренней нормы доходности проекта сравнивается с WACC;
– при прогнозе денежных потоков не учитываются процентные платежи и погашение основной части кредитной инвестиции.
Амортизация добавляется к чистой прибыли, так как не является денежным видом издержек и включается в валовые издержки для целей установления налога на прибыль.
Под «высвобождением рабочего капитала» понимается объем инвестиций в оборотные средства предприятия, связанные с увеличением дебиторской задолженности и товарно-материальных запасов, которые к концу проекта ликвидируются, что приводит к дополнительному положительному денежному потоку. Понятно, что этот денежный поток появляется только в последний год таблицы.
Остаточная стоимость оборудования также квалифицируется как положительный денежный поток в последний год проекта, так как допускается, что оборудование будет продано по остаточной стоимости или будет использовано для целей другого проекта.
Дополнительные денежные потоки в связи с изменением рабочего капитала появляются в том случае, когда основные статьи оборотных средств предприятия (дебиторская задолженность и товарно-материальные запасы) и краткосрочных обязательств (кредиторская задолженность) изменяются в процессе реализации проекта. Это является, главным образом, следствием изменения объема реализации предприятия. Действительно, если объем реализации увеличивается согласно проекту на 10 процентов, то пропорционально этому увеличивается дебиторская задолженность. Такое же положение имеет место для изменения статьи «товарно-материальные запасы». Увеличение кредиторской задолженности, наоборот, соответствует увеличению денежного потока [8, с. 156].
Возникает естественный вопрос: почему при расчете денежного потока не были учтены процентные платежи и погашение основной части долга. Дело в том, что дисконтирование денежных потоков производится в соответствии с показателем дисконта, равным взвешенной средней стоимости капитала (в которую в качестве одной из компонент входит стоимость долга) и все дисконтированные денежные потоки при определении показателя NPV сравниваются с общей суммой инвестиций (в которую в качестве одной из компонент входит кредитная доля совокупности финансовых ресурсов, привлеченных для проекта). Напомним, что процесс дисконтирования и последующее сравнение с исходной инвестицией при оценке показателя NPV соответствует вычитанию из денежных потоков дохода инвесторов (прямых и кредитных) и сопоставлению современных значений денежных потоков с исходным объемом инвестиций (прямых и кредитных). Таким образом, если бы мы вычли процентные платежи и выплату основной части долга при прогнозе денежных потоков, мы тем самым учли бы долговую компоненту дважды: один раз в прямом виде в таблице прогнозов денежных потоков, а другой раз в процессе дисконтирования и вычисления NPV.
Расчетная схема для оценки эффективности инвестиций приобретает законченный вид.
1. Исходя из структуры финансирования инвестиций и стоимости отдельных компонент (при заданной ставке налога на прибыль) оцениваем взвешенную среднюю стоимость капитала WACC.
2. Производим расчет показателя NPV по следующей формуле:
, (5)
где INV – суммарный объем инвестиций; r = WACC .
3. Если используется IRR-метод, то значение показателя IRR определяется с помощью решения уравнения
, (6)
Полученное значение внутренней нормы прибыльности затем сравнивается с взвешенной средней стоимостью капитала, и проект принимается с точки зрения финансовой эффективности, если IRR > WACC.
Согласно схеме собственного капитала расчет показателей эффективности инвестиционного проекта производится при следующих допущениях:
– в качестве показателя дисконта при оценке NPV проекта используется стоимость собственного капитала проекта, причем в каче качестве расчетного объема инвестиций принимаются только собственные инвестиции,
– в процессе принятия решения на основе IRR-метода значение внутренней нормы доходности проекта сравнивается со стоимостью собственного капитала,
– при прогнозе денежных потоков учитываются процентные платежи и погашение основной части кредитной инвестиции.
Расчет показателей эффективности производится с помощью следующей процедуры.
1. Оцениваем стоимость собственного капитала компании rE .
2. Производим расчет показателя NPV по следующей формуле:
, (7)
где INVЕ – объем собственных инвестиций; r = rE .
3. Если используется IRR-метод, то значение показателя IRR определяется с помощью решения уравнения
![]()
Полученное значение внутренней нормы доходности затем сравнивается со стоимостью собственного капитала, и проект принимается, если IRR > rE .
По существу, в соответствии со второй схемой оценивается эффективность применения собственного капитала предприятия. Все кредитные элементы инвестиционной схемы «изымаются» из расчета.
Приведенные расчетные схемы приводят обычно к одинаковому результату. Тем не менее, второй подход, предполагающий оценку эффективности применения собственного капитала, является более наглядным для кредитного инвестора и более гибким.
В самом деле, кредитный инвестор в процессе анализа проекта может наблюдать в виде численных значений процентные платежи и погашение основной части долга в расчетной схеме прогноза денежных потоков. Результирующий денежный поток он расценивает в качестве элемента гарантии платежеспособности предприятия – если предприятие не будет в состоянии реализовать все свои планы в отношении объемов реализации и валовых издержек, то это может снизить результирующие денежные потоки, но наличие больших положительных чистых денежных потоков повышает уверенность кредитора в том, что он вернет свои деньги и получит проценты, так как имеет более высокий приоритет [4, с. 18].
Второе преимущество схемы собственного капитала заключается в его большей гибкости. Если схема обслуживания долга носит характер существенно неодинаковых годовых выплат, например, кредитор может предоставить отсрочку от погашения основной части долга на два года, то традиционная схема не «почувствует» этой особенности, тогда как в рамках схемы собственного капитала это адекватно отразится на результатах оценки эффективности проекта.
1.5 Анализ методики разработки бизнес-плана
Бизнес-план состоит из следующих разделов:
1. Возможности фирмы (резюме).
2. Виды товаров (услуг).
3. Рынки сбыта товаров (услуг).
4. Конкуренция на рынках сбыта.
5. План маркетинга.
6. План производства.
7. Организационный план.
8. Правовое обеспечение деятельности фирмы.
9. Оценка риска и страхования.
10. Финансовый план.
Возможности фирмы.
В условиях рынка руководство каждой фирмы должно постоянно ставить перед собой следующие вопросы:
– что представляет собой фирма;
– кто является покупателем товаров и услуг фирмы;
– каковы потребности этих покупателей и что именно ценно для них в товарах и услугах фирмы;
– какой станет фирма в перспективе;
– какой она должна быть.
На эти вопросы требуется дать обстоятельные ответы, совокупность этих ответов по существу является программой деятельности фирмы. При разработке программы должны быть четко определены направленность и сферы деятельности фирмы.
Границами сфер деятельности могут быть производимые товары, существующие рынки или сегменты рынков, а также технологические возможности фирмы. Разработка программы развития фирмы является первым этапом стратегического планирования. Стратегическое планирование – это управленческая деятельность по созданию и поддержанию стратегического соответствия между целями фирмы, потенциальными возможностями и шансами в сфере маркетинга.
Задача руководства фирмы – создать хозяйственный механизм, обеспечивающий наиболее быструю адаптацию фирмы к изменяющимся внешним условиям. Это позволяет уменьшить неопределенность и риск в хозяйственной деятельности, обеспечить концентрацию ресурсов на выбранных приоритетных направлениях.
Стратегия формулирует основные цели фирмы и пути их достижения таким образом, чтобы обеспечить единую направленность действий всего коллектива фирмы.
Исходя из сказанного, смысл стратегического планирования состоит в следующем:
1. Создание условий для сдерживания стремления руководителей к максимальной прибыли, в ущерб достижению долговременных целей.
2. Ориентирование руководителей в большей степени на предвидение будущих изменений внешней среды, нежели на реагирование на уже происходящие изменения.
3. Создание условий руководству фирмы для установления обоснованных приоритетов распределения ресурсов, с целью их мобилизации для достижения конкретных поставленных целей.
Важным фактором стратегического планирования является то, чтобы стратегия, разработанная руководителями высшего звена управления фирмой, была бы поддержана руководителями среднего звена и всеми работниками фирмы. Работники фирмы должны четко представлять свою роль в деятельности фирмы и достижении ее долговременных и краткосрочных целей, для чего они должны быть достаточно информированы.
Очевидно, что без ясной формулировки целей нет возможности выполнить последнее правило и, следовательно, объединить усилия всех работников. Таким образом, вторым этапом стратегического планирования является определение целей и задач фирмы.
При формулировании целей фирмы рекомендуется использовать как количественные показатели (доли рынков фирмы по странам, товарам или их сегментам; объемы продаж товаров и услуг на рынках в натуральном и денежном выражении; размер прибыли фирмы; производственные издержки по изготовлению и сбыту продукции), так и качественные показатели, характеризующие освоение новых рынков, разработку и сбыт новой продукции, охрану окружающей среды в тех странах, где действует фирма, обеспечение занятости на местах где фирма ведет работу(торговлю) или открывает филиалы.
В настоящее время в условиях перехода России к рыночной экономике для стратегического планирования фирмы может быть использована следующая схема:
Программа деятельности фирмы – выжить в экономического спада и роста инфляции в стране. Цели фирмы:
1. Как можно быстрее адаптировать хозяйственную деятельность и систему управления фирмой к изменяющимся внешним и внутренним экономическим условиям.
2. Максимально сохранить коллектив специалистов и руководящих работников, имеющихся на фирме.
3. Обеспечить стабильное финансовое и материальное положение фирмы в отрасли и на ее целевых рынках.
Стратегия фирмы:
1. Максимально участвовать в государственных программах развития и производства товаров и услуг дотируемых за счет бюджетных ассигнований.
2. Вести постоянный поиск российских заказчиков на товары и услуги, которые могут быть произведены (предоставлены) фирмой.
3. Проанализировать спрос, определить перечень и организовать выпуск новых товаров и предоставление новых услуг, которые отвечают возможностям фирмы и могут распространяться среди населения непосредственно или через торговую сеть.
4. Организовать эффективную рекламу всех товаров и услуг фирмы.
5. Вести постоянный поиск зарубежных заказов на товары и услуги, которые могут быть произведены (предоставлены) фирмой.
6. Проводить активную коммерческую деятельность (сдача в аренду помещений и территорий, кредитование, сбыт товаров других фирм и т.д.).
7. Уменьшение производственных издержек и накладных расходов, производимым фирмой товарам и услугам.
Чем четче выдвигает фирма свои цели в рамках количества места и времени, тем конкретнее может быть разработана стратегия их достижения.
Подцели определяют возможные направления увеличения прибыли фирмы. Рост сбыта, снижения издержек и повышения продажной цены, связанной с разработкой новой, более качественной продукции. Для достижения поставленной общей цели и подцелей сформулированы пять возможных стратегий для каждой из принятых стратегий, рекомендуется разработать планы конкретных мероприятий, в которых необходимо ответить на следующие вопросы:
– чем будет заниматься фирма в планируемый период;
– ккакие средства необходимы для этого и где их планируется получить;
– чем предлагаемые фирмой товары (услуги) лучше подобной продукции конкурентов и почему потребители захотят приобрести именно их;
– какие объемы продаж товаров прогнозируются в ближайшие годы;
– какова ожидаемая выручка от продаж;
– каковы планируемые затраты на производство товаров;
– какая ожидается чистая прибыль;
– каков уровень прибыльности инвестиций в это дело;
– по истечении какого срока заемные средства могут быть гарантированно возвращены.
Далее необходимо рассмотреть условия работы фирмы, в качестве которых можно назвать, например, следующие факторы:
– циклы деловой активности фирмы;
– изменение конъюнктуры рынка;
– наличие рабочей силы;
– источники материальных и финансовых ресурсов;
– взаимодействие с государственными организациями, органами и предприятиями отрасли;
– основные конкуренты фирмы и другие факторы [26, с. 18].
В этом разделе рекомендуется сообщить основные данные о фирме, т.е. характерные условия работы фирмы, данные о создании и регистрации фирмы, форме собственности, уставном фонде, структуре капитала, контактные телефоны руководства фирмы.
Виды товаров и услуг.
В настоящее время в отечественной экономике разумно поступает тот предприниматель, который для своего бизнеса выбирает товары и услуги, производство или оказание которых требует минимальной кооперации и поставок со стороны или где достижима широкая заменяемость исходного сырья и материалов. Планирование ассортимента товаров (услуг) является важнейшей функцией менеджмента фирмы. Прежде всего здесь должны учитываться возможности фирмы: производственные, финансовые, материальные ресурсы, система сбыта продукции, квалификация имеющегося персонала и т.д. Далее должны учитываться потребности рынка и требования потенциальных покупателей к показателям товаров.
В результате анализа информации о возможностях фирмы и рыночных требованиях фирма может выбрать ассортимент, приспособить его к отдельным сегментам рынка. Тем самым определяется место, которое каждый товар занимает на рынке среди товаров-аналогов и товаров-конкурентов.
