| Скачать .docx |
Курсовая работа: Решение компании о международном инвестировании
Московская академия экономики и права
Институт Экономики
Курсовая работа
по дисциплине:
Международный финансовый менеджмент
на тему:
Решение компании о международном инвестировании
Москва 2009
Оглавление
Введение
1. Инвестиционные решения. Понятие и роль международного инвестирования
1.1 Инвестиционные решения
1.2 Понятие и виды международных инвестиций
1.3 Роль международных инвестиций
2. Методические основы анализа зарубежных инвестиций
2.1 Прогнозирование будущих денежных потоков
2.2 Налоговый фактор в принятии решения о зарубежном инвестировании
2.3 Репатриация доходов зарубежного подразделения
2.4 Учет валютного курса при репатриации дивидендов и капитала
3. Расчет основных показателей для принятия решения о международном инвестировании
3.1 Расчет чистой приведенной стоимости
3.2 Учет ожидаемой инфляции
3.3 Учет налогового фактора при репатриации дивидендов
Заключение
Список использованной литературы
международное инвестирование доход стоимость
Введение
Финансовый менеджмент переживает пору быстрых изменений. Значительные достижения отмечены не только в области теории финансового менеджмента, но и в его повседневной практике.
В настоящее время глобализация финансов, развитие электронной торговли, стратегические альянсы, все более широкое использование аутсорсинга, а также огромное множество других факторов во многом определяют сферу принятия решений по участию компании в международном инвестировании.
Начиная с 1980-х годов наблюдается резкое увеличение международных инвестиций как через взаимные фонды, так и путем прямого инвестирования. В то же время и мобилизация капитала все больше выходит за национальные границы. Финансовый менеджер должен уметь использовать в своей работе возможности мирового рынка.
Все это позволяет говорить о рассматриваемой теме как, несомненно, актуальной в современных условиях.
Наше время — это не только время решения очень сложных задач, но и время появления новых благоприятных возможностей для инвестирования.
Цель курсовой работы состоит в том, чтобы разобраться в ходе принятия решений в финансовой сфере и научиться правильно интерпретировать влияние, которое оказывают эти финансовые решения на стоимость компании.
Задачи курсовой работы: понять роль международных инвестиций в структуре предприятия, дать характеристику основным методам анализа иностранных инвестиций, рассмотреть учет инфляции, налогового фактора, валютного и других рисков при принятии решения о международном инвестировании.
Объект исследования : проблема учета множества различных факторов при анализе зарубежных инвестиций и принятие решения об инвестировании
Предмет исследования : основы анализа прямых зарубежных инвестиций
Теоритико-методологической базой исследования являются труды зарубежных авторов, таких как: Джеймс К. Ван Хорн (Станфордский университет), Джон М. Вахович, мл. (Университет штата Теннеси) «Основы финансового менеджмента».
А также труды отечественных авторов, в том числе: Кузнецов Б. Т. «Финансовый менеджмент»; Басовский Л.Е. «Финансовый менеджмент», В.П. Савчук «Энциклопедия финансового менеджмента», Сироткин В.Б. «Международный финансовый менеджмент», учебное пособие.
Информационно-аналитическая база:
1. Налоговый кодекс Российской Федерации (часть вторая) от 5 августа 2000 года № 117-ФЗ.
2. Закон Российской Федерации «Об инвестиционной деятельности в Российской Федерации, осуществляемой в форме капитальных вложений» от 25.02.1999 года № 39-ФЗ.
3. Закон Российской Федерации «Об иностранных инвестициях в Российской Федерации» от 9 июля 1999 года № 160-ФЗ.
1 . Инвестиционные решения. Понятие и роль международного инвестирования
1.1 Инвестиционные решения
Финансовый менеджмент - это наука о принятии инвестиционных решений и решений по выбору источников их финансирования.
В какой бы сфере деятельности предприятия ни принималось управленческое решение, оно прямо или косвенно оказывает влияние на формирование денежных потоков и результаты финансовой деятельности.
Как пишет Джеймс К. Ван Хорн: финансовый менеджмент, или управление финансами, касается решений по приобретению, финансированию и управлению активами, направленных на реализацию определенной цели. Таким образом, управленческие решения в области финансового менеджмента можно отнести к следующим трем основным сферам операций с активами: инвестиции, финансирование и управление ими.
Инвестиционные решения — самые важные из трех основных сфер принятия решений с точки зрения создания и роста стоимости компании.
Уже на ранних этапах развития цивилизации нужно было заниматься "инвестированием " — направлять часть ресурсов (трудовых, материальных) для обеспечения выживания в будущем: создавать запасы пищи, строить хранилища и жилища. С течением времени необходимость отвлечения из потребления части ресурсов и направления их на цели воспроизводства или расширения производства не потеряла своего значения. Более того, в связи с ростом потребностей и технических возможностей, расширением альтернатив встала проблема оптимального распределения ограниченных инвестиционных ресурсов для решения задач социально-экономического характера на всех уровнях управления. Возникла необходимость в тщательной подготовке кратко-, средне-, долгосрочных планов и программ развития, в которых инвестиционные проекты являются основой основ. В связи с этим требуется проведение серьезных исследований как самого проекта, так и его окружения.
Итак, можно сформулировать некоторые правила принятия инвестиционных решений:
1. инвестировать денежные средства в производство или ценные бумаги имеет смысл только, если можно получить чистую прибыль выше, чем от хранения денег в банке;
2. инвестировать средства имеет смысл, только если, рентабельности инвестиции превышают темпы роста инфляции;
3. инвестировать имеет смысл только в наиболее рентабельные с учетом дисконтирования проекты.
Таким образом, решение об инвестировании в проект принимается, если оно удовлетворяет следующим критериям:
· дешевизна проекта;
· минимизация риска инфляционных потерь;
· краткость срока окупаемости;
· стабильность или концентрация поступлений;
· высокая рентабельность как таковая и после дисконтирования;
· отсутствие более выгодных альтернатив
На практике выбираются проекты не столько наиболее прибыльные и наименее рискованные, сколько лучше всего вписывающиеся в стратегию фирмы.
1.2 Понятие и виды международных инвестиций
Международные инвестиции - по законодательству РФ - все виды имущественных и интеллектуальных ценностей, вкладываемые иностранными инвесторами в объекты предпринимательской и других видов деятельности в целях получения прибыли (дохода). Объектами иностранных инвестиций могут являться: вновь создаваемые и модернизируемые основные фонды и оборотные средства во всех отраслях и сферах народного хозяйства, ценные бумаги, целевые денежные вклады, научно-техническая продукция, права интеллектуальные ценности, имущественные права.
Международное инвестирование - конвертация средств отечественных институциональных инвесторов в ведущие мировые валюты и инвестирование их в зарубежные фондовые активы.
Международные инвестиции - прежде всего вид движения мирового финансового (денежного) капитала. Т.е. инвестирование мировых финансов происходит в те отрасли (регионы), которые в будущем принесут наибольшую прибыль.
Современная мировая экономика отличается многообразием видов международных инвестиций. По способу участия в управлении инвестиционными потоками различают прямые и портфельные виды международных инвестиций.
Прямые международные инвестиции подразумевают под собой, финансирование каких-то определенных экономических объектов, например промышленных предприятий, которые приобретены инвестором в полную собственность, либо долевую. При этом финансирование вливается во внедрение инновационных технологий в то или иное уже существующее производство страны. Портфельные международные инвестиции - вложение капитала в ценные бумаги, акции, облигации и прочие активы различных государственных либо частных компаний.
По характеру срока финансирования различают краткосрочные (до года) и долгосрочные (более года) виды инвестиций.
В соответствие с существующими источниками капиталовложений разделяют государственные, частные, смешанные виды международных инвестиций. Причем большая часть международных капиталовложений является собственностью именно частных лиц и компаний развитых стран.
1.3 Роль международных инвестиций
Мотивацией для зарубежного инвестирования капитала является, конечно, получение доходности сверх ее сложившейся ставки. Пока существуют ниши на зарубежных рынках, можно заработать дополнительную доходность.
Но, хотя именно освоение внешних рынков сбыта обусловливает большинство зарубежных инвестиций, существуют и другие причины. Некоторые фирмы осуществляют инвестиции с целью более эффективного производства товаров. Существуют страны, которые могут предложить более дешевую рабочую силу и пониженные производственные затраты, поэтому компании останавливают на них свой выбор при размещении своих производственных мощностей.
Еще одна из причин принятия решения о международном инвестировании – поиск новых технологий. Ни одна страна не имеет доминирующих пре имуществ по всем видам технологий, поэтому компании по всему пробуют найти передовые научные и инженерные идеи за рубежом.
За счет сравнительных преимуществ в производстве отдельных товаров, международное инвестирование - один из эффективных способов удешевления производства.
Наконец, некоторые компании осуществляют внешние инвестиции, чтобы сберечь сырьевые ресурсы. В частности, именно по этой причине вкладывают капитал за рубежом нефтяные и горнодобывающие компании.
Например, нефтяные компа нии США, такие как “Exxon”, имеют множество дочерних компаний во всем мире, чтобы гарантировать доступ к базовым ресурсам, необходимым для под держания основного вида бизнеса компании.
Международное инвестирование по сравнению с чисто отечественным имеет предпочтение как с точки зрения больших возможностей получения прибыли, так и с точки зрения снижения риска инвестора с помощью диверсификации.
Поскольку местные инвестиционные проекты обычно взаимосвязаны между собой, находясь в сильной зависимости от состояния местной экономики, зарубежные инвестиции, несомненно, имеют перед ними преимущество. Циклы деловой активности разных стран полностью не синхронизированы, поэтому существует возможность снизить риск относительно ожидаемого уровня доходности, осуществляя инвестиции в разных странах. Дело в том, что уровни доходности по инвестиционным проектам обычно меньше связаны друг с другом в разных странах, чем в одной отдельной стране.
Таким образом, организуя производство и сбытовую сеть по всему миру, фирмы могут подстраховываться от влияниянеблагоприятных экономических тенденций в какой-либо одной стране.
Можно сказать, что все эти факторы в совокупности — рынки, производственные мощности, сырьевые материалы, географическая диверсификация — служат одной цели: обеспечение более высокой ставки доходности вложенного капитала по сравнению с той, которая возможна в собственной стране.
Итак, процесс инвестирования играет важную роль в экономике любой страны. Инвестирование в значительной степени определяет экономический рост государства, занятость населения и составляет существенный элемент базы, на которой основывается экономическое развитие общества.
