| Похожие рефераты | Скачать .docx |
Курсовая работа: Податок на додану вартість і його роль в формуванні доходів бюджету
Київський гуманітарний інститут
Факультет ЗФН
Спеціальність фінанси
Курсова робота
З дисципліни “Фінанси”
на тему:
Податок на додану вартість і його роль в формуванні доходів бюджету
Роботу виконала:
Студентка 3 курсу
Підвальна О.О.
Науковий керівник Сахно Л.С.
Біла Церква 2010 р.
Зміст
Вступ
Розділ 1. Теоретичні засади дослідження податку на додану вартість
1.1 Податковий облік податку на додану вартість5
1.2 Платники податку
1.3 Об’єкти оподаткування та операції, що не є об’єктом оподаткування або звільнені від оподаткування
1.4 База оподаткування
1.5 Ставка податку
1.6 Порядок визначення суми податку, що підлягає сплаті або відшкодуванню з бюджету
Розділ 2. Особливості оподаткування деяких операцій
2.1 Оподаткування при реалізації товару за договором комісії27
2.2 Оподаткування при придбанні товару за договором доручення
2.3 Оподаткування при використанні зворотної тари
2.4 Оподаткування при застосуванні векселів в якості оплати
2.5 Оподаткування при ліквідації основних засобів
2.6 Оподаткування туристичної діяльності
2.7 Сплата податку на додану вартість податковим векселем при імпорті продукції
Розділ 3. Роль податку на додану вартість в державний бюджет
3.1 Аналіз надходжень податку на додану вартість до зведеного бюджету України
Висновок
Література
Додатки
Вступ
Податок на подану вартiсть є однiєю з форм унiверсальних акцизiв, що набула свого розвитку в ХХ столiттi. На сьогоднi цей податок становить вагому частку в доходах бюджетiв багатих європейських країн. За своєю економiчною сугнiстю податок на додану вартiсть є непрямим податком, де об’єктом оподаткування є не дохід чи прибуток, а розмір витрат для кожного конкретного споживача товару, роботи чи послуги. Тому цей податок у соцiальному розумiннi вважається найнесправедливiшим.
Водночас при значних темпах росту суспiльного добробуту в бiльшостi країн свiту ця його вада втрачає своє значення. Головними стають його фiскальнi переваги, тобто регулярнiсть надходження до бюджету, простота обрахування, неможливiсть зникнення обєкта оподаткування [5].
Запровадження податку на додану вартiсть передбачає необхiднiсть визначення поняття доданої вартості, її складових. Доданою вважається вартiсть, що додається в процесі виробництва товару до вартостi сировини, матеріалів, палива на кожній стадії руху товарів від виробника до споживача.
Величина доданої вартості розраховується як різниця між вартістю продукції, що реалізується, і вартістю сировини і матеріалів, використаних у процесі їх виробництва. Додана вартість може бути розрахована також шляхом додавання складових елементів, що характеризують її структуру – заробітної плати з нарахуваннями на неї до фондів соціального забезпечення, прибутку, процентних платежів, амортизації.
Введення ПДВ потребує вибору методів його обчислення. У практиці обчислення ПДВ застосовується декілька методів, проте найпоширенішим є так званий кредитний. Він був прийнятий і в Україні. Суть цього методу полягає в тому, що сума податку, що пiдлягає сплатi до бюджету, визначається як різниця мiж сумою податку, отриманого вiд покупців, i сумою податку, сплаченого постачальникам матерiальних ресурсiв, спожитих в процесi виробництва.
Такий метод обчислення зобов’язань із податку на додану вартість має певні вади. Основна з них полягає у наявностi часового розриву між сплатою податку в ціні придбаних матеріальних ресурсів і відшкодуванням цієї суми після реалiзації виробленої підприємством продукції, оскільки сплаті до бюджету пiдлягає різниця. Величина цього розриву залежить від тривалості виробничого циклу i в деяких галузях може бути досить значною. Тут має значення також швидкість реалiзації продукції. Якщо виробнича продукцiя з тих чи iнших причин не реалізується, то підприємство не може вiдшкодувати податок на додану вартість, сплачений в ціні придбаних матеріальних ресурсів та основних фондiв, що спричиняє вимивання оборотних коштів.
В умовах недостатнього сукупного попиту на товари, або низької якості і конкурентноспроможності багатьох видів продукцiї, що ускладнює її реалізацію, ця вада податку досить суттєва i створює певні труднощі в його застосуванні. Проте переваги податку на додану вартість досить значнi. Він стимулює експорт, оскільки є внутрішнім податком, і обороти з експорту не оподатковуються. Він забезпечує стабільність податкових надходжень до бюджету, досить зручний у визначенні податкових зобов’язань.
Все це зумовило постійне зростання обсягу податку в доходах бюджетів багатьох країн [14].
Розмір ПДВ і його питому вагу в ВВП й доходах зведеного бюджету в Україні характеризують дані таблицi 1(Додаток 1).
Як свiдчать дані таблиці, останніми роками частка ПДВ у ВВП і доходах зведеного бюджету дещо скоротилася, однак вона становить нинi бiльш як п’яту частину доходiв зведеного бюджету, що й зумовлює його значення для держави в цiлому [5].
Розділ 1. Теоретичні засади дослідження податку на додану вартість
Одним із основних податків, які стягуються на території України безперечно вважається податок на додану вартість (Додаток 2) [6]. Цей податок вважається непрямим податком. Вперше цей податок було введено на території Франції. Цікавим є той факт, що він повинен був стримувати збільшення обсягів виробництва. На сьогодні ж в Україні цей податок вважається самим корумпованим податком. Найбільша кількість порушень, за статистикою Державної податкової служби, пов'язана саме з нарахуванням, сплатою, а особливо, відшкодуванням цього податку з бюджету. В державній податковій інспекції навіть створено спеціальний відділ по боротьбі з незаконним відшкодуванням податку на додану вартість. Всі ці аспекти роблять цей податок цікавим для аналізу та детального вивчення.
Основою для обліку податку є відповідний закон України "Про податок на додану вартість" № 168/97-ВР від 03.04.1997 р. з подальшими змінами та доповненнями. Цей Закон визначає платників податку на додану вартість, об'єкти, базу та ставки оподаткування, перелік неоподатковуваних та звільнених від оподаткування операцій, особливості оподаткування експортних та імпортних операцій, поняття податкової накладної, порядок обліку, звітування та внесення податку до бюджету [14].
1.1 Податковий облік податку на додану вартість
Облік податку на додану вартість здійснюють на підставі первинного документа — податкової накладної.
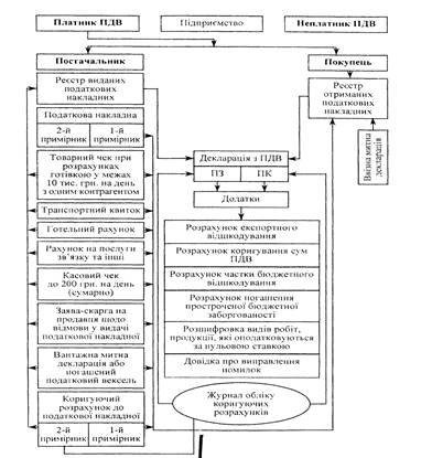
Аналітичний облік податку на додану вартість ведуть у Реєстрі виданих та отриманих податкових накладних. Записи операцій у первинних документах та реєстрі здійснюють одночасно. Тому слід контролювати ідентичність даних як у первинних документах, так і аналітичних реєстрах, оскільки розбіжності свідчитимуть про помилки. Процеси нарахування, сплати та відображення у відповідних документах сум ПДВ доцільно здійснювати за алгоритмом, наведеним в додатку 3.
Оскільки податковий кредит з ПДВ — це сума, на яку платник має право зменшити податкове зобов'язання з ПДВ, то ця обставина викликає посилену увагу з боку контролерів. Основним документом, що засвідчує право на податковий кредит є Податкова накладна. Але є випадки, коли за відсутності податкової накладної платник має право на податковий кредит. У додатку 4 систематизовано перелік таких документів.
У додатку 5 наведено особливості заповнення Реєстру без податкової накладної.
Слід зазначити, що після 31 березня 2005 р. збільшилася гранична сума розрахунків за товарними чеками, платіжними та розрахунковими документами з 20 грн. до 10 000 грн. Ця норма поширюється тільки на розрахунки готівкою. При безготівковому розрахунку сума податку, включена до складу податкового кредиту, завжди має підтверджуватися податковою накладною.
Обмеження 200 грн. (без ПДВ) за день поширюється тільки: на касові чеки, в яких не зазначено індивідуальний податковий номер продавця, але є фіскальний номер. На готельні рахунки, транспортні квитки, рахунки за послуги зв'язку, послуги за показаннями приладів обліку сумового обмеження немає.
Змінами у законодавстві передбачено, що платник ПДВ має право на податковий кредит не лише у разі відмови постачальника надати податкову накладну, а й при порушенні ним порядку її заповнення [6].
1.2 Платники податку
Платник податку - особа, яка зобов'язана здійснювати утримання та внесення до бюджету податку, що сплачується покупцем, або особа, яка імпортує товари на митну територію України.
До них відноситься будь-яка особа, яка:
а) здійснює або планує здійснювати господарську діяльність та реєструється за своїм добровільним рішенням як платник цього податку;
б) підлягає обов'язковій реєстрації як платник цього податку;
в) імпортує товари (супутні послуги) в обсягах, що підлягають оподаткуванню цим податком згідно з нормами цієї статті.
