| Скачать .docx |
Курсовая работа: Лизинг в организации
Лизинг в организации
Содержание
Введение.......................................................................................................... 3
Глава 1. Теоретические основы лизинговых отношений.............................. 6
1.1 Понятие лизинга и основные участники лизинговых операций............. 6
1.2 Лизинг как инструмент долгосрочного финансирования..................... 11
Глава 2. Обоснование использования лизинга для ООО «Прогресс-М».. 21
2.1 Общая характеристика ООО «Прогресс-М»......................................... 21
2.2 Анализ финансового положения предприятия...................................... 23
2.3 Оценка эффективности использования лизингового механизма в ООО «Прогресс-М».................................................................................................................. 28
Заключение.................................................................................................... 41
Список использованной литературы:.......................................................... 43
В настоящее время различными исследователями сформулировано большое количество определений лизинга, которые относят его к известным различным классическим видам финансово-хозяйственной деятельности. Отдельные авторы определяют лизинг как вид предпринимательской деятельности, другие отождествляют его с инвестиционной деятельностью, третьи рассматривают как хозяйственную операцию. Большинство экономистов идентифицируют лизинг с арендой, некоторые с особой формой кредитования. Наличие такого количества подходов к определению лизинга свидетельствует о сложности этого вида деятельности и недостаточном его теоретическом изучении.
Лизинг - один из реальных вариантов обновления материально-технической базы предприятия в условиях нестабильной экономической ситуации [3, c. 26].
Лизинг выступает объектом инвестиционных затрат, поэтому он рассматривается также как разновидность инвестиционной деятельности. Основные преимущества лизинга - предоставление сервиса по переданному в лизинг оборудованию и отсутствие требования залога. В задачи лизинговой компании входят поиск необходимого клиенту оборудования, его закупка, обеспечение гарантийного ремонта предмета лизинга и сервисный контроль. Кроме того, при лизинге сохраняется право на возврат имущества лизингодателю с тем, чтобы взять взамен новое оборудование или технику, то есть совершить операцию так называемого повторного лизинга. Это удобно как компаниям, уверенным, что завтра на рынке появятся интересные новинки, так и тем фирмам, которые не исключают возможности со временем заняться другим видом бизнеса. Финансовый лизинг актуален для предприятий, не желающих обременять баланс собственностью. Он позволяет оптимизировать финансовые потоки и налогообложение, поскольку амортизация и начисленные проценты относятся к валовым затратам.
Значение лизинга для экономического развития состоит в его способности быть эффективным финансовым инструментом приобретения и обновления основных средств как для малых и средних предприятий, так и для финансирования многомиллионных сделок в транспортных перевозках.
Лизинг создает дополнительную конкуренцию на рынке финансовых услуг. В странах с развивающейся экономикой лизинг часто становится альтернативой банковскому кредитованию для приобретения основных средств, позволяя тем самым компаниям не увеличивать свою задолженность перед банком. Лизинг является дополнительной формой долгосрочного финансирования. Это особенно актуально в нашей стране при сложившейся сегодня структуре пассивов российских банков, не позволяющей направлять привлеченные финансовые средства в проекты длительностью более года.
Лизинг является важным стабилизационным фактором во время экономического спада за счет того, что при соответствующем законодательстве лизинг значительно увеличивает эффективность льготного налогового режима, установленного для осуществления капиталовложений [8, c. 126].
Цель настоящего исследования – выявление преимуществ лизинговых схем и оценка их эффективности в деятельности российских предприятий.
Объектом исследования является общество с ограниченной ответственностью «Прогресс-М», которое является генподрядной организацией, а также производит и реализует строительные материалы и занимается всеми видами торговой деятельности.
Предметом исследования являются экономические отношения, возникающие между субъектами лизинга.
Теоретической базой исследования послужили труды отечественных авторов, таких как Адамов Н.А., Бубенцова В.В., Газман В.Д., Зубарева Л.В., Карп М.В., Ковалева А.М., Степанова И.С., Коршунова Н.М., Лукин Е.В., Лещенко М.И., Симонова М.Н., Трушкевич Е.В., Шабашев В.А., Харитонова Ю.С. и др.
Глава 1. Теоретические основы лизинговых отношений
1.2 Понятие лизинга и основные участники лизинговых операций
С экономической точки зрения лизинг представляет собой комплекс имущественных отношений, складывающихся в связи с передачей имущества во временное пользование. Согласно российскому законодательству лизинг представляет собой вид инвестиционной деятельности по приобретению имущества и передаче его на основании договора лизинга физическим или юридическим лицам за определенную плату, на определенный срок и на определенных условиях, обусловленных договором, с правом выкупа имущества лизингополучателем [18, с. 12].
Лизинговая сделка определена как совокупность договоров, необходимых для реализации договора лизинга между его субъектами.
Субъектами лизинга являются лизингодатель, лизингополучатель и продавец (поставщик). В классической лизинговой сделке взаимоотношения между субъектами лизинга строятся по следующей схеме: потенциальный (будущий) лизингополучатель, заинтересованный в получении конкретных и определенных видов имущества (оборудования, техники и т. д.), самостоятельно на основе имеющейся у него информации, опыта, рекомендаций, результатов предварительно достигнутых соглашений подбирает располагающего этим имуществом поставщика [17, c. 24].
Особенности лизинговых операций:
- право выбора объекта лизинга и продавца лизингового имущества принадлежит лизингополучателю, если иное не предусмотрено договором;
- лизинговое имущество используется лизингополучателем только в предпринимательских целях;
- сумма лизинговых платежей за весь период лизинга должна включать полную (или близкую к ней) стоимость лизингового имущества в ценах на момент заключения сделки;
- лизинг может быть как внутренним, когда все субъекты лизинга являются резидентами Российской Федерации, так и международным, когда один или несколько субъектов лизинга являются нерезидентами согласно законодательству Российской Федерации;
- имущество, переданное в лизинг, в течение всего срока действия договора лизинга является собственностью лизингодателя, за исключением имущества, приобретаемого лизинговой компанией за счет бюджетных средств;
- в договоре лизинга может быть предусмотрено право выкупа лизингового имущества лизингополучателем по истечении или до истечения срока договора;
- по соглашению сторон в договоре лизинга может предусматриваться ускоренная амортизация лизингового имущества в соответствии с законодательством Российской Федерации с последующим уведомлением об этом налоговых органов [13, с. 54].
Выделяют следующих основных участников лизинговой операции:
1) Лизингополучатель
2) Лизингодатель
3) Поставщик
4) Страховщик
Рассмотрим роль и функции каждого из них.
Юридическое или физическое лицо, которое в соответствии с договором лизинга принимает предмет лизинга за определенную плату, на определенный срок и на определенных условиях во временное пользование, называется лизингополучателем. [1]
Лизингополучатель имеет право:
1) выбирать предмет лизинга и продавца или установить спецификацию предмета лизинга и поручить выбор лизингодателю;
2) отказаться от приема предмета лизинга, не соответствующего его назначению и/или условиям договора, спецификациям;
3) потребовать расторжения договора лизинга или отказаться от него в предусмотренных законом и договором лизинга случаях;
4) потребовать от лизингодателя возмещения убытков, причиненных неисполнением или ненадлежащим исполнением условий договора лизинга.
