| Скачать .docx |
Курсовая работа: Обоснование экономической эффективности создания "Салона красоты и здоровья Нифертити SPA+"
СОДЕРЖАНИЕ
1. РЕЗЮМЕ
1.1 Обзорная часть
1.2 Сведения о банковских счетах эмитента
1.3. Характеристика предприятия
1.4 Идея
2. ХАРАКТЕРИСТИКА ПРЕДПРИЯТИЯ И СТРАТЕГИЯ ЕГО РАЗВИТИЯ
3. АНАЛИЗ РЫНКОВ СБЫТА. СТАТЕГИЯ МАРКЕТИНГА
3.1. Описание рынка сбыта
4. ОРАГНИЗАЦИОННЫЙ ПЛАН
5. ФИНАНСОВЫЙ ПЛАН
5.1. Определение величины начального капитала
5.2. Выбор метода финансирования проекта
5.3. Планирование текущих расходов
5.4. Планирование текущих доходов
5.5 Планирование финансовых результатов
6. ОЦЕНКА ЭФФЕКТИВНОСТИ ПРОЕКТА
7. ФАКТОРЫ РИСКА
СПИСОК ИСПОЛЬЗОВАННОЙ ЛИТЕРАТУРЫ
ПРИЛОЖЕНИЯ 1 – 5
1. Резюме
1.1 Обзорная часть
а) Полное фирменное наименование организации: Общество с ограниченной ответственностью «Салон красоты и здоровья НИФЕРТИТИ SPA+»
Сокращенное фирменное наименование эмитента: ООО «НИФЕРТИТИ SPA+»
б) Место нахождения планируемого предприятия: Россия, Мурманская область, г. Кола
Адрес постоянно действующего исполнительного органа ООО:183025 г. Мурманск ул. К. Буркова 23а
в)Номера контактных телефонов ООО «НИФЕРТИТИ SPA+»: (8152) 44-34-37, (8152) 44-52-34; факс: (8152)44-47-41;
Адрес электронной почты: mitrohina nifertitispa@mail.ru
"Настоящий бизнес план содержит оценки и прогнозы уполномоченных органов управления планируемого предприятия касательно будущих событий и/или действий, перспектив развития отрасли экономики, в которой ООО планирует осуществлять основную деятельность, и результатов деятельности, в том числе планов, вероятности наступления определенных событий и совершения определенных действий. Инвесторы не должны полностью полагаться на оценки и прогнозы органов управления ООО, так как фактические результаты деятельности эмитента в будущем могут отличаться от прогнозируемых результатов по многим причинам.
I. Краткие сведения о лицах, входящих в состав органов управления,
сведения о банковских счетах, об аудиторе, оценщике и о финансовом консультанте, а также об иных лицах, подписавших бизнес-проект ООО «НИФЕРТИТИ SPA+»
I.I. Лица, входящие в состав органов управления ООО «НИФЕРТИТИ SPA+»:
Истокова Валентина Сергеевна (1955 г.р.)
Комисарова Ирина Григорьевна (1950 г.р.)
Киселевич Юрий Викторович (1961 г.р.)
Панченко Лариса Григорьевна (1971г.р.)
Пашкевич Наталья Александровна (1968 г.р.)
Яроцкая Нина Васильевна (1978 г.р.)
1.2 Сведения о банковских счетах эмитента
1. Полное фирменное наименование: Открытое акционерное общество "Банк-Санкт-Петербург" Коммерческий департамент № 1.
Сокращенное фирменное наименование: ОАО "Банк-Санкт-Петербург" КД 1.
Местонахождения: 191011, Санкт-Петербург, пл. Островского, д. 7.
ИНН кредитной организации: 7831000027.
БИК: 044030790
К/с: 30101810900000000790.
1.1.Номер счета: 40702810632000001480. Тип счета: рублевый расчетный.
1.2.Номер счета: 40702840832000101480 Тип счета: валютный текущий
2.Полное фирменное наименование: Общество с ограниченной ответственностью Коммерческий банк "Гранд Инвест Банк"
Сокращенное фирменное наименование: ООО КБ "Гранд Инвест Банк" Местонахождения: 101000, Москва, ул. Маросейка д. 17/6. ИНН кредитной организации: 7701018658.
2.1.Номер счета: 40702810600000000181. Тип счета: рублевый расчетный.
2.2.Номер счета: 40702840000001000035. Тип счета: валютный текущий.
БИК: 044518781.
К/с: 30101810700000000781.
Тип счета: рублевый расчетный.
БИК: 044106770.
К/с: 30101810200000000770.