Згідно до Закону особа підлягає обов'язковій реєстрації як платник податку у разі, коли загальна сума від здійснення операцій з поставки товарів (послуг), у тому числі з використанням локальної або глобальної комп'ютерної мережі, що підлягають оподаткуванню згідно з цим Законом, нарахована (сплачена, надана) такій особі або в рахунок зобов'язань третім особам, протягом останнім 12 календарних місяців сукупно перевищує 300 000 грн. (без урахування податку на додану вартість) незалежно від того, який режим оподаткування використовує така особа згідно із законодавством. Також до цієї категорії осіб відносяться:
- особа, що уповноважена вносити консолідований податок з об'єктів оподаткування, що виникають внаслідок поставки послуг підприємствами залізничного транспорту з їх основної діяльності та підприємствами зв'язку, що перебувають у підпорядкуванні платника податку, в порядку, встановленому Кабінетом Міністрів України;
- особа, яка поставляє товари (послуги) на митній території України з використанням глобальної або локальної комп'ютерних мереж, при цьому особа-резидент може здійснювати таку діяльність тільки через своє постійне представництво, зареєстроване на території України;
- особа, що здійснює операції з реалізації конфіскованого майна, незалежно від того, чи досягає вона загальної суми операцій з поставки товарів (послуг) в розмірі 300 000 грн. чи ні, а також незалежно від того, який режим оподаткування використовує така особа згідно із законодавством;
- будь-яка особа, що імпортує (для фізичних осіб) - ввозить (пересилає) товари (супутні послуги) на митну територію України для їх використання або споживання на митній території України, незалежно від того, який режим оподаткування вона використовує згідно із законодавством, за винятком фізичних осіб, не зареєстрованих платниками податку, які ввозять (пересилають) товари (предмети) у супроводжувальному багажі або отримують їх як поштове відправлення у межах неторгового обороту в обсягах, що не підлягають оподаткуванню відповідно до митного законодавства (крім ввезення транспортних засобів чи запасних частин до них такими фізичними особами) та нерезидентів, які пересилають поштові відправлення згідно з правилами Міжнародного поштового союзу на митну територію України, та отримувачів таких поштових відправлень.
Будь-які інші особи мають право зареєструватися платником податку за своїм добровільним рішенням, за винятком фізичних осіб, які обрали сплату фіксованого чи єдиного податку за спрощеною системою оподаткування, обліку та звітності або здійснюють торгівлю на умовах сплати ринкового збору в порядку, встановленому законодавством [14].
1.3 Об’єкти оподаткування та операції, що не є об’єктом оподаткування або звільнені від оподаткування
Об'єктом оподаткування є операції платників податку з:
- поставки товарів та послуг, місце видання яких знаходиться на митній території України, втому числі операції з передачі права власності на об'єкти застави позичальнику (кредитору) для погашення кредиторської заборгованості заставодавця, а також з передачі об'єкта фінансового лізингу у користування лізингоотримувачу (орендарю).
Поставка товарів - будь-які операції, що здійснюються згідно з договорами купівлі-продажу, міни, поставки та іншими цивільно-правовими договорами, які передбачають передачу прав власності на такі товари за компенсацією незалежно від строків її поставки, а також операції з безоплатної поставки товарів та операції з передачі майна орендодавцем (лізингодавцем) на баланс орендаря (лізингоотримувача) згідно з договорами фінансової оренди (лізингу) або поставки майна згідно з будь-якими іншими договорами, умови яких передбачають відстрочення оплати та передачу права власності на таке майно не пізніше дати останнього платежу. Не належать до поставки операції з передачі товарів в межах договорів схову (відповідального зберігання), довірчого управління, оперативної оренди (лізингу), інших цивільно-правових договорів, які не передбачають передачу права власності (користування або розпорядження) на такі товари іншій особі.
Поставка послуг - будь-які операції цивільно-правового характеру з виконання робіт, результатом виконання яких є передача нематеріальних активів, надання послуг, надання права па користування або розпорядження товарами, у тому числі нематеріальними активами, а також з поставки будь-яких інших, ніж товари, об'єктів власності за компенсацією, а також операції з безоплатного виконання робіт, надання послуг. Поставка послуг, зокрема, включає надання права на користування або розпорядження товарами у межах договорів оренди (лізингу), поставки, ліцензування або інші способи передачі права на патент, авторське право, торговий знак, інші об'єкти права інтелектуальної, в тому числі промислової власності.
- ввезення товарів (супутніх послуг) у митному режимі імпорту або реімпорту (далі - імпорту). З метою оподаткування до імпорту також прирівнюється: ввезення з-за меж митного кордону України на митну територію України товарів (супутніх послуг) за договорами лізингу (оренди) (у тому числі у разі повернення об'єкта лізингу лізингодавцю- резиденту або іншій особі за дорученням такого лізингодавця), застави, та іншими договорами, які не передбачають передання права власності на такі товари (майно) або передбачають їх обмін на корпоративні права чи цінні папери, у тому числі якщо таке ввезення пов'язане із поверненням товарів у зв'язку з припиненням дії зазначених договорів; поставка товарів з території безмитних магазинів, інше.
- вивезення товарів (супутніх послуг) у митному режимі експорту або реекспорту (далі - експорту). З метою оподаткування до експорту товарів також прирівнюється: вивезення товарів (супутніх послуг) за межі митного кордону України за договорами фінансового лізингу, застави та іншими договорами, які не передбачають передання права власності на такі товари (майно) або передбачають їх обмін на корпоративні права чи цінні папери, у тому числі якщо таке вивезення пов'язане із припиненням дії зазначених договорів, тощо [12].
Не є об'єктом оподаткування операції з:
- випуску (емісії), розміщення в будь-якій формі управління та продаж (погашення, викупу) за кошти цінних паперів, обміну зазначених цінних паперів на інші цінні папери; розрахунково-клірингової, реєстраторської та депозитарної діяльності на ринку цінних паперів, а також діяльності з управління активами.
Ці норми не застосовуються до операцій з продажу бланків дорожніх,
банківських та особистих чеків, цінних паперів, розрахункових та платіжних документів, пластикових (розрахункових) карток;
- передачі майна у схов (відповідальне зберігання), а також у лізинг (оренду), крім передачі у фінансовий лізинг; повернення майна із схову (відповідального зберігання) його власнику, а також майна, попередньо переданого в лізинг (оренду) лізингодавцю (орендодавцю), крім переданого у фінансовий лізинг: нарахування та сплата процентів або комісій у складі орендного (лізингового) платежу у межах договору фінансового лізингу в сумі, що не перевищує подвійну облікову ставку Національного банку України, встановлену на день нарахування таких процентів (комісій) за відповідний проміжок часу, розраховану від вартості об'єкта лізингу, наданого у межах такого договору фінансового лізингу; по об'єкту фінансового лізингу, оціненого в іноземній валюті, сплата процентів, з метою оподаткування визначається у гривнях по курсу валют; визначеного Національним банком України на момент сплати; передачі майна у заставу (іпотеку) позикодавцю (кредитору) та/або у забезпечення іншої дійсної вимоги кредитора та його повернення, якщо місце такої передачі (повернення) знаходиться на митній території України;
- грошових виплат основної суми консолідованої іпотечної заборгованості та процентів, нарахованих на неї, об'єднання та/або купівлі (продажу) консолідованої іпотечної заборгованості, заміною однієї частки консолідованої іпотечної заборгованості на іншу, або поверненням (зворотним викупом) такої консолідованої іпотечної заборгованості відповідно до закону резидентом або на його користь;
- надання послуг із страхування в т.ч. із загальнообов'язкового соціального та пенсійного страхування, недержавного пенсійного забезпечення, залучення та обслуговування пенсійних вкладів;
- обігу валютних цінностей (у тому числі національної та іноземної
валюти), банківських металів, банкнот та монет Національного банку України, за винятком тих, що використовуються для нумізматичних цілей, базою оподаткування яких є продажна вартість; операції, пов'язані з випуском, обігом та погашенням білетів державних лотерей, запроваджених за ліцензією Міністерства фінансів України; виплати грошових виграшів, грошових призів і грошових винагород; прийняття ставок, у тому числі шляхом обміну коштів на жетони чи інші замінники гривні призначені для використання в гральних автоматах та іншому гральному устаткуванні, поставки негашених поштових марок України, конвертів або листівок з погашеними поштовими марками України, крім колекційних марок, конвертів чи листівок для філателістичних потреб, базою оподаткування яких є продажна вартість;
- надання послуг згідно п.3.2.5 Закону;
- оплата вартості державних платних послуг у вигляді зборів, державного мита тощо;
- виплат у грошовій формі заробітної плати, пенсій, стипендій, субсидій, дотацій, дивідендів, роялті у грошовій формі або у вигляді цінних паперів, які здійснюються емітентом;
- надання комісійних (брокерських, дилерських) послуг з торгівлі та/або управління цінними паперами корпоративними правами, деривативами та валютними цінностями, включаючи будь-які грошові виплати;
- поставки за компенсацію сукупних валових активів платника податку (з урахуванням вартості гудвілу) іншому платнику податку. Під цим слід розуміти поставку підприємства як окремого об'єкта підприємництва або включення валових активів підприємства чи його частини до складу активів іншого підприємства. При цьому підприємство-покупець набуває прав і обов'язків (є правонаступником) підприємства, що продає такі активи;
- безоплатної передачі у державну власність чи комунальну власність територіальних громад сіл, селищ, міст або у їх спільну власність об'єктів усіх форм власності, які перебувають на балансі одного платника податку і передаються на баланс іншого платника податку, якщо такі операції здійснюються за рішенням Кабінету Міністрів України, центральних та місцевих органів виконавчої влади, органів місцевого самоврядування, прийнятими у межах їх повноважень. Це положення поширюється на: операції з безоплатної передачі об'єктів з балансу платника податку, майно якого перебуває в державній або комунальній власності, на баланс іншої юридичної особи, майно якої перебуває відповідно в державній або комунальній власності; операції з безоплатної передачі неприватизованих об'єктів житлового фонду (включаючи місця загального користування та прибудинкові будівлі і споруди), а також об'єктів соціальної інфраструктури (в тому числі об'єкт їх незавершеного будівництва) з балансу платника податку на баланс юридичної особи, майно якої перебуває в державній або комунальній власності, чи безпосередньо на баланс відповідної місцевої ради;
- інші випадки, передбачені Законом [9].