Лизингополучатель обязан:
1) принять предмет лизинга и пользоваться им в соответствии с его назначением и условиями договора;
2) в соответствии с условиями договора своевременно и в полном объеме исполнять обязательства по содержанию предмета лизинга, поддерживать его в исправном состоянии;
3) своевременно уплачивать лизинговые платежи;
4) предоставлять лизингодателю доступ к предмету лизинга и обеспечивать возможность осуществления проверки условий его использования и содержания;
5) письменно уведомлять лизингодателя, а в гарантийный срок и продавца предмета, о всех случаях выявления неисправностей предмета лизинга, его поломок или сбоев в работе;
6) письменно уведомлять о нарушении сроков проведения или непроведения текущего либо сезонного технического обслуживания и о любых других обстоятельствах, которые могут отрицательно отразиться на состоянии предмета лизинга, – немедленно, но в любом случае не позднее второго рабочего дня после дня наступления вышеуказанных событий или фактов, если иное не установлено договором;
7) при истечении срока лизинга, а также при досрочном расторжении договора лизинга и в других случаях досрочного возврата предмета лизинга – возвратить предмет лизинга в состоянии, в котором он был принят во владение, с учетом нормального износа, или в состоянии, обусловленном договором. [1]
Лизингодатель - физическое или юридическое лицо, которое за счет привлеченных и (или) собственных средств приобретает в ходе реализации договора лизинга в собственность имущество и предоставляет его в качестве предмета лизинга лизингополучателю за определенную плату, на определенный срок и на определенных условиях во временное владение и пользование с переходом или без перехода к лизингополучателю права собственности на предмет лизинга. В качестве лизингодателя может выступать коммерческий банк, кредитная небанковская организация, лизинговая компания. Лизингодателем может быть и юридическое и физическое лицо. Лизинговая компания, которая за счет собственных или привлеченных средств приобретает имущество и предоставляет его в качестве предмета лизинга потребителю за определенную плату, на определенный срок и на определенных условиях в пользование, называется лизингодателем. [11, c. 43]
Лизингодатель имеет право:
1) инвестировать на приобретение предмета лизинга как собственные, так и привлеченные и заемные денежные средства;
2) осуществлять проверки соблюдения лизингополучателем условий пользования предметом лизинга и его содержания;
3) отказаться от договора лизинга в случаях, предусмотренных договором лизинга или законом;
4) потребовать расторжения договора и возврата предмета лизинга в предусмотренных законом и договором случаях;
5) взыскивать с лизингополучателя просроченную задолженность в бесспорном порядке на основании исполнительной надписи нотариуса;
6) потребовать от лизингополучателя возмещения убытков в соответствии с законом и договором;
Лизингодатель обязан:
1) в предусмотренные договором сроки предоставить лизингополучателю предмет лизинга в состоянии, соответствующем его назначению и условиям договора;
2) предупредить лизингополучателя об известных ему особых свойствах и недостатках предмета лизинга, которые могут представлять опасность для жизни, здоровья, имущества лизингополучателя либо других лиц или приводить к повреждению самого предмета лизинга при пользовании им;
3) в соответствии с условиями договора своевременно и в полном объеме исполнять обязательства по содержанию предмета лизинга;
4) возмещать лизингополучателю расходы на улучшение предмета лизинга, на его содержание или устранение недостатков в порядке и случаях, предусмотренных законом и/или договором;
5) принять предмет лизинга при досрочном расторжении договора лизинга или при истечении срока пользования предметом лизинга. [1]
Поставщик или продавец - физическое или юридическое лицо, которое в соответствии с договором купли - продажи с лизингодателем продает лизингодателю в обусловленный срок имущество, являющееся предметом лизинга. Продавец обязан передать предмет лизинга лизингодателю или лизингополучателю в соответствии с условиями договора купли - продажи. Продавец может одновременно выступать в качестве лизингополучателя в пределах одного лизингового правоотношения. [11, c. 46]
Страховщик – это страховая компания, которая, как правило, является партнером лизингодателя или лизингополучателя. Она участвует в сделке лизинга, осуществляя страхование имущественных, транспортных и прочих видов рисков, связанных с предметом лизинга и/или сделкой лизинга. Функцией страховщика в лизинговой операции является составление страхового договора при заключении сделки между лизингополучателем и лизингодателем. В отличие от других участников не обязателен при заключении лизинговой сделки. Он привлекается лишь в определенных схемах, когда требуется страхование сделки.
1.2 Лизинг как инструмент долгосрочного финансирования
Переход к рыночным отношениям вызвал активное использование в практике финансовой деятельности новых кредитных инструментов, одним из которых является лизинг.
Вид инвестиционной деятельности по приобретению имущества и передаче его на основании договора лизинга физическим или юридическим лицам за определенную плату, на определенных условиях с правом выкупа имущества лизингополучателем называется лизингом [6, c. 33].
Лизинг объединяет систему экономических отношений: - арендных, торговых, кредитных и т.п. Лизинг является одной из форм финансового кредита и характеризует кредитные отношения, связанные с его функционированием и спецификой управления.
Лизинг выполняет следующие функции:
·удовлетворяет потребность в наиболее дефицитном виде заемного капитала - долгосрочном кредите. На современном этапе долгосрочное банковское кредитование организаций сведено к минимуму, что сдерживает их инвестиционную деятельность, связанную с обновлением и расширением состава внеооборотных активов;
·полностью удовлетворяет целевые потребности организации в заемных средствах. Использование лизинга в конкретных целях обновления и расширения состава активной части операционных внеооборотных активов позволяет организации в существенной части исключить потребность в наиболее дефицитном виде заемного капитала - долгосрочном кредите;
·автоматически формирует полное обеспечение кредита, что снижает стоимость его привлечения. Он не требует создания в организации фонда погашения основного долга в связи с постепенностью амортизации актива, взятого в лизинг. Лизинг снижает налог на прибыль, поскольку лизинговые платежи полностью включаются в затраты и не облагаются налогом на прибыль, а также обеспечивает снижение стоимости кредита за счет ликвидационной стоимости лизингуемых активов;
·формой такого обеспечения кредита является сам лизингуемый актив, который в случае финансовой несостоятельности (банкротства) организации может быть реализован кредитором с целью![]()
![]()
![]()
![]()
возмещения невыплаченной части лизинговых платежей и суммы неустойки по сделке. Дополнительной формой такого обеспечения кредита является обязательное страхование лизингуемого актива лизингополучателем (рейтером) в пользу лизингодателя (лиссора). Снижение уровня кредитного риска лизингодателя создает предпосылки для соответствующего снижения стоимости привлечения организацией этого вида финансового ресурса;
·обеспечивает более широкий диапазон форм платежей, связанных с обслуживанием долга. В отличие от банковского кредита, где обслуживание долга и возврат основной его суммы осуществляются в форме денежных платежей, лизинг предусматривает возможность таких платежей в иных формах, например, в форме поставок продукции, произведенной с участием лизингуемых активов;
·обеспечивает большую гибкость в сроках платежей, связанных с обслуживанием долга. В отличие от традиционной практики обслуживания и погашения банковского кредита лизинг предоставляет организации возможность совершения лизинговых платежей по более широкому диапазону схем с учетом характера и срока использования лизингуемого актива, что делает лизинг более предпочтительным для организации кредитным инструментом;
·обеспечивает снижение стоимости кредита за счет ликвидационной стоимости лизингуемого актива. Поскольку при лизинге после завершения лизингового периода соответствующий актив передается в собственность лизингополучателя, то после полной амортизации актива лизингополучатель имеет возможность реализовать его по ликвидационной стоимости. На сумму от этой реализации (приведенную путем дисконтирования к настоящей стоимости) условно снижается сумма кредита по лизинговому соглашению [11, c. 96].
Оценка эффективности лизинговой операции проводится путем сравнения настоящей стоимости денежного потока при лизинговой операции с денежным потоком по аналогичному виду банковского кредитования (методика и пример такого сравнения рассмотрены ниже). Это является одним из критериев лизинговой сделки.
Стоимость лизинга не должна превышать стоимости банковского кредита, предоставляемого на аналогичный период, иначе организации выгоднее получить долгосрочный банковский кредит для покупки актива в собственность. Кроме того, в процессе использования лизинга должны быть выявлены такие предложения, которые минимизируют его стоимость.