Далее фирма проводит целенаправленную деятельность по повышению качества, выбранного ассортимента товаров, добиваясь наибольшего соответствия его показателей потребительским требованиям. При выборе ассортимента товаров необходимо учитывать, что вся продукция предлагаемая для продажи может быть условно разделена в зависимости от уровня качества на четыре группы: высшая, конкурентоспособная, пониженная, с низкой конкурентоспособностью.
При формировании ассортимента товаров весьма полезным для фирмы может стать опыт маркетинговой деятельности по исследованию жизненного цикла товаров (ЖЦТ).
ЖЦТ – это период времени, в течение которого товар разрабатывается, внедряется и реализуется на рынке. Концепция ЖЦТ используется при создании и сбыте продукции, разработке стратегии маркетинга с момента поступления товара на рынок до его снятия с рынка. ЖЦТ может быть представлен как определенная последовательность различных стадий существования товара на рынке, ограниченных определенными временными рамками.
Динамика жизни товара определяет объем возможных или фактических продаж в каждом периоде времени существования спроса на него.
Принято выделять следующие виды ЖЦТ:
1. Традиционный, т.е. постепенные рост и падение спроса.
2. Бум (мода), т.е. быстрый рост спроса и сохранение его на высоком уровне достаточно длительное время.
3. Увлечение, т.е. быстрый рост и быстрое падение спроса.
4. Сезонность, т.е. ритмичность сохранения спроса на высоком уровне по временам года и др.
Однако, несмотря на разнообразие жизненных циклов товаров можно выделить основные стадии, характерные для всех вариантов:
– разработка;
– внедрение;
– рост спроса;
– зрелость (стабилизация);
– спад спроса.
Таким образом, товарная политика фирм складывается из 3-х элементов:
– своевременное внесение в товар изменений (модификация);
– создание и внедрение на рынок нового товара;
– прекращение производства товара не имеющего спроса.
Основными побудителями политики модификации обычно служат требования потребителей, обычаи страны, климатические условия, социально-культурный уровень населения, возможности ремонтных и обслуживающих организаций, стоимость рабочей силы, система налогообложения, тарифы и т.д.
Рынки сбыта товаров и услуг.
Одна из основных задач фирмы – определение ёмкости каждого конкретного рынка для каждого товара (услуги). Эти показатели будут характеризовать возможные объёмы сбыта. Они определяются натуральным и стоимостными показателями реализованных или потенциально реализованных товаров в течении определённого периода. При этом необходимо учитывать, что при анализе ёмкости рынка необходимо произвести оценку:
1. Потенциальной ёмкости рынка, т.е. общего количества товаров которые покупатели данного рынка могут приобрести за определённое время.
2. Потенциального объёма продаж, т.е. той доли потенциального рынка, которую предприниматель в принципе может захватить и соответственно того максимального количества товаров, на реализацию которого он может рассчитывать при его возможностях. В итоге такого анализа предприниматель сможет потенциально определить количество клиентов, на которое ему можно рассчитывать, но рассчитывать не значит их получить поэтому нужна ещё и реальная оценка рынка.
3. Реального объёма продаж, необходимо оценить сколько реально предприниматель сможет продать (выручить) за оказанные услуги при имеющихся условиях его деятельности, возможных затратах и тому уровню цен, который он намерен установить и главное как этот показатель может изменяться месяц за месяцем, квартал за кварталом на несколько лет вперёд.
Конкуренция на рынках сбыта .
Этот раздел необходимо посвятить анализу рыночной конъюнктуры, характеристики своих конкурентов, их стратегии и тактики. В этом разделе необходимо дать ответы на следующие вопросы с учётом деятельности конкурента:
1. Является ли область деятельности фирмы новой и быстро меняющейся, или же давно существующей и не подверженной быстрым изменениям?
2. Существует ли большое число фирм предлагающих подобные товары или услуги, или же в конкурентной борьбе участвует ограниченное их число?
3. Почему данную фирму следует считать конкурентной?
4. Какую часть рынка контролируют крупные фирмы? Какова динамика овладения этими фирмами рынком?
5. Какие организационные структуры наиболее распространены на фирмах ваших конкурентов?
6. Как обстоят дела у фирм конкурентов с доходами, с внедрением новых моделей, с послепродажным обслуживанием и т.д.?
7. Какова конкурентоспособность каждого товара на рынке и сегменте?
8. Как и почему в зависимости от конкуренции целесообразно расширять или сокращать ассортимент товаров?
9. На какой стадии ЖЦТ фирма собирается выйти на рынок?
10. На какие рынки и сегменты следует продвигать новые товары, какие и почему?
11. Какие товары следует снять с производства и почему?
12. Является ли проведение научных исследований и осуществление новых разработок важной частью успеха в вашей сфере бизнеса?
13. Что является предметом наиболее жёсткой конкуренции в вашей сфере деятельности (цена, качество, послепродажное обслуживание, имидж фирмы и др.)?
14. Много ли внимания и средств ваши конкуренты уделяют рекламе своих товаров? Услугами каких рекламных фирм они пользуются?
15. Что собой представляет продукция конкурентов: основные технико-экономические показатели, уровень качества, дизайн и т.д.?
16. Каков уровень цен на продукцию конкурентов? Какова хотя бы в общих чертах их политика цен?
17. Каков имидж фирм конкурентов?
Для оценки своих сравнительных преимуществ по перечисленным вопросам можно использовать метод сегментации рынков по основным конкурентам, позволяющий систематизировать информацию по конкурентоспособности фирмы и её главных конкурентов. Дальнейший анализ конкурентов связан с ответами на следующие вопросы [26, с. 48]:
1. Какие планы существуют у конкурентов в отношении их доли рынка, повышения рентабельности производства и увеличения объёма продаж?
2. Какой рыночной стратегии придерживаются ваши конкуренты в настоящее время?
3. С помощью каких средств они обеспечивают её реализацию?
4. Каковы их сильные и слабые стороны?
5. Какие действия можно ожидать в будущем от нынешних и возможных конкурентов?
План маркетинга.
При определении стратегии маркетинга необходимо исходить из пяти возможных концепций маркетинговой деятельности:
1. Концепция совершенствования производства (производственная). Утверждающая, что товары и услуги фирмы найдут сбыт на рынке, если они будут широко распространены и доступны по ценам. Руководство фирмы, избравшему эту концепцию деятельности необходимо отдать стратегический приоритет совершенствования производства (снижению производственных издержек) и повышению эффективности функционирования каналов распределения.
2. Концепция совершенствования товара. Утверждает, что на рынке найдут сбыт товары и услуги, отличающиеся наивысшим качеством, лучшими характеристиками и эксплуатационными показателями. Руководству фирмы, избравшему эту концепцию необходимо свои усилия скоординировать на совершенствование товаров путем его модификации и разработки новых моделей.
3. Концепция интенсификации коммерческих усилий (сбытовая). Утверждает, что товары и услуги найдут сбыт на рынке, если фирма затратит значительные усилия на сферу сбыта и стимулирование продаж.
4. Концепция маркетинга (потребительская). Утверждает, что товары и услуги найдут сбыт на рынке, если фирма правильно определит нужды и потребности целевых рынков и удовлетворит их более эффективно и продуктивно, чем конкурент.
5. Концепция социально-этического маркетинга. Состоит в применении концепций маркетинга с учетом одновременного выполнения услуг, удовлетворения потребностей покупателей товаров и общества в целом.
В комплекс мероприятий по маркетингу обычно входит:
– изучение потребителей товаров и услуг фирмы и их поведение на рынке;
– анализ рыночных возможностей фирмы;
– оценка выпускаемых товаров и предлагаемых услуг, перспектива их развития;
– анализ используемых форм и каналов сбыта;
– оценка используемых фирмой методов ценообразования;
– исследования мероприятий по продвижению товаров (услуг) на рынок;
– изучение конкурентов;
– выбор «ниши» или наиболее благоприятного сегмента рынка.
Следует помнить, что такие элементы маркетинга, как для рынка, сегментирование, позиционирование товаров на рынке являются основополагающими. В конечном счете, вся маркетинговая деятельность фирмы направлена на создание новых товаров, необходимых потребителям на отыскание новых рынков для своих товаров и удержание своей доли рынка.
От этой деятельности зависит объем реализации товаров и прибыль, которая является главной целью фирмы.
Доля рынка фирмы, это часть рынка отрасли (под отраслью здесь понимается совокупность фирм, производящих и реализующих однородную продукцию), которая используется фирмой для производства своих товаров.
Доля рынка изменяется во времени в зависимости от деятельности фирмы по активизации маркетинговых факторов. Одним из важнейших элементов плана маркетинга является ценообразование.
Цена связана с такими функциями маркетинга, как характеристика и образ товаров и фирмы. Цены часто меняются на протяжении жизненного цикла товаров. От высоких для привлечения избирательных покупателей, следующих моде и ориентирующихся на престиж до низких цен для массового потребления.
При анализе используемых на фирме способов ценообразования целесообразно исходить из следующих положений: возможная цена может определяться исходя из:
– себестоимости продукции;
– цены продукции на аналогичный товар или субституты;
– уникальных достоинств товара;
– цен, определяемых спросом на данный товар.
На основе себестоимости обычно оценивается минимально возможная цена, которая соответствует наименьшим издержкам производства.
На основе анализа цен конкурентов определяют средний уровень цен на товары. Максимально возможная цена для товаров, отличающихся высоким качеством или уникальными достоинствами. Цены, определяемые спросом или конъюнктурой рынка данных товаров могут колебаться во всем диапазоне от минимальных до максимальных цен.
Следующим важным этапом маркетинга является схема распространение товаров, те есть организация товаров сбыта. Канал сбыта – путь, по которому товары движутся то производителя к потребителям.
Важным элементом маркетинга является реклама, предназначенная для информированности покупателей, привлечения их внимания к данному товару, услуге и распространению предложений, советов, рекомендаций по приобретению данной продукции. В структуре рекламы выделяются следующие пять основных моментов:
1. Способность привлечь внимание.
2. Сила эмоционального воздействия.
3. Сила воздействия на факторное поведение.
4. Информативность.
5. Способность вызвать желание прочитать рекламное сообщение до конца.
План производства.
Главная задача – показать своим потенциальным партнёрам, что фирма будет в состоянии реально производить потребное количество товаров в нужные сроки и с необходимым качеством. Иными словами предпринимателю здесь необходимо доказать, что он может организовать эффективное производство.
Данные этого раздела желательно привести в перспективе на два, три года вперёд, а для крупных фирм даже на четыре, пять лет. Очень полезным элементом планирования здесь может стать составление схемы производственных потоков по фирме. На ней должно быть последовательно показано: откуда, как и в каком количестве будут поступать все виды сырья и комплектующих изделий; в каких цехах или фирмах-смежниках, по каким технологиям будут перерабатываться в продукцию, выпускаемую фирмой, как и куда эта продукция будет поставляться [26, с. 56].
Внешние эксперты будут рассматривать данный раздел бизнес-плана прежде всего с точки зрения того, насколько рациональна данная схема, обеспечивает ли она оптимальное сокращение затрат труда, времени и материалов, а также обеспечивает ли она быстроту изменения ассортимента продукции в связи с требованиями рынка. Важное значение для конкурентоспособности продукции имеет не только репутация самой фирмы, но и репутация её поставщиков, фирм-смежников, так как уровень качества продукции, следовательно, и её престиж, определяется по самому сложному звену технологической цепочки. На схеме производственных потоков обязательно нужно указать на каких стадиях технологического процесса, какими методами будет производиться контроль качества, какими документами этот процесс будет регламентироваться. Для вновь создаваемых предприятий целесообразно указать их местоположение. Это особенно важно для мелких фирм торговли, сервиса и общепита, а также для предприятий, создающих большую нагрузку на окружающую среду.
Организационный план.
Одним из важнейших моментов, который надо достаточно подробно здесь осветить, является организационная схема фирмы, из которой должно быть чётко видно, кто и чем будет заниматься, как все службы и подразделения будут взаимодействовать между собой, как намечается координировать и контролировать их деятельность. Как правило, это описывается следующим образом:
– организационная структура фирмы;
– организационная схема управления фирмой;
– состав служб, подразделений и их функции;
– организация координирования и взаимодействия служб и подразделений фирмы в нештатных и сбойных ситуациях.
Не менее важным для работы фирмы является разработка системы подбора, расстановки и использования персонала. С момента приёма на работу первого сотрудника фирмы начинают складываться негласные правила найма. Отправной точкой при этом должны быть квалификационные требования, то есть предприниматель должен определить какие именно специалисты, какого профиля, с каким образованием и с какой зарплатой ему понадобятся для успешного функционирования предприятия. Поэтому уже на начальном этапе необходимо разработать квалификационные требования к персоналу, а также всю документацию, регламентирующую процессы найма, использования и увольнения персонала. В некоторых случаях требуется разработать дополнительные системы подготовки и переподготовки сотрудников.
В этом же разделе необходимо указать, как фирма собирается заполучить специалистов на постоянную работу, в качестве совместителей, а также отметить, будет ли фирма сама заниматься наймом или прибегнет к услугам специализированных организаций.