4.Полное фирменное наименование: Закрытое акционерное общество "Балтийский банк" Сокращенное фирменное наименование: ЗАО "Балтийский банк"
Место нахождения: г. Мурманск, ул. Мира, д. 34 .
ИНН кредитной организации: 7834002576.
Номер счета: 40702810300002384026
Тип счета: рублевый расчетный.
БИК: 044030875.
К/с: 30101810100000000875.
1.3 Характеристика предприятия
В настоящее время хорошее самочувствие, здоровый образ жизни, внешний облик и презентабельность особенно актуальны. Т.к. город Кола находится в районе крайнего севера, а это значит особое негативное влияние погодных и природных условий на здоровье человека, и становится особенно важным значение оздоровительных процедур. В связи с тем, что в городе Кола не развита данная сфера услуг, а потребность населения к приобретению таких услуг возрастает, тем более что реализация бизнес-плана в черте города сэкономит время потенциальных потребителей, то «Салон красоты и здоровья НИФЕРТИТИ SPA+» будет пользоваться особой популярностью.
1.4 Идея
Основная идея - Разработка и осуществление бизнес-плана (проекта) «Салон красоты и здоровья НИФЕРТИТИ SPA+» вызваны необходимостью предоставления услуг в сфере оздоровления и изменения внешности населению г. Кола.[1]
Основные цели: Целями создания проекта является удовлетворение спроса на данные виды услуг и получение дополнительных финансовых средств для развития уже имеющихся услуг и внедрение ряда дополнительных в сфере оздоровления и изменения внешности.
Основные задачи проекта:
– Предоставление услуг инфракрасной и классической финской сауны;
– Работа горизонтального и вертикального соляриев;
– Функционирование бассейнов: для детей с подогревом воды; для взрослых с водопадом и фонтаном брызг; две массажные ванные «Джакузи»;
– Массаж: посредством общеукрепляющего массажа, массаж с обертываниями (грязевые, тепловые шоколадные, травотерапия)
– Фото и видеодизайн причесок
– Стрижки мужские, женские, детские
– Маникюр, педикюр
– Предоставление попутной продукции (косметика и косметические средства Ассоциации «AVON»)
План и гарантии возврата инвестиций:
Для реализации проекта необходимы капитальные вложения в сумме 14 млн. руб. (на 01.01.2008.). Проектный срок возврата кредита – 1,75 года (1 год 9 месяцев). За этот период предприятие получит после возврата кредита и процентов по нему прибыль в размере 4561,4 тыс. руб. В качестве залогового имущества выставляется часть имущества основной фирмы юридический адрес: г. Мурманск ул. К. Буркова 23 А. ООО «Нифертити Spa».
2. Характеристика предприятия и стратегия его развития
Целью данного проекта является обоснование экономической эффективности создания в городе Кола Салона красоты и здоровья НИФЕРТИТИ SPA+».
Адрес салона красоты и здоровья НИФЕРТИТИ SPA+: 184380 г. Кола Проспект советский 21
К основному пакету документов прилагаются:[2]
1) Протокол №1 (отчет собрания участников ООО, проведено назначение директора в лице Итоковой В.С. и председателя ревизионной комиссии в лице гл. бухг. И.Г. Комисаровой)
2) Документ подтверждающий открытие временного счета в коммерческом банке «Балтийский банк»
Регистрационные документы:
1. Заявление учредителей о регистрации (Исх.193 от 12.05.2006);
2. Устав предприятия (Исх. 204 от 05.06.2006);
3. Решение о создании предприятия (Исх. 192 от 10.05.2006);
4. Договор учредителей о создании и деятельности предприятия (Исх.190 от 28.04.2006);
5. Свидетельство об оплате государственной пошлины (Исх.207 от 07.06.2006).
Время работы салона в будние дни с 9.00 до 21.00 и в выходные дни с 10.00 до 22.00.
Среди услуг, которые будет предлагать салон красоты и здоровья НИФЕРТИТИ SPA+, ключевыми являются следующие:[3]
– Услуги солярия. Загорание (с известными ограничениями), несомненно, является полезным для здоровья, как физического, так и психического: недостаток ультрафиолетовых лучей опасен для живого организма. А поскольку солнца в наших широтах не хватает, солярий может легко компенсировать этот пробел. За рубежом солярии давно стали обычным явлением и устанавливаются практически везде - в домах, в косметических салонах, оздоровительных центрах, в школах, больницах и даже в аэропортах. У нас в России - стране, где солнце радует народ очень короткое время, они также становятся популярными чрезвычайно.
