| Скачать .docx |
Курсовая работа: Інвестиційні інструменти управління проектами
КУРСОВИЙ ПРОЕКТ
з курсу
«Методологія, методи та засоби проектного менеджменту»
на тему:
«Інвестиційні інструменти управління проектами»
(на прикладі бізнес-плану створення міні-гольф клубу)
2009
Вступ
Головне завдання інвестиційного аналізу – розрахувати ефективність інвестиційного проекту й оцінити його ризикованість. Інакше кажучи, оптимальний вибір робиться по двох параметрах: ефективність і ризик.
У класичному інвестиційному аналізі можна виділити, три типи математичних моделей, що визначають параметри:
– суму доходу інвестиції (NV, NPV, MNPV),
– прибутковість інвестиції (NRR, IRR, MIRR, MIRR(бар),
– індекс прибутковості інвестиції (DPI) і
– строк окупності інвестиції (окупність, Тс-Окупність, дюрація)
грошових потоків, генерируємих інвестиційним проектом.
Модель №1.У модель входять тільки грошові потоки (CF і I). Визначаються параметри NV і Окупність.
Модель №2.У модель входять грошові потоки й бар'єрна ставка (CF, I і Rбар). Визначаються параметри IRR, NPV, DPI, NRR, Дюрация, Тс-Окупність і MIRR(бар). У цій моделі додається облік зміни вартості грошей у часі (за допомогою Rбар).
Модель №3.У модель входять грошові потоки, бар'єрна ставка й рівень реінвестицій (CF, I, Rбар і Rреин). Визначаються параметри MIRR, MNPV і MNRR. Додається, крім обліку зміни вартості грошей у часі, облік норми прибутковості реінвестицій (за допомогою Rреин).
Метою курсового проекту був аналіз ефективності застосування 3-х видів інвестиційних інструментів фінансування проектів (емісія акцій, банківське кредитування, лізинг основних засобів проекту) по моделі №2.
В якості вихідних даних застосовані матеріали розробленого раніше бізнес-плану створення міні-гольф клубу (лютий, 2009).
Для розрахунку та прогнозу бар’єрних ставок дисконтування використані статистичні матеріали Національного банку України та Державного комітета статистики України за 2000–2009 роки.
1. Сутність інвестиційних інструментів управління проектами
1.1 Інвестиційний інструментарій побудови та аналізу ефективності фінансування проектів
Процес аналізу інвестицій включає наступні етапи [26]:
1. Складання списку альтернативних інвестицій.
2. Підготовка для кожної альтернативи прогнозу грошових потоків.
3. Прогноз даних для розрахунку й розрахунок бар'єрних ставок (Rбар).
4. Прогноз даних для розрахунку й розрахунок рівня реінвестицій (Rреін).
5. Розрахунок на кожний період чистого грошового потоку.
6. Розрахунок параметрів інвестиційного проекту (поточної вартості грошових потоків NPV, IRR, MIRR, DPI і т.д.).
7. Аналіз чутливості й оцінка якісних факторів.
8. Оцінка й порівняння альтернативних інвестицій.
9. Аналіз зміни ліквідності й платоспроможності (робиться для відносно великих проектів).
10. Післяінвестиційний аналіз.
11. Інвестиційний факторний аналіз (за необхідністю).
1.2 Основні показники та методика оцінки ефективності застосування інвестиційних інструментів управління проектами
Міжнародна практика оцінки ефективності інвестицій істотно базується на концепції тимчасової вартості грошей і заснована на наступних принципах [24]:
1. Оцінка ефективності використання інвестуємого капіталу провадиться шляхом зіставлення грошового потоку (cash flow), що формується в процесі реалізації інвестиційного проекту й вихідної інвестиції. Проект вважається ефективним, якщо забезпечується повернення вихідної суми інвестицій і необхідна прибутковість для інвесторів, що надали капітал.
2. Інвестуємий капітал, так само як і грошові потоки, які генеруються цим капіталом, приводяться до теперішнього часу або до певного розрахункового року (який, як правило, передує початку реалізації проекту).
3. Процес дисконтування капітальних вкладень і грошових потоків провадиться по різних ставках дисконту, які визначаються залежно від особливостей інвестиційних проектів. При визначенні ставки дисконту враховуються структура інвестицій і вартість окремих складових капіталу.
Суть всіх методів оцінки базується на наступній простій схемі: вихідні інвестиції при реалізації якого-небудь проекту генерують грошовий потік CF1 , CF2 ,…, CFn , інвестиції вважаються ефективними, якщо цей потік достатній для:
- повернення вихідної суми капітальних вкладень і
- забезпечення необхідної віддачі на вкладений капітал.
Найпоширеніші наступні показники ефективності капітальних вкладень:
– дисконтований строк окупності (DPB).
– чисте сучасне значення інвестиційного проекту (NPV ),
– внутрішня норма прибутковості (прибутковості, рентабельності) (IRR ),
Дані показники, так само як і відповідні їм методи, використовуються у двох варіантах:
– для визначення ефективності незалежних інвестиційних проектів (так звана абсолютна ефективність), коли робиться висновок про прийняття проект або його відхилення,
– для визначення ефективності взаємовиключних проектів (порівняльна ефективність), коли робиться висновок про те, який проект прийняти з декількох альтернативних.
На закінчення розгляду загальних положень технології оцінки ефективності відзначимо два основних допущення, які приймаються при розрахунку показників ефективності, і якою мірою вони відповідають реальній практиці.
1. Потоки коштів ставляться на кінець розрахункового періоду часу. Насправді вони можуть з'являтися в будь-який момент протягом розглянутого року. У рамках розглянутих нижче інвестиційних технологій ми умовно приводимо всі грошові доходи підприємства до кінця відповідного року.
2. Грошові потоки, які генеруються інвестиціями негайно інвестуються в який-небудь інший проект, щоб забезпечити додатковий дохід на ці інвестиції. При цьому передбачається, що показник віддачі другого проекту буде, принаймні, таким же, як показник дисконтування аналізованого проекту.
Використовувані допущення, зрозуміло, не повністю відповідають реальному положенню справ, однак, з огляду на більшу тривалість проектів у цілому, не приводять до серйозних помилок в оцінці ефективності.
Критерії, що використовуються в аналізі інвестиційної діяльності, можна підрозділити на дві групи в залежності від того враховується чи ні часовий параметр: 1) засновані на дисконтованих оцінках; 2) засновані на облікових оцінках. До першої групи відносяться критерії:
- чистий приведений ефект (Net Present Value, NPV);
- індекс рентабельності інвестиції (Probability Index, PI);
- внутрішня норма прибутку (Internal Rate of Return, IRR);
- модифікована внутрішня норма прибутку (Modified Internal Rate of Return, MIRR);
- дисконтований строк окупності інвестиції (Discounted Payback Period, DPP).
До другої групи відносяться критерії:
- строк окупності інвестиції (Payback Period, PP);
- коефіцієнт ефективності інвестиції (Accounting Rate of Return, ARR).
Метод розрахунку чистого приведеного ефектузаснований на зіставленні величини вихідної інвестиції (IC) із загальною сумою дисконтованих чистих грошових надходжень, генерованих нею протягом прогнозованого періоду. Оскільки приплив коштів розподілений у часі, він дисконтується за допомогою коефіцієнта r, встановлюваного інвестором самостійно виходячи зі щорічного відсотка повернення, який він хоче чи може мати на інвестований їм капітал [6].
(1.1)
r – прогнозний рівень комерційної прибутковості проекту, який залежить
від підприємця (внутрішній фактор);
j – прогнозний рівень інфляції цін виробників, який є зовнішнім фактором
та не залежить від підприємця (зовнішній фактор);
ІС (t=0) – інвестиційні витрати на початок експлуатації проекту.
Якщо NPV>0, то проект варто прийняти; якщо NPV<0, то проект варто відкинути; NPV=0, то проект ні прибутковий, ні збитковий. Дамо економічне трактування критерію NPV з позиції власників компанії, що по суті і визначає логіку критерію NPV:
- якщо NPV<0, то у випадку прийняття проекту цінність компанії зменшиться, тобто власники компанії понесуть збиток;
- якщо NPV=0, то у випадку прийняття проекту цінність компанії не зміниться, тобто добробут її власників залишиться на колишньому рівні;
- якщо NPV<0, то у випадку прийняття проекту цінність компанії, а отже, і добробут її власників збільшиться.
Проект із NPV=0 має додатковий аргумент у свою користь – у випадку реалізації проекту добробут власників компанії не зміниться, але в той же час обсяги виробництва зростуть, тобто компанія збільшиться в масштабах.
Якщо проект припускає не разову інвестицію, а послідовне інвестування фінансових ресурсів протягом m років, то формула для розрахунку NPV модифікується в такий спосіб (з врахуванням впливу інфляції як на дисконтовані потоки інвестиції, так і на генеровані потоки прибутку інвестиційного проекту) [6]:
(1.2)
де j – прогнозований середній рівень інфляції.