Международный финансовый менеджмент — система экономических решений, возникающих по поводу реализации финансового менеджмента в условиях глобализации хозяйственной деятельности фирмы. При этом фирма должна исходить из того, что ее коммерческая деятельность на иностранных рынках принесет прямо или косвенно большую прибыль, чем на национальном рынке.
Надо сказать, что существуют некоторые проблемы, связанные именно с международной средой, которые увеличивают сложность работы менеджера в транснациональной корпорации и заставляют его учитывать различные факторы при принятии решения о международном инвестировании.
2. Методические основы анализазарубежных инвестиций
Главная задача инвестиционного анализа рассчитать эффективность инвестиционного проекта и оценить его рискованность. Иначе говоря, оптимальный выбор делается по двум параметрам: эффективность и риск.
Инвестиционные проекты анализируются как последовательность решений и возможных событий во времени, начиная с первоначальной идеи, сбора относящейся к делу информации об оценке доходов и расходов для реализации этого проекта и разработки оптимальной стратегии его осуществления.
Вместе с этим, финансовые менеджеры все чаще сталкиваются с глобализацией производственных и финансовых операций. Глобализация означает, что принятие решений об инвестициях и финансировании происходит в международном масштабе.
В период после второй мировой войны развились новые и фундаментально отличающиеся формы международной коммерческой деятельности, и они весьма сильно способствовали росту экономической и политической взаимозависимости в мире. Сейчас вместо простой покупки ресурсов у зарубежных концернов транснациональные фирмы осуществляют прямые инвестиции в полностью интегрированные операции, начиная с добычи сырьевых материалов, производства готовых изделий и кончая поставкой своих товаров потребителям во всем мире. Сегодня сеть транснациональных корпораций контролирует значительную и все возрастающую долю мирового рынка технологических, маркетинговых и производственных ресурсов. В настоящее время объем продаж зарубежных филиалов международных корпораций намного превышает объем «свободной» международной торговли. На их долю приходится основная часть вывоза капитала в виде прямых инвестиций и подавляющая часть капиталовложений в разработку новейших технологий.
Для начала попробуем определить, что собой представляют международные корпорации, и какие бывают их виды.
Международная корпорация — это форма структурной организации крупной корпорации, осуществляющей прямые инвестиции в различные страны мира.
Международные корпорации бывают двух основных видов:
Транснациональные корпорации (transnational corporations - TNCs)
головная компания их принадлежит капиталу одной страны, а филиалы разбросаны по многим странам мира.
Многонациональные корпорации (multinationalcorporations- MNCs) головная компания их принадлежит капиталу двух и более стран, а филиалы также находятся в различных странах.
Транснациональная компания (корпорация) — компания, которая ведет экономическую деятельность и имеет активы в двух или больше странах.
По выработанному в ООН определению – ТНК - частные, государственные или смешанные предприятия, не зависимые от страны их происхождения и имеющие в двух или более странах структуры, которые функционируют в соответствии с системой принятия решений, позволяющей проводить их согласованную политику и общую стратегию.
ТНК - корпорация, компания, осуществляющая основную часть своих операций за пределами страны, в которой она зарегистрирована, чаще всего в нескольких странах, где имеет сеть отделений, филиалов, предприятий.
Таким образом, главным качественным признаком международных корпораций является процесс прямого зарубежного инвестирования. В силу этого мотивами размещения прямых инвестиций за рубежом (расширение рынков сбыта, получение доступа к дешевым ресурсам, приобретение собственности) можно объяснить процесс возникновения международных корпораций.
Далее рассмотрим некоторые факторы, которые должны учитывать финансовые менеджеры при принятии решения о международном инвестировании.
2.1 Прогнозирование будущих денежных потоков
«Спот» и «форвард» - методы в расчете чистой приведенной стоимости международного проекта ТНК
Инвестиционная математика базируется на концепции стоимости денег во времени. В основе этой концепции лежит следующий основной принцип: «Доллар сейчас стоит больше, чем доллар, который будет получен в будущем, например, через год», так как он может быть инвестирован и это принесет дополнительную прибыль. Данный принцип является наиболее важным положением во всей теории финансов и анализе инвестиций. На этом принципе основан подход к оценке экономической эффективности инвестиционных проектов.
Поскольку принимать решение приходится «сегодня», все показатели будущей деятельности инвестиционного проекта должны быть откорректированы с учетом снижения ценности денежных ресурсов по мере отдаления операций, связанных с их расходованием или получением. Практически корректировка заключается в приведении всех величин, характеризующих финансовую сторону осуществления проекта, в масштаб цен, сопоставимый с имеющимся «сегодня». Операция такого пересчета называется «дисконтированием» (уценкой).
Расчет коэффициентов приведения в практике оценки инвестиционных проектов производится на основании коэффициента дисконтирования.
Дисконтирование выполняется путём умножения будущих денежных потоков (потоков платежей) на коэффициент дисконтирования, который = 1/(1+i)n
i — процентная ставка,
n — количество периодов
Ставка дисконтирования – это та норма доходности (в %), которую необходимо получить инвестору на вложенный капитал. Т.е. проект является привлекательным для инвестора, если его норма доходности превышает ставку дисконтирования для любого другого способа вложения капитала с аналогичным риском.
С другой стороны ставка дисконтирования отражает стоимость денег с учетом временного фактора и рисков, так как деньги, полученные в настоящий момент, более предпочтительны, чем деньги, которые будут получены в будущем.
Ставка дисконтирования - переменная величина, зависящая от ряда факторов, влияющих на будущие денежные потоки, которые определятся индивидуально для каждого инвестиционного проекта. Факторы могут быть следующие:
1. стоимость альтернативного вложения средств на данный период, как то: ставка банковского процента по депозитам, ставка рефинансирования;
2. оценка уровня инфляции на выбранный период,
3. оценка стоимости риска обесценивания средств за период;
4. оценка риска неполучения средств в период действия проекта (иногда называют платой за венчур, при реализации венчурных проектов)
Метод дисконтированных будущих денежных потоков используется тогда, когда можно обоснованно спрогнозировать будущие денежные потоки. Другими словами, метод более применим, когда не удается сделать предположение в отношении стабильности дохода или его постоянного равномерного темпа роста. Денежные поступления конвертируются в текущую стоимость посредством расчетов, учитывающих ожидаемый рост и время получения выгод, риск, связанный с потоком выгод, и стоимость денег в зависимости от времени (см. пример расчета в Главе 3).
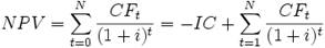
Метод чистой приведенной стоимости (NPV) представляет собой один из подходов к экономическому анализу эффективности намечаемых инвестиций, основанных на дисконтированных денежных потоках. Чистая приведенная стоимость (net present value — NPV) — приведенная стоимость чистых денежных потоков инвестиционного проекта минус первоначальные инвестиции, необходимые для его реализации.
Другими словами, NPV - это разность между текущей стоимостью денежных поступлений по проекту или инвестиций и текущей стоимостью денежных выплат на получение инвестиций, либо на финансирование проекта, рассчитанная по фиксированной ставке дисконтирования, приведенная к сегодняшнему дню.
Метод состоит в следующем:
1. Определяется текущая стоимость затрат (IС), т.е. решается вопрос, сколько инвестиций нужно зарезервировать для проекта.
2. Рассчитывается текущая стоимость будущих денежных поступлений от проекта, для чего доходы за каждый год CF (денежный поток) приводятся к текущей дате.
Результаты расчетов показывают, сколько средств нужно было бы вложить сейчас для получения запланированных доходов, если бы ставка доходов была равна барьерной ставке (для инвестора ставке альтернативной доходности, для предприятия цене совокупного капитала или через риски).
3. Текущая стоимость инвестиционных затрат (IС) сравнивается с текущей стоимостью доходов. Разность между ними составляет чистую текущую стоимость доходов (NPV ).
Иначе говоря, для потока платежей CF (Cash Flow), где CFt — платёж через t лет и начальной инвестиции IC (Invested Capital) в размере IC = − CF 0 чистый дисконтированный доход NPV рассчитывается по формуле:
,
где i — ставка дисконтирования.
Расчёт NPV— стандартный метод оценки эффективности инвестиционного проекта и показывает оценку эффекта от инвестиции, приведённую к настоящему моменту времени с учётом разной временно́й стоимости денег. Если NPVбольше 0, то инвестиция прибыльна, а если NPVменьше 0, то инвестиция убыточна.
С помощью NPVможно также оценивать сравнительную эффективность альтернативных вложений (при одинаковых начальных вложениях более выгоден проект с наибольшим NPV).
В настоящее время этот метод является одним из стандартных методов расчета эффективности инвестиций, рекомендованных к применению ООН и Всемирным банком.
Однако корректное использование NPV-метода возможно только при соблюдении ряда условий.
1. Объем денежных потоков в рамках инвестиционного проекта должен быть оценен для всего планового периода и привязан к определенным временным интервалам. Денежные потоки в рамках инвестиционного проекта должны рассматриваться изолированно от остальной производственной деятельности предприятия, т.е. характеризовать только платежи и поступления, непосредственно связанные с реализацией данного проекта.
2. Принцип дисконтирования, применяемый при расчете чистого приведенного дохода, с экономической точки зрения, подразумевает возможность неограниченного привлечения и вложения финансовых средств по ставке дисконта. Использование метода для сравнения эффективности нескольких проектов предполагает использование единой для всех проектов ставки дисконта и единого временного интервала (определяемого, как правило, как наибольший срок реализации из имеющихся).
3. При расчете NPV, как правило, используется постоянная ставка дисконтирования, однако в зависимости от обстоятельств (например, ожидается изменение уровня процентных ставок) ставка дисконтирования может дифференцироваться по годам. Если в ходе расчетов применяются различные ставки дисконтирования, то проект, приемлемый при постоянной ставке дисконтирования, может стать неприемлемым.
4. Являясь абсолютным показателем, NPV обладает важнейшим свойством аддивности, т.е. NPV различных проектов можно суммировать. К числу других важнейших свойств этого критерия следует отнести более реалистические предположения о ставке реинвестирования поступающих средств.
При расчете чистой приведенной стоимости международного проекта ТНК необходимо учесть и разницу в процентных ставках и валютных курсах. Это можно сделать, скорректировав ставку дисконтирования с учетом курса форвард и спот.