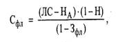
Как и в других случаях определения источника финансирования, следует установить стоимость заемного капитала, привлекаемого на основе ставки лизинговых платежей (Сфл). Эта ставка включает две составляющие:
• постепенный возврат суммы основного долга (годовая норма амортизации актива (НА), привлеченного на условиях лизинга, в соответствии с которым актив после его оплаты передается в собственность арендатора);
• стоимость непосредственного обслуживания лизингового долга.
Стоимость лизинга оценивается по формуле [19, c. 57]:

где ЛС - годовая лизинговая ставка,%;
Зфл - уровень расходов по привлечению актива на условиях лизинга.
Лизинговые платежи в соответствии с графиком включаются в разрабатываемый организацией платежный календарь и контролируются в процессе мониторинга его текущей финансовой деятельности. В процессе управления лизингом следует учесть, что многие правовые нормы его регулирования в нашей стране находятся в стадии становления. В этих условиях следует ориентироваться на международные стандарты осуществления лизинговых операций с соответствующей адаптацией к отечественным экономическим условиям. [19, с. 163]
Положительной характеристикой лизинга является более упрощенная процедура оформления кредита в сравнении с банковской. Как свидетельствует современный отечественный и зарубежный опыт, при лизинговом соглашении объем затрат времени и перечень необходимой для представления финансовой документации существенно ниже, чем при оформлении договора с банком о предоставлении долгосрочного кредита. В значительной степени этому соответствует строго целевое использование полученного кредита и надежное его обеспечение;
Кроме того, лизинг не требует формирования в организации фонда погашения основного долга в связи с постепенностью амортизации объекта лизинга. Поскольку при лизинге обслуживание основного долга и амортизация лизингуемого актива осуществляются одновременно (т.е. включены в состав лизинговых платежей), по окончании лизингового периода стоимость основного долга по лизингуемому активу сводится к нулю. Это избавляет организацию от необходимости отвлечения собственных финансовых ресурсов на формирование фонда погашения,
Перечисленные кредитные аспекты лизинга позволяют рассматривать его как достаточно привлекательный кредитный инструмент в процессе привлечения организации заемного капитала для обеспечения экономического развития фирмы [15, c. 209].
Лизинг в условиях российской экономики весьма выгоден по сравнению с покупкой машин и оборудования в кредит еще и тем, что он значительно сокращает инвестиционные риски. Обстоятельство прежде всего связано с тем, что оборудование, взятое в лизинг, гораздо труднее использовать не по назначению, чем кредит. А в случае банкротства лизингополучателя лизингодатель вообще ничего не теряет. Если кредитору для того, чтобы получить свои деньги, требуется пройти всю длительную процедуру банкротства, то принадлежащая лизингодателю высоколиквидная техника может быть им сразу же продана или передана другому лизингополучателю. [6, с. 52]
В современных условиях хозяйствования финансовой функции лизинга принадлежит ведущая роль. Предприятие-лизингополучатель, обращаясь к лизингу по финансовым мотивам, получает возможность пользоваться необходимым для него имуществом без единовременной мобилизации на эти цели собственных или привлечения заемных средств. Лизингополучатель освобождается от единовременной полной оплаты стоимости имущества, что выгодно отличает лизинг от обычной купли-продажи. Лизинг может открывать доступ к нужному имуществу как в случае каких-либо кредитных ограничений, так и в случае невозможности привлечения для этих целей заемных средств. С помощью лизинга в число потребителей вовлекаются, как правило, те предприятия, которые либо не имеют финансовых возможностей приобрести оборудование в собственность, либо в силу особенностей производственного цикла не нуждаются в постоянном владении ими.
Однако необходимым условием осуществления договора лизинга является наличие у лизингодателя свободных средств для его реализации или доступ к деньгам других финансовых структур. В наших условиях, как показывает первый опыт создания лизинговых компаний в стране, такими структурами являются в основном банки, кредитные учреждения или дочерние лизинговые компании, созданные при банках или с их участием. Этот недостаток относят прежде всего к несовершенству правовой и нормативной базы нашей страны.
Основными недостатками лизинга являются:
1) На лизингодателя ложится риск морального старения оборудования и получения лизинговых платежей, а для лизингополучателя стоимость лизинга больше, чем цена покупки или банковского кредита. Поэтому лизинговой сделке предшествует большая предварительная работа по ее экспертизе.
2) Лизингополучатель, не являющийся собственником своих основных средств, не может предоставить их в качестве залога в случае необходимости банковского займа, что снижает его шансы к получению такого займа на более выгодных условиях.
3) Лизингодатель, не имеющий "дешевых" и стабильных источников финансовых средств, подвержен риску внезапного изменения процентных ставок по кредитам, которые он вынужден брать для финансирования инвестиций лизингополучателя, что удорожает и стоимость лизингового контракта. Этот риск нейтрализуется, если лизинговая компания является филиалом крупного банка. [11, с. 87]
Среди преимуществ лизинга перед другими формами финансирования в первую очередь следует упомянуть (без ранжирования по степени важности) следующие:
Для лизингополучателя:
1) За объект лизинга не нужно платить заранее, можно просто производить выплату поквартальной (или месячной) лизинговой платы из получаемого дохода. Поскольку срок действия договора, как правило, определяется сроком эксплуатации объекта лизинга, срок финансирования практически покрывает срок эксплуатации. Таким образом, отпадает необходимость предварительного и последующего капиталовложения.
2) Лизинговый контракт более гибкий, чем ссуда. При лизинге лизингополучатель оплачивает лизинговые платежи из суммы доходов от эксплуатации лизингового имущества, т.е. может выработать с лизингодателем схему финансирования, отвечающую его возможностям и особенностям эксплуатации лизингового имущества. Лизинговые платежи могут быть ежемесячными, ежеквартальными, равномерными, увеличивающимися, уменьшающимися. Лизинговая плата, как правило, устанавливается на весь не подлежащий отмене основной договорный срок аренды, следовательно, она является для лизингополучателя прочной основой для планирования будущих расходов.
3) В отличие от других форм финансирования, лизинг обеспечивает стопроцентное финансирование за счет привлеченных средств со стороны. Предприятия сохраняют средства для других инвестиций или для финансирования оборотного капитала. В то же время, забалансовый учет оборудования, полученного по лизингу, не увеличивает задолженности в балансе лизингополучателя. Следовательно, лизинг сохраняет для предприятия возможность взятия кредитов, а также получения под кредиты гарантий.
4) В случае, если по окончании лизингового контракта предусматривается опцион покупки, передача имущества с баланса лизингодателя на баланс лизингополучателя производится по остаточной стоимости, установленной при заключении лизингового контракта.
5) Использование лизинга эффективно предупреждает вероятность технического износа и морального старения оборудования. По окончании договора лизинга клиент может приобрести себе новое оборудование, либо перезаключить договор на поставку более технологически современного оборудования.
6) Возможность приступить к эксплуатации оборудования без предварительной оплаты его стоимости приближает сроки получения прибыли от его эксплуатации.
7) Операции международного лизинга позволяют использовать налоговые льготы стран - участниц лизинговой сделки.
8) Комплексность лизинговых услуг. Как правило, лизинговые компании имеют свои доступы на рынки ссудных капиталов, особенно в случае международного лизинга. Это позволяет им снижать процентные ставки лизингополучателям. Поэтому зачастую лизинговые условия оказываются более выгодными, чем кредитные [7, c. 158].
Для поставщика (производителя):
1) Лизинг является средством активного маркетинга. Расширяется круг клиентов за счет тех предприятий, которые либо не нуждаются в постоянном владении техникой, либо не могут приобрести в собственность, либо хотят предварительно опробовать технику в деле.
2) Форсирование темпов обновления продукции. Имея такой канал сбыта, как лизинг, производители могут ускорить смену моделей и на этой основе завоевывать новые рынки.
