| Скачать .docx |
Курсовая работа: Управління фінансовими ризиками на підприємстві
Зміст
Вступ
1. Поняття і класифікація фінансових ризиків
1.1 Поняття фінансового ризику
1.2 Види фінансових ризиків
2. Методи оцінки ризику на фінансовому ринку
2.1 Основні методи оцінки ризику
2.2 Інші методи оцінки фінансового ризику
3. Методи управління фінансовими ризиками
3.1 Способи управління фінансовими ризиками
3.2 Концептуальні підходи до вимірювання фінансових ризиків
4. Практична частина
4.1 Горизонтальний та вертикальний аналіз балансу і звіту про фінансові результати
4.2 Факторний аналіз результату операційної діяльності підприємства
4.3 Коефіцієнтний аналіз фінансово–господарської діяльності підприємства
4.4 Визначення типу фінансової стійкості
4.5Визначення тривалості операційного та операційно-фінансового циклів підприємства
4.6 Оцінка ймовірності банкрутства підприємства
Висновок
Список використаної літератури
Вступ
Фінансові ризики — це спекулятивні ризики. Інвестор, здійснюючи венчурне вкладення капіталу, заздалегідь знає, що для нього можливі лише два результати: прибуток або збиток. Особливістю фінансового ризику є ймовірність зазнати збитків у результаті проведення будь-яких операцій у фінансово-кредитній і біржовій сферах, здійснення операцій з фондовими цінними паперами, тобто ризику, який випливає з природи цих операцій, тому суть ризику полягає в імовірності настання або ненастання події з можливими негативними наслідками через обмеженість матеріальних і нематеріальних ресурсів.
Аналізуючи фінансові ринки країн, що розвиваються та будують ринкові відносини, в тому числі й України, спеціалісти роблять висновок про агресивність і високий ступінь ризику.
Учасники фінансового ринку України несуть такі ризики:
1. як емітенти;
2. як інвестори;
3. за операціями з цінними паперами за дорученням клієнтів чи як. андерайтер (якщо виступають як інвестиційний інститут — фінансовий посередник) та дилер на ринку цінних паперів.
Фінансовими ризиками управляють за допомогою різних засобів Засобами управління фінансових ризиків є їх уникнення чи, утримання, зниження ступеня. Під уникненню ризику мають на увазі просте уникнення заходу, пов'язане з ризиком. Однак уникнення ризику для підприємця означає відмову від отримання прибутку. Утримання від ризику — це залишення його за інвестором, тобто на його відповідальності.
Передача ризику означає, що інвестор передає відповідальність за фінансовий ризик комусь іншому, наприклад, страховому товариству. В даному разі передача ризику відбувається шляхом страхування фінансового ризику.
1. Поняття і класифікація фінансових ризиків
1.1 Поняття фінансового ризику
Під інвестиціями слід розуміти вкладення коштів, певні витрати на ринку цінних паперів, що здійснюються з метою отримання доходу, прибутку. Звичайно, інвестиції поділяють на: І) прямі — вкладення в реальні активи (виробництво), в управлінні яких бере участь інвестор; 2) портфельні (фінансові) — вкладення в акції, облігації та інші цінні папери, що дають право па отримання доходу від власності. Частина портфельних інвестицій — вкладення в акції підприємств різних галузей матеріального виробництва — іноді також розглядаються як прямі; 3) реальні — фінансові вкладення в землю, нерухомість, машини і обладнання, запасні частини тощо (разом із витратами оборотного капіталу); 4) проектні — кредити, що надаються реальному або потенційному власникові для реалізації прибуткового інноваційного проекту.
У ринковій економіці існують різні можливості для інвестиційних вкладень. При виборі юридичною або фізичною особо напряму вкладення капіталу одним із головних критеріїв служить оцінка ризику. В цілому ризик у ділових операціях — це економічна категорія, що відображає ступінь успіху (невдачі) фірми в досягненні своїх цілей з урахуванням впливу контрольованих і неконтрольованих факторів. Операції з фінансовими інструментами завжди пов'язані з ризиком.
Фінансові ризики — це спекулятивні ризики. Інвестор, здійснюючи венчурне вкладення капіталу, заздалегідь знає, що для нього можливі лише два результати: прибуток або збиток. Особливістю фінансового ризику є ймовірність зазнати збитків у результаті проведення будь-яких операцій у фінансово-кредитній і біржовій сферах, здійснення операцій з фондовими цінними паперами, тобто ризику, який випливає з природи цих операцій, тому суть ризику полягає в імовірності настання або ненастання події з можливими негативними наслідками через обмеженість матеріальних і нематеріальних ресурсів.
У цілому фінансовий ризик як міру економічної або соціальної невизначеності можна охарактеризувати:
1. за величиною — високий, середній і низький;
2. за ступенем допустимості — допустимий ризик, коли втрачається частина доходу; критичний (локальний) ризик, при якому повністю втрачаються доходи і виникає необхідність відшкодовувати втрати; катастрофічний ризик повної втрати майна;
3. за об'єктами - ризик підприємця, підприємства, банку, страхової компанії, тобто окремих юридичних і фізичних осіб;
4. за видом діяльності — ризик виробничої, посередницької, торговельної, транспортної, консалтингової страхової охоронної та іншої діяльності,
5. за економічним змістом — чистий ризик як об'єктивна можливість зазнати збитків (нульового результату) і спекулятивний ризик як суб'єктивна можливість отримання позитивного або негативного результату певної діяльності;
6. за характером — операційний, інфляційний, кредитний, процентний, валютний. Операційний ризик пов'язаний із помилкою або неправильною організацій неправильним вибором методу проведення тієї чи іншої фінансової операції. До цього виду ризику відносять і можливі помилки менеджерів. Інфляційний ризик визначається ступенем і точності прогнозування інфляції та її впливу на результат фінансово-господарської діяльності. Кредитний ризик розглядається як ризик непогашення кредиту і несплати процентів за ним. Процентний ризик виникає у разі зміни процентних ставок за кредитними ресурсами, що надаються. Валютні ризики можливі у разі зміни курсів валют, а також політичної ситуації, коли курси валют незмінні, а можливості вільного обігу валют обмежені. Ці ризики пов'язані з переоцінкою статей балансу закордонних філій підприємств у національну валюту та при зворотних операціях. Валютні ризики властиві кліринговим розрахункам і товарообмінним, бартерним операціям;
7. за галузевою і територіальною ознакою — загальноекономічний, галузевий, країни, регіональний тощо.
1.2 Види фінансових ризиків
Виділяють такі основні види ризику:
· систематичний ризик, тобто ризик кризи фінансового ринку;
· несистематичний ризик, тобто ризик поєднання всіх видів ризику, пов'язаних із конкретними фінансовими інструментами;
· селективний ризик — ризик неправильного вибору цінних паперів для інвестування при формуванні портфеля;
· часовий ризик — ризик емісії, купівлі або продажу цінного паперу у невідповідний час, що тягне за собою втрати;
· ризик законодавчих змін (можуть змінитися умови емісії, вона може бути визнана недійсною і таке інше);
· ризик ліквідності — ризик, пов'язаний з можливістю втрат при реалізації цінного папера через зміну в оцінці його якості;
· доходи, які отримують інвестори за фінансовими інструментами, знецінюються швидше, аніж зростають, інвестор зазнає реальних втрат.
Існує і багато інших видів ризику операцій із фінансовими інструментами. В Україні всі вони мають місце і породжуються наявною в країні політичною та економічною нестабільністю .Високий ступінь ризику не лише перешкоджав фінансового ринку, а й стимулює заощадження коштів населення і підприємств.
Систематичний ризик пов’язаний із загальною економічною і політичною ситуацією в країні та світі, зростанням цін на ресурси, загально ринковим падінням цін на фінансові активи. До категорії систематичних ризиків належать: ризик зміни відсоткової ставки, ризик падіння загально ринкових цін і ризик інфляції. Ризик зміни відсоткової ставки набуває особливої актуальності в умовах інфляції. Ризик падіння загально ринкових цін пов'язаний з одночасним падінням цін на всі цінні папери, що мають обіг на ринку. Цей ризик у першу чергу стосується операцій з акціями. Ступінь ризику різний для акцій різних емітентів. Ризик інфляції зумовлений зміною купівельної спроможності грошей і призводить до того, що вкладення навіть у найбезпечніші цінні папери можуть завдати збитків. Цей вид ризику існує в усіх країнах, тобто інфляція — загальносвітова тенденція. Відрізняється лише її річний рівень у різних країнах. У розвинутих країнах вважається нормальним щорічний рівень інфляції у 3%.
Несистематичний ризик пов'язаний із фінансовим станом конкретного емітента цінних паперів. Його оцінка потребує певних зусиль як із боку посередників ринку фінансових активів, так і з боку інвесторів. До категорії несистематичних відносять ризик ліквідності, галузевий ризик.