Для менеджмента фирмы должна быть разработана система профессионального продвижения, а также система стимулирования его заинтересованности в достижении фирмой высоких экономических результатов (владение акциями, процент от прибыли). В том случае, если часть управленческого персонала уже нанята, предприниматель должен дать о них краткие биографические справки, делая упор на его квалификацию, прежний опыт работы, полезность для фирмы.
Таким образом, данный раздел бизнес-плана должен осветить такие моменты, как система управления фирмой и её кадровая политика.
Формально это выглядит следующим образом:
1. рабочая сила, её связи с управлением:
1.1. потребность в кадрах по профессиям,
1.2. квалификационные требования к ним,
1.3. форма привлечения к труду (постоянная работа, надомная работа, работа по совместительству),
1.4. заработная плата по профессиям,
1.5. наличие квалифицированной и неквалифицированной рабочей силы в месте расположения фирмы,
1.6. виды специальной подготовки, требующейся для работников фирмы,
1.7. дополнительные льготы для сотрудников фирмы, по сравнению с другими фирмами в этом же регионе, этой же отрасли,
1.8. режим труда на фирме и сменяемость рабочей силы;
2. менеджмент:
2.1. общие сведения об исполнительных работниках и руководящем персонале: возраст, образование, владение акциями фирмы, функциональные обязательства, права и полномочия, опыт работы, слабые и сильные места, рекомендации по самосовершенствованию;
2.2 система стимулирования труда менеджмента: материальные стимулы, моральные стимулы, кадровая политика фирмы.
Правовое обеспечение деятельности фирмы.
Этот раздел особенно важен для новых фирм. Особое внимание предприниматель должен обратить на обоснование организационно-правовой структуры фирмы, в котором он предполагает вести дело. Практически речь идёт о форме собственности и правовом статусе фирмы: частное владение, кооператив, государственное владение, открытая или закрытая акционерная компания, совместное предприятие и так далее. Каждая из этих форм имеет свои особенности, свои плюсы и минусы, которые тоже могут повлиять на успех проекта, и потому интересны для инвесторов и партнёров, но главное предприниматель должен обосновать причины выбора той или иной формы собственности и организации дела, наметить возможные перспективы изменений этих форм и объяснить – почему он считает такую стратегию наилучшей.
Помимо обоснования форм собственности в разделе должны быть представлены все законодательные и нормативные акты, регулирующие деятельность фирмы. Формальное содержание данного раздела таково:
– дата создания и регистрации;
– кем и когда зарегистрировано;
– учредительные документы;
– юридический адрес;
– форма собственности;
– наиболее значительные акционеры фирмы;
– для акционерного общества (количество разрешённых к выпуску акций, количество выпущенных в обращение акций, стоимость одной акции);
– аспекты деятельности фирмы, подлежащие государственному контролю и предписаниям;
– копии лицензий на виды деятельности, подлежащие рассмотрению в бизнес-плане;
– копии соглашений и договоров с другими организациями по данным видам деятельности;
– изменения в законодательстве, которые могут оказать влияние на деятельность фирмы и другие документы (договора аренды, патенты, контракты);
– особенности правовой системы страны рынка в части (политическая система, законы об охране окружающей среды, патентная защита, охрана труда и техника безопасности, охрана прав потребителей).
Оценка риска и страхование.
Вопросы, связанные с рисками, их оценками, прогнозированием и управлением очень важны, так как инвесторы (кредиторы) хотят знать, с какими проблемами может столкнуться фирма и как предприниматель собирается выйти из сложной ситуации. Глубина анализа рисковости дел зависит от конкретного вида деятельности предпринимателя и величины проекта. Для крупных проектов необходим тщательный просчёт рисков с использованием математических моделей теории вероятности. Для более простых проектов достаточен простой анализ с помощью экспертных оценок. При этом главное не сложность расчетов и не точность вычисления вероятности возможных ситуаций, а умение предпринимателя заранее предугадать все типы возможных рисков, с которыми он может столкнуться, источники этих рисков и моменты их возникновения. Затем должны быть разработаны меры по сокращению этих рисков и минимизации потерь, которые они могут вызвать.
Ассортимент рисков весьма широк, а вероятность возникновения каждого типа рисков различна, также как и сумма убытков, которые они могут вызвать. Поэтому предприниматель должен хотя бы приблизительно оценить то, какие риски для него наиболее вероятны и во что они могут обойтись фирме в случае их возникновения. Для этого необходимо следующее:
– выявить полный перечень возможных рисков;
– определить вероятность возникновения каждого;
– оценить ожидаемый размер убытков при их возникновении;
– проранжировать их по вероятности возникновения;
– установить приемлемый уровень риска и отбросить все риски, вероятность которых ниже установленного.
После анализа возможных рисков и выявления среди них наиболее существенных предпринимателю необходимо определить для каждого из них организационные меры по их профилактике и нейтрализации.
Что касается страхования от рисков, то следует отметить, что в нашей стране эта система развита крайнее слабо. В странах с развитой системой страхования достаточно указать в бизнес-плане, какие типы страховых полисов, на какие суммы и в каких страховых компаниях планируется приобрести.
Финансовый план.
Настоящий раздел рассматривает вопросы финансового обеспечения деятельности организации и наиболее эффективного использования имеющихся денежных средств на основе оценки текущей финансовой информации и прогноза объёма реализации товаров на рынках в последующих периодах. Для фирмы как целостного механизма целесообразно результаты финансовой деятельности представлять в виде определенных планово-отчетных документов, перечень которых приведен ниже. Подобный перечень не совсем привычен для российских предприятий. Но он соответствует требованиям международной практики, которые опираются на несколько иную систему бухгалтерского учета. Однако в настоящее время уже проводится работа по переходу на отчетность соответствующую стандартам европейского бухучета. Названные ниже документы позволяют менеджеру фирмы провести анализ самоокупаемости производства товаров с помощью методики финансовых коэффициентов и определить потребности в капиталовложениях.
Оперативный (рабочий) план (отчёт). Он отражает за каждый период результаты взаимодействия фирмы и её целевых рынков по каждому товару и рынку. На фирме этот документ должен разрабатываться службой маркетинга. План (отчёт) о доходах и расходах по производству товаров. Он показывает, получит ли фирма прибыль от продажи каждого вида товаров. Этот документ разрабатывается экономической службой фирмы по каждому виду товаров. План (отчёт) о движении денежных средств. Этот документ показывает процесс поступлений и расходования денег в ходе деятельности фирмы. Он разрабатывается финансовой службой фирмы. Балансовый отчёт. Он подводит итог экономической и финансовой деятельности фирмы за прошедший период, обычно разрабатывается главной бухгалтерией.
В указанных планово-отчетных документах отражаются планируемые и фактически полученные величины показателей за отчетный период. Продолжительность планово-отчетных периодов в зависимости от конкретных условий может изменяться в пределах: месяц, квартал, полгода, год. В условиях стабильной деятельности фирмы продолжительность периодов может быть увеличена. Здесь необходимо учитывать следующие факторы: уменьшение продолжительности периода с одной стороны увеличивает оперативность принятия руководством фирмы управленческих решений, а с другой стороны увеличивает объём расчётных и аналитических работ. Общая продолжительность планирования рекомендуется равной 3-м годам [26, с. 95].
По прошествии отчётного периода определяются фактические величины показателей, на основе которых проводится корректирование показателей, запланированных на следующий период. Оперативный отчёт необходим для обеспечения успешной финансовой деятельности фирмы, поэтому при его составлении необходимо использовать объективную информацию о тенденциях экономического развития в сфере деятельности фирмы: инфляции, возможных изменениях в технологии и организации процесса производства. Отчет о расходах, по данным этого плана (отчёта) можно установить приносит ли фирме прибыль данный товар, можно сравнить различные товары по прибыльности, с тем, чтобы принять решение о целесообразности их дальнейшего производства. Просуммировав данные по всем товарам и услугам фирмы можно оценить суммарную прибыль. Задача этого документа в том, чтобы показать, как будет формироваться и изменяться прибыль в течение 1-го года помесячно; 2-го года поквартально и далее в расчёте на год. Таким образом, план-отчёт о расходах и доходах предоставляет руководству фирмы о результатах её работы по разным направлениям. Он определяет в целом, насколько эффективно работает фирма. Кроме того, он необходим при обращении за ссудами, а также при заполнении налоговых деклараций. План-отчёт о движении денежных средств показывает руководству фирмы сколько в его распоряжении имеется денег и какова потребность в них. При этом плановые показатели являются результатом планирования во времени, а отчётные показывают фактическую величину наличия финансовых средств. Данная информация необходима руководству фирмы для выработки решений.
Отчёт составляется как суммарный результат деятельности фирмы по всем видам товаров и услуг.
Заключительным документом является балансовый отчёт. В балансовом отчёте содержится полный перечень активов фирмы (собственность) и пассивов (задолженность). Этот документ показывает чистую стоимость или ликвидность фирмы, данную информацию, как правило, запрашивают кредиторы, она также необходима при подаче налоговых деклараций.
2. Анализ финансового состояния ОАО СК «Стройком»
Финансовое состояние предприятия характеризуется системой показателей, отражающих состояние капитала в процессе его кругооборота и способность субъекта хозяйствования финансировать свою деятельность на фиксированный момент времени.
Финансовое состояние может быть устойчивым, неустойчивым и кризисным. Способность предприятия успешно функционировать и развиваться, сохранять равновесие своих активов и пассивов в изменяющейся внутренней и внешней среде, постоянно поддерживать свою платёжеспособность и инвестиционную привлекательность в границах допустимого уровня риска свидетельствует о его устойчивом финансовом состоянии, и наоборот.
Если платёжеспособность-это внешнее проявление финансового состояния предприятия, то финансовая устойчивость – внутренняя его сторона, отражающая сбалансированность денежных и товарных потоков, доходов и расходов, средств и источников их формирования.
Для обеспечения финансовой устойчивости предприятие должно обладать гибкой структурой капитала, уметь организовывать его движение таким образом, чтобы обеспечить постоянное превышение доходов над расходами с целью сокращения платёжеспособности и создания условий для нормального функционирования.
Устойчивое финансовое состояние- итог грамотного, умелого управления всем комплексом факторов, определяющих результаты финансово-хозяйственной деятельности предприятия.
Главная цель финансовой деятельности предприятия сводится к одной стратегической задаче-наращиванию собственного капитала и укреплению рыночных позиций. Для этого оно должно постоянно наращивать объём продаж и прибыль, поддерживать платёжеспособность и рентабельность, а также оптимальную структуру актива и пассива баланса.
Основными источниками информации для анализа финансовой устойчивости является бухгалтерский баланс предприятия (ф. №1), отчеты о прибылях и убытках (ф. №2), о движение капитала (ф. №3) и другие формы отчетности, данные первичного и аналитического бухгалтерского учета, которые детализируют и расшифровывают отдельные статьи баланса.
Для начала изучается валюта баланса. Валютой баланса называется итог баланса и дает ориентировочную сумму средств, находящихся в распоряжении предприятия. Для общей оценки финансового состояния предприятия составляют для наглядности уплотненный баланс, в котором однородные статьи объединяют в группы. Рассчитаем коэффициент роста валюты баланса Кб по формуле
Кб = (Б1 -Б0 )∙10:Б0 , (7)
где Б1 , Б0 – величина итога валюты баланса за отчетный и предыдущий
периоды, тыс. руб.
Согласно формуле (7) рассчитаем коэффициент роста валюты баланса:
Кб1 (2007 год: 2006 год) = (3143826–3687471)∙100:3687471= – 14,7%
Кб2 (2006 год: 2005 год) = (3687471–1158898)∙100:1158898=21,8%.
Коэффициент роста валюты баланса имел отрицательное значение в 2007 году по сравнению с 2006 годом – 14,7%, а в 2006 году 21,8%. Увеличение валюты баланса означает рост активизации хозяйственной деятельности предприятия. Темпы роста активов предприятия положительны за анализируемый период.
Таблица 3 – Показатели финансовых результатов производственной деятельности ОАО СК «СтройКом», тыс. руб.
| Показатели | 2005 | 2006 | 2007 |
| Выручка от продажи товаров, продукции, работ, услуг (за минусом налога на добавленную стоимость, акцизов и аналогичных обязательных платежей) | 339936 | 46659 | 120462 |
| Себестоимость проданных товаров, работ, услуг | 340534 | 42036 | 96936 |
| Прибыль (убыток) до налогообложения | 832 | 32114 | 93347 |
| Чистая прибыль (убыток) отчетного периода | 606 | 28911 | 83901 |
| Рентабельность, % | 99,8 | 110,9 | 124,3 |
Из таблицы 3 видно, что в 2007 году выручка увеличивается по сравнению с 2006 годов, и к 2007 году составила 120462 тыс. руб. Но вместе с тем возросла
себестоимость продукции до 96936 тыс. руб. - 2007 г. (отчет о прибылях и убытках представлен в приложениях В и Г).