3) 100% оплата осуществленной сделки, т.е. снятие риска возможного неплатежа.
4) Эффективная реклама. Потенциальные покупатели (как лизингополучатели) могут убедиться в возможностях машин и оборудования поставленного по лизингу.
5) Увеличение объемов продаж за счет повышения спроса на вспомогательное оборудование, используемое при эксплуатации объектов, реализуемых по каналам лизинга.
Для государства и местных органов власти:
1) Применение лизинговых операций позволяет активно проводить инвестиционную политику.
2) Действенный контроль над целевым использованием выделяемых по программам Администрации средств (будет закупаться именно то оборудование и именно у того производителя, которые указывались в бизнес-плане, получившем поддержку администрации).
3) Реальные возможности обновления производственного аппарата предприятий области.
4) Сохранение и создание дополнительных рабочих мест.
5) Повышение в перспективе налоговых поступлений в областной бюджет.
6) Повышение экспортных возможностей предприятий области, как минимум в соседние регионы.
7) Возможность регулировать структуру производства и активно влиять на ее совершенствование с точки зрения долгосрочных целей Администрации.
8) Насыщение рынка товарами народного потребления, отечественного производства заменяющими импортные товары [7, c. 161].
В условиях развития бизнеса оборотные средства всегда в дефиците, поэтому лучшей альтернативы прямой покупке за счет собственных или кредитных средств, чем лизинг – нет. Тем более, что приобретение недвижимости и обновление производственных фондов – удовольствие не из дешевых. В отличие от банковского кредитования, лизинг позволяет без резкого финансового напряжения обновлять производственные фонды, приобретать дорогостоящее оборудование, спецтехнику, транспорт, недвижимость и прочие объекты, относящиеся к основным средствам. Лизингополучатель пользуется приобретенным по договору лизинга имуществом, и, согласно индивидуальному графику платежей, выкупает его по истечению договора лизинга по небольшой остаточной стоимости.
Однако, несмотря на многие преимущества лизинга, как было уже сказано выше, в России лизинг не так хорошо развит как во многих странах мира.
Основными препятствиями для развития лизинга в России являются:
1) высокие ставки и краткосрочный характер кредитования. При сохраняющейся в России банковской практике, когда краткосрочные кредиты выгоднее или, чаще всего, просто доступнее средне- и долгосрочных, получение ссуды на срок более трех лет (оптимальный срок погашения кредита на закупку техники лизинговой компанией) весьма проблематично;
2) высокий уровень налогов и запутанность системы налогообложения. В случае осуществления лизинговых сделок лизингодатель облагается и еще одним налогом - налогом на лицензирование. Не освобождены от уплаты налога на прибыль лизингодатели по реализации договоров финансового лизинга со сроком не менее 3 лет; банки и другие кредитные учреждения - от налога на прибыль, полученную ими от предоставления кредитов на срок более 3 лет для реализации операций лизинга. Не освобождены лизингодатели от уплаты НДС при выполнении лизинговых услуг, с сохранением действующего порядка уплаты НДС при приобретении имущества, являющегося объектом лизинга, как было предусмотрено Постановлением Правительства № 633;
3) значительные, а в отдельные периоды времени просто губительные темпы инфляции, препятствующие долгосрочному инвестированию в производство;
4) отсутствие значительного стартового капитала для лизинговой компании, так как она приобретает оборудование за полную стоимость, что в условиях инфляции затрудняет возможность расширения деятельности;
5) отсутствие ликвидных ресурсов у лизинговой компании для залога;
6) неразвитость инфраструктуры лизингового рынка, которая могла бы обеспечить должное техническое обслуживание объектов лизинга, решить целый ряд вопросов в лизинговом бизнесе;
7) отсутствие системы информационного обеспечения о предложениях лизинговых услуг;
8) неустойчивость самого инвестиционного климата в России.
Отраслевая структура российского лизинга характеризуется неравномерностью распределения средств: в объекты производственного назначения вкладывается примерно в 1,9 раза больше, чем в объекты непроизводственного назначения. Среди объектов производственного назначения наибольшая доля лизинга приходится на промышленное оборудование, а также на средства транспорта и связи [6, c. 92].
Глава 2. ОБОСНОВАНИЕ ИСПОЛЬЗОВАНИЯ ЛИЗИНГА ДЛЯ ООО «ПРОГРЕСС-М»
2.1 Общая характеристика ООО «Прогресс-М»
Общество с ограниченной ответственностью «Прогресс-М» создано по решению собрания акционеров открытого акционерного общества «Прогресс-М» и является его дочерним предприятием. С 2004 г. офис и склад компании находятся в г. Подольск, Московской области.
Имуществом общества являются материальные и нематериальные ценности, стоимость которых отражается на самостоятельном балансе.
В своей деятельности Общество руководствуется Гражданским Кодексом (ГК), Федеральным Законом РФ «Об обществах с ограниченной ответственностью», другими действующими на территории РФ законами, нормативными актами, а также Решением Учредителя и уставом предприятия.
Основной целью общества является предоставление юридическим и физическим лицам широкого спектра работ, услуг и товаров, производимых обществом, повышение материального благосостояния инвалидов и членов трудового коллектива предприятия в соответствии с законодательством Россииской федерации и уставом предприятия.
Для достижения этих целей общество осуществляет следующие виды деятельности:
- осуществление СМР (выполняет функции генподрядчика);
- производство и реализация строительных материалов и товаров народного потребления;
- осуществление всех видов торговой деятельности, включая оптовую розничную, комиссионную и коммерческую торговлю, бартерные сделки, лицензированную продажу;
- оказание услуг населению: нарезка стекла, установка изделий собственного производства;
- оказание всех видов услуг автотранспортом и грузоподъемной техникой;
- услуги автосервиса;
- швейное производство: пошив рукавиц, спецодежды, белья и других швейных изделии;
- сбор и сдача бумаги, картона, тряпья и другого вторичного сырья.
Списочный состав работников общества сформирован для выполнения производственной программы. Подчиненность работников осуществляется согласно организационно-функциональной структуры ООО «Прогресс-М».
Система управления на предприятии образуется в результате построения аппарата управления из взаимоподчиненных органов в виде иерархической лестницы.
Разделение системы управления на составные части осуществляется по производственному признаку с учетом степени концентрации производства, технологических особенностей широты номенклатуры продукции.
Данная система обеспечивает такое разделение управленческого труда, при котором линейные звенья управления призваны командовать, а функциональные – контролировать, помогать в разработке конкретных вопросов, программ.
ООО «Прогресс-М» не имеет собственности транспортных средств и оборудования, а берет их в аренду. Предприятие арендует складские помещения, производственные цеха, административно-бытовой корпус, а также транспортные средства и оборудования у ОАО «Прогресс-М».
ООО «Прогресс-М» занимается розничной торговлей. Служба розничной торговли располагает сетью магазинов с арендой помещений в Московской области. Через магазины идет реализация собственной продукции с загрузкой 40%.
2.2 Анализ финансового положения предприятия
Лизинговые отношения начинаются с заявления будущего лизингополучателя к лизингодателю на приобретение соответствующего имущества.
Одновременно с заявлением лизингополучатель предъявляет лизингодателю все необходимые материалы, которые позволяют оценить его финансовое состояние и платежеспособность.
Оценка платежеспособности лизингополучателя может производиться по схеме, принятой для анализа банком кредитоспособности клиентов. Поскольку лизинговые операции имеют длительный срок, лизингодателя интересует не только текущее финансовое положение лизингополучателя, но и способность выполнять платежи в течение периода, оговоренного в лизинговом соглашении. При этом наряду с анализом коэффициентов ликвидности необходимо уделять особое внимание общей экономической устойчивости лизингополучателя [5, c. 62].
Проведем оценку состава и структуры источников собственных и заемных средств, вложенных в имущество предприятия (рис. 1).

