| Похожие рефераты | Скачать .docx |
Реферат: Розвиток фінансового механізму газового комплексу України
ДИПЛОМНА РОБОТА
РОЗВИТОК ФІНАНСОВОГО МЕХАНІЗМУ ГАЗОВОГО КОМПЛЕКСУ УКРАЇНИ
ЗМІСТ
ВСТУП
РОЗДІЛ І СУЧАСНИЙ СТАН ТА МАКРОЕКОНОМІЧНА СТРУКТУРА
ГАЗОВОГО РИНКУ УКРАЇНИ
1.1 Склад і структура газового ринку України. (формування ресурсу, транзит та споживання)
1.2 Аналіз виконання статей державного бюджету в частині реалізації природного газу споживачам України (рентна плата, рентна плата за транзитне транспортування природного газу, цільова надбавка до тарифу на природний газ, ПДВ 2002-2007 рр.)
1.3 Нормативно-правова база в частині встановлення податків та інших платежів (зборів) при транзиті природного газу, видобуванні природного газу, транспортуванні і постачанні природного газу
1.4 Історія розвитку фінансового механізму в газовому комплексі України (система до 1991 року, в 1991 -2007 рр.)
РОЗДІЛ ІІ. СПЕЦИФІЧНІ ОСОБЛИВОСТІ ТА ПРОЯВИ ФІНАНСОВОГО
МЕХАНІЗМУ В ГАЗОВОМУ КОМПЛЕКСІ УКРАЇНИ
2.1 Структура фінансових розрахунків з нерезидентами за імпортований та транзитний природний газ (російський та середньоазійський)
2.1.1 Міжнародний експортер - газотрейдер постачання імпортного газу в Україну у 1996 -2008 роках - компанії “Ітера” (Росія-Кіпр), «EuralTG» (Росія-Кіпр) та “РОСУКРЕНЕРГО” (Росія-Австрія)
2.1.2 Імпортер газу в Україні - Національна акціонерна компанія «НАФТОГАЗ УКРАЇНИ»
2.1.3 Імпортер газу в Україні – спільне ЗАТ «УКРГАЗЕНЕРГО»
(РОСУКРЕНЕРГО+НАК «НАФТОГАЗ УКРАЇНИ»)
2.1.4 ДК «Укртрансгаз» НАК «Нафтогаз України» - національне підприємство транзитних трубопроводів газу високого тиску України
2.2 Структура фінансових розрахунків з компаніями-резидентами власного видобування газу в Україні
2.2.1 ДК «Укргазовидобування» - національне підприємство власного газодобування
2.2.2 ДАТ «Чорноморнафтогаз» -національне підприємство власного газодобування
2.2.3 ВАТ «Укрнафта» - національне підприємство власного газодобування
2.2.4 Основні підприємства продажу газу кінцевим споживачам в Україні
2.3 Аналіз моделей розрахунку за використаний природний газ з
населенням, бюджетними установами, комунтеплоенерго,промисловістю, хімічною промисловістю
2.3.1 ДК «ГазУкраїни», ДК «Укртрансгаз», регіональні підприємства по газорозподілу та газопостачанню як інфраструктура постачанню газу населенню за регульованим тарифом
2.3.2 ДК «ГазУкраїни», ДК «Укртрансгаз», регіональні підприємства по газорозподілу та газопостачанню як інфраструктура постачанню газу бюджетним установам за регульованим тарифом
2.3.3 ДК «ГазУкраїни», ДК «Укртрансгаз», регіональні підприємства по газорозподілу та газопостачанню як інфраструктура постачанню газу підприємствам комунальних ТЕК за регульованим тарифом
2.3.4 ДК «ГазУкраїни», ДК «Укртрансгаз», СП ЗАТ «УКРГАЗЕНЕРГО», комерційні газотрейдери як інфраструктура постачання газу промисловим підприємствам за нерегульованим тарифом
РОЗДІЛ ІІІ ШЛЯХИ УДОСКОНАЛЕННЯ ФІНАНСОВОГО МЕХАНІЗМУ В ГАЗОВОМУ КОМПЛЕКСІ УКРАЇНИ
3.1 Розгляд сучасних моделей розвитку ринку природного газу в Україні
3.2 Основні напрямки та заходи удосконалення фінансового механізму
3.3 Удосконалення державного регулювання цін (тарифів) на послуги природних монополій та функціонування комерційних посередників в схемах поставок і фінансових розрахунків на аукціонному принципів
ВИСНОВКИ
СПИСОК ВИКОРИСТАНИХ ДЖЕРЕЛ
ДОДАТКИ
ВСТУП
Фінансовий механізм –це складова господарського механізму, являє собою сукупність форм і методів створення та використання фондів фінансових ресурсів з метою забезпечення потреб державних структур, господарських суб'єктів і населення. Складовими фінансового механізму є фінансові показники, нормативи, ліміти і резерви, фінансове планування, прогнозування, управління фінансами. За допомогою фінансового механізму здійснюють розподіл і перерозподіл створюваного в державі валового внутрішнього продукту.
Забезпечення економіки України енергоресурсами - одне із ключових питань незалежності держави. Енергетичний баланс України за останні роки характеризується такими цифрами: частка природного газу серед енергоносіїв становить 45%, вугілля - 25%, нафта - 13%, атомна енергетика та інші джерела - 14%. Таким чином, головним джерелом енергозабезпечення держави є природний газ. У країнах Європи це доволі унікальне явище притаманне тільки Україні. Адже у європейських державах частка природного газу в енергетичному балансі у межах 20-25%, натомість переважає споживання нафти і нафтопродуктів – 39-42% всіх енергоресурсів.
Актуальність теми дипломного дослідження полягає в стратегічній важливості питання для української економіки на макрорівні, оскільки Україна належить до енергодефіцитних країн, бо за рахунок власного видобутку забезпечує себе лише на 24-25% газом та на 12% нафтою.
Предметом дипломного дослідження є організація функціонування та сучасний фінансовий механізм розрахунків на газовому ринку України.
Об’єкт дипломного дослідження – взаємодія суб’єктів газового ринку України на макрорівні організації фінансових розрахунків на всіх етапах здобування, транспортування, розподілу та поставки газа кінцевим споживачам.
Мета дипломного дослідження – виявлення проблем сучасної системи фінансових розрахунків суб’єктів газового ринку України та розробка пропозицій по удосконаленню системи фінансових розрахунків на етапах здобування, транспортування, розподілу та поставки газа кінцевим споживачам.
Згідно з метою дипломного дослідження в роботі вирішувались наступні поставлені завдання:
1. В першому розділі виконаний теоретичний аналіз:
- складу і структури газового ринку України. (формування ресурсу, транзит та споживання);
- забезпечення виконання статей державного бюджету в частині зборів з добичі, транспортування та реалізаціїприродного газу споживачам України (рентна плата, рентна плата затранзитне транспортування природного газу, цільова надбавка до тарифу наприродний газ, плата за користування надрами, ПДВ 2002-2007 рр.);
- нормативно-правової базив частині встановлення податків та іншихплатежів (зборів) при транзиті природного газу, видобуванні природногогазу, транспортуванні і постачанні природного газу;
- історії розвитку фінансового механізму в газовому комплексі України(система до 1991 року, в 1991 -2007 рр.).
2. В другому розділі проведений економіко-статистичний аналіз:
- структури фінансових розрахунків з нерезидентами за імпортованийприродний газ (російський та середньоазійський);
- структури фінансових розрахунків з компаніями-резидентамивласного видобування газу в Україні;
- моделей розрахунку за використаний природний газ з населенням, бюджетними установами, комунтеплоенерго,промисловістю, хімічною промисловістю.
3. В третьому розділі:
- розглянуті можливі моделі розвитку ринку природного газу вУкраїні;
- запропоновані основні напрямки та заходи удосконалення фінансовогомеханізму при видобуванні природного газу, при транспортуванні природного газу магістральними ірозподільними трубопроводами, при реалізації природного газу споживачам,при транзиті природного газу в Європу та Турцію;
- запропонованізаходи удосконалення державного регулювання цін (тарифів) на послугиприродних монополій та функціонування комерційних посередників в схемах поставок і фінансових розрахунків на аукціонному принципі.
Інформаційною базою дипломного дослідження були нормативні та методологічні документи НКРЕ України з газових питань, закони України та постанови КМУ з питань газової галузі та державного бюджету України, фінансово-економічні та аналітичні звіти НАК «Нафтогаз України», ДК «Газ України», ДК «Укргазовидобування», ВАТ «Укрнафта», ДАТ «Чорноморнафтогаз», ДК «Укртранснафта», СП «Укргазенерго», фірми «Росукренерго» за 2004 -2008 роки.
В якості методологічних інструментів застосовані: історичний метод, метод статистичної обробки хронологічних рядів показників діяльності підприємств газової галузі, вертикально-горизонтальний метод обробки фінансової звітності підприємств, метод порівняння, метод прогнозування на основі кореляційно-регресійних математичних моделей.
Практична цінність отриманих результатів дипломного дослідження полягає в виявленні стійких кореляційно-регресійних параметрів січасних тарифних функцій та розрахованих функцій боргу:
- Коефіцієнт боргу в сегментах «Населення» та «Бюджетні установи» становить 10% -15% від коефіцієнту тарифу;
- Коефіцієнт боргу в сегменті «Підприємства теплокомуненерго» становить 58,7%-61,0% від коефіцієнту тарифу.
та наданні обґрунтованих пропозицій по удосконаленню тарифної політики в наведених сегментах:
1. Оплата спожитого газу в сегменті «Населеняя» згідно фактичним показникам спожиття (після спожиття);
2. Передоплата 50% ліміту газу, розподіленого для споживання в сегменті «Бюджетні установи», з оплатою залишків сум по результатах фактичного споживання;
3. Передоплата векселями, які можна продавати населенню для розрахунків з підприємствами теплокомуненерго, за газ 100% у сегменті «Підприємства теплокомуненерго», або вертикальна інтеграція по типу «Газтепло» зі зміною власників підприємств теплокомуненерго і створенням інтегрованих підприємств.
РОЗДІЛ І
СУЧАСНИЙ СТАН ТА МАКРОЕКОНОМІЧНА СТРУКТУРА ГАЗОВОГО РИНКУ УКРАЇНИ
1.1 Склад і структура газового ринку України (формування ресурсу, транзит та споживання)
Природний газ – один з найважливіших енергетичних ресурсів глобальної економіки, споживання якого, нарівні з нафтою, найближчими десятиліттями лише зростатиме. Найбільшими споживачами цього виду палива є промисловість та електрогенерація Згідно з прогнозом Адміністрації енергетичної інформації при уряді США світове споживання блакитного палива до 2030 року у середньому зростатиме на 2,4% щорічно, у промисловості приріст складатиме близько 2,9%, в енергетиці - 2,8%. При цьому споживання газу у світовому енергобалансі збільшиться до 2030 року до 26%, в тойже час в Україні питома вага газу в енергобалансі вже сьогодні становить 41% (рис.1.1). Природний газ є більш екологічним, ніж інші види палива завдяки меншому виділенню шкідливих речовин при згоранні.

Рис.1.1. Питома вага газу у структурі споживання енергоносіїв в Україні [108]
Росія і центральноазіатські країни – Казахстан, Узбекистан, Туркменістан – посідають особливе місце на світовому ринку енергоносіїв. Зокрема, у цих країнах зосереджено до третини світових запасів природного газу. Пріоритетом для цих держав сьогодні є нарощування видобутку і розширення транспортної інфраструктури, здатної забезпечити зростаюче споживання.
Європейський регіон є ключовим споживачем газу, що постачається з Росії та Центральної Азії. У Європі разом з приростом споживання спостерігається спад власного видобутку газу, викликаний, перш за все, вичерпанням запасів. За прогнозами Міжнародного енергетичного агентства, вже до 2015 року 75% газу Європа імпортуватиме (для порівняння: у 2005 році імпорт у Європі склав лише 50% ресурсу). ВАТ «Газпром» забезпечує близько третини поставок газу до Західної Європи. За даними «Газпрому», основними покупцями російського газу є Німеччина, Італія, Туреччина і Франція. Серед держав Центральної Європи перше місце за закупівлями газу у ВАТ «Газпром» посідає Угорщина, за якою слідують Словаччина, Чехія та Польща.
Протягом останнього десятиліття ВАТ «Газпром» активно прагне до участі у продажу газу кінцевим споживачам. Для досягнення цієї мети «Газпром» створив низку спільних підприємств з великими постачальниками газу в Європі, а також придбав пакети акцій у кількох європейських газових компаніях.
Україна – важлива ланка системи енергопоставок до Європи. Через її газотранспортну мережу транспортується приблизно 90% газу, що постачає ВАТ «Газпром» до європейських країн. При цьому й сама Україна є найбільшим споживачем блакитного палива в Європі.
Україна має розвинену газотранспортну систему, яка включає 38,0 тис. км газопроводiв, в тому числi 14 тис. км дiаметром 1020-1420 мм, 73 компресорнi станцiї (110 компресорних цехiв) загальною потужнiстю 5400 МВт, 13 пiдземних сховищ газу. Пропускна спроможнiсть системи становить на входi 290 млрд.куб.м на рiк, а на виходi – 178,5 млрд.куб.м на рiк (Рис.1.2).

Рис.1.2. – Схема газотранспортної системи України [108]
Газотранспортна система, оператором якої є підприємство у складі НАК “Нафтогаз України” – дочірня компанія “Укртрансгаз”, забезпечує подачу газу внутрiшнiм споживачам i здiйснює основний обсяг експортних поставок росiйського газу до iнших європейських країн.
Компанія щороку транспортує для споживачів України близько 70 млрд. куб. м і транзитом через свою газотранспортну систему до країн Західної та Центральної Європи 110-120 млрд. куб. м природного газу. На сьогодні існує технічна можливість для збільшення транзиту газу в країни Центральної і Західної Європи до 140 млрд. куб.м на рік без розширення газотранспортної системи. Протягом всього часу функціонування Компанії жодного разу не були зірвані поставки газу – ні внаслідок коливань температури повітря, ні через сезонні зміни споживання, ні через інші не передбачувані обставини.
Стратегiчне значення української газотранспортної системи зумовлено вигiдним географiчним розташуванням нашої держави мiж основними газовидобувними регiонами i основними споживачами газу в Європi, сполученням газопроводiв з магiстральними газопроводами всiх сусiднiх країн, наявнiстю найбiльшого в Європi (пiсля Росiї) комплексу пiдземних газосховищ, а також високим рiвнем обслуговування та експлуатацiї газотранспортної системи.
Для надiйного постачання газу споживачам, збереження конкурентоспроможностii привабливостi газотранспортної системи для експортерiв газу розроблена i впроваджується програма реконструкцiї компресорних станцiй, лiнiйної частини системи, газорозподiльних i газовимiрювальних станцiй. Основа цiєї програми – розробка i впровадження сучасних українських газотурбiнних двигунiв з пiдвищеним коефiцiєнтом корисної дiї, нових систем управлiння.
Поряд з роботами, спрямованими на пiдвищення технiчного рiвня та надiйностi газотранспортної системи, виконуються роботи з її розширення. За останнi 10 рокiв побудовано i введено в експлуатацiю понад 5 тис. км магiстральних газопроводiв та вiдводiв, 10 компресорних цехiв (Рис.1.3).

Рис.1.3. Розвиток газотранспортної системи України у 1991 – 2007 роках [108]

Рис.1.4. Обсяг транзиту природного газу територією України у 1991 -2007 роках [108]
З метою збiльшення транзитних можливостей України в напрямку Балканських країн та Туреччини створено спiльне українсько-росiйсько-турецьке акцiонерне товариство «Газтранзит». Товариством введена в дiю компресорна станцiя Тарутине на дiючому газопроводi Ананiїв (Україна)–Тираспiль (Молдова)–Ізмаїл (Україна), побудовано та введено в експлуатацiю 76 км газопроводу Ананiїв–Ізмаїл, що збiльшує пропускну спроможнiсть майже на 6 млрд.куб.м на рiк.
Важливим елементом диверсифiкацiї джерел постачання газу до європейських країн може стати імпорт природного газу з Середньої Азiї. Для цього могла б бути використана дiюча iнфраструктура газопроводiв країн Середньої Азiї, Росiї та України, а також проектнi газопроводи на територiї Росiї: Александров Гай–Новопсков i на територiї України: Новопсков–Ужгород продуктивнiстю 28-30 млрд.куб.м на рiк.
Важливим технологiчним елементом газотранспортної системи є 13 пiдземних газосховищ з активним об'ємом 34,5 млрд.куб.м. Мережа пiдземного зберiгання газу включає чотири комплекси – Захiдноукраїнський, Київський, Донецький i Пiвденноукраїнський. Максимальний можливий вiдбiр при повному заповненнi пiдземних сховищ газу може досягти 250 млн.куб.м за добу.
Пов'язанi в єдину систему мережею газопроводiв пiдземнi газосховища забезпечують високу надiйнiсть функцiонування всiєї газотранспортної системи, гарантують безперебiйнiсть як постачання газу внутрiшнiм споживачам, так i транзиту росiйського газу до Європи.
У зв'язку з iнтенсивним розвитком європейського газового ринку пiдземнi газосховища захiдного регiону України, що мають значний потенціал, можуть вiдiгравати бiльш вагому роль в надiйностii безпецi газопостачання сусiднiх країн.
Річне споживання газу в Україні в середньому становить 78 млрд. кубометрів. Необхідна його кількість забезпечувалась до 2005 року передусім за рахунок отримання щорічно до 28 млрд. кубометрів газу як плати за транзит російського газу через українську територію до країн Європи і Туреччини.
Але у зв'язку з тим, що з Росією укладено договір про реструктуризацію боргу за газ, спожитий у 1997-2000 роках, протягом 2005-2009 років НАК "Нафтогаз України" щорічно в рахунок погашення цього боргу надає послуги з транзиту на суму 250 млн. дол. США та отримує 23-24 млрд. кубометрів газу для забезпечення балансу газу України.
На рис.1.5 – 1.6 наведені основні характеристики споживання та власного добування газу в газовому комплексі України в динаміці за 1991 -2007 роки.
Рис.1.5. – Обсяг споживання природного газу в Україні у 1988 – 2007 роках [108]
Дефіцит газу НАК "Нафтогаз України" покриває за рахунок його закупівлі у республіках Середньої Азії та Росії. На 2005 рік було підписано договір між ДТК "Туркменнафтогаз" і НАК "Нафтогаз України" на поставку газу, за яким Туркменистан мав поставляти в Україну у 2005-2009 роках по 37 млрд. м3 природного газу.

Рис.1.6. Динаміка власного видобутку газу в Україні у 1991 -2007 роках [108]
Треба зазначити, що у 2005 році у зв'язку із світовим зростанням цін на нафту, нафтопродукти і природний газ збільшилася й ціна закупівлі турменського газу з 44 доларів (у 2004 році) до 58 доларів США за тисячу кубометрів у 2005 році. До того ж розрахунок за закуплений газ у 2005 році мав проводитися на 50% валютою і 50% - поставкою матеріальних ресурсів. Крім того, у 2005-2009 роках по 13,9 млрд. м3 туркменського природного газу треба віддавати в рахунок оплати за транзит фірмі "RosUkrEnergo", яка за договором організовує та сплачує транспортування газу від Туркменістану до східного кордону України. Таким чином, ціна газу на україно-російському кордоні з урахуванням транспортних витрат у 2005 році складала 78 доларів за тисячу м3 (тобто на 20 доларів дорожче ціни в Туркменістані).
Подальше зростання світової ціни на енергоресурси з 2005 по 2008 рік привело до порушення стабільних довгострокових цін поставки газу з Росії та середньої Азії в Україну. На рис.1.7 наведена динаміка цін на газ для Європи на кордоні «Україна – ЄС» та цін на російський та туркменський газ для України на кордоні «Росія-Україна» у 2002 -2008 роках.

Рис.1.7. Динаміка цін на газ для Європи на кордоні «Україна – ЄС» та цін на російський та туркменський газ для України на кордоні «Росія-Україна» у 2002 -2008 роках (в доларах США за 1000 м3) [108]
Видобуток газу, газового конденсату та нафти в Україні здійснюють дочірні та підконтрольні компанiї газового державного монополіста НАК «Нафтогаз України» - ДК «Укргазвидобування», ВАТ «Укрнафта» та ДАТ «Чорноморнафтогаз», на якi припадає 95% видобутку нафти i конденсату та 94% видобутку газу в Українi, та декілька десятків незалежних підприємств, добича газу в яких, згідно законодавству [108], також підлягає контролю з боку НАК «Нафтогаз України».
Газ власного українського видобутку повністю спрямовується для задоволення потреб населення. Завдяки цьому ціни на природний газ, який НАК "Нафтогаз України" реалізував населенню, бюджетним організаціям та підприємствам теплокомуненерго, не змінювалися з 1999 року до 2005 року. Однак такі ціни забезпечують покриття витрат компанії менш як на 50% і, таким чином, "Нафтогаз України" щорічно субсидував споживачів соціальної сфер на суму близько 4 млрд. грн.
На рис.1.8. наведена динаміка обсягів добичі газу, який НАК «Нафтогаз України» покупає в основних підприємствах України по власній добичі газу на території України та морського шельфу.