Но не смотря на это прибыль увеличилась к 2007 году и составила 83901 тыс. руб.
Анализ платёжеспособности и ликвидности
Одним из показателей, характеризующих финансовое положение предприятия, является его платёжеспособность, т.е. возможность наличными денежными ресурсами своевременно погашать свои платёжные обязательства [4, с. 12].
Оценка платёжеспособности по балансу осуществляется на основе характеристики ликвидности оборотных активов, которая определяется временем, необходимым для превращения их в денежные средства. Ликвидность баланса - возможность предприятия обратить активы в наличность и погасить свои платёжные обязательства, а точнее это степень покрытия долговых обязательств предприятия его активами, срок превращения которых в денежную наличность соответствует сроку погашения платёжных обязательств. Она зависит от степени соответствия величины имеющихся платёжных средств величине краткосрочных долговых обязательств.
Ликвидность предприятия – это более общее понятие, чем ликвидность баланса. Ликвидность баланса предполагает изыскание платёжных средств только за счёт внутренних источников. Но предприятие может привлечь заёмные средства со стороны, если у него имеется соответствующий имидж и достаточно высокий уровень инвестиционной привлекательности.
Для проведения анализа актив и пассив баланса группируется по следующим признакам: по степени убывания ликвидности (актив) и по степени срочности оплаты, погашения (пассив).
Активы в зависимости от скорости превращения в денежные средства (ликвидности) разделяют на следующие группы. Первая группа (А1 ) включает в себя наиболее мобильную часть мобильных средств, таких как денежные средства и краткосрочные финансовые вложения (стр. 260 + стр. 250). Данная группа называется «наиболее ликвидные активы». Вторая группа (А2 ) – «быстро реализуемые активы» – включает дебиторскую задолженность и прочие оборотные активы (стр. 240 + стр. 270). Третья группа (А3 ) – «медленно реализуемые активы», т.е. наименее ликвидные активы – включают запасы, за минусом прочих запасов и затрат, налог на добавленную стоимость и долгосрочные финансовые вложения (стр. 210 + стр. 220 – стр. 217 + стр. 140). «Трудно реализуемые активы» представляют четвертую группу активов (А4 ) и включают статьи 1 раздела баланса «Внеоборотные активы» (стр. 110 + стр. 120) [4, с. 28].
Пассивы баланса по степени возрастания сроков погашения обязательств группируются следующим образом. Наиболее срочные обязательства (П1 ) – к ним относятся «Кредиторская задолженность» и «Прочие краткосрочные пассивы» (стр. 620 + стр. 660). Краткосрочные пассивы (П2 ) – статьи «Заемные средства» и другие статьи 5 раздела баланса (стр. 610 + стр. 630 + стр. 640 + стр. 650 + стр. 660). Долгосрочные пассивы (П3 ) – долгосрочные кредиты и заемные средства (стр. 510 + стр. 520). Постоянные пассивы (П4 ) стр. 490 – стр. 217.
Оценка ликвидности предприятия предполагает сопоставление активов с пассивами. Условие абсолютной ликвидности предполагает следующие соотношения: А1
П1
, А2
П2,
А3
П3
, А4
П4
. Условие текущей ликвидности: А1
+ А2
П1
+ П2
. Условие перспективной ликвидности: А3
П3
. Оценку уровня ликвидности активов можно произвести с помощью коэффициентов уровня ликвидности.
Для ОАО СК «СтройКом» расчет ликвидности баланса представлен в таблице 3.
Таблица 3 – Расчет ликвидности и платежеспособности баланса ОАО СК «СтройКом» в 2004–2006 гг.
| Показатель | 2004 год | 2005 год | 2006 год |
| 1. Коэффициенты ликвидности и платежеспособности | |||
| Коэффициент текущей платежеспособности (оборотные активы / краткосрочная кредиторская задолженность) от 1 до 2 | 0,99 | 1,12 | 1,01 |
| Коэффициент промежуточной платежеспособности и ликвидности (ден. ср-ва+ краткосрочн. финанс. вложения +дебиторская задолженность / краткосрочная кредиторская задолженность) 0,7–0,8 | 0,979 | 0,978 | 0,552 |
| Коэффициент абсолютной ликвидности (ден. ср-ва + краткосроч. финанс. вложения/ краткосрочная кредиторская задолженность) 0,2–0,3 | 0,001 | 0,18 | 0,03 |
| Показатели качественной характеристики платежеспособности и ликвидности | |||
| Коэффициент соотношения денежных ср-в и чистого оборотного капитала (от 0 до1) | -0,143 | 1,47 | 0,38 |
| Коэффициент соотношения запасов и чистого оборотного капитала (чем выше и ближе к 1, тем хуже) | -3,74 | 1,18 | 37,5 |
| Коэффициент соотношения запасов и краткосрочной задолженности (0,5–0,7) | 0,02 | 0,14 | 0,46 |
| Коэффициент соотношения дебиторской и кредиторской задолженности | 0,98 | 0,8 | 0,52 |
ОАО СК «СтройКом» имело абсолютную ликвидность в 2004–2006 годах.
Значение коэффициента текущей платежеспособности и ликвидности соответствовало рекомендованному в 2005 и 2006 году, что свидетельствует о том, что предприятие располагает ликвидными активами для погашения своей краткосрочной задолженности. В 2006 году значение коэффициента снизилось, но предприятие продолжает оставаться платежеспособным, так как его ликвидные активы превышают размер краткосрочной задолженности.
Очень низкое значение коэффициента абсолютной ликвидности свидетельствует о недостаточности готовых средств платежа. Почти все ликвидные активы предприятия находятся в дебиторской задолженности и в запасах, что предполагает для обеспечения платежеспособности проведение эффективной работы по возврату долгов, а также необходимости такого количества запасов.Платежеспособность предприятия зависит от ликвидности баланса предприятия. Если сумма всех оборотных средств не менее суммы всех краткосрочных обязательств, баланс считается ликвидным. На данном предприятии баланс можно считать ликвидным в 2005 и 2006 годах.
Показатели финансовой устойчивости предприятия характеризуют структуру используемого предприятием капитала с позиции его платежеспособности и финансовой стабильности развития. Эти показатели позволяют оценить степень защищенности инвесторов и кредиторов, так как отражают способность предприятия погасить долгосрочные обязательства. Данную группу показателей еще называют показателями структуры капитала и платежеспособности либо коэффициентами управления источниками средств.
Таблица 4 – Расчет показателей финансовой устойчивости
| Показатель | 2004 | 2005 | 2006 |
| 1. Коэффициент автономии (чистые активы / активы) более 0,5 | 0,0003 | 0,19 | 0,11 |
| 2. Коэффициент заемного капитала (заем. капитал / активы) | 0,9997 | 0,81 | 0,89 |
| 3. Мультипликатор собственного капитала (активы / собственный капитал) | 3204,7 | 5,147 | 9,035 |
| 4. Коэффициент финансовой зависимости (привлеченный капитал / собственный капитал) менее 0,7 | 3203,7 | 4,147 | 8,035 |
| 5. Коэффициент долгосрочной финансовой независимости (собств. капитал+долгосрочн. займы / активы) | 0,003 | 0,24 | 0,124 |
| 6. Коэффициент обеспеченности собственными средствами (собств. оборотн. ср-ва/оборотные активы) более 0,1 | -0,004 | 0,106 | 0,012 |
По данным баланса коэффициент автономии в 2005 году составляет 0,19, в 2006 году – 0,11. Таким образом, только 11% активов предприятия 2006 года сформированы за счет собственного капитала и оно не обладает достаточной независимостью и возможностями для проведения независимой финансовой политики. Коэффициент финансовой зависимости в 2005 году составляет 0,81, в 2006 году 0,89. это означает, что на рубль собственного капитала привлекало 81 и 89 копеек заемного капитала. То есть зависимость предприятия от внешних источников очень велика. Коэффициент обеспеченности собственными средствами на протяжении всех лет остается очень низким.
Таким образом, по данным показателям финансовое состояние предприятия в целом можно охарактеризовать как недостаточно устойчивое, с низкой долей собственного капитала.
Показатели деловой активности позволяют оценить финансовое положение предприятия с точки зрения платежеспособности: как быстро средства могут превращаться в наличность, каков производственный потенциал предприятия, эффективно ли используется собственный капитал и трудовые ресурсы, как использует предприятие свои активы для получения доходов и прибыли, какой объем выручки обеспечивает каждый рубль активов, как быстро активы оборачиваются в процессе деятельности предприятия.
Таблица 5 – Расчет показателей деловой активности
| Показатель | 2004 год | 2005 год | 2006 год |
| Оборачиваемость активов (раз) (выручка от реализации / средняя за период ст-ть активов) | 2,05 | 1,99 | 3,48 |
| Оборачиваемость запасов(раз) (себестоимость реализ. продукции / средн. ст-ть запасов) | 120,5 | 16,48 | 8,4 |
| Фондоотдача (выручка от реализации / средн. отаточ. ст-ть основных средств) | 471,0 | 20,25 | 35,14 |
| Оборачиваемость дебиторской задолженности (раз) (выручка от реализации / средняя за период сумма дебиторской задолженности | 2,39 | 3,65 | 9,39 |
| Время обращения дебиторской задолженности (дни) (кол-во дней в году / оборачиваемость дебиторской задолженности) | 153 | 100 | 39 |
| Средний возраст запасов (кол-во дней в году / оборачиваемость запасов) | 3 | 22 | 43,5 |
| Оборачиваемость оборотного капитала (выручка от реализации / средняя стоимость оборотных активов) | 2,06/177 дн. | 2,2/166 дн. | 3,86/95 дн. |
| Оборачиваемость собственного капитала (выручка от реализации / средняя стоимость собственного капитала) | 6575 | 10,2 | 31,4 |
| Оборачиваемость общей задолженности (выручка от реализации / средняя величина заемного капитала) | 2,05 | 2,47 | 3,9 |
Оборачиваемость всех используемых активов в 2005 году составила 1,99, в 2006 году она превысила до 3,48, т.е. каждый рубль активов предприятия оборачивался в 2005 году почти 2 раза в год, а в 2006 году более 3-х раз в год.
Показатель фондоотдачи по сравнению с 2005 годом увеличился в 2006 году, каждый рубль стоимости основных фондов дает 35 рублей выручки от реализации.
Оборачиваемость запасов уменьшилась по сравнению с 2005 годом и увеличился возраст запасов в 2006 году. Низкий уровень коэффициента свидетельствует об инвестировании значительных средств в запасы.
Оборачиваемость дебиторской задолженности составила 3,65 в 2005 году и 9,39 в 2006 году, а время ее обращения 100 дней в 2005 году и 39 дней в 2006 году. То есть средний промежуток времени, который требуется для того, чтобы предприятие, реализовав продукцию, получило деньги, равен 39 дням. Значение показателя улучшилось по сравнению с 2005 годом, но для сохранения своей платежеспособности предприятию необходимо строго контролировать дебиторскую задолженность.
Оборачиваемость оборотного капитала составила 2,2, в 2005 году и 3,86 в 2006 году, т.е. каждый вид оборотных активов потреблялся в 2006 году почти 4 раза.
Об интенсивности использования ресурсов предприятия, способности получать доходы и прибыль судят по показателям рентабельности. Данные показатели отражают как финансовое положение предприятия, так и эффективность управления хозяйственной деятельностью, имеющимися активами и вложенным собственным капиталом.
Рентабельность производственной деятельности или рентабельность затрат показывает сколько предприятие имеет прибыли с каждого рубля, затраченного на производство и реализацию продукции.
Рентабельность реализации характеризует эффективность предпринимательской деятельности: сколько прибыли имеет предприятие с рубля реализации.
Таблица 6 – Расчет показателей рентабельности
| Показатель | 2004 год | 2005 год | 2006 год |
| Рентабельность активов или коэффициент экономической рентабельности (чистая прибыль / средняя стоимость активов) | 5,6 | 10,7 | 2,0 |
| Рентабельность собственного капитала или коэффициент финансовой рентабельности (чистая прибыль / средняя стоимость собственного капитала) | 18177 | 54,9 | 17,9 |
| Рентабельность реализации или коэффициент коммерческой рентабельности (прибыль от продаж /выручка от продаж) | 4,7 | 6,1 | 1,7 |
| Рентабельность текущих затрат (прибыль от операционной деятельности / себестоимость реализуемой продукции) | 4,9 | 6,5 | 1,7 |
| Рентабельность инвестированного капитала (чистая прибыль / сумма собственного и долгосрочного заемного капитала) | 18177 | 54,9 | 17,9 |
По всем показателям имеем отрицательную динамику, тем не менее деятельность предприятия остается рентабельной, не смотря на снижение эффективности использования активов, собственного капитала.
В 2006 году произошло снижение рентабельности текущих затрат до 1,7%, а среднеотраслевой показатель по России 6,25%.
Важным направлением повышения эффективности хозяйственной деятельности организации, повышения ее конкурентно способности на рынке подрядных работ, является управление издержками.