– услуги косметолога: одним из преимуществ является широкий спектр услуг в этой области, использование высококачественных и дорогостоящих комплектующих и наличие профессиональных мастеров;
– услуги по коррекции фигуры: это направление также является новым, однако уже сейчас можно сказать, что его перспективность и прибыльность довольно высоки.
– Продажа косметических средств для загара и ухода за кожей.
Плановая загрузка салона представлена в табл.1 .
Таблица 1. Плановый объем предоставления услуг
Услуга |
Макс. кол-во в день |
Плановаязагрузка |
| Солярий (2 шт) |
24 |
40% |
| Комплекс для коррекции |
12 |
30% |
| Косметолог |
8 |
50% |
| Продажа косметической продукции |
20 |
30% |
| ИТОГО |
64 |
150% |
Для организации процесса обслуживания НИФЕРТИТИ SPA+ должен располагаться в помещении площадью в 190 - 200 кв.м.:
– Зона приема клиентов (холл), выполняющая также роль мини-магазина по продаже косметики домашнего ухода - 20 кв.метров
– Комната-солярий - 30 кв. метров
– кабинет косметолога, где так же установлено оборудование для коррекции фигуры, УЗИ-пилинга, кислородной мезотерапии - 15 кв. метров
– Вспомогательные помещения (склад, стерилизационная, комната управленческого персонала коридоры, комната отдыха) - 30 кв. метров
– Кабинки саун и бассейны в общем 70 кв.м.
– Кабинеты парикмахеров, визажиста, маникюр и педикюр салоны 50 кв. метров
Студия загара оборудована 2 соляриями различной модификации: 1 вертикальных и 1 горизонтальных разной мощности.
Для организации рабочего места косметолога требуется следующее оборудование:
1) специальное косметическое кресло;
2) зеркало с освещением и полкой;
3) аппараты для специализированных косметических процедур (в зависимости от предлагаемых услуг);
4) раковина с горячей и холодной водой;
5) стерилизатор для ультрафиолетовой обработки и кипячения;
6) шкаф для инструментов;
7) холодильник для хранения препаратов;
8) корзина для сбора грязного белья.
Белье. По требованиям санэпиднадзора на каждого работающего должно приходиться не менее трех смен рабочего белья. Принцип прост: первая смена в стирке, вторая в работе, третья чистая. Комплект для клиента включает 2 полотенца, пеньюар и салфетки. На мастера в смену должно приходиться в среднем 10 наборов.
Специалисты рекомендуют ввести в солярии ношение специальной рабочей формы. Помимо гигиенических соображений это создает корпоративный стиль, который положительно влияет на имидж.
Расходные материалы
К расходным материалам относятся все средства, которые косметолог использует в своей работе. Все это приобретается у специализированных компаний–поставщиков.
Система прохождения заказа в салоне на сегодняшний день такова:
1) клиент приходит или звонит в салон и записывается на определённое время на определённую услугу (или их комплекс): одним из преимуществ Нефертити Spa+ сегодня является обслуживание клиентов только по предварительной записи; с одной стороны, это позволяет организовать производственные и клиентские потоки, с другой стороны, избежать «чёрных» заработков сотрудников;
2) в обязанности администратора входит запись клиентов, учет в электронной базе данных;
3) во время смены все сотрудники солярия (естественно, за исключением управляющего и бухгалтера) подчиняются администратору;
4) после того, как услуга клиенту оказана, он подходит к администратору и расплачивается.
Такая система предельно проста и обладает необходимым уровнем прозрачности, позволяющим легко контролировать прохождение денежных и клиентских потоков.
3. Анализ рынков сбыта. Стратегия маркетинга
В результате маркетинговых исследований определены предполагаемые (потенциальные) покупатели оказываемых услуг:
Женщины, мужчины (средних лет), молодежь и дети (от 3лет до 7лет) – в качестве постоянных клиентов;
другие категории граждан – как нерегулярные клиенты, пользующиеся услугами оздоровительного центра время от времени.
Основными конкурентами в сфере оказания компьютерных услуг являются: парикмахерская «Имидж» ул. Победы 6; салон-парикмахерская «Визави»
В таблице приводятся данные позволяющие сравнить услуги конкурентов по ассортименту и ценам.
Таблица 2. Тарифы на услуги (на 01.11.2007.),руб.