Рис.1.8. Динаміка обсягів добичі власного газу України, які НАК «Нафтогаз України» покупає в основних підприємствах України (дочірні та підконтрольні підприємства НАК «Нафтогаз України») по власній добичі газу на території України та морського шельфу [108]
Досягнення максимально можливого рівня забезпеченості власними паливно-енергетичними ресурсами є принциповим завданням національної економіки України. Значна роль у його розв'язанні належить НАК "Нафтогаз України". Підприємства компанії видобувають газ та нафту на 219 родовищах, з яких у промисловій розробці знаходяться 186, у дослідно-промисловій - 43 родовища. Після досягнення в 1970-х роках максимальних обсягів видобутку газу (68,3млрд. куб. м ) та нафти з газовим конденсатом (14,5 млн. тонн) відбувалося поступове їх зменшення з середніми річними темпами 3,3-3,7%.
На рис.1.9. наведене порівняння цін, за якими НАК «Нафтогаз України» отримує імпортний газ та газ від вітчизняних газодобувних компаній для розподілу споживачам газового балансу Україниу 2008 році.

Рис.1.9. Порівняння цін, за якими НАК «Нафтогаз України» отримує імпортний газ та газ від вітчизняних газодобувних компаній для розподілу споживачам газового балансу Україниу 2008 році [108]
Макроструктура газового ринку України, яки є признаний об’єктом природної монополії, регулюється Постановою Кабінету Міністрів України від 27 грудня 2001 р. N 1729 «Про забезпечення споживачів природним газом» (Про порядок забезпечення галузей національної економіки та населення природним газом ) [43], якою затверджений наступний порядок забезпечення споживачів в Україні природним газом ( із змінами, внесеними згідно з Постановами КМУ станом від 17 жовтня 2007 року N 1244) :
1. Установлено, що потреба в природному газі задовольняється:
1) населення - з ресурсу природного газу, який формується за рахунок продажу підприємствами, частка держави у статутному фонді яких перевищує 50 відсотків, господарськими товариствами, більш як 50 відсотків акцій (часток, паїв) яких перебуває у статутних фондах інших господарських товариств, контрольним пакетом акцій (часток, паїв) яких володіє держава, а також дочірніми підприємствами, представництвами та філіями таких підприємств і товариств, учасниками договорів про спільну діяльність, укладених за участю зазначених підприємств і товариств, та/або уповноваженими ними особами Національній акціонерній компанії "Нафтогаз України" всього обсягу природного газу (в тому числі нафтового (попутного) газу) власного видобутку, який здійснюється на підставі спеціальних дозволів на користування надрами, за винятком обсягів газу, що використовується видобувними підприємствами для виробничо-технологічних витрат, задоволення власних потреб і виробництва скрапленого газу, та з інших ресурсів Національної акціонерної компанії "Нафтогаз України".
Національна акціонерна компанія "Нафтогаз України" є уповноваженим суб'єктом з формування і розпорядження ресурсами природного газу, що використовується для задоволення потреб населення.
Відкрите акціонерне товариство "Укрнафта" (з урахуванням обсягів газу, видобутого його регіональними управліннями, а також на підставі договорів про спільну діяльність, укладених за участю зазначених управлінь),
Національна акціонерна компанія "Надра України" (з урахуванням обсягів газу, видобутого її дочірніми підприємствами, а також на підставі договорів про спільну діяльність, укладених за участю зазначених підприємств), господарські товариства, більш як 50 відсотків акцій (часток, паїв) яких перебуває у статутному фонді інших господарських товариств, контрольним пакетом акцій (часток, паїв) яких володіє держава, реалізують видобутий природний газ виключно Національній акціонерній компанії "Нафтогаз України" за погодженою з Національною комісією регулювання електроенергетики ціною, яка не перевищує граничного рівня оптової ціни на природний газ, що використовується для задоволення потреб населення, без урахування тарифів на транспортування, постачання природного газу і збору у вигляді цільової надбавки до діючого тарифу на природний газ.
Реалізація природного газу для задоволення потреб населення здійснюється суб'єктами господарювання, що мають ліцензію на постачання природного газу за регульованим тарифом, за роздрібними цінами, встановленими Національною комісією регулювання електроенергетики;
2) установ та організацій, що фінансуються з державного і місцевх бюджетів, підприємств комунальної теплоенергетики, теплових електростанцій, електроцентралей та котелень суб'єктів господарювання (далі - підприємства), зокрема блочних (модульних) котелень (в обсязі, що використовується для надання населенню послуг з опалення та гарячого водопостачання, за умови ведення такими підприємствами окремого приладового та бухгалтерського обліку тепла і гарячої води), - з ресурсів природного газу Національної акціонерної компанії "Нафтогаз України" імпортного походження, а у разі його недостатності - з ресурсу природного газу власного видобутку за умови щомісячного задоволення потреби населення у природному газі;
Реалізація природного газу для потреб зазначених підприємств здійснюється дочірньою компанією "Газ України" та дочірнім підприємством "Газтепло" Національної акціонерної компанії "Нафтогаз України", суб'єктами господарювання, що мають ліцензію на постачання природного газу за регульованим тарифом, за цінами, що не перевищують граничних рівнів цін на природний газ, установлених Кабінетом Міністрів України;
3) дочірньої компанії "Укртрансгаз" Національної акціонерної компанії "Нафтогаз України", суб'єктів господарювання, що мають ліцензію на провадження господарської діяльності з розподілу природного і нафтового газу, для їх технологічних та інших виробничих потреб - з ресурсів імпортованого природного газу або з ресурсів природного газу Національної акціонерної компанії "Нафтогаз України" імпортного походження, а у разі його недостатності - з ресурсу природного газу власного видобутку, за умови щомісячного задоволення потреби населення у природному газі;
4) газодобувних підприємств для виробничо-технологічних витрат і власних потреб, а також виробництва скрапленого газу - за рахунок обсягів природного газу власного видобутку;
5) промислових споживачів та інших суб'єктів господарювання - з ресурсів газу:
- Національної акціонерної компанії "Нафтогаз України", отриманих за зовнішньоекономічними контрактами та договорами купівлі-продажу;
- товариств (підприємств), утворених за участю Національної акціонерної компанії "Нафтогаз України", які закуповують природний газ за зовнішньо-економічними контрактами;
- суб'єктів господарювання, що здійснюють видобуток природного газу, крім обсягів газу, які згідно з абзацом першим підпункту 1 пункту 2 цієї постанови підлягають продажу Національній акціонерній компанії "Нафтогаз України;
- інших постачальників газу, які закуповують газ за зовнішньоекономічними контрактами;
- отриманого з Марківського газоконденсатного родовища за зовнішньо-економічними контрактами (угодами).
3. Установлено, що з 2006 року природний газ, ввезений на митну територію України за зовнішньоекономічними контрактами, укладеними на виконання міжнародних договорів України, та оформлений митними органами в режимі випуску у вільний обіг із звільненням від обкладення податком на додану вартість, реалізується Національною акціонерною компанією "Нафтогаз України", дочірньою компанією "Газ України" та дочірнім підприємством "Газтепло", а також суб'єктами господарювання, що мають ліцензію на провадження господарської діяльності з постачання природного газу за регульованим тарифом, із застосуванням нульової ставки податку на додану вартість (крім постачання населенню, бюджетним установам та іншим споживачам, які не є платниками зазначеного податку), за наявності:
- договорів на таке придбання із зазначенням, кому належить поставлений газ;
- договорів на власну поставку такого газу з обов'язковим зазначенням, кому належить поставлений газ та індивідуального податкового номера споживача - платника податку на додану вартість;
- вантажосупровідних документів (товаротранспортних і податкових накладних, актів приймання-передачі), в яких обов'язково зазначається, кому належить поставлений газ, суб'єкт господарювання та його індивідуальний податковий номер платника податку на додану вартість.
Згідно «Порядку забезпечення споживачів природним газом» [44 ]:
1. Мінпаливенерго, Мінекономіки і НКРЕ разом з НАК "Нафтогаз України" щороку розробляють прогнозний річний баланс надходження та розподілу природного газу в Україні (з поквартальною розбивкою) з урахуванням потреби в ньому національної економіки, бюджетних установ та організацій, населення, а також можливостей газотранспортної системи і не пізніше ніж 20 грудня року, що передує планованому, подають на затвердження Кабінету Міністрів України.
2. Контроль за дотриманням прогнозного річного балансу надходження та розподілу природного газу в Україні здійснюють Мінекономіки, Мінпаливенерго, НКРЕ. НАК "Нафтогаз України" до 25 числа місяця, що настає за звітним, подає до НКРЕ інформацію про використання природного газу в розрізі регіонів.
3. Газодобувні підприємства НАК "Нафтогаз України", НАК "Надра України", ВАТ "Укрнафта" та інші господарські товариства, частка держави у статутному фонді яких перевищує 50 відсотків, а також господарські товариства, понад 50 відсотків акцій (часток, паїв) яких перебуває у статутних фондах інших господарських товариств, контрольним пакетом акцій яких володіє держава, а також державне акціонерне товариство "Чорноморнафтогаз" реалізують природний газ власного видобутку (у тому числі той, що видобуто у процесі виконання договорів про спільну діяльність) виключно НАК "Нафтогаз України.
4. Суб'єкти господарювання, що мають ліцензію на постачання природного газу за регульованим тарифом, відкривають в установах уповноваженого банку поточні рахунки із спеціальним режимом використання для зарахування коштів за поставлений населенню, а також установам та організаціям, що фінансуються з державного і місцевих бюджетів, природний газ і надані послуги з його транспортування, розподілу та постачання. Алгоритм (порядок) розподілу коштів розробляється НАК "Нафтогаз України" та затверджується НКРЕ.
5. Постачальниками природного газу можуть бути суб'єкти господарської діяльності, які в установленому порядку отримали ліцензію на постачання природного газу.
6. Постачальники природного газу:
- у разі постачання природного газу населенню укладають з газотранспортними підприємствами НАК "Нафтогаз України" та суб'єктами господарювання, що мають ліцензію на розподіл природного і нафтового газу, договори про транспортування природного газу;
- укладають з газотранспортними підприємствами НАК "Нафтогаз України" та/або із суб'єктами господарювання, що мають ліцензію на розподіл природного і нафтового газу, договори на транспортування природного газу до споживачів без посередників;
- забезпечують страховий запас газу в розмірі 10 відсотків договірних квартальних обсягів його поставки споживачам у натуральній формі, крім обсягів його використання на власні потреби. Природний газ, який закачується НАК "Нафтогаз України" до підземних сховищ газу відповідно до затвердженого прогнозного балансу його надходження та розподілу по Україні, є страховим запасом газу для забезпечення потреб споживачів України;
- подають Мінпаливенерго, НАК "Нафтогаз України" та НКРЕ не пізніше ніж за 10 днів до початку місяця реалізації газу інформацію про укладені договори на його поставку, довідку про наявні ресурси газу та їх плановий розподіл за регіонами та споживачами;
- забезпечують разом з газотранспортними підприємствами НАК "Нафтогаз України" та суб'єктами господарської діяльності, що мають ліцензію на розподіл природного і нафтового газу, облік реалізованого газу;
- укладають з уповноваженими органами з питань ефективного використання енергоносіїв та енергозбереження, або з газотранспортними підприємствами НАК "Нафтогаз України" та суб'єктами господарської діяльності, що мають ліцензію на розподіл природного і нафтового газу, договори на виконання робіт, пов'язаних з обмеженням та відключенням від газопостачання споживачів-боржників.
7. Газотранспортні та газодобувні підприємства НАК "Нафтогаз України", а також суб'єкти господарської діяльності, що мають ліцензію на розподіл природного і нафтового газу:
- забезпечують рівні умови доступу до газотранспортної системи для всіх суб'єктів господарської діяльності незалежно від форми власності;
-забезпечують у межах виділених постачальниками (крім підприємств НАК "Нафтогаз України" та товариств (підприємств), утворених за участю НАК "Нафтогаз України", які закуповують природний газ за зовнішньоекономічними контрактами) планових обсягів природного газу його транспортування відповідно до договорів, укладених із споживачами (крім населення);
- забезпечують транспортування природного газу споживачам відповідно до договорів, укладених з підприємствами НАК "Нафтогаз України" та товариствами (підприємствами), утвореними за участю НАК "Нафтогаз України", які закуповують природний газ за зовнішньоекономічними контрактами;
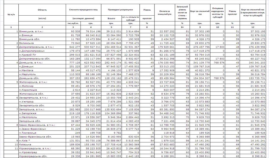
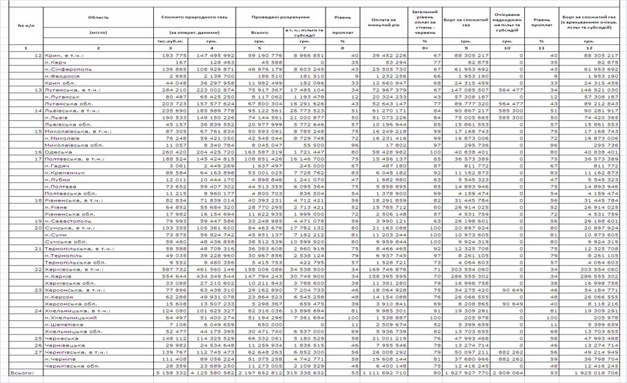
В таблицях Н.1 – Н.6 додатку Н наведені прогнозні баланси формування та розподілу газових ресурсів України у 2003 – 2008 роках.
1.2 Аналіз виконання статей державного бюджету в частині реалізації природного газу споживачам України (рентна плата, рентна плата за транзитне транспортування природного газу, цільова надбавка до тарифу на природний газ, ПДВ 2002-200 8 рр.)
Аналіз податкового навантаження на добування, транспортування та реалізацію природного газу в Україні проведемо, аналізуючи динаміку вимог Законів України «Про державний бюджет» за 2002 -2008 роки [8] – [14 ] та законів України про оподаткування [16], [17], [7].
Згідно Законів України «Про державний бюджет» у 2002 -2007:
а) до доходів загального фонду Державного бюджету України на 2002 - 2007 рік належать наступні спеціальні збори з операцій з природним газом:
- збір за геологорозвідувальні роботи, виконані за рахунок державного бюджету (який стягується з газодобувних підприємств за розвідку для них родовищ природного газу);
- рентна плата за природний газ, газовий конденсат, що видобуваються в Україні газодобувними підприємствами згідно отриманих ліцензій;
- рентна плата за транзитне транспортування природного газу (крім податкової заборгованості з рентної плати за транзитне транспортування природного газу Національної акціонерної компанії "Нафтогаз України", яка є джерелом формування спеціального фонду державного бюджету за відповідними напрямами, визначеними у цьому Законі);
- збір у вигляді цільової надбавки до діючого тарифу на природний газ для споживачів усіх форм власності (який закладається в тариф ціни реалізації газозбутовими підприємствами та сплачується ними в держбюджет);
- збір у вигляді плати за використання надрових ресурсів при добуванні газу (який закладається в тариф ціни реалізації газозбутовими підприємствами та сплачується ними в держбюджет);
б) встановлено «нульову» ставку імпортного ПДВ на імпортуємий в Україну природний газ.
Спеціальними статтями в законах України «Про Державний бюджет» [8]- [14] встановлено, що підприємства, частка держави у статутному фонді яких перевищує 50 відсотків, господарські товариства, більше ніж 50 відсотків акцій (часток, паїв) яких знаходиться у статутних фондах інших господарських товариств, акціонером яких є держава і володіє в них контрольним пакетом акцій, а також дочірні підприємства, представництва та філії таких підприємств і товариств, учасники договорів про спільну діяльність, та/або уповноважені особи договорами про спільну діяльність, укладеними за участю зазначених підприємств, щомісячно здійснюють продаж:
- всього природного газу (у тому числі нафтового (попутного) газу) власного видобутку (видобутого на підставі спеціальних дозволів на користування надрами) для формування ресурсу природного газу, що використовується для потреб населення, безпосередньо суб'єкту, уповноваженому Кабінетом Міністрів України на формування такого ресурсу, за ціною, що не перевищує граничний рівень оптової ціни на природний газ, що використовується для потреб населення, визначеної в установленому порядку за вирахуванням розміру тарифів на транспортування, постачання та цільової надбавки до діючого тарифу на природний газ для споживачів усіх форм власності.
- за рахунок природного газу (у тому числі нафтового (попутного) газу), що видобувається суб'єктами господарювання, визначеними в абзаці першому цієї статті, формується та використовується у порядку, встановленому Кабінетом Міністрів України, ресурс природного газу, що використовується для потреб населення.
- з метою дотримання норм цієї статті передання нафти сирої, газового конденсату, природного газу, у тому числі нафтового (попутного) та скрапленого, на умовах договорів комісії, давальницької переробки, інших договорів, які не передбачають передання права власності на них, не допускається.
В таблицях П.1 – П.2 додатку П наведена динаміка ставок рентної плати та інших зборів, сум стягнутих спеціальних зборів в державний бюджет з операцій в газовій галузі та спеціальних вимог до оподаткування податком на додану вартість операцій реалізації газа споживачам, а також вимоги до відрахування в державний бюджет частини прибутку і дивідендів газодобувних підприємств з контрольною державною часткою в капіталі.
Як показує аналіз даних за 2002 -2008 роки, наведених в табл.П.1 – П.2 додатку П, податкове навантаження на компанію НАК «Нафтогаз України» для її дочірніх компаній постійно зростає, при цьому додатково вводяться збори :
- з 2004 року - збір-плата за користування надрами для видобування корисних копалин (газ природний );
- з 2005 року - збір у вигляді цільової надбавки до діючого тарифу на природний газ для споживачів усіх форм власності (2% у 2005 -2007 роках та диференційовані ставки 2%-4%-6%-12% у 2008 році).
В результаті з 2002 року по 2008 рік при практично постійному обліковому курсі долара США (з ревальвацією з 5,33 до 5,05 грн./долар та з 5,05 до 4,85 грн./долар) :
- рівень власної добичі газу зріс з рівня 18,4 млрд.м3/рік (2002 рік) до рівня 20,4 -20,6 млрд.м3/рік (2007 -2008 роки), тобто на 11%;
- рівень сплати в держбюджет рентної плати за природний газ, що видобувається в Україні зріс з 497,1 млн.грн. до 1 258,4 млн.грн., тобто в 2,5рази ;
- рівень обсягів транзиту по території України газу з Росії в Європу становить 95 млрд.м3 у 2002 році та 115 млрд.м3 у 2008 році(прогноз), тобто приріст становить +21,0%;
- рівень сплати в держбюджет рентної плата за транзитне транспортування природного газу по території України із Росії в Європу зріс з рівня 2,240 млрд.грн./рік (2002 рік) до рівня 3,492 млрд.грн. у 2008 році, тобто зростання становить +55,9%;
- загальний рівень доходів в державний бюджет України від спеціальних зборів за операції по видобуванню, транспортуванню та продажу газу споживачам зріс з рівня 3,099 млрд.грн. у 2002 році до рівня 7,155 млрд.грн. у 2008 році, тобто на +130,9%.
Все це за умов постійного збільшення податкового навантаження на компанію НАК «Нафтогаз України» - монополіста газового ринку. Якщо в 1999 році "Нафтогазом України" сплачено податків на 4,9 млрд. грн., то в 2004 році ця цифра становила вже понад 6 млрд. грн., а в 2005-му з прийняттям змін до закону "Про державний бюджет" збільшилась вдвічі і сягнула 10 млрд. грн..
У 2007 році спільно підприємства НАК «Нафтогаз України» внесли до бюджету 12,4 млрд.грн. Схоже на те, що нафтогазовидобувна галузь розглядається як невичерпне джерело для латання бюджетних "дірок".
Законами "Про Державний бюджет України на 2005 -2008 роки" зупинено дію Закону України "Про рентні платежі за нафту, природний газ і газовий конденсат"[7], що передбачав чітку диференціацію платежів залежно від гірничо-геологічних умов розробки родовища. Внаслідок цього рентні платежі не врегульовуються жодним законом і щоразу встановлюються законом про бюджет на відповідний рік. При цьому у 2005 – 2008 роках ставки рентних платежів різко зросли, а у 2008 році підвищення зборів з продажу газу почало регулюватися цільовою надбавкою, яка з рівня 2% у 2005 -2007 роках піднялась до рівня 2%- 4% у першому півріччі 2008 року та до рівня 2% -12% у другій половині 2008 року.
У цілому нафтогазовидобувні підприємства компанії сплачують до бюджету близько 90 грн. з кожної реалізованої тисячі кубометрів газу. Питома вага платежів до бюджету у їх доходах становить понад 50%, що значно перевищує частку податкових платежів у доходах підприємств будь-якої іншої галузі народного господарства.
1.3 Нормативно-правова база в частині встановлення податків та інших платежів (зборів) при транзиті природного газу, видобуванні природного газу, транспортуванні і постачанні природного газу.
В газовій галузі України на сучасному етапі діють 5 спеціалізованих податкових зборів:
- рентна плата за добутий природний газ [7];
- рентна плата за транзитне транспортування територією України газу іноземного походження із Росії в Європу та Турцію[38];
- збір за геологорозвідувальні роботи, виконанні за рахунок державного бюджету України [39];
- збір за користування надрами для видобування корисних копалин (газ природний ) [40];
- збір у вигляді цільової надбавки до діючого тарифу на природний газ для споживачів усіх форм власності [35];
Окрім цього, для суб’єктів підприємницької діяльності в газовій галузі діють звичайні податкові норми:
- податок на прибуток;
- податок на додану вартість;
- податок на землю та транспортні засоби;
та інші.
В додаткових регулюючих нормах, встановлені пільги по звільненню від податку на додану вартість природного газу, який надходить в Україну за імпортними контрактами, та встановлене підвищене вивізне експортне мито на експорт(реекспорт) природного газу з України [20].
Слід особливо відмітити, що ряд спеціальних зборів в газовій галузі (рентна плата за транзит газу із Росії в Європу та Турцію, а також цільова надбавка до діючого тарифу) не мають відповідних податкових законів України, в яких обґрунтована їх методологія встановлення та регулювання, а вони встановлені Постановами Кабінету Міністрів України та регулюються по рівню оподаткуваня щорічними законами України «Про Державний бюджет України» на відповідний рік.
Рентні платежі при видобуванні природного газу
Рентні платежі при видобуванні природного газу вУкраїні передбачені Законом України «Про рентні платежі за нафту, природний газ і газовий конденсат» [7], який після прийняття у 2003 році зразу був зупинений на 2004 -2008 роки Законами України «Про державний бюджет».
Закон [7] визначає поняття, розміри та порядок сплати рентних платежів за видобуті нафту, природний газ і газовий конденсат в Україні, контроль за правильністю їх обчислення і сплати та відповідальність платників таких платежів.
Рентні платежі за нафту, природний газ і газовий конденсат – це загальнодержавні обов'язкові платежі, які сплачуються з вартості обсягів нафти, природного газу і газового конденсату, видобутих у межах території України.
Розрахунок рентних платежів спирається на розрахункові терміни:
- середній дебіт свердловин на родовищі - середній по родовищу обсяг видобутку нафти, природного газу або газового конденсату з кожної з діючих на родовищі свердловин експлуатаційного фонду у звітному податковому періоді, визначений як частка від ділення фактичного обсягу видобутку нафти, природного газу або газового конденсату на родовищі у звітному податковому періоді на сумарну кількість відпрацьованих у цьому періоді свердловиноднів;
- середня глибина свердловин на родовищі - частка від ділення загального метражу глибини діючих свердловин експлуатаційного фонду на родовищі у звітному податковому періоді на кількість цих свердловин.
Платники рентних платежів за нафту, природний газ і газовий конденсат, об'єкти і ставки рентних платежів за нафту, природний газ і газовий конденсат, порядок їх обчислення і сплати не можуть встановлюватись або змінюватись іншими законодавчими актами, крім законів про внесення змін до цього Закону.
Платниками рентних платежів за нафту, природний газ і газовий конденсат є суб'єкти підприємницької діяльності, що здійснюють видобуток нафти, природного газу чи газового конденсату в межах території України та зареєстровані платниками податку.
Об'єктом оподаткування для рентних платежів за нафту, природний газ і газовий конденсат є обсяги нафти, природного газу і газового конденсату, видобуті в межах території України у звітному податковому періоді, за винятком обсягів фактичних втрат і виробничо-технологічних витрат нафти, природного газу і газового конденсату при їх видобуванні, підготовці до транспортування і транспортуванні, але не більше нормативних обсягів втрат і виробничо-технологічних витрат.
Перелік та порядок визначення розмірів нормативних втрат та виробничо-технологічних витрат нафти, природного газу і газового конденсату при їх видобуванні, підготовці до транспортування і транспортуванні встановлюються органом, уповноваженим Кабінетом Міністрів України.
Базою оподаткування для рентних платежів за нафту, природний газ і газовий конденсат є вартість обсягів видобутих нафти, природного газу і газового конденсату, визначених статтею 4 цього Закону.
Вартість обсягів нафти, природного газу і газового конденсату визначається за договірними цінами, але не нижчими за середні ринкові ціни у звітному податковому періоді, або за регульованими цінами, без урахування вартості послуг на постачання і транспортування та податку на додану вартість (ПДВ). Порядок визначення середніх ринкових цін встановлюється органом, уповноваженим Кабінетом Міністрів України.
Рентні платежі за нафту, природний газ і газовий конденсат включаються до їх ціни (без ПДВ) у звітному податковому періоді, в якому відбувся видобуток продукції нафтогазовидобувними підприємствами.
Згідно Закону України «Про Державний бюджет України на 2002 рік» [8], рентна плата регулювалась статтями 3 та 4:
Стаття 3. Установити, що нафтогазодобувні підприємства (крім державного акціонерного товариства "Чорноморнафтогаз") вносять до Державного бюджету України у порядку, визначеному Кабінетом Міністрів України, рентну плату за природний газ у розмірі 28,9 гривні за 1000 куб. метрів.
Стаття 4. Установити, що суб'єкти підприємницької діяльності, які здійснюють транспортування трубопровідним транспортом територією України природного газу вносять до Державного бюджету Українивідрахування від плати за транзит природного газу в розмірі 1,67 гривні за 1000 куб. метрів газу на кожні 100 кілометрів відстані.
Згідно Закону України «Про Державний бюджет України на 2008 рік» [14] , рентна плата та збори в газовій галузі регулюються наступними статтями, в яких частково перенесені норми зупиненого закону України «Про рентні платежі…» [7]:
П.19. Установити, що у 2008 році:
1) у кожному податковому (звітному) періоді, що дорівнює календарному місяцю, суб'єкти господарювання, які здійснюють видобуток (у тому числі під час геологічного вивчення) вуглеводневої сировини, а саме природного газу (у тому числі нафтового (попутного) газу) та газового конденсату і нафти на підставі спеціальних дозволів на право користування надрами, вносять у порядку, визначеному Кабінетом Міністрів України, до Державного бюджету України:
1.1) рентну плату за природний газ (у тому числі нафтовий (попутний) газ):
а) який реалізується у звітному податковому періоді, коли такий газ був видобутий, суб'єкту, уповноваженому Кабінетом Міністрів України, для формування ресурсу природного газу (у тому числі нафтового (попутного) газу), що використовується для потреб населення:
- у розмірі 50 гривень за 1000 куб. метрів видобутого природного газу (у тому числі нафтового (попутного) газу) з покладів, що повністю або частково залягають на глибині до 5000 метрів, на ділянках надр (родовищах) в межах території України;
- у розмірі 40 гривень за 1000 куб. метрів видобутого природного газу (у тому числі нафтового (попутного) газу) з покладів, що повністю залягають на глибині понад 5000 метрів, на ділянках надр (родовищах) в межах території України;
- у розмірі 10 гривень за 1000 куб. метрів видобутого природного газу (у тому числі нафтового (попутного) газу) з покладів на ділянках надр (родовищах) в межах континентального шельфу та/або виключної (морської) економічної зони України;
б) який реалізується або використовується у звітному податковому періоді для інших цілей, ніж передбачено у підпункті "а" цього підпункту, в тому числі для формування запасів в підземних сховищах газу:
- у розмірі 200 гривень за 1000 куб. метрів видобутого природного газу (у тому числі нафтового (попутного) газу);
- у розмірі 100 гривень за 1000 куб. метрів видобутого природного газу (у тому числі нафтового (попутного) газу) з покладів, що повністю залягають на глибині понад 5000 метрів, на ділянках надр (родовищах) в межах території України;
2) у кожному податковому (звітному) періоді, що дорівнює календарному місяцю, суб'єкти господарювання, які надають транспортні послуги з транспортування трубопровідним транспортом територією України природного газу, нафти, нафтопродуктів та аміаку, вносять до Державного бюджету України:
- рентну плату за транзитне транспортування природного газу в розмірі 1,67 гривні за 1.000 куб. метрів газу за кожні 100 кілометрів відстані відповідних маршрутів його транспортування;
- сплата зазначених платежів здійснюється у порядку, визначеному Кабінетом Міністрів України, авансовими платежами щодекади (15, 25 числа поточного місяця, 5 числа наступного місяця) виходячи з обсягів природного газу і аміаку та відстані відповідних маршрутів їх транспортування територією України та виходячи з обсягів нафти і нафтопродуктів, що транспортуються територією України.
- розрахунки з рентної плати за транзитне транспортування природного газу, аміаку через територію України та рентної плати за транспортування нафти і нафтопродуктів магістральними нафтопроводами та нафтопродуктоводами подаються до органів стягнення за звітний (податковий) період, що дорівнює календарному місяцю (у тому числі під час сплати місячних авансових внесків), - протягом 20 календарних днів, що настають за останнім календарним днем звітного (податкового) місяця.
- сума рентної плати, яка була нарахована за звітний період і не була внесена в установлений строк (протягом 10 календарних днів, що настають за останнім днем відповідного граничного строку для подання податкової декларації), сплачується до Державного бюджету України з нарахуванням пені у порядку, встановленому Законом України "Про порядок погашення зобов'язань платників податків перед бюджетами та державними цільовими фондами" (Відомості Верховної Ради України, 2001 р., N 10, ст. 44 із наступними змінами);
3) до нормативів збору за геологорозвідувальні роботи, виконані за рахунок державного бюджету, які затверджені постановою Кабінету Міністрів України від 29 січня 1999 року N 115 [39], застосовується коефіцієнт 2,27;
4) запроваджуються базові нормативи платежів за користування надрами для видобування корисних копалин згідно з додатком N 1 до розділу II цього Закону, який є його невід'ємною частиною [14];
6) суб'єкти господарювання, які здійснюють експорт:
- газу, природного газу у газоподібному стані, сплачують ставку вивізного (експортного) мита у розмірі 35 відсотків митної вартості таких товарів, але не менш як 400 гривень за 1000 куб. метрів;
- природного газу у скрапленому стані, сплачують ставку вивізного (експортного) мита у розмірі 35 відсотків митної вартості таких товарів, але не менш як 400 гривень за одну тонну;