Валюта баланса ОАО СК «СтройКом» в 2007 году составила 155155 тыс. руб. Основные средства составили 156256 тыс. рублей в 2007 году. Чистые активы в 2006 году увеличились по сравнению с 2006 годом. Резервный капитал сформирован согласно установленного законодательства в сумме 16569 тыс. рублей и составляет 5,2% от размера уставного капитала строительной компании. Чистая прибыль в 2007 году составила 835 млн. 959 тыс. рублей. Недоимок по платежам у компании нет. Платежеспособность и устойчивость компании в 2007 году характеризуют положительные финансовые показатели.
В целом финансовое состояние строительной компании в 2007 году позволило не допускать задержек выплат заработной платы и производить своевременную оплату текущих налоговых платежей и платежей во внебюджетные фонды.
Учитывая резкие скачки цен на материальные ресурсы, ОАО СК «СтройКом» осуществлял поиск путей снижения общей себестоимости работ и услуг, уменьшению расходов по содержанию основных средств, часть из которых не используется в производственном процессе.
Проводился анализ и поиск возможности повышения отдачи от долгосрочных финансовых вложений.
3. Инвестиционный проект строительства жилого дома ОАО СК «Стройком»
3.1 Сущность проекта
Цель проекта заключается в строительстве жилого дома. Для финансирования проекта планируется взять кредит в сумме 250 млн. рублей в банке «ВТБ 24». Цель проекта строительства – строительство многоквартирного дома в рамках комплексного освоения предоставленного земельного участка. На предоставленном земельном участке планируется строительство 9-этажного панельного жилого дома. Строительство панельного жилого дома ведет подразделение ООО СК «СтройКом» ООО «Домостроительное управление» в 33 микрорайоне «Тополиная аллея».
Собственник земельного участка – земельные участки находятся в государственной собственности (разграничение государственной собственности на землю не проведено).
Границы и площади земельного участка, предусмотренные проектной документацией – общая площадь предоставляемого застройщику земельного участка для строительства 1 очереди жилого дома – 2769 кв. м. Площадь застройки 1 очереди жилого дома составляет 589 кв. м.
Элементы благоустройства – Проектом предусмотрено благоустройство прилегающей территории с устройством проездов и автостоянок с асфальтобетонным покрытием, площадок различного назначения для нужд населения. Покрытие подъездов, площадок и пешеходных тротуаров предусмотрено согласно нормам дорожных одежд. Освещение прилегающей территории предусмотрено установкой светильников на опорах освещения и на козырьках подъездов. Для отвода ливневых вод предусмотрено использование ливневой канализации. Проектом выполнена разработка по проекту 9-этажного жилого дома, 6 подъездов. В доме – однокомнатные, двухкомнатные, трехкомнатные и четырехкомнатные квартиры.Описание технических характеристик указанных самостоятельных частей – в квартирах все комнаты изолированные. Во всех квартирах – санузлы раздельные.
Состав общего имущества:
– межквартирные лестничные площадки;
– лестницы;
– нежилые помещения, в состав которых входят помещения, имеющие инженерные коммуникации, а также помещения водомерного узла, насосной и ИТП;
– крыши;
– подкровельное пространство;
– ограждающие несущие и ненесущие конструкции дома;
– механическое, электрическое, санитарно-техническое и иное оборудование, находящееся в доме за пределами или внутри помещений и обслуживающее более одного помещения;
– земельный участок, на котором расположен дом, с элементами озеленения и благоустройства и иные предназначенные для обслуживания, эксплуатации и благоустройства дома объекты, расположенные на указанном земельном участке.
Этапы и сроки реализации проекта – окончание строительства жилого дома – 3 квартал 2008 года. Срок передачи квартиры назначен на 3 квартал 2010 года.
29 ноября 1993 г. постановлением Главы города Челябинска было зарегистрировано Акционерное общество закрытого типа «Стройком». Еще на старте, определяя приоритеты своей деятельности, мы понимали, что будущее за профессионалами, умеющими грамотно строить и грамотно продавать результаты своего труда. В 2003 г. предприятие отметило свое десятилетие. Компания имеет большое количество наград, дипломов и удостоверений за существенный вклад в социально-экономическое развитие города. 27 декабря 2004 г. закрытое акционерное общество было реорганизовано в ОАО «Стройком». Организационная структура ОАО «СтройКом» представлена в приложении А.
Компания «Стройком» – одна из крупнейших компаний г. Челябинска, ведет строительство как в городах области (Магнитогорск, Южноуральск), так и в других регионах России – г. Ноябрьск, г. Пыть-Ях, г. Нижнесортымский, г. Сургут. Компания гордится своими осуществленными проектами, в числе которых застройка микрорайона №4 по ул. Кирова. Девиз «Стройкома» – современное и качественное строительство. Общество является юридическим лицом с момента его государственной регистрации, имеет в собственности обособленное имущество, учитываемое на его самостоятельном балансе.
Общество вправе иметь банковские счета (в том числе валютные) на территории Российской Федерации и за ее пределами.
Общество имеет круглую печать со своим фирменным наименованием на русском языке и указанием местонахождения.
Общество может иметь штампы и бланки со своим наименованием, собственную эмблему, товарный знак, другие средства визуальной идентификации, регистрируемые в порядке, установленном законодательством Российской Федерации. Форма указанных символов и атрибутов утверждается Советом директоров Общества (приложение Б).
Общество в установленном законодательством Российской Федерации порядке осуществляет свою производственно-хозяйственную деятельность, а также социальное развитие коллектива работников, самостоятельно в соответствии с действующим законодательством Российской Федерации устанавливает цены на производимую продукцию и оказываемые услуги, определяет формы и размеры оплаты труда работников.
Уставный капитал равен 315 913 000 (Триста пятнадцать миллионов девятьсот тринадцать тысяч) рублей и составляется из 2 369 347 (Двух миллионов трехсот шестидесяти девяти тысяч трехсот сорока семи) обыкновенных именных акций, номинальной стоимостью 100 (Сто) рублей каждая, и 789 783 (Семьсот восьмидесяти девяти тысяч семьсот восьмидесяти трех) привилегированных именных акций типа А, номинальной стоимостью 100 (Сто) рублей, приобретенных акционерами.
ОАО «СтройКом» вправе увеличить уставный капитал путем увеличения номинальной стоимости акций или размещения дополнительных акций.
Дополнительные акции могут быть размещены путем открытой или закрытой подписки.
Решение об увеличении размера уставного капитала Общества путем увеличения номинальной стоимости акций принимается общим собранием акционеров.
Решение об увеличении уставного капитала путем размещения дополнительных акций принимается общим собранием акционеров в пределах их компетенции, установленной настоящим уставом и действующим законодательством Российской Федерации.
Уменьшение Уставного капитала допускается после уведомления об этом всех кредиторов Общества.
Общество не вправе уменьшать Уставный капитал, если в результате этого его размер станет меньше минимального Уставного капитала Общества, установленного законодательством Российской Федерации на дату представления для государственной регистрации соответствующих изменений в Уставе Общества.
Основными видами деятельности ОАО СК «СтройКом» являются:
1. Строительство зданий и сооружений;
2. Производство общестроительных работ;
3. Производство общестроительных работ по прокладке местных трубопроводов, линий связи и линий электропередачи, включая взаимосвязанные вспомогательные работы;
4. Устройство покрытий зданий и сооружений;
5. Строительство фундаментов и бурение водяных скважин;
6. Производство бетонных и железобетонных работ;
7. Монтаж строительных металлических конструкций;
8. Производство каменных работ;
9. Производство электромонтажных работ;
10. Монтаж инженерного оборудования зданий и сооружений;
11. Производство санитарно-технических работ;
12. Производство отделочных работ;
13. Консультирование по вопросам коммерческой деятельности и управления;
14. Архитектурная деятельность;
15. Финансовое посредничество, не включенное в другие группировки;
16. Организация перевозки грузов;
17. Деятельность в области права;
18. Исследование конъюнктуры рынка;
19. Оптовая торговля прочими непродовольственными потребительскими товарами;
20. Прочая оптовая торговля;
21. Деятельность агентств по операциям с недвижимым имуществом;
22. Управление недвижимым имуществом;
23. Хранение и складирование;
24. Техническое обслуживание и ремонт автотранспортных средств;
25. Аренда прочих машин и оборудования научного и промышленного назначения;
26. Технические испытания, исследования и сертификация.
Общество вправе осуществлять иные виды деятельности, не запрещенные законодательством Российской Федерации.
За период своего существования построены и сданы в эксплуатацию жилые дома общей площадью более 150 тысяч квадратных метров, объекты здравоохранения, магазины, офисные здания, объекты инженерной инфраструктуры, помещения административного назначения. Дома, привлекающие оригинальным архитектурным решением, затребованы на рынке недвижимости и конкурентоспособны не только в Челябинске, но и во всем Урало-Сибирском регионе.
Предприятие проектирует и строит здания высотой до 16 этажей в различном конструктивном исполнении.
Особенности фирмы замкнутый цикл строительства: все, от архитектурного замысла объекта, до эксплуатации сданных объектов выполняется работниками «Стройкома». В компании работает более 750 высококвалифицированных рабочих и специалистов. «Стройком» имеет мощную производственную базу: архитектурный и проектные отделы, автотранспортный цех, участок башенных кранов, участок оконных конструкций и фасадов, металлообрабатывающий цех, сантехнический участок, участок наружных сетей и наружного благоустройства. После окончания строительства, дома передаются на обслуживание собственным ЖЭКам.
Строительная компания «Стройком» включена в реестр федерального лицензионного центра Госстроя России как «Лучшее предприятие инвестиционно-строительного комплекса России», работающее в Челябинской области.
За время своего существования компания «Стройком» была отмечена следующими наградами за успешную работу:
1. В 2004 г. компания «Стройком» в лице директора Крикуна Алексея Александровича награждена главным призом «Модулор» за I место в номинации «Развитие новых строительных технологий» в конкурсе на звание «Лучший застройщик 2004 года».
2. Свидетельство 2002 г. ФЛЦ №74–2 лицензионного центра Госстроя России как «Лучшее предприятие инвестиционно-строительного комплекса России», работающее в Челябинской области.
3. Диплом лауреата конкурса 2002 г. инвесторов-застройщиков за I место в номинации за особый вклад в развитие стройиндустрии. 4. Почетная грамота за многолетний добросовестный труд, большой вклад в развитие строительной отрасли и в связи с профессиональным праздником Днем строителя (распоряжение губернатора области то 31.07.2000 года).
5. Благодарственное письмо Администрации Калининского района г. Челябинск за активное участие в реализации программы «Двор-2002».
6. Грамота Администрации Калининского района за подготовку двора дома №5 «б» по ул. Калинина, занявшего I место в районном смотре-конкурсе «Лучший двор-2000» среди инвесторов-застройщиков.
7. Благодарственное письмо за добросовестный труд и активное участие в реализации районной программы «Двор-99».
8. Почетная грамота за активное участие в жизни микрорайона (Реализация программы «Двор-2001» и «Снежная сказка двора») (2002 г.).
ОАО «Стройком» осуществляет поддержку:
– администрации Центрального района;
– администрации Тракторозаводского района;
– Союза архитекторов России;
– Благотворительного фонда инвалидов и ветеранов милиции;
– Союза предприятий строительной отрасли Челябинской области;
– филиала Фонда пожарной безопасности;
– общества попечителей приборостроительного факультета ЮУрГУ;
– всероссийских кинофестивалей «Новое кино России» в г. Челябинске: II кинофестиваля в 2002 г. и IV кинофестиваля в 2004.
Гарантией своевременного и качественного строительства является более чем десятилетний опыт работы компании на строительном рынке жилья.
Основной отличительной чертой компании является то, что «Стройком» выступает одновременно в качестве инвестора, заказчика генерального подрядчика и эксплуатирующей организации.
Такой комплексный подход позволяет профессионально осуществлять реализацию строительных проектов любой сложности. Компания несет полную ответственность за построенный дом.
«Стройком» – это прежде всего сплоченная команда квалифицированных специалистов, которыми управляют люди, имеющие большой опыт управленческой работы и высокий профессиональный уровень.
Собственный риэлтерский отдел размещается в здании «Стройкома» по адресу г. Челябинск, ул. Каслинская, 5 на первом этаже в кабинете 103. На предприятии действует пропускная система.
Предприятия, входящие в состав строительной компании «Стройком», в лице агента ООО «ЭмБиЭм Маркетинг», предлагают к реализации сторонним организациям следующее имущество и продукцию, принадлежащее предприятиям на правах собственности:
–профиль;
–ЖБИ;
–бетон;
–металл;
–запчасти;
–продукция карьера «Кременкуль»;
–строительный инструмент;
–фурнитура.