Форвардный валютообменный контракт — это обязательное для исполнения соглашение между банком и клиентом по покупке или продаже в определенный день в будущем определенной суммы иностранной валюты. В этом контракте валюта, сумма, обменный курс и дата платежа фиксируются в момент заключения сделки. Валютный курс осуществляемой форвардной сделки называется форвардным курсом. Он является срочным.
Курс сделки, связанной с поставкой валюты на текущем (кассовом, наличном, немедленном) рынке называется спот-курсом . При этом стандартная спот-дата валютирования (дата, когда валютные средства непосредственно поступают в распоряжение сторон по сделке) составляет два рабочих дня после заключения контракта. Существуют и нестандартные спот-даты, например, tod и tom , которые укорачивают срок поставки валюты до текущего дня и одного рабочего дня соответственно с момента заключения контракта.
Форвардный курс (FR) и курс спот (SR) тесно связаны между собой.
Если FR > SR , то говорят, что валюта котируется с «премией», если FR < SR, то валюта котируется с «дисконтом».
Премии и дисконты по валюте выражаются в процентах годовых, чтобы можно было сравнить доходность от вложения валюты в форвардную сделку с доходностью от вложения в векселя и другие инструменты финансового рынка. Форвардная премия обеспечивает паритет процентных ставок.
Процедура пересчета валютной доходности цены привлечения капитала (ставки дисконтирования), в рублёвую доходность производится на основе теоремы паритета процентных ставок и валютного курса, что представляет собой особый случай применения модели форвардной цены.
Паритет процентных ставок предполагает, что если процентные ставки выше в одной стране по сравнению с другой, то валюта первой будет продаваться на форвардном рынке с дисконтом. Иными словами, различие в процентных ставках компенсируется различиями в спотовых и форвардных валютных курсах.
В качества примера можно привести стратегию, связанную с инвестированием некоторой суммы ∑ в долларах США в безрисковые Еврооблигации РФ с валютной доходностью rUSD
, которая принесёт через год денежные средства в размере ∑ x(1 + rUSD
). Стратегия, связанная с инвестированием этой же суммы ∑ в долларах США в Российские ценные бумаги с рублёвой доходность rРУБЛ
, приобменном спотовом курсе s
руб/
USD
и фьючерсной цене f
руб/
USD
принесёт через год сумму в долларах США в размере ∑
x(1+
rРУБЛ
). (s
руб/
USD
и f
руб/
USD
выражены в рублях за доллар США). Поскольку сумма, полученная в результате этих стратегий, одинакова (∑), то и выплаты по ним также должны быть одинаковы. Отсюда получаем ниже следующее равенство.
![]()
где:
rруб –значение рублевой ставки дисконтирования;
rUSD – значение валютной ставка дисконтирования;
fруб/ USD – форвардный курс рубля к доллару;
sруб/ USD – текущий обменный спот-курс рубля к доллару
То есть:
rруб
= 
Подводя итог, можно сказать, что при дисконтировании денежных потоков международных проектов необходимо учитывать различные курсы спот и форвард при расчете ставки дисконтирования. Сделать это можно с помощью теории паритетов процентных ставок.
Учет ожидаемой инфляции при прогнозе денежного потока зарубежного подразделения
Инфляция - рост среднего уровня цен на товары и услуги.
Термин Inflatio в переводе с латинского означает «вздутие», т.е. суть инфляции изначально сводилась к чрезмерному увеличению находящейся в обращении массы бумажных денег по сравнению с реальным предложением товаров.
Инфля́ция— процесс уменьшения стоимости денег, в результате которого на одинаковую сумму денег через некоторое время можно купить меньший объём товаров и услуг. На практике это выражается в увеличении цен.
Последствия инфляции различны в зависимости от того, является она ожидаемой (expected) или непредвиденной (unexpected).
В условиях ожидаемой инфляции экономические агенты могут таким образом построить свое поведение, чтобы минимизировать величину падения реальных доходов и обесценения денег.
Под ожидаемой инфляцией подразумевается, что она прогнозируется (предсказывается) заранее. Например, если все фирмы и население знают, что цены вырастут в 100 раз, то в условиях свободного рынка они и на свои товары требуют повышения цен в 100 раз (станки, оборудование, рабочая сила, услуги). При инфляции, которую можно предвидеть и учитывать, имеется возможность скорректировать номинальные доходы (внесение в тру довые договоры поправок на рост стоимости жизни), внести изменения в распределение доходов между кредиторами и дебиторами и т.п.
Общеизвестно, что номинальная ставка процента по той или иной ценной бумаге включает в себя определенную премию, учитывающую ожидаемый уровень инфляции. Чем он выше, тем выше номинальная доходность соответствующей ценной бумаги, и, наоборот, чем ниже ожидаемая инфляция, тем ниже номинальная доходность. Много лет тому назад Ирвинг Фишер представил номинальную процентную ставку по облигации как сумму реальной процентной ставки (т.е. процентной ставки при неизменном уровне цен) и процента изменения цен, которое предположительно произойдет на протяжении "жизни" данного инструмента. Если годовая реальная процентная ставка в экономике составляет 4% для ценных бумаг с низкой степенью риска и ожидается, что на протяжении последующих 10 лет инфляция будет составлять 6% за год, это предполагает 10%-ную доходность для 10-летних облигаций высокого качества. (Примечание. К реальной процентной ставке добавляется именно ожидаемый, а не наблюдаемый или зафиксированный ранее процент инфляции). Это означает лишь то, что кредиторы требуют достаточно высокой номинальной процентной ставки, чтобы у них была возможность заработать реальную процентную ставку после получения компенсации за ожидаемое снижение покупательной способности денег, вызванное инфляцией.
В международном контексте иногда говорят о международным эффекте Фишера. Это означает, что различия в процентных ставках между двумя странами сигнализируют о различиях в ожидаемых уровнях инфляции. Например, если номинальная процентная ставка в США была 7%, а в Австралии — 12%, то ожидаемое различие в инфляции составит 5%. Иначе говоря, по прогнозу, инфляция в Австралии превысит инфляцию в США на 5%. Насколько точна эта цифра? Несмотря на отсутствие абсолютной зависимости между номинальной процентной ставкой и инфляцией, большинство людей полагают, что ожидаемый уровень инфляции в их стране оказывает значительное влияние на процентную ставку.
Таким образом, без учета инфляции конечные результаты расчетов денежных потоков являются весьма условными.
Инвестору важно не количество денег, которыми он владеет, а количество товаров и услуг, которые он сможет приобрести на эти деньги. Следовательно, инвестора интересует не номинальная, а реальная процентная ставка, по которой текущие товары и услуги превращаются в будущие товары и услуги.
Все финансовые переменные, в частности, номинальная ставка процента (r), реальная ставка процента (p), и уровень инфляции (i), должны быть логически взаимоувязаны между собой. Такая взаимосвязь отражена в формуле И. Фишера.
(1+r) = (1+p)(1+i) соответственно в данной зависимости номинальная ставка рассчитывается по формуле
r= p+i+ pi
Следуя из формулы pi – инфляционная премия – это величина на которую увеличивается реальная процентная ставка р, и тем самим превышая темп инфляции на величину pi. При этом при низкой инфляции показателем (pi) пренебрегают в формуле. И она приобретает упрощенный вид
r = p+i
Нередко ошибочно полагают, что цены будут оставаться неизменными на протяжении всего жизненного цикла проекта. Если требуемая ставка доходности для рассматриваемого нами инвестиционного проекта включает надбавку за инфляцию (обычно так и бывает), то оцениваемые денежные потоки также должны отражать инфляцию. Такие денежные потоки подвергаются влиянию нескольких факторов. Если в результате продажи продукта возникают поступления денег, то на эти поступления оказывает влияние ожидаемый будущий уровень цен. Как и в случае расхода денежных ресурсов, инфляция влияет как на ожидаемую будущую заработную плату, так и на материальные затраты.
При расчетах, связанных с корректировкой денежных потоков в процессе инвестирования с учетом инфляции, принято использовать два основных понятия: номинальная сумма денежных средств и реальная сумма денежных средств.
Номинальная сумма денежных средств не учитывает изменение покупательной способности денег.
Реальная сумма денежных средств - это оценка этой суммы с учетом изменения покупательной способности денег в связи с процессом инфляции.
Анализ влияния инфляции может быть произведен для двух вариантов
· темп инфляции различный по отдельным составляющим ресурсов (входных и выходных),
· темп инфляции одинаковый для различных составляющих затрат и издержек.
В рамках первого подхода , который в большей степени отвечает реальной ситуации, особенно в странах с нестабильной экономикой, метод чистого современного значения используется в своей стандартной форме, но все составляющие расходов и доходов, а также показатели дисконта корректируются в соответствии с ожидаемым темпом инфляции по годам. Среди основных факторов: объем выручки и переменные расходы. Корректировка может осуществляться с использованием различных индексов, поскольку индексы цен на продукцию коммерческой организации и потребляемое ею сырье могут существенно отличаться от индекса инфляции. С помощью таких пересчетов исчисляются новые денежные потоки, которые и сравниваются между собой с помощью критерия NPV.
Учет фактора инфляции может оказать как положительное, так и отрицательное воздействие на фактическую эффективность инвестиционного проекта. Так, например, инфляция ведет к изменению влияния запасов и задолженностей: выгодным становится увеличение запасов и кредиторской задолженности, а невыгодным - рост запасов готовой продукции и дебиторской задолженности. Примером положительного воздействия инфляции может быть увеличение остаточной стоимости активов по мере роста цен. Однако выигрыши для инвестора от повышения цен чаще имеют запаздывающий характер, и поэтому чаще отрицательное воздействие инфляции перевешивает. Неопределенность всегда влечет издержки.
Важно отметить, что произвести состоятельный прогноз различных темпов инфляции для различных типов ресурсов представляется чрезвычайно трудной и практически неосуществимой задачей.
В рамках второго подхода влияние инфляции носит своеобразный характер: инфляция влияет на числа (промежуточные значения), получаемые в расчетах, но не влияет на конечный результат и вывод относительно судьбы проекта.
Поэтому один из наиболее реально значимых подходов к прогнозированию денежных потоков может состоять в следующем: стоимость инвестируемых средств и суммы денежных средств, обеспечивающих возврат, пересчитываются из национальной валюты в одну из наиболее устойчивых твердых валют (доллар США, фунт стерлингов Великобритании, немецкие марки). Пересчет осуществляется по биржевому курсу на момент проведения расчетов. Процесс наращения и дисконтирования производится в данном случае не принимая во внимание инфляцию. Конкретная процентная ставка определяется исходя из источника инвестирования. Например, при инвестировании за счет кредитов коммерческого банка в качестве показателя дисконта принимается процентная ставка валютного кредита этого банка.