Рис.1.10.- Динаміка ставок рентної плати за видобування природного газу в Україні у 2002 -2008 роках (диференційовані з 2005 року)
Збір за геологорозвідувальні роботи
«Порядок встановлення нормативів збору за геологорозвідувальні роботи, виконані за рахунок державного бюджету, та його справляння» [39] – встановлює єдині правила обчислення і справляння збору за геологорозвідувальні роботи, виконані за рахунок державного бюджету.
Збір за виконані геологорозвідувальні роботи справляється з надрокористувачів незалежно від форми власності, включаючи підприємства з іноземними інвестиціями, які видобувають корисні копалини на раніше розвіданих родовищах, а також на розташованих у межах території України, її континентального шельфу та виключної (морської) економічної зони родовищах з попередньо оціненими запасами, які за згодою заінтересованих надрокористувачів передані їм для промислового освоєння.
Збір за виконані геологорозвідувальні роботи в повному обсязі зараховується до державного бюджету і спрямовується на розвиток мінерально-сировинної бази.
Нормативи збору за виконані геологорозвідувальні роботи встановлюються окремо для кожного виду корисних копалин чи групи близьких за призначенням корисних копалин у гривнях до одиниці видобутку чи погашення у надрах запасів корисних копалин згідно з додатком.
Нормативи збору підлягають індексації з урахуванням офіційно встановленого індексу інфляції.
Обсяг погашених запасів корисних копалин визначається як сума обсягів видобутих корисних копалин та фактичних їх втрат у надрах під час видобування, за винятком передбачених технічними проектами втрат корисних копалин в охоронних, бар'єрних ціликах та поблизу неякісно затампонованих свердловин, за умови погодження їх обсягів з органами державного гірничого нагляду.
Надрокористувачі, які виконували геологорозвідувальні роботи частково за рахунок власних коштів, сплачують збір за геологорозвідувальні роботи, застосовуючи до нього коефіцієнти для родовищ, де виконано:
- загальні і детальні пошукові роботи та попередню розвідку за рахунок державного бюджету, а детальну розвідку за рахунок власних коштів - 0,6;
- дорозвідку запасів корисних копалин за рахунок власних коштів - 0,6;
- загальні і детальні пошукові роботи за рахунок державного бюджету, а попередню і детальну розвідку за рахунок власних коштів - 0,4;
- загальні пошукові роботи частково за рахунок державного бюджету на стадії регіональних робіт, а детальні пошукові роботи, попередню і детальну розвідку за рахунок власних коштів - 0,2.
Підставою для застосування коефіцієнтів є довідка Мінприроди. Для одержання довідки надрокористувач подає Державному інформаційному геологічному фонду (Геоінформ) завірені копії документів, що підтверджують небюджетне фінансування виконаних геологорозвідувальних робіт.
У разі розробки позабалансових запасів корисних копалин збір за виконані геологорозвідувальні роботи обчислюється із застосуванням до нього коефіцієнта 0,5.
У разі розробки техногенних родовищ корисних копалин збір за виконані геологорозвідувальні роботи обчислюється як для аналогічних природних родовищ із застосуванням до нього коефіцієнта 0,5.
У разі видобування нафти, конденсату, природного газу та метану вугільних родовищ з коефіцієнтом вилучення, що перевищує затверджений Державною комісією по запасах корисних копалин, збір за відповідні додаткові обсяги видобутку зазначених корисних копалин справляється із застосуванням до нього коефіцієнта 0,5.
У разі дорозробки нафтових та газових родовищ, визначених Кабінетом Міністрів України як родовища з важковидобувними та виснаженими запасами, збір не справляється за додатково видобуті понад базові (проектні) обсяги нафту і газ протягом десяти років з дати одержання ліцензії на експлуатацію таких родовищ.
Суми збору за виконані геологорозвідувальні роботи відносяться на валові витрати.
Для органів державної податкової служби підставою для взяття на облік нових надрокористувачів, що повинні сплачувати збір за виконані геологорозвідувальні роботи, є повідомлення органів державного гірничого нагляду про надання дозволів на виконання гірничих робіт на родовищі чи погодження на проведення дослідно-промислової розробки родовища та органів охорони навколишнього природного середовища про надання дозволів на спеціальне водокористування.
Контроль за своєчасністю і повнотою сплати збору за геологорозвідувальні роботи до державного бюджету здійснюють органи державної податкової служби, а контроль за правильністю обчислення збору здійснюють органи державного геологічного контролю та державної податкової служби шляхом проведення перевірок відповідних документів.

Рис.1.11. - Динаміка ставок збіру за геологорозвідувальні роботи, виконані державою, за видобування природного газу в Україні у 2002 -2008 роках
Рентна плата за транзитне транспортування трубопроводами природного газу територією України
«Порядок обчислення і внесення до державного бюджету рентної плати за транспортування нафти і нафтопродуктів магістральними нафтопроводами та нафтопродуктоводами, транзитне транспортування трубопроводами природного газу та аміаку територією України» [38] - визначає механізм обчислення і внесення до державного бюджету рентної плати за транспортування нафти і нафтопродуктів магістральними нафтопроводами та нафтопродуктоводами, транзитне транспортування трубопроводами природного газу та аміаку територією України (далі - рентна плата).
Платниками рентної плати за транспортування трубопровідним транспортом (далі - платники) є:
НАК "Нафтогаз України" - за надання послуг, зокрема транспортних та/або транспортно-експедиторських, під час транзитного транспортування природного газу територією України;
У кожному звітному (податковому) періоді, що дорівнює календарному місяцю, платники обчислюють суму податкових зобов'язань з рентної плати за:
- транзитне транспортування природного газу та аміаку як добуток ставок (розмірів) рентної плати, визначених у встановленому законодавством порядку для природного газу та аміаку, відповідних обсягів вантажу та відстані відповідних маршрутів його транспортування у такому звітному (податковому) періоді.
Розрахунок суми податкових зобов'язань з рентної плати за звітний (податковий) період, що дорівнює календарному місяцю, за формою, затвердженою ДПА, подається платником органу державної податкової служби за місцем його податкової реєстрації протягом 20 календарних днів, що настають за останнім календарним днем звітного (податкового) періоду.
Суми податкових зобов'язань з рентної плати за звітний (податковий) період, що дорівнює календарному місяцю, вносяться платником за місцем його податкової реєстрації авансовими платежами щодекади (15, 25 числа поточного місяця, 5 числа наступного місяця) виходячи з фактичних обсягів природного газу та аміаку і відстані відповідних маршрутів їх транспортування територією України;
Визначена у податковому розрахунку за відповідний звітний (податковий) період сума податкових зобов'язань з рентної плати з урахуванням фактично сплачених авансових платежів вноситься платниками до державного бюджету протягом 10 календарних днів, що настають за останнім календарним днем граничного строку подання такого розрахунку.
На суму податкових зобов'язань з рентної плати, що нарахована платником за звітний (податковий) період, але не сплачена протягом 10 календарних днів, що настають за останнім календарним днем граничного строку подання податкового розрахунку, нараховується пеня в установленому Законом України "Про порядок погашення зобов'язань платників податків перед бюджетами та державними цільовими фондами" порядку.
Платники несуть відповідальність за правильність обчислення рентної плати, повноту і своєчасність її внесення до державного бюджету, своєчасність подання розрахунків такої плати до органів державної податкової служби відповідно до законодавства.
Контроль за правильністю обчислення рентної плати, повнотою і своєчасністю її внесення до державного бюджету і подання розрахунків здійснюється в установленому законодавством порядку органами державної податкової служби.

Рис.1.12. - Динаміка ставок рентної плати за транзит газу територією України з Росії в Європу та Турцію у 2002 -2008 роках та рівня транзитної плати НАК «Нафтогаз» з боку «Газпрому» (Росія) за транзит по території України
Збір у вигляді цільової надбавки до тарифу на природний газ
«Порядоквнесення до спеціального фонду державного бюджету збору у вигляді цільової надбавки до тарифу на природний газ» [35] - визначає механізм внесення до спеціального фонду державного бюджету збору у вигляді цільової надбавки до діючого тарифу на природний газ (далі - збір) для споживачів усіх форм власності (з 2008 року надбавка диференційована для різних категорій споживачів).
Збір справляється на протязі 2005 -2008 років у розмірі 2 відсотків на обсяги природного газу, що постачаються для підприємств комунальної теплоенергетики, теплових електростанцій, електроцентралей та котелень суб'єктів господарювання, зокрема блочних (модульних) котелень (в обсязі, що використовується для надання населенню послуг з опалення та гарячого водопостачання, за умови ведення такими суб'єктами окремого приладового та бухгалтерського обліку тепла і гарячої води).
Збір справляється на обсяги природного газу, що постачаються для таких категорій споживачів:
а) з 11.06.2005 по 31.12.2007
населення - 2 відсотки;
бюджетні організації та установи - 2 відсотків;
промислові та інші суб'єкти господарювання та їх відокремлені підрозділи, що використовують природний газ, - 2 відсотків.
б) з 1 січня 2008 року
населення - 2 відсотки;
бюджетні організації та установи - 4 відсотків;
промислові та інші суб'єкти господарювання та їх відокремлені підрозділи, що використовують природний газ, - 4 відсотків.
б) з 1 березня 2008 року
населення - 4 відсотки;
бюджетні організації та установи - 8 відсотків;
промислові та інші суб'єкти господарювання та їх відокремлені підрозділи, що використовують природний газ, - 8 відсотків.
в) з 1 червня 2008 року
населення - 4 відсотки;
бюджетні організації та установи - 12 % - Постанова КМУ від 9 квітня 2008 р. N 346;
промислові та інші суб'єкти господарювання та їх відокремлені підрозділи, що використовують природний газ, - 12% - Постанова КМУ від 9 квітня 2008 р. N 346.

Рис.1.13. - Динаміка ставок цільової надбавки до тарифу на реалізацію природного газу в Україні у 2002 -2008 роках
У 2008 році на обсяг природного газу, що використовується підприємствами хімічної галузі, перелік яких затверджується Мінпромполітики за погодженням з Державною податковою адміністрацією та Мінфіном, як сировина за окремим договором купівлі-продажу, що укладається з постачальником, збір справляється у розмірі, встановленому відповідно до постанови Кабінету Міністрів України від 13 грудня 2006 р. N 1723 "Про встановлення розміру збору у вигляді цільової надбавки до тарифу на природний газ" [35].
Під діючим тарифом слід розуміти ціну природного газу для відповідної категорії споживачів без урахування тарифів на його транспортування і постачання споживачам та суми податку на додану вартість (далі - тариф).
«Про встановлення розміру збору у вигляді цільової надбавки до тарифу на природний газ» [35] – особливі ставки для підприємств хімічної промисловості:
1) від 13 грудня 2006 р. N 1723 - Установити у 2007 році на обсяг природного газу, що використовується підприємствами хімічної галузі як сировина відповідно до окремого договору купівлі-продажу з постачальником, збір у вигляді цільової надбавки до затвердженого тарифу на природний газ у розмірі 0,01 відсотка.
2) від 6 червня 2007 року N 801 - Установити у 2007 році на обсяг природного газу, що використовується підприємствами хімічної галузі, перелік яких затверджується Міністерством промислової політики за погодженням з Державною податковою адміністрацією та Міністерством фінансів, як сировина відповідно до окремого договору купівлі-продажу з постачальником, збір у вигляді цільової надбавки до затвердженого тарифу на природний газ у розмірі 0,01 відсотка.
3) від 27 лютого 2008 року N 111 - Установити у 2008 році на обсяг природного газу, що використовується підприємствами хімічної галузі, перелік яких затверджується Міністерством промислової політики за погодженням з Державною податковою адміністрацією та Міністерством фінансів, як сировина відповідно до окремого договору купівлі-продажу з постачальником, збір у вигляді цільової надбавки до затвердженого тарифу на природний газ у розмірі 4 відсотка.
4) від 9 квітня 2008 року N 346 - Установити у 2008 році на обсяг природного газу, що використовується підприємствами хімічної галузі, перелік яких затверджується Міністерством промислової політики за погодженням з Державною податковою адміністрацією та Міністерством фінансів, як сировина відповідно до окремого договору купівлі-продажу з постачальником, збір у вигляді цільової надбавки до затвердженого тарифу на природний газ у розмірі 6 відсотків.
Збір за користування надрами для видобування корисних копалин (газ природний )
Порядок справляння плати за користування надрами для видобування корисних копалин та базові нормативи цієї плати затверджені постановою Кабінету Міністрів України від 12.09.97 № 1014 із змінами і доповненнями ( далі – Порядок № 1014)[40].
Проте, статтею 85 Закону України № 3235-ІУ Закону України «Про державний бюджет на 2006 рік» [12] встановлено, що у 2006 році запроваджуються базові нормативи плати за користування надрами для видобування окремих корисних копалин згідно з додатком № 9 до цього Закону, однак зміни до Порядку № 1014 щодо справляння цієї плати не внесено.
Одночасно, з метою приведення окремих норм законів у відповідність з бюджетним законодавством пунктом 1 статті 77 Закону № 3235-IУ зупинено на 2006 рік дію частини шостої статті 30 Кодексу України про надра в частині встановлення Кабінетом Міністрів України базових нормативів плати за користування надрами для видобування корисних копалин.
Частиною другою статті 4 Бюджетного кодексу України визначено, що при здійсненні бюджетного процесу в Україні положення нормативно-правових актів застосовуються лише в частині, в якій вони не суперечать положенням Конституції України, цього Кодексу та закону про Державний бюджет України.
Отже, у 2006 році Порядок справляння плати за користування надрами для видобування корисних копалин здійснюється відповідно до постанови Кабінету Міністрів України від 12.09.97 № 1014 [40] і застосовуються базові нормативи плати за користування надрами, встановлені додатком № 9 до Закону № 3235-IУ [12].
Слід зазначити, що відповідно до постанови Кабінету Міністрів України від 06.11.2003 № 1735 „Про проведення індексації нормативів плати (збору) за використання природних ресурсів” щороку наростаючим підсумком проводиться індексація нормативів плати за користування надрами, крім затверджених у відсотках до вартості корисних копалин та нормативів плати за видобування вугілля. Під час проведення індексації базовими вважаються значення нормативів станом на 31 грудня 2003 року, а для нововведених нормативів – на 31 грудня року їх введення.
Відповідно до п.2.1 розділу 2 «Інструкції про порядок обчислення і справляння плати за користування надрами для видобування корисних копалин» затвердженої наказом Мінприроди, Мінпраці, ДПА України, Держкомітету України по геології і використанню надр від 30.12.97 №207/472/51/157, платниками плати за користування надрами для видобування корисних копалин є всі суб'єкти підприємницької діяльності незалежно від форм власності, які здійснюють видобування корисних копалин, включаючи підприємства з іноземними інвестиціями.