Метод розрахунку індексу рентабельності інвестиції є по суті наслідком попереднього. Індекс рентабельності (PI) = ІД (індекс доходності) розраховується по формулі [6]:
(1.3)
Якщо PI>1, то проект варто прийняти; якщо PI<1, то проект варто відкинути; якщо PI=1, то проект є ні прибутковим, ні збитковим.
Якщо проект припускає не разову інвестицію, а послідовне інвестування фінансових ресурсів протягом m років, то формула для розрахунку PI. модифікується в такий спосіб (з врахуванням впливу інфляції як на дисконтовані потоки інвестиції, так і на генеровані потоки прибутку інвестиційного проекту):
(1.4)
Метод розрахунку внутрішньої норми прибутку інвестиції – під внутрішньою нормою прибутку інвестиції (IRR= ВНД) розуміють значення коефіцієнта дисконтування r, при якому NPV проекту дорівнює нулю: IRR = r, при якому NPV = f(r) = 0.
Іншими словами, якщо позначити IC=CF0 , то IRR знаходиться з рівняння [6]:
(1.5)
За допомогою таблиць вибираються два значення коефіцієнта дисконтування r1 <r2 таким чином, щоб в інтервалі (r1 , r2 ) функція NPV=f(r) змінювала своє значення з «+» на «–» чи з «–» на «+». Далі застосовують формулу:
(1.6)
де r1 - значення табульованого коефіцієнта дисконтування, при якому
f(r1 )>0 (f(r1 )<0)); r2 – значення табульованого коефіцієнта дисконтування, при якому f(r2 )<0 (f(r2 )>0)).
Метод визначення строку окупності інвестицій є одним з найпростіших і широко використовуємих у світовій обліково-аналітичній практиці, не припускає тимчасової упорядкованості грошових надходжень [53]. Алгоритм розрахунку строку окупності (СО) залежить від рівномірності розподілу прогнозові-них доходів від інвестиції. Якщо доход розподілений по роках рівномірно, то строк окупності розраховується розподілом одноразових витрат на величину річного доходу, обумовленого ними. При одержанні дробового числа воно округляється убік збільшення до найближчого цілого. Якщо прибуток розподілений нерівномірно, то строк окупності розраховується прямим підрахунком числа років, протягом яких інвестиція буде погашена кумулятивним доходом. Загальна формула розрахунку показника СО має вид:
, при якому
(1.7)
Нерідко показник СО = РР розраховується більш точно, тобто розглядається і дробова частина року; при цьому робиться припущення, що грошові потоки розподілені рівномірно протягом кожного року.
Тоді формула (1.7) модифікується для розрахунків як:
(1.8)
При враховуванні часового аспекту в розрахунок приймаються грошові потоки, дисконтовані по показнику WACC, а відповідна формула для розрахунку дисконтованого строку окупності (DPP) має вид:
, при якому
(1.9)
Очевидно, що у випадку дисконтування строк окупності збільшується, тобто завжди DPP>PP. Іншими словами, проект прийнятний за критерієм СО може виявитися неприйнятним за критерієм DPP = ДСО [39].
Якщо проект припускає не разову інвестицію, а послідовне інвестування фінансових ресурсів протягом m років, то формула для розрахунку ДСО(DPP) модифікується в такий спосіб (з врахуванням впливу інфляції як на дисконтовані потоки інвестиції, так і на генеровані потоки прибутку інвестиційного проекту):
(1.10)
Якщо показник дисконтованого строку окупності інвестиції ДСО(DPP) перевищує номінальний строк проекту, а показник СО – прямого строку окупності інвестиції є меншим за номінальний строк проекту, інвестор вирішує допустимість перевищення строку і виносить рішення про прийняття чи неприйняття проекту.
Якщо є кілька альтернативних проектів з однаковими (близькими) значеннями NPV, IRR, то при виборі остаточного варіанта інвестування враховується ще один часовий параметр – тривалість інвестицій (duration). Дюрация (D) – це середньозважений строк життєвого циклу інвестиційного проекту, де як ваги виступають поточні вартості грошових потоків, одержуваних у період t, або інакше кажучи, як крапка рівноваги строків дисконтованих платежів. Вона дозволяє привести до єдиного стандарту найрізноманітніші по своїх характеристиках проекти (по строках, кількості платежів у періоді, методам розрахунку належного відсотка).
Ключовим моментом цієї методики є не те, як довго кожний інвестиційний проект буде приносити дохід, а його інтенсивність, тобто середня характеристика швидкості накопичення доходів за час проекту, яка є результатом насамперед того, коли він буде приносити дохід і скільки надходжень доходу буде щомісяця, квартал або рік протягом усього строку його дії.
Дюрація (середньозважений строк погашення або середньозважена тривалість платежів) вимірює середній час життя інвестиційного проекту або його ефективний час дії. У результаті менеджери одержують відомості про те, як довго окупаються для компанії інвестиції доходами, наведеними до поточної дати.
Для розрахунку дюрации (D) використовується звичайно наступна формула:
(1.11)
де ∆CFt – приплив коштів у період ∆t;
(r+j) – бар'єрна ставка (коефіцієнт дисконтування) з врахуванням економічної (товарної ставки) r та ставки інфляції j;
t – періоди надходження доходів 1, 2,…, m;
m – кількість періодів.
Ще одним показником інвестиційного аналізу є – середньозважена вартість капіталу (WACC), яка характеризує середню норма витрат на залучення інвестованого капіталу, яку доводиться виплачувати за його використання.
Середньозважена вартість капіталу (Weighted Average Cost of Capital, WACC) – є показником, що характеризує вартість капіталу так само, як ставка банківського відсотка характеризує вартість залучення кредиту. Відмінність WACC від банківської ставки укладається в тім, що цей показник не має на увазі рівномірних виплат, замість цього потрібно, щоб сумарний наведений дохід інвестора був таким же, який забезпечила б рівномірна виплата відсотків по ставці, рівної WACC.
(1.12)
де STic – поточна ставка вартості експлуатуємої інвестиції в к – періоді;
Дисконтування майбутніх грошових потоків зі ставкою, рівної WACC, характеризує знецінювання майбутніх доходів з погляду конкретного інвестора й з урахуванням його вимог до прибутковості інвестованого капіталу.
Модифікована чиста поточна вартість (MNPV)
У випадку, коли бар'єрна ставка й рівень реінвестицій істотно розрізняються, має сенс (з погляду точності) розраховувати NPV по наступній формулі (враховуючої, що отримані в результаті інвестиції кошти, реінвестуються по іншій ставці):
(1.13)
∆CFt – приплив коштів, генеруємих інвестицією, у періоді t = 1, 2,… n;
∆ІСt – затрати інвестиційних коштів у часі у періоді t = 0, 1, 2,… n (по абсолютній величині);
(r+j) – бар'єрна ставка (ставка дисконтирования), частки одиниці;
d – рівень ставки реінвестицій, частки одиниці (процентна ставка, засно-вана на можливих доходах від реінвестиції отриманих позитивних грошових потоків або норма рентабельності реінвестицій);
n – число періодів.
Для оцінки ефективності застосовують показник MIRR – модифікована внутрішня норма прибутковості (рентабельності).
MIRR – це скорегована з урахуванням норми реінвестиції внутрішня норма прибутковості IRR. Із практичної точки зору самий істотний недолік внутрішньої норми прибутковості IRR – це допущення, прийняте при визначенні всіх дисконтованих грошових потоків, породжених інвестицією, що складні відсотки розраховуються при одній і тій же процентній ставці. Для проектів, що забезпечують норми прибутку, близькі до бар'єрної ставки фірми, проблем з реінвестиціями не виникає, тому що цілком розумно припустити, що існує багато варіантів інвестицій, що приносять прибуток, норма якої близька до вартості капіталу. Однак для інвестицій, які забезпечують дуже високу або дуже низьку норму прибутку, пропозиція про необхідність реінвестувати нові грошові надходження може спотворити справжню віддачу від проекту. Поняття скорегованої з урахуванням норми реінвестиції внутрішньої норми прибутковості й було запропоновано для того, щоб протистояти зазначеному перекручуванню, властивому традиційному IRR.
Незважаючи на свою громіздку назву, скорегована з урахуванням норми реінвестиції внутрішня норма прибутковості, або MIRR, також відома як модифікована внутрішня норма прибутковості (modified internal rate of return), у дійсності набагато легше розраховується вручну, ніж IRR. І це відбувається саме внаслідок зробленого припущення про реінвестицію.
Порядок розрахунку модифікованої внутрішній норми прибутковості MIRR:
1. Розраховують сумарну дисконтовану вартість всіх грошових відтоків і сумарну нарощену вартість всіх припливів коштів.
Дисконтування здійснюють за ціною джерела фінансування проекту (вартості притягнутого капіталу, ставці фінансування або необхідної норми рентабельності інвестицій, Capital Cost, CC або WACC), тобто по бар'єрній ставці. Нарощення здійснюють по процентній ставці рівній рівню реінвестицій.