Рис. 1. Структура капитала ООО «Прогресс-М» в 2006-2008 гг.
В период с 2006 по 2007 год наблюдается тенденция увеличения доли собственных средств в структуре капитала (на 13,5%). Доля заемного капитала снизилась с 65,2% до 51,9%, причем темп прироста собственного капитала опережает темп прироста заемного.
В период с 2007 по 2008 год существенного изменения в структуре капитала не произошло. Он состоит на 46,7% из собственных средств и на 53,3% из заемных
Наблюдаемый рост кредиторской задолженности перекрывается приростом дебиторской задолженности, платежи по которой ожидаются менее чем через 12 месяцев после отчетной даты, поэтому это не влечет за собой ухудшение финансового состояния предприятия.
Финансовая устойчивость предприятия - это состояние его финансовых ресурсов, их распределение и использование, которое обеспечивает развитие предприятия на основе роста прибыли и капитала при сохранении платежеспособности и кредитоспособности в условиях разумного (допустимого) уровня риска [8, c. 237].
В этой связи под платежеспособность понимают внешнее проявление финансовой устойчивости, которое отражает способность предприятия своевременно и полностью выполнять свои платежные обязательства.
Финансовая устойчивость предприятия за 2006-2008 гг. претерпела существенные изменения. В 2006 году ее можно отнести к неустойчивой, так как наблюдается недостаток собственного чистого оборотного капитала, с привлечением долгосрочных заемных источников формирования запасов и общей величины основных источников формирования запасов.
К 2007 году равновесие восстанавливается за счет значительного роста источников собственных средств (на 10692 тыс.руб). Образуется излишек источников формирования запасов равный 7724тыс.руб, т.е. финансовую устойчивость предприятие можно отнести к допустимой. В 2008 году излишек источников формирования запасов также поддерживается за счет высокой доли собственных оборотных средств.
Для оценки финансовой устойчивости предприятия применяются коэффициенты, определяющие состояние основных оборотных средств и степень финансовой независимости предприятия:
- коэффициент автономии (коэффициент финансовой независимости или концентрации собственного капитала (Ка) – характеризует независимость предприятия;
- коэффициент соотношения заемных и собственных средств (Кзс);
- коэффициент маневренности собственного капитала (Км);
- коэффициент обеспеченности предприятия собственными оборотными средствами (Кос);
- коэффициент реальных активов в имуществе предприятия (Кра) [9, c. 46].
Динамика удельных показателей финансовой устойчивости предприятия за 2006-2008 гг. отражена на рис. 2.

Рис. 2. Динамика удельных показателей финансовой устойчивости
Сравнивая значения рассчитанных коэффициентов с нормативными, можно сделать следующие выводы:
Значение коэффициента автономии (Ка) ниже нормативного, т.е. менее 50% финансовых ресурсов покрывается собственными ресурсами предприятия, но его рост говорит о благоприятной тенденции и показывает повышение финансовой независимости предприятия.
Коэффициент соотношения заемных и собственных средств (Кзс) превышает единицу, т.е. финансовая автономность и устойчивость предприятия достигает критической точки. Но его снижение в 2007 году свидетельствует об уменьшении зависимости предприятия от привлеченных заемных средств и росте его финансовой устойчивости.
Рост коэффициента маневренности (Км) говорит о росте степени мобильности (гибкости) использования собственного капитала.
Значение коэффициента обеспеченности предприятия собственными средствами (Кос) оптимально.
В 2006 году значение коэффициента реальных активов (Кра) соответствует нормативному, а его снижение в последующий период свидетельствует о потере производственной мощности предприятия.
В современных условиях анализ платежеспособности предприятия приобрел чрезвычайно актуальное значение. Понятие платежеспособности в большинстве случаев ассоциируется с понятием ликвидности, то есть способности превращения активов предприятия в деньги для целей оплаты своих долгов.
В общем случае платежеспособность оценивается отношением ликвидных оборотных активов предприятия к его краткосрочным долговым обязательствам [8, c. 241].
Оценка ликвидности предприятия предполагает сопоставление рассмотренных активов предприятия с погашением обязательств. Для этих целей рассчитываются соответствующие коэффициенты ликвидности:
- коэффициент абсолютной ликвидности (Кал) является наиболее «жестким» коэффициентом платежеспособности и показывает, какую часть краткосрочной задолженности предприятие может погасить в ближайшее время ;
- коэффициент быстрой ликвидности (Кбл), теоретически оправданные оценки которого находятся в пределах от 0,8 до 1;
- коэффициент текущей ликвидности (коэффициент покрытия) (Ктл)- оценивает общую ликвидность и показывает в какой мере текущие кредиторские обязательства обеспечиваются текущими активами, то есть, сколько денежных единиц текущих активов приходится на 1 денежную единицу текущих обязательств.
Динамика показателей ликвидности предприятия отображена на рис. 3.

Рис. 3. Динамика показателей ликвидности предприятия за 2006-2008 гг.
Из данных полученных видно, что при значительном росте кратковременных долговых обязательств (на 10786тыс.руб.), дебиторской задолженности (на 19162тыс.руб.) и запасов (на 1676тыс.руб.) предприятие за 2007 год заметно повысило коэффициент текущей ликвидности (с 1,42 до 1,9). Коэффициент абсолютной ликвидности за этот же период также увеличился, но все равно остается ниже нормы. Значение коэффициента быстрой ликвидности (Кбл) выросло за счет резкого увеличения дебиторской задолженности. В 2008году наблюдается незначительное снижение коэффициентов быстрой и текущей ликвидности. Приближение коэффициента текущей ликвидности к нормативному значению и увеличившийся коэффициент быстрой ликвидности свидетельствуют о повышении платежеспособности предприятия.
2.3 Оценка эффективности использования лизингового механизма в ООО «Прогресс-М»
Для лизинга характерно сложное сочетание комплекса договоров и возникающих при этом имущественных и финансовых отношений. Если проводить аналогию между лизингом, арендой и кредитом, то видно, что по своей экономической природе оперативный лизинг весьма схож с арендными отношениями, а финансовый – с кредитными (табл. 1).
Таблица 1
Взаимосвязь и отличия арендных и лизинговых отношений [16, c. 74]
| Основные параметры | Виды отношений | |
| Арендные | Лизинговые | |
| Субъекты отношений | Арендодатель и арендатор | Поставщик (изготовитель имущества), лизингодатель и лизингополучатель |
| Объекты отношений | Любое имущество, разрешенное в обороте, включая природные объекты | Имущество, используемое для предпринимательской деятельности, исключая природные объекты |
| Правовое отношение сторон | Имущественное двустороннее правоотношение | Коммерческое имущественное трехстороннее отношение |
| Отношения с продавцом имущества | Арендодатель (продавец), арендатор (покупатель) | Лизингодатель и лизингополучатель выступают солидарными покупателями имущества у продавца |
| Ответсвенность наймодателя за качество имущества | За качество имущества отвечает арендодатель | Лизингодатель не отвечает за качество имущества, кроме случаев, когда он сам выбирает продавца |
| Обязанности наймодателя | Как у собственника имущества | Инвестирование лизинговой деятельности |
| Уведомление продавца о цели приобретения имущества | Не производится | Лизингодатель указывает цель передачи имущества в лизинг конкретному лизингополучателю |
| Право собственности на имущество | Если предусматривается, то в форме купли-продажи | |
| Риск случайной гибели имущества | Несет арендодатель | Несет лизингополучатель |
| Страхование имущества | Имущество страхует арендодатель | Имущество страхует лизингополучатель |
| Расторжение договора по вине пользователя | Прекращение арендных платежей, кроме выплаты неустойки | Не освобождает лизингополучателя от полного погашения долга за весь договорный период |
| Спрос и предложения на имущество | Учитывает расчет платежей за пользование имуществом | Цену имущества, процентную ставку, срок договора, его остаточную стоимость и др. |
Оперативный лизинг характеризуется более коротким временем передачи машин или оборудования в аренду по сравнению с нормативными сроками их службы, в связи с чем лизингодатель вынужден многократно сдавать его во временное пользование. Отсюда оперативный лизинг, на наш взгляд, практически есть не что иное, как хорошо всем известная форма аренды, которая уже давно широко используется в строительстве.