Ризик ліквідності — ризик, пов'язаний із можливістю втрат при реалізації цінного папера через зміни оцінки його якості. Ризик ліквідності нині один із найпоширеніших в Україні. Причиною цього є не лише загальне падіння ринку, а й реалістичніша оцінка того, що являє собою той чи інший емітент, скажімо біржа, де протягом біржового дня іноді укладалося лише декілька угод; фінансова або інвестиційна компанія, чий капітал зібраний для перекачування коштів або покриття збитків від "проїдання" статутних коштів у інших комерційних структурах, тощо.
Галузевий ризик — ризик, пов'язаний зі специфікою окремих галузей. З позиції цього виду ризику всі галузі можна класифікувати на: а) підвладні циклічним коливанням (галузі конструкційних матеріалів, виробництво обладнання тощо) та б) менш підвладні циклічним коливанням (виробництво товарів для населення та продовольчих товарів). Крім того, можливо класифікувати галузі на венчурні
Галузеві ризики проявляються в змінах інвестиційної якості та курсової вартості цінних паперів та відповідних втратах інвесторів, залежно від приналежності галузі до того чи іншого типу та правильності оцінки цього фактору з боку інвесторів.
Таким чином, фінансовий ризик в економічній діяльності —це об'єктивний фактор, зумовлений дією стохастичних причині чинників, зокрема конфліктністю ситуації прийняття рішень, невизначеністю цілей і наслідків дій, відсутністю повної та об'єктивної інформації щодо процесів, які відбуваються тепер чи відбуватимуться в майбутньому.
Фактори, які стосуються фінансового ризику і впливають на його рівень, умовно можна поділити на дві групи: об'єктивні й суб'єктивні.
Об'єктивні фактори — це ті, що безпосередньо не залежать від дій керівництва підприємства (фірми), але повинні враховуватися при підготовці й прийнятті рішень, наприклад, інфляційні процеси, дії конкурентів, політичні й економічні кризові явища, екологічні вимоги, митні пільги, режим найбільшого сприяння, можливість діяти у вільних економічних зонах, зміни в податковій політиці держави тощо.
Група суб'єктивних факторів характеризує саме підприємство (фірму) та внутрішні умови його функціонування, зокрема виробничий потенціал, наявність висококваліфікованих працівників та управлінського персоналу, організацію діяльності фірми, наявність кооперативних зв'язків, рівень технології тощо.
Причини, які зумовлюють необхідність виникнення ризикових фінансових рішень на підприємстві, бувають внутрішнього і зовнішнього походження.
Внутрішні причини породжуються здатністю працівників системи управління ризикувати підприємством (фірмою), невизначеністю управлінських рішень (нововведень), організаційними неузгодженостями.
Зовнішні причини пов'язані з поведінкою контрагентів, впливом макроекономічних факторів, природно-кліматичними умовами та ринковою ситуацією.
З розвитком ринку змінюється ставлення інвесторів до різних цінних паперів. В Україні цінні папери стали порівняно новим фінансовим інструментом, який характеризується підвищеним ризиком. Інтереси інвесторів на ринку, наприклад, корпоративних цінних паперів, головним чином зводяться до таких моментів: збереження і зростання капіталу; придбання цінних паперів, які за умовами обігу можуть заміняти кошти; доступ (шляхом придбання цінних паперів) до дефіцитних видів продукції, послуг, майнових і немайнових прав; розширення сфери впливу і перерозподіл власності. В умовах ринкових відносин виникає необхідність взаємного порівняння прибутку і ризику. Оптимальне поєднання цих категорій гарантуватиме ефективність вкладення капіталу. Якщо ефективність достатньо висока, то ризик вважається обґрунтованим.
2. Методи оцінки ризику на фінансовому ринку
2.1 Основні методи оцінки ризику
Інвестування капіталу завжди пов'язане з вибором варіантів інвестування та ризиком. Вибір різних варіантів вкладення капіталу пов'язаний зі значною невизначеністю. В інвестуванні капіталу доводиться також іти на певний ризик, тобто вибирати ступінь ризику.
Фінансовий ризик, як і будь-який ризик, має математично виражену ймовірність настання втрат, яка спирається на статистичні дані і може бути розрахована з досить високою точністю. Щоб кількісно визначити величину фінансового ризику, необхідно знати всі можливі наслідки будь-якої окремої дії і ймовірність самих наслідків. Ймовірність означає можливість отримання певного результату.
Визначення фінансового ризику здійснюється під час формування проблеми прийняття фінансового рішення та вивчення ситуації, пов'язаної з ним, і полягає у:
1. виявленні причин і факторів, які збільшують чи зменшують конкретний тип фінансового ризику;
2. проведенні аналізу й ідентифікації виявлення причин і чинників;
3. виділенні етапів і робіт під час яких можуть виникати передумови фінансового ризику.
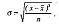
У статистичному аналізі величина (або рівень) ризику вимірюється двома критеріями: середнім очікуваним значенням (дисперсією) і коливанням, змінністю (варіацією можливого результату). Дисперсія при цьому вимірює можливий середній результат. Варіація показує міру або ступінь відхилення від фактичної середньої величини. Дисперсія при оцінці фінансового ризику підприємства являє собою середньозважену величину з квадратів відхилень дійсних фінансових результатів ризикованих вкладень від середніх очікуваних:

де σ² — дисперсія; х — очікуване значення для кожного випадку вкладення фінансових ресурсів; хˉ — середнє очікуване значення;n — кількість вкладень фінансових ресурсів (частота).
Середнє очікуване значення — це те значення величини події, яке пов'язане з невизначеною ситуацією. Середнє очікуване значення є середньозваженим для всіх можливих результатів, де ймовірність кожного результату використовується як частота або вага відповідного значення. Середнє очікуване значення вимірює результат, якого ми очікуємо в середньому.
Середня величина являє собою узагальнену кількісну характеристику і не дає змоги прийняти рішення на користь будь-якого варіанта вкладення капіталу. Для остаточного прийняття рішення необхідно виміряти змінність показників, тобто визначити міру змінності можливого результату. Змінність можливого результату — це ступінь відхилення очікуваного значення від середньої величини. Для цього розраховують середнє квадратичне відхилення:
Середнє квадратичне відхилення визначається за формулою:

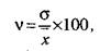
Середнє квадратичне відхилення є іменованою величиною і вказується у тих же одиницях, у яких вимірюється варіаційна ознака. Дисперсія і середнє квадратичне відхилення є мірами абсолютної змінності. Для аналізу використовується коефіцієнт варіації. Він являє собою відношення середнього квадратичного відхилення до середнього арифметичного і показує ступінь відхилення отриманих значень Коефіцієнт варіації — відносна величина, він відображає змінність. Тому на його величину не впливають абсолютні значення показника, який вивчається. За допомогою коефіцієнта варіації є можливість порівнювати навіть змінність ознак, виражених у різних одиницях виміру.
Коефіцієнт варіації обчислюється:
![]()
де v — коефіцієнт варіації; σ — середнє квадратичне відхилення; х — середнє очікуване значення.
Коефіцієнт варіації може змінюватися від 1 до 100 %. Чим вищий цей коефіцієнт, тим сильніші коливання. Встановленою є така якісна оцінка значень коефіцієнта варіації: до 10 % — слабкі коливання фінансового ризику вкладень; 10—25 % — середні, помірні коливання; понад 25 % — високі коливання фінансового ризику. При використанні дисперсії і варіації враховують, що фінансовий ризик має математично визначену ймовірність отримання фінансового результату. Ця ймовірність, у свою чергу, може бути визначена експертним шляхом або на підставі математичних розрахунків частот ступеня фінансового ризику. Розрахунок ймовірності фінансових ризиків на основі дисперсії, варіації і середніх величин як методів статистичного аналізу в сучасних умовах є безперечно основним методом оцінки фінансових ризиків підприємства.
2.2 Інші методи оцінки фінансового ризику
Широко застосовуються й інші аналітичні методи оцінки фінансового ризику. Найперспективнішим із них є факторний аналіз фінансових ризиків. Наприклад, диверсифікований інвестиційний ризик оцінюють за наявністю перспектив розвитку об'єкта інвестицій, рівнем конкуренції, кількістю укладених договорів і отриманих замовлень тощо, а не диверсифікований —за ставкою банківського відсотка за кредитами, інфляційними очікуваннями, загальними тенденціями розвитку економіки країни. Розраховуються коефіцієнти ділової активності, Фінансової стійкості визначається ймовірність настання банкрутства.
Останнім часом активно використовується метод експертних оцінок. Складаються різноманітні порівняльні характеристики рівнів ризику, визначаються рейтинги, готуються аналітичні експертні огляди. В принципі, кожний спеціаліст щоденно виступає в ролі експерта, приймаючи те чи інше важливе рішення. Крім того, особливо важливі рішення можуть прийматися групою експертів.