Рис.1.14. - Динаміка ставок плати за користування надрами (видобування та підземне збереження природного газу) в Україні у 2002 -2008 роках
Справляння плати за користування надрами для видобування корисних копалин здійснюється відповідно до Порядку №1014 [40].
Об'єктом справляння плати є:
- обсяги видобутих корисних копалин - для нафти, конденсату, природного газу (у тому числі супутнього - при видобутку нафти), бурштинової, титанової та титано-цирконієвої руди, підземних вод (термальних, промислових), ропи, мінеральних грязей та мулу;
- обсяги фактично погашених балансових запасів корисних копалин визначаються як сума обсягів видобутих корисних копалин та фактичних їх втрат у надрах під час видобування.
Відповідно до п.6.1 Інструкції [40] базовий податковий (звітний) період для плати за користування надрами для видобування корисних копалин дорівнює календарному кварталу.
Базові нормативи платежів за користування надрами для видобування корисних копалин на 2008 рік наведені у Додатку №1 до розділу ІІ Закону України від 28 грудня 2007 року №107-VІ «Про Державний бюджет України на 2008 рік та про внесення змін до деяких законодавчих актів України» [14].
Відповідно до п.2.1 Інструкціїпро порядок обчислення i справляння плати за користування надрами в цілях, не пов’язаних з видобуванням корисних копалин, затвердженої наказом Міністерства екології та природних ресурсів України, ДПА України, Мінфіну України, Мінпраці та соціальної політики України від 08.02.01 №37/45/73/44 із змінами і доповненнями, платниками є юридичні та фізичні особи – суб’єкти господарської діяльності усіх форм власності, нерезиденти та їх постійні представництва в Україні, які користуються у межах території України ділянкою надр у цілях зберігання природного газу та газоподібних продуктів у пористих чи тріщинуватих геологічних утвореннях (пластах-колекторах).
Об'єктом справляння плати є - для зберігання природного газу та газоподібних продуктів - активний об'єм зберігання газу в пористих чи тріщинуватих геологічних утвореннях (пластах-колекторах).
1.4 Історія розвитку фінансового механізму в газовому комплексі України (система до 1991 року, система в 1991 - 2007 р . р . )
Інтенсивний розвиток газової індустрії як нової важливої галузі розпочався в повоєнні роки після прийняття Верховною Радою СРСР у березні 1946 року Закону "Про відбудову і розвиток народного господарства". Було створено інфраструктуру газової промисловості, прокладено нові газопроводи, здійнено геологорозвідувальні роботи; започатковано діяльність низки проектно-конструкторських та наукових закладів з питань розвитку газової галузі, серед яких відомі далеко за межами України "Київгазпроект" (сьогодні - ВАТ "УкрНДІінжпроект", Інститут газу НАН України).
Природний газ став широко використовуватись в промисловості і комунальному господарстві. Зокрема, після введення в дію газопроводу Дашава - Київ, блакитне паливо у 1948 році отримали споживачі Києва та Тернополя.
З газифікацією областей та більшості міст України в 50-60-і роки минулого століття було створено комбінати комунальних підприємств, які після організації в 1975 році Республіканського об'єднання з газопостачання та газифікації "Укргаз" стали спеціалізованими об'єднаннями газового господарства.
Республіканське об'єднання "Укргаз", до складу якого входило 25 обласних та 20 самостійних міських газових господарств, почало проводити єдину технічну та економічну політику, визначати основні напрямки та перспективи розвитку господарств, впроваджувати у їх діяльність досягнення науковотех-нічного прогресу, розширювати виробництво газових приладів та запасних деталей до них, розвивати законодавчу та нормативну базу.
На початок 1975 року було побудовано близько 23 тис. км міських та селищних газорозподільних мереж, газифіковано природним і скрапленим газом 8,1 млн. квартир.
В той же час рівень газифікації в сільській місцевості складав лише 4 відсотки. Тому за ініціативою Республіканського об'єднання "Укргаз" Радою Міністрів УРСР у квітні 1983 року прийнято постанову "Про заходи з прискорення газифікації на селі".
На час здобуття Україною незалежності у 1991 році було збудовано 99,6 тис. км газорозподільних мереж, газифіковано понад 15 млн. квартир.
Після здобуття Україною незалежності у 1991 році в результаті реорганізації було створено Державну акціонерну холдингову компанію «Укргаз» та обласні газозбутові організації (стан 1996 року) [41].
Організація фінансових розрахунків у 1996 році [41]:
1.Кошти, що надходили за використаний природний газ від населення, комунально-побутових споживачів, бюджетних установ і організацій, з якими газозбутові організації перебували в договірних відносинах на поставку газу, зараховувались в національній валюті України на транзитні рахунки, які відкривались в уповноважених банках на ім'я газозбутових організацій – державних підприємств і відкритих акціонерних товариств по газопостачанню, а також їх філій (управлінь газового господарства).
2. В уповноваженому банку за місцем знаходження Державної акціонерної холдингової компанії "Укргаз" (надалі Компанія) для надходження коштів за спожитий природний газ з транзитних рахунків газозбутових організацій відкривається один консолідований транзитний рахунок. Зарахування коштів за використаний природний газ на інші рахунки газозбутових організацій, крім транзитних, забороняється.
Вказані кошти використовуються виключно за цільовим призначенням - на оплату природного газу постачальникам.
3. Після надходження коштів на транзитні рахунки уповноважений банк на підставі окремого договору розподіляє їх у співвідношеннях до загальної суми згідно з додатком N 1.
4. Кошти, що надійшли на консолідований транзитний рахунок Компанії в уповноваженому банку, не пізніше дня, наступного за днем надходження коштів, перераховуються постачальникам газу в процентному співвідношенні до питомої ваги обсягів газу кожного постачальника в загальному обсязі газу, що планується реалізовувати в даному місяці. Обсяги газу, що планується реалізовувати в даному місяці, визначаються Компанією на підставі балансу газу, який затверджується Держнафтогазпромом за 5 днів до початку місяця.
При наявності в місячному балансі імпортованого газу, що використовується для потреб населення, комунально-побутових споживачів та бюджетних установ і організацій, постачальникам імпортованого газу надається пріоритет в його оплаті шляхом збільшення до 50% суми коштів, що направляються на оплату цього газу, із загальної суми коштів, що надійшли, - з метою зменшення боргу Української держави перед державами - експортерами природного газу. Відповідно, рівномірно зменшується перерахування коштів іншим постачальникам.
5. Після затвердження Держнафтогазпромом Реєстрів реалізації природного газу, які складаються згідно з "Порядком складання Реєстрів реалізації природного газу", затвердженого Держнафтогазпромом 29.03.96 р., та визначення сум заборгованості постачальникам і рівня проплат, Компанією проводиться корегування процентного співвідношення розподілу коштів з транзитного консолідованого рахунку за рахунок сум, що надійдуть в наступному місяці.
Відповідальність за повноту перерахування коштів кожному постачальнику покладається на Компанію.
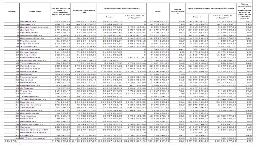
В табл.1.10 наведений перелік 36 обласних газопостачальницьких підприємств (відкритих акціонерних товариств), які поставляють газ, закуплений «Укргазом» у вітчизняних та закордонних газодобувних підприємств, до кінцевих споживачів в областях України.
При цьому «Укргаз» отримував кошти за власне поставлений газ та кошти за транзит газу трубопроводами високого тиску до обласних територіальних розподільчих мереж. Обласні газопостачальними отримають змінну частку коштів кінцевого споживача в залежності від витрат на експлуатацію обласної газорозподільної мережі по доставці газа трубопроводами середнього та малого тиску споживачам.
Таблиця 1.10
РОЗПОДІЛ коштів з транзитних рахунків газозбутових підприємств у III кварталі 1996 року [41]
*************************************************************** Підприємства * На р/рахунок * На консол.рах.** *підприємства(%)* Укргазу (%) ****************************************************************1. ВАТ "Вінницягаз" * 8.2 * 91.8 **2. ВАТ "Волиньгаз" * 46.9 * 53.1 **3. ВАТ "Дніпропетровськгаз" * 15.5 * 84.5 **4. ВАТ "Дніпрогаз" * 7.0 * 93.0 **5. ВАТ "Криворіжгаз" * 5.1 * 94.9 **6. ВАТ "Донецькгаз" * 6.9 * 93.1 **7. ВАТ "Донецькміськгаз" * 8.3 * 91.7 **8. ВАТ "Макіївкагаз" * 7.3 * 92.7 **9. ВАТ "Маріупольгаз" * 7.7 * 92.3 **10. ВАТ "Житомиргаз" * 13.6 * 86.4 **11. ВАТ "Коростишівгаз" * 35.0 * 65.0 **12. ВАТ "Закарпатгаз" * 16.7 * 83.3 **13. ВАТ "Запоріжгаз" * 4.1 * 95.9 **14. ВАТ "Мелітопільгаз" * 12.0 * 88.0 **15. ВАТ "Івано-Франківськгаз" * 9.3 * 90.7 **16. ВАТ "Тисьменицягаз" * 20.0 * 80.0 **17. ВАТ "Кіровоградгаз" * 15.2 * 84.8 **18. ВАТ "Київоблгаз" * 24.8 * 75.2 **19. ВАТ "Кримгаз" * 11.4 * 88.6 **20. ВАТ "Луганськгаз" * 9.5 * 90.5 **21. ВАТ "Львівгаз" * 14.1 * 85.9 **22. ВАТ "Миколаївгаз" * 14.5 * 85.5 **23. ВАТ "Одесагаз" * 20.0 * 80.0 **24. ВАТ "Полтавагаз" * 11.3 * 88.7 **25. ВАТ "Рівнегаз" * 11.1 * 88.9 **26. ВАТ "Сумигаз" * 8.1 * 91.9 **27. ВАТ "Тернопільгаз" * 37.0 * 63.0 **28. ВАТ "Тернопільміськгаз" * 7.0 * 93.0 **29. ВАТ "Харківгаз" * 12.2 * 87.8 **30. ВАТ "Харківміськгаз" * 18.0 * 82.0 **31. ВАТ "Херсонгаз" * 16.1 * 83.9 **32. ВАТ "Хмельницькгаз" * 20.6 * 79.4 **33. ВАТ "Черкасигаз" * 9.3 * 90.7 **34. ВАТ "Ченівцігаз" * 28.0 * 72.0 **35. ВАТ "Ченігівгаз" * 29.3 * 70.7 **36. ВАТ "Севастопольгаз" * 7.2 * 92.8 *************************************************************** За останнє десятиріччя в рамках загальної соціально-економічної реформи в Україні відбуваються широкомасштабні зміни і в газовій галузі. Природний газ став товарною продукцією, що закріплено Законом України "Про нафту і газ" (№ 2665-III від 12 червня 2001 р.) Найбільш актуальнішими завданнями у цій сфері є:· впровадження заходів з енергозбереження та зменшення енергоємності виробництва;
· забезпечення темпів розвитку капітального будівництва та реконструкції газових мереж за рахунок використання передових технологічних процесів, матеріалів і обладнання;
· повсюдне забезпечення встановлення засобів обліку газу;
· забезпечення своєчасних та повних розрахунків за спожитий природний газ.
Серед заходів щодо вдосконалення управління й діяльності газової галузі передусім слід визначити організаційно-структурні зміни. У 1998 році створено Національну акціонерну компанію (НАК) "Нафтогаз України" і її Дочірню компанію "Торговий дім "Газ України", що у 2001 р. шляхом об'єднання ДК "Торговий дім "Газ України" та Головного Управління "Головпобутгаз" ДК "Укртрансгаз" була реорганізована у ДК "Газ України".
Основними завданнями ДК "Газ України" є реалізація природного газу населенню, комунально-побутовим підприємствам, бюджетним організаціям, а також промисловим споживачам, суб'єктам підприємницької діяльності країни, забезпечення розрахунків за газ, експлуатація та розвиток розподільних газових мереж, споруд та обладнання на них.
Основою організації інфраструктури сучасного газового ринку України
є ліцензування діяльності суб’єктів підприємницької діяльності всіх форм власності в 4-х основних напрямках:
- ліцензування умов провадження господарської діяльності з постачання природного газу за регульованим тарифом [23];
- ліцензування умов провадження господарської діяльності з постачання природного газу за нерегульованим тарифом [24];
- ліцензування умов провадження господарської діяльності з транспортування природного і нафтового газу магістральними трубопроводами [ 26];
- ліцензування умов провадження господарської діяльності з розподілу природного і нафтового газу [25].
У ліцензійних умовах терміни вживаються в такому значенні:
Газопостачальне підприємство - суб'єкт господарювання, що здійснює постачання природного газу на підставі одержаної ліцензії безпосередньо споживачам згідно з укладеними договорами.
Газорозподільні мережі (розподільні газопроводи) - майновий виробничий комплекс, який складається з організаційно і технологічно пов'язаних об'єктів, призначених для транспортування природного і нафтового газу від газорозподільних станцій до споживачів.
Газорозподільне підприємство - суб'єкт господарювання, що здійснює діяльність з розподілу природного і нафтового газу шляхом його транспортування розподільними трубопроводами, які перебувають у його власності чи користуванні.
Газотранспортна система - майновий виробничий комплекс, який складається з організаційно і технологічно пов'язаних об'єктів, призначених для транспортування і зберігання природного і нафтового газу, і включає: магістральні газопроводи, газопроводи-відгалуження, газорозподільні станції та підземні сховища газу.
Газотранспортне підприємство - суб'єкт господарювання, що здійснює транспортування природного і нафтового газу магістральними трубопроводами та його зберігання з використанням об'єктів газотранспортної системи, які перебувають у його власності чи користуванні.
Підземне сховище газу (далі - ПСГ) - технологічний комплекс, штучно створений у природній або штучній ємності надр накопичувач природного газу і технологічно поєднані з ним споруди, які служать для періодичного наповнення, зберігання і відбирання природного газу для постачання споживачам.
Розподіл - транспортування природного і нафтового газу розподільними мережами з метою його доставки споживачам.
Тариф на постачання природного газу - встановлений НКРЕ розмір оплати послуг з постачання природного газу за 1000 м куб. природного газу.
Територія провадження ліцензіатом господарської діяльності з постачання природного газу за регульованим тарифом - територія, межі якої та схема розподільчих газопроводів, що перебувають у власності чи користуванні ліцензіата, нанесені на географічну карту місцевості.
1. Провадження господарської діяльності з постачання природного газу за регульованим тарифом можливе при виконанні таких умов:
1.1. Наявності у ліцензіата розподільних мереж, які перебувають у його власності чи користуванні.
1.2. Наявності у ліцензіата договорів купівлі-продажу природного газу (контрактів) із власниками природного газу, договорів про транспортування природного газу магістральними трубопроводами та договорів про транспортування природного газу розподільними трубопроводами. Обсяг природного газу, зазначений в договорах купівлі-продажу природного газу (контрактах) та договорах про постачання природного газу, повинен відповідати обсягу, що зазначається в договорах на його транспортування магістральними та розподільними трубопроводами.
1.3. Наявності у ліцензіата договорів, укладених з газотранспортним підприємством, про створення страхового запасу природного газу у грошовій та/або натуральній формах, у обсягах, передбачених законодавством України.
1.4. Провадженні господарської діяльності з постачання природного газу за регульованим тарифом лише на території, затвердженій НКРЕ.
1.5. Провадженні господарської діяльності в обсягу, що забезпечує економічну доцільність такої діяльності з метою досягнення найнижчої вартості природного газу для споживачів.
1.6. Забезпеченні обліку поставленого споживачам природного газу спільно з газотранспортними та/або газорозподільними підприємствами.
1.7. Наявності договорів з Державною інспекцією з енергозбереження та/або газотранспортними та/або газорозподільними підприємствами на виконання робіт, пов'язаних з обмеженням та відключенням від газопостачання споживачів-боржників.
1.8. Наявності договорів з газотранспортними підприємствами про зберігання у підземних сховищах природного газу, що надійшов до газотранспортної системи за договорами купівлі-продажу ліцензіата і не був поставлений споживачам.
2. Провадження господарської діяльності з постачання природного газу за нерегульованим тарифом можливе при виконанні таких умов:
2.1. Наявності у ліцензіата договорів купівлі-продажу природного газу (контрактів) із власниками природного газу, договорів про транспортування природного газу магістральними трубопроводами та договорів про транспортування природного газу розподільними трубопроводами. Обсяг природного газу, зазначений у договорах купівлі-продажу природного газу (контрактах) та договорах про постачання природного газу, повинен відповідати обсягу, що зазначається в договорах на його транспортування магістральними та розподільними трубопроводами.
Загальний обсяг постачання природного газу не повинен перевищувати обсяг, заявлений ліцензіатом при отриманні ліцензії чи скоригований у процесі діяльності.
2.2. Наявності у ліцензіата договорів, укладених з газотранспортним підприємством, про створення страхового запасу природного газу у грошовій та/або натуральній формах, у обсягах, передбачених законодавством України.
2.3. Дотриманні ліцензіатом установлених НКРЕ нормативів достатності власних активів та інших показників (вимог), що обмежують ризики з операцій на ринку природного газу.
2.4. Здійсненні ліцензіатом разом із спорідненими підприємствами ліцензованої діяльності в обсягу, що не перевищує 35 відсотків загального обсягу споживання природного газу в Україні.
2.5. Забезпеченні обліку поставленого споживачам природного газу спільно з газотранспортними та/або газорозподільними підприємствами.
2.6. Наявності договорів з Державною інспекцією з енергозбереження та/або газотранспортними та/або газорозподільними підприємствами на виконання робіт, пов'язаних з обмеженням та відключенням від газопостачання споживачів-боржників.
2.7. Наявності договорів з газотранспортними підприємствами про зберігання у підземних сховищах природного газу, що надійшов до газотранспортної системи за договорами купівлі-продажу ліцензіата і не був поставлений споживачам.
3. Провадження господарської діяльності з транспортування природного газу магістральними трубопроводами можливе при виконанні таких умов:
3.1. Наявності в ліцензіата магістральних газопроводів, які перебувають у його власності чи користуванні.
3.2. Наявності в ліцензіата договорів із замовниками та/або газопостачальними підприємствами про транспортування природного газу магістральними трубопроводами.
3.3. Провадження господарської діяльності з транспортування природного газу лише магістральними трубопроводами, які перебувають у його власності чи користуванні, згідно з переліком магістральних газопроводів, затвердженим НКРЕ.
3.4. Провадження господарської діяльності з транспортування природного газу магістральними трубопроводами за принципом економічної доцільності, забезпечення надійності транспортування та безаварійності експлуатації магістральних трубопроводів.
3.5. Забезпечення обліку протранспортованого магістральними трубопроводами природного газу спільно із замовниками, газорозподільними та газопостачальними підприємствами.
3.6. Наявності договорів з газопостачальними підприємствами на виконання робіт, пов'язаних з обмеженням та відключенням від газопостачання споживачів-боржників.
3.7. Забезпечення рівних прав доступу до системи магістральних трубопроводів для усіх замовників послуг з транспортування природного газу магістральними трубопроводами, а в разі недостатності пропускної потужності магістрального трубопроводу (газотранспортних потужностей) - дотримання установленого механізму її розподілу.
4. Провадження господарської діяльності з розподілу природного газу можливе при виконанні таких умов:
4.1. Наявності в ліцензіата розподільних мереж, які перебувають у його власності чи користуванні.
4.2. Наявності в ліцензіата договорів із замовниками та/або газопостачальними підприємствами про транспортування розподільними трубопроводами природного газу.
4.3. Провадження господарської діяльності з розподілу природного газу лише на території, затвердженій НКРЕ.
4.4. Провадження господарської діяльності з розподілу природного газу за принципом економічної доцільності, забезпечення надійності транспортування та безаварійності експлуатації газорозподільних мереж.
4.5. Забезпечення обліку протранспортованого розподільними трубопроводами природного газу спільно із замовниками, газотранспортними та газопостачальними підприємствами.
4.6. Наявності договорів з газопостачальними підприємствами на виконання робіт, пов'язаних з обмеженням та відключенням від газопостачання споживачів-боржників.
4.7. Забезпечення рівних прав доступу до розподільних трубопроводів для усіх замовників послуг з транспортування природного газу розподільними трубопроводами, а в разі недостатності пропускної потужності розподільних мереж (газорозподільних потужностей) - дотримання установленого механізму її розподілу.
На сьогоднішній день інфраструктура газового ринка в Україні представлена наступними 5-ма видами ліцензіатів:
- державною акціонерною компанією – монополістом НАК «Нафтогаз України», яка включає всі основні газовидобувні та транспортні газові підприємства України, як дочірні чи контролюємі підприємства, які добувають та постачають газ за регульованим тарифом;
- системою газопостачальницьких регіональних(обласних) підприємств, які постачають газ споживачам за регульованим тарифом;
- системою невеликих незалежних газодобувних компаній України, які а\працюють за нерегульованим тарифом;
- системою підприємств-газотрейдерів, які працюють по перепродажу газу за нерегульованим тарифом;
- системою спільних підприємств по постачанню імпортного газу за договорними тарифами через монополіста НАК «Нафтогаз України»..
РОЗДІЛ ІІ
С ПЕЦИФІЧНІ ОСОБЛИВОСТІ ТА ПРОЯВИ ФІНАНСОВОГО
МЕХАНІЗМУ В ГАЗОВОМУ КОМПЛЕКСІ УКРАЇНИ
2.1 Структура фінансових розрахунків з нерезидентами за імпортований та транзитний природний газ (російський та середньоазійський)
2.1.1 Міжнародні експортери - газотрейдери постачання імпортного газу в Україну у 1996 -2008 роках - компанії “Ітера” (Росія-Кіпр), « Eural TG » (Росія-Кіпр) та “РОСУКРЕНЕРГО” (Росія-Австрія)
Після отримання Україною незалежності перед «Укргазпромом» (тепер він входити до системи НАК «Нафтогаз України») було поставлене завдання здійснювати прямі закупівлі природного газу в Росії й Туркменістані [113]. Та газової квоти, яка виділялася Україні, усе одне було недостатньо. У Росії в цей час, 1992 рік, організували біржу з продаж природного газу «Російський газ». По суті біржа давала можливість придбати додаткові обсяги газу. І всі брокерські компанії цієї біржі вийшла на пряме постачання газу крупним українським підприємствам-газоспоживачам. Основними серед їх були «Стірол», металургійний комбінат імені Ілліча, Сєверодонецький «Азот», Одеський припортовий завод і деякі інші. Для доставки газу територією України, крім того, були укладені домов з «Укргазпромом» про надання послуг з транспортування цього першого комерційного газу.
Після цього вже кілька компаній зайнялися цим бізнесом, і лише потім на ринок газу прийшла корпорація Itera, яка реалізовувала газ українським споживачам, у тому числі через компанії Itera Energy й «ІТЕРА Україна» [121].
Міжнародна група компаній «ІТЕРА» є одним з найбільших незалежних виробників і продавців природного газу, що працюють у країнах СНД і Балтії.
«ІТЕРА» успішно реалізує виробничі проекти в області енергетики, газохимии, будівництва в країнах Європи, Азії й Америки. Ведеться робота на ринках нерухомості й страхування.
«ІТЕРА» створена в 1992 році й з 1994 року займається реалізацією газу.
«ІТЕРА» - єдина приватна газова компанія в країнах СНД і Балтії, що володіє досвідом поставок газу на експорт. «ІТЕРА» має близько 150 представництв, філій і дочірніх компаній у Росії, країнах СНД, Балтії, Європи й США.
З 1998 року «ІТЕРА» розвиває власний газовидобуток у Росії, у Ямало-Ненецькому автономному окрузі в Західному Сибірі. Компанія інвестувала в розвиток газодобувної галузі більше 1 млрд доларів США.
«ІТЕРА» стала першою приватною компанією, що ввела в експлуатацію газові родовища на Крайній Півночі Росії: в 1999 році - Губкинское (запаси газу - 399 млрд кубометрів), в 2001 році - газовий промисел Східно-Таркосалинського родовища (запаси газу - 407 млрд кубометрів), в 2003 - Берегове (запаси газу - 325 млрд кубометрів).
У цілому на родовищах, розроблювальних "ІТЕРОЙ" у ЯНАО, добуто понад 100 млрд кубометри природного газу.
Закрите акціонерне товариство «Торгово-енергетична компанія «ІТЕРА Україна» - один з великих газових трейдерів України - створено в серпні 1996 долі. Входити до міжнародної групи компаній ІТЕRА, що об'єднує понад 130 дочірніх структур, які працюють на ринках Америки, Європи й СНД - більш ніж в 24 країнах світу.
Пріоритетний напрям діяльності ТІК «ІТЕРА Україна» - реалізація природного газу. За п'ять років своєї роботи компанія реалізувала близько 35 млрд. кубометрів газу, поставленого з Туркменістану й Росії, і забезпечила «блакитним паливом» майже чотири тисячі підприємств - споживачів в Україні.
З 1996 року до 2001 року рівень щорічних поставок туркменського газу в Україну компанією «Ітера» знизився з рівня 23 млрд.м3 (1996 рік) до рівня 40 млн.м3(2001 рік). За політичними мотивами керівництво України відмовилося від послуг компанії «Ітера» та стала використовувати у 2000 -2003 роках напряму договори на транзит туркменського газу з ВАТ «Газпром» (Росія) через послуги міжнародного газотрейдера – компанії “EURALTG”, яка у 2003 році стала предметом кримінального переслідування в Росії та припинила свою діяльність.
У липні 2004 р. дочірні компанії Газпромбанка (Росія) і Raiffeisen (Австрія) створили компанію "РосукренергоAG" з реєстрацією у Швейцарії для поставок туркменського газу в Україну до 2028 року [120].
Голова Ради директорів Ларс Хауссманн. 50% компанії "Росукренерго" належить російському газовому монополістові ВАТ Газпром, 45% - українському бізнесменові Дмитрові Фирташу, 5% - Іванові Фурсину.
Бізнес "Росукренерго" заснований на покупці, транзиті й зберіганні газу, а також поставках середньоазіатського й російського газу в Україну та країни Центральної й Східної Європи.
Історія компанії почалася в липні 2004 року, коли на вищому політичному рівні ухвалено рішення про створення компанії РОСУКРЕНЕРГО, у якій російська й українська сторони будуть узгоджено займатися продажем середньоазіатського газу на українському ринку.
Запущено процес формування надійного інвестиційного механізму, необхідного для фінансування робіт, пов'язаних зі збільшенням транзитних потужностей на території середньоазіатських держав. Надалі це дозволить забезпечити стабільний ріст поставок середньоазіатського газу в Україну і Європу.
Росія й Україна домовилися про те, що в настільки капіталомісткому проекті вони будуть представлені великими фінансово-кредитними організаціями. З російської сторони такою компанією став АБ «Газпромбанк», українська сторона внесла пропозицію про участь «Райффайзен Інвестмент АГ».
У січні 2005 року - початок розвитку бізнесу компанії РОСУКРЕНЕРГО. Компанія приступилася до поставок в Україну туркменського газу, купленого НАК «Нафтогаз Україна», а також казахського газу по своїх власних прямих контрактах.
У лютому 2005 року в газовому балансі компанії РОСУКРЕНЕРГО з'явився газ російського, узбецького й туркменського походження, що надійшов у рамках контрактів укладених з ВАТ «Газпром» і його дочірніми структурами.
У липні 2005 року компанія РОСУКРЕНЕРГО брала участь в урегулюванні конфлікту відносно газу, що належав ВАТ «Газпром» і знаходився в підземних газових сховищах України. Компанія РОСУКРЕНЕРГО викупила цей газ, заплативши ВАТ «Газпром» ринкову, європейську на той момент ціну. Таким чином, компанія виконала функцію фінансового гаранта перед ВАТ «Газпром», взявши на себе борги НАК «Нафтогаз України», а також ризики, що виникали відносно подальшого використання цих обсягів газу (Провідні світові страхові компанії, обговорюючи умови страховки, називали розмір страхової винагороди в розмірі від 40% вартості цього газу).
У грудні-січні 2005-2006 років компанія РОСУКРЕНЕРГО зіграла вирішальну роль у знятті кризи газових відносин між Росією й Україною. Угода від 4 січня 2006 року, підписана РОСУКРЕНЕРГО, ВАТ «Газпром» і НАК «Нафтогаз України» дало можливість вирішити частину принципово важливих завдань:
- Україна одержала відносно дешевий газ для внутрішнього споживання, у свою чергу, ВАТ «Газпром» одержав можливість продавати російський газ по ринковій формулі ціни;
- Удалося розірвати зв'язування «транспортування-поставка» і почати здійснювати всі розрахунки за газ і транзит тільки коштами, що з однієї сторони підвищило надійність поставок російського газу європейським споживачам, а з іншої сторони зробило прозорим поставки газу в Україну.
У січні 2006 року Компанія РОСУКРЕНЕРГОпочала здійснювати постачання України і Європи російським газом, а також газом середньоазіатського походження, законтрактованого ВАТ «Газпром».
З 1 січня 2006 р. "Росукренерго" є ексклюзивним постачальником імпортного природного газу в Україну. В 2006 р. "Росукренерго" у поставила в Україну 50,13 млрд кубометрів природного газу. Компанія має налагоджені партнерські відносини з компаніями, що працюють у наступних країнах: Росія, Україна, Туркменістан, Узбекистан, Казахстан, Естонія, Польща, Угорщина, Румунія, Словаччина.
У лютому 2006 року компанія РОСУКРЕНЕРГО й НАК «Нафтогаз Україна» створили спільне підприємство ЗАТ « УКРГАЗЕНЕРГО», основною діяльністю якого є реалізація на внутрішньому ринку України природного газу, який надійшов з території Російської Федерації.
В 2007 -2008 роках компанія РОСУКРЕНЕРГО є центром узгодження інтересів Росії й України в питаннях співробітництва в газовій сфері. Компанія з одного боку, виступає гарантом поставок газу в Україну по прийнятним для економіки країни цінам, а з іншої є фінансовим гарантом перед «Газпромом», що послідовно одержує від РОСУКРЕНЕРГО оплату за поставлений в Україну газ.
На рис.2.1 – 2.3 наведені основні показники ефективності роботи компанії «Росукренерго» по поставкам газа в Україну у 2005 -2006 роках [120].