Таким образом, важно убедиться в правильности учета инфляции на протяжении всего жизненного цикла проекта для прогнозирования его денежных потоков. Существует два верных способа для того, чтобы сделать такой прогноз.
1. использовать номинальную стоимость капитала при дисконтировании номинальных денежных потоков
2. использовать реальную стоимость капитала при дисконтировании реальных денежных потоков.
2.2 Налоговый фактор в принятии решения о зарубежном инвестировании
Налоги – это важнейшая категория государственных финансов и главный элемент издержек и неудобств для предпринимателей, сопровождающий конечный результат деятельности – прибыль.
Основными инструментами международного налогового планирования являются:
1. трансфертное ценообразование, направленное на перевод прибыли ТНК из юрисдикции с высоким уровнем налогов и сосредоточение доходов группы на счетах дочерних компаний – резидентов налоговых гаваней;
2. “шоппинг” международных налоговых соглашений, обеспечивающий репатриацию доходов в форме процентов, дивидендов и роялти с минимальными налоговыми издержками;
3. отсрочка уплаты налогов с целью возможности регулировать прибыли/издержки компаний на протяжении нескольких лет;
4. налоговые кредиты и налоговые зачеты.
Каждая страна облагает налогом прибыль компании, ведущей бизнес на ее территории. В каждой стране свои виды налогов. В некоторых прибыль, распределяемая среди акционеров, облагается налогом по более низкой ставке, чем нераспределенная прибыль. В менее развитых странах часто действуют более низкие налоги и определенные налоговые льготы, способствующие привлечению иностранных инвестиций.
По налоговому бремени все страны мира можно разделить на группы:
1. страны с высокими налогами (ставки налога на прибыль и индивидуального подоходного налога 30–60%, ставки налогов на распределение прибыли в форме процентов, дивидендов и роялти 15–35%, жесткая процедура компенсаций, санкций);
2. страны с низким уровнем прямых налогов: Кипр, Гибралтар, Израиль. Лихтенштейн, Швейцария – до 10–30%; Коста-Рика, Гонконг, Либерия, Панама, Малайзия дают освобождение от налогов зарубежных доходов;
3. страны с высоким уровнем налоговых ставок, которые предоставляют налоговые преимущества некоторым типам компаний: Бельгия, Ирландия, Люксембург, Нидерланды;
4. страны без прямых налогов на доходы физических и юридических лиц: Андорра, Бермудские, Каймановы острова и др.
Учет налогового фактора для компаний, осуществляющих внешнеэкономическую деятельность, в настоящее время приобретает важнейшее значение, так как, в конечном счете, именно налоговое планирование позволяет сделать выбор между разными вариантами и методами осуществления деятельности и размещения активов, а главное обеспечить достижение возможно более низкого уровня налогообложения.
Ясно, что налоговое планирование при проведении международных операций достаточно сложный процесс. Поэтому при организации внешнеэкономических операций прибегают к консультациям местных и зарубежных специалистов по налогообложению и юристов.
Из-за действия различного налогового законодательства и различных режимов иностранных инвестиций налогообложение транснациональных компаний достаточно сложное. Доходы компании облагаются местными налогами. Кроме этого, она обязана уплатить налог на дивиденды, переводимые в страну от ее зарубежных дочерних компаний.
Следовательно, двойное (международное) налогообложение возникает, когда один и тот же налогоплательщик облагается похожими налогами в отношении одного и того же объекта обложения (налоговой базы) в двух или более странах за один и тот же период времени.
Итак, процесс противостояния государства и налогоплательщиков стал интернациональным. Налоговый климат отдельной страны (тип налоговой системы, основные виды налогов и их ставки, налоговые льготы, наличие международных налоговых соглашений) – центральный фактор принятия инвестиционных решений.
Урегулирование международного двойного налогообложения
Поскольку каждое государство стремится реализовать две конфликтующие между собой задачи: обеспечить пополнение бюджета и создать условия для экономического роста, устранить проблему двойного налогообложения в одностороннем порядке отдельному государству не под силу. Поэтому на международном уровне государства координируют свои национальные налоговые политики.
Проблема двойного налогообложения представляет собой комплекс законодательно закрепленных мер по зачету уплаченных за рубежом налогов в счет суммы налогов, подлежащих перечислению в бюджет, либо освобождение от налогообложения организации в связи с тем, что ее прибыль (доходы) обложена налогом за рубежом. На практике имеются следующие методы устранения двойного налогообложения:
· налоговый кредит или зачет (tax credit or tax relief);
· налоговый вычет (tax deduction);
· налоговое освобождение (tax exemption).
Урегулирование с помощью системы налоговых зачетов, освобождения и кредитов
Налоговое освобождение есть закрепляемое на межгосударственном уровне соглашение о том, что государство, где зарегистрирована организация, облагает налогом определенные виды прибыли (дохода), в том числе зарубежные, при этом доходы, полученные в зарубежных государствах, не будут подлежать налогообложению в этих других государствах.
Налоговые зачеты предполагают, что сумма налогов, уплаченная в иностранной стране по принципу территориального образования доходов иностранного физического/юридического лица, вычитается из налогооблагаемой прибыли этого лица в стране его резиденства.
Налоговый кредит представляет собой уменьшение суммы подлежащих перечислению в бюджет налогов на сумму налогов, уплаченных за рубежом. При предоставлении налогового кредита существует следующее ограничение: налоговый кредит может быть предоставлен только на сумму уплаченных за границей налогов, которая не превышает уровень налогообложения в стране резиденства компании. Если налоговые ставки за рубежом выше, то переплата налогов не компенсируется, а налогоплательщик несет финансовые потери.
Иностранный налоговый кредит - налоговый кредит, предоставленный в отношении подоходных налогов на доходы, полученные из зарубежных источников. Иностранный налоговый кредит - форма одностороннего устранения двойного налогообложения.
Обычно налоговый кредит носит возмездный, срочный и заявительный характер. В РФ налоговый кредит выдается под залог имущества налогоплательщика либо при наличии поручительства банка.
Международные налоговые соглашения
Международные налоговые соглашения преследуют следующие цели:
1. урегулирование двойного налогообложения;
2. защита национальных субъектов хозяйствования, ведущих деятельность в других государствах;
3. борьба с уклонением от налогообложения;
4. выработка процедуры урегулирования спорных вопросов.
Во внешнеэкономических операциях международные налоговые соглашения используют двумя основными способами:
4. В иностранном государстве ведут ограниченную деятельность без образования постоянного представительства. Ограниченное присутствие выгодно ТНК в случае, если налоги на прибыль в стране головного офиса компании ниже, чем в стране ее деятельности.
5. Пользуются льготными ставками налогов на репатриацию прибыли при осуществлении платежей внутри транснациональной группы.
Многие страны имеют соглашения о двойном налогообложении. Это означает, что уплатой местных налогов компания может перекрыть свои налоговые обязательства перед страной по переводимым туда дивидендам.
Механизм “шоппинга” налоговых соглашений позволяет минимизировать налоги внутрифирменных финансовых операций за счет использования преимуществ двусторонних налоговых соглашений резидентом третьей страны, по отношению к которому нет льгот налогообложения распределяемой прибыли. При использовании “шоппинга” учреждается промежуточная компания, реализующая проводки денежных потоков с минимальными издержками по налогам на репатриацию прибыли.
Главное, чтобы третья страна имела выгодное налоговое соглашение со страной промежуточной компании. При использовании парных отношений между странами репатриация прибыли сопровождается меньшими налоговыми издержками.
Например, в США 80% дивидендов отечественных компаний освобождены от налогов, в то время как дивиденды от зарубежных дочерних фирм полностью подлежат налогообложению. В менее развитых странах для поощрения иностранных инвестиций применяются более низкие ставки налогов и предоставляются налоговые льготы. В Европе наиболее распространенный способ налогообложения – взимание налога на добавленную стоимость.
В табл. 1 (глава 3) представлен пример расчета налогообложения голландской дочерней компании, переводящей дивиденды материнской компании в США.
Механизм трансфертного ценообразования для целей минимизации налогового бремени ТНК
Между головной компанией международной корпорации и ее зарубежными филиалами происходит интенсивное движение капитала и товаров, которое, как указано выше, рассматривается как прямые инвестиции. Проблема заключается в том, что цены, по которым головная компания продает товары своим филиалам и покупает товары у них, зачастую сильно отличаются от цен свободного рынка.
Трансфертная цена – цена, применяемая во внутрифирменных расчетах. Операции по продвижению сырья, комплектующих, товаров и услуг между бизнес-единицами группы (дочерними компании, филиалами, подразделениями) учитываются в балансах по трансфертным ценам.
Трансфертные цены (transfer prices) — цены, отличающиеся от рыночных цен внутрикорпорационной торговли между находящимися в разных странах подразделениями одной и той же корпорации и используемые для перевода прибыли и сокращения налогов.
С помощью трансфертных цен обеспечиваются следующие функции:
· принятие управленческих решений для увеличения доходов бизнес-единиц;
· оценка эффективности деятельности, доходов и расходов бизнес-единиц и мотивации управленческого персонала;
· принятие стратегических управленческих решений по группе в целом
· минимизация налогового бремени для всей группы.
Трансфертное ценообразование составляет значимый раздел в составе корпоративного международного налогового планирования. ТНК должна учитывать множество налоговых ставок, порядков расчета, уплаты налогов и санкций во всех юрисдикциях активности. В США более 50% всех целей трансфертного ценообразования отождествляется с налогообложением.
Для того чтобы определить, насколько и в какую сторону трансфертные цены отличаются от рыночных, достаточно знать, по какой цене какой-либо товар поставляется одним подразделением корпорации ее заграничному филиалу и по какой цене тот же товар поставляется в ту же страну независимыми продавцом и покупателем. В большинстве случаев, когда ТНК преследует цель минимизировать налоги в своей стране и импортные пошлины при ввозе товара в зарубежную страну, трансфертные цены определяются на уровне существенно ниже рыночных. В то же время, если ставится цель вывести из-под высокого налогообложения прибыль, полученную в своей стране, ТНК импортирует из своего зарубежного подразделения какие-либо компоненты по существенно завышенным, против рыночных, ценам. Объемы внутрикорпорационной торговли достигают внушительных, но плохо поддающихся точной оценке размеров. Поэтому трансфертные цены оказывают сильное искажающее влияние на учет международного движения капитала в форме прямых инвестиций.
