| Скачать .docx |
Курсовая работа: Закон денежного обращения и его модификация в различных типах денежных систем
Федеральное государственное образовательное учреждение среднего профессионального образования
«Омский промышленно – экономический колледж»
КУРСОВАЯ РАБОТА
По дисциплине Финансы, денежное обращение и кредит
Тема: «Закон денежного обращения и его модификация в различных типах денежных систем»
Выполнил: Бобкова Маргарита
Валерьевна
специальность 080108 «Банковское дело»
группа БД – 147
Руководитель: Яркова
Татьяна Николаевна
оценка……………………………
дата защиты……………………...
2008
Содержание
Введение…………………………………………………………………….…….3
Глава 1 Эмпирические законы денежного обращения………………….…….5
1.1 Закономерности эволюции денег в условиях нестабильного денежного обращения…………………………………………………..........................…..5
1.2 Закономерности эволюции денег в условиях стабильного денежного обращения…………………………………………………………………………7
Глава 2 Количественные законы денежного обращения……………………..12
2.1 Классическое уравнение обмена («формула Ньюкомба – Фишера»)……12
2.2 Различные варианты количественной теории денежного обращения………………………………………………………………………..15
Заключение……………………………………………………………………...20
Список используемой литературы…………………………………………….24
Приложение 1………………………………………………………………...…25
Приложение 2…………………………………………………………………...26
Приложение 3………………………………………………………………...…27
Введение.
Хозяйственная деятельность в национальной экономике представляет собой сложное переплетение многообразных производственных, инвестиционных и торговых процессов, а также тесно связанное с ними накопление капитала, передачу и использование заемных средств. Установление определенной согласованности между этими процессами, их стабильное взаимодействие является необходимым условием для поддержания непрерывности хозяйственного оборота, а также общественного воспроизводства в целом. В рыночной экономике указанная согласованность достигается во многом благодаря деньгам, играющим роль универсальной связи между субъектами экономики и опосредствующим практически все хозяйственные процессы и сделки.
Деньги находятся в постоянном движении – осуществляют непрерывный оборот, в ходе которого обслуживают многочисленные процессы реализации товаров и услуг, накопления капитала и формирования сбережений. Деньги также используются при платежах по финансовым операциям (сделки с ценными бумагами, кредитные сделки) и при нетоварных платежах (налоги, сборы, ренты, штрафы и д. р.) – участвуют в хозяйственном обороте.
Понятие «обращение» используется для характеристики движения наличных денег вместо близкого по значению термина «оборот». Такое разграничение вызвано особенностями движения наличных денег, которые подобно обращающимся инструментам физически передаются из рук в руки хозяйствующим субъектами и, поэтому, участвуют во многих сделках в неизменном виде. Центральное место, отведенное денежному обращению, очень хорошо характеризует соотношение между приведенными выше понятиями, их «экономическую субординацию». Так, несмотря на то, что в современных условиях денежное обращение по своим масштабам значительно уступает безналичному денежному и платежному оборотам, в условиях гиперинфляции и, особенно, при наступлении кризисных ситуаций в экономике и банковской сфере, хозяйствующие субъекты и население стремительно переходят к наличной форме платежей. По мере углубления кризиса процесс вытеснения платежных средств идет дальше – происходит отказ от законных средств платежа в пользу более надежных средств, в частности иностранной валюты. [2, с. 130 – 134]
Сказанное подтверждает тезис о необходимости внимательного отношения к организации денежного обращения в стране и контроля над эмиссией наличных и безналичных денег для защиты и обеспечения устойчивости национальной валюты. Цель данной работы состоит в том, чтобы подробно рассмотреть закон денежного обращения в различных типах денежных систем. В соответствии с поставленной целью основными задачами данной работы будут:
а) рассмотрение эмпирических законов денежного обращения;
б) рассмотрение количественных законов денежного обращения и их трактовка.
Глава 1
1.1 «Закономерности эволюции денег в условиях не стабильного денежного обращения»
Обычно в экономической науке при описании закономерности эволюции денег в условиях нестабильного денежного обращения обращается внимание на результат, который формулируется как «закон Грешема». Данный эмпирический закон естественного отбора денег звучит так: "Худшие деньги вытесняют из обращения лучшие».
По сути дела рассматриваемый закон отражает внутреннее противоречие между функцией денег как мерой стоимости и масштабом цен. К условиям действия «закона Грешема» относятся:
1) различие в покупательной силе денежных знаков одного номинала;
2) денежные знаки с разной покупательной силой должны служить законным платежным средством без ограничения;
3) на денежные знаки с разной покупательной силой должно распространяться правило свободной эмиссии.