Нарощену вартість припливів коштів називають чистою термінальною вартістю (Net Terminal Value, NTV).
2. Установлюють коефіцієнт дисконтування, що враховує сумарну наведену вартість відтоків і термінальну вартість припливів. Ставку дисконту, що врівноважує справжню вартість інвестицій (PV) з їхньою термінальною вартістю, називають MIRR.
Формула для розрахунку модифікованої внутрішньої норми прибутковості (MIRR) [26]:
(1.14)
∆CFt – приплив коштів, генеруємих інвестицією, у періоді t = 1, 2,… n;
∆ІСt – затрати інвестиційних коштів у часі у періоді t = 0, 1, 2,… n (по абсолютній величині);
(r+j) – бар'єрна ставка (ставка дисконтування), частки одиниці;
d – рівень ставки реінвестицій, частки одиниці (процентна ставка, заснована на можливих доходах від реінвестиції отриманих позитивних грошових потоків або норма рентабельності реінвестицій);
n – число періодів.
У правій частині формули – дисконтована за ціною капіталу величина інвестицій (капіталовкладень), а в лівій частині – нарощена вартість грошових надходжень від інвестиції по ставці, рівній рівню реінвестицій.
Відзначимо, що формула MIRR має сенс, якщо термінальна вартість припливів коштів перевищує суму дисконтованих інвестиційних витрат коштів (приплив грошей більше їхнього відтоку).
Критерій MIRR завжди має єдине значення й може застосовуватися замість показника IRR для оцінки проектів з неординарними грошовими потоками. Проект прийнятний для ініціатора, якщо MIRR більше бар'єрної ставки (ціни джерела фінансування).
Використання MIRR замість IRR завжди приглушає ефект від інвестицій. Не занадто вигідні інвестиції, для яких норми прибутку нижче бар'єрної ставки або норми реінвестиції, будуть завжди краще виглядати при використанні MIRR, чим IRR, тому що в першому випадку грошові потоки будуть приносити більше високі доходи, чим у другому. З іншого боку, особливо вигідні інвестиції, для яких норма прибутку вище бар'єрної ставки, по тій же причині будуть мати більше низький MIRR.
Методика MIRR не має проблеми із множинністю визначення внутрішньої норми прибутковості як у методу IRR. Але на практиці показник MIRR використовується рідко, що не можна вважати виправданим.
Ефективна бар'єрна ставка застосовується у випадку, коли бар'єрна ставка має змінне значення, застосовується ефективна бар'єрна ставка (щоб мати можливість порівнювати IRR, MIRR і MIRR(бар) з якоюсь однією бар'єрною ставкою).
Розрахунок ефективної бар'єрної ставки робиться аналогічно IRR, але при цьому NPV прирівнюється не нулю, як в IRR, а тому значенню NPV, що було розраховано при відомих (даних) бар'єрних ставках [26].
NPV (Rбар ef) = NPV (Rбар 1 , Rбар 2 ,… Rбар n ). (1.15)
де, R бар 1 – бар'єрна ставка за 1-й період
R бар 2 – бар'єрна ставка за 2-й період
R бар n – бар'єрна ставка за n-й період
2. Оцінка ефективності застосування інвестиційних інструментів фінансування проекту створення міні-гольф клубу
2.1 Інвестиційний аналіз фінансування проекту та моделі грошових потоків при застосуванні інвестиційних інструментів прямих інвестицій, часткових кредитних інвестицій та часткового лізингу обладнання
Концепція проекту «Створення міні-гольф клубу» полягає в створенні спортивно-розважального комплексу, призначеного:
- для початківців;
- для дітей шкільного віку, які приїжджають з батьками в готель на короткий активний відпочинок;
- для тренування професіоналів;
- для проведення ігор та спортивних змагань на зменшеній в 20 разів копії гольф-поля «великого гольфу»
Зміст проекту полягає в створенні багатоешелонного комплексу різновидів міні-гольфу для всіх вікових категорій відвідувачів та граків.
Розроблений в роботі бізнес-план та проект створення міні-гольф клубу передбачає створення наступних інфраструктурних об’єктів на відокремленій земельній ділянці клубу:
1. Будівля клубу (управління клубу, персонал тренерів, обслуговуючий персонал, прокат обладнання для гри) – площа 400 м2 (3 поверхи) – вартість 350 000 $;
2. Будівля готелю (3 гостьових поверхів, на 1 поверсі – ресторан, бар, сауна, SPA, басейн, магазин спортивного приладдя для гри) – площа 600 м2 (4 поверхи) – вартість 4 700 000 $;
3. Будівля автостоянки клубу (400 м2 ) та під'їзної дороги – вартість 35 000 $;
4. Будівля технологічного корпусу (котельня, насосна, електропідстанція, дизель-генераторна, артезіанський колодязь, система водопостачання та каналізації) – 300 м2 (2 поверхи) – вартість 75 000 $;
5. Поле міні-гольфу класу «пітч&патт» – 18 лунок, площа 2 га = 20 000м2, вартість побудови – 120 $/м2;
6. Поле міні-гольфу класу «ландшафтний парково-камяний 4 рівневий» – 18 лунок, площа 0,2 га = 2 000м2, вартість побудови –80$/м2;
7. Поле міні-гольфу класу «ландшафтний піщано-озерний 2 рівневий» – 9 лунок, площа 0,1 га = 1 000м2, вартість побудови –70 $/м2;
8. Модульно-тренувальне поле міні-гольфу класу «Паттінг грін» – 12 модулів – площа 500 м2 , вартість побудови – 50 $/м2;
9. Модульне поле міні-гольфу класу «Дитячий казковий міні-гольф» – 6 лунок – площа 200 м2 , вартість побудови – 45 $/м2;
10.Критий зал на 6 «електронних» гольф – тренажерів – площа 200 м2 , вартість побудови – 60 000 $.
11.Обладнання території гольф-клубу між гральними полями, встановлення охоронного забору та системи охоронного відеоспостереження – 100 000 $.
Таким чином, розрахункова загальна площа земельної ділянки, яка повинна бути виділена для міні-гольф клубу становить:
При середній вартості земельної ділянки станом на 01.01.2009 року в сільській місцевості поблизу транспортних магістралей на рівні 5 $/м2, вартість придбання земельної ділянки для будівництва міні-гольф клубу становитиме:
![]()
Розрахункова вартість будівництва ігорних полів та інфраструктури міні-гольф клуба становитиме:
(350000+4700000+35000+75000+
+20000*120+2000*80+1000*70+500*50+200*45+60000+100000)=
= 8,0 млн.$
Розрахункова вартість інвентарю для ігор, надаваємого в прокат гравцям становитиме 100 000 $, вартість «електронних» тренажерів – 140000 $.
Тобто для побудування міні-гольф клубу проектної структури та придбання земельної ділянки під його створення потрібно початкове інвестування не менше 8,25 млн. доларів США.
В Додатку А наведені розраховані в MS Project основні документи управління проектом на етапі створення міні-гольф-клубу.
Як показують результати розрахунків, при початку виконання сітьового графіку проекту 04.02.2009 року – критичний путь робіт проекту складає календарну тривалість 28 тижнів, тобто строк введення клубу в експлуатацію – 08 серпня 2009 року.
На етапі виконання проекту (28 тижнів або 7 місяців будівництва) потрібно буде залучення суми інвестицій в 9,0 млн. доларів США, при цьому на початок етапу експлуатації проекту:
– на будівництво та обладнання клубу буде витрачено 8,25 млн. доларів США (розрахунок наведено вище);
- на заробітну плату персоналу майбутнього керівництва клубу та тимчасових спеціалістів – консультантів виконання проекту з боку клубу буде витрачено 150 000 $;
- поточні витрати на експлуатацію створюваного клубу (електроенергія, вода, каналізація, газ, отоплення, охорона) становитимуть 52 000 $;
- плановий фінансовий резерв грошових коштів на початок експлуатаційного етапу проекту становить 548 000 $, які будуть використані як власні оборотні кошти для забезпечення функціонування клубу на 1-му році функціонування.
На етапі 5-річної експлуатації проекту міні-гольф клубу проектний кошторис поточних прогнозних доходів та витрат наведені в табл. 2.1 – 2.3.