В первую очередь это связано с повышением потребительских требований к интерьеру и экстерьеру зданий. Использование монолитного бетона в жилищном строительстве позволяет сделать более гибкими архитектурно-планировочные решения здания: освободить фантазию будущих жильцов от создавшихся планировочных стереотипов, создать свою неповторимую домашнюю среду. Немаловажным является и внешний облик здания, в монолитном бетоне могут реализовываться самые смелые решения архитекторов, построенные здания становятся архитектурными достопримечательностями. Одним из дополнительных преимуществ домов с монолитными железобетонными каркасами также является их более высокая жесткость и вследствие этого сейсмоустойчивость. К недостаткам монолитного домостроения прошлого века можно отнести более медленный темп возведения данных зданий. Однако с появлением на российском рынке технологичных опалубочных систем «Агрисовгаз», «Контур», «Doka», «PERI» и других скорость монолитного домостроения вплотную приблизилась к сборному.
С учетом требований потребителей компанией «Стройком» начато строительство жилого дома №15 по ул. Академика Королева в 33-м микрорайоне Северо-запада. Перекрытия этого дома выполняются в монолитном исполнении. Применение современного опалубочного материала финской фанеры позволяет получить высокое качество потолочных поверхностей. Использование затирочных машин европейского производства для заглаживания бетона решает вопрос качества поверхности пола, исключаются процессы устройства стяжек, что увеличивает высоту помещений.
В связи с реализацией программы по монолитному строительству компанией «Стройком» приобретен и запущен в работу бетонный узел, поскольку свой бетон и дешевле и надежней.
В настоящий момент проектируется 16-ти этажное здание по ул. Комарова, с монолитным железобетонным каркасом. При проектировании учитываются требования гибкости внутренних планировочных решений квартир, архитектурной выразительности фасада и эргономичности здания в целом.
Чтобы меньше зависеть от подрядчиков строительная компания СК Стройком открыла свой цех по производству пластиковых окон в Челябинске. Это позволяет, с одной стороны, быть абсолютно уверенными в качестве окон и в сроках их поставки, а во-вторых – снизить стоимость жилья для покупателей.
Компания СК Стройком в настоящее время производит окна двери и перегородки из ПВХ-профилей «EXPROF». Система профилей уникальна прежде всего тем, что изначально разрабатывалась и создавалась на сибирском оконном предприятии специально для климатических условий Сибири. А это означает, что она наилучшим образом адаптирована к требованиям российского рынка.
Она также привлекательна для потребителя благодаря повышенной морозостойкости, долговечности, теплоизоляции и комфорту, а также большому разнообразию конструктивных возможностей.
Систему отличают:
– высокое качество материалов;
– высокая морозостойкость;
– высокие энергосберегающие характеристики;
– технологичность сборки и монтажа;
– универсальность;
– экономичность.
Все профили системы «EXPROF» имеют по три внутренние камеры (за исключением четырехкамерной широкой коробки). При такой конструкции и расположении камер профиль не промерзает. Перетекание тепла по металлу исключено, так как металлический армирующий профиль находится в средней камере, расположенной между двумя малыми камерами, и нигде не соприкасается с внешними стенками профиля.
Трехкамерная конструкция и двухконтурное уплотнение притвора при максимальной толщине устанавливаемого стеклопакета 36 мм являются оптимальными для наших условий, обеспечивая показатели по теплозащите и шумоизоляции, превышающие нормативные требования для большинства регионов России.
ПВХ-профиль «EXPROF» не меняет цвета, не желтеет в течение очень долгого времени. Даже через 40 лет изменения цвета, произошедшие на поверхности профиля, можно увидеть только при помощи специальной оптической аппаратуры. Это подтверждают результаты испытаний, проведенных на аппаратах Ксенотест. Качество профиля, его санитарно-гигиеническая и пожарная безопасность подтверждены соответствующими сертификатами.
Компания «Стройком» одновременно со строительством панельных и кирпичных жилых домов, ведет строительство коммерческой недвижимости (офисных помещений, площадей под магазины). Ведется строительство зданий, предназначенных полностью под офисы, а также жилых домов, на первых и вторых этажах которых, располагаются торговые площади.
Поставщики и конкуренты
Миссия компании «СтройКом» – способствовать совершенствованию рынка строительных услуг, формированию условий максимально благоприятных для заказчиков. Кроме того, миссией компании является возведение зданий, отвечающих эстетике XXI века.
Так как «Стройком» постоянно растет и укрупняется, растут и его потребности в строительных и отделочных материалах. У компании есть надежные партнеры по поставкам, но также компания ищет и новых поставщиков.
В компании особое внимание уделяется вопросам качества используемых материалов, в особенности современным и технологичным, позволяющим уменьшить сроки возведения зданий и сооружений, перенести акцент на качественные улучшения и соответствовать современными требованиями, которые предъявляют к жилью потребители.
В первую очередь компания «Стройком» сотрудничает с такими организациями, которые имеют опыт в областях:
1. Строительные материалы и технологии их производства;
2. Новейшие технологии строительства;
2. Технологии энергосбережения;
3. Специальные материалы и материалы с уникальными свойствами;
4. Технологии комфорта.
Партнерами ОАО «СтройКом» являются банк «УралСиб», «ВТБ 24», «Снеженский», ООО «Строительные технологии XXI века».
Банк «УралСиб». На сегодняшний день банк входит в пятерку лидеров отечественного банковского сектора по основным финансовым показателям. Интегрированная региональная сеть продаж финансовых продуктов и услуг ФК «УралСиб» насчитывает 1087 офисов в 81 регионе Российской Федерации.
Банк «Снежинский» работает на финансовом рынке с 1991 года. Центральным Банком Российской Федерации он зарегистрирован 14 февраля 1991 года, и в результате государственной регистрации ему присвоен регистрационный номер (номер лицензии на банковскую деятельность) 1376.
Банк ВТБ 24 – один из крупнейших участников российского рынка банковских услуг. Входит в международную банковскую группу ВТБ и специализируемся на обслуживании физических лиц, индивидуальных предпринимателей и предприятий малого бизнеса.
ООО» Строительные технологии XXI века»
Завод занимается производством полистирольных блоков. Пенополистирольная опалубка из мелкоштучных теплоизолирующих элементов – образец новейших энергосберегающих технологий возведения стен. Эта технология позволяет возводить монолитные бетонные стены одновременно с двойной тепло- и звукоизоляцией из блоков-модулей, которые легко собираются на строительной площадке.
На рынке недвижимости достаточно много строитенльных компаний, оказывающих однородные услуги. Основными конкурентами ООО СК «СтройКом» являются:
1. Компания Артель-С (454091 г. Челябинск ул. Ворошилова д. 57 «В»). Строительная компания «Артель-С» основана в октябре 1997 года. С самого начала компания зарекомендовала себя как стабильную, динамично развивающуюся компанию, осуществляющую весь спектр строительных работ.
Накопленный опыт позволяет решать практически любые задачи в области организационно-технологического обеспечения, строительства на протяжении всего цикла работ.
Компания охватывает весь спектр рынка: занимается строительством как малоэтажных, так и многоэтажных домов. Кроме того, одним из направлений является строительство «таун-хаусов».
Принцип «Артель-С» – максимальное качество. Оно достигается благодаря квалифицированным сотрудникам компании, современным технологиям и проверенным материалам.
Стратегия ООО «Артель-С» – предложение наиболее оптимальных решений поставленных задач, в четком соответствии с требованиями заказчиков, не только за счет повышения эффективности уже существующих видов деятельности, но и путем развития новых направлений, охватывающих все более широкий спектр деловых интересов постоянных и потенциальных заказчиков. Компания стремится всегда идти в ногу со временем, демонстрируя высокотехнологичный подход к строительному бизнесу.
2. Компания «Мечелстрой» занимает прочную позицию на рынке строительства г. Челябинска в течение 12 лет своего существования. По итогам 2006 года «Мечелстрой» занял четвертое место по объему возводимого жилья в г. Челябинске и является основным застройщиком в Металлургическом районе.
«Мечелстрой» предоставляет широкий спектр предложений и услуг клиентам. В первую очередь организация предлагает выбор покупки жилья в готовых или строящихся домах. Также «Мечелстрой» предлагает риэлтерские услуги на вторичном рынке жилья: а именно, в отличие от других строительных компаний, «Мечелстрой» успешно совмещает деятельность застройщика, генподрядчика и риэлтерской фирмы. Кроме того, «Мечелстрой» предлагает различные виды договоров – покупка жилья в г. Челябинске по ипотечным схемам или по целевому займу, продажа квартир в г. Челябинске. Также существует уникальное предложение расширения жилплощади, когда собственник при покупке нового жилья платит только разницу между старой и новой квартирой.
Отличительная черта компании «Мечелстрой» – комплексное освоение земельных участков, на которых расположены ветхие многоквартирные дома. Первоначально разрабатывается градостроительная документация на целые кварталы жилой застройки, подводятся все инженерные коммуникации, расселяются жители первых ветхо-аварийных домов. Затем на освободившемся месте строится новый жилой дом. Далее процесс повторяется до полного освоения квартала застройки.
Основной принцип «Мечелстрой» – индивидуальная работа с каждым клиентом, коллектив компании старается удовлетворять самые разные требования и пожелания клиентов.
ЗАО «Мечелстрой» придерживается следующих принципов в своей работе:
– комплексный подход. Отличительная черта компании «Мечелстрой» комплексное освоение земельных участков, на которых расположены ветхие многоквартирные дома. Первоначально разрабатывается градостроительная документация на целые кварталы жилой застройки. Подводятся все инженерные коммуникации. Расселяются жители первых ветхо-аварийных домов. На освободившемся месте строится новый жилой дом. Далее процесс повторяется до полного освоения квартала застройки.
– четкая структура организации позволяет «Мечелстрой» успешно совмещать деятельность застройщика, генподрядчика и риэлтерской фирмы, что исключает лишнее звено между застройщиком и клиентами.
Для реализации поставленных целей ЗАО «Мечелстрой» имеет команду профессионалов, компетентных в строительной и риэлтерской деятельности.
– безупречная репутация ЗАО «Мечелстрой» гарантирует надежность инвестиций.
– качество результатов – приоритетная цель деятельности ЗАО «Мечелстрой». Все материалы, применяемые на объектах ЗАО «Мечелстрой», заводского изготовления, сертифицированы, имеют паспорта качества. Все объекты ЗАО «Мечелстрой» обеспечены инженерными сетями, выполненные при применении самых современных материалов и технологий.
Основной принцип «Мечелстрой» – индивидуальная работа с каждым клиентом, коллектив компании старается удовлетворять самые разные требования и пожелания клиентов.
ЗАО «Мечелстрой» предлагает покупку квартир по ипотечным схемам. После заключения договора долевого участия, «Мечелстрой» направляет клиента от своего имени в один из сотрудничающих банков г. Челябинска с целью получения кредита.
«Мечелстрой» сотрудничает со следующими банками: СберБанк, Уральский Банк, Банк Снежинский, ИнвестБанк, ТюменьЭнерго Банк.
Юридическая служба «Мечелстрой» берет на себя все обязанности по сопровождению сделок купли-продажи – от заключения договора на приобретение недвижимости до регистрации прав собственности.
ЗАО «Мечелстрой» оказывает полный спектр риэлтерских услуг от приватизации до подбора вариантов обмена.
3. СК «Полистром». Строительная компания «Полистром» день своего рождения отметила в апреле 2004 года. Событие стало возможным благодаря ресурсам Потанинского завода строительных материалов «ПОЛИСТРОМ», на базе которого появилась новая компания с одноименным названием. Два предприятия объединились в единый холдинг.
Преимущество Строительной компании «СК ПОЛИСТРОМ» – в воплощении оригинальных проектов, в проектировании не отдельно стоящих зданий, а целых микрорайонов и кварталов. Такой целостный подход позволяет выдержать единый архитектурный стиль, а также на этапе разработки предусмотреть возможность размещения магазинов, объектов соцкультбыта, зон отдыха, зеленых насаждений, пешеходных дорог и проезжей части так, чтобы все это было сбалансировано. Сегодня, когда покупатель все более взыскателен, именно такая позиция определяет жизнеспособность предприятия и его будущее.
СК «ПОЛИСТРОМ» при возведении зданий использует потанинский керамический кирпич, который называют теплым за отличные теплосберегающие свойства. В квартирах, построенных из потанинского кирпича, сохраняется оптимальный микроклимат, температурный и влажностный режим. Использование собственного стройматериала позволяет нам не зависеть от ценовых колебаний рынка.
СК «ПОЛИСТРОМ» свою деятельность начала в Копейске. Цены на квартиры пока в 1,5 – 2 раза дешевле, чем в Челябинске.
3.4 Технология строительства жилого дома
Во всем мире проблему доступного жилья решают строительством панельных домов.
Основой технологии панельного строительства является поэтапный монтаж рамочных конструкций, которые включают все необходимые наполнители: утеплитель в межбалочных пространствах, дополнительный утеплитель, внутренняя влагоизоляция и наружная ветрозащита.
