| Скачать .docx |
Реферат: Фінансові аспекти сертифікації
ФІНАНСОВІ АСПЕКТИ СЕРТИФІКАЦІЇ
Основою розрахунків витрат на роботи з сертифікації є принципи:
- фактично виконані роботи з сертифікації, крім тих, що виконуються відповідно до чинного законодавства за рахунок державного бюджету, оплачуються за рахунок власних коштів підприємств, організацій, громадян, які звернулися із заявкою на проведення відповідних робіт, незалежно від прийнятих за їх результатами рішень;
- рівень рентабельності робіт з обов'язкової сертифікації не повинен перевищувати 20 % (у Росії – 35 %);
- технічний нагляд за сертифікованою продукцією (послугами) оплачується у розмірі фактичних витрат організацій, які виконують відповідні роботи;
- прибуток від робіт з обов'язкової сертифікації розподіляється в загально установленому порядку згідно з чинним законодавством.
До вартості робіт з сертифікації, обчисленої згідно з цими правилами, не включені видатки на відрядження та податок на додаткову вартість. Їх оплата здійснюється заявником додатково, відповідно до чинного законодавства. Середньо денний фонд заробітної плати фахівців, що виконують роботи з обов'язкової сертифікації, включаючи роботи з технічного нагляду за відповідністю сертифікованих об'єктів вимогам НД, нараховується виходячи з посадового окладу спеціаліста згідно з штатним розкладом і положенням про преміювання ОС чи ВЛ. При цьому він не повинен перевищувати неоподатковуваного мінімуму доходів громадян, установленого чинним законодавством.
Під час сертифікації продукції (послуг) оплаті підлягають:
- прийняття рішення за заявкою, включаючи визначення схеми сертифікації;
- відбір, ідентифікація зразків та їх випробування;
- оцінка стану виробництва (якщо це передбачено схемою сертифікації);
- аналіз одержаних результатів та прийняття рішення про видачу (або відмову щодо видачі) сертифіката відповідності;
- видача сертифіката відповідності та укладання ліцензійної угоди;
- здійснення технічного нагляду за сертифікованою продукцією (якщо це передбачено схемою сертифікації);
- коригувальні заходи в разі порушення відповідності продукції встановленим вимогам і неправильного застосування знака відповідності;
- інформація про результати сертифікації.
У загальному випадку сумарні витрати заявника В на сертифікацію конкретної продукції (послуги) обчислюються за формулою:
, (1)
де Вос - вартість робіт, виконаних ОС, у гривнях;
Взр - вартість зразків, відібраних у виробника для випробувань (для схем сертифікації, що включають випробування продукції), у гривнях;
Ввп - вартість випробувань продукції в акредитованій ВЛ, у гривнях;
Вся - вартість сертифікації системи якості (чи атестації виробництва), у гривнях;
Втнсj - вартість однієї перевірки, яка проводиться в рамках технічного нагляду за сертифікованою продукцією (послугою), у гривнях;
п - число перевірок, передбачених програмою технічного нагляду за сертифікованою продукцією;
Втнс - вартість однієї перевірки, яка проводиться в рамках технічного нагляду за відповідністю сертифікованої системи якості (атестованого виробництва) вимогам НД, у гривнях;
т - число перевірок відповідності сертифікованої системи якості (атестованого виробництва) вимогам НД, проведення яких передбачено програмою технічного нагляду;
Втр - видатки на відбір, ідентифікацію, упаковування і транспортування зразків до місця випробувань під час сертифікації, у гривнях;
Вв - вартість робіт, що виконуються під час обов'язкової сертифікації продукції, яка ввозиться.
Залежно від конкретної ситуації та визначеної схеми сертифікації у формулу для обчислення вартості робіт з сертифікації включають тільки ті елементи, які відповідають складу фактично проведених робіт.
Вартість робіт, що проводяться ОС, з сертифікації конкретної продукції (послуг) обчислюється за формулою:
, (2)
де tос — трудомісткість сертифікації конкретної продукції (послуг) за визначеною схемою сертифікації або сертифікації системи якості (атестації виробництва) для Вся , людино-день;
Т - середньоденна зарплата фахівця, у гривнях;
Кна - коефіцієнт, що враховує нарахування на заробітну плату (соцстрах, фонд зайнятості, фонд Чорнобиля та ін.) згідно з чинним законодавством, %;
Кнв - коефіцієнт накладних витрат, розрахований за даними бухгалтерського обліку за попередній місяць, %;
Р - рівень рентабельності, %.
Граничні нормативи трудомісткості та склад робіт, що проводяться ОС під час сертифікації конкретної продукції, наведені у таблиці 1.