Центральный вопрос теории рассматриваемого закона - это вопрос критериев сравнения и смысла понятии «лучшие деньги» и « худшие деньги». Обобщая исторические факты, связанные с действием закона, следует отметить, что предпочтения отдаются денежным формам:
а) имеющим внутреннюю стоимость и, следовательно, защищенным от политических катаклизмов;
б) обладающим большей ликвидностью;
в) выполняющим максимальное число и способным к обретению дополнительных функций;
г) позволяющим использовать деньги для извлечения прибыли;
д) обладающим наибольшей стабильностью.
Как доказывается истинность закона и, соответственно, действенность того, что худшие деньги вытесняют из обращения лучшие? Ссылками на прецеденты, постоянно подтверждающие его группы эмпирических фактов.
Во-первых, действие эмпирического закона денежного обращения считается типичным для биметаллизма, медно-серебряного и золотосеребряного. Например, при золотосеребряном биметаллизме и законодательном установлении соотношения стоимости золота и серебра монеты свободно чеканили из металла, принадлежащего частным лицам. Падение стоимости серебра приводило к тому, что выгодно было расплачиваться только серебряными монетами. Они обладали меньшей стабильностью и вытесняли из обращения золотые монеты, превращавшиеся сокровище.
Во-вторых, с появлением бумажных денег в условиях инфляции лучшими деньгами становятся монеты из драгоценных металлов. Они имеют внутреннюю стоимость и, следовательно, защищены от политических катаклизмов, способны выполнять все пять функций денег, в том числе функцию мировых денег, самостоятельно, поэтому деньги из драгоценных металлов вывозятся за границу, тезаврируются и уходят из обращения.
В-третьих, лучшие деньги перестают поступать в виде налогов. В результате исторически неоднократно возникала ситуация, при которой государство, эмитируя худшие деньги (например, медные или бумажные), требовало уплаты налогов лучшими (серебряными или золотыми).
В-четвертых, в условиях господства неразменных денег действие эмпирического закона денежного обращения имеет свою специфику. Например, настоящее время в России наличные и безналичные деньги имеют разную ценность. Использование наличных расчетов дает значительные возможности для «ухода» от уплаты налогов, поэтому безналичные деньги хуже, они менее ликвидны и оттого становятся дешевле. Это подтверждает постоянная реклама: за определенный процент от суммы сделки безналичные средства можно превратить в наличные.
В-пятых, при сравнении рублей и свободно конвертируемой валюты ин - валюта оказывается предпочтительней, обладает большей ликвидностью, выполняет функцию мировых денег, поэтому СКВ изымается из обращения и платежей и переходит в накопления. Таким образом, данный эмпирический закон и в дополнение ко всему объясняет одну из множества причин изменения структуры бумажно-денежной массы и скорости обращения ее различных частей в национальной экономике.
В-шестых, еще один аспект рассматриваемого эмпирического закона отметил У. Джевонс (1835-1882). Не только худшие деньги вытесняют из обращения лучшие. Лучшие деньги обретают дополнительные сферы функционирования и сами по себе обладают способностью уходить из обращения. Даже то, что сделано законным платежным средством, может быть лишено характера денег. Во время гражданской войны правительство США пыталось пустить в обращение билеты достоинством в пятьдесят долларов, приносящий 7,3%, так что процент вычистился очень легко, составляя один цент в день. Однако билеты оказались не в состоянии циркулировать. Вопреки попытке облегчить обращение этих билетов, население предпочитало удерживать билеты с целью получения процентов. Таким образом, пример иллюстрирует столкновение и отбор из однотипных, а именно бумажных, непроцентных и процентных денег. Процентные деньги оказались лучшими деньгами, они выполняли большее число функций, чем обычные бумажные средства платежа, позволяли извлекать прибыль и превратились в ссудный капитал. Будучи наделенными важными дополнительными качествами, они ушли из обращения.
Bмеcтe с тем следует еще раз подчеркнуть, что рассмотренные факторы, подтверждающие действие закона Грешема, связаны с «возмущающими» факторами, дестабилизирующими денежное обращение в той или иной мере.