Рис.2.1. – Порівняльні об'єми продажу газу ROSUKRENERGO AG в Україну у 2005 -2006 рр.

Рис.2.2. – Порівняльні об'єми продажу газу ROSUKRENERGO AG на експорт у 2005-2006 р.р.. (мільярди кубічних метрів)

Рис.2.3. - Прибуток ROSUKRENERGO AG від продажу газу у 2005-2006 р.р. (мільйони доларів США)
2.1.2 Імпортер газу в Україні - Національна акціонерна компанія «НАФТОГАЗ УКРАЇНИ»
Національна акціонерна компанія “Нафтогаз України” є провідним підприємством паливно – енергетичного комплексу, однією з найбільших компаній України [108].
НАК “Нафтогаз України” виробляє восьму частину валового внутрішнього продукту України та забезпечує десяту частину надходжень до Державного бюджету. Загальна кількість працюючих на підприємствах Компанії складає 170 тисяч осіб, що становить близько 1% працездатного населення країни.
НАК “Нафтогаз України” є вертикально-інтегрованою нафтогазовою компанією, яка здійснює повний цикл операцій з розвідки та розробки родовищ, експлуатаційного та розвідувального буріння, транспортування та зберігання нафти і газу, постачання природного і скрапленого газу споживачам. Понад 97% нафти і газу в Україні видобувається підприємствами Компанії.
“Нафтогаз України” здійснює переробку газу, нафти та конденсату на п`яти газопереробних заводах (ГПЗ), що входять до складу Компанії, виробляючи на них скраплений газ, моторні палива та інші типи нафтопродуктів. Компанія має фірмову мережу автозаправних станцій.
Крім суто комерційної діяльності, Компанія виконує важливу соціальну роль, забезпечуючи населення, бюджетні установи та комунальних споживачів природним газом за цінами, що встановлюються державою.
Стратегічними цілями Компанії залишаються посилення вертикальної інтеграції з виходом на роздрібний ринок нафтопродуктів та у нафтохімічну промисловість; закріплення позицій головного транзитера російського газу до європейських країн, створення диверсифікованої ресурсної бази за межами України.
Компанія щороку постачає споживачам України близько 75 млрд. м3 природного газу та транспортує російський газ до 19 країн Європи в обсязі 120 млрд. м3, що становить близько 85% загального обсягу російського експорту газу.
Таблиця 2.1
Технічна характеристика НАК «Нафтогаз України» (станом на 1 січня 2008 року) [108]
| Кiлькiсть родовищ у розробцi | 232 |
| Експлуатацiйний фонд свердловин (газових / нафтових / нагнiтальних) | 2497 / 2450 / 312 |
| Протяжнiсть газопроводiв високого тиску, тис. км | 38 |
| Кiлькiсть компресорних станцiй / цехiв | 73 / 110 |
| Потужнiсть компресорних станцiй, МВт | 5400 |
| Протяжнiсть газорозподiльних мереж, тис. км | 225,3 |
| Кiлькiсть пiдземних газосховищ | 13 |
| Протяжнiсть магiстральних нафтопроводiв, тис. км | 4,7 |
| Кiлькiсть насосних станцiй | 28 |
| Потужнiсть насосних станцiй, МВт | 357 |
| Кiлькiсть газопереробних заводiв | 5 |
| Кількість працівників, тис. осіб | 172 |
На рис.2.4 наведена структура національної акціонерної компанії “НАФТОГАЗ УКРАЇНИ” - до складу Компанiї входять три дочiрнi компанiї (ДК), п'ять дочiрнiх пiдприємств (ДП), два державнi акцiонернi товариства (ДАТ) та два вiдкритi акцiонернi товариства (ВАТ) [108].