Виды услуг |
«Имидж» |
«Визави» |
«Астра» |
«Нефертити Spa+» (планируемые расценки) |
| Стрижка модельная (женская) |
120 р. |
210р. |
- |
От 150р. До 250 р. В зависимости от предоставляемых услуг |
| Полный маникюр (покраска + массаж) |
120 р. |
180-200р. |
- |
От 150 до 200р. В зависимости от предоставляемых услуг. |
| Загар в вертикальном солярии (от 15 мин до 45 мин.) |
- |
- |
320р (15 мин.) |
210р. За 1 сеанс (стабильность цен если посещаемость 5 сеансов подряд, понижение цены при дальнейшей посещаемости) |
Учитывая низкую конкуренцию в подобном бизнесе в г. Колы видны конкурентные преимущества вводимого в эксплуатацию салона красоты и здоровья «Нифертити Spa+». Основной упор при разработке политики продвижения услуг на рынке необходимо делать на взаимоотношения между предоставляемыми услугами и их качеством и клиентом, продавая качество, квалификацию и заботу сотрудника, предоставляющего услугу.
Планирование продвижения услуг на рынке использует способы формирования спроса на рынке. К ним можно отнести рекламу из уст в уста, рекламу в СМИ, рекламу на транспорте, баннеры и др.
3.1 Описание рынка сбыта
Салонный бизнес относится к категории быстрорастущих. Сегодня в России более 3 000 клубов-соляриев, оказывающих кроме услуг солярия еще и разнообразные косметологические процедуры. С ростом среднего слоя россиян, приближающегося по уровню жизни к западным меркам, в перечете на наше население, требуются десятки тысяч новых оздоровительных центров имеющих стандартный набор оборудования (солярий, сауна, парикмахерская и т.п.).
Росту числа оздоровительных клубов способствует то обстоятельство, что в обществе стало неприличным появляться неопрятным, неухоженным, состарившимся. Теперь россияне не только стригутся, красят волосы, ухаживают за ногтями, но и в массовом порядке стали прибегать к услугам соляриев, корректировать фигуру, омолаживать кожу, бороться со стрессами и целлюлитом. До четверти сегодняшних клиентов салонного бизнеса составляют непривычные ранее посетители - мужчины, озадаченные борьбой с «пивным брюшком» и хронической усталостью. В салоны потянулась и молодежь, стремящаяся привести в порядок цветущую кожу переходного возраста. За последние два года количество женщин посещающих салоны красоты увеличилось до 70%. Клиенты пришли к пониманию, что домашний уход по эффективности не идет ни в какое сравнение с салонными процедурами, к тому же в салоне экономится время, силы и добавляются положительные эмоции от общения с мастерами. Говоря о рынке салонов красоты, необходимо отметить, что на сегодняшний день наблюдается явный недостаток соляриев класса «люкс». Мало хороших соляриев среднего уровня. Появившись, такое заведение часто начинает необоснованно завышать расценки и теряет клиентуру. Но, как утверждают профессионалы, основная проблема нынешних владельцев салонов красоты и оздоровления заключается в том, что у них нет четкого портрета своего клиента и идеи социального планирования. Подсчитать количество салонов красоты в г. Кола не составит особого труда в подобном ракурсе Салона красоты и здоровья НИФЕРТИТИ SPA+ в городе будет единственным. В условиях такой конъюнктуры рынка довольно легко найти свою нишу и своего клиента в случае, если руководство салона красоты и здоровья будет проводить продуманную, последовательную политику развития.
4. Организационный план
Оздоровительный центр Нифертити Spa+ является предприятием сервиса, работает в области индустрии красоты и является солярием среднего класса.
Персонал солярия представляет собой совокупность руководителей и специалистов.
Весь персонал можно разделить на 4 группы:
– специалисты;
– обслуживающий (администраторы);
– управление;
– вспомогательный (уборщица).
Данные о численности работающих на предприятии за анализируемый период представлены в таблице 3.
Таблица 3. Список сотрудников
| Специальность |
Численность |
| Косметолог |
1 |
| Массажисты, парикмахеры |
3 |
| Управляющий |
1 |
| Администратор |
3 |
| Бухгалтер |
1 |
| Уборщица |
2 |
Итого |
11 |
Рассматриваемое предприятие является субъектом малого предпринимательства, кроме того, оказывает широкий спектр довольно специализированных услуг, который уже описан выше.
Говоря об организационной структуре (ПРИЛОЖЕНИЕ 1) оздоровительного центра, можно привести следующую схему, наглядно показывающую подчинённость сотрудников. Первое требование, предъявляемое к персоналу, — наличие профессиональной подготовки. По действующему законодательству, можно принимать на работу в качестве мастеров только лиц, чей профессиональный уровень подтвержден дипломом о соответствующей подготовке.
Необходимо, чтобы образовательный курс насчитывал не менее 1040 очных учебных часов и был заверен дипломом, а учебное заведение, его выдавшее (государственное или частное), имело лицензию на НПО.