Общественное представление о лучших и худших деньгах является историческим, т. е. подвижным, оно не закреплено однозначно за определенной формой денег. В условиях бумажно-денежной инфляции золотые деньги являются лучшими. В условиях стабильного денежного обращения ветхую банкноту запросто обменяют на новую, а сильно истершуюся монету - нет. [10, с. 51 – 53]
1.2 «Закономерности эволюции денег в условиях стабильного денежного обращения »
Экономическая наука чаще всего обращает внимание на кризисные ситуации, в которых происходят резкие видимые невооруженным глазом, изменения. Но эволюция денежных систем происходит и в условиях стабильной ситуации в хозяйственной системе. Границы действия любого эмпирического закона никогда не могут быть заранее очерчены. Изменения в денежном обращении порождают новые факты, характеризующие его проявление. Задача теории - всесторонне раскрыть механизм действия закона. В этом отношении представляет некоторый интерес концепция, которую развивают Р.. Миллер и Д.Д. Ван-Хуз.
Научный инструмент, используемый авторами, связан с понятиями «издержки ожидания» и «трансакционные издержки». В сумме они образуют издержки обращения.
Под издержками ожидания (CW) понимаются расходы, которые несет индивид в связи со временем приобретения необходимого товара. Чем дольше ожидание, тем выше издержки данного вида (Приложение 1).
Под трансакционными издержками традиционно понимаются расходы, которые несет индивид при совершении торговой сделки. Применительно рассматриваемым процессам они связываются не со стоимостью полезного блага, а с усилиями на его поиск, выбор, оплату, риском осуществления сделки. Возможные отклонения цены самого блага в разных точках сбыта и возникающие в связи с этим варианты обмена в расчет не принимаются. Априори полагается, что краткосрочные операции требуют больших трансакционных расходов, чем долгосрочные операции (Приложение 2).
В действительности объективным вариантным фактором отбора форм расчетов являются только трансакционные издержки. При устоявшейся хозяйственной системе, сложившихся привычках делового общения, менталитете определенного человека время на совершение конкретных операций обмена можно признать постоянным. Кроме того, трансакционные издержки, так же как и издержки ожидания, нельзя рассматривать вне времени, вне истории. Таким образом, кривая СТ превращается в луч, характеризующий изменение трансакционных издержек одновременно с эволюцией денежной системы.
Участвуя в процессе купли-продажи товара, индивид несет общие издержки. Его цель состоит именно в их минимизации. Однако во внимание можно принять лишь трансакционные издержки. В отличие от издержек ожидания уровень кривой трансакционных издержек непосредственно определяется системой торговли и денежного обращения. В зависимости от нее кривая трансакционных издержек смещается влево вниз.
Стремления индивидов, вызывающие переход от одной системы торговли к другой, ведут к эволюции денежных систем. В результате снижаются минимальные общие издержки обращения, т.е. удешевляется процесс обмена и уменьшается время, затрачиваемое на его осуществление (Приложение 3).
Однако нельзя достоверно полагать, что на практике усилия, связанные с поиском, выбором товара, его оплатой, риском осуществления сделки, зависят от того, какие именно деньги участвуют в расчетах. На общий процесс эволюции денежных систем влияют не трансакционные издержки, а однородность денежного материала, его делимость, бездоходность, удобство для транспортировки, износостойкость, универсальность в качестве средства накопления, узнаваемость, стабильность.
Важнейшим фактором эволюции денег является их соответствие достигнутому этапу развития рыночного хозяйства, что проявляется через достаточность денег, способность обеспечить всю сумму совершаемых в процессе хозяйственного оборота сделок. [1, с 58 – 62]
Монетарное правило. К эмпирическим законам денежного обращения относится так называемое «монетарное правило», суть которого составляет предложение о практическом установлении связи, количественного соотношение между темпами эмиссии денежных знаков и темпами экономического роста при проведении разумной денежно-кредитной политики с целью недопущения инфляции.
Монетарное правило формулируется следующим образом: темп постоянного ожидаемого прироста массы денег в обращении за определенный период времени должен быть равен темпам прироста валового внутреннего продукта и темпам динамики цен (инфляции) за тот же период. Математически монетарное правило выражается формулой:
∆М = ∆Y + ∆π,
где ∆М – темп прироста массы денег в обращении, %;
∆Y – темп прироста валового внутреннего продукта, %;
∆π – темп динамики цен (инфляции), %.
В данном случае практической проблемой является максимально точная фиксация темпов динамики цен (инфляции).
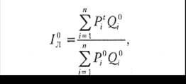
Ценовые индексы. Ценовые индексы указывают общее направление изменения товарных цен и покупательной силы денег. Именно этим определяется их место в учении о деньгах. В настоящее время для измерения покупательной силы денег и инфляции используются ценовые индексы, предложенные Этьеном Ласпейресом, Германом Пааше, Ирвингом Фишером.