В панельный блок встраиваются окна и двери, а также все необходимые коммуникации. В завершение устанавливается сантехническое и тепловое оборудование, производится окраска стен или оклеивание их обоями.
В России строительство панельных домов стало активно появляться в начале 60-х годов, так называемые «хрущевки» возводились ускоренными темпами и обходились сравнительно недорого, помогая снять остроту жилищного вопроса, панельные дома того времени обнаружили при эксплуатации целый ряд изъянов – постоянные сквозняки, как результат неустойчивой герметизации и полное отсутствие шумоизоляции.
Качество панельного дома.
Холодные и тонкие наружные стены сводили на нет попытки жителей панельного дома утеплиться. «Брежневки», «корабли» и дома 504-й серии, которые появились позднее, строились с учетом недоработок предыдущих конструкций, но из-за тотальной экономии и отсутствия качественных материалов также оставляли желать лучшего.
В 90-е гг. прошлого века научный прогресс привнес новый импульс в строительство панельных домов. Появилась теплые многослойные технологии, на их основе были созданы так называемый сэндвич-панели, конструкция которых выполнена из двух слоев тяжелого армированного бетона и утепляющего слоя полистирола либо минеральной ваты. Толщина такой панели 350–400 мм, что вполне можно сравнить с добротной кирпичной стеной. И сравнение будет в пользу панельного дома, потому как такие стеновые конструкции позволяют экономить до 40% теплоэнергии.
Те же многослойные технологии применяются для изготовления межэтажных перекрытий панельного дома, благодаря чему квартира приобретает тепло-звукоизоляцию не только по вертикали, но и по горизонтали. Уровень звукоизоляции в таких квартирах составляет 80–90 децибел, что почти в два раза больше чем в старых панельных домах. Дополнительным плюсом стеновых сэндвич-панелей является их огнестойкость и повышенная устойчивость к воздействию агрессивных сред.
Технология изготовления наружного контура с применением полистиролбетона позволяет без особых затрат менять размеры помещений, конфигурацию наружных стен и привязку оконных проемов, использовать различные виды отделки.
Учитывая недостатки предыдущих серий, строительная компания увеличила количество типоразмеров панелей, качество утеплителя, наружной и внутренней отделки, усложнив архитектурно-планировочные решения панельных домов.
В стремлении довести панельные дома до уровня кирпично-монолитных применяются самые современные технологии производства, разрабатываются новые типы стеновых соединений, где для герметизации монтажных наружных стыков и швов используются фасадные герметики на основе акрила и силикона, а также специальные утеплители стыков, полиуретановые монтажные пены, герметизирующие ленты и еще целый спектр специализированных материалов. Находит свое применение технология «бесшовных фасадов». Это позволяет эффективно решить вопрос энергосбережения и водостойкости стен панельного дома.
На сегодняшний день появилась возможность использовать цельные потолочные панели, что ликвидирует целый букет проблем, с которым сталкивался новосел панельного дома. В большинстве новых серий домов предусмотрено остекление балконов и лоджий. Новосел получает повышенную комфортность за счет улучшенной звукоизоляции и теплозащиты (например, трехслойные наружные стеновые панели с изоляцией из пенополистирола в изделиях серии «Оптима»), а также возможность вносить изменения в планировку квартир. Фасады изготавливаются в разных вариантах отделки, имеют привлекательный фактурный слой с использованием гранитной или мраморной крошки, а также керамики.
Сегодня российские ГОСТы и СНиПы, которых придерживаются отечественные строительные компании, не уступают мировым стандартам. Панельные новостройки в полной мере отвечают санитарно-гигиеническим нормам, а по качеству и долговечности приближаются к кирпично-монолитным, при сохранении преимущества в цене.
Светлая квартира с высокими трёхметровыми потолками, большой кухней, отделенными от всякого постороннего шума спальней и детской, и правда, мало походит на морально устаревшую квартиру-коробку.
Панельный дом строится по принципу конструктора: на стройплощадку подводятся уже готовые детали будущего дома, из которых «составляют» жилой дом. Детали будущего дома (панели) делают на заводах, называющихся, чаще всего домостроительными комбинатами.
Такая технология строительства обуславливает главное отличие панельного домостроения от монолитного: стандартную планировку. Стандартная планировка предполагает строго определенное количество и площадь помещений в квартире. Один удачный вариант панельного дома, как правило копируется тысячами, отсюда так называемые «серии» домов, дома одной серии как две капли воды похожи на друг друга. Эта особенность панельного домостроения может быть как достоинством, так и недостатком: с одной стороны, покупатель в панельном доме твердо знает, какую квартиру он приобретает, с другой стороны, такое строительство предполагает отсутствие свободной планировки.
Домостроительные комбинаты зачастую сами осуществляют строительство домов, разрабатывая новые собственные серии и совершенствуя технологии. В панельных домах последних лет постройки зачастую встречаются весьма удачные технологические и инженерные решения, что позволяет им успешно конкурировать с «монолитом».
Типовые панельные дома строятся быстрее, так как инвестору не требуется время для разработки и согласования нового проекта. По этой причине квартиры в панельных домах, как правило, дешевле.
Чаще всего, панельная застройка преобладает в районах, где больше свободной территории и там, где с экономической точки зрения на реализацию жилья в монолите потребуется гораздо больше времени.
Основой для панельного строительства, как и для щитового, являются рамочная конструкция и обшивка, прослойка стен и поэтажный монтаж. В то же время планирование, создание предварительных заготовок и технология сборки несколько отличаются.
Современные панельные конструкции пользуются большой популярностью. Как правило, их составляющие комплектуются уже на предприятии, включая все необходимые наполнители: утеплитель в межбалочных пространствах, дополнительный утеплитель, внутренняя влагоизоляция и наружная ветрозащита. Внутренняя отделка и наружная обшивка из дерева, основа для оштукатуривания или отделка клинкером производятся на месте. В завершение в панели встраиваются все коммуникационные соединения для бытовой техники, окна и наружные двери.
После сборки составных частей на месте устанавливаются крыша, бытовые агрегаты и другое необходимое оборудование. Затем производится внутренняя отделка: окраска стен или оклеивание их обоями, установка внутренних дверей. В результате сокращается срок от начала сборки до готовности «под ключ» примерно до пяти недель.
Наряду с оштукатуренными или обложенными клинкером наружными стенами многие застройщики все чаще выбирают деревянную обшивку. Что же касается архитектуры дома и его планировки, то, как правило, застройщику предлагается достаточно много вариантов. Но в то же время он вправе внести поправки во внутреннюю и внешнюю планировку дома в соответствии с собственными представлениями. Однако заказывая индивидуальный архитектурный проект, имейте в виду, что это нарушит цикл автоматизированного производства, что приведет к увеличению срока выполнения строительства дома.
Панельное строительство не случайно стало таким популярным. Главное преимущество заключается в том, что создаются дома экологически чистые и с минимальным расходом энергии, пригодные для современной техники.
Панельный дом, как и другие деревянные дома, годится не только для коттеджа на одну или две семьи. Опыт показывает, что из панелей также успешно можно возводить административные здания, школы или детские сады. Это дополнительный аргумент в пользу панельного строительства.
3.5 Капитальные вложения
На строительстве жилого дома задействовано 2 бригады -30 человек.
Таблица 7 – Необходимые специальности для строительства жилого дома
| Должность, квалификация | Кол-во(чел.) | Возможные категории работников | Источник пополнения | Оклад в месяц, руб. | Занятость (мес) | Затраты на проект руб. | |
| имеется | дополнительно | ||||||
| Бригадир | 1 | 30000 | 8 | 240000 | |||
| Прораб | 1 | 35000 | 8 | 280000 | |||
| Каменщик | 20 | 25000 | 8 | 4000000 | |||
| Стропальщик | 2 | 14000 | 8 | 224000 | |||
| Бетонщик | 4 | 12000 | 8 | 384000 | |||
| Сварщик | 2 | 25000 | 8 | 400000 | |||
| ВСЕГО | 30 | Всего затрат | 5928000 | ||||
Таблица 8 – Себестоимость строительства панельного дома, тыс. руб.
| Статьи затрат | 2008 |
| год | |
| Материалы и комплектующие | 223747 |
| Электроэнергия | 14278 |
| Оплата труда | 5928 |
| Транспортные расходы | 49 |
| Амортизация | 689 |
| Ремонт | 314 |
| Себестоимость | 250000 |
Таким образом, строительство дома обойдется строительной компании в 318696,3 тыс. руб.
Проведем анализ затрат по всему инвестиционному плану. Из таблицы 9 видно, что сначала затраты проводятся по каждому месяцу строительства жилого дома, а затем поквартально до 2010 года.
Сначала банк предоставляет строительной компании 30% от общей стоимости строительства дома, а затем также выплачивает кредит частично, 20%, 15%, 10%.
Таблица 9 – Инвестиционный план
| Показатель | фев. 08 | мар. 08 | апр. 08 | май. 08 | июн. 08 | июл. 08 | авг. 08 | сен. 08 | |
Затраты на строительство |
31869,1 | 67143,1 | 67143,1 | 57365,3 | 22946,1 | 20651,5 | 27879,5 | 23697,7 | |
| жилого дома | тыс. руб. | ||||||||
| в т.ч. НДС | тыс. руб. | 3983,7 | 8392,89 | 8392,89 | 7170,6 | 2868,2 | 2581,4 | 3484,9 | 2962,19 |
Далее рассмотрим состав и структуру основных средств ОАО «СтройКом».
Таблица 10 – Структура основных средств
| Показатель | Ед. изм | сен. 08 | 4 кв. 2008 | 1 кв. 2009 | 2 кв. 2009 | 3 кв. 2009 |
| Балансовая стоимость | тыс. руб. | 318696 | 318164,8 | 310197,44 | 302230,04 | 294262,6 |
| Нормативный срок службы | лет | 40 | ||||
| Планируемый срок службы | лет | 25 | ||||
| Амортизация | Тыс. руб. | 531,2 | 7967,4 | 7967,4 | 7967,4 | 7967,4 |
| Фактический износ | тыс. руб. | |||||
| накопленным итогом | 0,267 | 4,267 | 8,2666667 | 12,266667 | 16,267 | |
| Остаточная балансовая | Тыс. руб. | |||||
| стоимость | 318164,8 | 310197,4 | 302230,04 | 294262,6 | 286295,2 |
Таблица 11 – Стоимость жилого дома, руб.
| Количество комнат | Этаж | Площадь свободная, кв. м. | Ст-ть кв. м., с учетом S балкона (лоджии), руб. | Общая стоимость за квартиру, с учетом балкона (лоджии) |
| Трехкомнатная | 2 Этаж | 91,43 | 44300 | 4050349 |
| Двухкомнатная | 2 Этаж | 60,51 | 44800 | 2710848 |
| Четырехкомнатная | 2 Этаж | 125,38 | 44300 | 5554334 |
| Однокомнатная | 2 Этаж | 46,81 | 45300 | 2120493 |
| Однокомнатная | 2 Этаж | 37,29 | 45300 | 1689237 |
| Четырехкомнатная | 3 Этаж | 125,38 | 44300 | 5554334 |
| Трехкомнатная | 3 Этаж | 93,43 | 44300 | 4138949 |
| Двухкомнатная | 3 Этаж | 63,82 | 44800 | 2859136 |
| Однокомнатная | 3 Этаж | 46,81 | 45300 | 2120493 |
| Однокомнатная | 3 Этаж | 37,29 | 45300 | 1689237 |
| Четырехкомнатная | 4 Этаж | 125,38 | 44300 | 5554334 |
| Трехкомнатная | 4 Этаж | 93,59 | 44300 | 4146037 |
| Двухкомнатная | 4 Этаж | 63,82 | 44800 | 2859136 |
| Однокомнатная | 4 Этаж | 46,81 | 45300 | 2120493 |
| Однокомнатная | 4 Этаж | 37,29 | 45300 | 1689237 |
| Четырехкомнатная | 5 Этаж | 125,38 | 44300 | 5554334 |
| Трехкомнатная | 5 Этаж | 92,4 | 44300 | 4093320 |
| Двухкомнатная | 5 Этаж | 63,82 | 44800 | 2859136 |
| Однокомнатная | 5 Этаж | 48,06 | 45300 | 2177118 |
| Однокомнатная | 5 Этаж | 37,29 | 45300 | 1689237 |
| Четырехкомнатная | 6 Этаж | 125,38 | 44300 | 5554334 |
| Трехкомнатная | 6 Этаж | 92 | 44300 | 4075600 |
Общая площадь квартир составила 10992,86 кв. м., а общая стоимость квартир составила 490869443 руб. Как видно из таблицы 11, стоимость кв. м однокомнатной квартиры стоит 45300 руб., двухкомнатной-44800 руб., трехкомнатной-44300 руб. Но это цена не окончательная, так как квартиры не будут проданы в срок, а стоимость жилья с каждым годом уваливается, для этого есть процент удорожания, равный 1,5%.