Рис.2.4. – Структура національної акціонерної компанії “НАФТОГАЗ УКРАЇНИ” (до складу Компанiї входять три дочiрнi компанiї (ДК), п'ять дочiрнiх пiдприємств (ДП), два державнi акцiонернi товариства (ДАТ) та два вiдкритi акцiонернi товариства (ВАТ) [108]
ДК «Укргазвидобування»
Основна компанiя з видобування природного газу i газового конденсату. У складi дочiрньої компанiї – 4 газовидобувнi пiдприємства, пiдприємство з бурiння свердловин, управлiння з переробки газу i газового конденсату (2 газопереробнi заводи).
ВАТ «Укрнафта»
Основне пiдприємство з видобування нафти. У складi Товариства – 25 основних виробничих та обслуговуючих пiдроздiлiв, в тому числi 6 пiдприємств з бурiння свердловин, 6 нафтогазовидобувних управлiнь, 3 газопереробнi заводи.
ДАТ «Чорноморнафтогаз»
Здiйснює розвiдувальне та експлуатацiйне бурiння, видобування нафти i газу в акваторiї Чорного i Азовського морiв, транспортування та зберiгання газу в Автономній Республiцi Крим.
ДК «Укртрансгаз»
Здiйснює весь обсяг транспортування та зберiгання природного газу на територiї України (за винятком Автономної Республiки Крим), подачу його споживачам, транзитнi поставки росiйського газу до країн Європи та Туреччини, експлуатацiйне обслуговування i будiвництво об'єктiв газотранспортної системи. У складi дочiрньої компанiї – 18 основних виробничих i обслуговуючих пiдроздiлiв, в тому числi 6 пiдприємств – операторiв газопроводiв високого тиску.
ДК «Газ України»
Здiйснює реалізацію природного та скрапленого газу на території України населенню, комунально-побутовим підприємствам, бюджетним організаціям, а також промисловим споживачам, енергогенеруючим компаніям та іншим суб’єктам підприємницької діяльності; координує діяльність підприємств з газопостачання та газифікації, а також організовує розвиток та експлуатацію розподільних газових мереж.
ДП «Науканафтогаз»
Здiйснює наукове забезпечення галузi. До складу пiдприємства на правах фiлiй входять iнститути «УкрНДІгаз», «НДПІАСУтрансгаз», Інформацiйно-аналiтичний центр геолого-геофiзичних дослiджень в нафтогазовiй галузi, Метрологічний центр.
ДП «Газтепло»
Органiзовує експлуатацiю, управлiння та розвиток енергогенеруючих пiдприємств, якi забезпечують виробництво електричної i теплової енергiї та теплопостачання споживачів.
ДП «Укрнафтогазкомплект»
Здiйснює постачання обладнання, комплектуючих та витратних матерiалiв з подальшим сервiсним обслуговуванням пiдприємств НАК «Нафтогаз України».
ДАТ «Укрспецтрансгаз»
Надає послуги з перевезення зрідженого газу у спеціальних газових цистернах від заводів – виробників до споживачів в межах України та за кордон.
ДП «ВЗП «Нафтогаз»
Здiйснює торгiвлю скрапленим нафтовим газом.
ДП «ЛІКВО»
Воєнiзована аварiйно-рятувальна (газорятувальна) служба «ЛІКВО» здійнює розробку і впровадження комплексу інженерних заходів щодо запобігання виникнення, а також аварійні роботи з ліквідації газонафтоводопроявлень і відкритих фонтанів.
Загальний видобуток газу в дочірніх та підконтрольних підприємствах НАК «Нафтогаз України» характеризується наступними показниками.
У цiлому по Компанiї за сiчень-грудень 2007 року, за оперативними даними, видобуто 19 224,6 млн. куб. м природного та нафтового газу при плановому обсязi 19 187,0 млн. куб. м. Завдання з видобутку природного та нафтового газу виконано на 100,2%. Порiвняно з аналогiчним перiодом 2006 року видобуток природного та нафтового газу в сiчнi-груднi 2007 року зменшився на 0,5%. У тому числi, при планi 18 270,0 млн. куб. м фактично отримано природного газу 18 295,6 млн. куб. м, що становить 100,1% вiд запланованого обсягу та 99,6% порiвняно з вiдповiдним перiодом попереднього року. Видобуто нафтового газу 929,0 млн. куб. м при планi 917,0 млн. куб. м, що становить 101,3% виконання плану.
Загальний обсяг робiт з бурiння складає 420 462 м проти 434 182 м минулого року. Свердловин, закiнчених будiвництвом, при планi 133 здано 130, що становить 97,7% виконання плану, у тому числi: ДК "Укргазвидобування" - 81, ВАТ "Укрнафта" - 47, ДАТ "Чорноморнафтогаз" - 2.
Протягом сiчня-грудня 2007 року газопроводами ДК "Укртрансгаз" та ДАТ "Чорноморнафтогаз" протранспортовано 183 002,5 млн.куб.м природного газу, що складає 94,2% вiд планового завдання. План iз закачування природного газу до пiдземних сховищ газу виконано на 102,6%, до ПСГ закачано 18 032,1 млн.куб.м природного газу, що становить 99,5% вiд обсягу закачування вiдповiдного перiоду минулого року.
Протягом сiчня-грудня 2007 року НАК "Нафтогаз України" згiдно з затвердженою Програмою оснащення житлового фонду лiчильниками газу проводилися роботи з впровадження енергозберiгаючих заходiв для зменшення втрат природного газу. За звiтний перiод 2007 року було заплановано встановити 264 897 шт. побутових лiчильникiв газу. За оперативними даними, встановлено 313 362 шт. побутових лiчильникiв газу, що становить 118% вiд завдання, визначеного Програмою.
В додатку А наведені баланси та звіти про фінансові результати діяльності НАК «Нафтогаз України» за 2003 -2007 роки [110], а також результати розрахунків показників фінансового стану підприємства, виконані за алгоритмами [81].
Проведений аналіз констатує наступне:
1) Валюта балансу підприємства з рівня 33,017 млрд.грн. у 2003 році зросла до рівня 45, 235 млрд.грн. у 2007 році;
2) Власний капітал підприємства з рівня 8,905 млрд.грн. у 2003 році зріс до рівня 18,496 млрд.грн. у 2007 році;
3) Необоротні активи підприємства зросли з рівня 13,539 млрд.грн. у 2003 році до 29,835 млрд.грн. у 2007 році, при цьому питома вага основних засобів є незначною, оскільки підприємство – це фінансово-управлінська компанія. Основні необоротні кошти зосереджені в інвестиціях, вкладених за методом участі в капіталі інших підприємств ( 10,2 млрд.грн. у 2003 році та 22,9 млрд.грн. у 2007 році);
4) Дебіторська заборгованість підприємства зменшилась з рівня 2,941 млрд.грн. у 2003 році до рівня 0,833 млрд.грн. у 2007 році;
5) Кредиторська заборгованість підприємства зменшилась з рівня 13,187 млрд.грн. у 2003 році до рівня 1,275 млрд.грн. у 2007 році;
6) Обсяги довгострокових кредитів, наданих підприємству, зросли з рівня 1,443 млрд.грн. у 2003 році до рівня 11,71 млрд.грн. у 2007 році;
7) Чистий валовий дохід від реалізації продукції зріс з рівня 37,625 млрд.грн. у 2003 році до рівня 40,553 млрд.грн. у 2006 році та різко зменшився до рівня 21,367 млрд.грн. у 2007 році;
8) Валовий прибуток від реалізації продукції підприємства становить 3,903 млрд.грн. у 2003 році та дещо зростає до рівня 3,95 млрд.грн. у 2007 році;
9) Валовий операційний прибуток підприємства з рівня збитку -0,224 млрд.грн. у 2003 році зріс до рівня прибутку +3,310 млрд.грн. у 2007 році;
10) Чистий прибуток підприємства після оподаткування з рівня 4,521 млн.грн. у 2003 році зріс в сотні разів до рівня 3,124 млрд.грн. у 2007 році;
11) Рівень ліквідності балансу підприємства характеризується наступними показниками:
- коефіцієнт загальної ліквідності становить 0,8 -1,025 при нормативному рівні не менше 2,0;
- коефіцієнт строкової ліквідності становить 0,135(2003) -0,083 (2007) при нормативному рівні не менше 0,7-0,8;
- коефіцієнт моментальної ліквідності становить 0,005(2003) -0,027(2007) при нормативному рівні не менше 0,2-0,35;
Таким чином, підприємство – неліквідне та несплатоспроможне.
12) Коефіцієнт автономності становить 0,27 (2003) – 0,409(2007) рік при нормативному значенні не менше 0,5, що вказує на підвищенну залежність підприємства від залученого позичково капіталу;
13) Коефіцієнт забезпеченості оборотних активів власними коштами (норматив >0,1) фактично становить -0,238 (2003 рік) та зростає до -0,736 (2007рік), тобто підприємство не має власних оборотних коштів;
14) Стан фінансової стійкості по наявності джерел покриття запасів – критичний за весь діапазон 2003 -2007 років, тобто рівень запасів перевищує рівень реальних джерел їх покриття;
15) Рівень рентабельності власного капіталу по чистому прибутку після оподаткування (ROE) становить 0,05% у 2003 році та підвищується до 16,9% у 2007 році;
16) Рівень рентабельності реалізованої продукції по чистому прибутку після оподаткування ( частка чистого прибутку в чистих доходах від реалізації) становить 0,01% у 2003 році та зростає до рівня 14,6% у 2007 році.
17) Рівень ймовірності банкрутства підприємства у 2003 - 2007 роках по Альтману характеризується як дуже значний, що потребує виконання антикризової програми на підприємстві.
2.1.3 Імпортер газу в Україні – спільне ЗАТ «УКРГАЗЕНЕРГО» (РОСУКРЕНЕРГО+НАК «НАФТОГАЗ УКРАЇНИ»)
ЗАТ «УКРГАЗЕНЕРГО» створено згідно з Розпорядженням Кабінету Міністрів України «Питання забезпечення вітчизняних споживачів природним газом» від 24 січня 2006 року. Акціонерами Компанії на паритетних засадах є НАК «Нафтогаз України» та швейцарська компанія ROSUKRENERGOAG. Між ЗАТ «УКРГАЗЕНЕРГО» та ROSUKRENERGOAG підписано п’ятирічний контракт купівлі-продажу природного газу.
ЗАТ «УКРГАЗЕНЕРГО» розпочало діяльність з постачання природного газу споживачам України 17 березня 2006 року після отримання відповідної ліцензії Національної комісії регулювання електроенергетики України. Природний газ, що імпортується компанією, складає основу газового балансу України, цілком заповнюючи потреби її промисловості, підприємств теплокомуненерго та газотранспортної системи в цьому енергоресурсі. Обсяги газу, які поставляє «УКРГАЗЕНЕРГО», дозволяють віднести ЗАТ до найбільших нафтогазових компаній Європи [110].
Компанією збудовано ефективну і цілком транспарентну збутову мережу з реалізації природного газу, в якій безпосередні поставки великим промисловим підприємствам поєднуються з використанням послуг незалежних дилерів (на ринку України оперують близько 400 дилерів газу). ЗАТ «УКРГАЗЕНЕРГО» реалізує природний газ за однаковою для всіх ціною і на рівних умовах. Безпосередньо паливо отримують великі споживачі, щомісячні потреби яких перевищують 5 млн. м3 природного газу. Решта споживачів купують газ у «УКРГАЗЕНЕРГО» через незалежних дилерів, які володіють досвідом роботи зі споживачами, газотранспортними і газорозподільними компаніями, вивіреними білінговими системами, процедурами звірки й актування. Завдяки використанню можливостей незалежної дилерської мережі ЗАТ «УКРГАЗЕНЕРГО» зосереджується лише на найбільших споживачах, що забезпечує високу дисципліну платежів і значну економію адміністративних витрат компанії.
ЗАТ «УКРГАЗЕНЕРГО» постачає природний газ за принципом «до дверей» споживача (DDP Consumer Metering Station). За такої системи продажів власник ресурсу приймає на себе всі ризики, пов'язані з транспортуванням природного газу, можливими втратами в мережах. Клієнта позбавляють додаткової «паперової» тяганини з транспортними компаніями і розподільними мережами. При цій системі постачань і розрахунків оператор дістає можливість забезпечити як високу платіжну дисципліну, так і максимально повний облік розподіленого енергоресурсу; важливо, що завдяки їй ліквідовуються тіньові схеми, які дозволяють не платити за поставлений природний газ, та які протягом довгих років залишалися бичем українського ринку газу.
ЗАТ «УКРГАЗЕНЕРГО» найактивнішим чином (як основний оператор газового імпорту) бере участь у підтримці балансу природного газу в країні і мінімізації коливань ринку за допомогою закачування великих обсягів газу в підземні газові сховища України. На сьогодні компанія забезпечує найбільш конкурентну ціну на газ на всьому просторі СНД та Європи, чим також робить значний внесок у систему забезпечення енергетичної безпеки України.
Про фінансово-економічні показники роботи ЗАТ "УКРГАЗЕНЕРГО" за 2006 рік (додаток Д) [110].
За результатами першого року діяльності (2006 року) прибуток ЗАТ «УКРГАЗЕНЕРГО» до оподаткування склав 1,014 мільярдів гривень. Виручка від реалізації становить понад 16,75 мільярдів гривень.
Статутний капітал – 5 млн.грн., чисельність працівників – 119, річний фонд оплати праці 5,367 млн.грн.
Протягом першого року роботи на українському ринку енергоносіїв ЗАТ «УКРГАЗЕНЕРГО» вдалося впровадити ефективну й прозору систему постачання палива кінцевим споживачам, яка передбачає відсутність будь-яких бартерних чи негрошових розрахунків, єдину ціну на газ та його попередню оплату. Враховуючи реалії українського ринку та необхідність адаптації промислових споживачів до нових цін на енергоносії, ЗАТ «УКРГАЗЕНЕРГО» продавало паливо за цінами, відчутно нижчими за встановлені Національною комісією регулювання електроенергетики (НКРЕ) та Кабінетом Міністрів України.
У 2007 році ЗАТ «УКРГАЗЕНЕРГО» продовжило курс на встановлення європейських принципів торгівлі природним газом, тобто йдеться про постачання газу безпосередньо «до засувки» споживача. Таким чином, ЗАТ «УКРГАЗЕНЕРГО» як постачальник ресурсу позбавляє споживачів ризиків, пов’язаних із транспортуванням газу територією України, і самостійно укладає договори з газотранспортними й газорозподільними підприємствами, що, безумовно, сприятиме покращенню дисципліни споживання й обліку газу.
За період від створення (лютий 2006 року) і до 2007 року ЗАТ «УКРГАЗЕНЕРГО» сплатило до бюджету більш ніж 4 млрд. грн. податків і зборів. Сума відрахувань Компанії до Державного бюджету України перевищує платежі таких галузей національної економіки, як чорна металургія чи залізничний транспорт. Загалом відрахування ЗАТ «УКРГАЗЕНЕРГО» склали 3% Держбюджету України. За результатами 2007 року цей показник становитиме близько 10%.
При цьому ЗАТ «УКРГАЗЕНЕРГО» взяло безпосередню участь у забезпеченні опалювального сезону 2006-2007 років в Україні, передавши значні обсяги природного газу для реалізації соціальним споживачам. Протягом 2006 року НАК «Нафтогаз України» та її дочірні підприємства отримали від «УКРГАЗЕНЕРГО» для задоволення потреб підприємств бюджетної сфери, теплокомуненерго та газотранспортної системи більше 10 мільярдів кубометрів газу за його собівартістю.
У жовтні 2006 рокуЗАТ «УКРГАЗЕНЕРГО» та ROSUKRENERGOAG підписали додаткову угоду до контракту купівлі-продажу природного газу, згідно з якою протягом 2007 року спільне підприємство гарантовано отримало не менше 55 мільярдів кубічних метрів природного газу центрально- та середньо-азійського походження.
За результатами 2006 року загальний обсяг природного газу, імпортованого ЗАТ «УКРГАЗЕНЕРГО» в Україну, склав близько 34 млрд. куб. м. Безпосередньо промисловим споживачам України поставлено більш ніж 14 млрд. Протягом травня-жовтня 2006 року у підземних сховищах, що входять до системи ДК «Укртрансгаз» та ДАТ «Чорноморнафтогаз», було накопичено понад 8 млрд. куб. м газу.
На початку 2007 р. уряд прийняв рішення, яким створив умови для монополізації ЗАО "УкрГазЕнерго" українського газового ринку, отримання цим підприємством надприбутків за рахунок вітчизняних суб'єктів господарювання, що стало передумовою до різкого погіршення їхнього фінансового стану.
Постановою Кабміну в січні 2007 року були внесені зміни до порядку забезпечення споживачів природним газом [ ], згідно з якими "УкрГазЕнерго" отримало одноосібне право укладати договори на постачання і транспортування імпортного природного газу безпосередньо із споживачами (окрім населення і підприємств комунальної теплоенергетики), що докорінно змінило схему проходження коштів на внутрішньому ринку газу. В результаті ухвалених рішень на ринку газу склалася ситуація, за якої була обмежена підприємницька діяльність газорозподільних підприємств; газорозподільні (газотранспортні) суб'єкти господарювання були змушені пріоритетно укладати договори; регіональні газорозподільні компанії своєчасно не отримували від "УкрГазЕнерго" оплату за надання послуг з транспортування газу і, як наслідок, було обмежено постачання природним газом окремих промислових підприємств. "УкрГазЕнерго", користуючись своїм монопольним становищем, почало застосовувати різні умови до рівнозначних угод із суб'єктами господарювання.
Компанії "Укргазвидобування", ВАТ "Укрнафта", НАК "Надра України" і їх дочірні структури, згідно з постановою, повинні були реалізовувати лише "Нафтогазу України" весь видобутий в Україні природний газ за винятком обсягів, які використовувались задля виробничо-технологічних потреб.
8 січня 2008 року Національна комісія регулювання електроенергетики (НКРЕ) прийняла рішення, яким безпідставно обмежила ЗАТ «УКРГАЗЕНЕРГО» щорічний обсяг постачання імпортованого газу споживачам до 5,04 млрд. куб. м газу. При цьому відповідно до діючого зовнішньоекономічного контракту обсяг імпорту газу ЗАТ «УКРГАЗЕНЕРГО» у 2008 році складе 55 млрд. куб. м. Крім того, наприкінці 2007 року, тобто до прийняття зазначеної постанови НКРЕ, ЗАТ «УКРГАЗЕНЕРГО» уклало договори на постачання природного газу з понад 200-ми вітчизняних споживачів на період до 2012 року і вживатиме всіх заходів для їх неухильного виконання.
Постанову прийнято з порушеннями регламенту НРКЕ та Стандарту надання адміністративних послуг. Представник ЗАТ «УКРГАЗЕНЕРГО» на засідання комісії не запрошувався, про розгляд питання щодо обмеження обсягу ліцензії компанію навіть не повідомили. Не містить такого питання і оприлюднений проект плану роботи НКРЕ на 2008 рік. Тобто ЗАТ «УКРГАЗЕНЕРГО» було позбавлено можливості публічно захистити свої законні права та інтереси.
ЗАТ «УКРГАЗЕНЕРГО» офіційно повідомив, що на сьогодні не існує жодного судового рішення, яке б зобов’язувало НКРЕ скасовувати свої акти, що усувають обмеження компанії в постачанні природного газу споживачам. Більше того, в чинному рішенні господарського суду прямо вказано, що НКРЕ не має права обмежувати в обсягах постачання газу споживачам ЗАТ «УКРГАЗЕНЕРГО», яке одержало дозвіл Антимонопольного комітету України на узгоджені дії зі своїми спорідненими підприємствами із системи НАК «Нафтогаз України».
Необґрунтовані дії Національної комісії регулювання електроенергетики України можуть призвести до невиконання балансу надходження та розподілу природного газу по Україні на 2008 рік та порушення транзитних зобов’язань України.
Враховуючи політичні перепони в діяльності ЗАТ «УКРГАЗЕНЕРГО», монополіст газового ринку Росії "Газпром" створює в Україні своє дочірнє підприємство "Газпром-Україна". Домовленості про це було досягнуто під час російсько-українських газових переговорів.На засіданні Національної комісії регулювання електроенергетики планується розглянути питання видачі цій компанії ліцензії на реалізацію газу на внутрішньому ринку країни. Компанія продаватиме газ самостійно.
У новій структурі працюватиме майже весь колектив ЗАТ "УкрГазЕнерго" (50% належить НАК "Нафтогаз України" і 50% RosUkrEnergo, в якій у "Газпрому" також 50%). Прямий допуск "Газпрому" на внутрішній газовий ринок України був однією з ключових умов урегулювання конфлікту Москви і Києва навколо постачань газу. При цьому "УкрГазЕнерго", через яке досі монополія працювала в країні, має бути ліквідовано.
Крім усунення "УкрГазЕнерго", прихід "дочки" "Газпрому" на внутрішній ринок країни означатиме підписання вже найближчим часом угод з Росією на постачання "блакитного палива. "В Україні буде створений партнер "Нафтогаза", якому ми платитимемо за спожитий газ. Це автоматично зніме всі безпідставні звинувачення в українських заборгованостях.
"Газпром –збут-Україна" має право реалізовувати не більше 7,5 млрд. кубометрів газу на внутрішньому ринку країни (у варіанті угоди від 12 березня, розробленій "Газпромом", уточнювалося: "не менше 7,5 млрд. кубометрів").
З 1 квітня 2008 року діятиме прямий договір між ТОВ "Газпром експорт" і "Нафтогазом" на постачання до України середньоазіатського газу. Розрахунки за газ, спожитий в січні-березні, проводитимуться безпосередньо з RosUkrEnergo, оминаючи розрахунки із ЗАТ "УкрГазЕнерго".
Водночас 1 квітня 2008 рку RosUkrEnergo зобов'язується припинити транзит газу територією України. При цьому прем'єр-міністр Юлія Тимошенко визнала факт постачань російського газу в січні-лютому в обсязі 1,4 млрд. кубометрів і підтвердила намір розрахуватися за цей обсяг по $314,7 за тисячу кубометрів - правда, не грошима, а газом - в період його закачування до підземних сховищ.
20.06.2008 Національна комісія регулювання електроенергетики зобов`язала ЗАТ "УкрГаз Енерго" усунути порушення ліцензійних умов і правил в частині перевищення обсягів постачань природного газу, передбачених ліцензією, а також перевищення граничного рівня постачань газу, які може здійснювати ліцензіат і його афільовані компанії.
Як встановило управління ліцензійного контролю НКРЕ, за результатами перевірки діяльності компанії, в період 2007 р. - перший квартал 2008 р. "УкрГаз Енерго" перевищило обсяг постачань, передбачених ліцензією. Зокрема, в першому кварталі цього року компанія поставила споживачам 6,5 млрд. куб. м газу, перевищивши ліцензійні обсяги на 1,5 млрд. куб. м. Ліцензією компанії був передбачений річний обсяг на рівні 5,04 млрд. куб. м. Крім того, НКРЕ встановило, що ліцензіат перевищив граничний рівень постачань газу, які може здійснювати ліцензіат і його афільовані компанії. Зокрема, тоді як за підсумками 2007 року загальне споживання газу на внутрішньому ринку склало 63,7 млрд. куб. м, "УкрГаз Енерго" поставила споживачам 23,8 млрд. куб. м. Таким чином, компанія перевищила 35% обмеження на 2,46 процентних пункти (37,4%).
Своїм розпорядженням Комісія зобов`язала компанію усунути вказані порушення до 1 серпня 2008 року, після чого буде призначена повторна перевірка ліцензіата на предмет виконання компанією вимог НКРЕ.