Звільняються від оподаткування операції з:
- поставки вітчизняних продуктів дитячого харчування молочними кухнями та спеціалізованими магазинами і куточками, які виконують функції роздаточних пунктів, у порядку і за переліком продуктів, встановленими Кабінетом Міністрів України;
- поставки (передплати) періодичних видань друкованих засобів масової інформації та книжок, крім видань еротичного характеру, учнівських зошитів, підручників та навчальних посібників українського виробництва, словників українсько-іноземної або іноземно-української мови; доставки таких періодичних видань друкованих засобів масової інформації на митній території України;
- поставки послуг з виховання та освіти дітей дитячими музичними та художніми школами, школами мистецтв, будинками культури; послуг з дошкільного виховання, початкової, середньої, професійно-технічної та вищої освіти закладами, які мають спеціальний дозвіл (ліцензію) на поставку таких послуг, незалежно від їх організаційно-правового статусу та форми власності, згідно з переліком таких послуг, визначеним Кабінетом Міністрів України, а також послуг з розміщення учнів або студентів в інтернатах або гуртожитках;
- поставки товарів спеціального призначення для інвалідів за встановленим переліком;
- поставки послуг з виплати і доставки пенсій, а також грошової допомоги населенню, яка надається за рахунок бюджету відповідно до затверджених соціальних програм;
- поставки (у тому числі аптечними закладами) зареєстрованих та
і допущених до застосування в Україні лікарських засобів, виробів медичного призначення та послуг з охорони здоров'я (при наявності ліцензії) за переліком, що щорічно визначається Кабінетом Міністрів України до 1 вересня року, попереднього звітному. Якщо у такий строк перелік не встановлено, діє перелік минулого року; поставки путівок на санітарно-курортне лікування та відпочинок на території України фізичних осіб віком до 18 років;
- поставки в порядку та в межах норм, встановлених Кабінетом Міністрів України, послуг з: утримання дітей у дошкільних закладах, школах-інтернатах, кімнатах-розподільниках установ Міністерства внутрішніх справ України;
утримання осіб у будинках для престарілих та інвалідів; харчування та облаштування на нічліг осіб, які не мають житла, у спеціально відведених для цього місцях; харчування дітей у школах, професійно-технічних училищах та громадян у закладах охорони здоров'я; харчування, забезпечення речовим майном, комунально-побутовими та іншими послугами, що надаються спецконтингенту в установах пенітенціарної системи згідно з переліком, затвердженим Кабінетом Міністрів України;
- надання послуг з перевезення осіб пасажирським транспортом (крім
таксомоторів) у межах населеного пункту, тарифи на які регулюються органом місцевого самоврядування відповідно до його компетенції, визначеної законом. Це звільнення не поширюється на операції з надання пасажирського транспорту в оренду (прокат);
- подання благодійної допомоги, а саме безоплатна передача товарів (робіт, послуг) особам, визначеним як благодійні організації згідно до Закону
України "Про оподаткування прибутку підприємств" з метою їх безпосереднього використання у благодійницьких цілях, а також операції з безоплатної передачі таких товарів (робіт, послуг) набувачам (суб'єктам) благодійної допомоги відповідно до законодавства. Під безоплатною передачею слід розуміти поставку товарів (робіт, послуг) набувачам благодійної допомоги без будь-якої грошової, матеріальної або інших видів компенсацій їх вартості з боку таких отримувачів або інших осіб. Порушення цього правила прирівнюється до навмисного ухилення від оподаткування особою, яка надає такі товари і (послуги). Не підлягають звільненню від оподаткування операції з
подання благодійної допомоги у вигляді товарів (робіт, послуг), оподатковуваних акцизним збором, цінних паперів, нематеріальних активів та товарів (робіт, послуг), призначених для використання у господарській діяльності, а також тих, що ввозяться на митну територію України, крім товарів, які підпадають під дію міжнародних договорів.
- оплати вартості фундаментальних досліджень, науково-дослідних і дослідницько-конструкторських робіт особою, яка безпосередньо отримує такі кошти з рахунку Державного казначейства України.
- поставки товарів (крім підакцизних товарів та тих, що підпадають під визначення 1-24 груп УКТ ЗВД та послуг (крім грального та лотерейного бізнесу), які безпосередньо виготовляються підприємствами та організаціями і громадських організацій інвалідів, майно яких є їх власністю, де кількість інвалідів, які мають там основне місце роботи, становить протягом попереднього звітного періоду не менше 50 відсотків загальної чисельності працюючих, і за умови, що фонд оплати праці таких інвалідів становить протягом звітного періоду не менше 25 відсотків суми загальних витрат на оплату праці, що відносяться до складу валових витрат виробництва.
- інші випадки, передбачені Законом.
Підприємство має право займатися різними видами діяльності, які передбачені статутом та не суперечать діючому законодавству. При цьому один вид діяльності може оподатковуватись або звільнятися від оподаткування. В такому випадку підприємство зобов'язане вести окремо податковий облік оподатковуваних та неоподатковуваних операцій [11].
1.4 База оподаткування
База оподаткування операцій з поставки товарів (послуг) визначається виходячи з їх договірної (контрактної) вартості, визначеної за вільними цінами, але не нижче за звичайні ціни, з урахуванням акцизного збору, ввізного мита, інших загальнодержавних податків і зборів (обов'язкових платежів) за винятком податку на додану вартість, що включається до ціни товарів (послуг), згідно із законами України з питань оподаткування. До складу договірної (контрактної) вартості включаються будь-які суми коштів, вартість матеріальних і нематеріальних активів, що передаються платнику податку безпосередньо покупцем або через будь-яку третю особу у зв'язку з компенсацією вартості товарів (послуг). Податок розраховується за наступною формулою:
ПДВ = ПВ*Спдв,
де ПВ - продажна вартість без ПДВ;
Спдв - ставка податку.
У разі поставки товарів (робіт, послуг) без оплати або з частковою оплатою їх вартості коштами у межах бартерних (товарообмінних) операцій, здійснення операцій з безоплатної передачі товарів (робіт, послуг), натуральних виплат у рахунок оплати праці фізичним особам, що перебувають у трудових відносинах з платником податку, передачі товарів (робіт, послуг) у межах балансу платника податку для невиробничого використання, витрати на яке не відносяться до валових витрат виробництва (обігу) і не підлягають амортизації, а також пов'язаній з продавцем особі чи суб'єкту підприємницької діяльності, який не зареєстрований як платник податку, база оподаткування визначається виходячи з фактичної ціни операції, але не нижчої за звичайні ціни.
Для товарів, які імпортуються, базою оподаткування є договірна (контрактна) вартість таких товарів, але не менше митної вартості, зазначеної у ввізній митній декларації з урахуванням витрат на транспортування, навантаження, розвантаження, перевантаження та страхування до пункту перетину митного кордону України, сплати брокерських, агентських, комісійних та інших видів винагород, пов'язаних з ввезенням (пересиланням) таких товарів, плати за використання об'єктів інтелектуальної власності, що належить до таких товарів, акцизних зборів, ввізного мита, а також інших податків, зборів (обов'язкових платежів), за винятком податку на додану вартість, що включаються у ціну товарів (робіт, послуг) згідно із законами України з питань оподаткування. Визначена вартість перераховується в українські гривні за валютним (обмінним) курсом Національного банку України, що діяв на кінець операційного дня, що передує дню, в якому товар (товарна партія) вперше підпадає під режим митного контролю відповідно до митного законодавства.
Податок розраховується за наступною формулою;
ПДВ = (МВ+НВ М+А) • Спдв,
де МВ - митна вартість в грн.;
НВ - накладна витрати, пов'язані з імпортом (транспорт, вантажні послуги тощо), грн.;
М - мито, грн.;
А - акцизний збір (при імпортуванні підакцизних товарів);
Спдв - ставка податку.
Для послуг, які поставляються нерезидентами з місцем їх надання на митній території України, базою оподаткування є договірна (контрактна) вартість таких робіт (послуг) з урахуванням акцизного збору, а також інших податків, зборів (обов'язкових платежів), за винятком податку на додану вартість, що включаються у ціну поставки робіт (послуг) згідно із законами України з питань оподаткування. Визначена вартість перераховується в українські гривні за валютним (обмінним) курсом Національного банку України, що діяв на кінець операційного дня, що передує дню, в якому було складено акт, який засвідчує факт отримання послуг.
Якщо після поставки товарів (послуг) здійснюється будь-яка зміна суми компенсації їх вартості, включаючи наступний за поставкою перегляд цін, перерахунок у випадках повернення товарів особі, яка їх надала, суми податкових зобов'язань та податкового кредиту постачальника та отримувача підлягають відповідному коригуванню.
Якщо внаслідок такого перерахунку відбувається зменшення суми компенсації на користь платника податку - постачальника, то:
а) постачальник відповідно зменшує суму податкових зобов'язань за наслідками податкового періоду, протягом якого був проведений такий перерахунок, та надсилає отримувачу розрахунок відкоригованого значення податку;
б) отримувач відповідно зменшує суму податкового кредиту за наслідками такого податкового періоду у разі, якщо він є зареєстрованим як платник податку на дату проведення коригування, а також збільшив податковий кредит у зв'язку з отриманням таких товарів (послуг).
Якщо внаслідок такого перерахунку відбувається збільшення суми компенсації на користь платника податку - постачальника, то:
а) постачальник відповідно збільшує суму податкових зобов'язань за наслідками податкового періоду, протягом якого був проведений такий перерахунок, та надсилає отримувачу розрахунок відкоригованого значення податку;
б) отримувач відповідно збільшує суму податкового кредиту за наслідками такого податкового періоду у разі, якщо він є зареєстрованим як платник податку на дату проведення перерахунку.
Зменшення суми податкових зобов'язань платника податку-постачальника при зміні компенсації вартості товарів (послуг), наданих особам, які не були платниками цього податку на момент такої поставки, дозволяється лише:
а) при поверненні раніше поставлених товарів у власність постачальника з наданням отримувачу повної грошової компенсації їх вартості;
б) при перегляді цін, пов'язаних з гарантійними замінами товарів [8].
1.5 Ставка податку
На сьогодні законодавчо встановленні дві ставки для нарахування
податку на додану вартість:
-20%;
- 0 %.
Об'єкти оподаткування, за винятком операцій, звільнених від оподаткуванння, та операцій, до яких застосовується нульова ставка оподатковуються за ставкою 20 відсотків.