Таблица 12 – График продажи квартир
| Наименование | 4 кв. 2008 | 1 кв. 2009 | 2 кв. 2009 | 3 кв. 2009 | 4 кв. 2009 | 1 кв. 2010 | 2 кв. 2010 | 3 кв. 2010 |
| Площадь, кв. м | 728,15 | 951,22 | 1335,05 | 1309,68 | 1448,98 | 1291,41 | 1974,29 | 1936,55 |
| Стоимость, тыс. руб. | 32487,4 | 42372,3 | 57715,5 | 60475,1 | 67627,8 | 57597,8 | 88148,5 | 86780,4 |
Как видно из таблицы 12, наибольшее количество площадей происходит на летний период. В это время потребители наиболее активны, также на объем реализации площадей влияет то, что после сдачи жилого дома на заселение, близлежайшая территория не достаточно благоустроена, люди сталкиваются с проблемой отсутствия городского транспорта, магазинов, поликлиники и детских садов. Больше всего, реализовано квартир во 2 и 3 квартале 2010 года – 1974,29 кв. м и 1936. 55 кв. м. Выручка от реализации квартир с каждым кварталом увеличивается, с 32487,4 тыс. руб. в 4 квартале 2008 до 86780, 4 тыс. рублей в 2010 г. На это повлияла работа маркетингового отдела. Реклама на телевидении, в печати и на радио, способствует реализации.
Таблица 13 – Прогнозный отчет о движении денежных средств
| Показатели | Сумма |
| Выручка от реализации | 490869,4 |
| Себестоимость | 318696,6 |
| Амортизация | 64270,4 |
| Валовая прибыль | 107902,4 |
| Налог на прибыль | 25896,576 |
| Нераспределенная прибыль / убыток | 82005,824 |
| Поток от операционной деятельности | 146276,22 |
| Капиталовложения | 39837 |
| Поток от инвестиционной деятельности | -39837 |
| Сальдо суммарного потока | 106439,22 |
| Прибыль | 172173,4 |
| Рентабельность | 154,2 |
Как видно из таблицы 13, выручка от реализации квартир составит 490869,4 тыс. руб., себестоимость 318696,6 тыс. руб., поток от операционной деятельности составит 146276,2 тыс. руб., а рентабельность составит 154,2%. Налог на прибыль составляет 24% от валовой прибыли. Рентабельность горит о том что на каждый вложенный рубль ОАО «СтройКом» получит 154 рубля.
А теперь рассчитаем срок окупаемости инвестиционного проекта
Со = Ип / Дг * К, (8)
где Со – срок окупаемости проекта, лет;
Ип – инвестиции, руб.;
Дг – ежегодный доход, руб.;
К – коэффициент дисконтирования.
Со= 250.000.000 / 490.869.400= 0,5 (без учета дисконтирования)
Инвестиционный проект окупится за 7 месяцев.
Для того чтобы окупить затраты, необходимо продавать квартиры на сумму 250000000 руб./7 мес = 35.714.286 руб. в месяц.
Определим срок окупаемости с учётом дисконтирования.
Коэффициент дисконтирования определяется по формуле:
(9)
где Кдt – коэффициент дисконтирования для t-года;
k – темп изменения ценности денег (обычно принимается на уровне среднего процента по банковским кредитам: 0,21);
t – номер года с момента начала инвестиций.
Kд = 1: (1+0,21) =0,8264;
Зная, что доход будет составлять 490.869.400 руб., то с учетом коэффициента дисконтирования – 490.869.400*0,8264 = 405.654.472.
За первый год сумма дисконтирования составит 405654472 руб., этого будет достаточно, чтобы покрыть все расходы, связанные со строительством панельного дома на сумму 250000000 руб. ОАО СК «СтройКом» получит прибыль за вычетом инвестиций.
3.6 Риски
Возможные финансовые и прочие риски при осуществлении проекта строительства – квартиры в возводимом застройщиком доме пользуются устойчивым спросом, все полученные от реализации средства направляются на выполнение работ по строительству жилого дома, финансовые риски сведены к минимуму.
Прочие риски (связанные с местом, способом строительства и т.п.) не превышают средние показатели по новостройкам города.
Меры по добровольному страхованию застройщиком рисков – не предпринимались в связи с незначительностью рисков.
3.7 Схема финансирования
Строительная компания для строительства панельного дома берет кредит в банке «ВТБ 24» на сумму 250.000.000 руб., сроком на 5 лет под 16% годовых. Погашение кредита происходит равными долями, с одновременной выплатой процентов в размере 8.000.000.
Таблица 14 – Расчет по кредиту с банком
| Год | Кредит | Погашение задолженности | Остаток | Процент |
| 250.000.00 | ||||
| 2009 | 50.000.000 | 200.000.000 | 32.000.000 | |
| 2010 | 50.000.000 | 150.00.000 | 24.000.000 | |
| 2011 | 50.000.000 | 100.000.000 | 16.000.000 | |
| 2012 | 50.000.000 | 50.000.000 | 8.000.000 | |
| 2013 | 50.000.000 | 0 | 0 |
Таким образом, строительство жилого дома экономически целесообразно и принесет строительной компании дополнительный доход в размере 172173,4 тыс. руб.
Заключение
Таким образом, проведенное исследование показало, что в настоящее время в России постепенно к предпринимателям приходит осознание того, что только лишь планируя свою деятельность, просчитывая каждый свой шаг, предприятия смогут удержать свои позиции на рынке товаров и услуг, обеспечить себе прибыльное существование. Инвестиционное планирование является резервом повышения рентабельности предприятия, инструментом, помощью которого пользуются практически все иностранные фирмы, но, к сожалению, не все российские. Несомненно, непредсказуемость современной экономической ситуации России не позволяет предприятиям планировать свою деятельность на долгосрочную перспективу, однако применение современных форм и методов финансового планирования для краткосрочных планов также является эффективным средством для успешной деятельности.
В дипломном проекте рассмотрены теоретические вопросы инвестиционного проектирования, т.е. процесса принятия решений, обеспечивающего эффективное функционирование и развитие предприятия в будущем. Экономическая природа инвестиций обусловлена закономерностями процесса расширенного воспроизводства и заключается в использовании части дополнительного общественного продукта для увеличения количества и качества всех элементов системы производительных сил общества. Источником инвестиций является фонд накопления, или сберегаемая часть национального дохода, направляемая на увеличение и развитие факторов производства, и фонд возмещения, используемый для обновления изношенных средств производства в виде амортизационных отчислений.
Таким образом, валюта баланса ОАО СК «СтройКом» в 2007 году составила 155155 тыс. руб. Основные средства составили 156256 тыс. рублей в 2007 году. Чистые активы в 2006 году увеличились по сравнению с 2006 годом. Резервный капитал сформирован согласно установленного законодательства в сумме 16569 тыс. рублей и составляет 5,2% от размера уставного капитала строительной компании. Чистая прибыль в 2007 году составила 835 млн. 959 тыс. рублей. Недоимок по платежам у компании нет. Платежеспособность и устойчивость компании в 2007 году характеризуют положительные финансовые показатели.
В целом финансовое состояние строительной компании в 2007 году позволило не допускать задержек выплат заработной платы и производить своевременную оплату текущих налоговых платежей и платежей во внебюджетные фонды.
Учитывая резкие скачки цен на материальные ресурсы, ОАО СК «СтройКом» осуществлял поиск путей снижения общей себестоимости работ и услуг, уменьшению расходов по содержанию основных средств, часть из которых не используется в производственном процессе.
Проводился анализ и поиск возможности повышения отдачи от долгосрочных финансовых вложений.
Общая площадь квартир составила 10992,86 кв. м., а общая стоимость квартир составила 490869443 руб. Как видно из таблицы 18, стоимость кв. м однокомнатной квартиры стоит 45300 руб., двухкомнатной-44800 руб., трехкомнатной-44300 руб. Но это цена не окончательная, так как квартиры не будут проданы в срок, а стоимость жилья с каждым годом уваливается, для этого есть процент удорожания, равный 1,5%.
За первый год сумма дисконтирования составит 405654472 руб., этого будет достаточно, чтобы покрыть все расходы, связанные со строительством панельного дома на сумму 250000000 руб. ОАО СК «СтройКом» получит прибыль за вычетом инвестиций. Строительная компания для строительства панельного дома берет кредит в банке «ВТБ 24» на сумму 250.000.000 руб., сроком на 5 лет под 16% годовых. Погашение кредита происходит равными долями, с одновременной выплатой процентов в размере 8.000.000.
Таким образом, строительство жилого дома экономически целесообразно и принесет строительной компании дополнительный доход в размере 172173,4 тыс. руб.
Библиографический список
1. Алексеева М.М. Планирование деятельности фирмы: Учеб.-метод. пособие. – М.: Финансы и статистика, 2007. – с. 400.
2. Бизнес-план инвестиционного проекта: Отечественный и зарубежный опыт. Современная практика и документация: Учеб. пособие/ Под ред. В.М. Попова. – 4-е изд., перераб. и доп. – М.: Финансы и статистика, 1997. – 560 с.
3. Бизнес-план. Методика составления. Реальный пример/ В.П. Буров, О.К. Морошкин и др. – М.: ЦИПККАП, 2005. – 359 с.
4. Бизнес-план. Методические материалы. – 2-е изд., доп./ Под ред. Р.Г. Маниловского. – М.: Финансы и статистика, 2000. – 680 с.
5. Приболев Н.П., Игнатьева И.П. Бизнес-план. Практическое руководство по составлению. – СПб.: Белл, 2004. – 700 с.
6. Грибов В.Д. Основы бизнеса: Учеб. пособие. – М.: Финансы и статистика, 2000. -360 с.
7. Деловое планирование: Учеб. пособие / Под ред. В.М. Попова. – М.: Финансы и статистика, 1997. -240 с.
8. Ковалев А.П. Финансовый анализ и диагностика банкротства: Учеб. пособие/ Экон. академия. – М., 2004. – 520 с.
9. Ковбасюк М.Р. Анализ финансовой деятельности предприятия с использованием ПЭВМ. – М.: Финансы и статистика, 2000. – 280 с.
10.Кондраков Н.П. Бухгалтерский учет, анализ хозяйственной деятельности и аудит. – 2-е изд. – М.: Перспектива, 2004. -680 с.
11.Кравченко Л.И. Анализ финансового состояния предприятия. – Минск: ПКФ «Экаунт», 2004. – 300 с.
12.Крейнина М.Н. Финансовое состояние предприятия. Методы оценки – М.: ИКЦ «Дис», 2002. – 224 с.
13.Кураков Л.П., Ляпунов С.И., Мингазов X.X., Попов В.М. Бизнес-план: Дайджест и консалтинг. Зарубежный и отечественный опыт: В 2-х ч. Ч. 2. – М.: Финансы и статистика, 2005.-300 с.
14.Литовский М.А. Методы оценки коммерческих идей, предложений, проектов. – М.: Дело ЛТД, 2005. -0520 с.
15.Лунев Н., Макарович Л. Бизнес-план для получения инвестиций. Методические рекомендации. – М.: Внешсигма, 2005. 360 с.
16.Маркова В.Д. Маркетинг услуг. – М.: Финансы и статистика, 2006. – 520 с.
17.Маркова В.Д., Кравченко Н.А. Бизнес-планирование. – Новосибирск: ЭКОР, 2004. – 180 с.
18.Плешков Б. Бизнес-план, или как повысить доходность вашего предприятия. – М.: СО Анкил, 2003. – 350 с.
19.Попов Е.В. Продвижение товаров и услуг: Учеб. пособие. – М.: Финансы и статистика, 1999.-280 с.
20.Сухова Л.Ф., Чернова Н.А. Практикум по разработке бизнес-плана и финансовому анализу предприятия: Учеб. пособие. – М.: Финансы и статистика, 1999. – 380 с.
21.Савицкая Г.В. Анализ хозяйственной деятельности предприятий. М., 2000.-680 с.
22.Стоянов Е.А., Стоянова Е.С. Экспертная диагностика и аудит финансово–хозяйственного положения предприятия. – М.: Перспектива, 2003. – 350 с.
23.Успенский Ю.И. «Технология и безопасность в строительстве». – М.2000. – 520 с.
24.Финансовый менеджмент: теория и практика / Под ред. Е.С. Стояновой – М.: Перспектива, 2002. – 358 с.
25.Финансовый бизнес-план: Учеб. пособие / Под ред. В.М. Попова. – М.: Финансы и статистика, 2000.-680 с.
26.Чернов В.П., Энснер Ю.Н. Бизнес-план: Рабочая книга. – СПб.: ЭиС, 1992.
27.Шапиро В.Д. Управление проектами. – СПб.: Два Три, 2005.-680 с.
28.Шеремет А.Д. Сайфулин Р.С. Методика финансового анализа. - М., 2001. – 286 с.
29.Шим Дж., Сигел Дж. Методы управления стоимостью и анализа затрат. – М.: Филинъ, 1996.