Одним із методів оцінки фінансових ризиків є економіко-математичне моделювання. Головне при цьому — правильний вибір моделі, виходячи з конкретної ситуації. Необхідно враховувати завчасно суб'єктивний характер тієї чи іншої моделі, що обирається, і робити поправку на певну схематичність, надлишкову зарегульованість або заданість фінансової ситуації. І все таки саме моделі дають змогу в цілому спрогнозувати конкретну ситуацію і оцінити можливу ймовірність фінансового ризику. Досить перспективною є комп'ютерна імітація фінансового ризику підприємства. В сучасних умовах створено певний набір готових програмних продуктів за його оцінкою. Майже кожне підприємство має можливість змоделювати фінансовий ризик індивідуально. При економіко-математичному моделюванні вибір критеріїв (цільової функції) і факторів (системи обмежень) пов'язаний зі стратегічною метою емітента або інвестора, який здійснює моделювання. Важливе значення має місце галузі, до якої належить емітент. Негативними характеристиками галузі є високий ступінь демонополізації, велика кількість власників, затяжний виробничий спад.
Достатньо перспективним є метод соціально-економічного експерименту, який передбачає проведення окремих експериментів за типовими фінансовими ситуаціями. До недоліків методу можна віднести не типовість багатьох фінансових ситуацій, що ускладнює поширення висновків, отриманих внаслідок окремих експериментів, на конкретні випадки фінансового життя підприємства.
На практиці при оцінці фінансового ризику широко застосовується метод аналогій. Спеціалісти, фінансові менеджери на підставі різних публікацій або практичного досвіду інших підприємств оцінюють ймовірність настання певних них подій, отримання конкретного фінансового результату, ступінь фінансового ризику. На основі методу аналогій будується фінансова стратегія і тактика багатьох підприємств. Однак необхідно враховувати, що кожне підприємство має велику кількість властивих лише йому одному особливостей кадрового, сировинного, галузевого характеру.
Оцінка ризику — свого роду мистецтво, засноване на поєднанні наукових методик та інтуїції експертів, аналітиків. Вона базується на одночасному врахуванні багатьох суперечливих факторів, використанні різноманітних теоретичних підходів і знанні прецедентів практики.
Систематичний фінансовий ризик достатньо точно прогнозується фундаментальними методами вивчення ринкової кон'юнктури. Аналіз кон'юнктури передбачає відстеження як поточного стану ринку, так і прогноз його розвитку. Спостереження, оцінка і виявлення тенденцій розвитку ринку об'єднані поняттям "моніторинг". Фундаментальні методи використовуються при довгостроковому прогнозуванні і базуються на аналізі сукупності макроекономічних показників. Вони розроблюються і використовуються службами кон'юнктурного передбачення які створюються при дослідницьких інститутах та університетах, товарних і фондових біржах.
3. Методи управління фінансовими ризиками
3.1 Методи і способи управління фінансовими ризиками.
Аналізуючи фінансові ринки країн, що розвиваються та будують ринкові відносини, в тому числі й України, спеціалісти роблять висновок про агресивність і високий ступінь ризику.
Учасники фінансового ринку України несуть такі ризики:
4. як емітенти;
5. як інвестори;
6. за операціями з цінними паперами за дорученням клієнтів чи як андерайтер (якщо виступають як інвестиційний інститут — фінансовий посередник) та дилер на ринку цінних паперів.
Тому діяльність суб'єктів фінансового ринку потребує особливих портфельних стратегій, спеціально підібраних фінансових інструментів, які б знижували ці ризики.
Фінансовими ризиками управляють за допомогою різних засобів Засобами управління фінансових ризиків є їх уникнення чи, утримання, зниження ступеня. Під уникненню ризику мають на увазі просте уникнення заходу, пов'язане з ризиком. Однак уникнення ризику для підприємця означає відмову від отримання прибутку. Утримання від ризику — це залишення його за інвестором, тобто на його відповідальності.
Передача ризику означає, що інвестор передає відповідальність за фінансовий ризик комусь іншому, наприклад, страховому товариству. В даному разі передача ризику відбувається шляхом страхування фінансового ризику.
Зниження ступеня ризику — скорочення ймовірності і обсягу втрат. При виборі конкретного способу управління ризиком інвестор повинен виходити із таких принципів:
· не можна ризикувати більше, ніж: це дає змогу зробити власний капітал;
· необхідно думати про наслідки ризику;
· не можна ризикувати великим заради малого.
Реалізація першого принципу означає, що, перш ніж вкладати капітал, інвестор повинен: визначити максимально можливий розмір збитку за даним ризиком, зіставити його з об'єктом вкладеного капіталу; зіставити його з усіма власними ресурсами і визначити, чи не призведе втрата цього капіталу до банкрутства інвестора. Обсяг збитку від вкладання капіталу може дорівнювати обсягу даного капіталу, бути більшим або меншим за нього. Обсяг збитку при прямих інвестиціях, як правило, дорівнює обсягу венчурного капіталу. При портфельних інвестиціях, тобто при купівлі цінних паперів, які можна продати на вторинному ринку, обсяг збитку значно менший від суми витраченого капіталу. Співвідношення максимально можливого обсягу збитку і обсягу власних фінансових ресурсів інвестора являє собою ступінь ризику, який призводить до банкрутства. Він вимірюється за допомогою коефіцієнта ризику:
Кр=І/С ,
де Кр — коефіцієнт ризику; І — максимально можлива сума збитку, грн.; С — обсяг власних фінансових ресурсів з урахуванням точно відомих надходжень коштів, грн.
Реалізація другого принципу потребує, щоб інвестор, знаючи максимально можливу величину збитку, визначив, до чого може призвести збиток, яка ймовірність ризику, і прийняв рішення І про відмову від ризику, про взяття ризику на свою відповідальність чи про передачу ризику на відповідальність іншої особи.
Дія третього принципу особливо чітко проявляється при передачі фінансового ризику. У цьому разі він означає, що інвестор повинен визначити прийнятне для нього співвідношення між страховою премією і страховою сумою. Страхова премія, чи страховий внесок, — це плата за страховий ризик страхувальника страховику. Страхова сума — це грошова сума, на яку застраховані матеріальні цінності (або громадянська відповідальність, життя, здоров'я). Інвестор не повинен брати ризику на себе, якщо розмір збитку можливо більший, ніж страхова премія.
Для зниження ступеня фінансового ризику застосовуються різні способи: диверсифікація, придбання додаткової інформації, лімітування, страхування.
Диверсифікація являє собою процес розподілу інвестованих коштів між різними об'єктами вкладення, які безпосередньо не пов'язані між собою. На принципі диверсифікації базується діяльність інвестиційних фондів, які продають клієнтам свої акції, а отримані кошти вкладають у різні цінні папери, що купуються фондом на ринку і дають постійний прибуток. Диверсифікація дає змогу уникнути частини ризику при розподілі капіталу між різними видами діяльності.
Інвестор іноді приймає рішення, коли результати не визначені і засновані на обмеженій інформації. Природно, що якби у інвестора була повніша інформація, він міг би зробити кращий прогноз і знизити ризик. Це робить інформацію товаром. Інформація є досить цінним товаром, за який інвестор готовий платити великі гроші, тому вкладення капіталу в інформацію стає однією із сфер підприємництва. При цьому вартість повної інформації — це різниця між очікуваною вартістю будь-якого винаходу, коли є повна інформація очікуваною вартістю, коли інформація неповна.
Лімітування — це встановлення ліміту тобто граничних сум витрат, продажу, кредиту. Лімітування є важливим засобом зниження ступеня ризику і застосовується банками при видачі позик, при укладанні договору на овердрафт; суб'єктами господарювання — при продажу товарів у кредит (на кредитні картки), на дорожні чеки і єврочеки; інвесторами — при визначенні сум вкладення капіталу.
Сутність страхування виражається в тому, що інвестор готовий відмовитися від частини прибутків, тільки б уникнути ризику, тобто він готовий заплатити за зниження ступеня ризику до нуля. Фактично, якщо вартість страховки дорівнює можливому збитку, інвестор, не схильний до ризику, захоче застрахуватися так, щоб забезпечити повне відшкодування будь-яких фінансових втрат. Страхування фінансових ризиків є одним із найпоширеніших способів його зниження. Страхування — це особливі економічні відносини. Для них обов'язкова наявність двох сторін: страховика і страхувальника. Страховик створює за рахунок платежів страхувальника грошовий фонд (страховий чи резервний). Для страхування характерні:
1. цільове призначення створеного грошового фонду, витрачання його ресурсів тільки на покриття втрат (надання допомоги) в обумовлених випадках;
2. ймовірнісний характер відносин, оскільки заздалегідь невідомо, коли настане відповідальна подія, якою буде її сила і кого із страхувальників вона зачепить;
3. поверненість коштів, тому що ці кошти призначені для виплати відшкодування втрат від усіх страхувальників, а не від кожного окремо.