Но следует помнить, что понятия «лизинг» и «аренда» полностью не совпадают.
Финансовый же лизинг по своей сути схож с кредитом (табл. 2). Так, при лизинге собственник имущества, передавая его во временное пользование, в установленный срок получает его обратно, а за предоставленную услугу – соответствующее комиссионное вознаграждение. Это означает, что в лизинговой сделке присутствуют практически все элементы кредитных отношений. Различие состоит лишь в том, что при лизинге участники сделки оперируют не денежными средствами, а конкретным имуществом.
Таблица 2
Отличительные особенности использования кредитных и лизинговых механизмов [11, c. 188]
| Кредит | Лизинг |
| Инвестиции направляются на любую предпринимательскую деятельность | Инвестиции направляются на активизацию производственной деятельности, развитие и модернизацию мощностей |
| Контроль за целевым расходованием средств затруднен из-за отсутствия действенных инструментов | Гарантирован контроль за целевым использованием средств, так как в лизинг отдается конкретно оговоренное имущество (оборудование, машины и др.) |
| Необходима 100%-ная гарантия возврата кредита и процентов за его использование | Размер гарантий снижается на стоимость передаваемого в лизинг имущество, которое само является гарантией |
| Приобретенное имущество отражается на балансе предприятия, на него начисляется амортизация | Имущество отражается на балансе лизингодателя; начисляется ускоренная амортизация ( с коэффициентом 3) |
| Плата за кредит покрывается за счет полученных предприятием доходов, на которые начисляются все предусмотренные налоги | Лизинговые платежи (включаются в себестоимость продукции) снижают налогооблагаемую базу и стимулируют развитие производства |
В результате лизинг зачастую квалифицируют как товарный кредит, представляемый лизингодателем лизингополучателю в форме передаваемых в пользование основных фондов, и рассматривать его следует как одну из форм кредитования приобретения машин и оборудования, альтернативную традиционной банковской ссуде. Таким образом, важной стороной лизинга является то, что кредитование (инвестирование) лизингополучателя осуществляется не в денежной форме, а в товарной.
Это позволяет избежать как хищения, так и растраты денежных средств.
За лизингодателем сохраняется право собственника на весь период лизинга, которое переходит к лизингополучателю только после полной выплаты согласованного платежа по истечении срока договора.
Вся сумма лизинговых платежей у лизингополучателя относится на себестоимость производимой им продукции, что снижает налогооблагаемую базу.
Если амортизацию на лизинговое имущество начисляет лизингополучатель, то сумма лизинговых платежей относится на себестоимость выпускаемой им продукции, за вычетом части платежей, предназначенных для возмещения стоимости этого имущества [11, c. 192].
Экономическая эффективность использования лизингового механизма в сравнении с прямым кредитованием проиллюстрирована в таблице 3, из которой следует, что экономия денежных средств предприятия (лизингополучателя) за счет использования лизингового механизма составит: 2851,6 – 2138,0 = 713,6 тыс. руб.
Лизинг, в отличие от кредита, стимулирует эффективное использование основных средств и полностью исключает наличие не установленного оборудования, его нерациональное использование. А в случае банкротства предприятия, получившего оборудование по лизингу, лизингодатель вообще ничего не теряет.
Если кредитору для того, чтобы получить свои деньги, требуется пройти всю длительную процедуру банкротства, то принадлежащая лизингодателю высоколиквидная техника может быть им сразу продана или передана другому лизингополучателю.
Таблица 3
Экономическая эффективность использования лизингового механизма в сравнении с механизмом прямого кредитования
| Показатель | Кредит | Лизинг |
| Стоимость приобретаемого имущества | 1000,0 | 1000,0 |
| Сумма кредита для приобретения имущества, включая НДС, специальный налог (23%) и страхование имущества (2,5%) | 1255,0 | 1255,0 |
| Плаиа за кредит (процентная ставка по кредиту 40% годовых) | 1757,0 | 1757,0 |
| Налог на имущество (0,5%) | 13,2 | 13,2 |
| Амортизационные отчисления (14,3%) | 180,2 | 180,2 |
| Услуги лизинговой компании | - | 100,0 |
Налоги: - на пользование автомобильными дорогами - на содержание жилого фонда |
30,4 57,2 |
30,4 57,2 |
| Общая сумма лизинговых платежей, включаемых в себестоимость продукции лизингополучателя | - | 2138,0 |
| Минимальная прибыль, необходимая покупателю имущества для погашения кредита и выплаты процентов по нему | 1511,0 | - |
| Налоги на прибыль, которые необходимо заплатить покупателю для обеспечения оплаты кредита и части процентов за пользование им | 813,6 | - |
| Общая сумма выплат, произведенных покупателем имущества через кредитный механизм | 2851,6 | - |
| Экономическая эффективность (затраты средств покупателем имущества при пользовании схемой соответсвенно традиционного кредитования и лизингового механизма, в %) | 133,4 | 100 |
Лизинговый механизм имеет преимущества и в объемах гарантий, необходимых для инвесторов: при кредитном варианте инвестор требует 100%-ной гарантии возврата средств и процентов по кредиту, в то время как при реализации лизингового процесса требования инвестора к гарантиям могут быть снижены до 40% в зависимости от схемы лизинга и условий лизингового контракта.
Расчета среднегодовых (остаточных) стоимостей лизинга и состава лизинговых платежей (на примере экскаватора ЭО-3323А) Под лизинговыми платежами понимается общая сумма, выплачиваемая лизингополучателем лизингодателю за предоставленное ему право пользования имуществом - предметом договора. В лизинговые платежи включаются: амортизация лизингового имущества за весь срок действия договора лизинга, компенсация платы лизингодателя за использованные им заемные средства, комиссионное вознаграждение, плату за дополнительные услуги лизингодателя, предусмотренные договором лизинга, а также стоимость выкупаемого имущества, если договором предусмотрен выкуп и порядок выплат указанной стоимости в составе лизинговых платежей.
В связи с тем, что с уменьшением задолженности по кредиту, полученному лизингодателем для приобретения имущества - предмета договора лизинга, уменьшается и размер платы за используемые кредиты, а также уменьшается и размер комиссионного вознаграждения лизингодателю, если ставка вознаграждения очень часто устанавливается сторонами в процентах к непогашенной (несамортизированной) стоимости имущества, целесообразно осуществлять расчет лизинговых платежей в следующей последовательности:
1. Рассчитываются размеры лизинговых платежей по годам, охватываемым договором лизинга.
2. Рассчитывается общий размер лизинговых платежей за весь срок договора лизинга как сумма платежей по годам.
3. Рассчитываются размеры лизинговых взносов в соответствии с выбранной сторонами периодичностью взносов, а также согласованными ими методами начисления и способом уплаты [17, c. 139].
При оперативном лизинге, когда срок договора меньше одного года, размеры лизинговых платежей определяются по месяцам.
1) Расчет общей суммы лизинговых платежей осуществляется по формуле:
ЛП = АО + ПК + КВ + ДУ + НДС, где (1)
ЛП - общая сумма лизинговых платежей;
АО - величина амортизационных отчислений, причитающихся лизингодателю в текущем году;
ПК - плата за используемые кредитные ресурсы лизингодателем на приобретение имущества - объекта договора лизинга;
КВ- комиссионное вознаграждение лизингодателю за предоставление имущества по договору лизинга;
ДУ - плата лизингодателю за дополнительные услуги лизингополучателю, предусмотренные договором лизинга;
НДС - налог на добавленную стоимость, уплачиваемый лизингополучателем по услугам лизингодателя.