Нанимая персонал, оговариваются условия работы и подписывается трудовой контракт. Эксперты советуют оформлять срочный договор, который гарантирует удержание мастера на определенный срок (парикмахеры не любят подолгу задерживаться на одном месте и быстро обрастают собственной клиентурой). [4]
Штатное расписание на 2008 год представлено в таблице (ПРИЛОЖЕНИЕ 2)
Как видно из приведённой таблицы прил. 2, основой заработной платы всех сотрудников является существенный процент от оборота, который позволяет стимулировать сотрудников для выполнения более хорошей работы.
5. Финансовый план
5.1. Определение величины начального капитала
Величина начального капитала, необходимого для создания Салона красоты и здоровья НИФЕРТИТИ SPA+, зависит от занимаемых площадей и оборудования.
Помещение в Мурманске стоимостью 4500 тыс. руб. вноситься учредителем в качестве вклада в уставной капитал.
Потребность в оборудовании представлена в табл 4.
Таблица 4. Потребность в специализированном оборудовании
| Наименование оборудования |
Стоимость. |
|
| 1 |
2 |
3 |
| Оборудование |
1121220 |
|
| В.т.ч. |
||
| 1 |
Солярий (2 шт.) |
960000 |
| 2 |
Зеркало с освещением и полкой и оборудование для маникюра и педикюра |
33750 |
| 3 |
Аппараты для специализированных косметических процедур |
12450 |
| 4 |
Раковина, джакузи, оборудование бассейна |
112620 |
| 5 |
Стерилизатор |
2400 |
Таблица 5. Общая потребность в основных и оборотных средствах
| Наименование |
Сумма, руб. |
| 1. Мебель |
15600 |
| 2. Специализированной оборудование |
981220 |
| 3. Кассовый аппарат |
19350 |
| 4. Система видеонаблюдения |
45600 |
| 5. Персональный компьютер |
29600 |
| 6. факс |
6200 |
| 7. принтер |
6350 |
| Итого |
1103920 |
Таким образом, для создания салона требуются первоначальные вложения в размере 1103,92 тыс. руб.
5.2 Выбор метода финансирования проекта
Салона красоты и здоровья НИФЕРТИТИ SPA+, создается в форме Общества с ограниченной ответственностью (ООО). Под обществом с ограниченной ответственностью (ООО) понимается общество, уставный капитал которого разделен на доли, определенные учредительными документами; участники ООО не отвечают по его обязательствам и несут риск убытков, связанных с его деятельностью, в пределах стоимости своих вкладов.
Уставный капитал ООО, составляющийся из стоимости вкладов его участников, должен быть, согласно Закону РФ “Об обществах с ограниченной ответственностью”, не менее 100 минимальных размеров оплаты труда.
Высшим органом ООО является общее собрание его участников (кроме того, создается исполнительный орган, осуществляющий текущее руководство деятельностью ООО). К его исключительной компетенции ГК РФ относит следующие вопросы:[5]
- изменение устава, включая изменение размера уставного капитала;
- образование исполнительных органов и досрочное прекращение их полномочий:
- утверждение годовых отчетов и балансов, распределение прибыли и убытков;
- избрание ревизионной комиссии;
- реорганизация и ликвидация общества.
Представляется полезным остановиться на процедуре изменения уставного капитала, поскольку соответствующее решение представляет собой наряду с намерением реорганизации и ликвидации наибольший интерес для партнеров данного общества.
ООО Салона красоты и здоровья НИФЕРТИТИ SPA+, создается путем вклада в уставной капитал помещения: 4500 тыс.руб.
Заемный капитал: 1103,92 тыс.руб.
Заемный капитал привлекается в виде банковского кредита сроком на 5 лет, под 15% годовых с ежегодным погашением процентов и возвратом суммы долга в конце проекта.
5.3 Планирование текущих расходов
Затраты на производство и реализацию услуг тесно связаны с таким понятием, как метод ценообразования. Один из наиболее распространенных – метод “издержки плюс”, который применяется сегодня при установлении цен на все услуги солярия «Стиль». Данный метод предполагает расчет цены продажи посредством прибавления к цене производства и к цене закупки, и хранения материалов и сырья фиксированной дополнительной величины – прибыли.
В состав текущих (эксплуатационных) затрат по проекту включаются издержки производства Общая смета затрат и распределение (структура) издержек производства. приведена в таблице 6.