У процесі страхування відбувається перерозподіл коштів між учасниками створення страхового фонду: відшкодування збитків одному або декільком страхувальникам здійснюється шляхом розподілу втрат на всіх. Кількість страхувальників, які внесли платежі протягом того чи іншого періоду, більша від кількості тих, хто отримує відшкодування.
Широко використовується метод страхування цінового ризику шляхом проведення протилежних операцій із різними видами біржових контрактів. Цей метод отримав назву у жування.
Хеджування - купівля або продаж похідних цінних паперів (опціонів або ф'ючерсів) для того ,щоб знизити їй ризик можливих втрат від майбутніх біржових угод.
Термін "хеджування" використовується у банківській, біржовій і комерційній практиці для визначення різних методів страхування, а також валютних ризиків. Хеджування можна розглядати як систему укладання термінових контрактів і угод, що враховує ймовірні в майбутньому зміни обмінних валютних курсів і ставить за мету уникнення несприятливих наслідків цих змін .В Україні хеджування розглядається як страхування від ризиків несприятливих змін цін на будь-які товарно-матеріальні цінності за контрактами і комерційними операціями, що передбачають поставку (продаж) товарів у майбутньому.
Контракт, що служить для страхування від ризиків зміни курсів (цін), має назву хедж. Суб'єкт господарювання, який здійснює хеджування, називається хеджер. Існують дві операції хеджування: хеджування на підвищення; хеджування на зниження.
Хеджування на підвищення, або хеджування купівлею, являє собою біржову операцію з купівлі термінових контрактів чи опціонів. Хедж на підвищення застосовується в тих випадках, коли необхідно застрахуватися від можливого підвищення цін (курсів) у майбутньому. Він дає змогу встановити купівельну ціну набагато раніше, ніж був придбаний реальний товар. Припустимо, що ціна товару (курс валюти чи цінних паперів) через три місяці зросте, а необхідний товар надійде через три місяці. Для компенсації втрат від очікуваного підвищення цін слід купити зараз за сьогоднішньою ціною терміновий контракт, пов'язаний із цим товаром, і продати у момент, коли буде купуватися товар. Оскільки ціна на товар і пов'язаний із ним терміновий контракт зміняться пропорційно в одному напрямку, то куплений раніше контракт можна продати дорожче на стільки, на скільки зросте до цього часу ціна на товар. Таким чином, хеджер, здійснюючи хеджування на підвищення, страхує себе від можливого підвищення цін у майбутньому.
Хеджування на зниження — це біржова операція з продажу термінового контракту. Хеджер, який здійснює хеджування н зниження, передбачає здійснити в майбутньому продаж товару , продаючи на біржі терміновий контракт або опціон, страхує себе від можливого зниження цін у майбутньому. Припустимо, що ціна товару (курс валюти, цінного папера) через три місяці знизиться, а товар необхідно буде продати через три місяці. Для компенсації передбачених втрат від зниження цін хеджер продає терміновий контракт сьогодні за високою ціною, а під час продажу свого товару через три місяці, коли ціна на нього впала, купує такий же терміновий контракт за заниженою (майже на стільки ж) ціною. Таким чином, хедж на зниження застосовується в тих випадках, коли товар необхідно продати пізніше. Хеджер намагається знизити ризик який викликаний невизначеністю цін на ринку, за допомогою купівлі чи продажу термінових контрактів. Це дає можливість зафіксувати ціну і зробити прибутки і витрати передбачувані іншими. При цьому ризик, пов'язаний із хеджуванням , не зникає. Його беруть на себе спекулянти, тобто підприємці, які йдуть на певний, заздалегідь розрахований, ризик. Хеджування може здійснюватися як із допомогою валютного опціону, так і через форвардну угоду.
Валютний опціон — це право покупця купити і зобов'язання продавця продати певну кількість однієї валюти в обмін на іншу за фіксованим курсом на заздалегідь узгоджену дату або протягом узгодженого періоду. Таким чином, опціонний контракт обов'язковий для покупця. Суб'єкт господарювання купує валютний опціон, який надає йому право (але не зобов'язання) придбати певну кількість валюти за фіксованим курсом в обумовлений день (європейський стиль).
Перевагами хеджування за допомогою опціону є повний захист від несприятливої зміни курсу валюти. Недоліком є витрати на оплату опціонної премії.
3.2 Концептуальні підходи до вимірювання фінансових ризиків
Невід'ємним атрибутом фінансових відносин у ринковій економіці виступає ризик, який розглядатимемо як категорію, що відбиває невизначеність у фінансових відносинах та особливості її сприйняття зацікавленими суб'єктами цих відносин. Фінансовий ризик характеризується ступенем або мірою відхилення фінансових результатів від сподіваних значень (як правило, в негативний бік) та проявляється у наявних чи потенційних збитках фінансових ресурсів.
Якісне та адекватне відбиття фінансових ризиків являє собою актуальне завдання для всіх учасників фінансового ринку — інвесторів, кредиторів, трейдерів, регуляторів ринку тощо. Для дослідження ризиків мають використовуватися різні методи наукового пізнання, одним з яких є моделювання, що дає можливість вивчати фінансові ризики за допомогою економіко-математичних моделей. Процедури вимірювання відіграють винятково важливу роль в економі-ко-математичному моделюванні фінансових ризиків. Важливість пояснюється глибинними гносеологічними аспектами. Саме впровадження міри фінансових ризиків як загальнонаукової категорії, що виражає діалектичний взаємозв'язок між якісними та кількісними характеристиками, дає можливість застосувати пізнавальний процес, результатом якого є сукупність кількісних співвідношень для фінансових ризиків різних типів, що є відправною точкою економіко-математичного моделювання.
З концептуальної точки зору вимірювання фінансових ризиків ґрунтується на оцінці ймовірнісного розподілу величини доходу збитків або вартості окремого активу чи портфеля активів. При включенні до розгляду часової динаміки оцінювання ймовірнісного розподілу необхідно здійснювати на певну дату чи протягом певного проміжку часу, b останньому випадку ймовірнісний розподіл перетворюється в параметричну сукупність розподілів, які представляють стохастичний процес. Однак інформація, представлена в імовірнісних розподілах, є вельми загальною для ефективного застосування на практиці. Практичний аспект передбачає наявність числової форми відбиття ризику, що зумовлює сутність процедури вимірювання — представлення ризику одним числом (чи набором чисел)максимальним збереженням якісних аспектів вимірюваного ризику. З математичної точки зору процедура вимірювання фінансових ризиків полягає у побудові відображення р, яке ставить у відповідність кожному випадковому розподілу число:
p:Y→R,
де Y — множина допустимих у конкретній задачі імовірнісних розподілів, що відбивають фінансові ризики, aR — множина дійсних чисел.
Відображення р має бути узгодженим з певними властивостями, які є важливими (в рамках того чи іншого підходу) при розгляді фінансових ризиків. Багатогранність категорії "фінансові ризики" зумовила існування та розвиток декількох концептуальних підходів до вимірювання фінансових ризиків, породжених представленими в них аспектами фінансових ризиків.
Аналіз та систематизація висвітлених у науковій літературі та використовуваних на практиці мір фінансових ризиків дали можливість нам здійснити структуризацію процедур вимірювання фінансових ризиків, виділивши чотири основні сучасні концепції у вимірюванні фінансових ризиків:
— концепцію збитків у несприятливій ситуації;
— концепцію варіативності;
— концепцію вимірювання фінансових ризиків в рамках теорії сподіваної корисності;
— концепцію чутливості.
Клас мір фінансових ризиків, що відбивають збитки у несприятливій ситуації, є найстарішим. Він має серйозне обґрунтування, підтверджене низкою наукових досліджень у фінансах, економіці та психології, проведених в останні 40 років. Зокрема, результати комплексних наукових досліджень у сфері прийняття рішень людьми в умовах ризику вказують на асиметричне сприйняття збитків та доходів більшістю людей — збитки важать більше, ніж потенційні доходи. Через що ризик асоціюється більшою мірою саме зі збитками, ніж із співвідношенням "збитки—дохід". Подібне підтверджується і низкою опитувань підприємців щодо їх уявлення про категорію ризику.
Найпростішою мірою фінансового ризику в рамках згаданої концепції є пара показників (рн , х), де рн - ймовірність настання несприятливої події та x — збитки при її настанні. На сьогодні така міра ризику застосовується в оцінці багатьох типів ризиків — кредитного, ринкового, операційного, страхового. Для кредитного ризику ця міра імплементована в міжнародні регулятивні норми. Поєднання збитків та ймовірності настання несприятливої події найчастіше здійснюється у формі добутку W = рн х, що дає змогу здійснити оцінку фінансових ризиків у випадках, коли необхідно обирати між варіантом з малою ймовірністю великих збитків та варіантом з високою ймовірністю незначних збитків.