Таблиця 2.1. Проектний план по персоналу клуба (структура та рівень заробітної плати на початок етапу експлуатації проекту)
| Посада | Штатних одиниць |
Зарплата (грн./міс) |
Зарплата ($ US/міс) |
Платежі |
| Керування | ||||
| Ген. Директор | 1 | 8 000,00 | Щомісяця, весь проект | |
| Гл. Бухгалтер | 1 | 5 000,00 | Щомісяця, весь проект | |
| Зам. директора | 1 | 6 000,00 | Щомісяця, весь проект | |
| Адміністратор-Касир | 2 | 2 000,00 | Щомісяця, весь період експлуатації проекту | |
| Виробництво | ||||
| Кухар | 2 | 3 000,00 | Щомісяця, весь період експлуатації проекту | |
| Бармен | 2 | 3 000,00 | Щомісяця, весь період експлуатації проекту | |
| Охоронець | 2 | 3 000,00 | Щомісяця, весь період експлуатації проекту | |
| Інструктор | 6 | 5 000,00 | Щомісяця, весь період експлуатації проекту | |
| Офіціант | 4 | 2 000,00 | Щомісяця, весь період експлуатації проекту | |
| Прибиральниця | 2 | 1 000,00 | Щомісяця, весь період експлуатації проекту | |
| Гардеробниця | 2 | 800,00 | Щомісяця, весь період експлуатації проекту | |
| Усього | 25 | 82 600,00 | Щомісяця, весь період експлуатації проекту |
На етапі експлуатації проекту рівень заробітної плати щорічно зростатиме на рівень інфляції, прийнятий в проекті. Рівень додаткових нарахувань на фонд заробітної плати в пенсійно-соціальні фонди прийнятий на рівні 39% на весь етап проекту. Проектний курс в проекті становить 8,0 грн./за 1 долар США (стан на 1 листопада 2009 року).
Таблиця 2.2. Загальні щомісячні витрати на утримання клубу
| Назва | Сума (грн.) |
Сума ($ US) |
Платежі |
| Керування | |||
| Телефонний зв'язок | 1 000,00 | Щомісяця, весь проект | |
| Мобільний зв'язок | 3 000,00 | Щомісяця, весь проект | |
| Виробництво | |||
| Електроенергія | 2 000,00 | Щомісяця, весь проект | |
| Послуги утримання полей для гольфу | 2 500,00 | Щомісяця, весь проект | |
| Комунальні послуги (газ, водопостачання, каналізація) | 5 000,00 | Щомісяця, весь проект | |
| Аксесуари для міні-гольфа | 2 000,00 | Щомісяця, весь проект | |
| Видаткові матеріали для бара та ресторану (транспорт+продукти) | 55 000,00 | Щомісяця, весь проект | |
| Маркетинг | |||
| Реклама | 2 000,00 | Щомісяця, весь проект | |
| Усього витрат експлуатації | 72 500,00 | Щомісяця, весь проект | |
| Амортизаційні витрати | За розра-хунком | Щомісяця, весь проект |
Наведені в табл. 2.3 прогнози доходів при середньостатистичній (по іншим клубам в Україні) часовій завантаженості гравцями гольф-полів клубу у порівнянні з поточними рівнями витрат на експлуатацію міні-гольф клубу показують, що рівень беззбитковості поточної роботи клубу настає при 24% фактичній завантаженості гральних полів відносно середньостатистичного прогнозу.
Таблиця 2.3
Загальні щомісячні планові доходи клубу
| Назва | Одночасна максимальна кількість гравців на полі | Середня сума доходу клубу в час, грн./час | Середній час повної загрузки на день |
Розрахункова сума доходу клубу за місяць, грн |
| Об’єкт інфраструктури | ||||
| Поле міні-гольфу класу «пітч&патт» | 36 | 100 | 3 | 324 000 |
| Поле міні-гольфу класу «ландшафтний парково-камяний 4 рівневий» | 12 | 80 | 4 | 115 200 |
| Поле міні-гольфу класу «ландшафтний піщано-озерний 2 рівневий» | 10 | 80 | 4 | 96 000 |
| Модульно-тренувальне поле міні-гольфу класу «Паттінг грін» | 12 | 55 | 3 | 59 400 |
| Модульне поле міні-гольфу класу «Дитячий казковий міні-гольф» | 12 | 30 | 2 | 21 600 |
| Критий зал на 6 «електронних» гольф – тренажерів | 6 | 150 | 8 | 216 000 |
| Послуги тренера на гольф – полях | 6 | 75 | 8 | 108 000 |
| Сумарний дохід від послуг гольф-ігор (грн./міс) | 940 200 | |||
| Допоміжний об'єкт інфраструктури | ||||
| Ресторан | 50 | 85 | 2 | 255 000 |
| Бар | 30 | 50 | 4 | 180 000 |
| Басейн, SPA, сауна | 25 | 50 | 4 | 150 000 |
| Прокат інвентаря | 100 | 10 | 4 | 120 000 |
| Готельні послуги | 60 | 25 | 12 | 540 000 |
| Загальна сума доходів клубу за всі послуги (грн./міс) | 2 285 200 |
Згідно з вихідними даними етапу побудови міні-гольф клубу:
– обсяг залученої капітальної інвестиції на 0-році проекту становить 9 млн. доларів США, або 72 млн. грн. (по курсу НБУ 8,0 грн./1 долар США – листопад 2009 року);
– прямі інвестиції залучені під передачу інвесторам акцій створеного ЗАТ «Одеса гольф-клуб» при умовах дивідендної доходності акцій не менше 32% на рік від номіналу вартості капітальної інвестиції та при умові кумулятивності акцій, тобто можливості накоплення дивідендів та сплати їх інвесторам с 3 року експлуатації проекту;
– номінальна сума прямої інвестиції повертається по закінченню життєвого циклу проекту інвесторам, гольф-клуб продається новим власникам за залишковою вартістю основних фондів;
– допускається зменшення обсягів прямих капітальних інвестицій за рахунок залучення довгострокових банківських кредитів під заставу основних фондів міні-гольф клубу та придбання у фінансовий лізинг обладнання клубу;
– джерелом сплати банківського кредиту та лізингу, разом з відсотками за користування банківським кредитом та лізинг обладнання, є амортизаційні відрахування частки доходу на рівні, який допускається Законом України «Про оподаткування прибутку підприємств».
Основні фонди підприємства, згідно Закону України «Про податок на прибуток підприємств» підлягають розподілу за такими групами:
група 1 – будівлі, споруди, їх структурні компоненти та передавальні пристрої, в тому числі жилі будинки та їх частини (квартири і місця загального користування), вартість капітального поліпшення землі;
група 2 – автомобільний транспорт та вузли (запасні частини) до нього; меблі; побутові електронні, оптичні, електромеханічні прилади та інструменти, інше конторське (офісне) обладнання, устаткування та приладдя до них;
група 3 – будь-які інші основні фонди, не включені до груп 1, 2 і 4;
група 4 – електронно-обчислювальні машини, інші машини для автоматичного оброблення інформації, пов'язані з ними засоби зчитування або друку інформації, інші інформаційні системи, комп'ютерні програми, телефони (у тому числі стільникові), мікрофони і рації, вартість яких перевищує вартість малоцінних товарів (предметів).
Балансова вартість групи основних фондів (окремого об'єкта основних фондів групи 1) на початок розрахункового кварталу визначається за формулою:
Б(а) = Б (а-1) + П (а-1) – В (а-1) – А (а-1), де:
Б(а) – балансова вартість групи (окремого об'єкта основних фондів групи 1) на початок розрахункового кварталу;
Б (а-1) – балансова вартість групи (окремого об'єкта основних фондів групи 1) на початок кварталу, що передував розрахунковому;
П (а-1) – сума витрат, понесених на придбання основних фондів, здійснення капітального ремонту, реконструкцій, модернізацій та інших поліпшень основних фондів, що підлягають амортизації, протягом кварталу, що передував розрахунковому;
В (а-1) – сума виведених з експлуатації основних фондів (окремого об'єкта основних фондів групи 1) протягом кварталу, що передував розрахунковому;
А (а-1) – сума амортизаційних відрахувань, нарахованих у кварталі, що передував розрахунковому.
Норми амортизації встановлюються у відсотках до балансової вартості кожної з груп основних фондів на початок звітного (податкового) періоду в такому розмірі (в розрахунку на податковий квартал):
група 1 – 2 відсотки;
група 2 – 10 відсотків;
група 3 – 6 відсотків;
група 4 – 15 відсотків.
Згідно кошторису будівництва проекту міні-гольф клубу, введенні в експлуатацію основні фонди, загальною вартістю 8,25 млн. доларів США, розподіляються за групами наступним чином:
1 група – 5 490 000 доларів США;
2 група – 1 860 000 доларів США;
3 група – 300 000 доларів США;
4 група – 600 000 доларів США;
В табл. 2.4 наведені результати розрахунку амортизаційних відрахувань за 5 років проекту, рівень яких застосовується при розрахунку балансового прибутку гольф-клубу та рівня податку на прибуток (25% від балансового прибутку). Курс національної валюти в проекті – 8,0 грн./1 долар США.