Таким образом, получается чистое сокращение сумм уплачиваемых налогов, поскольку прибыли ТНК как бы нелегально переводятся из филиалов компании в странах с высоким налогообложением в филиалы в странах с низкими налогами. «В руках» ТНК оказывается механизм, который обеспечивает «курсирование» прибылей внутри одной большой империи ТНК, подчиняясь стратегическим целям ее деятельности. Для налоговых служащих разных государств довольно сложно доказать факт уклонения от уплаты налогов ТНК. И если образование филиалов в странах с низким налогообложением представляет собой легальную деятельность, то использование механизма трансфертного ценообразования в целях уклонения от налогов вызывает большую критику, ведь вследствие этого государственные бюджеты многих стран недополучают огромные суммы.
Налоговые органы следят за тем, чтобы все внутрифирменные платежи международных компаний были обоснованы.
Снижение подоходных налогов
Торговая компания покупает продукцию у бизнес-единиц группы по заниженной внутрифирменной цене, а продает (реэкспортирует) по завышенной трансфертной цене. Разница между завышенными и заниженными трансфертными ценами образует прибыль. Если компания принадлежит юрисдикции оффшор, а операции купли-продажи являются оффшорными, то она будет уплачивать низкие налоги с доходов, которые можно считать дополнительными доходами всей ТНК.
Снижение косвенных налогов
Завышение трансфертных цен, а значит, и таможенной стоимости товара приводит к увеличению косвенных налогов (таможенные пошлины, акцизы, НДС).
Компании-импортеры готовой продукции для снижения косвенных налогов в стране базирования используют:
1. заниженные внутрифирменные цены (основа налоговой стоимости товара – объект налогообложения);
2. создание базовых торговых компаний в странах-пользователях преференций во внешней торговле (пониженные ставки таможенных тарифов).
Следует помнить, что прямые и косвенные налоги минимизируются разными способами. Для снижения прямых налогов трансфертные цены следует завышать, для снижения косвенных налогов – занижать.
2.3 Репатриация доходов зарубежного подразделения
Применительно к планированию долгосрочных инвестиций в международном масштабе денежные поступления от внешних инвестиций — это денежные потоки, которые можно вернуть в свою страну. Если ожидаемая доходность от инвестиций базируется на непереводимых денежных потоках, которые создаются в зарубежном отделении компании, то маловероятно, что инвестиции будут привлекательными. А вот если средства, заработанные за рубежом, можно свободно вернуть (репатриировать) на родину, то приступают к планированию инвестиций.
Другими словами, репатриация доходов - возвращение в свою страну капиталов из-за границы. Репатриация может осуществляться в форме перевода на родину капиталов, ранее инвестированных за границей, и прибылей по ним, а также вырученной иностранной валюты от реализации товаров и услуг.
Иностранные инвесторы имеют право на репатриацию доходов, прибылей или других средств, относящихся к инвестициям, без каких-либо ограничений, после уплаты необходимых налогов, включая налог на репатриацию прибыли.
На практике у транснациональных компаний в отношении политики денежных переводов с целью репатриации прибыли преобладают два подхода:
· принцип консолидации прибылей;
· принцип рассредоточения прибылей.
Принцип консолидации прибылей предусматривает регулярный перевод дочерними фирмами прибылей материнской компании в форме дивидендов. Суммы переводимых прибылей исчисляются различными методами: например, как определенный процент от получаемых доходов. Каждая ТНК обычно использует какой-то единый метод начисления переводимых прибылей, распространяемый на все дочерние компании. Собирая прибыли и консолидируя их в одном фонде, материнская компания принимает на себя централизованное распределение этих средств, определяя ассигнования на капиталовложения по каждой дочерней компании.
Принцип рассредоточения прибылей более гибок и обеспечивает лучшее приспособление финансовой политики в целом к условиям конкретных рынков. В этом случае фирма не устанавливает одинаковых правил в отношении перевода прибылей для всех дочерних компаний и не требует перевода всех прибылей. Она предоставляет дочерней компании относительную самостоятельность в распоряжении прибылями для достижения ее долговременных целей. Обычно такой метод используют фирмы, имеющие высокую степень децентрализации в управлении. Гибкость политики перевода прибылей проявляется в том, что фирма, например, усиливает приток прибылей в материнскую компанию из стран, где возникают неблагоприятные условия (риск девальвации и пр.). В странах с благоприятным инвестиционным климатом дочерние компании максимально инвестируют свои прибыли.
Определенную скидку на налог с репатриации прибыли можно получить, если заграничная компания контролируется через участие в капитале свыше 10%.
Использование оффшорных, холдинговых и финансовых компаний для перевода дивидендов и процентов в материнскую компанию
Организация оффшорной компании
Оффшор (от англ. offshore — «вне берега», «вне границ») — один из самых известных и эффективных методов налогового планирования. Основой этого метода являются законодательства многих стран, частично или полностью освобождающие от налогообложения компании, принадлежащие иностранным лицам.
Оффшорный бизнес – это деятельность вне страны регистрации и местонахождения компании. С резидентами своей юрисдикции оффшорная компания не ведет никаких операций. Все сделки компания проводит с резидентами третьих стран.
Оффшорные корпорации и трасты часто используются для перевода инвестиций в дочерние предприятия и/или ассоциированные компании, открытые и частные компании и совместные предприятия. Во многих случаях прирост капитала, получаемый в результате распоряжения конкретными инвестициями, может осуществляться без налогового бремени. При выплате дивидендов можно достичь снижения удерживаемых налогов, используя компанию, зарегистрированную в юрисдикции с нулевым налогообложением.
Нерезидентная оффшорная компания регистрируется в данной юрисдикции, внутри страны не ведет никакие операции и управляется из-за рубежа иностранными директориями. Такие компании могут существовать только на бумаге, но проводить финансовые операции внутри внутрифинансовой структуры ТНК.
Функционирование и управление оффшорной компании упрощено и экономично. Не требуется проведения аудиторских проверок, подачи налоговых деклараций. Собрания акционеров и директоров проводятся "формально". Управление даже большим числом оффшорных компаний не требует больших административных затрат. Между тем оффшорные фирмы - с юридической точки зрения полноценные субъекты хозяйственных операций. Они используются в разнообразных коммерческих схемах.
Наиболее популярными оффшорными юрисдикциями являются Британские Виргинские острова, Багамские острова, Панама, Остров Мэн, Гибралтар. Оффшорные фирмы регистрируются и в некоторых респектабельных странах, которые являются традиционными международными финансовыми центрами мира - Лихтенштейне, Люксембурге и некоторых других. Всего известно около 300 юрисдикций, предоставляющим иностранным компаниям возможности международного налогового планирования.
Использование холдинговых компаний для перевода дивидендов
Минимизация налога на репатриацию дивидендов возможна, если существуют двухсторонние международные налоговые соглашения между странами, распределяющими дивиденды. Для этого в стране, имеющей большое количество двусторонних налоговых конвенций, создается базовая холдинговая компания, применяющая “шоппинг” налоговых соглашений: парные соглашения между страной материнской компании и странами резиденства дочерних компаний ТНК.
Холдинговая компания – финансовая компания, созданная для владения контрольными пакетами акций других фирм и управления их деятельностью. Холдинги, как правило, создают в форме корпораций, владеющих пакетом акций на предъявителя другой компании, достаточным для установления над ней делового контроля.
Чистый холдинг обеспечивает сведение баланса, финансовый контроль и управление всей транснациональной структурой.
Смешанный холдинг кроме функций чистого холдинга осуществляет предпринимательскую деятельность (торговля, производство, финансы и т.п.). Современные материнские компании ТНК, как правило, представлены смешанными холдингами – многоотраслевыми объединениями (концерны, конгломераты) взаимосвязанных предприятий различных направлений деятельности.
Холдинговые компании накапливают на своих счетах прибыли зарубежных дочерних компаний, полученные в форме дивидендов или прироста капитала от продажи активов. Затем накопленные активы реинвестируются или переводятся их в страну головной материнской компании с учетом налоговых последствий.
Накапливать прибыль за рубежом нецелесообразно, если:
· в странах дочерних компаний действуют более высокие ставки подоходного налога, чем в стране материнской компании;
· материнская компания находится в стране, где дивиденды от участия в активах дочерних компаний исключаются из налоговой базы корпоративного подоходного налога.
В этих случаях выгоднее репатриировать прибыль в пользу материнской компании.
Компания-проводник создается в стране, имеющей широкую сеть международных налоговых соглашений, налоговые льготы для деятельности внутрифирменных проводящих компаний (Нидерланды, Швейцария, Люксембург, Бельгия, Ирландия). В настоящее время появились новые территории, привлекающие на свою территорию холдинговые компании - Гибралтар, Мадейра и Маврикий.
Финансовые компании
В отличие от холдингов, которые оперируют инвестиционными капиталами, финансовые компании используются для перевода финансовых ресурсов в виде кредитов и процентов по ним.
В общем виде операции финансовых фирм заключаются в следующем. Финансовая компания получает заемные средства от материнской компании и выдает кредит независимым лицам или другой дочерней фирме материнского холдинга. Использование посреднических фирм позволяет значительно снижать налоговые потери, связанные с переводом кредитных ресурсов из одной страны в другую. Финансовые компании создаются в юрисдикциях, представляющих специальные налоговые льготы, облегчающие деятельность финансовых компаний. Часто используется комбинация из фирмы в "налоговой гавани" и финансовой компании, в стране, имеющей благоприятные соглашения об устранении двойного налогообложения. Финансовая компания, расположенная в районе с благоприятными налоговыми условиями ввоза и вывоза процентов получила в деловой практике "проводящей".
"Оптимальная" юрисдикция для размещения финансовой компании должна отвечать следующим условиям требованиям.
· Предоставления финансовым компаниям официальное право проведения кредитных операций
· Наличие широкой сети налоговых соглашений, снижение налога на "у источника" на банковский процент (как правило - до 0)
· Льготные принципы налогообложения кредитной "маржи"- разницы процентов по полученным и выданным кредитам.
В качестве финансовой компании может выступать любая оффшорная фирма. Ограничения сфера деятельности оффшорной компании налоговых гаванях обычно отсутствует (ограничения касаются исключительно лицензируемых видов деятельности депозитной, страховой и т.д.). Однако финансовая компания в оффшорной зоне обладает рядом существенных недостатков. Главный из них заключается в том, что проценты за кредит, выданный оффшорной компанией, подвергается налогу "у источника" в полном объеме (в РФ-15%).