Ценовой индекс Э. Ласnейреса - международно признанный статистический показатель, используемый для измерения динамики цен (инфляции), расчета индекса потребительских цен. Он построен на сопоставлении цен базового объема предложения (Q.°):


Считается, что ценовой индекс Ласпейреса преувеличивает реальную динамику роста цен.
Ценовой индекс Г. Пааше - иной статистический показатель, используемый для измерения динамики цен (инфляции), расчета дефлятора ВВП. Oн построен на сопоставлении цен при сложившемся на данный момент объеме предложения (Q,`):

Индекс фиксирует любое повышение цен, как связанное, так и не связанное с инфляцией. Считается, что ценовой индекс Пааше преуменьшает реальную динамику роста цен.
Ценовой индекс И. Фишера - своего рода «идеальный» статистический показатель, используемый для нейтрализации погрешностей ценового индекса Ласпейреса и ценового индекса Пааше при количественном измерении динамики цен (инфляции). Он представляет собой их среднюю геометрическую величину:

Разрабатываются и делаются попытки внедрения в экономический анализ иных показателей для измерения динамики цен (цепной индекс, основывающийся на мультипликации индексов по текущему базису геометрический индекс, использующий постоянные веса цен). [9. с 112 - 114]
Глава 2
2.1 « Классическое уравнение обмена (формула Ньюкомба-Фишера)»
В сформулированных на настоящий момент сущностных законах денежного обращения экономическая наука фактически исходит из молчаливого признания производности, зависимости потребности в денежной массе от массы товарной.
По форме сущностные законы предстают как количественные оценки денежной массы, необходимой и достаточной для того, чтобы реализовать товарную массу, обеспечить покупательную способность денег и поддерживать стабильное равновесие между ними. Попытки фиксации такой зависимости связаны:
· с уравнением обмена и его модификациями;
· формулой количества денег, необходимого для обращения товарной массы.
Стоимость денег равна пропорции, в которой их обменивают на другие предметы, или количеству денег, которое отдают в обмен за определенное количество других вещей. Это отношение определяется совокупным количеством денег, находящихся в стране. Если предположить на одной стороне все товары страны, а на другой - все деньги, то очевидно, что при обмене этих сторон стоимость денег, т. е. количество товаров, на которое они обмениваются, целиком зависит от количества самих денег. Совершенно так же обстоит дело в действительном ходе вещей. Совокупная масса товаров данной страны обменивается на совокупную массу денег не сразу, а частями, и нередко весьма малыми частями, в различное время в течение года. Та же самая монета, которая сегодня послужила для одного обмена, может завтра служить для другого. Одна часть денег употребляется для большего числа актов обмена, другая - для очень малого, а третья часть накопляется и совсем не служит для обмена. Так как масса всех товаров, на которые деньги могут обменяться, остается неизменной, то стоимость всей массы денег после увеличения их количества не становится больше, чем она была до этого. Какова бы ни была степень уменьшения или увеличения совокупной массы денег, если количество других вещей остается неизменным, то стоимость общей массы денег и каждой из ее частей испытывает обратно пропорциональное уменьшение или увеличение. Если уменьшается масса товаров, в то время как количество денег остается неизменным, то происходит то же самое, как если бы увеличилась общая сумма денег, и наоборот. Подобные же изменения являются результатом каждого изменения в быстроте обращения денег. Каждое увеличение числа оборотов производит такое же действие, как и увеличение общего количества денег, уменьшение числа этих оборотов вызывает непосредственно обратное действие... [3, с. 84 – 85]
Логика классического уравнения обмена базируется на трех предпосылках:
а) концепции совершенной конкуренции, при которой покупатели и продавцы формируют равновесный уровень цен;
б) хозяйствующие субъекты на рынке преследуют только личную выгоду;
в) покупатели и продавцы руководствуются реальными, а не номинальными ценами.
Одно из самых распространенных выражений уравнения обмена имеет вид:
MV = ∑ pi Qi ,
где M – масса денег в обращении;
V – скорость обращения денег;
i – один из n-массы товаров, находящихся в обращении;
pi - средняя цена i-го товара;
Qi – масса i-го товара, находящегося в обращении.
Оно носит название «формула Ньюкомба – Фишера».
Критический анализ уравнения обмена привел к выводу, что оно характеризует тождество, т. е. MV ≡ PT. Левая часть уравнения представляет величину денежных платежей за реализованные товары. Правая часть уравнения характеризует ту же самую величину только через произведение уровня цен на объем реализованных товаров.