Сучасний інструментарій вимірювання фінансових ризиків в рамках зазначеної концепції розвивається шляхом узагальнення поняття "несприятлива подія" за двома напрямками. Перший напрямок використовує як відправну точку цільове значення доходу/збитків, а другий напрямок — цільове значення ймовірності.
Якщо фінансовий результат Y представлено випадковою величиною з функцією розподілу Fr , то перший напрямок передбачає визначення певного цільового рівня К0. Ситуації, які призводять до фінансового результату нижче від визначеного рівня: Y < Y о , створюють несприятливу подію.
Пара показників ( P ( Y < Y 0), E (У / Y < Y 0)) є основною мірою ризику в концепції збитків у несприятливій ситуації за першим напрямком (E ( Y / Y < Y 0) — умовне математичне сподівання).
В ролі К0 може виступати цільова дохідність, якої прагне інвестор від операції, а може являти собою гранично низький рівень дохідності в конкретних економічних умовах, що обумовлює динамічний характер Y 0. Зокрема, у випадку піднесення на ринку можна домагатися вищого рівня дохідності від інвестицій, а у випадку рецесії — понижувати планку. В останньому випадку Y о може бути і від'ємним.
Цей напрямок вимірювання фінансових ризиків охоплює широковживаний у фінансово-економічному аналізі інвестиційних проектів метод бар'єрних значень5. Під бар'єрним значенням обраного показника інвестиційного проекту маємо на увазі таку величину, перевищення якої приводить до позитивного економічного результату в рамках інвестиційного проекту.
При розгляді фінансового результату за певним ринковим активом (наприклад, портфелем цінних паперів інвестиційного фонду), Y 0 може бути прив'язаним до значень дохідності вибраного для порівняння індексу /t . Зокрема, якщо вважати Y за дохідність, то на визначений момент часу Т ризик може бути характеризований подією Y < Іт. Подібні міри широко використовуються в портфельному менеджменті, тому що дають можливість порівнювати результати управління в рамках реальних ринкових умов, відбитих у значеннях індексу. Однак подібний підхід може бути і предметом певних маніпулювань менеджерів портфелів через підбір відповідних індексів.
Другий напрямок у даній концепції — ймовірнісний, характеризує несприятливі події як такі, що вкладаються у встановлений рівень ймовірності а — тобто найгірші а 100% потенційних випадків вважаються несприятливими. Подібне втілюється у такому широковживаному класі мір фінансових ризиків, що об'єднуються під назвою "капітал під ризиком"6 (Value-at-Risk). Сутність вимірювання ризику при цьому полягає у визначенні квантиля величини, та формуванні "капіталу проти ризику" в розмірі – VaR а( Y ). Графічно VaR для а = 95 % та певного часового інтервалу Т зображено на рисунку.

4. Практична частина
4.1 Горизонтальний та вертикальний аналіз балансу і звіту про фінансові результати
Таблиця 4.1 – Порівняльний аналітичний баланс
| Статті балансу | Абсолютні значення, тис.грн. | Питома вага, % | Зміни | ||||||
| За попередній період | За звітний період | За попередній період | За звітний період | В абсолютних величинах | У питомій вазі | У % до попереднього періоду | У % до зміни підсумку балансу | ||
| 1 | 2 | 3 | 4 | 5 | 6 | 7 | 8 | 9 | |
| АКТИВ | |||||||||
| 1. Необоротні активи | |||||||||
| Нематеріа-льні активи: | |||||||||
| -залишкова вартість | 49 | 73 | 0,899 | 1,227 | 24 | 0,328 | 48,980 | 10,959 | |
| -первісна вартість | 66 | 87 | 1,211 | 1,463 | 21 | 0,252 | 31,818 | 9,589 | |
| -накопичена амортизація | 17 | 14 | 0,312 | 0,235 | -3 | -0,076 | -17,647 | -1,370 | |
| Основні засоби: | |||||||||
| -залишкова вартість | 2270 | 2026 | 41,644 | 34,062 | -244 | -7,582 | -10,749 | -111,416 | |
| -первісна вартість | 2742 | 2472 | 50,303 | 41,560 | -270 | -8,743 | -9,847 | -123,288 | |
| -знос | 472 | 446 | 8,659 | 7,498 | -26 | -1,161 | -5,508 | -11,872 | |
| Довгостроко-ві фінансові інвеситції: | |||||||||
| -які обліковуються за методом участі в капіталі інших підприємств | 140 | 160 | 2,568 | 2,690 | 20 | 0,122 | 14,286 | 9,132 | |
| -інші фінансові інвестиції | 75 | 62 | 1,376 | 1,042 | -13 | -0,334 | -17,333 | -5,936 | |
| Довгострокова дебіторська заборгованість | 264 | 275 | 4,843 | 4,623 | 11 | -0,220 | 4,167 | 5,023 | |
| Відстрочені податкові платежі | 24 | 27 | 0,440 | 0,454 | 3 | 0,014 | 12,500 | 1,370 | |
| Інші необоротні активи | 63 | 36 | 1,156 | 0,605 | -27 | -0,551 | -42,857 | -12,329 | |
| 2. Оборотні активи | |||||||||
| Запаси: | |||||||||
| -виробничі запаси | 574 | 726 | 10,530 | 12,206 | 152 | 1,676 | 26,481 | 69,406 | |
| -незавершене виробництво | 260 | 345 | 4,770 | 5,800 | 85 | 1,031 | 32,692 | 38,813 | |
| -готова продукція | 125 | 177 | 2,293 | 2,976 | 52 | 0,683 | 41,600 | 23,744 | |
| -товари | 94 | 107 | 1,724 | 1,799 | 13 | 0,074 | 13,830 | 5,936 | |
| Векселі одержані | 340 | 725 | 6,237 | 12,189 | 385 | 5,952 | 113,235 | 175,799 | |
| Дебіторська заборгованість за товари, роботи, послуги: | |||||||||
| -чиста реалізаційна вартість | 59 | 75 | 1,082 | 1,261 | 16 | 0,179 | 27,119 | 7,306 | |
| -первісна вартість | 74 | 96 | 1,358 | 1,614 | 22 | 0,256 | 29,730 | 10,046 | |
| -резерв сумнівних боргів | 15 | 21 | 0,275 | 0,353 | 6 | 0,078 | 40 | 2,740 | |
| Дебіторська заборгованість за розрахунками | |||||||||
| -з бюджетом | 24 | 37 | 0,440 | 0,622 | 13 | 0,182 | 54,167 | 5,936 | |
| -за виданими авансами | 47 | 56 | 0,862 | 0,941 | 9 | 0,079 | 19,149 | 4,110 | |
| -за внутрішніми розрахунками | 62 | 62 | 1,137 | 1,042 | 0 | -0,095 | 0 | 0 | |
| Інша поточна дебіторська заборгованість | 76 | 47 | 1,394 | 0,790 | -29 | -0,604 | -38,158 | -13,242 | |
| Поточні фінансові інвестиції | 160 | 140 | 2,935 | 2,354 | -20 | -0,582 | -12,500 | -9,132 | |
| Грошові кошти та їх еквіваленти: | |||||||||
| -в національній валюті | 175 | 142 | 3,210 | 2,387 | -33 | -0,823 | -18,857 | -15,068 | |
| -в іноземній валюті | 63 | 22 | 1,156 | 0,370 | -41 | -0,786 | -65,079 | -18,721 | |
| Інші оборотні активи | 43 | 64 | 0,789 | 1,076 | 21 | 0,287 | 48,837 | 9,589 | |
| 3. Витрати майбутніх періодів | 375 | 447 | 6,879 | 7,515 | 72 | 0,636 | 19,200 | 32,877 | |
| Баланс | 5451 | 5948 | 160,484 | 150,757 | 219 | -9,728 | 339,253 | 100 | |
| 1. Власний капітал | |||||||||
| Статутний капітал | 1417,26 | 1546,48 | 26 | 26 | 129,22 | 0 | 9,118 | 26 | |
| Додатковий вкладений капітал | 327,06 | 237,92 | 6 | 4 | -89,14 | -2 | -27,255 | -17,936 | |
| Резервний капітал | 109,02 | 178,44 | 2 | 3 | 69,42 | 1 | 63,676 | 13,968 | |
| Нерозподілений прибуток | 381,57 | 237,92 | 7 | 4 | -143,65 | -3 | -37,647 | -28,903 | |
| 2. Забезпечення наступних витрат і платежів | |||||||||
| Забезпечення виплат персоналу | 218,04 | 416,36 | 4 | 7 | 198,32 | 3 | 90,956 | 39,903 | |
| 3. Довгострокові забов’язання | |||||||||
| Довгостроко-ві кредити банків | 1226,475 | 1546,48 | 22,5 | 26 | 320,005 | 3,5 | 26,091 | 64,387 | |
| Довгострокові фінансові забов’язання | 327,06 | 178,44 | 6 | 3 | -148,62 | -3 | -45,441 | -29,903 | |
| Інші довгострокові забов’язання | 381,57 | 356,88 | 7 | 6 | -24,69 | -1 | -6,471 | -4,968 | |
| 4. Поточні забов’язання | |||||||||
| Короткострокові кредити банків | 218,04 | 416,36 | 4 | 7 | 198,32 | 3 | 90,956 | 39,903 | |