Таблица 6. Анализ себестоимости
| руб. |
|
| сырье и материалы |
19032 |
| ФОТ |
370500 |
| ЕСН |
96330 |
| амортизация |
13700 |
| аренда и коммунальные услуги |
68000 |
| услуги сторонних организаций |
88000 |
| итого |
655562 |
5.4 Планирование текущих доходов
Доходы по инвестиционному проекту формируются за счет реализации услуг и, следовательно, являются текущими. Получение единовременных доходов от инвестиционной и производственно-хозяйственной деятельности не предусматривается.
Распределение текущих доходов за период реализации инвестиционного проекта приведено в таблице 7.[6]
Таблица 7. Доходы по услугам Нифертити Spa+
| Услуга |
Макс. |
Плановая |
Цена |
Выруч-ка |
| кол-во |
загрузка |
услуги |
в месяц |
|
| в день |
руб. |
руб. |
||
| солярий |
24 |
40% |
500 |
144000 |
| Комплекс для коррекции |
12 |
30% |
750 |
81000 |
| Косметолог |
8 |
50% |
900 |
108000 |
| Массаж |
12 |
30% |
750 |
81000 |
| Пилинг |
12 |
20% |
1200 |
86400 |
| Солярий |
48 |
20% |
300 |
86400 |
| Продажа косметики в холле |
20 |
30% |
900 |
997200 |
| Итого |
1584000 |
5.5 Планирование финансовых результатов
Экономические показатели деятельности солярия. (табл.ПРИЛОЖЕНИЕ 3).
В связи с тем, что проект по созданию Нифертити Spa+ предполагает привлечение заемного капитала в виде кредита сроком на 5 лет под 15% годовых определим чистый денежный поток по годам реализации проекта (табл. ПРИЛОЖЕНИЕ 4).
Таблица 8. Технико-экономические показатели
| Производительность труда |
выручка от реализации среднесписочная численность |
158400 |
| Фондоотдача |
выручка от реализации средняя стоимость основных средств |
0,283 |
| Рентабельность |
прибыль от реализации выручка от реализации |
45% |
Таким образом, на основании рассчитанных показателей становиться очевидным, что в течение первого года деятельности рентабельность салона будет 45%, производительность труда одного работника составит 158400 руб.
6. Оценка эффективности проекта
К показателям экономической оценки эффективности проекта относятся:
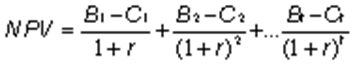
- Чистый дисконтированный доход рассчитывается по формуле (1):[7]
(1.)
где Bt - выгоды проекта в год t
Ct - затраты проекта в год t
t = 1 ... n - годы жизни проекта
Инвестору следует отдавать предпочтение только тем проектам, для которых NPV имеет положительное значение. Отрицательное же значение свидетельствует о неэффективности использования денежных средств: норма доходности меньше необходимой.
- Индекс прибыльности.
Индекс прибыльности (profitability index, PI) показывает относительную прибыльность проекта, или дисконтированную стоимость денежных поступлений от проекта в расчете на единицу вложений. Он рассчитывается путем деления чистых приведенных поступлений от проекта на стоимость первоначальных вложений:[8]
(2.)
где: NPV - чистые приведенные денежные потоки проекта;
Со - первоначальные затраты.
- Внутренняя норма рентабельности это показатель при котором NPV=0. В этой точке дисконтированный поток затрат равен дисконтированному потоку выгод. Она имеет конкретный экономический смысл дисконтированной "точки безубыточности" и называется внутренней нормой рентабельности, или, сокращенно, IRR.
Таблица 9. Показатели экономической эффективности проекта Нифертити Spa+
| 0 |
1 |
2 |
3 |
4 |
5 |
|
| Денежный поток |
-1103920 |
705613 |
705613 |
705613 |
705613 |
705613 |
| Коэффициент дисконтирования (15%) |
1 |
0,8696 |
0,75614 |
0,65752 |
0,571753 |
0,49718 |
| Дисконтированный денежный поток |
-1103920 |
613576 |
533545 |
463952 |
403436,3 |
350814 |
| Чистый приведенный доход NPV |
1261403,74 |
|||||
| Индекс прибыльности PI |
39% |
|||||
| срок окупаемости проекта |
2,5 года |
Таким образом, с учетом того, что NPV>0 можно говорить об экономической целесообразности проекта, срок окупаемости которого 2,5 года.
7. Факторы риска
В процессе деятельности фирма может столкнуться с различными рисками. Их можно классифицировать следующим образом:
Юридические риски. Связаны с несовершенством законодательства, нечетко оформленными документами, двоякими трактовками законодательства.
Меры по снижению рисков:
· Четкая и однозначная формулировка соответствующих статей документов;
· Привлечение для оформления документов специалистов, имеющих практический опыт в этой области.