Самый уязвимый пункт «формулы Фишера» состоит в анализе покупательной способности денег в периоды экономических кризисов. В соответствии с логикой формулы повышение покупательной способности денег произойдет тогда, когда их масса сократится. Рост денежной массы вызывает падение покупательной способности денег.
Что же в действительности происходит в условиях экономических кризисов? При постоянной и, возможно, даже немного увеличивающейся денежной массе, при постоянном объеме предложения товаров цены падают, т.е, покупательная способность денег возрастает. Почему? Если руководствоваться «формулой Фишера», то на данный вопрос ответить невозможно. Она не принимает во внимание потенциал понижения стоимости самих денег, т. е. снижение издержек на их производство.
Классическое уравнение обмена принимает во внимание только одну функцию денег, средства обращения. Другие функции (средства накопления, средства платежа, мировых денег) остаются без внимания. Формула закрывает дискуссию по проблеме причин, почему под влиянием количества денег может измениться их ценность; анализ исчерпывается рамками математики. Все это вызывает потребность совершенствования уравнения обмена, приближения его к практическим задачам регулирования экономики и стимулирование экономического роста.
Покупательная способность денег. Обычно покупательная способность денег выводится из уравнения обмена. В этом случае покупательная способность денежной единицы выражается формулой:
| 1д.е.= |
PQ |
| MV |
Из данной формулы вытекает, что покупательная способность 1 д. е. есть функция нескольких переменных: а) количества товаров, имеющихся на рынке; б) наличной денежной массы; в) скорости оборота наличных денег; г) массы безналичных денег и д) скорости их оборота. Все эти параметры крайне не постоянны, и притом изменяются в самых различных направлениях.
Теоретическое значение меры покупательной способности денег связано с определением сущности и учетом разнообразных факторов инфляции.
2.2 «Различные варианты количественной теории денежного обращения»
Марксистская трактовка количества полноценных денег, необходимых для обращения. Формула количества полноценных денег, необходимых для обеспечения товарного обращения и платежей, основывается на следующих предпосылках:
а) трудовой теории стоимости;
б) золотом стандарте;
в) учете не только функции денег как средства обращения, но и как средства накопления и платежа.
Таким образом, данная концепция имеет определенные преимущества в обоснованности перед классической формулой обмена.
Количество полноценных денег, необходимых для обеспечения товарного обращения страны, представляют в виде формулы:
МD = (∑Т + ∑П – ∑К – В)/О,
где МD – объем спроса на полноценные деньги, предъявляемый со стороны товарного обращения;
∑Т – сумма цен товаров, произведенных во внутренней экономике;
∑П – сумма платежей, которым наступил срок;
∑К – сумма цен товаров, проданных в кредит;
В – взаимозачеты;
О – среднее число оборотов денежной массы за период.
Фактически формула дает обобщенное представление о спросе на деньги, не раскрывая потенциал их предложения. Исходя из общих принципов экономической теории марксизма, можно прийти к следующим выводам. В предложении денег следует разделять первичные и вторичные моменты. Первичное предложение денег связано с процессом материального производства, добычей денежных металлов. Вторичное предложение денег предопределено спецификой их собственного обращения. Как было отмечено, в приведенной формуле под полноценными деньгами понимаются золотые и серебряные деньги, имеющие внутреннюю стоимость. Они стихийно регулировали предложение денег (MS) за счет превращения в сокровище или обратной метаморфозы в платежное средство.
В современных условиях ни в одной стране мира товарное обращение и платежи не осуществляются полноценными деньгами, повсеместно распространено бумажно-денежное обращение. Уже одно это ставит значительные препятствия для практического применения теории. Для характеристики совокупной потребности в национальных денежных знаках следует учитывать:
1)все деньги, имеющиеся в стране (национальные наличные и безналичные, инвалюту) и обслуживающие все рынки во внутренней экономике;
2) деньги, выпадающие из внутреннего хозяйственного оборота (наличные сбережения, вывоз валюты за границу).
С учетом высказанных замечаний усовершенствованный вариант формулы, характеризующий количество наличных национальных денег, необходимых для внутренней экономики, мог бы выглядеть следующим образом:
| МВ = |
∑С – ∑БР – ∑ИВ – ∑П - ∑К – ∑В |
+Д |
| О |
где МВ – потребность внутренней экономики в эмиссии наличных национальных денег;
∑С – стоимость сделок, осуществленных во внутренней экономике;
∑БР – стоимость сделок, осуществленных по безналичному расчету;
∑ИВ – стоимость сделок, осуществленных с использованием инвалюты и иных денежных суррогатов;
∑П – сумма платежей, которым наступил срок;
∑К – сумма сделок, осуществленных в кредит;
∑В – Сумма взаимопогашающихся платежей;
О – среднее число оборотов денежной массы за период;
Д – деньги, выпадающие из внутреннего хозяйственного оборота.