| Векселі видані | 272,55 | 178,44 | 5 | 3 | -94,11 | -2 | -34,529 | -18,936 | |
| Кредиторська заборгова-ність за товари, роботи, послуги | 245,295 | 237,92 | 4,5 | 4 | -7,375 | -0,5 | -3,007 | -1,484 | |
| Прострочені забов’язання за розрахун-ками: | |||||||||
| -з позабюд-жетних платежіів | 218,04 | 356,88 | 4 | 6 | 138,84 | 2 | 63,676 | 27,936 | |
| -із внутрішніх розрахунків | 109,02 | 59,48 | 2 | 1 | -49,54 | -1 | -45,441 | -9,968 | |
| Баланс | 5451 | 5948 | 100 | 100 | 497 | 0 | 144,682 | 100 | |
Таблиця 4.2 – Порівняльний аналітичний звіт про фінансові результати
| Статті Звіту | Абсолютні значення, тис. грн. | Питома вага статей в доході від реалізації, % | Зміни | ||||
| За попередній період | За звітний період | За попередній період | За звітний період | в абсолют. величинах (3-2) |
у структур (5-4) |
Темпи росту, % (3/2*100) |
|
| 1 | 2 | 3 | 4 | 5 | 6 | 7 | 8 |
| Доход (виручка) від реалізації продукції (товарів, робіт, послуг) | 1467 | 1346 | 100 | 100 | - 121 | 0 | 91,75 |
| Податок на додану вартість | 293,4 | 269,2 | 20 | 20 | - 24,2 | 0 | 91,75 |
| Чистий доход (виручка) від реалізації продукції (товарів, робіт, послуг) | 1129,6 | 1039,8 | 77 | 77,3 | - 89,8 | 0,3 | 84,09 |
| Собівартість реалізованої продукції (товарів, робіт, послуг) | 262 | 372 | 17,8 | 27,6 | 110 | 10,2 | 92,05 |
| Валовий: | |||||||
| прибуток | 867,6 | 667,8 | 59 | 49,6 | - 199,8 | - 10,6 | 141,98 |
| Інші операційні доходи | 77 | 66 | 5,2 | 4,9 | - 11 | - 0,3 | 76,97 |
| Адміністративні витрати | 84 | 97 | 5,7 | 7,2 | 13 | 1,5 | 85,71 |
| Витрати на збут | 26 | 32 | 1,8 | 2,4 | 6 | 0,6 | 115,48 |
| Інші операційні витрати | 44 | 37 | 3 | 2,7 | - 7 | - 0,3 | 123,08 |
| Фінансові результати від операційної діяльності: | |||||||
| прибуток | 636,6 | 435,8 | 43,4 | 32,4 | - 200,8 | - 11 | 84,09 |
| Інші фінансові доходи | 11 | 8 | 0,7 | 0,6 | - 3 | - 0,1 | 68,46 |
| Інші доходи | 168,09 | ||||||
| Інші витрати | 54 | 46 | 3,7 | 3,4 | - 8 | - 0,3 | 72,73 |
| Фінансові результати від звичайної діяльності до оподаткування: | |||||||
| прибуток | 640,6 | 476,8 | 43,7 | 35,4 | - 163,8 | - 8,3 | 85,19 |
| Податок на прибуток від звичайної діяльності | 160,15 | 119,2 | 10,9 | 8,9 | - 40,95 | - 2 | 74,43 |
| Фінансові результати від звичайної діяльності: | |||||||
| прибуток | 480,45 | 357,6 | 32,8 | 26,6 | - 122,85 | - 6,2 | 74,43 |
| Чистий: | |||||||
| прибуток | 480,45 | 357,6 | 32,8 | 26,6 | - 122,85 | - 6,2 | 74,43 |
4.2 Факторний аналіз результату операційної діяльності підприємства
Таблиця 4.3 –Вихідні дані для факторного аналізу результату операційної діяльності
| Стаття | Код рядка | За звітний період |
За попередній період |
Абсолютна зміна |
| Доход (виручка) від реалізації продукції (товарів, робіт, послуг) | 10 | 1346 | 1467 | - 121 |
| Податок на додану вартість | 15 | 269,2 | 293,4 | - 24,2 |
| Собівартість реалізованої продукції (товарів, робіт, послуг) | 40 | 372 | 262 | 110 |
| Інші операційні доходи | 60 | 66 | 77 | - 11 |
| Адміністративні витрати | 70 | 97 | 84 | 13 |
| Витрати на збут | 80 | 32 | 26 | 6 |
| Інші операційні витрати | 90 | 37 | 44 | - 7 |
| Фінансові результати від операційної діяльності: | ||||
| прибуток | 100 | 435,8 | 636,6 | - 200,8 |
| збиток | 105 | - | - | - |
Взявши за основу Звіт про фінансові результати операційної діяльності, не будемо враховувати дані, які мали нульове значення, і дані, що використовувалися для проміжних підсумків. Враховуючи ці вимоги, отримана таблиця 4.3. Розрахунок фінансового результату будемо проводити в наступному вигляді:
Фінансовий результат від операційної діяльності = Доход (виручка) від реалізації продукції (товарів, робіт, послуг) - Податок на додану вартість- Інші вирахування з доходу - Собівартість реалізованої продукції (товарів, робіт, послуг) + Інші операційні доходи - Адміністративні витрати - Інші операційні витрати.
Розрахуємо фінансовий результат за попередній період:
Фінансовий результат від операційної діяльності = 1467 – 293,4 – 262 + 77 – 84 – 44 – 26 = 834,6
Оскільки модель мультиплікативна (складові додаються чи віднімаються), то величина зміни кожного фактора буде дорівнювати величині впливу цього фактору на модель в цілому. Іншими словами, якщо дохід зменшився на 121тис. грн., то і фінансовий результат від операційної діяльності під дією цього фактора зменшився на 121грн. грн. В таблиці 4.3 розраховані зміни кожного з факторів. Саме на таку величину вони впливають і на операційний прибуток. Розрахуємо сумарний вплив, враховуючи знаки в формулі 4.1:
Зміна фінансового результату від операційної діяльності = - 121 – 24,2 – 110 + (- 11) – 13 – 6 + 7 = - 278,2
Таким чином, під дією факторів фінансовий результат зменшився на 278,2 тис. грн. і повинен скласти:
834,6 – 278,2 = 556,4.
Таким чином підприємство отримало прибуток в розмірі 556,4 тис. грн.
4.3 Коефіцієнтний аналіз фінансово–господарської діяльності підприємства
1. Показники майнового стану
1.1 Коефіцієнт зносу основних засобів (
)
Цей показник показує рівень фізичного і морального зносу основних фондів.
| Формула | Джерела інформації | Розрахунковий період | |
| На початок звітного періоду | На кінець звітного періоду | ||
![]() |
472/2742=0,1721 | 446/2472=0,1804 | |
Коефіцієнт зносу основних засобів на початок звітного періоду більший ніж на кінець звітного періоду.
1.2 Коефіцієнт оновлення основних засобів (
)
Показує рівень фізичного і морального оновлення основних фондів.
| Формула | Джерела інформації | Розрахунковий період | |
| На початок звітного періоду | На кінець звітного періоду | ||
![]() |
![]() |
2472/2742=0,9015 | 2472/2472=1 |
Збільшення за умов виключення інфляційного фактора.
1.3 Частка оборотних виробничих активів (
)
Економічний зміст даного показника показує частку мобільних виробничих фондів у валюті балансу.
| Джерела інформації | Розрахунковий період | ||
| На початок звітного періоду | На кінець звітного періоду | ||
![]() |
574+260+385/5451= 0,2218 |
726+345+447/5948= 0,2552 |
|
Частка оборотних виробничих активів на початок періоду була меншою ніж на кінець звітного періоду.
1.4 Коефіцієнт мобільності активів (![]()
)
Даний показник показує скільки обігових коштів припадає на одиницю необігових, а також потенційну можливість перетворення активів у ліквідні кошти.
| Формула | Джерела інформації | Розрахунковий період | |
| На початок звітного періоду | На кінець звітного періоду | ||
![]() |
2191+375/5451= 0,8894 |
2842+447/5948= 1,2369 |
|
Коефіцієнт мобільності активів на початок звітного періоду був меншим ніж на кінець. Коефіцієнт мобільності активів зріс, досягнувши рекомендованого рівня.
2. Показники ділової активності
2.1 Коефіцієнт оборотності обігових коштів (обороти) (
)
Показує кількість оборотів обігових коштів за період; скільки виручки припадає на одиницю обігових коштів.
| Формула | Джерела інформації | Розрахунковий період | |
| На початок звітного періоду | На кінець звітного періоду | ||
![]() |
![]() |
1039,8/2191+375= 0,4052 |
1129,6/2842+447= 0,3434 |
Коефіцієнт оборотності обігових коштів на початок звітного періоду має більше значення ніж на кінець періоду.