Если лизингополучатель является малым предприятием, в общую сумму лизинговых платежей налог на добавленную стоимость не включается.
2) Амортизационные отчисления (АО) рассчитываются по формуле:
АО = БС х На / 100, где (2)
БС - балансовая стоимость имущества - предмета договора лизинга, млн. руб.;
На - норма амортизационных отчислений, процентов.
Балансовая стоимость имущества определяется в порядке, предусмотренном действующими правилами бухгалтерского учета.
В соответствии с "Временным положением о лизинге", утвержденным Постановлением Правительства Российской Федерации от 29.06.95 Nо. 633, стороны договора лизинга по взаимному соглашению вправе применить механизм ускоренной амортизации с коэффициентом не выше 3 [3, c. 90].
3) Расчет платы за используемые кредитные ресурсы.
Плата за используемые лизингодателем кредитные ресурсы на приобретение имущества - предмета договора производится по формуле:
ПК = КР х СТк / 100, где (3)
ПК - плата за используемые кредитные ресурсы, млн. руб.;
СТк - ставка за кредит, процентов годовых.
При этом имеется в виду, что в каждом расчетном году плата за используемые кредитные ресурсы соотносится со среднегодовой суммой непогашенного кредита в этом году или среднегодовой остаточной стоимостью имущества - предмета договора:
КРt = Q х (OCn +OСk) / 2, где (4)
КРt - кредитные ресурсы, используемые на приобретение имущества, плата за которые осуществляется в расчетном году, млн. руб.;
OCn и OCk - расчетная остаточная стоимость имущества соответственно на начало и конец года, млн. руб.;
Q - коэффициент, учитывающий долю заемных средств в общей стоимости приобретаемого имущества. Если для приобретения имущества используются только заемные средства, то Q =1.
4) Расчет комиссионного вознаграждения лизингодателю
Комиссионное вознаграждение может устанавливаться по соглашению сторон в процентах:
а) от балансовой стоимости имущества - предмета договора;
б) от среднегодовой остаточной стоимости имущества.
В соответствии с этим расчет комиссионного вознаграждения осуществляется по формуле (5а):
КВt = p x БС, где (5а)
p - ставка комиссионного вознаграждения, процентов годовых от балансовой стоимости имущества;
БС - то же, что и в формуле (2);
или по формуле 5(б)
КВt = (ОСн + ОСк)/2 х СТв/100, где (5б)
ОСн и ОСк - то же, что и в формуле (4);
Ств - ставка комиссионного вознаграждения, устанавливаемая в процентах от среднегодовой остаточной стоимости имущества - предмета договора.
5) Расчет платы за дополнительные услуги лизингодателя, предусмотренные договором лизинга в расчетном году производится по форм
уле:
ДУт = ( Р1 + Р2 + …Рн ) / Т, где (6)
ДУт - плата за дополнительные услуги в расчетном году, млн. руб.;
Р1, Р2 ... Рn - расход лизингодателя на каждую предусмотренную договором услугу, млн. руб.;
Т - срок договора, лет.
6) Расчет размера налога на добавленную стоимость, уплачиваемого лизингодателем по услугам договора лизинга производится по формуле:
НДСt = Вt х СТn / 100, где (7)
НДСt - величина налога, подлежащего уплате в расчетном году, млн. руб.;
Вt - выручка от сделки по договору лизинга в расчетном году, млн. руб.;
СТn - ставка налога на добавленную стоимость, процентов.
В сумму выручки включаются: амортизационные отчисления, плата за использованные кредитные ресурсы (ПК), сумма вознаграждения лизингодателю (КВ) и плата за дополнительные услуги лизингодателя, предусмотренные договором (ДУ):
Вт = АОt + ПКt + КВt + ДУt (8)
Состав слагаемых при определении выручки определяется законодательством о налоге на добавленную стоимость и инструкциями по определению налогооблагаемой базы.
7) Расчет размеров лизинговых взносов при их уплате равными долями с оговоренной в договоре периодичностью
Расчет размера ежегодного лизингового взноса, если договором предусмотрена ежегодная выплата, осуществляется по формуле:
ЛВг = ЛП / Т, где (9)
ЛВг - размер ежегодного взноса, млн. руб.;
ЛП - общая сумма лизинговых платежей, млн. руб.;
Т - срок договора лизинга, лет.
Расчет размера ежеквартального лизингового взноса, если договором лизинга предусмотрена ежеквартальная выплата, осуществляется по формуле:
ЛВк = ЛП / Т / 4, где (10)
ЛВк - размер ежеквартального лизингового взноса, млн. руб.;
ЛП и Т - то же, что и в формуле (9).
Расчет размера ежемесячного лизингового взноса, если договором предусмотрена ежемесячная выплата, осуществляется по формуле:
ЛВм = ЛП / Т / 12, где (11)
ЛВм - размер ежемесячного лизингового взноса, млн. руб.;
ЛП и Т - то же, что и в формуле (9) [3, c. 148].
Таблица 4
Исходные данные
| Наименование и марка строительной машины | Экскаватор ЭО-3323А | |
| Цена приобретения машины. | Тыс.руб | 250 |
| Значение кредитной ставки. | % | 18 |
| Значение ставки комисионных выплат. | % | 19 |
| Значение платы за дополнительные услуги. | Тыс.руб | 4,8 |
| Полезная продолжительность службы | лет | 5 |
Таблица 5
Расчет среднегодовых стоимостей лизинга и состава лизинговых платежей при линейном способе начисления амортизации (тыс.руб.)
| Годы | Стоимость имущества на начало года | Стоимость имущества на конец года | Среднегодовая стоимость имущества | Суммы | Всего | НДС | Лизинговые платежи | |||
| Амортизационных отчислений | Платежей за кредит | Комисионных выплат | Дополнительных услуг | |||||||
| Ао | ПК | КВ | ДУ | L | НДС | ЛП | ||||
| 1 | 2 | 4 | 5 | 2 | 3 | 4 | 5 | 6 | 7 | 8 |
| 1 | 250 | 200 | 225 | 50 | 40,5 | 42,75 | 4,8 | 138,05 | 27,61 | 165,66 |
| 30,2 | 24,4 | 25,8 | 2,9 | 16,7 | ||||||
| 2 | 200 | 150 | 175 | 50,0 | 31,5 | 33,3 | 4,8 | 119,6 | 23,9 | 143,46 |
| 34,9 | 22,0 | 23,2 | 3,3 | 16,7 | ||||||
| 3 | 150 | 100 | 125 | 50,0 | 22,5 | 23,8 | 4,8 | 101,1 | 20,2 | 121,26 |
| 41,2 | 18,6 | 19,6 | 4,0 | 16,7 | ||||||
| 4 | 100 | 50 | 75 | 50,0 | 13,5 | 14,3 | 4,8 | 82,6 | 16,5 | 99,06 |
| 50,5 | 13,6 | 14,4 | 4,8 | 16,7 | ||||||
| 5 | 50 | 0 | 25 | 50,0 | 4,5 | 4,8 | 4,8 | 64,1 | 12,8 | 76,86 |
| 65,1 | 5,9 | 6,2 | 6,2 | 16,7 | ||||||
Итого Тыс.руб |
- | - | 625 | 250,0 | 112,5 | 118,8 | 24,0 | 505,3 | 101,1 | 606,3 |
| итого % | - | - | - | 41,2 | 18,6 | 19,6 | 4,0 | - | 16,7 | - |
Проанализировать структуру лизинговых платежей по линейной схеме можно как по числовым данным (таблицы 4, 5), так и по графикам.
Диаграммы значений распределения лизинговых платежей приведены на рис. 4.