Производственные риски. Связаны со сложностью косметологической техники, быстро движущимся техническим прогрессом в сфере новых технологий в сфере оздоровительных процедур, недостаточно высоким качеством предоставляемых услуг.
Меры по снижению рисков:
· Подбор профессиональных кадров;
· Постоянное поощерение повышения квалификации работников;
· Разработка и использование продуманной системы контроля качества услуг;
Своевременное выделение достаточных финансовых средств для приобретения необходимого оборудования.
Маркетинговые риски. Связаны с возможными задержками выхода на рынок, неправильным выбором услуг, ошибочным выбором маркетинговой стратегии, ошибками в ценовой политике.
Финансовые, инновационные, социальные и другие виды рисков.
Возможные случаи риска, связанные с деятельностью Салона красоты и здоровья НИФЕРТИТИ SPA+, представлены в таблице ПРИЛОЖЕНИЯ 5.
Вероятность наступления различных рисков будем оценивать по следующей шкале:
0- риск рассматривается как несущественный;
25- риск скорее всего не реализуется;
50- о наступлении события ничего определенного сказать нельзя;
75- риск скорее всего проявится;
100- риск наверняка реализуется.
Возможные виды риска, связанные с реализацией проекта
Основные факторы риска по проекту:
· Появление новых конкурентов;
· Рост цен на энергоресурсы;
· Неплатежеспособность потребителей.
Основными путями снижения степени влияния данных факторов (при их возникновении) являются: снижение издержек производства, расширение ассортимента предлагаемых услуг и улучшение их качества.
В целом же риск проекта оценивается как несущественный.
Список использованной литературы
1. Аксель Зелль, Бизнес план: Инвестиции и финансирование, планирование и оценка проектов. – М.: «Ось-89», 2001 г.
2. Грибалев Н.П., Игнатьева И.Г., Бизнес-план. - С-Пб,.: Питер. 2003 г.
3. Ковалев В.В. Финансовый анализ: управление капиталом, выбор инвестиций, анализ отчетности. М.: Финансы и статистика, 2004 г.
4. Коссов В.В. Методические рекомендации по оценке эффективности инвестиционных проектов // Коссов В.В., Шахназаров А.Г., Лившиц В.Н.. - М:.Тезис – 2006 г.
5. Риск-анализ инвестиционного проекта. Учеб. для вузов. М.Грачева. – М.: Экономика и финансы, 2006 г.
6. Савчук В.П. Учебник «Оценка эффективности инвестиционных проектов» [Электронный документ] http://www.cfin.ru
7. Справочник финансиста предприятия.- М.: ИНФРА-М. 2005 г.
8. Среднесрочный план развития (2007-2010 г.г.) ООО «НИФЕРТИТИ SPA» Исх. № 24 от 12.04.2006 г.
9. Степанова Е., Каминский Е. Бизнес-планирование на предприятии//Журнал, Бизнес-Информ. май-июнь, 2002 г.
10. Сухова Л.Ф., Чернова П.Н. практикум по разработке бизнес-плана и финансовому анализу предприятия. 2004 г.
11. Фальцман В.К Оценка инвестиционных проектов и предприятий. - М:.Тезис – 2007 г.
12. ЭКСПЕРТИЗА ИНВЕСТИЦИОННЫХ ПРОЕКТОВ. [Электронный документ] http://www.cfin.ru
ПРИЛОЖЕНИЕ 1
Косметолог |
Массажист |
Парикмахер |
Уборщица |
Рис. Организационная структура Нифертити Spa+
ПРИЛОЖЕНИЕ 2
Таблица
Штатное расписание
| Специальность |
Оплата труда |
Сумма оплаты, тыс.руб.. |
Количество, чел. |
Всего, тыс.руб. |
| Косметолог |
25-60% с оборота |
30 |
2 |
60 |
| Массажисты |
20-50% с оборота |
18 |
2 |
36 |
| Управляющий |
200 у.е.+4% с приб |
30 |
1 |
30 |
| Администратор |
150 у.е. +1% с оборота |
18 |
2 |
36 |
| Бухгалтер |
200 у.е. (полставки) |
6 |
1 |
6 |
| Уборщица |
150 у.е. |
4,5 |
1 |
4,5 |
Итого |
21 |
370,5 |
ПРИЛОЖЕНИЕ 3
Таблица. Финансовые показатели деятельности
| Показатель |
сумма |
| выручка от реализации услуг |
1584000 |
| в т.ч. |
|
| солярий |
144000 |