2.1.4 ДК «Укртрансгаз» НАК «Нафтогаз України» - національне підприємство транзитних трубопроводів газу високого тиску України
ДК “Укртрансгаз” є оператором газотранспортної системи України. За станом на 01.01.2008 року до складу газотранспортної системи ДК “Укртрансгаз” входить 71 компресорна станція загальною потужністю 5405,1 МВт та 1437 газорозподільчі станції. Довжина магістральних газопроводів та газопроводів-відводів становить 37 тис. км. Пропускна здатність ГТС України складає: на вході – 288, на виході – 178,5 млрд. куб. м., в т.ч. в країни Європи – 142,5 млрд. куб. м. [117].
Дочiрня компанiя "Укртрансгаз" Нацiональної акцiонерної компанiї "Нафтогаз України" створена на виконання постанови Кабiнету Мiнiстрiв України вiд 24 липня 1998 року № 1173 "Про розмежування функцiй з видобування, транспортування, зберiгання i реалiзацiї природного газу", та зареєстровано Печерською районною державною адмiнiстрацiєю мiста Києва № 28440 вiд 02.04.2001 року. Компанiя створена з метою забезпечення безперебiйного транспортування природного газу, ефективного функцiонування та розвитку газового комплексу, бiльш повного задоволення потреб промислових i побутових споживачiв у сировинi та паливно-енергетичних ресурсах i одержання прибутку шляхом здiйснення цiєї та iншої господарської дiяльностi. Основнi види дiяльностi. Транспортування природного газу внутрiшнiм споживачам, транзит природного газу в країни Європи i СНД, зберiгання природного газу в пiдземних сховищах газу, постачання природного газу внутрiшнiм споживачам, виробництво стиснутого газу i забезпечення ним автомобiльного транспорту, обслуговування i ремонт об'єктiв транспорту i розподiлу природного газу, будiвництво газопроводiв високого i низького тиску та об'єктiв на них, науково-дослiднi, дослiдно-конструкторськi i проектнi роботи в областi транспорту i збереження газу.
ДК “Уктрансгаз” це:
- 28-тисячний колектив висококваліфікованих фахівців;
- - 17 філій які працюють в усіх областях України;
- - більш ніж піввіковий досвід магістрального транспорту газу;
- - величезний технічний потенціал;
- - максимальне задоволення потреб клієнтів.
Основними видами діяльності Компанії є:
- транспортування природного газу;
- - зберігання природного газу в підземних сховищах;
- - експлуатація, реконструкція і сервісне обслуговування ГТС;
- - капітальне будівництво магістральних газопроводів.
Укртрансгаз – це дочірня компанія Національної акціонерної компанії "Нафтогаз України", cтворена на виконання постанови Кабінету Міністрів України від 24 липня 1998 року "Про розмежування функцій з видобування, транспортування, зберігання і реалізації природного газу".
Засновником Компанії є Національна акціонерна компанія "Нафтогаз України". Компанія є правонаступником майнових і немайнових прав і обов'язків газотранспортних підприємств та структурних підрозділів відкритого акціонерного товариства "Укргазпром".
Згідно прес-релізу від 10 січня 2008 року [ ] у 2007 році ДК “Укртрансгаз” транспортувала до країн Європи 112,1 млрд. куб. м природного газу.
У порівнянні з аналогічним періодом 2006 року обсяг транзиту газу через територію України до країн Європи зменшився на 1,7 млрд. куб. м (1,5%). Обсяг транзиту до країн СНД склав 3,1 млрд. куб. м.
Основною причиною зменшення обсягів транзиту газу стала переорієнтація ВАТ “Газпром” поставок газу на південь Російської Федерації через введений в експлуатацію газопровід “Октябрьская-Сохрановка” в обхід території України.
Основні характеристики ДК «Укртрансгаз» за 2002 -2003 роки наведено в балансах та звітах про фінансові результати діяльності (додаток Ж).
До складу ДК "Укртрансгаз" входить17 структурних підрозділів на правах філій,виробничі об'єкти яких знаходяться в усіх областях України.
Таблиця 2.2
Структура та функції підрозділів ДК «Укртрансгаз» [117]
Шість управлінь магістральних газопроводів (УМГ): "Київтрансгаз" "Харківтрансгаз" "Львівтрансгаз" "Прикарпаттрансгаз" "Донбастрансгаз" "Черкаситрансгаз" |
Здійснюють транспортування газу. Всі газотранспортні управління, за винятком УМГ "Черкаситрансгаз", мають у своєму складі підземні сховища газу (ПСГ) |
| Будівельно-монтажна фірма "Укргазпромбуд" | Здійснює будівництво і ремонт магістральних газопроводів, будівництво та облаштування газових родовищ і свердловин, будівництво житла |
| Виробниче ремонтно-технічне підприємство (ВРТП) "Укргазенергосервіс" | Виконує комплексне сервісне технічне обслуговування газоперекачувального, енергетичного та іншого обладнання, приладів і систем компресорних станцій (КС) та автомобільних газонаповнювальних компресорних станцій (АГНКС) |
| Управління "Укргазтехзв'язок" | Надає послуги з технологічного зв'язку. |
| "Укравтогаз" | Здійснює виробництво та реалізацію стисненого природного і скрапленого нафтового газу |
| Об'єднане диспетчерське управління ( ОДУ ) | Забезпечує безперебійне газопостачання споживачів України газом та здійснення транзитних експортних поставок російського газу згідно з контрактами |
| Інформаційно-обчислювальний центр ( ІОЦ ) | Здійснює розробку перспективних планів розвитку АСУ, програмного забезпечення та обслуговування персональних комп'ютерів |
| Нормативно-аналітичний центр ( НАЦ ) | Розробляє нормативно-аналітичні матеріали та документацію і забезпечує ними підрозділи ДК "Укртрансгаз", пропозиції і рекомендації щодо організації праці, ії оплати та використання трудових ресурсів |
| Науково-виробничий центр технічної діагностики "Техдіагаз" | Здійснює діагностування, атестування і сертифікацію основного та допоміжного обладнання |
| Управління сервісного обслуговування та ремонту імпортної автотракторної спецтехніки ( СІАТ ) | Здійснює сервісне обслуговування та ремонт імпортних будівельно-дорожних машин і спецтехніки |
Дирекція по будівництву та експлуатації газопроводу "Джанкой - Феодосія - Керч" |
Здійснює будівництво та експлуатацію об'єктів газотранспортної системи в Автономній Республіці Крим. |
| Дирекція з капітального будівництва та капітального ремонту об'єктів газотранспортної системи | Виконує функції замовника з капітального будівництва та капітальних ремонтів виробничих об'єктів газотранспортної |
Таблиця 2.3
Порівняльні обсяги транспортування газу по території України через газотранспортну систему (ГТС) ДК “Укртрансгаз” у 2006 – 2007 роках
| Показник | Січень-грудень 2006 р., млрд.м3 | Січень-грудень 2007 р., млрд.м3 | Порівн. обсяг 2007 до 2006, % |
Грудень 2007р. млрд.м3 |
| Транспортовано до країн Європи, в т.ч. через : | 113,8 | 112,1 | 98,5% | 12,2 |
| ГВС Ужгород (до країн Європи) | 73,8 | 72,2 | 97,8% | 7,9 |
| ГВС Теково (до Румунії) | 2,4 | 2,1 | 87,5% | 0,2 |
| ГВС Берегово (до Угорщини та балканських країн) | 11,3 | 10,5 | 92,9% | 1,3 |
| ГВС Дроздовичі (до Польщі) | 4,5 | 4,2 | 93,3% | 0,4 |
| ГВС Орловка (до Туреччини та балканських країн) | 21,8 | 23,1 | 105,9% | 2,4 |
| Транспортовано до країн СНД, в т.ч.: | 14,8 | 3,1 | 20,9% | 0,4 |
| До Молдови | 2,5 | 2,7 | 108% | 0,4 |
| До Російської Федерації | 12,3 | 0,4 | 3,3% | 0 |
| Транспортовано споживачам України по ГТС ДК “Укртрансгаз” | 63,2 | 60,0 | 94,9% | 8,2 |
| Відбір з ПСГ ДК “Укртрансгаз” | 15,1 | 13,2 | 87,4% | 3,4 |
Відбір природного газу з ПСГ України у грудні 2007 року склав 3,411 млрд. куб. м.
За оперативними даними Об’єднаного диспетчерського управління за січень-березень 2008 року ДК “Укртрансгаз” протранспортувала до країн Європи 34,7 млрд. куб. м. природного газу, що являється найвищим показником за всю історію існування газотранспортної системи України. Обсяг транзиту до країн СНД склав 1,0 млрд. куб. м.
У порівнянні з аналогічним періодом минулого року обсяг транзиту газу через територію України до країн Європи збільшився на 7,9 млрд. куб. м (29,5%).
Таблиця 2.4
Показники діяльності ДК «Укртрансгаз» за 1 квартал 2007 та 1 квартал 2008 р.р. [117] млрд. куб. м
| Показник | січень-березень 2007 р. | січень-березень 2008 р. | 2008 до 2007 |
| Транспортовано до країн Європи, в т.ч.: | 26,8 | 34,7 | 129,48% |
| ГВС Ужгород (до країн Європи) | 16,1 | 22,6 | 140,37% |
| ГВС Теково (до Румунії) | 0,6 | 0,6 | 100,00% |
| ГВС Берегово (до Угорщини та балканських країн) | 2,8 | 3,6 | 128,57% |
| ГВС Дроздовичі (до Польщі) | 1,0 | 1,3 | 130,00% |
| ГВС Орловка (до Туреччини та балканських країн) | 6,3 | 6,6 | 104,76% |
| Транспортовано до країн СНД, в т.ч. : | 1,0 | 1,0 | 100,00% |
| До Молдови | 0,9 | 1,0 | 111,11% |
| До Російської Федерації | 0,1 | 0,0 | - |
| Транспортовано споживачам України по ГТС ДК “Укртрансгаз” | 20,8 | 22,2 | 106,73% |
За п’ять місяців 2008 року ДК “Укртрансгаз” збільшила транзит природного газу до країн Європи на 26% - до рекордних 55,7 млрд. куб. м.
2.2 Структура фінансових розрахунків з компаніями-резидентами власного видобування газу в Україні
2.2.1 ДК «Укргазовидобування» - національне підприємство власного газодобування
Дочірня Компанія “Укргазвидобування” НАК “Нафтогаз України” створена в 1998 р. Це найбільше в Україні підприємство з видобутку газу (78 % від вітчизняного видобутку), яке видобуває також газовий конденсат з нафтою (19 % від вітчизняного видобутку). Компанія прирощує 75 % запасів газу, виконує понад 80 % робіт з пошуково-розвідувального буріння і близько 66 % сейсморозвідувальних робіт у державі [114].
ДК “Укргазвидобування” виробляє газ для потреб населення; автомобільні бензини, дизельне пальне, скраплений газ, мазут та інші нафтопродукти. Компанія є оператором мережі АЗС під брендом “Нафтогаз”. З 2003 р. Компанія виробляє електроенергію.
ДК “Укргазвидобування” має 8 філій, розташованих в Харківській, Полтавській та Львівській областях. Основним переробним підприємством в структурі Компанії є Шебелинський газопереробний завод (Харківська обл.).
100 % акцій ДК “Укргазвидобування” належать Національній Акціонерній Компанії “Нафтогаз України”.
Підприємства ДК “Укргазвидобування” розробляють 118 газових, газоконденсатних та нафтогазоконденсатних родовищ.
В 2005 р. Компанією було видобуто 14,6 млрд. куб. м природного газу, що на 251,7 млн. куб. м більше, ніж в 2004 р. В 2005 р. ДК “Укргазвидобування” введено в експлуатацію 4 нових родовища:Верещицьке (Львівська обл.); Турабівське (Львівська обл.);Комарівське (Львівська обл.);Північно-Коробочкинське (Харківська обл.),введено в експлуатацію 58 нових свердловин, виведено з недіючого фонду 64 свердловини, проведено 220 капремонтів свердловин.
В 2004 р. у зв'язку з падінням робочих тисків свердловин було здійснено реконструкцію Хрестищенської та Червонодонецької дожимно-компресорних станцій. Агрегати з високим тиском на вході були замінені на нові, з більш низьким тиском, який відповідає тиску свердловин. В результаті реконструкції щорічний видобуток природного газу по Компанії зріс на 1 млрд. куб. м, або на 7 %; споживання електроенергії на ДКС знизилося в 25 разів до 1 млн. кВт/год. на рік.
ДК «Укргазвидобування» здійснює буріння та ремонт свердловин будь-якої складності – як в Україні, так і за кордоном. Буровими підприємствами Компанії розбурено більше 100 родовищ газу, конденсату та нафти в Україні, побудовано близько 3000 свердловин загальною проходкою понад 7,5 млн. м.
За 7 років існування ДК “Укргазвидобування” збільшила проходку на 34 %. В 2005 р. вона досягла 275,8 тис. метрів. З них в експлуатаційному бурінні – 102,4 тис. м (на 9 % більше, ніж в 2004 р.), в розвідувальному бурінні – 173,4 тис. м. За цей період в експлуатацію передано 62 свердловини.
Основними нафтогазопереробними об’єктами в структурі ДК «Укргазвидобування» є:
1. У складі Управління з переробки газу та газового конденсату:
- Шебелинське відділення з переробки газового конденсату та нафти;
- Яблунівське відділення з переробки газу;
- Технологічний цех стабілізації конденсату “Базилівщина”;
2. У складі ГПУ «Полтавагазвидобування»:
- Установка поглибленого вилучення вуглеводнів на Тимофіївському газоконденсатному родовищі;
- Головні споруди “Солоха”;
3. У складі ГПУ «Харківгазвидобування»:
- Установка по виробництву скрапленого газу на Юліївському ГКР.
2.2.2 ДАТ «Чорноморнафтогаз» -національне підприємство власного газодобування
ДАТ"Чорноморнафтогаз"було створено в 1979 роцi як державне виробниче об`єднання "Чорноморнафтогазпром" у системi Мiнiстерства газової промисловостi колишнього СРСР наказом №209 вiд 20.10.1978р. [116].
Пiдприємство було створено спецiально для освоєння нафтогазових ресурсiв шельфу Чорного та Азовського морiв вiдповiдно до Постанови Ради Мiнiстрiв колишнього СРСР №720 вiд 24 серпня 1978р. на базi морської партiї виробничого об`єднання "Кримморгеологiя" Мiнiстерства геологiї України та Кримського газопромислового управлiння виробничого об`єднання "Укргазпром". У 1988р. об`єднання "Чорноморнафтогаз" було пiдпорядковано Мiнiстерству нафтової промисловостi та наказом цього Мiнiстерства №158 вiд 29.03.1988р. Перейменовано у виробниче об`єднання "Чорноморнафтогаз". 25.10.1992р. постановою ВР АР Крим у зв`язку з розпадом СРСР i вiдповiдно союзних мiнiстерств, виробниче пiдприємство було перейменовано у Державне виробниче пiдприємство з видобутку та транспортуванню нафти й газу "Чорноморнафтогаз".
На пiдставi декретiв КМ України №№8-92 вiд 15.12.1992р."Про управління майном, що є загальнодержавною власнiстю", №№42-92 вiд 29.04.1993р. "Про об`єднання державних пiдприємств нафтової, газової, нафтопереробної промисловостi та нафтопродуктозабезпечення ", державне виробниче пiдприємство "Чорноморнафтогаз" було пiдпорядковано Державному комiтету нафти та газу. Вiдповiдно до Указу Президента України вiд 25 лютого 1998р. №151/98 "Про реформування нафтогазового комплексу України", Постанови Кабiнету Мiнiстрiв України № 747 вiд 25 травня 1998р. " Про створення Нацiональної акцiонерної компанiї "Нафтогаз України", Наказу "Держкомнафтогаз" вiд 18 серпня 1998р. №184 Державне виробниче пiдприємство "Чорноморнафтогаз" було перетворено в Державне акцiонерне товариство вiдкритого типу.
Засновником ДАТ"Чорноморнафтогаз" є держава в особi Держнафтогазпрому, надалi реорганiзованого, правонаступником якого є Мiнiстерство палива та енергетики України. Акцiонером Товариства є НАК "Нафтогаз України". З моменту створення протягом бiльш нiж трьох десятирiч цiлеспрямовано створювалась особлива виробнича структура пiдприємства щодо багатопланових завдань з розвiдки та розробки нафтогазових родовищ на шельфi, включаючи супутнi види дiяльностi.Разом з цим вiдбувалося збiльшення обсягiв робiт.
На сьогодняшнiй день ДАТ "Чорноморнафтогаз" функцiонує, як єдиний виробничо-господарський комплекс, виконує пошукове, розвiдувальне та експлуатацiйне бурiння в межах шельфу Чорного й Азовського морiв, здiйснює будiвництво морських стацiонарних платформ, пiдводних трубопроводiв, облаштування й розробку нафтових i газових родовищ, видобування та транспортування продукцiї споживачам, пiдземне зберiгання газу.
ДАТ "Чорноморнафтогаз" з моменту державної реєстрацiї є юридичною особою, що здiйснює свою дiяльнiсть вiдповiдно до чинного законодавства.
До складу Товариства входять:
1. Виконавча дирекцiя - АР Крим, м. Сiмферополь, пр. Кiрова/пров. Совнаркомовський, 52/1.
2. Управлiння з видобутку газу (УВГ) - АР Крим, Чорноморський р-н, с. Глiбовка.Здiйснює видобуток газу та газового конденсату. Забезпечує пiдготовку та подачу газу до магiстральних газопроводiв. Здiйснює транспортування газу по промисловим газопроводам. Займається експлуатацiєю внутрiшньо-промислових газопроводiв, морських стацiонарних платформ, установок попередньої пiдготовки газу, установок комплексної пiдготовки газу, ГРС; будiвництвом, капiтальним ремонтом об'єктiв Управлiння.
3. Управлiння пiдземного зберiгання газу (УПЗГ) - АР Крим, Чорноморський р-н, с. Глiбовка. Здiйснює закачування газу в пiдземне сховище, його зберiгання, вiдбiр газу з пiдземного сховища та подачу газу в газотранспортну систему; забезпечує добове та сезонне регулювання подачi газу в газотронспортну систему за рахунок використання ресурсiв активного газу пiдземного сховища.
4. Управлiння магiстральних газопроводiв (УМГ) - АР Крим, м. Сiмферополь, вул. Станцiонна, 63. Здiйснює та забезпечує технiчно-грамотне та безпечне транспортування природного газу по газотранспортнiй мережi АР Крим, його розподiл та облiк по споживачам; експлуатацiю внутрiшньопромислових, магiстральних газопроводiв, газорозподiльних станцiй та установок газу; експлуатацiю автомобiльних газонаповнювальних станцiй. Виконує аварiйно-вiдбудовнi роботи та ремонт газотранспортної мережi.
5. Управлiння розвiдувального та експлуатацiйного бурiння (УРiЕБ) - АР Крим, смт. Чорноморське, порт Чорноморськ. Здiйснює розвiдку родовищ нафти i газу.Виконує бурiння параметричних, пошукових, розвiдувальних свердловин на нафту, газ, газовий конденсат. Здiйснює сейсмо-розвiдувальнi роботи. Виконує бурiння експлуатацiйних свердловин на нафту, газ, газовий конденсат та свердловин iншого призначення (на воду, нагнiтальних, п'єзометричних свердловин). Виконує супутнi бурiнню роботи: випробування свердловин на продуктивнiсть, тампонажнi, електрометричнi, лiквiдацiйнi та iншi роботи.
6. Управлiння технологiчного флоту i пiдводно-техничних робiт (УТФiПТР) - АР Крим, смт. Чорноморське, порт Чорноморськ. Виконує транспортнi роботи та надає послуги морського транспорту як на територiї України, так i за її межами. Здiйснює морськi транспортнi, буксирувальнi, аварiйно-рятувальнi, пiдводно-технiчнi, краново-монтажнi роботи та надає послуги на Чорному й Азовському морях та за кордоном у будь-якому районi свiтового океану.Виконує портовi операцiї та надає послуги. Виконує судноремонтнi роботи та послуги.
7. Спецiалiзоване будiвельно-монтажне управлiння (СБМУ) - АР Крим, смт. Чорноморське, вул. Павленко, 63. Займається будiвництвом об'єктiв виробничого та невиробничого призначення, будiвництвом та капiтальним ремонтом гiдротехничних споруд.Здiйснює облаштування родовищ нафти i газу в акваторiї Чорного та Азовського морiв i на територiї Кримського пiвострову.
Займається житлово-комунальним будiвництвом, будiвництвом магiстральних газопроводiв, ГРС, газопроводiв-вiдводiв, газових мереж низького, середнього та високого тиску. Займається капiтальним ремонтом усiх видiв магiстральних газопроводiв. Здiйснює виробництво виробiв будiвельного призначення, товарiв народного споживання.
8. База виробничо-техничного обслуговування i комплектацiї (БВТОiК) - АР Крим, Сакський р-н, с. Каменоломня, вул. Київська, 7. Займається забезпеченням та комплектацiєю матерiально-технiчними ресурсами, обладнанням виробничо-технiчного призначення для ремонтно-експлуатацiйних потреб та для капiтального будiвництва. Здiйснює складування, зберiгання, поставку на виробничi об'єкти матерiально-технiчних ресурсiв, ПММ, обладнання та комплектуючих.
9. Управлiння технологiчного транспорту i спецтехнiки ( УТТiСТ) - АР Крим, смт. Чорноморське, вул. Горького, 4. Виконує роботи та надає послуги автомобiльного транспорту, спецтехнiки на територiї Криму та за його межами.
Виконує договiрнi зобов'язання по перевезенню вантажiв, пасажирiв, надає платнi послуги. Здiйснює капiтальний та поточний ремонт автотранспортних засобiв, спецiальної технiки.
10.Сiмферопольське управлiння автотранспорту - АР Крим, м. Сiмферополь, вул. Станцiонна, 63. Створено з метою рацiонального використання автотранспорту та спецтехнiки, впорядкування процесу управлiння транспортом в м. Сiмферополь.
11. Схiдно-Кримське нафтогазовидобувне управлiння (СК НГДУ) - АР Крим, Ленiнський р-н, с. Семенiвка. Здiйснює видобуток нафти, газу, газового конденсату. Займається пiдготовкою товарної нафти. Забезпечує пiдготовку та подачу газу до магiстральних газопроводiв, транспортування газу по промислових газопроводах. Здiйснює експлуатацiю внутрiшньопромислових газопроводiв, морських стацiонарних платформ, установок попередньої пiдготовки газу, комплексної пiдготовки газу, ГРС, а також - капiтальний та поточний ремонт свердловин.
12. Управлiння технологiчного зв'язку i автоматизованих систем управлiння (УТЗiАСУ) - АР Крим, м. Сiмферополь, вул. Станцiонна, 63. Забезпечує функцiонування технологiчного зв'язку та автоматизованих систем управлiння.Здiйснює будiвництво, монтаж, наладку, технiчне обслуговання та експлуатацiю засобiв зв'язку, систем автоматизацiї , установок пожежної сигналiзацiї, комп'ютерного забезпечення. Органiзує функцiонування корпоративної мережi передачi даних, електронної пошти, розробку та впровадження програмного забезпечення для надання технологiчної iнформацiї та рiшення завдань фiнансового облiку, обслуговування комп'ютерiв та периферiйного обладнання, рiшення завдань автоматизацiї виробничiх процесiв.
13.Управлiння спецiалiзованих робiт - АР Крим, смт. Чорноморське, вул. Горького, 4. Здiйснює контроль за якiстю вироблених зварювально-монтажних, антикорозiйних та бетонних робiт, оформлення вiдповiдної документацiї. Проводить атестацiю зварювачiв. Здiйснює технiчну дiагностику та огляд систем газопостачання, вантажнопiдiймальних механiзмiв. Проводить перiодичнi еколого-теплотехнiчнi режимнi випробування, iнше.
Основними видами дiяльностi ДАТ "Чорноморнафтогаз" є:
- видобуток, зберiгання, транспортування газу, нафти, газового конденсату;
- геологорозвiдувальнi роботи, бурiння свердловин;
- будiвництво та облаштування об'єктiв промислового та непромислового призначення;
- надання послуг автомобiльним, морським транспортом та спецтехнiкою;
- зовнiшньоекономiчна дiяльнiсть;
- постачальницько-збутова дiяльнiсть;iнши види дiяльностi.