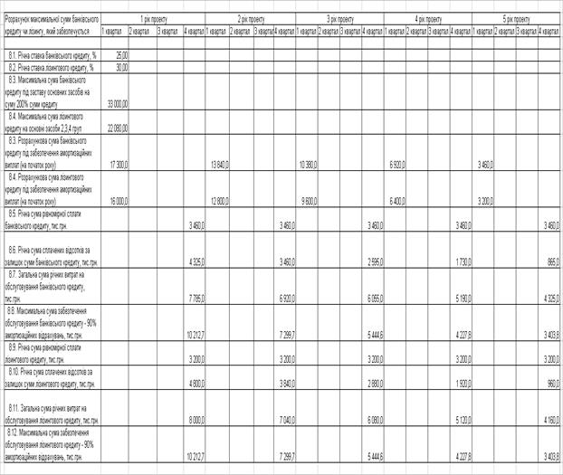
В табл. 2.5 наведені результати прогнозу обсягів банківського кредитування чи лізингу обладнання та графіку обслуговування боргу при застосуванні в якості джерела нарахованих сум амортизації основних засобів. При цьому застосовані наступні проектні обмеження:
– обсяг банківського довгострокового кредиту не може бути більшим 50% вартості основних засобів підприємства, оскільки довгострокове банківське кредитування на 5 років здійснюється тільки на основі заставного забезпечення – гарантій (застава ОФ) на суму не меншу, ніж 200% від суми кредиту, тобто сума кредиту не може бути більшою за 33,0 млн. грн.;
– обсяг лізингового кредиту за сумою не може бути більшим за сумарну вартість основних фондів 2,3,4 груп, тобто всіх видів обладнання міні-гольф клубу, таким чином максимальна сума лізингу не може бути більшою за 22,08 млн. грн.;
– фактичний обсяг залучаємого банківського кредиту чи фінансового лізингу обладнання розраховується з врахуванням того, що щорічний обсяг повернення частки кредиту (лізингу) та щорічний обсяг сплачуємих відсотків за користування кредитом (лізингом) не повинен перевищувати рівень 90% амортизаційних відрахувань, джерелом яких є чистий дохід від надання послуг клубом;
– 10% амортизаційних відрахувань використовуються на поточний ремонт основних фондів міні-гольф клубу;
– річна ставка банківського кредиту становить 25% річних (розділ 2.2) від залишку кредиту, річна ставка лізингу – 30% від залишку лізингу.
Таблиця 2.4. Прогноз амортизаційних відрахувань при експлуатації основних засобів в інвестиційному проекті міні-гольф клубу

Таблиця 2.5. Прогноз обсягів банківського кредитування чи лізингу обладнання та графіку обслуговування боргу при застосуванні в якості джерела нарахованих сум амортизації основних засобів

Враховуючи дані розрахунків, наведені в табл. 2.4–2.5, в проекті застосовуються наступні варіанти інвестиційних інструментів:
1) Варіант 100% фінансування за рахунок емісії акцій створюємого ЗАТ «Одеса гольф-клуб» на суму 72,0 млн. грн., які придбаються інвесторами:
– за умови річної ставки дивідендної доходності акцій 32% від номіналу інвестиції;
– при кумулятивних гарантіях акцій (несплачена сума дивідендів розрахункового періоду сплачується в наступних періодах);
– при поверненні номінальної суми інвестованого капіталу (викупу акцій підприємством у інвесторів по номіналу) на кінець 5-го року експлуатації проекту (закриття проекту та продаж міні-гольф клубу).
2) Варіант змішаного фінансування (72 млн. грн.) за рахунок емісії акцій ЗАТ «Одеса гольф-клуб» на суму 54,7 млн. грн. на вищеприведених умовах та довгострокового банківського кредиту на 5 років на суму 17,3 млн. грн. на умовах:
– повернення суми кредиту – рівномірне на кінець кожного року, починаючи з 1 року експлуатації міні-гольф клубу;
– сплата відсотків – на кінець кожного року за ставкою 25% річних (рівень для довгострокових заставних кредитів в національній валюті) від поточного залишку суми кредиту за поточний рік.
3) Варіант змішаного фінансування (72 млн. грн.) за рахунок емісії акцій створюємого ЗАТ «Одеса гольф-клуб» на суму 56,0 млн. грн. на вищеприведених умовах та довгострокового фінансового лізингу обладнання на 5 років на суму 16,0 млн. грн. на умовах:
– повернення суми фінансового лізингу – рівномірне на кінець кожного року, починаючи з 1 року експлуатації міні-гольф клубу;
– сплата відсотків за користування лізингом – на кінець кожного року за ставкою 30% річних (рівень для довгострокових заставних кредитів в національній валюті 25% +5% лізингова премія) від поточного залишку суми кредиту за поточний рік.
Враховуючи рівень амортизаційних відрахувань, наведений в табл. 2.4, проектний рівень інвестиційного фінансування проекту сформований в табл. 2.6.
Таблиця 2.6. Розрахунковий рівень початкової та ліквідаційної вартості основних засобів проекту міні-гольф клубу

2.2 Обґрунтування вибору бар’єрної ставки дисконтування грошових потоків в різних варіантах фінансування проекту
При аналізі дисконтованої ефективності варіантів фінансування проектів застосовуються основні 3 варіанта бар’єрних ставок, або ставок дисконтування грошових потоків витрачених на фінансування проекту та генеруємих проектом у результаті господарчої діяльності по експлуатації профінансованих активів проекту:
– Бар'єрна ставка з обліком мінімальної ринкової вартості грошей в банківській системі країни та з додатковим урахуванням інфляції (ставка дисконтування 1-го типу);
– Бар'єрна ставка з обліком зваженої середньої вартості капіталу, WACC (ставка дисконтування 2-го типу);
– Бар'єрна ставка за ринковим рівнем безризикової ставки доходності інвестиційного капіталу з урахуванням прогнозних ризиків проекту – модель САРМ (ставка дисконтування 3-го типу).
На рис. 2.1 – 2.3 та в табл. 2.7 – 2.8 наведені статистичні дані та економетричні моделі регресійних моделей (програмний модуль «електронних таблиць» EXCEL-2007) екстраполяційного прогнозування на період дії проекту рівней:
- інфляції в Україні;
- облікової ставки Національного банку України (мінімальна вартість грошей);
- відсоткових ставок доходності депозитів в національній та іноземній валюті в Україні (альтернативна інвестиційна ставка доходності);
- відсоткових ставок вартості кредитів в національній на іноземній валюті в Україні;
безризикових ставок ринкової інвестиційної доходності в Україні, розраховуємих за динамікою рівня доходності державних облігацій ОВДП у 2007–2009 роках.

Рис. 2.1. Річні ставки інфляції та облікова ставка НБУ (мінімальний рівень вартості грошей) в нацвалюті в 2002–2009 роках [30] та регресійні моделі динаміки їх трендів для прогнозу бар’єрних ставок в проекті

Рис. 2.2. Річні ставки банківських депозитів в національній та іноземній валютах в 2008–2009 роках

Рис. 2.3. Річні ставки банківських кредитів в національній та іноземній валютах в 2008–2009 роках [30] та регресійні моделі динаміки їх трендів для прогнозу бар’єрних ставок в проекті
Таблиця 2.7. Статистика та прогноз рівня бар’єрних ставок в проекті (ставка дисконтування) для 1 моделі (рівень інфляції + мінімальний рівень вартості грошей) в Україні за даними Держкомстату [29] та Національного банку [30] у 2000–2009 роках

Таблиця 2.8. Оцінка безризикової ринкової ставки доходності капіталу в Україні за рівнем доходності державних облігацій ОВДП у 2009 році [30]

Враховуючи дані, наведені на рис. 2.1 – 2.3 та в табл. 2.6 – 2.7, а також пропонуємий рівень ризику в 5% – 10% для нових проектів [26], в дослідженнях дійсного проекту приймаються наступні рівні бар'єрних ставок:
1. Постійна ставка вартості власного капіталу WACC (власн) – 32% (16% – середній рівень інфляції та 16% – середній рівень альтернативної депозитної доходності інвестиційного капіталу);
2. Змінна ставка вартості змішаного (власний (32%) +кредитний (25%)) капіталу WACC (власн+кредит) – з рівня 28,0% на 1 рік проекту до рівня 32,0% на останній 5-й рік проекту;
3. Змінна ставка вартості змішаного (власний (32%) +лізинговий (30%)) капіталу WACC (власн+лізинг) – з рівня 30,5% на 1 рік проекту до рівня 34,0% на останній 5-й рік проекту.
Згідно з графіком регресійної моделі, наведеної на рис. 2.1, та враховуючи тенденції в керуванні цим процесом в Україні, в проекті прийнята змінна ставка щорічної інфляції цін на послуги, матеріали та заробітну плату:
1 рік проекту – 16,0%;
2 рік проекту – 14,0%;
3 рік проекту – 12,0%;
4 рік проекту – 10,0%;
5 рік проекту – 8,0%;
2.3 Розрахунок основних дисконтованих показників ефективності застосування інвестиційних інструментів
2.3.1 Варіант прямих інвестицій в статутний капітал гольф-клубу
В табл. Б.1–Б.5 Додатку Б наведені результати програмно-пов’язаних ланцюгів розрахунків за алгоритмом [6] варіанту №1 – 100% фінансування проекту за рахунок емісії акцій підприємства:
– показники операційної діяльності за 1–5 роки та ліквідація підприємства;
– показники фінансової діяльності за 1–5 роки та ліквідація підприємства;
– показники дисконтованої ефективності інвестицій по результатам діяльності за 1 – 5 роки та ліквідації підприємства.