Таблиця 1 - Склад і нормативи трудомісткості робіт, які виконуються ОС під час обов'язкової сертифікації конкретної продукції та оплачуються заявником
| Найменування робіт | Граничні нормативи трудомісткості, людино-день |
Прийняття рішення за заявкою, у тому числі визначення схеми сертифікації Приймання, вхідний контроль та реєстрація заявки Розгляд документів, що додаються до заявки Попереднє ознайомлення зі станом виробництва продукції, що сертифікується Визначення схеми сертифікації Визначення організацій-співвиконавців робіт Підготовка рішення щодо заявки |
0,4 1,5 2,0 0,4 1,0 1,0 |
Відбір, ідентифікація зразків та їх випробуванняВідбір та ідентифікація зразків Аналіз протоколів випробувань |
1.0 1,0 |
Аналіз виробництва (якщо це передбачено схемою сертифікації) Обстеження виробництва Атестація виробництва Сертифікація системи якості |
Нормативи трудомісткості визначаються згідно з таблицею 6.3 з коефіцієнтом 0,5 Нормативи трудомісткості визначаються згідно з таблицею 6.4 Нормативи трудомісткості визначаються згідно з таблицею 6.3 |
| Аналіз одержаних результатів та прийняття рішення про видачу (про відмову щодо видачі) сертифіката відповідності | 1,0 |
Видача сертифіката відповідності та укладання ліцензійної угоди Здійснення технічного нагляду за сертифікованою продукцією Розробка програми технічного нагляду Проведення однієї перевірки з технічного нагляду, включаючи аналіз даних про якість сертифікованої продукції |
1,0 1,5 Розрахунок вартості проводиться відповідно до формули (6.3) |
Коригувальні заходи в разі порушення відповідності сертифікованої продукції встановленим вимогам та неправильного використання знака відповідності Призупинення дії сертифіката і дії ліцензійної угоди Інформування зацікавлених учасників сертифікації про призупинення Визначення термінів виконання коригувальних заходів Контроль виконання заявником коригувальних заходів Визначення нового маркування для розрізнення виробів до і після проведення коригувальних заходів Інформування зацікавлених учасників сертифікації про виконання коригувальних заходів |
0,4 1,0 1,0 2,0 1,0 0,4 |
Граничні нормативи трудомісткості та склад робіт, що проводяться ОС під час обов'язкової сертифікації послуг, наведені у таблиці 2.
витрата сертифікація продукція трудомісткість
Таблиця 2 - Склад і граничні нормативи трудомісткості робіт, що виконуються ОС під час обов'язкової сертифікації послуг та оплачуються заявником
| Найменування робіт | Граничні нормативи трудомісткості, людино-день |
Прийняття рішення за заявкоюПриймання, вхідний контроль і реєстрація заявки Розгляд документів, що додаються до заявки Попереднє ознайомлення з процесом надання послуги Визначення схеми сертифікації Підготовка рішення щодо заявки |
0,4 1,5 1,0 0,4 1,0 |
Проведення випробувань (перевірки) послугиВибіркова перевірка результатів послуги Оцінка майстерності виконавця Оцінка процесу надання послуги Сертифікація системи якості Атестація виробництва (підприємства) |
1,0 0,5 0,5 Нормативи трудомісткості визначаються згідно з таблицею 3 Нормативи трудомісткості визначаються згідно з таблицею 4 |
| Аналіз одержаних результатів і прийняття рішення про видачу (про відмову щодо видачі) сертифіката відповідності | 1,0 |
| Видача сертифіката відповідності та укладання ліцензійної угоди | 0,5 |
Технічний нагляд за сертифікованою послугоюВибір програми технічного нагляду Проведення однієї перевірки, включаючи аналіз даних про якість сертифікованої послуги |
1,0 Вартість робіт обчислюється відповідно до формули 3 |
| Інформація про результати сертифікації |
Граничні нормативи сумарної трудомісткості робіт, що проводяться ОС під час сертифікації систем якості у процесі обов'язкової сертифікації продукції (послуг), залежно від моделі системи якості та кількості працівників на підприємстві, наведені у таблиці 3.