При цьому закон встановлює вичерпний перелік операцій, до яких застосовується нульова ставка податку на додану вартість. До них відносяться операції з:
- експорту товарів та супутніх такому експорту послуг. Товари вважаються експортованими платником податку в разі, якщо їх експорт засвідчений належно оформленою митною вантажною декларацією;
- поставки для заправки або постачання морських (океанських) суден, що використовуються для навігаційної діяльності, перевезення пасажирів або вантажів за плату, іншої комерційної, промислової або риболовецької діяльності, здійснюваної за межами територіальних вод України; використовуються для рятування або подання допомоги у нейтральних або територіальних водах інших країн; входять до складу військово-морських сил України та відправляються за межі територіальних вод України, у тому числі на якірні стоянки;
- поставки для заправки або постачання повітряних суден, що виконують міжнародні рейси для навігаційної діяльності чи перевезення пасажирів або вантажів за плату; входять до складу військово-повітряних сил України та відправляються за межі повітряного кордону України, у тому числі у місця тимчасового базування; поставки для заправки (дозаправки) та постачання космічних кораблів, а також супутників;
- поставки товарів (робіт, послуг) підприємствами роздрібної торгівлі, які розташовані на території України у зонах митного контролю (безмитних магазинах), відповідно до порядку, встановленого Кабінетом Міністрів України:
- поставки транспортних послуг залізничним, автомобільним, морським та річковим транспортом по перевезенню пасажирів, багажу та вантажобагажу (товаробагажу) за межами державного кордону України;
Нульова ставка податку не застосовується, якщо товари (супутні послуги), що експортуються, звільняються від оподаткування.
Особливу увагу необхідно приділити визначенню місця поставки товарів або послуг що експортуються. Ці умови регламентуються п. 6.4. та 6.5. Закону | України "Про податок на додану вартість" [14].
1.6 Порядок визначення суми податку, що підлягає сплаті або відшкодуванню з бюджету
Відповідно до закону підприємство має можливість при певних умовах обрати для себе податковий період який буде дорівнювати календарному місяцю або календарному кварталу.
Звітний (податковий) період - період, за який платник податку зобов'язаний проводити розрахунки податку та сплачувати його до бюджету. Основна маса платників повинна застосовувати місячний період. Хто ж має право обрали для себе квартальний період?
Платник податку, обсяг оподатковуваних операцій якого за минулі дванадцять місячних податкових періодів не перевищує 300000,00 грн. може вибрати квартальний податковий період. Заява про вибір квартального податкового періоду подається податковому органу разом з декларацією за наслідками останнього податкового періоду календарного року. При цьому квартальний податковий період починає застосовуватися з першого податкового періоду наступного календарного року. У разі якщо протягом будь-якого періоду з початку застосування квартального податкового періоду обсяг оподатковуваних операцій платника податку перевищує зазначену суму, такий платник податку зобов'язаний самостійно перейти на місячний податковий період починаючи з місяця, на який припадає таке перевищення, що зазначається у відповідній податковій декларації за наслідками такого місяця.
Протягом обраного податкового періоду платник веде облік податкового кредиту та податкового зобов'язання.
Податкове зобов'язання - загальна сума податку, одержана (нарахована) платником податку у звітному (податковому) періоді.
Датою виникнення податкових зобов'язань із поставки товарів (робіт, послуг) вважається дата, яка припадає на податковий період, протягом якого відбувається будь-яка з подій, що сталася раніше:
- або дата зарахування коштів від покупця (замовника) на банківський рахунок платника податку як оплата товарів (робіт, послуг), що підлягають поставці, а в разі поставки товарів (робіт, послуг) за готівкові кошти - дата оприбуткування в касі платника податку, а при відсутності такої-дата інкасації готівкових коштів у банківській установі, що обслуговує платника податку;
- або дата відвантаження товарів, а для робіт (послуг) - дата оформлення документа, що засвідчує факт виконання робіт (послуг) платником податку.
Датою виникнення податкових зобов'язань у разі поставки товарів (робіт, послуг) з оплатою за рахунок бюджетних коштів є дата надходження таких коштів на поточний рахунок платника податку або дата отримання відповідної компенсації у будь-якому іншому вигляді, включаючи зменшення заборгованості такого платника податку за його зобов'язаннями перед таким бюджетом.
Датою виникнення податкових зобов'язань при імпорті товарів є дата подання митної декларації із зазначенням у ній суми податку, що підлягає сплаті. Датою виникнення податкових зобов'язань при імпортуванні робіт (послуг) є дата списання коштів з розрахункового рахунку платника податку в оплату робіт (послуг), або дата оформлення документа, що засвідчує факт виконання робіт (послуг) нерезидентом залежно від того, яка з подій відбулася першою.
Попередня (авансова) оплата вартості товарів (супутніх послуг), які експортуються чи імпортуються, не змінюють значення податкового кредиту або податкових зобов'язань платника податку - відповідно такого експортера або імпортера.
З 1 липня 2005 р. підприємство має право вибрати касовий метод податкового обліку при умові, що протягом останніх дванадцяти календарних місяців мала оподатковувані поставки, вартість яких не перевищує 300 000,00 грн. Порядок реєстрації та застосування регламентується п.7.3.9- Закону. Основою застосування цього методу є те, що зобов'язання платника податку нараховуються за датою отримання коштів за товари, роботи, послуги. Платник податку, що обрав касовий метод обліку, не має права його застосовувати до імпортних та експортних операцій та операцій з поставки підакцизних товарів.
Застосування касового методу зупиняється з податкового періоду, наступного за податковим періодом, протягом якого платник податку приймає самостійне рішення про перехід до загальних правил визначення дати виникнення податкових зобов'язань та податкового кредиту чи досягає обсягу оподатковуваних операцій, що перевищує 300 000.00 грн.
Податковий кредит - сума, на яку платник податку має право зменшити податкове зобов'язання звітного періоду. Податковий кредит звітного період складається із сум податків, нарахованих (сплачених) платником податку протягом такого звітного періоду у зв'язку з:
- придбанням або виготовленням товарів (у тому чисті при їх імпорті) та послуг з метою їх подальшого використання в оподатковуваних операціях у межах господарської діяльності платника податку;
- придбанням (будівництвом, спорудженням) основних фондів (основних засобів, у тому числі інших необоротних матеріальних активів та незавершених капітальних інвестицій в необоротні капітальні активи), у тому числі при їх імпорті, з метою подальшого використання у виробництві та/або поставці товарів (послуг) для оподатковуваних операцій у межах господарської діяльності платника податку.
Якщо у подальшому такі товари (послуги) починають використовуватися в операціях, які не є об'єктом оподаткування або звільняються від оподаткування, чи основні фонди переводяться до складу невиробничих фондів, то з метою оподаткування такі товари (послуги), основні фонди вважаються проданими за їх звичайною ціною у податковому періоді, на який припадає початок такого використання або переведення, але не нижче ціни їх придбання (виготовлення, будівництва, спорудження).
Не включається до складу податкового кредиту та відноситься до складу валових витрат сума податку, сплачена платником податку при придбанні легкового автомобіля (крім таксомоторів), що включається до складу основних фондів.
Сума податку, нарахована (сплачена) туристичним оператором у зв'язку з придбанням (створенням) туристичного продукту, не підлягає включенню до складу його податкового кредиту та включається до складу його валових витрат.
У разі коли товари (роботи, послуги), виготовлені та/або придбані, частково використовуються в оподатковуваних операціях, а частково - ні, до суми податкового кредиту включається та частка сплаченого (нарахованого) податку при їх виготовленні або придбанні, яка відповідає частці використання таких товарів (робіт, послуг) в оподатковуваних операціях звітного періоду.
Датою виникнення права платника податку на податковий кредит вважається дата здійснення першої з подій:
- або дата списання коштів з банківського рахунку в оплату товарів (робіт, послуг), дата виписки рахунку (товарного чека) - в разі розрахунків з використанням кредитних дебетових карток або комерційних чеків;
- або дата отримання податкової накладної, що засвідчує факт придбання платником податку товарів (робіт, послуг).
Право на включення суми податку на додану вартість до податкового кредиту надається лише при наявності первинного документа. До них відносять:
- податкову накладну;
- вантажно митну декларацію;
- касові чеки, які містять суму поставлених товарів (послуг), загальну суму нарахованого податку (з визначенням фіксального номера, але без визначення податкового номера постачальника). При цьому з метою такого нарахування загальна сума поставлених товарів (послуг) не може перевищувати 200 гривень за день (без урахування податку на додану вартість).
- транспортний квиток, готельний рахунок або рахунок, який виставляється платнику податку за послуги зв'язку, інші послуги, вартість яких визначається за показниками приладів обліку, що містять загальну суму платежу, суму податку та податковий номер продавця;
Податкова накладна має містити зазначені окремими рядками:
- порядковий номер податкової накладної;
- дату виписування податкової накладної;
- повну або скорочену назву, зазначену у статутних документах юридичної особи або прізвище, ім'я та по батькові фізичної особи, зареєстрованої, як платник податку на додану вартість;
- податковий номер платника податку (продавця, покупця);
- місце розташування юридичної особи або місце податкової адреси фізичної особи, зареєстрованої як платник податку на додану вартість:
- опис (номенклатуру) товарів (робіт, послуг) та їх кількість (обсяг, об'єм);
- повну або скорочену назву, зазначену у статутних документах отримувача:
- ціну поставки без врахування податку;
- ставку податку і відповідну суму податку у цифровому значенні;
- загальну суму коштів, які підлягають сплаті з урахуванням податку.
Податкова накладна виписується на кожну повну або часткову поставку товарів (робіт, послуг). У разі коли частка товару (робіт, послуг) не містить відокремленої вартості, перелік (номенклатура) частково поставлених товарів зазначається в додатку до податкової накладної у порядку, встановленому центральним органом державної податкової служби України, та враховується у визначенні загальних податкових зобов'язань. Платники податку повинні зберігати податкові накладні протягом строку, передбаченого законодавством для зобов'язань із сплати податків.
Податкова накладна видається платником податку, який поставляє товари (послуги), на вимогу їх отримувача, та є підставою для нарахування податкового кредиту. Як виняток з цього правила, підставою для нарахування податкового кредиту при поставці товарів (послуг) за готівку чи з розрахунками картками платіжних систем, банківськими або персональними чеками у межах граничної суми, встановленої Національним банком України для готівкових розрахунків, є належним чином оформлений товарний чек, інший платіжний чи розрахунковий документ, що підтверджує прийняті платежу постачальником від отримувача таких товарів (послуг), з визначенням загальної суми такою платежу, суми податку та податкового номера постачальника.