Основними результатами є наступні показники:
1. Інвестовано в проект та витрачено на етапі будування та введення в експлуатацію міні-гольф клубу 72,0 млн. грн. власних коштів емісії акцій (кошти інвесторів), при цьому на момент початку експлуатації на рахунках підприємства залишився резервно-страховий запас оборотних коштів – 4,384 млн. грн.;
2. За 5 років діяльності:
– сума інвестиції 72,0 млн. грн. на кінець 5 року повернена інвесторам по номіналу акцій;
– дивіденди інвесторам на протязі 5 років проекту не сплачувались і сплачені на кінець 5 року діяльності при ліквідації підприємства;
– на момент ліквідації підприємство має на рахунках чистого прибутку 99,207 млн. грн., які є сумарними кумулятивними дивідендами інвесторів за 5 років проекту.
– поточний рівень точки беззбитковості проекту за час проекту становить 44,9% (1 рік) – 10,15% (5 рік);
– поточний рівень страхового запасу по обсягу реалізації послуг становить 2,23 (1 рік) – 9,85 (5 рік).
3. Дисконтовані «пренумерандо» показники ефективності експлуатації інвестиції складають наступні рівні:
– рівень сумарного дисконтованого чистого доходу ∑PV = 56,803 млн. грн.;
– рівень сумарних дисконтованих інвестиційних витрат з врахуванням повернення номіналу інвестиції на кінець 5 року проекту складає ∑ IC =
-54,033 млн. грн.;
– рівень сумарного дисконтованого чистого прибутку від експлуатації інвестиції складає ∑ NPV = +2,769 млн. грн.;
– дисконтований коефіцієнт доходності інвестиції складає PI = 105,13%, тобто дисконтований рівень рентабельності інвестиції складає +5,13%;
– дисконтований строк окупності інвестиції становить DPP = 4,76 років;
– рівень дисконтованої дюрації проекту становить D = 1,89 років;
– ефективна бар'єрна ставка дисконтування проекту становить R бар = 32,0% річних;
– ставка внутрішньої доходності проекту становить IRR = 33,91% річних.
2.3.2 Варіант часткових прямих інвестицій в статутний капітал гольф-клубу та часткового банківського кредитування проекту під заставу статутного капіталу
Наведені результати програмно-пов’язаних ланцюгів розрахунків за алгоритмом [6] варіанту №2 – змішане фінансування проекту за рахунок емісії акцій підприємства+ банківського довгострокового кредитування:
– показники операційної діяльності за 1 – 5 роки та ліквідація підприємства;
– показники фінансової діяльності за 1 – 5 роки та ліквідація підприємства;
– показники дисконтованої ефективності інвестицій по результатам діяльності за 1 – 5 роки та ліквідації підприємства.
Основними результатами є наступні показники:
1. Інвестовано в проект та витрачено на етапі будування та введення в експлуатацію міні-гольф клубу 72,0 млн. грн., з них 54,7 млн. грн. власних коштів емісії акцій (кошти інвесторів) та 17,3 млн. грн. банківського кредиту, при цьому на момент початку експлуатації на рахунках підприємства залишився резервно-страховий запас оборотних коштів – 4,384 млн. грн.;
2. За 5 років діяльності (1 підваріант – без поточних дивідендів):
– сума банківського кредиту 17,3 млн. грн. та сума нарахованих відсотків за користування кредитом 12,975 млн. грн. сплачені банку повністю;
– сума інвестиції 54,7 млн. грн. на кінець 5 року повернена інвесторам по номіналу акцій;
– дивіденди інвесторам на протязі 5 років проекту не сплачувались і сплачені на кінець 5 року діяльності при ліквідації підприємства;
– на момент ліквідації підприємство має на рахунках чистого прибутку 89,475 млн. грн., які є сумарними кумулятивними дивідендами інвесторів за 5 років проекту.
– поточний рівень точки беззбитковості проекту за час проекту становить 58,73%(1 рік) – 11,27%(5 рік);
– поточний рівень страхового запасу по обсягу реалізації послуг становить 1,70 (1 рік) – 8,87 (5 рік).
3. Дисконтовані «пренумерандо» показники ефективності експлуатації інвестиції складають наступні рівні (1 варіант – без поточних дивідендів):
– рівень сумарного дисконтованого чистого доходу ∑ PV = 50,05 млн. грн.;
– рівень сумарних дисконтованих інвестиційних витрат з врахуванням повернення номіналу інвестиції на кінець 5 року проекту складає ∑ IC =
-39,963 млн. грн.;
– рівень сумарного дисконтованого чистого прибутку від експлуатції інвестиції складає ∑ NPV = +10,090 млн. грн.;
– дисконтований коефіцієнт доходності інвестиції складає PI = 125,25%, тобто дисконтований рівень рентабельності інвестиції складає +25,25%;
– дисконтований строк окупності інвестиції становить DPP = 3,99 років;
– рівень дисконтованої дюрації проекту становить D = 2,10 років;
– ефективна бар'єрна ставка дисконтування проекту становить R бар = 28,88% річних;
– ставка внутрішньої доходності проекту становить IRR = 36,10% річних.
4. За 5 років діяльності (2 підваріант – з поточною виплатою дивідендів):
– сума банківського кредиту 17,3 млн. грн. та сума нарахованих відсотків за користування кредитом 20,760 млн. грн. сплачені банку повністю;
– сума інвестиції 54,7 млн. грн. на кінець 5 року повернена інвесторам по номіналу акцій;
– дивіденди інвесторам на протязі 5 років проекту сплачувались за 3, 4 та 5 роки (на 5 рік – кумулятивно за 3 роки) в загальній сумі 83,62 млн. грн.;
– на момент ліквідації підприємство має на рахунках чистого прибутку 17,1 тис. грн., які є додатковими сумарними кумулятивними дивідендами інвесторів за 5 років проекту.
3. Дисконтовані «пренумерандо» показники ефективності експлуатації інвестиції складають наступні рівні (2 варіант – з поточною виплатою дивідендів):
– рівень сумарного дисконтованого чистого доходу ∑ PV = 46,17 млн. грн.;
– рівень сумарних дисконтованих інвестиційних витрат з врахуванням повернення номіналу інвестиції на кінець 5 року проекту складає ∑ IC =
-41,05 млн. грн.;
– рівень сумарного дисконтованого чистого прибутку від експлуатації інвестиції складає ∑ NPV = +5,116 млн. грн.;
– дисконтований коефіцієнт доходності інвестиції складає PI = 112,46%, тобто дисконтований рівень рентабельності інвестиції складає +12,46%;
– дисконтований строк окупності інвестиції становить DPP = 4,45 років;
– рівень дисконтованої дюрації проекту становить D = 2,12 років;
– ефективна бар'єрна ставка дисконтування проекту становить R бар = 32,0% річних;
– ставка внутрішньої доходності проекту становить IRR = 34,65% річних.
– дисконтована рентабельність інвестиції для інвесторів ROI = +62,19%.
2.3.3 Варіант часткових прямих інвестицій в статутний капітал гольф-клубу та часткового лізингу обладнання
Наведені результати програмно-пов’язаних ланцюгів розрахунків за алгоритмом [6] варіанту №3 – змішане фінансування проекту за рахунок емісії акцій підприємства+ лізингового фінансового кредитування придбаного обладнання:
– показники операційної діяльності за 1 – 5 роки та ліквідація підприємства;
– показники фінансової діяльності за 1 – 5 роки та ліквідація підприєм-ства;
– показники дисконтованої ефективності інвестицій по результатам діяльності за 1 – 5 роки та ліквідації підприємства.
Основними результатами є наступні показники:
1. Інвестовано в проект та витрачено на етапі будування та введення в експлуатацію міні-гольф клубу 72,0 млн. грн., з них 56,0 млн. грн. власних коштів емісії акцій (кошти інвесторів) та 16,0 млн. грн. лізингового кредиту, при цьому на момент початку експлуатації на рахунках підприємства залишився резервно-страховий запас оборотних коштів – 4,384 млн. грн.;
2. За 5 років діяльності:
– сума лізингового кредиту 16,0 млн. грн. та сума нарахованих відсотків за користування лізингом 14,40 млн. грн. сплачені лізинговій компанії повністю;
– сума інвестиції 56,0 млн. грн. на кінець 5 року повернена інвесторам по номіналу акцій;
– дивіденди інвесторам на протязі 5 років проекту не сплачувались і сплачені на кінець 5 року діяльності при ліквідації підприємства;
– на момент ліквідації підприємство має на рахунках чистого прибутку 88,407 млн. грн., які є сумарними кумулятивними дивідендами інвесторів за 5 років проекту.