Таблиця 3 - Граничні нормативи трудомісткості робіт ОС, що оплачуються заявником, під час сертифікації системи якості, яка проводиться в рамках обов'язкової сертифікації продукції та послуг
Кількість працівників на підприємстві, осіб |
Граничні нормативи трудомісткості, людино-день (1 група складності продукції) |
||
| Модель системи якості | |||
| ДСТУ ІSО 9001—95 | ДСТУ IS0 9002—95 |
ДСТУ IS0 9003—95 |
|
| до 100 | 15,0 | 10,0 | 10,0 |
| від 101 до 1000 | 28,0 | 23,0 | 16,0 |
| від 1001 до 5000 | 53,0 | 43,0 | 21,0 |
| від 5001 до 10000 | 68,0 | 58,0 | 28,0 |
| понад 10000 | 78,0 | 68,0 | 38,0 |
Для визначення граничних нормативів трудомісткості під час сертифікації систем якості продукції 2-ї та 3-ї груп складності до граничних нормативів, зазначених у таблиці 3, застосовуються відповідно до коефіцієнтів 1,5 та 2,0. Групи складності продукції — таблиця
Граничні нормативи сумарної трудомісткості робіт, що проводяться ОС під час атестації виробництв у процесі обов'язкової сертифікації продукції (послуг), залежно від складності продукції і виробництва, наведені у таблиці 4.
Таблиця 4 - Граничні нормативи трудомісткості робіт ОС, що оплачуються заявником, під час атестації виробництва, яка проводиться в рамках обов'язкової сертифікації продукції та послуг
Група складності виробництва 1) |
Граничні нормативи трудомісткості, людино-день |
||
| Група складності продукції 2) | |||
| 1 | 2 | 3 | |
| 1 | 27,0 | 30,0 | 35.0 |
| 2 | 35,0 | 39,0 | 51,0 |
| 3 | 45,0 | 52,0 | 55,0 |
| 4 | 53,0 | 55,0 | 66,0 |
| Примітка 1 За таблицею 5 | |||
| Примітка 2 За таблицею 6 | |||
Таблиця 5 - Групи складності виробництва
Група складностівиробництва |
Середня кількість технологічних операцій під час виготовлення продукції (надання послуги) |
1 2 3 4 |
до 200 від 201 до 2000 від 2001 до 5000 понад 5000 |
Під час обов'язкової сертифікації продукції, яка ввозиться в Україну, оплаті підлягають роботи, що фактично виконуються ОС залежно від складу поданих декларантом документів.
Найменування і граничні нормативи трудомісткості робіт щодо визнання зарубіжних сертифікатів на продукцію під час ввезення її в Україну наведені у таблиці 7.
Таблиця 6 - Групи складності продукції
| Група складності продукції | Види продукції |
| 1 | Матеріали (метали, сплави, будівельні матеріали тощо) Паливо Продукти нафтохімії, текстильні, шкіряні Елементи конструкцій І деталі машин Харчова сировина |
| 2 | Вироби загального машинобудівного призначення Інструмент Електро- і радіоелементи Меблі Одяг Взуття Харчові продукти |
| 3 | Машини, устаткування Транспортні засоби Прилади, засоби автоматики Радіоелектроніка Обчислювальна техніка |
Таблиця 7 - Найменування і граничні нормативи трудомісткості робіт з обов'язкової сертифікації продукції, що ввозиться
Найменування робіт |
Норматив трудомісткості, людино-день |
| Звірення зарубіжного сертифіката (знака) відповідності із зразками | 0,1 |
| Перевірка правомірності використання сертифіката (знака) відповідності щодо партії продукції, що ввозиться | 0,75 |
| Аналіз документів, що підтверджують безпечність продукції | 1,25 |
| Проведення випробувань | Оплата здійснюється на підставі договору за фактичними витратами згідно з програмою випробувань (з рівнем рентабельності у розрахунках вартості не більш як 25 %) |
Найменування і граничні нормативи оплати робіт, що можуть виконуватись під час проведення робіт щодо визнання зарубіжних сертифікатів на продукцію, яка ввозиться в Україну, наведені у таблиці 8.
Таблиця 8 - Найменування і граничні нормативи оплати робіт, які виконуються під час обов'язкової сертифікації продукції, що ввозиться, і оформлення сертифіката відповідності
Найменування робіт |
Одиниця виміру |
Норматив оплати |
| Підготовлення довідок (висновків) для органів митного контролю | Година | 4-Дmin |
| Переклад і підтвердження на автентичність перекладу документів, що підтверджують безпечність продукції | ум. друк. арк. | 8-Дmin |
| Догляд партії товару | Оплата здійснюється за тарифами, встановленими Державним митним комітетом України |
Вартість робіт Вв щодо визнання зарубіжних сертифікатів на продукцію, яка ввозиться в Україну, обчислюється за формулою:
(3)
де t вj - трудомісткість виконання j-ї роботи під час обов'язкової сертифікації продукції, яка ввозиться, людино-день;
s - число робіт, що проводяться ОС під час обов'язкової сертифікації продукції, яка ввозиться;
Вв - норматив оплати j-ї роботи, що проводиться ОС під час обов'язкової сертифікації продукції, яка ввозиться, у гривнях;
O pj -фактичний обсяг роботи j-го виду, проведеної під час обов'язкової сертифікації продукції, яка ввозиться;
z - кількість видів робіт, проведених під час обов'язкової сертифікації продукції, яка ввозиться.