Пример функционирования финансовой компании.
Часть ресурсов материнской компании были размещены в оффшорной зоне. Оффшорная фирма передает их в виде кредитов финансовой компании (Нидерланды), финансовая компания кредитует предприятие в РФ. На последнем этапе налоговая экономия достигается за счет устранения налога "у источника", которое предусмотрено налоговым соглашением между Россией и Нидерландами. Кроме того, действую ряд льготы по рефинансированию долгосрочных кредитов инвестиционного характера, полученных из-за рубежа. Данная схема позволяет наиболее эффективным образом использовать ресурсы зарубежных дочерних фирм для финансирования бизнеса в материнской юрисдикции или любой другой страны, с которой у Нидерландов имеются выгодные налоговые соглашения.
Репатриация доходов в Российской Федерации
Действующая в Российской Федерации система валютного регулирования не создаёт препятствий для репатриации доходов нерезидентом - инвестором. Разумеется, при проведении операций ему необходимо соблюдать установленные валютным законодательством процедуры, которые нельзя назвать слишком сложными для исполнения.
Основной законодательный акт в области валютного регулирования в Российской Федерации - Закон Российской Федерации "О валютном регулировании и валютном контроле" от 09.10.92 - устанавливает, что переводы иностранной валюты из Российской Федерации в виде процентов, дивидендов и иных доходов по инвестициям осуществляются резидентами без ограничений.
Иными словами, российское юридическое лицо вправе без ограничений выплатить причитающийся иностранному инвестору доход на его валютный счёт либо в российском банке, либо в зарубежном банке.
Валютные средства, полученные иностранным инвестором на свой счёт в российском банке, впоследствии могут быть без ограничений перечислены за рубеж.
Если доход выплачивается в рублях, иностранному инвестору для конвертации полученных рублей в валюту и репатриации этой валюты необходимо либо открыть на своё имя рублёвый и валютный счёт в российском банке, либо воспользоваться услугами зарубежного банка, имеющего рублёвые корреспондентские счета в российских банках.
Процедура открытия и ведения рублёвых счетов нерезидентов в российских банках регламентируется Инструкцией Банка России от 12.10.2000 № 93-И "О порядке открытия уполномоченными банками банковских счетов нерезидентов в валюте Российской Федерации и проведения операций по этим счетам".
В соответствии с указанной инструкцией операции по зачислению рублёвых доходов иностранного инвестора и покупке иностранной валюты за рубли осуществляются через открытые в российских банках счета типа "К" ("конвертируемые"). Владельцем такого счёта может являться как непосредственно инвестор (юридическое либо физическое лицо), так и зарубежный банк, который может провести операции по своему корреспондентскому счёту по поручению иностранного инвестора.
Купленная за рубли иностранная валюта может без ограничений перечисляться иностранным инвестором на свои счета в зарубежных банках.
Следует отметить, что все указанные выше операции должны осуществляться в безналичном порядке.
2.4 Учет валютного курса при репатриации дивидендов и капитала
Финансовый менеджер фирмы, вовлеченной во внешнеэкономическую деятельность, имеет дело с множеством валют государств, куда осуществляется экспорт товаров или услуг, где работают зарубежные отделения, филиалы, дочерние компании. Потоки наличности, поступающие в головную компанию ТНК из разных государств, выражены в разных валютах. Поэтому анализ обменных курсов, а также влияния колебаний стоимости валют должны быть включены в финансовый анализ.
Обменные курсы валют, являясь результатом взаимодействия спроса и предложения на них на мировом валютном рынке, оказывают существенное влияние на состояние мировой экономической системы. В частности, во многом определяя характер движения товаров между странами, валютный курс оказывает непосредственное воздействие на финансовые результаты функционирования транснациональных компаний.
Так, ранее прибыльные контракты ТНК могут неожиданно обернуться для них значительными убытками, если обменный курс изменится в неблагоприятном направлении. В современных условиях преимущественного использования странами плавающих обменных курсов, когда годовые колебания валютных курсов даже в 30–50% не являются чем-то необычным, чрезвычайно важной становится проблема обоснованного прогноза будущих курсов валют с целью принятия менеджерами транснациональных компаний соответствующих мер по защите их от неблагоприятных изменений валютных курсов.
Репатриация капиталов связана с проблемой вывоза капитала. Страны - экспортеры капиталов в период ухудшения своего валютно-экономического положения стимулируют репатриацию капиталов для улучшения платежного баланса. В этих целях используется валютная, налоговая и кредитная политика: предоставляются льготы и гарантии. Например, во Франции после второй мировой войны государственные органы валютного контроля разрешили репатриацию капиталов через парижский рынок золота по льготному курсу. Это была своего рода амнистия национального капитала, переведенного за границу накануне и во время войны. Страны - импортеры капиталов в период ухудшения своего экономического положения иногда устанавливают ограничения на репатриацию капиталов, вложенных в их экономику.
В странах с развитой рыночной экономикой иностранная валюта, вырученная от реализации товаров и услуг, репатриируется в соответствии с устанавливаемыми при международных расчетах сроками.
Если компания знает, что валюта страны, где расположена ее дочерняя фирма, имеет тенденцию к обесценению, то она должна предпринять ряд мер. Во-первых, компания должна снизить до минимума свои сбережения в этой валюте путем покупки материальных запасов или других реальных активов. Кроме того, дочерняя фирма должна стараться избегать наращивания дебиторской задолженности, поэтому по возможности желательно добиться быстрой конвертируемости дебиторской задолженности в деньги, и наоборот, увеличить сроки своей кредиторской задолженности. Желательно также одолжить деньги в местной валюте, чтобы заместить ими средства, предоставляемые материнской компанией. Последний шаг будет зависеть от относительных процентных ставок. Если курс валюты имеет тенденцию к повышению, то следует предпринять противоположные шаги. В отсутствие информации о будущих колебаниях курса валюты активная политика в любом направлении будет неуместна.
В большинстве случаев мы не можем предугадать будущее, поэтому самой разумной представляется политика уравновешивания денежных активов денежными обязательствами, чтобы нейтрализовать влияние колебания валютного курса.
Компания, которая проводит зарубежные операции в нескольких странах, может защитить себя от риска изменения валютного курса, отрегулировав свои обязательства о перечислении денег между своими компаниями. Ускорение распределения во времени выплаты денежных поступлений, сделанных или полученных в иностранной валюте, называется опережением (leading), а замедление порядка выплаты — запаздыванием (lagging).
Наиболее эффективно стратегия « leads & lags » используется, когда материнская фирма имеет полный контроль над своими дочерними компаниями и филиалами, так как растягивание сроков платежа может привести к заметному ухудшению финансового состояния одной из фирм-участниц договора, но не в ущерб общему состоянию дел всей корпорации.
Очевидно, что если соглашение « leads & lags » заключается с компаниями, которые не на все 100% принадлежат МНК, то остальные акционеры не согласятся с уменьшением своих прибылей. Это говорит о том, что заключение такого соглашения между двумя независимыми фирмами требует всесторонней аналитической проработки и определения дополнительных соглашений, компенсирующих убытки одной из сторон.
Необходимым условием для эффективного использования стратегии «leads & lags» является возможность материнской фирмы разработать такую технику, которая могла бы способствовать распределению прибыли и контролированию инвестиционных потоков в имущество филиалов в наиболее рентабельной форме для МНК в целом.
Как правило, в ожидании ревальвации, т. е. повышения курса национальной валюты своей страны, экспортеры ускоряют перевод вырученной иностранной валюты в свою страну. Например, допустим, что ваша компания имеет зарубежные дочерние фирмы в Швейцарии и Чешской Республике. Вы считаете, что чешская крона вскоре ревальвирует, а швейцарский франк удержит свои позиции. Швейцарская дочерняя фирма ежемесячно покупает у чешской фирмы товары стоимостью приблизительно 100 тыс. долл. В соответствии с обычной процедурой для оплаты необходимо три месяца после доставки товаров. Вместо этого, ввиду вероятной ревальвации чешской кроны, вы инструктируете швейцарскую фирму опередить (to lead) срок уплаты, заплатив за товары по их поступлении.
И наоборот, перед грядущей девальвацией, т. а обесценением своей национальной валюты, репатриация выручки замедляется , что негативно сказывается на платежном балансе данной страны. Такая ситуация характерна для России, поскольку за все годы реформ российский рубль постоянно обесценивался.
Учет валютного курса в бухгалтерском учете
По правилам учета материнская компания должна для каждой дочерней компании определить функциональную валюту. Этой валютой может быть местная валюта, доллар США или валюта головной фирмы.
Важно то, какая функциональная валюта используется, так как это определяет процесс перевода. Если используется местная валюта, то все активы и обязательства переводятся по текущему курсу обмена валюты. Прибыль или убыток от перевода отражают не в отчете о прибылях и убытках головной компании, а указывают в статье “собственный капитал” как поправку к переводу. То, что в этом случае подобная поправка не влияет на величину балансовой прибыли, привлекательно для многих стран.
Если за функциональную валюту принята валюта головной фирмы, то прибыли и убытки отражают в отчете головной компании.
Подводя итоги, можно заметить, что принятие решений об инвестициях и финансировании происходит в международном масштабе. Планирование инвестиций в международном аспекте должно учитывать будущие значения валютных (обменных) курсов.
3. Расчетосновных показателей для принятия решения о международном инвестировании
3.1 Расчет чистой приведенной стоимости
Пример 1
Размер инвестиции - 115 000 USD.
Доходы от инвестиций в первом году: 32 000 USD;
во втором году: 41 000 USD;
в третьем году: 43 750 USD;
в четвертом году: 38 250 USD.
Размер барьерной ставки (ставки дисконтирования) - 9,2%
n = 4.
Пересчитаем денежные потоки в вид текущих стоимостей:
PV1 = 32000 / (1 + 0,092) = 29 304,03 USD
PV2 = 41000 / (1 + 0,092)2 = 34 382,59 USD
PV3 = 43750 / (1 + 0,092)3 = 33 597,75 USD
PV4 = 38250 / (1 + 0,092)4 = 26 899,29 USD
NPV = (29 304,03 + 34 382,59 + 33 597,75 + 26 899,29) - 115 000 = 9 183,66 USD
Ответ: чистая текущая стоимость равна 9 183,66 USD
Пример 2
Рассмотрим два условных проекта. Оба проекта требуют начальных инвестиций в размере 500 руб., другие затраты отсутствуют. При реализации проекта «А» инвестор в течение трех лет получает в конце года доход в размере 500 руб. При реализации проекта «Б» инвестор получает доход в конце первого и в конце второго года по 300 руб., а в конце третьего года — 1100 руб. Инвестору нужно выбрать один из этих проектов.