| Комплекс для коррекции |
81000 |
| Косметолог |
108000 |
| Массаж |
81000 |
| Пилинг |
86400 |
| Солярий |
86400 |
| Продажа косметики в холле |
997200 |
| Себестоимость услуг |
655562 |
| в т.ч. |
|
| сырье и материалы |
19032 |
| ФОТ |
370500 |
| ЕСН |
96330 |
| амортизация |
13700 |
| аренда и коммунальные услуги |
68000 |
| услуги сторонних организаций |
88000 |
| прибыль до налогообложения |
928438 |
| налог на прибыль |
222825 |
| чистая прибыль |
705613 |
ПРИЛОЖЕНИЕ 4
Таблица. Чистый поток денежных средств по годам реализации проекта
| Наименование статьи |
||||||
| 0 |
1 |
2 |
3 |
4 |
5 |
|
| выручка от реализации, руб. |
1584000 |
1584000 |
1584000 |
1584000 |
1584000 |
|
| себестоимость оказанных услуг |
655562 |
655562 |
655562 |
655562 |
655562 |
|
| Налоги |
222825 |
222825 |
222825 |
222825 |
222825 |
|
| Cash-Flow от оперативной деятельн. |
705613 |
705613 |
705613 |
705613 |
705613 |
|
| Затраты на приобретение активов |
1103920 |
|||||
| Поступления от реализации активов |
||||||
| Cash-Flow от инвестицион. деятельн. |
-1103920 |
|||||
| Собственный капитал |
||||||
| Займы |
1103920 |
|||||
| Выплаты % по займам |
165588 |
165588 |
165588 |
165588 |
165588 |
|
| Выплаты в погашение займов |
1103920 |
|||||
| Выплаты дивидендов |
||||||
| Cash-Flow от финансовой деятельн. |
-1103920 |
-165588 |
-165588 |
-165588 |
-165588 |
-1269508 |
| Баланс наличн. на начало периода |
0 |
0 |
540025 |
1080050 |
1620075 |
2160100 |
| Баланс наличности на конец периода |
0 |
540025 |
1080050 |
1620075 |
2160100 |
1596204 |
Таблица. Перечень предполагаемых рисков для салона красоты и здоровья НИФЕРТИТИ SPA+
| Риски |
Отрицательные последствия |
Оценка, % |
| 1. Финансовые |
||
| Неустойчивость спроса в связи с появлением новых конкурентов |
Уменьшение объемов продаж |
60 |
| Снижение цен конкурентами |
Снижение цен |
5 |
| Рост налогов |
Уменьшение прибыли |
20 |
| Неплатежеспособность потребителей |
Уменьшение объемов продаж и снижение прибыли |
30 |
| Рост цен на энергоресурсы |
Снижение прибыли |
50 |
| Недостаток собственных оборотных средств |
Увеличение объемов заемных средств |
2 |
| Итого по финансовым рискам |
167 |
|
| Средний % риска |
27,8 |
|
| 2. Социальные |
||
| Отношение местных властей |
Дополнительные затраты на выполнение их требований |
5 |
| Квалификация кадров |
Низкое качество услуг, увеличение поломок |
10 |
| Итого по социальным рискам |
15 |
|
| Средний % риска |
7,5 |
|
| 3. Технические |
||
| Изношенность средств производства |
Уменьшение объемов производства и прибыли |
0 |
| Недостаточная надежность оборудования |
Увеличение аварийности, снижение качества услуг |
7 |
| Отсутствие резерва мощности |
Невозможность покрытия пикового спроса |
2 |
| Итого по техническим рискам |
9 |
|
| Средний % риска |
3,0 |
|
| Всего |
191 |
|
| Средний % риска |
17,4 |
[1] Риск-анализ инвестиционного проекта. Учеб. для вузов. М.Грачева. – М.: Экономика и финансы, 2006 г.
[2] Сухова Л.Ф., Чернова П.Н. практикум по разработке бизнес-плана и финансовому анализу предприятия. 2004 г.
[3] Грибалев Н.П., Игнатьева И.Г., Бизнес-план. - С-Пб,.: Питер. 2003 г.
[4] Степанова Е., Каминский Е. Бизнес-планирование на предприятии//Журнал, Бизнес-Информ. май-июнь, 2002 г.
[5] Справочник финансиста предприятия.- М.: ИНФРА-М. 2005 г.
[6] Среднесрочный план развития (2007-2010 г.г.) ООО «НИФЕРТИТИ SPA» Исх. № 24 от 12.04.2006 г.
[7] Аксель Зелль, Бизнес план: Инвестиции и финансирование, планирование и оценка проектов. – М.: «Ось-89», 2001 г.
[8] Фальцман В.К Оценка инвестиционных проектов и предприятий. - М:.Тезис – 2007 г.