Таким чином платник податку по закінченні податкового періоду розраховує загальні суми податкового зобов'язання та кредиту. Платник податку веде реєстр отриманих та виданих податкових накладних у документальному або електронному вигляді за його вибором, у якому зазначаються порядковий номер податкової накладної, дата її виписки (отримання), загальна сума та сума нарахованого податку, а також реєстраційний номер платника податку продавця, який надав податкову накладну такому платнику податку. За наявності оригіналу податкової накладної не включення її до зазначеного реєстру не є підставою для відмови у зарахуванні суми податку, визначеної у такій податковій накладній, до складу податкового кредиту такого платника податку.
Сума податку, що підлягає сплаті або відшкодуванню за результатами податкового періоду визначається за формулою:
СП = ПЗ-ПК,
де: СП - сума податку, що підлягає сплаті або відшкодуванню;
ПЗ - податковий зобов'язання звітного періоду;
ПК - податковий кредит звітного періоду:
В разі отримання позитивного значення ця сума підлягає сплаті до бюджету у терміни, визначені для звітного податкового періоду.
В разі отримання негативного значення - ця сума підлягає бюджетному відшкодуванню. Бюджетне відшкодування - сума, що підлягає поверненню платнику податку з бюджету у зв'язку з надмірною сплатою податку у випадках, визначених Законом.
Платник податку може прийняти самостійне рішення про зарахування належної йому повної суми бюджетного відшкодування у зменшення податкових зобов'язань з цього податку наступних податкових періодів.
Зазначене рішення відображається платником податку у податковій декларації, яку він подає за наслідками звітного періоду, в якому виникає право на подання заяви про отримання бюджетного відшкодування згідно з нормами цієї статті.
При прийнятті такого рішення зазначена сума не враховується при розрахунку сум бюджетного відшкодування наступних податкових періодів. Платник податку, який має право на одержання бюджетного відшкодування та прийняв рішення про повернення повної суми бюджетного відшкодування, подає відповідному податковому органу податкову декларацію та заяву про повернення такої повної суми бюджетного відшкодування, яка відображається
у податковій декларації. При цьому платник податку в п'ятиденний термін після подання декларації податковому органу подає органу Державного казначейства України копію декларації, з відміткою податкового органу про її прийняття, для ведення реєстру податкових декларацій у розрізі платників. До декларації додаються розрахунок суми бюджетного відшкодування, копії погашених податкових векселів (податкових розписок), у разі їх наявності, та оригіналів п'ятих основних аркушів (примірників декларанта) вантажних митних декларацій, у разі наявності експортних операцій. Протягом 30 днів, наступних за днем отримання податкової декларації, податковий орган проводить документальну невиїзну перевірку (камеральну) заявлених у ній даних. За наявності достатніх підстав вважати, що розрахунок суми бюджетного відшкодування було зроблено з порушенням норм податкового законодавства, податковий орган має право протягом такого ж строку провести позапланову виїзну перевірку (документальну) платника для визначення достовірності нарахування такого бюджетного відшкодування.
Такі особи не мають права на отримання бюджетного відшкодування:
а) особа, яка була зареєстрована як платник цього податку менш ніж 12 календарних місяців до місяця, за наслідками якого подається заява на бюджетне відшкодування, та/або мала обсяги оподатковуваних операцій за останні 12 календарних місяців менші, ніж заявлена сума бюджетного відшкодування (крім нарахування податкового кредиту внаслідок придбання або спорудження основних фондів); не проводила діяльність протягом останніх 12 календарних місяців;
б) особа, яка є суб'єктом оподаткування за правилами, встановленими законодавством з питань спрощених систем оподаткування, що передбачають сплату цього податку у спосіб, відмінний від загального, встановленого цим Законом, або звільнення від такої сплати.
Зведені результат обліку відображаються у податкових деклараціях, форма і порядок заповнення яких визначаються відповідно до закону [14].
Розділ 2. Особливості оподаткування деяких операцій
2.1 Оподаткування при реалізації товару за договором комісії (консигнації)
У випадках коли платник податку здійснює діяльність з поставки товарів,
отриманих у межах договорів комісії (консигнації), поруки, доручення, довірчого управління, інших цивільно-правових договорів, що уповноважують такого платника податку (далі - комісіонера) здійснювати поставки товарів від імені та за дорученням іншої особи (далі - комітента) без передання права власності на такі товари, базою оподаткування є продажна вартість цих товарів, визначена у порядку, встановленому цим Законом. Датою збільшення податкових зобов'язань комісіонера є дата, визначена законом як перша подія, а датою збільшення суми податковою кредиту комісіонера є дата перерахування коштів на користь комітента або поставки останньому інших видів компенсації вартості зазначених товарів. При цьому датою збільшення податкових зобов'язань комітента є дата отримання коштів або інших видів компенсації вартості товарів від комісіонера.
Комісія передбачає передачу товару від комітента комісіонеру для подальшої реалізації. При цьому не переходить право власності на товар від комітента до комісіонера. При цьому зобов’язання у комітента виникають лише після отримання коштів.
Розглянемо приклад:
Приклад 1
ТОВ "А " - комітент в квітні передає ТОВ "В " комісіонеру для реалізації товар на суму 600 тис. гри. в т.ч. ПДВ. В травні ТОВ "В" отримало від ТОВ "А " кошти за реалізований товар в сумі 360 тис. грн.
Відображення операцій в обліку див. у таблиці 2.1.
Таблиця 2.1
Комісійна винагорода, що підлягає сплаті комісіонеру, визначена в розмірі 2% від реалізованого товару
| Місяць | Зміст операції | Бухгалтерський запис | Сума, тис. грн. | ||
| Дебет | Кредит | ||||
| 1 | 2 | 3 | 4 | 5 | |
| Облік у комітента | |||||
| Квітень | Відвантаження товару | 28 “Товар на реалізації" | 28 "Товар на складі" | 600 | |
| Травень | Отримання коштів | 311 | 361 | 360 | |
| Відображається реалізація товару | 902 | 28 “Товар на реалізацію" | 600 | ||
| 361 | 7 02 | 600 | |||
| Нарахована комісійнавинагорода(360x2/100) | 93 | 685 | 7,2 | ||
| Облік у комісіонера | |||||
| Квітень | Отримано товар на реалізацію за договором комісії | 024 | 600 | ||
| Травень | Реалізовано комісійний товар | 024 | 360 | ||
| Перераховані кошти за товар комітенту | 631 | З11 | 360 | ||
| Оприбутковано товар | 28 | 631 | 300 | ||
| Відображено податковий кредит | 641 | 631 | 60 | ||
| Нарахована комісійна винагорода | 361 | 703 | 7,2 | ||
У випадках коли платник податку здійснює підприємницьку діяльність
з поставки вживаних товарів (комісійну торгівлю), що придбані в осіб, не зареєстрованих платниками податку, базою оподаткування є комісійна винагорода такого платника податку. Правила комісійної торгівлі та визначення комісійної винагороди встановлюється Кабінетом Міністрів України.
У разі коли платник податку експортує товари (супутні послуги) за межі митної території України, отримані від іншого платника податку на умовах комісії, консигнації, доручення або інших видів договорів, які не передбачають переходу права власності на такі товари (супутні послуги) від такого іншого платника податку до експортера, право на отримання бюджетного (експортного) відшкодування мас такий інший платник податку. При цьому комісійна винагорода, отримана платником податку - експортером від такого іншого платника податку, включається до бази оподаткування цим податком за ставкою 20% та не включається до митної вартості товарів (супутніх послуг), які експортуються [4].
2.2 Оподаткування при придбанні товару (послуг) за договором доручення
У разі коли платник податку (далі - повірений) здійснює діяльність з придбання товарів (робіт, послуг) за дорученням та за рахунок іншої особи (далі - довіритель), датою збільшення податкового кредиту такого повіреного є дата перерахування коштів (поставки в управління цінних паперів, інших документів, що засвідчують відносини боргу) на користь продавця таких товарів (робіт, послуг) або поставки інших видів компенсацій вартості таких товарів (робіт, послуг), а датою збільшення податкових зобов'язань є дата передання таких товарів (результатів робіт, послуг) довірителю. При цьому довіритель не збільшує податковий кредит на суму коштів (вартість цінних паперів, інших документів, що засвідчують відносини боргу), перерахованих (переданих) повіреному, але має право на збільшення податкового кредиту у податковий період отримання товарів (робіт, послуг), придбаних повіреним за його дорученням [14].
2.3 Оподаткування при використанні зворотної тари
Вартість тари, що згідно з умовами договору (контракту) визначена як зворотна (заставна), до бази оподаткування не включається. У разі коли протягом строків, установлених Кабінетом Міністрів України, але у строки не більше дванадцяти календарних місяців, з моменту отримання зворотної тари вона не повертається відправнику, вартість такої зворотної тари включається до бази оподаткування отримувача [3].
2.4 Оподаткування при застосуванні векселів в якості оплати (відстрочення)
облік податок доданий вартість
У разі коли платник податку здійснює операції з поставки товарів (послуг), які є об'єктом оподаткування згідно Закону, під забезпечення боргових зобов'язань покупця, надане такому платнику податку у формі простого або переказного векселя або інших боргових інструментів (далі - вексель), випущених таким покупцем або третьою особою, базою оподаткування є договірна вартість таких товарів (послуг), але не нижче за звичайні ціни без врахування дисконтів або інших знижок з номіналу такого векселя, а за процентними векселями - договірна вартість таких товарів (послуг), але не нижче за звичайні ціни, збільшена на суму процентів, нарахованих або таких, що мають бути нараховані на суму номіналу такого векселя.
У разі коли платник податку здійснює за згодою векселедержателя зустрічну поставку товарів (послуг) замість грошового погашення суми боргу, зазначеного у векселі, базою оподаткування є договірна вартість таких товарів (послуг), але не нижче за звичайні ціни без врахування дисконтів або інших знижок з номіналу такого векселя, а за процентними векселями - договірна вартість таких товарів (послуг), але не нижче за звичайні ціни, збільшена на суму процентів, нарахованих або таких, що мають бути нараховані на суму номіналу такого векселя.
Для цілей оподаткування згідно з Законом векселі (крім податкових векселів), видані або отримані, не вважаються засобом платежу та не змінюють суму податкового кредиту або податкового зобов'язання з цього податку, крім податкових векселів.