– поточний рівень точки беззбитковості проекту за час проекту становить 60,25%(1 рік) – 11,4%(5 рік);
– поточний рівень страхового запасу по обсягу реалізації послуг становить 1,66 (1 рік) – 8,78 (5 рік).
3. Дисконтовані «пренумерандо» показники ефективності експлуатації інвестиції складають наступні рівні:
– рівень сумарного дисконтованого чистого доходу ∑ PV = 46,69 млн. грн.;
– рівень сумарних дисконтованих інвестиційних витрат з врахуванням повернення номіналу інвестиції на кінець 5 року проекту складає ∑ IC =
-43,03 млн. грн.;
– рівень сумарного дисконтованого чистого прибутку від експлуатції інвестиції складає ∑ NPV = +3,651 млн. грн.;
– дисконтований коефіцієнт доходності інвестиції складає PI = 108,49%, тобто дисконтований рівень рентабельності інвестиції складає +8,49%;
– дисконтований строк окупності інвестиції становить DPP = 4,61 років;
– рівень дисконтованої дюрації проекту становить D = 2,04 років;
– ефективна бар'єрна ставка дисконтування проекту становить R бар = 33,1% річних;
– ставка внутрішньої доходності проекту становить IRR = 35,89% річних.
2.4 Оцінка чутливості показників ефективності проекту до зміни параметрів реалізації фінансування проекту та зовнішніх факторів
Для оцінки чутливості показників ефективності проекту до зміни параметрів реалізації фінансування проекту та зовнішніх факторів для всіх 3-х варіантів проекту були проведені тестові розрахунки оцінки впливу зміни бар’єрної ставки дисконтування (прогнозне очікування економічної ефективності проекту в часі) на основні дисконтовані показники ефективності проекту (Додатки Б, В, Г).
Результати тестових розрахунків наведено на рис. 3.1–3.3. Як показує аналіз графіків рис. 2.4 -2.6:
– чутливість зміни показника дисконтованого прибутку NPV для варіанту №1 проекту на 22,4% вище, ніж для проектів №2 та №3;
– чутливість зміни показника дисконтованого коефіцієнта доходності інвестиції PI та дисконтованої окупності інвестиції DPP для варіанту №1, №2 та №3 проекту приблизно однакова.
Таким чином, по показнику чутливості варіант №1 проекту має більший ризик, ніж варіанти №2 та №3.
На рис. 2.7 наведені результати оцінки рівня прогнозних ризиків варіантів проекту до помилки в виборі бар’єрної ставки дисконтування за рівнем відносного відхилення бар’єрної ставки від ставки внутрішньої доходності проекту експлуатації міні-гольф клубу. Як показує аналіз графіків рис. 3.4 – варіант №1 проекту є найбільш ризикований, а варіант №2 має значно менший ризик, ніж варіант №3.
Таким чином, варіант №2 проекту – змішане фінансування акціонерним капіталом та банківським кредитом – має оцінки найменшого ризику реалізації.

Рис. 2.4. Результати оцінки чутливості дисконтованого прибутку інвестиції NPV до зміни ефективної бар’єрної ставки дисконтування для 3-х варіантів фінансування проекту експлуатації міні-гольф клубу

Рис. 2.5. Результати оцінки чутливості коефіцієнта ефективності (рентабельності) інвестиції PI (ДКЕІ) до зміни ефективної бар’єрної ставки дисконтування

Рис. 2.6. Результати оцінки чутливості дисконтованого строку окупності інвестиції DPP(ДСОІ)

Рис. 2.7. Результати оцінки рівня прогнозних ризиків варіантів проекту до помилки в виборі бар’єрної ставки дисконтування за рівнем відносного відхилення бар’єрної ставки від ставки внутрішньої доходності проекту експлуатації міні-гольф клубу
Висновки
Результати проведеного дослідження ефективності інвестиційних інструментів управління проектами на прикладі бізнес-плану створення та експлуатації міні-гольф клубу створеного ЗАТ «Одеса гольф-клуб» показали, що для 3-х варіантів інвестиційних інструментів отримані наступні показники досягнутої ефективності проектів:
1. Варіант №1 100% прямих інвестицій в статутний капітал гольф-клубу.
Основними результатами є наступні показники:
1.1. Інвестовано в проект та витрачено на етапі будування та введення в експлуатацію міні-гольф клубу 72,0 млн. грн. власних коштів емісії акцій (кошти інвесторів), при цьому на момент початку експлуатації на рахунках підприємства залишився резервно-страховий запас оборотних коштів – 4,384 млн. грн.;
1.2. За 5 років діяльності:
– сума інвестиції 72,0 млн. грн. на кінець 5 року повернена інвесторам по номіналу акцій;
– дивіденди інвесторам на протязі 5 років проекту не сплачувались і сплачені на кінець 5 року діяльності при ліквідації підприємства;
– на момент ліквідації підприємство має на рахунках чистого прибутку 99,207 млн. грн., які є сумарними кумулятивними дивідендами інвесторів за 5 років проекту.
– поточний рівень точки беззбитковості проекту за час проекту становить 44,9%(1 рік) – 10,15%(5 рік);
– поточний рівень страхового запасу по обсягу реалізації послуг становить 2,23 (1 рік) – 9,85 (5 рік).
1.3. Дисконтовані «пренумерандо» показники ефективності експлуатації інвестиції складають наступні рівні:
– рівень сумарного дисконтованого чистого доходу ∑ PV = 56,803 млн. грн.;
– рівень сумарних дисконтованих інвестиційних витрат з врахуванням повернення номіналу інвестиції на кінець 5 року проекту складає ∑ IC =
-54,033 млн. грн.;
– рівень сумарного дисконтованого чистого прибутку від експлуатції інвестиції складає ∑ NPV = +2,769 млн. грн.;
– дисконтований коефіцієнт доходності інвестиції складає PI = 105,13%, тобто дисконтований рівень рентабельності інвестиції складає +5,13%;
– дисконтований строк окупності інвестиції становить DPP = 4,76 років;
– рівень дисконтованої дюрації проекту становить D = 1,89 років;
– ефективна бар'єрна ставка дисконтування проекту становить R бар = 32,0% річних;
– ставка внутрішньої доходності проекту становить IRR = 33,91% річних.
2. Варіант №2 часткових прямих інвестицій в статутний капітал гольф-клубу та часткового банківського кредитування проекту під заставу статутного капіталу.
Основними результатами є наступні показники:
1. Інвестовано в проект та витрачено на етапі будування та введення в експлуатацію міні-гольф клубу 72,0 млн. грн., з них 54,7 млн. грн. власних коштів емісії акцій (кошти інвесторів) та 17,3 млн. грн. банківського кредиту, при цьому на момент початку експлуатації на рахунках підприємства залишився резервно-страховий запас оборотних коштів – 4,384 млн. грн.;
2. За 5 років діяльності (1 підваріант – без поточних дивідендів):
– сума банківського кредиту 17,3 млн. грн. та сума нарахованих відсотків за користування кредитом 12,975 млн. грн. сплачені банку повністю;
– сума інвестиції 54,7 млн. грн. на кінець 5 року повернена інвесторам по номіналу акцій;
– дивіденди інвесторам на протязі 5 років проекту не сплачувались і сплачені на кінець 5 року діяльності при ліквідації підприємства;
– на момент ліквідації підприємство має на рахунках чистого прибутку 89,475 млн. грн., які є сумарними кумулятивними дивідендами інвесторів за 5 років проекту.
– поточний рівень точки беззбитковості проекту за час проекту становить 58,73%(1 рік) – 11,27%(5 рік);
– поточний рівень страхового запасу по обсягу реалізації послуг становить 1,70 (1 рік) – 8,87 (5 рік).
3. Дисконтовані «пренумерандо» показники ефективності експлуатації інвестиції складають наступні рівні (1 варіант – без поточних дивідендів):
– рівень сумарного дисконтованого чистого доходу ∑ PV = 50,05 млн. грн.;
– рівень сумарних дисконтованих інвестиційних витрат з врахуванням повернення номіналу інвестиції на кінець 5 року проекту складає ∑ IC =
-39,963 млн. грн.;
– рівень сумарного дисконтованого чистого прибутку від експлуатції інвестиції складає ∑ NPV = +10,090 млн. грн.;
– дисконтований коефіцієнт доходності інвестиції складає PI = 125,25%, тобто дисконтований рівень рентабельності інвестиції складає +25,25%;
– дисконтований строк окупності інвестиції становить DPP = 3,99 років;
– рівень дисконтованої дюрації проекту становить D = 2,10 років;
– ефективна бар'єрна ставка дисконтування проекту становить R бар = 28,88% річних;
– ставка внутрішньої доходності проекту становить IRR = 36,10% річних.