Предположим, что инвестор определил ставку дисконтирования на уровне 25% годовых. Текущая стоимость (NPV) проектов «А» и «Б» рассчитывается следующим образом:
NPV=
-IC
где
— денежные потоки за период с 1-го по n-й годы;
i— ставка дисконтирования — 25%;
IC— начальные инвестиции — 500.
NPVА = [500 : (1 + 0,25)1 + 500 : (1 + 0,25)2 + 500 : (1 + + 0,25)3 ] - 500 = 476 руб.;
NPVБ = [300 : (1 + 0,25)1 + 300 : (1 + 0,25)2 + 1100 : (1 + + 0,25)3 ] - 500 = 495,2 руб.
Таким образом, инвестор выберет проект «Б». Однако если он установит ставку дисконтирования, например, равную 35% годовых, тогда текущие стоимости проектов «А» и «Б» будут равны 347,9 и 333,9 руб. соответственно. В этом случае для инвестора проект «А» более предпочтителен.
Следовательно, решение инвестора полностью зависит от значения ставки дисконтирования: если она больше 30,28% (при этом значении NPVА = NPVБ ), то предпочтительнее проект «А», если меньше, тогда более выгодным будет проект «Б».
3.2 Учет ожидаемой инфляции
В возрасте 20 лет вы отложили 100 долл. и инвестировали их из расчета 8% годовых. Хорошая новость заключается в том, что ваши вложенные 100 долл. к тому времени, когда вам исполнится 65 лет, вырастут до 3192 долл. Плохая новость — вещи, которые вы покупаете сегодня, к тому времени будут стоить гораздо больше. Например, если цены на все товары и услуги, которые вы хотите купить, будут подниматься на 8% в год на протяжении последующих 45 лет, на ваши 3192 долл. вы сможете купить не больше, чем на 100 долл. сегодня. Таким образом, вы ничего не выиграете. Поэтому, для того чтобы принимать действительно разумные решения о долговременных инвестициях, вы должны учитывать как процентную ставку, так и уровень инфляции.
Пример 1.
Предприниматель готов сделать инвестицию исходя из 10% годовых. Это означает, что 1 млн. руб. в начале года и 1,1 млн. руб. в конце года имеют для предпринимателя одинаковую ценность. Если допустить, что имеет место инфляция в размере 5% в год, то для того чтобы сохранить покупательную стоимость полученного в конце года денежного поступления 1,1 млн. руб., необходимо откорректировать эту величину на индекс инфляции:
1,1 * 1,05 = 1,155 млн. руб.
Таким образом, чтобы обеспечить желаемый доход, предприниматель должен был использовать в расчетах не 10%-ный рост капитала, а другой показатель, отличающийся от исходного на величину индекса инфляции:
1,10 * 1,05 = 1,155.
Пример 2.
Рассмотрим инвестиционный проект, реализация которого требует начальных вложений в размере 2 млн. долл. В первом случае инфляция отсутствует. От реализации проекта ожидается получение ежегодных денежных поступлений (после уплаты налогов) в размере 600000 долл. на протяжении пяти лет. Стоимость капитала составляет 10% годовых. При этих исходных данных мы находим, что NPV проекта равна 274472 долл.
Теперь давайте воспользуемся номинальным подходом. Перед тем как это сделать, мы должны внести небольшое изменение в способ расчета номинальной ставки дисконтирования. В большинстве случаев было бы достаточно сделать приближение номинальной ставки к 16% — реальная ставка в размере 10% плюс о-ный ожидаемый уровень инфляции.
Инвестиции при 6%-ной ставке инфляции
Год Реальный денежный поток Номинальный денежный поток (6%-ная инфляция)
1 600000 636000
2 600000 674160
3 600000 71461
4 600000 757486
5 600000 802935
Зависимость между номинальной и реальной ставками выглядит следующим образом:
r = (1+p)(1+i)-1
Таким образом, в нашем примере номинальная ставка дисконтирования была бы равна 16,6%, а не 16% годовых:
Номинальная ставка = 1,1 х 1,06 - 1 = 0,166 или 16,6%
Пример 3.
Компания планирует приобрести новое оборудование по цене $36,000, которое обеспечивает $20,000 экономии затрат (в виде входного денежного потока) в год в течение трех ближайших лет. За этот период оборудование подвергнется полному износу. Стоимость капитала предприятия составляет 16%, а ожидаемый темп инфляции - 10% в год.
Сначала оценим проект без учета инфляции. Решение представлено в таблице.
Таблица. Решение без учета инфляции
| Год | Сумма денег | 16%-ный множитель |
Современное значение | |
| Исходная инвестиция | Сейчас | ($36,000) | 1 | ($36,000) |
| Годовая экономия | (1-3) | 20,000 | 2.246 | 44,920 |
| Чистое современное значение | $8,920 | |||
Из расчетов очевиден вывод: проект следует принять, отмечая высокий запас прочности. Теперь учтем в расчетной схеме эффект инфляции. Прежде всего необходимо учесть влияние инфляции на требуемое значение показателя отдачи. Для этого вспомним следующие простые рассуждения. Пусть предприятие планирует реальную прибыльность своих вложений в соответствии с процентной ставкой 16%. Это означает, что при инвестировании $36,000 через год оно должно получить $36,000 х (1+0.16) = $41,760. Если темп инфляции составляет 10%, то необходимо скорректировать эту сумму в соответствии с темпом: $41,760 х (1+0.10) = $45,936. Общий расчет может быть записан следующим образом:
$36,000 х (1+0.16) х (1+0.10) = $45,936.
Для рассматриваемого примера расчет приведенного показателя стоимости капитала имеет вид:
реальная стоимость капитала 16%;
темп инфляции 10%;
смешанный эффект (10% от 16%) 1.6%;
приведенная стоимость капитала 27.6%.
Рассчитаем величину критерия NPV с учетом инфляции, т.е. пересчитаем все денежные потоки и продисконтируем их с показателем дисконта 27.6%.
Таблица. Решение с учетом инфляции
| Год | Сумма денег |
Индекс цен |
Привед. денежн. поток |
27.6%-ный множит. | Наст. значен. |
|
Исходная инвестиция |
Сейчас | ($36,000) | - | ($36,000) | 1,000 | ($36,000) |
Годовая экономия |
1 | 20,000 | 1.10 | 22,000 | 0.7837 | 17,241 |
Годовая экономия |
2 | 20,000 | 1.21 | 24,200 | 0.6142 | 14,864 |
Годовая экономия |
3 | 20,000 | 1.331 | 26,620 | 0.4814 | 12,815 |
| Чистое современное значение | $8,920 | |||||
Ответы обоих решений в точности совпадают.
Результаты получились одинаковыми, так как мы скорректировали на инфляцию как входной поток денег, так и показатель отдачи.
По этой причине большая часть фирм западных стран не учитывает инфляцию при расчете эффективности капитальных вложений.
3.3 Учет налогового фактора при репатриации дивидендов
Например, во избежание двойного налогообложения (у себя и за рубежом) правительство США предоставляет федеральную налоговую скидку на прибыль для зарубежных налогов, выплаченных американской корпорацией. Если иностранное государство имеет ставку налога ниже применяемой в США, то фирма будет платить комбинированные налоги по полной ставке налога США, часть налогов выплачивается иностранному государству, а оставшаяся часть — правительству США.
Предположим, что зарубежный филиал американской корпорации действует в стране, где ставка налога на прибыль равна 27%. Филиал зарабатывает 2 млн, долл. и платит иностранной державе 540 тыс. долл. в качестве налога на прибыль. Представим далее, что 2 млн. долл. прибыли облагаются в США налогом по ставке, равной 34%, что составляет 680 тыс. долл. Компания получает налоговую скидку в размере 540 тыс. долл. для уплаты налогов иностранному государству. Таким образом, в США она платит только 140 тыс. долл. налогов на прибыль своего зарубежного филиала.
Если ставка налога на прибыль в иностранной державе равна 50%, то компания заплатит налог за рубежом в сумме 1 млн. долл. и ничего не будет платить в США. При этом суммарное налогообложение явно выше, чем при применении только ставки налога США.
Более того, размер налоговой скидки может быть ограничен. Правительство США облагает налогом зарубежную прибыль компаний и предоставляет налоговую скидку только в размере, сопоставимом с налогом на прибыль в США. (Излишек иностранной налоговой скидки переносится вперед.) Предположим, что 30% совокупной прибыли многонациональной корпорации поступают от зарубежных источников. Если предписываемые законами США налоговые обязательства составляют 10 млн. долл., то для их погашения можно использовать только 3 млн. долл. как налоговую скидку по зарубежным операциям.
Таблица. Методы устранения двойного налогообложения
| Организация из государства А | Место получения прибыли | ||
| А | В | ||
| Прибыль | 2000 | 1000 | |
| Ставка налога на прибыль | 24% | 30% | |
| Налог на прибыль,подлежащий уплате | 480 | 300 | |
| Итого | 780 | ||
| Метод налогового кредита | Метод налогового вычета | Метод налогового освобождения | |
| 1. Налогооблагаемая прибыль в государстве А | |||
| 3000 | 2000 + (1000 – 300) = 2700 | 3000 | |
| 2. Налог, уплаченный в государстве А | |||
| 3000 х 0.24 = 720 | 2700 х 0.24 = 648 | 3000 х 0.24 = 720 | |
| 720 – 480 = 240 | |||
| Разрешенная сумманалогового кредита1000 х 0.24 = 240 | |||
| Итого подлежит уплатев государстве А720 – 240 = 480 | |||
| 3. Всего уплачено в государствах А и В | |||
| 480 + 300 = 780 | 648 + 300 = 948 | 720 | |
Из расчетов, приведенных в таблице, можно сделать вывод о том, что налоговое освобождение является наиболее приемлемым способом устранения двойного налогообложения для организации-налогоплательщика.
Пример 2. Использование налоговых зачетов и налоговых кредитов
Например: из иностранного государства X (источника доходов) корпорация A репатриирует в страну Y (юрисдикцию резиденства A) доход в сумме 100 ед. Налоговая ставка в X составляет 30%, налоговая ставка Y – 40%.