2.5 Оподаткування при ліквідації основних засобів
Якщо основні виробничі фонди або невиробничі фонди ліквідуються за самостійним рішенням платника податку чи безоплатно передаються особі, не зареєстрованій платником податку, а також у разі переведення основних фондів до складу невиробничих фондів така ліквідація, безоплатна передача чи переведення розглядаються для цілей оподаткування як поставка таких основних виробничих фондів або невиробничих фондів за звичайними цінами, що діють на момент такої поставки, а для основних фондів групи 1 - за звичайними цінами, але не менше їх балансової вартості.
Правила цього пункту не поширюються на випадки, коли основні виробничі фонди або невиробничі фонди ліквідуються у зв'язку з їх знищенням або зруйнуванням внаслідок дії обставин непереборної сили, в інших випадках, коли основні виробничі фонди або невиробничі фонди ліквідуються у зв'язку з їх знищенням або зруйнуванням внаслідок дії обставин непереборної сили, в інших випадках, коли така ліквідація здійснюється без згоди платника податку, втому числі в разі викрадання основних фондів, або коли платник податку надає органу державної податкової служби відповідний документ про знищення, розібрання або перетворення основного фонду іншими способами, внаслідок чого основний фонд не може використовуватися у майбутньому за первісним призначенням.
У разі коли внаслідок ліквідації основного фонду отримуються комплектуючі, складові частини, компоненти або інші відходи, які мають вартість, ліквідація таких комплектуючих, складових частин, компонентів або інших відходів проводиться за правилами, встановленими для ліквідації основного фонду.
2.6 Оподаткування туристичної діяльності
Туризм - тимчасовий від'їзд фізичної особи з місця постійного проживання на строк у межах України від 1 до 365 діб, включаючи день від'їзду та приїзду; за межі України від 1 до 183 діб, включаючи день від'їзду та приїзду. Не вважається туризмом від'їзд фізичної особи з місця постійного проживання з метою працевлаштування, внаслідок виконання професійних обов'язків, з іншими підприємницькими цілями або з метою зміни громадянства або отримання виду на проживання чи права на роботу в іншій країні або в сімейних справах.
Туристичний ваучер (путівка) - документ визначеної форми, що дає право туристу на отримання туристичної послуги або їх комплексу згідно з умовами письмового договору з туристичного або екскурсійного обслуговування.
Туристичний оператор - особа, що поставляє туристичний продукт від власного імені, має ліцензію на туроператорську діяльність та для якої цей вид діяльності є виключним відповідно до закону.
Туристичний агент-особа, що поставляє туристичний продукт від імені туристичного оператора та має ліцензію на турагентську діяльність відповідно до закону.
Туристичні послуги - послуги з розміщення у готелі (мотелі, кемпінгу, інших місцях тимчасового проживання), харчування, транспортного, ексурсійно-інформаційного та іншого туристичного обслуговування (включаючи послуги з страхування туристів) або їх комбінації.
Туристичний продукт-сукупність туристичних послуг, які придбаються туристичним оператором та поставляються туристу таким туристичним оператором або за його дорученням - туристичним агентом, за обов'язкової наявності туристичної послуги з розміщення туриста та якнайменше однієї іншої туристичної послуги. Для цілей нарахування ПДВ туристичний продукт вважається товаром.
Базою оподаткування при поставці туристичного продукту туристичним оператором на користь фізичних осіб, які безпосередньо споживають цей продукт, є винагорода такого туристичного оператора, а саме різниця між вартістю поставленого ним туристичного продукту (без урахування цього податку) та вартістю витрат, понесених таким туристичним оператором внаслідок придбання (створення) такого туристичного продукту (без урахування ПДВ).
При поставці туристичного продукту туристичним оператором на користь інших осіб базою оподаткування є вартість таких туристичних послуг (без урахування ПДВ).
Базою оподаткування для операцій, які здійснюються туристичними агентами, є комісійна винагорода, яка нараховується (виплачується) туристичним оператором на користь такого туристичного агента, у тому числі за рахунок коштів, отриманих останнім від споживача туристичного продукту.
Поставка туристичного продукту з місцем його надання на митній території України може здійснюватися виключно резидентом, який має відповідну ліцензію та відповідає вимогам чинного законодавства [14].
2.7 Сплата податку на додану вартість податковим векселем при імпорті продукції
Податковий вексель - це письмове безумовне грошове зобов'язання платника податку сплатити до бюджету відповідну суму коштів у порядку та терміни, визначені цим Законом, що підтверджене комерційними банками шляхом авалю, який видається платником на відстрочення сплати податку на додану вартість, що справляється при імпорті товарів на митну територію України. Протест податкового векселя не здійснюється, сума, зазначена у непогашеному векселі, розглядається як податкова заборгованість, яка погашається у порядку, передбаченому законодавством для погашення податкового боргу.
Тепер платники податку при імпорті товарів на митну територію України та при умові оформлення митної декларації (за винятком тимчасової чи неповної, періодичної чи попередньої декларацій) можуть за власним бажанням надавати органам митного контролю податковий вексель на суму податкового зобов'язання, один примірник якого залишається в органі митного контролю, другий надсилається органом митного контролю на адресу органу державної податкової служби за місцем реєстрації платника податку, а третій надається платнику податку. Податковий вексель підлягає обов'язковому підтвердженню комерційними банками шляхом авалю, які зобов'язані оплатити податковий вексель у разі його неоплати платником у строк.
Сума, зазначена у податковому векселі, включається до суми податкових зобов'язань платника податку у податковому періоді, на який припадає тридцятий календарний день з дня поставки такого податкового векселя органу митного контролю. При цьому податковий вексель вважається погашеним, а сума податку, визначена у векселі, окремо до бюджету не сплачується та враховується у розрахунках податкових зобов'язань за результатами податкового періоду, в якому податковий вексель погашено. Кабінет Міністрів України має право визначити більш довгі строки погашення податкового векселя для окремих видів діяльності, які мають сезонний характер або здійснюються з використанням довгострокових договорів. У наступному звітному (податковому) періоді сума, що була зазначена в податковому векселі, включається до складу податкового кредиту платника податку.
Розглянемо приклад:
Приклад 2
Таблиця 2.2
Відображення сплати ПДВ векселем при імпорті товарів
| № п/п | Зміст операції | Бухгалтерський запис | Сума | |
| Дебет | Кредит | |||
| 1 | 2 | 3 | 4 | 5 |
| 1. | Отримано товар від постачальника у квітні | 28 | 632 | 500 |
| 2. | Видано вексель на суму ПДВ (право на податковий кредит не виникає) | 644 | 621 | 100 |
| 3. | Відображено ПДВ у складі зобов'язань у травні | 643 | 641 | 100 |
| 4. | Відображаємо погашення векселя | 621 | 643 | 100 |
| 5. | Відображено податок у складі податкового кредиту за червень | 641 | 644 | 100 |
Платник податку може самостійним рішенням достроково погасити вексель шляхом перерахування коштів до бюджету або шляхом заліку суми бюджетного відшкодування, обов'язки з погашення податкового векселя не можуть передаватися іншим особам, податковий вексель не підлягає індосаменту; проценти або інші види плати за користування податковим векселем не нараховуються;
Дія цього пункту не поширюється на операції з імпортування на митну територію України підакцизних товарів та товарів, що відносяться до товарних груп 1 -24 Української класифікації товарів зовнішньоекономічної діяльності, а також на операції з імпортування на митну територію України будь-яких товарів що здійснюється особами, що були зареєстровані як платники цього податку менш ніж дванадцять календарних місяців до місяця, у якому здійснюється таке імпортування, чи тих, які є суб'єктами оподаткування за правилами, встановленими законодавством з питань спрощених систем оподаткування [9].
Розділ 3. Роль податку на додану вартість в державний бюджет
3.1 Аналіз надходжень податку на додану вартість до зведеного бюджету України
Україна переживає економічну кризу. Одним з головних чинників є податкова система. З одного боку, вона не забезпечує державу достатніми і надійними доходами, що породжує фінансову кризу держави на макрорівні, а з другого — підриває фінансову базу підприємницьких структур, чим вимовлює кризу в мікроекономічному середовищі.
З огляду на це, виникає потреба у глибокому аналізі способів мобілізації доходів держави, обґрунтування напрямків, форм і методів підвищення результативності її фінансової діяльності.
У країнах із розвинутою ринковою економікою державні доходи становлять значну частину валового внутрішнього продукту і мають величезний вплив на його перерозподіл і розширене відтворення.
У всіх постсоціалістичних економіках у період переходу до ринку частка державних доходів у ВВП стала зменшуватися. Також тенденція і спостерігалася в Україні. Питома вага доходів Зведеного бюджету у ВВП становила у 2004 році 43,5%, у 2005 році – 38,1%, у 2006 – 37,1%, у 2007 році – 29,4%, у 2008 році – 27,7%.
Світовий досвід підтверджує, що існують різні фінансові способи мобілізації доходів держави. У найзагальнішому вигляді їх поділяють на податкові й неподаткові. Однак на сучасному етапі найважливішу роль відіграє податкова діяльність.
Основним джерелом доходів бюджетів базового рівня є регулюючі доходи, перш за все — прибутковий податок з громадян, податок на прибуток підприємств, з прямих податків, та ПДВ, з непрямих податків.
Однак, як перелік регулюючих доходів, так і нормативи їх розподілу між державними і місцевими бюджетами постійно переглядаються.
Спочатку ПДВ був одним з основним регулюючих доходів місцевих бюджетів, а пізніше він став спрямовуватися до Державного бюджету України.
Державний бюджет України — це централізований фонд фінансових ресурсів держави, які використовуються для виконання покладених на неї функцій, передбачених Конституцією України. В організаційному аспекті бюджет — це план утворення і використання фінансових ресурсів, що знаходяться в розпорядженні держави.
Сукупність всіх бюджетів є Зведеним бюджетом України, який використовується для аналізу визначення засад державного регулювання економічного і соціального розвитку.
Як вже відомо, основним джерелом формування доходів Зведеного бюджету України виступають податки.
В 2008 році податкові надходження склали 76% доходів Зведеного бюджету України.