Деньги, участвующие в безналичных расчетах, и внешние деньги имеют особые количественные закономерности движения. Применительно к ним должны быть разработаны специфические формулы. [5, с. 62 – 67]
Кейнсианский вариант формулы обмена. Дж. Кейнс (1883-1946) в своей «Трактате о денежной реформе» предложил связать накопление ликвидных средств с нормой обязательных банковских резервов. Тогда формула обмена принимает вид:
n = p ( k + rk’ ),
где n- количество денег в обращении (в современных вариантах изложения используется обозначение MS, характеризующее предложение денег);
р - индекс «стоимости жизни», цена единицы потребления;
k- единицы потребления в виде наличных денег;
k' - вклады в банках;
r - норма обязательных банковских резервов.
Для Дж. Кейнса основополагающей теорией в разработке формулы была количественная теория денег. Предложенная модель рассматривалась им в качестве разновидности «формулы Фишера».
[7, с. 189 – 192]
Кембриджское уравнение. А. Маршалл (1842-1924), А. Пигу (1877-1959) и др. обратили внимание на то, что деньги используются не только в качестве средства обращения, но и в качестве средства накопления. Хозяйствующие субъекты руководствуются трансакционным мотивом (накопление денег для запланированной дорогостоящей покупки) и мотивом предосторожности (накопление ликвидных средств на непредвиденные расходы). Данная концепция получила название бихевиористского (поведенческого) варианта количественной теории денег. Исходя из названных постулатов, предложено следующее уравнение (фактически тождество):
Мd ≡ kRP,
где Md - общее количество денег, которое все хозяйствующие субъекты склонны хранить (спрос на деньги);
k - коэффициент, характеризующий ту часть конечного продукта, которую люди предпочитают хранить в ликвидной форме; 0< k< 1; считалось, что k можно признать в долгосрочном периоде величиной постоянной;
R - объем производства в физическом выражении;
Р - цена произведенной продукции.
Кембриджское уравнение выражает спрос на деньги со стороны хозяйствующих субъектов, которые склонны часть своих доходов накапливать и сберегать в ликвидной форме. [4, с. 40 – 45]
Монетаристский вариант количественной теории денег. В конце 1960-х гг. кейнсианские рецепты оздоровления экономики США, основанные на создании искусственных встроенных стимуляторов экономического роста, важнейшим из которых был государственный долг, перестали действовать. Страна столкнулась с таким явлением, как стагфляция. То есть с продолжительным депрессивным состоянием в народном хозяйстве, застоем в производстве и обращении товаров, выраженном в отсутствии роста ВВП, неизменной структуре производительных сил, невосприимчивости экономики к нововведениям, достижениям научно – технического прогресса, сопровождающимся инфляцией. Это способствовало своеобразному ренессансу «формулы Фишера». Благодаря ней делаются попытки анализировать условия равновесия в условиях денежного хозяйства, сопоставлять объемы спроса на деньги и предложения денежной массы.
На базе исследования роли денег в экономике, провозглашения принципа о том, что деньги имеют решающее значение для развития, сформировалась особая научная школа, получившая название «монетаризм». Признанной главе школы М. Фридмену в 1976 г. была присуждена премия Шведского банка по экономике им. А. Нобеля.
Монетаристы на основании статистического анализа предложили новую интерпретацию формулы обмена:
MV=РY ,
где М - номинальная денежная масса;
V - скорость обращения, измеренная в виде отношения номинального ВНП к номинальной денежной массе;
Р - уровень цен; определяется как соотношение номинальной денежной массы и спроса на реальные денежные остатки;
Y - реальный ВНП.
Данная формула позволила внести ряд предложений. Поскольку монетаристы рассматривают деньги как решающее условие нормального кругооборота капитала, постольку их исходным пунктом является утверждение о том, что неразумное государственное вмешательство в экономику, особенно в денежно-кредитную сферу, провоцирует экономические кризисы.
Практические рецепты, предлагаемые монетаристами, можно свести к двум моментам. Первый - политический, его можно определить термином «либерализация». Иными словами, необходимо:
а) провести приватизацию и уменьшить размеры государственного сектора;
б) оздоровить госбюджет сократить его расходную часть, прежде всего за счет уменьшения ассигнований на социальные нужды;
в) создать дополнительные стимулы для индивидуальной хозяйственной деятельности, в частности, уменьшить налоги на бизнес.