У разі включення в одну вантажну митну декларацію декількох партій продукції, що розрізнюються за найменуванням (типом, маркою, артикулом), за країною походження, виробником і датою виготовлення, роботи з обов'язкової сертифікації оплачуються за кожною партією продукції. У цьому випадку для кожної партії продукції застосовуються нормативи, наведені у таблицях 7 та 8.
Під час виконання вищезазначених робіт у вихідні та святкові дні оплата провадиться згідно з чинним законодавством.
Вартість випробувань під час сертифікації продукції калькулюється акредитованою ВЛ на основі самостійно встановлених нормативів матеріальних і трудових витрат у чинних цінах і доводиться до відома зацікавлених сторін.
Оплата технічного нагляду здійснюється заявником. У разі залучення ОС для проведення технічного нагляду спеціалізованої організації її послуги оплачуються додатково, за рахунок коштів заявника.
Вартість технічного нагляду Втн разом з коригувальними заходами обчислюється за формулою:
(4)
де Ва - вартість робіт зі збору та аналізу даних про якість сертифікованої продукції (послуг) і проведення коригувальних заходів, у гривнях;
Внпi — вартість однієї перевірки, проведеної в рамках технічного нагляду, у гривнях;
i — число перевірок, проведених у рамках технічного нагляду протягом терміну дії сертифіката відповідності.
Вартість робіт зі збору та аналізу даних про якість сертифікованої продукції (послуг) обчислюється на основі фактичних трудовитрат з урахуванням вимог. Гранична нормативна трудомісткість коригувальних заходів наведена у табл. 1.
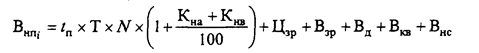
Вартість однієї перевірки, проведеної в рамках технічного нагляду за сертифікованою продукцією Внп , обчислюється за формулою:
(5)
де t п — термін перевірки, дні;
Цзр — вартість зразків, відібраних у продавця для проведення випробувань, у гривнях;
Вд — вартість відбору і доставки зразків до місця випробувань, у гривнях;
Вкв — вартість контрольних випробувань, у гривнях;
N — число членів комісії, що беруть участь у перевірці, осіб;
Внс —вартість нагляду за стабільністю умов виробництва (функціонування системи якості), у гривнях.
У формулу включають тільки елементи, які відображають витрати за фактично виконані роботи залежно від обраної схеми сертифікації, і підтверджуються відповідними документами.
Вартість зразків, відібраних у виробника, обчислюється за їх фактичною собівартістю. Якщо заявником надані зразки продукції для випробувань безкоштовно, вартість їх не враховується. Оплата зразків, відібраних у продавця, здійснюється відповідно з їх роздрібною ціною на підставі документів, що засвідчують факт купівлі.
Витрати на відбір і доставку зразків до місця випробувань включають фактичні видатки ОС на транспортування, вантажно-розвантажувальні роботи, зберігання та утилізацію, що підтверджується відповідними документами. Оплата контрольних випробувань здійснюється за тарифами відповідної ВЛ на основі відшкодування витрат. Вартість технічного нагляду за атестованим виробництвом (сертифікованою системою якості) обчислюється відповідно до таблиць 3 та 4.
Вартість однієї перевірки, проведеної у рамках технічного нагляду за сертифікованою послугою, обчислюється за формулою:
(6)
де Воп — вартість процедури опитування споживачів, у гривнях.
У формулу включають тільки елементи, які відображають витрати за фактично виконані роботи залежно від обраної схеми сертифікації і підтверджуються відповідними документами.
Під час проведення сертифікації від заявника на підставі укладеної ліцензійної угоди між ним та ОС береться плата за надання права на застосування сертифіката відповідності та маркування продукції знаком відповідності. Ліцензійні платежі встановлюються у розмірі 0,01 % від обсягу реалізованої сертифікованої продукції (без ПДВ та акцизного збору). Ліцензійні платежі перераховуються ліцензіатом на розрахунковий рахунок ОС відповідно до платіжних реквізитів, зазначених у ліцензійній угоді. У разі дострокового розірвання ліцензійних угод одержані ліцензійні платежі поверненню не підлягають.
Роботи з сертифікації продукції оплачуються заявником за договорами на проведення робіт, що укладаються з ОС продукції, ОС систем якості та ВЛ (центрами). Витрати заявника на проведення робіт з сертифікації продукції відносяться на собівартість продукції.