Із них податок на додану вартість складає 25% Зведеного бюджету України, податок на прибуток з підприємств 19%, прибутковий податок з громадян 12%, акцизний збір – 4%. Найбільшу частку займає ПДВ (1/4 частину Зведеного бюджету України).
Зупинимось детальніше на аналізі ПДВ в доходній частині Зведеного бюджету. В доходній частині бюджету України податок на додану вартість за період 2005 – 2008 років мав досить помітні коливання. З 2007 року надходження від податку на додану вартість зменшились, але залишається домінуючим.
З точки зору формування надходжень у бюджет податок на додану вартість серед непрямих податків займає перше місце. Це пов’язано з більшим переліком товарів, та з меншою залежністю від циклу економічної кон’юнктури. Більш детальніше зміни надходжень від ПДВ можна прослідкувати по таблиці 3.1.
Як видно з даних таблиці 3.1. протягом 2005 – 2007 років відбувалося постійне зростання надходжень від податку на додану вартість: у місцеві бюджети у 2005 – 2006 роках надходження склали відповідно 3004,4 млн. грн. (66,3%) і 3480,9 млн. грн. (55,7%), що помітно перевищує надходження до Державного бюджету: у 2005 році на 32,6%, а у 2006 році на 11,0%. У 2007 – 2008 роках надходження до Зведеного бюджету відбувалося вже тільки з Державного бюджету України. Хоча воно і забезпечило стовідсоткове надходження, але в 2008 році відбулося помітне зниження – на 782,2 млн. грн., менше ніж у попередньому році.
Таблиця 3.1
ПДВ у бюджетах України в 2005–2008 роках
| Показники | 2005 | 2006 | 2007 | 2008 |
| Зведений бюджет, млн. грн. в т. ч.: | 4529,9 | 6246,2 | 8242,3 | 7460,1 |
Державний бюджет всього у % до Зведеного бюджету України |
1525,5 33,7 |
2765,3 44,3 |
8242,3 100,0 |
7460,1 100,0 |
Місцеві бюджетивсього у % до Зведеного бюджету України |
3004,4 66,3 |
3480,9 55,7 |
— — |
— — |
Але, якщо враховувати індекс інфляції, реальні надходження як від податку на додану вартість, так і інших податків, постійно зменшуються. Такі дані свідчать насамперед про те, що в Україні зменшився обсяг виробництва, а також відбувається приховування податків, і не останнє місце займає той факт, що після прийняття нової редакції Закону України "Про податок на додану вартість" № 168/97-ВР від 03.04.1997 р. було прийнято ще десятки законів про внесення в нього змін та доповнень. За таких умов значна кількість платників цього податку майже автоматично поповнює кількість потенційних порушників, а отже значні суми не надходять до бюджету, через неможливість своєчасно простежити усі зміни та застосувати їх на практиці [6].
Висновок
Після розкриття теми “Податок на додану вартість та його роль у формуванні бюджету” та підводячи підсумки, можна зробити слідуючі висновки.
Податок на додану вартість, як і будь-який інший податок, має свої недоліки і переваги.
Основним недоліком податку на додану вартість, як непрямого податку, є те, що він закладається в ціну товарів і тим самим підвищує її, що спричиняє недоступність деяких товарів, які оподатковуються податком на додану вартість малозабезпеченим верствам населення. Аналіз чинного законодавства з податку на додану вартість засвідчив ще один істотний недолік — подвійне оподаткування. Такий факт має місце при оподаткуванні підакцизних товарів, коли в оподатковувану податком на додану вартість базу включається сума акцизного збору. Більше того, в Україні існує велика кількість місцевих податків і зборів, джерелом сплати яких є собівартість – одна із складових бази для нарахування податкового зобов’язання з податку на додану вартість. Очевидно, що в такий спосіб держава вирішує свої фіскальні інтереси, одночасно порушуючи задекларовані нею ж принципи податкової політики. Тобто додана вартість з метою оподаткування має бути максимально очищена від інших непрямих податків і платежів.
Широке застосування податку на додану вартість зумовлене чисельними його перевагами, серед яких найголовнішими є те, що оподаткуванню підлягає переважно дохід, який спрямовується на споживання; інша його частина значною мірою використовується на нагромадження, яке опосередковано стимулює процес інвестування.
Широка база оподаткування податком на додану вартість сприяє ваговому зростанню доходів держави від податків на споживання. У загальній системі податків та обов’язкових платежів податок на додану вартість посідає особливе місце і є одним з основних джерел доходної частини Зведеного бюджету України.
Вилучення податку на всіх етапах руху товарів сприяє рівномірному розподілу податкового тягаря між усіма суб’єктами підприємницької діяльності. Єдині ставки полегшують як обчислення податку безпосередньо для платників, так і контроль державних податкових органів за дотриманням платіжної дисципліни. В Україні на даний час встановлено дві ставки: 20% та 0%. Ставка 20% є домінуючою, нею оподатковуються переважна кількість робіт, послуг, товарів.
Встановлення нульових ставок на експортні товари створює позитивні передумови для збільшення його обсягу та підвищення конкурентноспроможності вітчизняних товарів на світовому ринку. Використання даної ставки означає повне відшкодування податку, сплаченого експортером за товари, послуги, матеріальні ресурси, що використовуються для здійснення експортних операцій.
Оподаткування власне доданої вартості, сплата податку пропорційно новоствореній вартості на відповідному етапі виробництва чи просування товарів наближають податок на додану вартість до прямих податків із точки зору прогресивності оподаткування.
А широке коло платників податку на додану вартість, які належать до різних галузей і форм господарювання, значною мірою визначає його універсальність.
Розглядаючи більш конкретно ставки податку на додану вартість, слід особливо звернути на два моменти. Перший – пов’язаний з розміром ставки. Спочатку її було встановлено на рівні 28%, її розмір перевищував усі допустимі межі. Тому рішення про доведення ставки податку на додану вартість до 20% є виправданим. Однак у сучасних умовах господарювання і такий розмір податкової ставки є завищеним. У період становлення ринкових відносин рівень оподаткування товарів народного споживання має бути поміркованішим.
Другий момент – визначається кількістю ставок, що використовуються. Встановлення єдиної ставки податку значно спрощує систему функціонування та обслуговування податку на додану вартість.
Якщо податок на додану вартість обчислюється за єдиною ставкою до всього споживання, то податок пропорційний споживанню, але регресивний стосовно річного доходу. Тому, щоб послабити таку регресивність бажано було б встановити нижчу ставку на ті товари, які споживаються низькоприбутковими групами населення і в той же час підвищити ставки на групи товарів і послуг, що споживаються переважно високодохідними групами населення. В результаті така диференціація ставок податок втрачає свою нейтральність із зменшенням регресивності [4].
У перспективі доцільно поступово переходити до диференційованої шкали ставок, керуючись принципами: товари першої необхідності – знижена ставка, товари розкоші – підвищена ставка, усі інші товари – стандартна ставка. Розмір ставок податку на додану вартість мають визначатися не лише бюджетними потребами, а й реальними доходами споживачів. Враховуючи скрутний фінансовий стан у державі, необхідно зазначити, що запровадження диференційованих ставок сьогодні буде малоефективним, оскільки зумовить зростання адміністративних витрат щодо обслуговування податку на додану вартість та значно ускладнить механізм його дії.
Діючим податковим законодавством України передбачено широку систему пільг з податку на додану вартість. Вірогідно, що перелік пільг продиктовано намірами соціальної справедливості. Звільнення того чи іншого товару, роботи, послуги від податку на додану вартість передбачає автоматичне зменшення його ціни на суму нарахованого податку. Зацікавлені в цьому і платники податку на додану вартість і його носії, оскільки у перших з’являється можливість завдяки зниженню цін збільшити обсяг реалізації продукції за кількісними параметрами, а для других істотно послаблюється податковий тиск. Отже, звільнення від податку на додану вартість має на меті два основних завдання. По-перше, захист інтересів малозабезпечених верств населення (соціально-політичні мотиви); по-друге, стимулювання випуску окремих видів товарів, робіт, послуг.
Разом з тим характерною рисою податку на додану вартість як із позиції фіскальної достатності, так і з позиції економічної ефективності є його здатність сприяти реальній оцінці вартості товарів. Тому широка система пільг щодо сплати податку на додану вартість є недостатньо економічно виправданою.
Таким чином, податок на додану вартість посідає значне місце в податковій системі України. Він має свої переваги та недоліки, як з фіскальних позицій, так і з огляду регулювання обсягів споживання. Завдання науки про податки полягає в подальшому вдосконаленні механізму справляння податку, що вимагає як високої податкової техніки, так і великих фінансових витрат. Як свідчить світовий досвід – це єдиний правильний шлях.
Література
1. Закон України “Про ПДВ”.
2. Закон України “Про систему оподаткування”.
3. Азаров М.Я. та ін. Все про податки: Довідник – К.: Експерт – Про, 2000. – 492с.
4. Василик О.Д., Павлюк К.В. Державні фінанси України.: Підручник – К.: Центр навчальної літератури, 2003. – 608с.
5. Василик О.Д. – Податкова система України.: Навч. посібник. – К.: ВАТ “Поліграф – книга ”, 2004. – 478с.
6. Ватуля І.Д., Ватуля М.І., Рибалко Л.В. Податки, збори, платежі. Навч. посібник. – К.: Центр навч. літератури, 2006. – 352с.
7. Гикиш Л.В. Финансы: Учебн. пособие. – 3- е изд., стереотип.- К.: МАУП, 2001. – 91с.
8. Золотько І.А. Податкова система.: Навч. посібник. – К.: КНЕУ, 2004. – 203с.
9. Колісник М.К., Алєксєєв І.В. Вівчір О.Й. та ін. Гроші і кредит: Навч. посібник. - Львів: Вид. Нац. університету “Львівська політехніка”, 2004. – 167с.
10. Литвиненко Я.В., Якушик І.Д. Податкові системи. Навч. посібник. – К.: МАУП, 2004. – 205с.
11. Опарін В.М. Фінанси: Навч. посібник. – 2- е вид.: доп. і переробл. – К. : КНЕУ, 2002. – 238с.
12. Романенко О.Р. Фінінси: Підручн. 2- е вид. Стереотип. – К: Центр навч. лі –ри, 2004. - 310с.