Второй важнейший момент монетаристских доктрин – собственно экономический. Он сводится к увязке темпов роста денежной массы с темпами роста ВНП. Темпы роста денежной массы должны составлять около 4 – 5% в год независимо от текущего состояния экономической конъюнктуры, поскольку влияние принятых решений значительно запаздывает. [6, с 36 – 41]
Заключение
Итак, подведем итоги. Что касается закономерностей эволюции денег в условиях нестабильного денежного обращения, то здесь необходимо обратить внимание на «закон Грешема» Центральный вопрос теории – это вопрос критериев сравнения и смысла понятии «лучшие деньги» и « худшие деньги». Общественное представление о лучших и худших деньгах является историческим, оно не закреплено однозначно за определенной формой денег. В условиях бумажно-денежной инфляции золотые деньги являются лучшими. В условиях стабильного денежного обращения ветхую банкноту запросто обменяют на новую, а сильно истершуюся монету – нет. Говоря о закономерности эволюции денег в условиях стабильного денежного обращения нельзя достоверно полагать, что на практике усилия, связанные с поиском, выбором товара, его оплатой, риском осуществления сделки, зависят от того, какие именно деньги участвуют в расчетах. На общий процесс эволюции денежных систем влияют не трансакционные издержки, а однородность денежного материала, его делимость, бездоходность, удобство для транспортировки, износостойкость, универсальность в качестве средства накопления, узнаваемость, стабильность.
Также к эмпирическим законам денежного обращения относится так называемое «монетарное правило», суть которого составляет предложение о практическом установлении связи, количественного соотношение между темпами эмиссии денежных знаков и темпами экономического роста при проведении разумной денежно-кредитной политики с целью недопущения инфляции. Следует помнить и о ценовых индексах. Они указывают общее направление изменения товарных цен и покупательной силы денег. Именно этим определяется их место в учении о деньгах. В настоящее время для измерения покупательной силы денег и инфляции используются ценовые индексы, предложенные Этьеном Ласпейресом, Германом Пааше, Ирвингом Фишером. Ценовой индекс Э. Ласnейреса - международно признанный статистический показатель, используемый для измерения динамики цен (инфляции), расчета индекса потребительских цен. Считается, что ценовой индекс Ласпейреса преувеличивает реальную динамику роста цен. Ценовой индекс Г. Пааше - иной статистический показатель, используемый для измерения динамики цен (инфляции), расчета дефлятора ВВП. Считается, что ценовой индекс Пааше преуменьшает реальную динамику роста цен. Ценовой индекс И. Фишера - своего рода «идеальный» статистический показатель, используемый для нейтрализации погрешностей ценового индекса Ласпейреса и ценового индекса Пааше при количественном измерении динамики цен (инфляции).
Количественные законы денежного обращения характеризуются в первую очередь классическим уравнением обмена, так называемой «формулой Ньюкомба – Фишера». Логика классического уравнения обмена базируется на трех предпосылках:
а) концепции совершенной конкуренции, при которой покупатели и продавцы формируют равновесный уровень цен;
б) хозяйствующие субъекты на рынке преследуют только личную выгоду;
в) покупатели и продавцы руководствуются реальными, а не номинальными ценами.
Самый уязвимый пункт «формулы Фишера» состоит в анализе покупательной способности денег в периоды экономических кризисов. В соответствии с логикой формулы повышение покупательной способности денег произойдет тогда, когда их масса сократится. Рост денежной массы вызывает падение покупательной способности денег. Классическое уравнение обмена принимает во внимание только одну функцию денег, средства обращения. Другие функции (средства накопления, средства платежа, мировых денег) остаются без внимания.
При марксистской трактовке количества полноценных денег, необходимых для обращения дается обобщенное представление о спросе на деньги, не раскрывая потенциал их предложения. Исходя из общих принципов экономической теории марксизма, можно прийти к следующим выводам. В предложении денег следует разделять первичные и вторичные моменты. Первичное предложение денег связано с процессом материального производства, добычей денежных металлов. Вторичное предложение денег предопределено спецификой их собственного обращения. В современных условиях ни в одной стране мира товарное обращение и платежи не осуществляются полноценными деньгами, повсеместно распространено бумажно-денежное обращение. Уже одно это ставит значительные препятствия для практического применения теории.
В кейнсианской трактовке основополагающей теорией в разработке формулы была количественная теория денег. Предложенная модель рассматривалась в качестве разновидности «формулы Фишера».