2.2 Коефіцієнт оборотності запасів (обороти) (
)
Показує кількість оборотних коштів, інвестованих у запаси.
| Формула | Джерела інформації | Розрахунковий період | |
| На початок звітного періоду | На кінець звітного періоду | ||
![]() |
![]() |
372/1053=0,3533 | 262/1355= 0,1934 |
Коефіцієнт оборотності запасів на початок звітного періоду менший ніж на кінець періоду.
2.3 Період одного обороту запасів (
)
Характеризує період, протягом якого запаси трансформуються в кошти.
| Формула | Джерела інформації | Розрахунковий період | |
| На початок звітного періоду | На кінець звітного періоду | ||
| 360/0,3533=1018,964 | 360/0,1934=1861,427 | ||
Період одного обороту запасів на кінець періоду більший ніж на початок періоду.
2.4 Коефіцієнт оборотності дебіторської заборгованості (обороти) ![]()
Показує у скільки разів виручка перевищує середню дебіторську заборгованість.
| Формула | Джерела інформації | Розрахунковий період | |
| На початок звітного періоду | На кінець звітного періоду | ||
![]() |
![]() |
1039,8/264+24+47+62+76= 2,1983 |
1129,6/275+37+56+62+ 47=2,3681 |
Коефіцієнт оборотності дебіторської заборгованості на початок періоду менший ніж на його кінець.
3. Показники рентабельності
3.1 Рентабельність капіталу (активів) за чистим прибутком
.
Показує скільки припадає чистого прибутку на одиницю інвестованих в активи коштів.
| Формула | Джерела інформації | Розрахунковий період | |
| На початок звітного періоду | На кінець звітного періоду | ||
![]() |
357,6/5451=0,0656 | 480,45/5948=0,0808 | |
По даному показнику відбулося збільшення на кінець звітного періоду.
3.2 Рентабельність власного капіталу
.
Рентабельність власного капіталу показує скільки припадає чистого прибутку на одиницю власного капіталу.
| Формула | Джерела інформації | Розрахунковий період | |
| На початок звітного періоду | На кінець звітного періоду | ||
![]() |
357,6/2234,91= 0,1600 |
480,45/2200,76= 0,2183 |
|
Відбувається збільшення на кінець звітного періоду.
3.3 Рентабельність реалізованої продукції за чистим прибутком
.
Показує скільки припадає чистого прибутку на одиницю виручки.
| Формула | Джерела інформації | Розрахунковий період | |
| На початок звітного періоду | На кінець звітного періоду | ||
![]() |
357,6/1039,8=0,3439 | 480,45/1129,6=0,4253 | |
Рентабельність реалізованої продукції за чистим прибутком збільшилась на кінець періоду.
3.4 Період окупності власного капіталу
.
Показує за який період кошти, що інвестовані в активи, будуть компенсовані чистим прибутком.
| Формула | Джерела інформації | Розрахунковий період | |
| На початок звітного періоду | На кінець звітного періоду | ||
![]() |
5451/357,6= 15,2433 | 5948/480,45= 12,3801 | |
Період окупності капіталу зменшився на кінець періоду.
4. Показники фінансової стійкості
4.1 Власні обігові кошти (робочий, функціонуючий капітал)
.
Характеризує оборотні активи, які фінансуються за рахунок власного капіталу і довгострокових зобов’язань.
| Формула | Джерела інформації | Розрахунковий період | |
| На початок звітного періоду | На кінець звітного періоду | ||
![]() |
2234,91+218,04- 1935,105-2885=-2367,155 | 2200,76+416,36-2081,8-2659= -2123,68 | |
Власні обігові кошти на початок звітного періоду були більшими ніж на кінець періоду.
4.2 Маневреність робочого капіталу
.
Показує частку запасів у власних обігових коштах.
| Формула | Джерела інформації | Розрахунковий період | |
| На початок звітного періоду | На кінець звітного періоду | ||
![]() |
![]() |
574+260+125+94/ 2191+375-1062,945= 0,7006 |
726+345+177+107/ 2842+447-1249,08= 0,6642 |
Відбулося зменшення на кінець звітного періоду.
4.3 Коефіцієнт фінансової незалежності
.
Характеризує можливість підприємства виконати зовнішні зобов’язання за рахунок власних активів та його незалежність від позикових джерел.
| Формула | Джерела інформації | Розрахунковий період | |
| На початок звітного періоду | На кінець звітного періоду | ||
![]() |
![]() |
2234,91+218,04/ 5451= 0,45 | 2200,76+416,36/5948=0,44 |
Коефіцієнт фінансової незалежності зменшився на кінець звітного періоду.
4.4 Показник фінансового лівериджу
.
Характеризує залежність підприємства від довгострокових зобов’язань.
| Формула | Джерела інформації | Розрахунковий період | |
| На початок звітного періоду | На кінець звітного періоду | ||
![]() |
![]() |
1935,105/ 2234,91+218,04= 0,78 | 2081,8/ 2200,76+416,36=0,79 |
Відбулося збільшення на кінець періоду. Показник фінансового лівериджу має бути ![]()
4.5 Коефіцієнт фінансової стійкості
.
Показує частку стабільних джерел фінансування у загальному обсязі.
| Формула | Джерела інформації | Розрахунковий період | |
| На початок звітного періоду | На кінець звітного періоду | ||
![]() |
![]() |
2234,91+218,04+ 1935,105/5451=0,805 | 2200,76+416,36+ 2081,8/5948=0,8 |
Відбулося зменшення на кінець періоду, але отримані значення не відповідають умові, що коефіцієнт фінансової стійкості повинен знаходитися в межах між 0,85 і 0,90.
5. Показники ліквідності (платоспроможності).
5.1 Коефіцієнт ліквідності поточної
.
Характеризує достатність обігових коштів для погашення боргів протягом року.
| Формула | Джерела інформації | Розрахунковий період | |
| На початок звітного періоду | На кінець звітного періоду | ||
![]() |
2191/1062,945=2,0612 | 2842/1249,08=2,2753 | |
Коефіцієнт ліквідності поточної збільшився на кінець періоду.
5.2 Коефіцієнт ліквідності швидкої
.
Показує скільки одиниць найбільш ліквідних активів припадає на одиницю термінових боргів.
| Формула | Джерела інформації | Розрахунковий період | |
| На початок звітного періоду | На кінець звітного періоду | ||
![]() |
2191/1935,105+1062,945=0,7308 | 2842/2081,8+1249,08 =0,8532 | |
Коефіцієнт ліквідності швидкої збільшився на кінець звітного періоду.
5.3 Коефіцієнт ліквідності абсолютної
.
Характеризує готовність підприємства негайно ліквідувати короткострокову заборгованість.
| Формула | Джерела інформації | Розрахунковий період | |
| На початок звітного періоду | На кінець звітного періоду | ||
![]() |
175+63/1062,945=0,2239 | 142+22/1249,08=0,1313 | |
Коефіцієнт ліквідності абсолютної зменшився на кінець звітного періоду.
4.4 Визначення типу фінансової стійкості
Тип фінансової стійкості можна визначити на основі трьохкомпонентного синтетичного показника.
І.
1.1. Коефіцієнт власних оборотних засобів (Квоз) = І р. П – І р. А=
= Ф1,р.380- Ф1, р.080.
Квоз = 2234,91 – 2885 = - 650,09
1.2. Коефіцієнт власних оборотних засобів та довгостроковихзалучених джерел формування запасів
Квоз, д.з.дж.ф.з. = Квоз + ІІІ р. П = Квоз + Ф1, р.480
Квоз, д.з.дж.ф.з.= - 650,09 + 1935,105 = 1285,02
1.3. Загальна величина основних джерел фінансування господарської діяльності (Косн.дж.) = Квоз, д.з.дж.ф.з. + Короткострокові банківські кредити (Кк.б.кр.) = Квоз, д.з.дж.ф.з.+ Ф1,р. 500
Косн.дж.= 1285,02 + 218,04 = 1503,06
ІІ.
а) Ф = Квоз-З = - 650,09 - 1053 = - 1703,09<0
б) Ф = Квоз, д.з.дж.ф.з. – З = 1285,02 – 1053 = 232,02>0
в) Ф = Косн.дж. – З = 150,3 – 1053 = 450,06>0
де З- запаси, Ф1, Σ100…140
ІІІ.
![]()
S = {Ф, Ф,Ф}
S(A) = «1» при Ф>0
«0» при Ф<0
У нашому випадку S = {0; 1; 1}, тобто підприємство має нормальну фінансову стійкість.
4.5 Визначення тривалості операційного та операційно-фінансового циклів підприємства
Операційний цикл визначається за формулою:
ТО.Ц. = tоб.з + tоб.д.з.