4. За 5 років діяльності (2 підваріант – з поточною виплатою дивідендів):
– сума банківського кредиту 17,3 млн. грн. та сума нарахованих відсотків за користування кредитом 20,760 млн. грн. сплачені банку повністю;
– сума інвестиції 54,7 млн. грн. на кінець 5 року повернена інвесторам по номіналу акцій;
– дивіденди інвесторам на протязі 5 років проекту сплачувались за 3, 4 та 5 роки (на 5 рік – кумулятивно за 3 роки) в загальній сумі 83,62 млн. грн.;
– на момент ліквідації підприємство має на рахунках чистого прибутку 17,1 тис. грн., які є додатковими сумарними кумулятивними дивідендами інвесторів за 5 років проекту.
3. Дисконтовані «пренумерандо» показники ефективності експлуатації інвестиції складають наступні рівні (2 варіант – з поточною виплатою дивідендів):
– рівень сумарного дисконтованого чистого доходу ∑ PV = 46,17 млн. грн.;
– рівень сумарних дисконтованих інвестиційних витрат з врахуванням повернення номіналу інвестиції на кінець 5 року проекту складає ∑ IC =
-41,05 млн. грн.;
– рівень сумарного дисконтованого чистого прибутку від експлуатації інвестиції складає ∑ NPV = +5,116 млн. грн.;
– дисконтований коефіцієнт доходності інвестиції складає PI = 112,46%, тобто дисконтований рівень рентабельності інвестиції складає +12,46%;
– дисконтований строк окупності інвестиції становить DPP = 4,45 років;
– рівень дисконтованої дюрації проекту становить D = 2,12 років;
– ефективна бар'єрна ставка дисконтування проекту становить R бар = 32,0% річних;
– ставка внутрішньої доходності проекту становить IRR = 34,65% річних.
– дисконтована рентабельність інвестиції для інвесторів ROI = +62,19%.
3. Варіант №3 часткових прямих інвестицій в статутний капітал гольф-клубу та часткового лізингу обладнання:
Основними результатами є наступні показники:
1. Інвестовано в проект та витрачено на етапі будування та введення в експлуатацію міні-гольф клубу 72,0 млн. грн., з них 56,0 млн. грн. власних коштів емісії акцій (кошти інвесторів) та 16,0 млн. грн. лізингового кредиту, при цьому на момент початку експлуатації на рахунках підприємства залишився резервно-страховий запас оборотних коштів – 4,384 млн. грн.;
2. За 5 років діяльності:
– сума лізингового кредиту 16,0 млн. грн. та сума нарахованих відсотків за користування лізингом 14,40 млн. грн. сплачені лізинговій компанії повністю;
– сума інвестиції 56,0 млн. грн. на кінець 5 року повернена інвесторам по номіналу акцій;
– дивіденди інвесторам на протязі 5 років проекту не сплачувались і сплачені на кінець 5 року діяльності при ліквідації підприємства;
– на момент ліквідації підприємство має на рахунках чистого прибутку 88,407 млн. грн., які є сумарними кумулятивними дивідендами інвесторів за 5 років проекту.
– поточний рівень точки беззбитковості проекту за час проекту становить 60,25%(1 рік) – 11,4%(5 рік);
– поточний рівень страхового запасу по обсягу реалізації послуг становить 1,66 (1 рік) – 8,78 (5 рік).
3. Дисконтовані «пренумерандо» показники ефективності експлуатації інвестиції складають наступні рівні:
– рівень сумарного дисконтованого чистого доходу ∑ PV = 46,69 млн. грн.;
– рівень сумарних дисконтованих інвестиційних витрат з врахуванням повернення номіналу інвестиції на кінець 5 року проекту складає ∑ IC =
-43,03 млн. грн.;
– рівень сумарного дисконтованого чистого прибутку від експлуатації інвестиції складає ∑ NPV = +3,651 млн. грн.;
– дисконтований коефіцієнт доходності інвестиції складає PI = 108,49%, тобто дисконтований рівень рентабельності інвестиції складає +8,49%;
– дисконтований строк окупності інвестиції становить DPP = 4,61 років;
– рівень дисконтованої дюрації проекту становить D = 2,04 років;
– ефективна бар'єрна ставка дисконтування проекту становить R бар = 33,1% річних;
– ставка внутрішньої доходності проекту становить IRR = 35,89% річних.
Таким чином, за показником дисконтованої рентабельності інвестицій PI досліджені варіанти проектів розташувались за наступним рейтингом:
– варіант №2 – PI = 25,25%;
– варіант №3 – PI = 8,49%;
– варіант №1 – PI = 5,13%.
За показником запасу досягнення «нульового» дисконтованого прибутку інвестиції досліджені варіанти проектів розташувались за наступним рейтингом:
– варіант №2 – PI = 19,94% (найменший рівень ризику проекту);
– варіант №3 – PI = 7,77%;
– варіант №1 – PI = 5,63%.
Таким чином, Варіант №2 фінансування проекту за рахунок інструментів часткових прямих інвестицій в статутний капітал гольф-клубу та часткового банківського кредитування проекту під заставу статутного капіталу є найбільш прибутковішим та найменш ризикованим.
Список використаних джерел
1. Андерсен Э., Груде К., Хауг Т. Сфокусированное управление проектом. – М.: ФАИР-ПРЕСС, 2006 – 526 с.
2. Батенко Л.П., Зав городніх О.А.Ліщинська В.В. Управління проектами: навч. посібник. – К., КНЕУ, 2003. – 231 с.
3. Бушуев С.Д., Бушуева Н.С. Компетентный взгляд на управление проектами NCB v3. – К.:ІРІДІУМ., 2006. – 208 с.
4. Бушуєв С.Д., Морозов В.В. Динамічне лідерство в управлінні проектами: Монографія / Українська асоціація управління проектами. – К., 1999. – 312 с.
5. Верзух Э. – Управление проектами: ускоренный курс по программе МВА: Пер. с англ. – М.: ИД «Вильямс», 2008. -471 с.
6. Волков И.М., Грачева М.В. – Проектный анализ: Продвинутый курс: Учеб.пособие. – М.: ИНФРА-М, 2004. -494 с. – (Учебники Экономического ф-та МГУ им. М.В. Ломоносова).
7. Грашина М., Дунган В. «Основи управління проектами». – Спб: «Питер», 2006, – 208с
8. Грачева М.В., А.Б. Секерин А.Б. Риск-менеджмент инвестиционного проекта. – «Юнити» «Москва», 2008. – 544 c.
9. ДеКарло Д. eXtreme Project Management. Экстремальное управление проектами. – М.: Компания p.m. Office, 2005. – 178 с.
10. Джеральд И. Кендалл, Стивен К. Роллинз Современные методы Управления портфелями проектов и Офис управления проектами: Максимизация ROI, ПМСОФТ, 2004 г., 576 стр.
11. Дитхелм Г. Управление проектами. В 2 томах Том 1. Основы, Бизнес-Пресса, 2003 г., 400 стр.
12. Дитхелм Г., Управление проектами. В 2 томах Том 2. Особеннос-ти Бизнес-Пресса, 2003 г., 273 стр.
13. Кендалл И., Роллинз К. Современные методы управления портфелями проектов и опыт управления проектами: максимизация ROI – М.: ЗАО «ПМСОФТ», 2004. – 280 с.
14. Мазур И.И., Шапиро В.Д., Ольдерогге Н.Г. Управление проектами – М. «Экономика», 2001 – 574 с.
15. Маненко С. Його величність гольф // Тижневик «Персонал» №13 (265), 3–9 квітня 2008
16. Методологія, методи та засоби проектного менеджменту. Методичні вказівки/ Викладач, к.т.н., доцент кафедри управління проектами Андріанов В.В. – Одеса: ОРІДУ НАДУ при Президентові України, 2006.
17. Москвин В.А., Управление рисками при реализации инвестицион-ных проектов – М., Финансы и статистика, 2004 г. – 352 с.
18. Посібник з питань Проектного Менеджменту (українською мовою): Пер. з англ. / Під ред. С.Д. Бушуєва, 2-і видання, перероб. – К.: Видавничий будинок «Ділова Україна», 2000. – 198 с.
19. Разу та інші, Управління програмами та проектами: 17-модульна програма для менеджерів «Управління розвитком організації», 8. – М.: «ИНФА – М», 1999. – 392 с.
20. Руководство к своду знаний по управлению проектами (Руководство PMBoK). Третье издание. © 2004 Project Management Institute, Four Campus Boulevard, Newtown Square, PA 19073–3299 USA / США.
21. Словник-довiдник з питань управління проектами / Бушуєв С.Д. Українська асоціація управління проектами. – К.: Видавничий будинок «Ділова Україна», 2001. – 640с
22. Структура Декомпозиции Работ WBS // Университет Управления Проектами (группа компаний ПМСОФТ), http://www.pmsoft.ru/
23. Товб А.С., Ципес Г.Л. Управление проектами: стандарты, методы, опыт. 2-е изд. М.:ЗАО «Олимп–Бизнес», 2005. – 240 стр.