Рис. 4. Структуры лизинговых платежей
Лизинговая сделка, как видно из рис. 4, начинается с получения лизингодателем заявки от лизингополучателя на приобретение соответствующего имущества, т.е. на его покупку или сдачу во временное пользование. При этом в заявке обязательно указывается наименование имущества, его технические и экономические параметры, потенциальный поставщик, его местонахождение и др. инициатором лизинговой сделки, как правило, выступает лизингополучатель, которому необходимо то или иное производственное оборудование от конкретного производителя.
Вместе с заявкой (или после принятия ее к рассмотрению) лизингополучатель представляет лизингодателю все необходимые материалы, которые затем по инициативе лизингодателя проходят соответствующую проверку или экспертизу. По решению лизингодателя проведение экспертизы может быть поручено независимым экспертам. В задачи такой экспертизы входит, прежде всего, оценка финансового состояния лизингополучателя, а также определение спроса на имущество с целью изучения возможности его повторной сдачи или продажи в случае досрочного расторжения контракта. После принятия положительного решения о вступлении в сделку лизингодатель направляет наряд-заказ поставщику оборудования, который уведомляет лизингодателя как о его получении, так и о готовности выполнения. При этом в качестве поставщика оборудования или другого имущества может выступать предприятие-изготовитель, торговая организация, либо другое юридическое или физическое лицо [20, c. 86].
Основным документом лизинговой сделки является договор лизинга, который должен состоять из двух частей: договора между лизингодателем и поставщиком о купле-продаже оборудования и договора лизинга между лизингодателем и лизингополучателем.
Лизинг является эффективной формой финансирования расходов на приобретение основных средств. В соответствии с Федеральным законом "О финансовой аренде (лизинге)" от 29 октября 1998 г. № 164-ФЗ (в ред. Федерального закона от 29 января 2008 г. № 10-ФЗ) лизинговая деятельность - это вид инвестиционной деятельности по приобретению имущества и передаче его в лизинг. Лизинг - совокупность экономических и правовых отношений, возникающих в связи с реализацией договора лизинга, в том числе приобретением предмета лизинга.
В нашей стране любой из субъектов лизинга может быть резидентом или нерезидентом Российской Федерации, а также субъектом предпринимательской деятельности с участием иностранного инвестора, осуществляющим свою деятельность в соответствии с законодательством Российской Федерации
Лизинг позволяет предприятию использовать в денежном обороте средства другого предприятия на долгосрочной основе. Данная форма финансирования осуществляется через лизинговую компанию, приобретающую для третьего лица право собственности на имущество и отдающего его в аренду на определенный срок. Особую роль играет лизинг в техническом перевооружении предприятий.
Лизинг можно рассматривать как форму долгосрочного кредитования покупки. Поскольку лизинговая компания полностью оплачивает основные средства по поручению лизингополучателя за счет собственных средств, то к ней переходит право собственности на предмет покупки.
Для предприятия-арендатора необходимость привлечения к сделке лизинговой компании вызвана в основном отсутствием финансовых ресурсов для приобретения основных средств и сложностью получения долгосрочных ссуд. Лизинг стимулирует эффективное использование основных средств и полностью исключает наличие не установленного оборудования, его нерациональное использование, так как получаемый доход от эксплуатации предмета лизинга должен покрывать все расходы, включая арендную плату, и приносить прибыль.
Как показал опыт ООО «Прогресс-М», предприятие-лизингополучатель получает возможность пользоваться необходимым для него имуществом без единовременной мобилизации на эти цели собственных или привлеченных заемных средств. Лизингополучатель освобождается от единовременной полной оплаты стоимости имущества, что выгодно отличает лизинг от обычной купли-продажи.
Лизинг может открывать доступ к нужному имуществу, как в случае каких-либо кредитных ограничений, так и при невозможности привлечения для этих целей заемных средств.
Также выявлена простота получения имущества по лизингу, в сравнении с банковской ссудой на его приобретение, так как лизинговое имущество выступает в качестве залога.
Проведенные расчеты показывают, что лизинг - более выгодный способ приобретения оборудования по сравнению с его покупкой за счет полученного кредита или собственных средств. Так, экономия денежных средств предприятия (лизингополучателя) за счет использования лизингового механизма в сравнении с прямым кредитованием составит 713,6 тыс. руб.
Таким образом, можно сделать вывод, что лизинг, как метод долгосрочного инвестирования может быть достаточно выгоден для ООО «Прогресс-М» по сравнению с другими формами инвестирования в основные производственные фонды.
лизинг финансовый предприятие
СПИСОК ИСПОЛЬЗОВАННОЙ ЛИТЕРАТУРЫ
1. Федеральный закон РФ от 29 октября 1998 г. №164-Ф3 «О финансовой аренде (лизинге)» (в редакции Федерального закона от 29.01.2006 г. №10-ФЗ)
2. Методические рекомендации по расчету лизинговых платежей, утвержденные Минэкономики России 16 апреля 2008 г.
3. Адамов Н.А., Тилов А.А. Лизинг. – СПб.: Питер, 2009. - 436 с.
4. Бубенцова В. В. Лизинговые операции // Финансы и кредит. - 2007. - №3. - с. 10 – 14.
5. Газман В.Д. Ценообразование лизинга: Учеб. пособие для вузов. М.: Изд. Дом ГУ ВШЭ, 2008. - с. 221.
6. Зубарева Л.В. Лизинг как метод инвестирования: Учебное пособие для студентов – М.: Финансы и инвестиции, 2007. - 457 с.
7. Карп М.В., Шабалин Е.М., Эриашвили Е.Д., Истомин О.Б. - Лизинг. Экономические и правовые основы. – М.:Юнити-Дана, 2005.
8. Ковалева А.М. Финансовый менеджмент: Учебник. – М.: ИНФРА-М, 2007. – 284 с.
9. Селезнева Н.Н., Ионова А.Ф. Финансовый анализ. Управление финансами: Учеб. пособие для вузов. - 2-е изд., перераб. и доп. - М.: ЮНИТИ-ДАНА, 2008. - 639 с.
10. Степанова И.С. Экономика предприятия: Учебник - 3-е изд., доп. и перераб. – М.: Юрайт-Издат, 2007. - 620 с.
11. Коршунова Н.М. Лизинг: экономические и правовые основы: Учеб. пособие для вузов / Карп М.В., Шабалин Е.М., Эриашвили НД, Истомин О. Б.; - 2-е изд., перераб. и доп. - М.: ЮНИТИ-ДАНА, 2006. - 191 с.
12. Кроливецкая Л. П., Белоглазова Г. Н. Банковское дело: Учебник для вузов. – СПб.: Питер, 2007.
13. Лещенко М.И. Основы лизинга: Учеб. пособие - М.: Финансы и статистика, 2008. -334 с.;
14. Лукин Е.В. Лизинг: бухгалтерский учет и налогообложение//Горячая линия бухгалтера. - 2006. - № 8. – с. 24-29.
15. Муфтиев Г.Г., Галиаскаров Ф.М.: Теоретические основы финансового менеджмента: Учебное пособие. – Уфа: УИ РГТЭУ, 2007.
16. Симонова М.Н. Аренда. Лизинг. Прокат -М.: Издат. -консультац. компания "Статус-Кво", 2007. -204 с.
17. Трушкевич Е.В., Трушкевич СВ. Лизинг: учебное пособие. - Мн: Амалфея, 2009. -224 с.
18. Шабашев В.А. Лизинг: основы теории и практики. Учебное пособие – М.: Издательство: КноРус, 2007.
19. Шеленков В. М. Учет лизинговых операций и анализ их эффективности: Учебник. – М., 2008. - 280 с.
20. Харитонова Ю.С. Договор лизинга. - М.: Юрайт-М, 2008. - 224 с.