1. Если применить систему налоговых зачетов:
Налоговые обязательства А и Х = (100 - Иностранные налоги)(Внутренняя налоговая ставка Y) = (100 − 30 ) × 0,4 = 28 ед.
Общая сумма уплаченных налогов = налоги X + налоги Y = 30 + 28 =58 ед.
Чистый доход корпорации A = 100 – 58 = 42 ед.
2. Если применить систему налоговых кредитов:
Налоговые Внутренняя
обязательства = 100 × налоговая = 100 × 0,4 = 40 ед.
А и Y ставка Y
На сумму уплаченных за границей налогов корпорация A получает налоговый кредит, равный 30 ед. (на всю сумму уплаченных налогов в X). Налог, платимый в Y, соответствует:
Налоговые обязательства – налоговый кредит = 40 – 30 = 10 ед.
Общая сумма уплаченных налогов = налоги X + налоги Y= 30 + 10 = 40 ед.
Чистый доход корпорации A = 100 – 40 = 60 ед.
Пример 3. Использование международных налоговых соглашений
Например, российская компания X имеет дочернюю компанию Y в Швейцарии. Y выплачивает X дивиденды в размере 10 млн. дол. Двустороннее налоговое соглашение между Россией и Швейцарией не распространяется на трансферт дивидендов. Уплатив швейцарский налог на распределение дивидендов по ставке 35%, российская компания получит 6,5 млн. дол. Если российская компания X создает дочернюю проводящую компанию Z в США, которая будет являться холдинговой компанией для Y, то по налоговому соглашению США–Швейцария, если Z контролирует Y на 95%, то швейцарский налог на распределение дивидендов составит 5%. При переводе дивидендов из Швейцарии в США будет уплачено 0,5 млн. дол. Оставшиеся 9,5 млн. дол. переводят из США в Россию. Налоговое соглашение США–Россия в случае, если российская компания владеет не менее 10% обыкновенных акций американской фирмы, предусматривает налоговую ставку на репатриацию дивидендов из США 5%. Налог на дивиденды составит 0,475 млн. дол. При реализации рассмотренной схемы суммарные налоги составят 0,975 млн. дол., и компания X получит в России 9,025 млн. дол. Экономия на налогах составит 2,525 млн. дол.
Международный бизнес базируется на возможности извлечения выгоды именно из преимуществ межстрановых деловых операций, то есть из того факта, что продажи данного товара в другой стране, или налаживание фирмой одной страны производства в другой, пли предоставление услуг совместно фирмами двух стран — третьей и т. д. обеспечивают вовлеченным в бизнес сторонам большие преимущества, чем они бы имели, ведя дело только в своих странах. Это — ключевой момент не только в понимании природы и специфики собственно международного бизнеса, но и в объяснении возникновения и развития международного менеджмента как такового.
Международный менеджмент является особым видом менеджмента, главными целями которого выступают формирование, развитие и использование конкурентных преимуществ фирмы за счет возможностей ведения бизнеса в различных странах и соответствующего использования экономических, социальных, культурных и иных особенностей этих стран и межстранового воздействия.
Все решения по международному инвестированию, которые принимаются в различных подразделениях фирмы, должны быть просчитаны с финансовых позиций. Анализом возможности проведения в жизнь тех или иных решений в фирме занимается финансовый менеджер.
Сущность его деятельности сводится к поиску ответов на три основных вопроса: где найти источники финансирования для фирмы, куда направить финансовые потоки для максимизации прибыли и как нейтрализовать риски, возникающие при проведении операций. Однако круг проблем, возникающих при решении этих вопросов, значительно шире, чем при работе менеджера в условиях внутреннего рынка. При этом и арсенал средств, доступных международному финансовому менеджеру, отличается большим разнообразием.
Значение экономического анализа для планирования и осуществления инвестиционной деятельности трудно переоценить. При этом особую важность имеет предварительный анализ, который проводится на стадии разработки инвестиционных проектов и способствует принятию разумных и обоснованных управленческих решений.
Одним из основных методов экономического анализа для оценки инвестиционного проекта является метод чистой приведенной стоимости - оценка движения всех чистых наличных средств в будущем, которые будут результатом проекта инвестиций, включая начальные вложения как расход средств и любые поступления от инвестиций как приток. Эти потоки дисконтируют, чтобы принять во внимание факт, что деньги сейчас стоят больше, чем в будущем. Следовательно, метод включает в себя оценку ставки дисконтирования и исчисление стоимости потоков наличных в будущем.
При расчете NPV могут использоваться различные ставки дисконтирования. Паритет процентных ставок предполагает, что разница между форвардным и спотовым курсами объясняется разницей значений номинальных процентных ставок в этих странах. Соответственно, чтобы вычислять наиболее точную чистую приведенную стоимость с учетом различных валютных курсов между странами, необходимо использовать ставку дисконтирования, включающую в себя курсы спот и форвард.
Также при проведении экономического анализа для принятия инвестиционного решения необходимо учесть влияние инфляции. Это можно делать корректировкой на индекс инфляции (i) либо будущих поступлений, либо коэффициента дисконтирования. Если ожидается, что все издержки и цена реализации, и соответственно, ежегодные денежные потоки будут повышаться с той же скоростью, что и уровень инфляции, то NPVс учетом инфляции будет равен NPVбез учета.
Далее, при принятии инвестиционного решения, финансовому менеджеру следует учесть и налоговый фактор, играющий немаловажную роль в прогнозировании денежных потоков проекта ТНК.
Различия в налоговом законодательстве между странами могут привести к тому, что экономическая сделка будет иметь совершенно различные экономические результаты после уплаты налогов в зависимости от того, где эта сделка произошла.
Налоги взимаются как в стране—источнике капитала, так и в стране-реципиенте (получателе платежа).При этом чистый эффект налогообложения зависит от того, налоговые органы какой страны взимают налог первыми и как реагируют налоговые органы второй страны на факт изъятия налога. По общему правилу первым налог взимается в стране-реципиенте. Страна-источник капитала затем может прибегнуть к одной из следующих стратегий:
· освободить от налогов доход по зарубежным инвестициям, налог на который был уплачен за границей. Такая политика государства реализуется в международных договорах об избегании двойного налогообложения;
· налоговый кредит: страна-донор может облагать доход инвестора по зарубежному проекту по ставке налога для внутренних проектов, предоставляя при этом кредит в размере уплаченных за границей налогов, т. е. налогооблагаемая база плательщика формируется с учетом доходов, полученных за границей, а затем из рассчитанной суммы налогов вычитаются налоги, уплаченные за границей;
· вычет налогов или налоговая скидка: налоговые органы страны-источника капитала рассматривают налоги, уплаченные инвестором на прирост своего капитала за границей в качестве расходов, вычитаемых из доходов, подлежащих налогообложению внутри страны.
Таким образом, выгодность зарубежных инвестиций для фирмы будет неодинаковой в каждом конкретном случае и зависит от решения финансового менеджера по урегулированию налогообложения прибыли.
В дальнейшем в инвестиционном анализе встает вопрос о репатриации полученных доходов в материнскую компанию. Репатриация капиталов может осуществляться в форме перевода на родину капиталов, ранее инвестированных за границей, и прибылей по ним, а также вырученной иностранной валюты от реализации товаров и услуг.
Финансовый менеджер должен просчитать возможность использования различных форм международных корпораций (оффшорные, холдинговые и финансовые компании) для максимально выгодного репатриирования полученных прибылей в материнскую компанию.
И еще одним важным фактором, влияющим на эффективность международного проекта, является различие в валютных курсах. Движение валютного курса имеет большое экономическое значение прежде всего для тех предприятий, которые осуществляют зарубежную деятельность с целью получения прибыли. Для учета валютного риска часто используется стратегия «leads & lags», предполагающая свободу выбора даты платежа, котораянаиболее приемлема в отношениях между двумя фирмами, которые тесно связаны друг с другом, так как наличие общих целей помогает найти наиболее выгодный вариант взаиморасчетов. Более того, постоянный денежный поток между такими фирмами просто обязывает их использовать эту стратегию, так как она дает им возможность точно просчитывать объемы финансовых потоков между фирмами на определенную дату, и, следовательно, опосредованно влиять на платежеспособность каждой фирмы. Однако все это требует наличия единых целей и четкой согласованности действий.
Использование стратегии «leads & lags» не только в целях уменьшения валютного риска, но и для ухода от налогов зачастую ограничивается государством. Рамки такого ограничения во многом зависят от внешней политики страны, то есть государство подходит к этому вопросу преференциально.
Подводя итоги, заметим, что международное инвестирование представляет собой один из наиболее важных аспектов деятельности любой динамично развивающейся международной организации. Для планирования и осуществления успешной зарубежной инвестиционной деятельности особую важность имеет предварительный экономический анализ, который проводится на стадии разработки инвестиционных проектов и способствует принятию разумных и обоснованных управленческих решений.
Список использованной литературы
1. Джеймс К. Ван Хорн «Основы финансового менеджмента», 12 изд., 2008.
2. Басовский Л.Е. «Финансовый менеджмент», 2003.
3. Савчук В.П. «Энциклопедия финансового менеджмента», 2008.
4. Сироткин В.Б. «Международный финансовый менеджмент», учебное пособие, 2001.
5. Черников Г.П. «Очень крупные транснациональные компании и современный мир», 2008.
6. Пивоваров С.Э. «Международный менеджмент», 2001.
7. Шагурин С.В., Шимко П.Д. «Экономика транснационального предприятия», 2008.
8. Горбунов А. "Оффшорный бизнес и управления компаниями за рубежом», М., 1997.
9. В.А.Бабанин, Журнал «Финансовый менеджмент», 2004, №3. Статья «Анализ мирового опыта налогового планирования»
(http://www.diplom.krsk.info/stFmir_1.htm)
10. Бизнес-словарь
(http://www.businessvoc.ru)
11. Сайт об инвесторах, инвестирование и видах инвестиций
(http://jney.ru/international-investment/mezhdunarodnye-investicii.html)
12. Словарь «Борисов А.Б. Большой экономический словарь» — М.: Книжный мир, 2003.
13. Финансовый анализ. Информационный онлайн справочник
(http://www.financial-analysis.ru/methodses/methodses.html)
14. Портал об инвестициях
(http://www.rusconsalting.ru/foringinvest/index.html)
15. Федеральный Закон «Об иностранных инвестициях в Российской Федерации» от 9 июля 1999 года № 160-ФЗ
16. Закон Российской Федерации "О валютном регулировании и валютном контроле" от 09.10.92