Він показує скільки днів в середньому необхідно для виробництва, продажу та розрахунку за продукцію підприємству або протягом якого часу грошові кошти підприємства знаходяться у запасах. Чим коротший операційний цикл тим краще для підприємства
Ми вже розраховували період оборотності запасів, у нашому випадку він становить Тоб. зап.=1019 днів.
Обчислимо період обороту дебіторської заборгованості при Коб. дз=2,2:
Тоб. дз=
(дні)
Розраховуємо операційний цикл:
ТО.Ц. = 1019 + 164 = 1184 (дні)
Отже, в середньому для виробництва, продажу та розрахунків за продукцію підприємству необхідно 1184 дні.
Операційно-фінансовий цикл визначається за формулою:
ТО.Ф.Ц. = ТО.Ц. – tоб.к.з.
Для розрахунку періоду оборота кредиторської заборгованості (tоб.к.з.) необхідний коефіцієнт оборотності кредиторської заборгованості, який показує, скільки оборотів необхідно підприємству, щоб розрахуватися з чистою кредиторською заборгованістю, яку воно має. Розраховується за формулою:

Розраховуємо період обороту кредиторської заборгованості, який характеризує розрахункову кількість днів для розрахунку за комерційним кредитом від своїх постачальників, за формулою:
![]()
Розрахуємо операційно-фінансовий цикл:
ТО.Ф.Ц. = 1183 – 234 = 949 (днів).
949 > 0, отже підприємство потребує додаткового залучення грошових коштів, тобто залучення їх зі сторони, оскільки воно фактично кредитує своїх дебіторів грошовими засобами. Стратегія підприємства має бути спрямована на зменшення тривалості операційного циклу та збільшення періоду обороту кредиторської заборгованості
4.6 Оцінка ймовірності банкрутства підприємства
Модель Альтмана
Z = 1,2х1+1,4х2+3,3хз+0,6х4+х5
де Z –залежна змінна (інтегральний показник фінансового стану підприємства);
х1, х2, ...хр –незалежні змінні дискримінантної моделі.


![]()

![]()
![]()
![]()
Zп = 1,2*0,276+1,4*0,02+3,3*0,13+0,6*0,67+0,19 = 1,38
Zк = 1,2*0,34+1,4*0,03+3,3*0,07+0,6*0,62+0,19 = 1,24
Якщо Z
1,8, ймовірність банкрутства висока.
Якщо
, ймовірність банкрутства не висока.
Модель Таффлера
Z =0,53х1+0,13х2+0,18х3+0,16х4
![]()
![]()
![]()
![]()
![]()
![]()
![]()
![]()
![]()
![]()
![]()
![]()
Zn =0,53*0,06+0,13*0,7+0,18*0,2+0,16*0,2 = 0,46
Zk =0,53*0,3+0,13*0,9+0,18*0,2+0,16*0,2 = 0,34
Отже, можна зробити висновок, що підприємство має погані довгострокові перспективи, оскільки Z майже = 0,3 і банкрутство ймовірне.
Модель Ліса
Z =0,063х1+0,092х2+0,057х3+0,001х4
![]()
![]()
![]()
![]()
![]()
![]()
![]()
![]()
![]()
![]()
![]()
![]()
Zn =0,063*0,4+0,092*0,01+0,057*0,07+0,001*0,7 = 0,03
Zk =0,063*0,5+0,092*0,01+0,057*0,04+0,001*0,6 = 0,04
Нормативне значення за моделлю Ліса Z=0,037. Отже, імовірність банкрутства - висока.
Двофакторна модель
Zа= - 0,3877 - 1,0736*Кп + 0,0579*Ка,
де Кп – коефіцієнт покриття (2,26);
Ка – коефіцієнт автономії (0,44).
Zа= - 0,3877 - 1,0736* 2,26+ 0,0579*0,44= - 2,79
У нашому випадку Z<0, тобто існує висока ймовірність того, що підприємство залишиться платоспроможним.
Z = 1,51х1+0,08х2+10х3+5х4+0,3х5+0,1х6

Х![]()
=0,2239
Х![]()
=0,1313
Х![]()
=1,82
Х![]()
=1,79
Х![]()
=0,12
Х![]()
=0,07
Х![]()
=0,56
Х![]()
=0,42
Х![]()
=0,51
Х![]()
=0,7
Х![]()
=0,21
Х![]()
=0,18
Zп = 1,51*0,2239+0,08*1,82+10*0,12+5*0,56+0,3*0,51+0,1*0,21 = 4,7
Zк = 1,51*0,1313+0,08*1,79+10*0,07+5*0,42+0,3*0,7+0,1*0,18 = 3,4
Z < 2, отже підприємство вважається фінансово стійким, йому загрожує банкрутство.
Отже, за проведеними розрахунками бачимо, що ймовірність банкрутства спостерігається за всіма моделями.
Висновок
Фінансові ризики — це спекулятивні ризики. Інвестор, здійснюючи венчурне вкладення капіталу, заздалегідь знає, що для нього можливі лише два результати: прибуток або збиток. Особливістю фінансового ризику є ймовірність зазнати збитків у результаті проведення будь-яких операцій у фінансово-кредитній і біржовій сферах, здійснення операцій з фондовими цінними паперами, тобто ризику, який випливає з природи цих операцій, тому суть ризику полягає в імовірності настання або ненастання події з можливими негативними наслідками через обмеженість матеріальних і нематеріальних ресурсів.
На практиці при оцінці фінансового ризику широко застосовується метод аналогій. Спеціалісти, фінансові менеджери на підставі різних публікацій або практичного досвіду інших підприємств оцінюють ймовірність настання певних них подій, отримання конкретного фінансового результату, ступінь фінансового ризику. На основі методу аналогій будується фінансова стратегія і тактика багатьох підприємств. Однак необхідно враховувати, що кожне підприємство має велику кількість властивих лише йому одному особливостей кадрового, сировинного, галузевого характеру.
У даній роботі було проаналізовано порівняльний звіт про фінансові результати підприємства за такими показниками як:
- показники майнового стану;
- показники ділової активності;
- показники рентабельності;
- показники фінансової стійкості;
- показники платоспроможності.
Стосовно майнового стану підприємства можна зробити висновок, що дане підприємство не достатньо забезпечене основними активами, оскільки розраховані показники не відповідають нормативним значенням і напрямку позитивних змін. В показниках ділової активності, коефіцієнт обігових коштів та дебіторська заборгованість не відповідають нормативним значенням. Щодо показників рентабельності підприємства можна сказати, що в своїй більшості вони не відповідають нормативним значенням. Стосовно показників фінансової стійкості можна зробити висновки, що більшість з показників відповідають нормам, що свідчить про фінансову автономію і стабільність підприємства. Показники ліквідності відповідають нормативним значенням, тобто підприємство має достатньо коштів для погашення своїх боргів, а тому підприємство є відносно ліквідним.
Провівши аналіз отриманих показників фінансового стану підприємства можна зробити висновок, що його діяльність є ефективною, тому що більшість показників відповідають нормативним значенням.
Список використаної літератури :
1. Маслова С.О., Опалов О.А. Фінансовий ринок : Навч. посібник.-Ірпінь : Академія ДПС України , 2006.-501с.
2. Ходаківська В.П., Бєляєв В.В. Ринок фінансових послуг : теорія і практика. Навчальний посібник.-Київ : ЦУЛ ,2002.-616с.
3. Іванов В.М. Фінансовий ринок : Конспект лекцій.-Київ: МАУП,1999.-112с.
4. Ходанівська В.П., Данилов О.Д. Фінансовий ринок : Навч. посібник.-Ірпінь : Академія ДПС України , 2001.-501с.
5. Чипус А.В., Царенко А.М. Финансовое положение предприятия(оценка, анализ, планирование).-Сумы: Изд-во «Университетская книга» , 2002.-362 с.
6. Фінансова діяльність підприємства: Підручник / О.М. Бандурка, М.Я.Коробов.- К.: Либідь, 2002 .-362 с.
7. Фінанси підприємств: Підручник / За ред. Професора А.М. Поддєрьо- гіна. -К.:КНЕУ,2000.-460 с.
8. Слав¢юк Р.А. Фінанси підприємств.-К.:ЦУЛ,2002.-460 с.
9. Сивый В., Балыка С. Управление хозяйственным риском // Бизнес информ. – 1998. - № 12. – С.23-27.
10. Устенко О.Л. Теория экономического риска : Монография. – К.: МАУП, 1997. – 164 с.
11. Щукін Б.М. Інвестиційна діяльність:Методичний посібник. – К.: МАУП, 1998. – 68 с.
12. Іванченко В.. Організація процесу злиття / поглинання, досвід роботи в Україні. Український інвестиційний журнал "Welcome" - №11-12, 1998 р.


