Кембриджское уравнение выражает спрос на деньги со стороны хозяйствующих субъектов, которые склонны часть своих доходов накапливать и сберегать в ликвидной форме
Оптимальный вариант количественной теории денег сформирован особой научной школой, под названием «монетаризм». Поскольку монетаристы рассматривают деньги как решающее условие нормального кругооборота капитала, постольку их исходным пунктом является утверждение о том, что неразумное государственное вмешательство в экономику, особенно в денежно-кредитную сферу, провоцирует экономические кризисы. Практические рецепты, предлагаемые монетаристами, можно свести к двум моментам. Первый - политический, его можно определить термином «либерализация». Иными словами, необходимо:
а) провести приватизацию и уменьшить размеры государственного сектора;
б) оздоровить госбюджет сократить его расходную часть, прежде всего за счет уменьшения ассигнований на социальные нужды;
в) создать дополнительные стимулы для индивидуальной хозяйственной деятельности, в частности, уменьшить налоги на бизнес.
Второй важнейший момент монетаристских доктрин – собственно экономический. Он сводится к увязке темпов роста денежной массы с темпами роста ВНП. Темпы роста денежной массы должны составлять около 4 – 5% в год независимо от текущего состояния экономической конъюнктуры, поскольку влияние принятых решений значительно запаздывает.
Нельзя обойти стороной актуальный вопрос: какая форма денежного обращения ожидает нас в будущем? Хотелось бы отметить, что наличное денежное обращение остается важнейшей составной частью экономики страны и основой социальной стабильности. Увеличение наличного денежного оборота носит объективный характер и зависит от динамики основных макроэкономических показателей: ВВП, денежный доход населения, оборот розничной торговли, индекса потребительских цен, обменного курса; а также связанно с изменением Банка России методов регулирования количества наличных денег в обращении. В условиях развития информационных технологий возможности для расширения безналичных расчетов в сфере личного потребления имеются. Однако внедрение электронных средств платежа для оплаты товаров и услуг происходит постепенно, исходя из потребностей хозяйствующих субъектов.
Таким образом, наличные деньги в обозримом будущем сохранят свое доминирующее положение при расчетах населения за товары и услуги. Что еще раз подтверждает необходимость изучения законов денежного обращения. [8, с. 37 – 42]
В целом законы денежного обращения исследуются для проведения экономической политики, направленной на стабильность национальной валюты, которая обеспечивается:
· нормальным ходом национального воспроизводственного процесса;
· государственными золотовалютными резервами;
· стабильным платежным балансом страны;
· ограничением влияния на валютный рынок профессиональных спекулянтов;
· учетом всей совокупности функций денег, определяющих общую потребность в них.
Список используемой литературы:
1. Галанов В. А.Финансы, денежное обращение и кредит: Учебник. – М.: Форум: ИНФРА – М, 2006. – 416с. – (Профессиональное образование)
2. Деньги. Кредит. Банки: учеб. – 2-е изд., перераб. и доп./ под ред. В.В. Иванова, Б.И.Соколова.– М.: ТК Велби, Изд-во Проспект,2006. – 848 с.
3. Деньги, кредит, банки : учебник/ под ред. засл. деят. науки РФ, д – ра эконом. наук, проф. О. И. Лаврушина. – 3-е изд., перераб. и доп. – М.: КНОРУС, 2005. – 560с.
4. Ионов В. М. Наличное денежное обращение: основные тенденции развития // ДЕНЬГИ И КРЕДИТ, 2007, №4, с 40 – 45.
5. Ионов В. М. Проблемы наличного денежного обращения на первой Международной конференции в Москве //ДЕНЬГИ И КРЕДИТ, 2007, №8, с 62 – 67.
6. Кочергин Д. А. Мировой опыт регулирования в сфере электронных денег // Мировая экономика и международные отношения, 2005, №4, с 36 – 41.
7. Перекрестова Л. В. Финансы и кредит: Учеб. пособие для студ. сред. проф. учеб. заведений / Л. В. Перекрестова, Н. М. Романенко, С. П. Сазонов. – М.: Издательский центр «Академия», 2003 – 288с.
8. Юров А. В. Наличные деньги и электронные средства платежа: оценка перспектив //ДЕНЬГИ И КРЕДИТ, 2007, №7, С 37 – 42.
9. Салин В. Л. Ценообразование: учеб. пособие – 2-е изд., перераб. и доп. – СПб.: ОЦЭиМ, 2003 – 185с.
10. Соколов Б. И., Соколова С.В. Экономика: Учебник. – СПб.: Изд. дом «Бизнес – пресса», 2002 . – 285с.