13.Финансы: Учебн. пособие/ Под ред. А.М. Ковалевой. – 4- е изд., перераб. и доп. – М.: – Финансы и статистика, 2000. – 381с.
14. Чернелевський Л. М., Редзюк Т.Ю. Податковий облік і контроль. Навч. посібн. – 2- е вид., переробл. і доп. – К.: Пектораль, 2006. – 316с.
15.Чугунов І.Я. Бюджетний механізм регулювання економічного розвитку. – К.: НІОС, 2003. – 485с.
Додаток 1
Таблиця 1
Динаміка ПДВ і його частка у ВВП і доходах зведеного бюджету України
| Показники | 2004 | 2005 | 2006 | 2007 | 2008 | 2009 |
| ВВП | 81519,0 | 92484,0 | 103869,0 | 127126,0 | 170000,0 | 220600,0 |
| Доходи зведеного бюджету | 23021,6 | 28112,0 | 28441,1 | 32512,3 | 49117,9 | 60812,1 |
| ПДВ | 6246,2 | 8242,3 | 7460,1 | 8399,5 | 9441,4 | 13471,2 |
| Частка ПДВ, % | ||||||
| У ВВП | 7,7 | 8,9 | 7,2 | 6,6 | 5,5 | 6,1 |
| У доходах зведеного бюджету | 27,1 | 29,3 | 26,2 | 25,8 | 19,2 | 22,1 |
Додаток 2
Таблиця 2
Податок на додану вартість
| з/п | Ознаки | Характеристики |
| 1 | Код податку | 14010000—14010600 |
| 2 | Платники податку | Згідно із ст. 2 Закону це будь-яка особа, яка: а) здійснює або планує здійснювати господарську діяльність та реєструється за своїм добровільним рішенням як платник цього податку; б) здійснює операції з реалізації конфіскованого майна; в) імпортує товари (супутні послуги) в обсягах, що підлягають оподаткуванню цим податком за нормами цієї статті, Застереження: — по-перше, незалежно від досягнутих обсягів поставки, обов'язковій реєстрації платником ПДВ підлягає особа, яка поставляє товари з використанням глобальної або локальних комп'ютерних мереж; — по-друге, обов'язковій реєстрації підлягає особа, яка імпортує товари на митну територію України, незалежно від того, який режим оподаткування вона використовує. Це не поширюється на фізичних осіб, які не є платниками ПДВ, але ввозять товари в межах неторгового обороту |
| 3 | База оподаткування | Операції з поставки товарів (послуг), вартість яких визначається виходячи з їх договірної (контрактної) вартості, визначеної за вільними цінами, але не нижче звичайної ціни, з урахуванням акцизного збору, ввізного мита, інших загальнодержавних податків та зборів (обов'язкових платежів) за винятком ПДВ, що включається до ціни товару. До складу договірної (контрактної) вартості включаються будь-які суми коштів, вартість матеріальних і нематеріальних активів, що передаються платнику податку безпосередньо покупцем або через будь-яку третю особу у зв'язку з компенсацією вартості товарів (послуг); по імпорту — договірна вартість, але не менше митної вартості з урахуванням витрат на транспортування, навантаження, розвантаження, перевантаження та страхування до пункту перетину митного кордону; вартість тари, що визнана договором як зворотна, але не повернута у визначені строки, що не перевищують 12 календарних місяців; залишкова вартість виробничих або невиробничих фондів, що ліквідуються за самостійним рішенням платника або передаються безоплатно особі, яка не зареєстрована платником податку на прибуток — така операція розглядається як поставка; у туристичній діяльності — комісійна винагорода (для турагентів), винагорода або вартість туристичних послуг (для туроператорів). |
| 4 | Ставки податку | 20 %; 0 % |
| 5 | Податковий період | Місяць; квартал Якщо обсяги поставки не перевищують 300 000 гри (без ПДВ), то платник ПДВ може вибрати квартальний період |
| 6 | Дата та форма декларування податку | Податкова декларація з податку на додану вартість. До 20 числа місяця, наступного після звітного періоду, при місячному податковому періоді; не пізніше 40 днів після звітного кварталу, при квартальному податковому періоді |
| 7 | Дата сплати податку | До 30 числа після звітного місяця; протягом 10 днів після граничного строку декларування податку |
| 8 | Джерело покриття податку | Сума податку включається у продажну ціну (непрямий податок) |
| 9 | Пільги | Довідник пільг №36 на 01.01.2006 р. — 110 пільг |
| 10 | Нормативне забезпечення | 1. Закон України «Про податок на додану вартість» від 03.04.1997 р. № 168/97-ВР (зі змінами та доповненнями); 2. Закон України «Про внесення змін до Закону України «Про Державний бюджет України на 2005 рік» та деяких інших законодавчих актів України» від 25.03.2005 р. № 2505-ІУ; 3.Закон України «Про внесення змін до деяких законів України» від 25.06.2005 р. 4. Закон України «Про внесення змін до Закону України «Про ПДВ» про оподаткування сільськогосподарських підприємств» від 18.12.2005 р. № 2987-ІУ. 5. Порядок заповнення та надання податкової декларації з ПДВ від 30.05.1997 р. № 166 у редакції від 15.06.2005 р. №213 6. Лист ДПА України «Щодо порядку відображення в податковому обліку з податку на прибуток підприємств сум ПДВ, сплаченого при придбанні легкових автомобілів» від 27.05.2005 р. № 14787/7/15-1117. 7. Лист ДПА України «Щодо визначення бази оподаткування ПДВ при реалізації основних фондів другої групи у період з 01.01.2005 р. по 31.03.2005 р. №23255/7/16-1517 |
Додаток 3

Рисунок 1.Документальне відображення розрахунків з ПДВ
Додаток 4
Таблиця 3
Документи, що дають право на податковий кредит без податкової накладної
| № | Документи | Обов'язкові реквізити в документі/ особливості заповнення | Примітки / обмеження | Норма Закону про ПДВ |
| 1 | Документи, якими оформляється поставка товарів (послуг) за готівку або з розрахунками картками платіжної системи, банківськими чеками, персональними чеками: • товарний чек; • платіжний або розрахунковий документ (касовий чек, чек із термінала тощо) |
1) загальна сума платежу; 2) сума податку; 3) податковий номер постачальника (ІПН) |
У межах граничної суми, установленої НБУ для готівкових розрахунків (10 тис. грн.) протягом одного дня з одним постачальником |
Абз. перший пп. 7.2.6 |
| 2 | Касовий чек | 1) загальна сума платежу; 2) сума податку; 3)фіксальний номер РРО (без визначення податкового номера постачальника (ІПН)) |
Загальна сума поставлених товарів (послуг) не може перевищувати 200 грн. на день (без ПДВ) | Абз. шостий пп. 7.2.6 |
| 3 | • транспортний квиток; • готельний рахунок; • рахунок за послуги зв'язку; • рахунок за інші послуги, вартість яких визначається за показанням приладів обліку (за даними водолічильників, електролічильників тощо) |
1) загальна сума платежу; 2) сума податку; 3) податковий номер постачальника (ІПН) (за винятком документів, форму яких установлено міжнародними стандартами) |
1) обмежень щодо суми немає; 2) якщо в готельному рахунку відсутні обов'язкові реквізити для податкового кредиту, їх можна «запозичити» з касового чека (який часто додасться до готельного рахунка) |
Абз. п'ятий пп. 7.2.6 |
| 4 | ВМД при імпорті товару | Оформлена згідно з вимогами законодавства | ВМД, яка підтверджує сплату ПДВ | Пп.7.2.7 |
| 5 | Заява зі скаргою | Складається відповідно до загальноприйнятих норм діловодства, якщо постачальник відмовився надати податкову накладну або заповнив її з порушеннями | Подається разом із декларацією за звітний податковий період (в якому має бути надано податкову накладну). До заяви додаються копії документів, що підтверджують факт сплати податку (товарний чек тощо) | Абз. другий та третій пп. 7.2.6 |
Додаток 5
Таблиця 4
Порядок заповнення реєстру за документами, не підтвердженими податковими накладними
| №з/п | Документи | Особливості заповнення деяких граф Реєстру отриманих ПН (розділ І) |
| 1 | • товарний чек • платіжний або розрахунковий документ |
Графа 2 «Дата отримання» — фактична дата отриманого документа (найчастіше іде дата авансового звіту); графа 3 «Номер» — номер документа (фіскальний номер касового чека, номер залізничного квитка, готельного рахунка, товарного чека, рахунка за послуги тощо); графа 4 «Назва постачальника» — із наданого документа переноситься до назви постачальника; графа 5 «ІПН постачальника» — переноситься із документа |
| • касовий чек | ||
• транспортний квиток • готельний рахунок • рахунок за послуги зв'язку • документи при наданні послуг, вартість яких визначається за показаннями приладів обліку |
||
| 2 | • ВМД при імпорті товарів | Графа 2 «Дата отримання» — дата оформлення ВМД; графа 3 «Номер» — номер ВМД з позначкою «ВМД» (ВМД № 002659); графа 4 «Назва постачальника» — зазначається не лише постачальник, а й країна нерезидента (Фірма «Троя», Росія); графа 5 «ІПН постачальника» — проставляється «X» |
| 3 | • заява зі скаргою | Заноситься окремо кожний документ, зазначений у заяві (аналогічно п.1 цієї табл.), що є підставою для включення сум податку до складу податкового кредиту |
Якщо документ є додатком до авансового звіту, до Реєстру потрібно занести окремо кожний документ, а не переносити до нього рядок «Авансовий звіт №» і проставляти загальну суму ПДВ.
Похожие рефераты:
Оподаткування сільськогосподарських товаровиробників в сучасних умовах розвитку економіки України
Оподаткування підприємств та його вплив на прийняття фінансово-господарських рішень
Адміністративна відповідальність за правопорушення у сфері податкового законодавства
Непрямі податки та їх вплив на фінансово-господарську діяльність підприємств
Розвиток теорії непрямого оподаткування
Форми і засоби міжнародно-правового співробітництва держав у сфері оподаткування
Сучасна податкова система розвинутих країн
Суть і основи організації фінансів підприємства
Вплив податкових пільг та штрафних санкцій на економіку України
Контроль за справлянням прямих та непрямих податків