План видобутку вуглеводнiв за 2007 рiк виконано на рiвнi:
- газу-100,00 %;
- конденсату -100,1 %;
- нафти -100,4%.
Найважливiшим напрямком дiяльностi Компанiї залишається розширення мiнерально-сировинної бази нафтогазовидобування в традицiйних районах дiяльностi, а також пiдготовка ресурсної бази в нових перспективних районах на глибоководному шельфi Чорного та Азовськокго морiв. Протягом року здiйснювалось експлуатацiйне та розвiдувальне бурiння. Роботи з бурiння експлуатацiйних свердловин виконувались на Одеському газовому родовищii на Штормовому газоконденсатному родовищi.
Товариство забезпечує експлуатацiю i сервiсне обслуговування власної газотранспортної системи. Обсяг надходження газу в газотранспортну систему за звiтний перiод на 9% перевищив плановий показник.
Загальна довжина газотранспортної системи, що експлуатується ДАТ "Чорномонафтогаз", станом на 01.01.2008 року складає 1196 км, у т.ч. 280 км - морських газопроводiв.
На балансi ДАТ "Чорноморнафтогаз" знаходиться газорозподiльнi станцiї, морськi стацiонарнi платформи, пiдземне сховище газу, автомобiльнi газонаповнювальнi коипресорнi станцiї. Пiдприємство експлуатує родовища, якi знаходяться як у шельфовiй зонi Чорного та Азовського морiв, так i на територiї пiвострову. Протягом звiтного перiоду здiйснювалось експлуатацiйне бурiння на Одеському газовому родовищi, розташованому на вiдстанi 150 км вiд берега в пiвнiчно-захiднiй частинi шельфу Чорного моря.
Забезпечення споживачiв природним газом та розрахунки за нього у 2007 роцi здiйснювались згiдно з Постановою КМУ вiд 11.10.2006 № 1420, якою газовидобувнi пiдприємства було зобов`язано спрямовувати весь обсяг видобутого газу виключно на потреби населення, для якого встановлено найнижчi гранiчнi цiни серед iснуючих категорiй споживачiв. На виконання зазначеної Постанови НАК "Нафтогаз України" було затверджено баланс газу України, вiдповiдно якого весь видобутий газ реалiзовувася через Компанiю за визначеною цiною.
Протягом звiтного року Товариство реалiзовувало природний газ власного видобутку виключно (крiм обсягiв, використаних на власнi технологiчнi потреби) по прямих договорах з ВАТ "Кримгаз" та iншими газорозподiльними органiзацiями, що мають лiцензiю на продаж природного газу по регульованому тарифу.
Договори на продаж природного газу було укладено на весь обсяг поставленої продукцiї. Постачання та транспортування газу також здiйснювалось згiдно з укладеними договорами.
Протягом останнiх рокiв Товариство продовжувало инвестувати кошти в основнi засоби та капiталовкладення в розробку родовищ та створення инфраструктури. Протягом останнiх 5 рокiв загальна вартiсть активiв пiдприємства збiльшилась на 43%, з яких протягом 2007 року зростання активiв досягло найбiльшого рiвня -22,6%, що головним чином вiдбулось за рахунок збiльшення незавершених iнвестицiй на 208,6 млн .грн. Особливiстю розвитку Товариства протягом звiтного перiоду є збiльшення обсягу капiталовкладень. Фiнансування капiталовкладень вiдбувалось головним чином за рахунок власних та залучених коштiв пiдприємства.
За 2007 рiк введено основних засобiв на суму 119,7млн.грн., на капiтальне будiвництво видано авансiв загальним обсягом 88,5млн.грн. Залишкова вартiсть основних засобiв ДАТ "Чорноморнафтогаз" станом на 01.01.08 по групах основних засобiв складає:
- Будiвлi,споруди та передавальнi пристрої- 660,02млн.грн.;
- Машини та обладнання- 167,31млн.грн.;
- Транспортнi засоби- 76,49млн.грн.;
- iнструменти, прилади,iнвентар- 16,74млн.грн.;
- iншi основнi засоби- 0,33млн.грн.;
- Малоцiннi необоротнi матерiальнi активи- 6,91млн.грн.;
- iншi- 0,15млн.грн.;
Разом - 927,95млн.грн.
Своєчасне фiнансування освоєння Одеського газового родовища дозволить вже найближчим часом видобувати газ з цього родовища i збiльшити обсяги його реалiзацiї. У разi реалiзацiї запланованих капiталовкладнень в необхiдному обсязi, ДАТ"Чорноморнафтогаз" повнiстю забезпечуватиме АР Крим газом власного видобутку та постачатиме його в iншi регiони України.
Мiнiстерством палива та енергетики України та НАК "Нафтогаз України"затверджений iнвестицiйний план ДАТ"Чорноморнафтогаз", згiдно якого пiдприємство до 2016 року має збiльшити видобуток природного газу майже удвiчi. Збiльшення капiталовкладень планується як за рахунок використання коштiв стратегiчних партнерiв, так i за рахунок кредитiв.
У 2007 роцi постачання та транспортування газу Товариством здiйснювалось згiдно з укладеними договорами. Усього було укладено 10 договорiв на постачання газу, 10 договорiв на зберiгання та 2312 договорiв на здiйснення транспортних послуг зi споживачами, якi отримують природний газ вiд оптових постачальникiв, та безпосередньо з оптовими постачальниками. За реалiзовану у 2007 роцi продукцiю вiдсоток сплати склав: газ природний 98,7 %;транспортування газу 82,8 %.
На сьогоднiшнiй день ДАТ "Чорноморнафтогаз" є єдиним пiдприємством України, що здiйснює весь комплекс робiт з розвiдки та експлуатацiї родовищ в українському секторi Чорного та Азовського морiв.
Потужна виробнича iнфраструктура, висококвалiфiкованi фахiвцi, великий досвiд в розвiдцi морських нафтових родовищ, вiдповiдна технична база дозволяють Товариству функцiонувати як єдиний виробничо-господарський комплекс, здатний вирiшувати унiкальнi завдання, виконувати пошуково-розвiдувальне та експлуатацiйне бурiння, здiйснювати видобуток, транспортування природного газу.
Фахiвцями ДАТ "Чорноморнафтогаз" провадиться робота з пiдготовки та презентацiї ряда iнвестицiйних проектiв, як з геологорозвiдувальних робот, так i з видобування вуглеводнiв на перспективних площах шельфу Азовського та Чорного морiв: Субботiна, Рифтова, Кутова, Палласа, Аббiха, Одеське та Безiменне газовi родовища. Розробленi бiзнес-плани, технiко-економiчнi обгрунтування, розрахунки економiчної ефективностi ремонтних робiт, створення медiацентру, реконструкцiї Глiбовської УКПГ, розглянута економiчна ефективнiсть будiвництва АГНКС.
За результатами 2007 року в Українi було видобуто природного газу 20,6 млрд.куб.м, а нафти та газового конденсату -4,4 млн.т. На ДАТ "Чорноморнафтогаз" припало 6,1% загальнодержавного видобутку природного газу i 1,7% - нафти з газовим конденсатом. Серед пiдприємств НАК "Нафтогаз України" питома вага видобутку Товариства становить 6,6% та 1,9% вiдповiдно. Обсяги видобутку ДАТ"Чорноморнафтогаз" за 2007 рiк перевищили плановi показники, проте є меншими за результати попереднього року. За результатами 2007 року суттєвого зменшення зазнали показники валового операцiйного i чистого прибутку. На зменшення показникiв прибутковостi пiдприємства вплинуло збiльшення рентної плати за видобуток, зменшення цiни реалiзацiї видобутого природного газу.Оскiльки весь видобутий пiдприємством у 2007 роцi газ було реалiзовано НАК "Нафтогаз України" i спрямовано на потреби населення ( у попередньому роцi ДАТ "Чорноморнафтогаз" реалiзовувало близько третини обсягiв природного газу промисловим пiдприємствам).
В додатку Г наведені баланси та звіти про фінансові результати діяльності ДАТ «Чорноморнафтогаз» за 2003 -2007 роки, а також результати розрахунків показників фінансового стану підприємства, виконані за алгоритмами [ ].
Проведений аналіз констатує наступне:
1) Валюта балансу підприємства з рівня 1,531 млрд.грн. у 2003 році зросла до рівня 2, 206 млрд.грн. у 2007 році;
2) Власний капітал підприємства з рівня 1,322 млрд.грн. у 2003 році зріс до рівня 1,627 млрд.грн. у 2007 році;
3) Необоротні активи підприємства зросли з рівня 0,972 млрд.грн. у 2003 році до 1,465 млрд.грн. у 2007 році, при цьому питома вага основних засобів є значною (75%-80%), оскільки підприємство - виробнича компанія.
4) Дебіторська заборгованість підприємства зменшилась з рівня 32,2 млн.грн. у 2003 році до рівня 18,8 млн.грн. у 2007 році, при цьому звертає на себе увагу великий обсяг списаних сум сумнівної дебіторської заборгованості;
5) Кредиторська заборгованість підприємства зменшилась з рівня 55,1 млн.грн. у 2003 році до рівня 77,1 млн.грн. у 2007 році;
6) Обсяги довгострокових кредитів, наданих підприємству, зросли з рівня 39,9 млн.грн. у 2003 році до рівня 307,8 млн.грн. у 2007 році;
7) Чистий валовий дохід від реалізації продукції зріс з рівня 476,3 млн.грн. у 2003 році до рівня 777,9 млн.грн. у 2007 році;
8) Валовий прибуток від реалізації продукції підприємства становить 102,1 млн.грн. у 2003 році, зростає до рівня 266.3 млн.грн. у 2006 році та знижується до рівня 180,8 млн.грн. у 2007 році;
9) Валовий операційний прибуток підприємства з рівня 69,5 млн.грн. у 2003 році зріс до рівня 218,5 млн.грн. у 2006 році та різко знизився до рівня 89,9 млн.грн. у 2007 році;
10) Чистий прибуток підприємства після оподаткування з рівня 32,87 млн.грн. у 2003 році зріс до рівня 145,45 млн.грн. у 2006 році та різко знизився до рівня 7,45 млн.грн. у 2007 році;
За результатами фiнансово-господарської дiяльностi за 2007 рiк ДАТ "Чорноморнафтогаз" отримано чистий прибуток в сумi 7,11 млн.грн., що менше показнику минулого року на 138,40млн.грн. та бiльше запланованого показника на 3,19млн.грн. Основною причиною формування високого рiвня чистого прибутку у 2006 роцi є вiдображення у доходах суми реструктуризацiї та погашення заборгованостi минулих рокiв за реалiзований природний газ вiдповiдно до процедури, передбаченої Законом України "Про заходи, спрямованi на забезпечення сталого функцiонування пiдприємств паливно-енергетичного комплексу".
Валовий прибуток Товариства за результатами 2007 року зменшився на 32% вiдносно рiвня попереднього року. На зменшення валового прибутку вплинули такi чинники:
-збiльшення рентної плати за видобуток нафти та газового конденсату;
-зменшення цiни реалiзацiї видобутого природного газу за рахунок обмеження ринку споживачiв категорiєй населення.
11) Рівень ліквідності балансу підприємства характеризується наступними показниками:
- коефіцієнт загальної ліквідності становить 2,58 -5,8 при нормативному рівні не менше 2,0;
- коефіцієнт строкової ліквідності становить 0,241(2003), зростає до рівня0,812 (2006) та знижується до рівня 0,436 у 2007 році при нормативному рівні не менше 0,7-0,8;
- коефіцієнт моментальної ліквідності становить 0,05(2003), зростає до рівня 0,651 у 2006 році та знижується до рівня 0,364 у 2007 році при нормативному рівні не менше 0,2-0,35;
Таким чином, підприємство – ліквідне та платоспроможне, при цьому має певні проблеми з нестачею строкової ліквідності.
12) Коефіцієнт автономності становить 0,862 (2003) – 0,741(2007) рік при нормативному значенні не менше 0,5;
13) Коефіцієнт забезпеченості оборотних активів власними коштами (норматив >0,1) фактично становить 0,626 (2003 рік) та зменшується до рівня 0,143 у 2007 році, тобто підприємство має достатній рівень власних оборотних коштів;
14) Стан фінансової стійкості по наявності джерел покриття запасів – абсолютно стійкий за весь діапазон 2003 -2007 років, тобто рівень запасів покривається власними коштами підприємства;
15) Рівень рентабельності власного капіталу по чистому прибутку після оподаткування (ROE) становить 2,49% у 2003 році, зростає до рівня 9,26% у 2006 році та різко знижується до рівня 0,46% у 2007 році;
16) Рівень рентабельності реалізованої продукції по чистому прибутку після оподаткування ( частка чистого прибутку в чистих доходах від реалізації) становить 5,51% у 2003 році, зростає до рівня 20,05% у 2006 році та різко знижується до рівня 0,7% у 2007 році;
17) Відрахування з валового доходу підприємства у 2003 -2006 роках на спеціальні рентні платежі та збори з добичі газу становлять 13,1 – 13,9 млн.грн. та різко зростають до рівня 86,15 млн.грн. у 2007 році;
18) коефіцієнт зносу основних засобів становить 0,455 у 2003 році та підвищується до рівня 0,53 у 2007 році, тобто рівень зношеності основних засобів характеризується як середній;
19) Рівень ймовірності банкрутства підприємства у 2003 -2006 роках по Альтману характеризується як незначний, у 2007 році рівень ймовірності банкрутства підвищився до середнього, що потребує особої уваги менеджменту підприємства.
2.2.3 ВАТ «Укрнафта» - національне підприємство власного газодобування
Вiдкрите акцiонерне товариство "Укрнафта" створене 31.03.1994 року шляхом корпоратизацiї пiдприємства "Виробниче об'єднання "Укрнафта" на виконання Указу Президента України "Про корпоратизацiю пiдприємств" вiд 15.06.1993 року №210/93, наказу Мiнекономiки вiд 22.11.1993 року №90 i наказу Держкомнафтогазу №57 вiд 23.02.1994 року. Перше свiдоцтво про реєстрацiю випуску цiнних паперiв, видане Мiнфiном України 25.05.1994 року за № 201/0/1994 року. Станом на 31.12.2006 року в управлiннi НАК "Нафтогаз України" знаходиться 50% акцiй, решта 50% акцiй належить iншим юридичним та фiзичним особам. На теперiшнiй час ВАТ "УКРНАФТА" є найбiльшою нафтодобувною компанiєю в Українi. ВАТ "Укрнафта" здiйснює геологорозвiдувальнi роботи, експлуатацiйне бурiння, видобуток нафти i газу на територiї 2-х нафтогазових регiонiв України: захiдного та схiдного [115].
До складу ВАТ "Укрнафта" входить 23 структурнi одиницi без статусу юридичної особи. Створенi структурнi одиницi надiлено основними засобами та обiговими коштами, якi належать Товариству i знаходяться в оперативному управлiннi керiвництва структурних одиниць з обмеженим правом розпоряджатися майном. Структурнi одиницi ведуть окремий бухгалтерський та податковий облiк, подають звiтнiсть, що включається до звiтностi ВАТ "Укрнафта". Структурнi одиницi, що входять до складу Товариства, створенi за виробничим принципом: -нафтогазовидобувнi управлiння (надалi НГВУ), якi здiйснюють видобуток нафти i газу; -газопереробнi заводи (надалi ГПЗ), якi здiйснюють пiдготовку i переробку нафти та газу; -управлiння бурових робiт (надалi УБР), якi забезпечують будiвництво та експлуатацiю свердловин; -тампонажнi управлiння (надалi ТУ), що виконують тампонажнi роботи в процесi пiдготовки свердловин; -бази та iншi пiдроздiли, що забезпечують виробничу дiяльнiсть iнших структурних одиниць; В свою чергу структурнi одиницi складаються з цехiв, вiддiлень, дiльниць, бригад, бюро, лабораторiй та iнших вiдокремлених пiдроздiлiв. Апарат управлiння ВАТ "Укрнафта" функцiонує, як центральний координуючий, керiвний та контролюючий орган Товариства. Станом на 31.12.2006 року до структури ВАТ <Укрнафта> входять наступнi структурнi одиницi: 1) Апарат управлiння ВАТ <Укрнафта>; 2) НГВУ <Охтирканафтогаз> - сумська обл. м.Охтирка, вул.Київська 119; 3) НГВУ <Чернiгiвнафтогаз> - Чернiгiвська обл., м.Прилуки, вул.Вокзальна,1; 4) НГВУ <Полтаванафтогаз> - Полтавська обл., м.Полтава, вул.Монастирська,12; 5) НГВУ <Долинанафтогаз> - Iвано-Франкiвська обл., м.Долина, вул.Промислова,7; 6) НГВУ <Бориславнафтогаз> - Львiвська обл. м.Борислав, вул.Карпатська Брама, 26; 7) НГВУ <Надвiрнанафтогаз> - Iвано-Франкiвська обл., м.Надвiрна, вул.Грушевського,13; 8) Качанiвський газопереробний завод - Сумська обл., Охтирський р-н, с.Мала Павлiвка, вул. Центральна, 1; 9) Гнiдинцiвський газопереробний завод - Чернiгiвська обл., смт.Варва, вул.Лiсова, 1; 10) Долинський газопереробний завод - Iвано-Франкiвська обл., м.Долина, вул.Пiдлiвче, 63; 11) Охтирське управлiння бурових робiт - Сумська обл., м.Охтирка, вул.Київська, 164А; 12) Прилуцьке управлiння бурових робiт - Чернiгiвська обл., м.Прилуки, вул..Київська, 200; 13) Прикарпатське управлiння бурових робiт - Iвано-Франкiвська обл., м.Долина, вул.Степана Бандери, 1; 14) Полтавське тампонажне управлiння - Полтавська обл., м.Полтава, вул.Половки, 90; 15) Долинське тампонажне управлiння - Iвано-Франкiвська обл., м.Долина, вул.Промислова, 4; 16) Бориславська центральна база виробничого обслуговування - Львiвська обл., м.Борислав, вул.Шевченка, 77А; 17) Гоголiвська центральна база виробничого обслуговування - Полтавська обл., Великобагачанський р-н, смт.Гоголеве, вул.Жовтнева, 70; 18) Монтажно-налагоджувальне управлiння - Сумська обл., м.Охтирка, вул.Київська 119; 19) Науково-дослiдний i проектний iнститут - Iвано-Франкiвська обл., м.Iвано-Франкiвськ, Пiвнiчний бульвар, 2; 20) Центр нормативно-економiчних дослiджень - Iвано-Франкiвська обл., м. Iвано-Франкiвськ, вул.Незалежностi,93; 21) Центр геолого-тематичних дослiджень - Київська обл., м.Київ, Кудрявський узвiз, 5; 22) Управлiння автоматизованих систем - Київська обл., м.Київ, пров.Нестерiський, 3-5; 23) Полтавська воєнiзована частина по попередженню i лiквiдацiї вiдкритих нафтових i газових фонтанiв - Полтавська обл., м.Полтава, вул.Ливарна,10.
На сьогоднiшнiй день ВАТ "Укрнафта" є найбiльшою нафтодобувною компанiєю в Українi. Газопереробнi заводи, що входять до складу ВАТ "Укрнафта", є найбiльшими виробниками на Українi скрапленого газу. Протягом 2006 року: - видобуто 3189,7 тис. тон нафти з конденсатом, що на 69,2 тис. тон (2,2%) бiльше, нiж у 2005 роцi; - видобуто 3331,8 млн. куб. м газу, що на 59,9 млн. куб. м. (1,8% бiльше, нiж у 2005 роцi; ВАТ "Укрнафта" має власну мережу автозаправних станцiй на територiї України. На даний момент Товариство реалiзовує заходи направленi на розвиток вертикально-iнвтегрованої структури Компанiї, що сприятиме: - розширенню асортименту продукцiї пiдприємства; - зниженню залежностi ВАТ "Укрнафта" вiд свiтових коливань цiн на нафту; - пiдвищенню ефективностi господарської дiяльностi всiх виробничих складових вертикально - iнтегрованої компанiї за рахунок наскрiзного управлiння; - концентрацiї фiнансових та товарних потокiв; - зниженню витрат завдяки економiї на масштабах дiяльностi; - посиленню конкурентних позицiй Компанiї на вiтчизняному ринку. Продукцiя ВАТ <Укрнафта> реалiзується: - на аукцiонах; - за прямими договорами; - продукцiя нафтопереробки - через мережу власних АЗС. Формування мережi АЗС пiд брендом вiтчизняного виробника дає змогу пiдвищити економiчний та фiнансовий потенцiал Компанiї та надало можливостi позитивно впливати на динамiку цiн на свiтлi нафтопродукти, особливо пiд час рiзких цiнових коливань.
Результати виробничої діяльності найбільшої нафтовидобувної компанії України – відкритого акціонерного товариства „Укрнафта” у 2007 році такі:
- видобуто 3161,1 тис. т нафти з конденсатом, що на 36,1 тис. т (1,2%) більше запланованого (3125,0 тис. т);
- видобуто 3237,9 млн. куб. м газу, що на 4,6 млн. куб. м (0,1%) більше запланованого (3233,3 млн. куб. м);
- введено в експлуатацію 54 нових свердловини (46 нафтових та 8 газових), що більше запланованого на 14 свердловин, а обсяги буріння становлять 145,7 тис. м;
У зв’язку із суттєвим збільшенням державою фіскального навантаження на нафтогазовидобувну галузь в цілому та відкрите акціонерне товариство “Укрнафта” зокрема шляхом непомірного зростання рентних платежів за видобуток нафти та газового конденсату за підсумками 2007 року (у порівнянні з 2006 роком) істотно погіршилися фінансові показники компанії.
Незважаючи на незначне збільшення доходу (виручки) від реалізації продукції (товарів, робіт, послуг) на 571,1 млн. грн. (4,4%), який становить 13609,0 млн. грн. (у 2006 році – 13037,9 млн. грн.), чистий доход (виручка) від реалізації продукції (товарів, робіт, послуг) зменшився на 3450,0 млн. грн. (41,2%) і становить 4929,1 млн. грн. (у 2006 році – 8379,1 млн. грн.).
Чистий прибуток зменшився на 1174,7 млн. грн. (48,7%) і становить 1237,9 млн. грн. (у 2006 році – 2412,6 млн. грн.).
Відповідно сплата до бюджетів усіх рівнів становить 5606,1 млн. грн. Більшу частину цих відрахувань становлять рентні платежі – 3822,6 млн. грн., які збільшилися у порівнянні з 2006 роком на 1408,8 млн. грн. або 58,4%.
Погіршення фінансових показників діяльності ВАТ „Укрнафта” відбулося під впливом двох факторів: значного збільшення податкового навантаження (рентна плата за видобуті вуглеводні) та регулювання цін реалізації газу на економічно необґрунтованому рівні – 318,78 грн. з ПДВ за 1 тис. м3.
В додатку В наведені баланси та звіти про фінансові результати діяльності ВАТ «Укрнафта» за 2003 -2007 роки [110], а також результати розрахунків показників фінансового стану підприємства, виконані за алгоритмами [81].
Проведений аналіз констатує наступне:
1) Валюта балансу підприємства з рівня 6,265 млрд.грн. у 2003 році зросла до рівня 10,528 млрд.грн. у 2007 році;
2) Власний капітал підприємства з рівня 5,306 млрд.грн. у 2003 році зріс до рівня 8,916 млрд.грн. у 2007 році;
3) Необоротні активи підприємства зросли з рівня 5,0 млрд.грн. у 2003 році до 7,814 млрд.грн. у 2007 році, при цьому питома вага основних засобів є основною (80%-82%), оскільки підприємство – виробнича компанія.
Коефіцієнт зносу основних засобів становить 0,551 у 2003 році та знижується до рівня 0,485 у 2007 році, таким чином стан зношеності основних засобів слід вважати середнім.
4) Дебіторська заборгованість підприємства зменшилась з рівня 426,7 млн.грн. у 2003 році до рівня 72,2 млн.грн. у 2007 році, при цьому привертає увагу значий рівень сумнівної дебіторської заборгованості, яка списується за рахунок прибутку підприємства;
5) Кредиторська заборгованість підприємства зменшилась з рівня 408,6 млн.грн. у 2003 році до рівня 81,2 млн.грн. у 2007 році;
6) Обсяги довгострокових зобов’язань підприємства зменшились з рівня 2,184 млрд.грн. у 2003 році до рівня 0,804 млрд.грн. у 2007 році;
7) Валовий дохід від реалізації продукції зріс з рівня 3,918 млрд.грн. у 2003 році до рівня 13,61 млрд.грн. у 2007 році;
8) Чистий валовий дохід від реалізації продукції зріс з рівня 2,954 млрд.грн. у 2003 році до рівня 8,379 млрд.грн. у 2006 році та різко зменшився до рівня 4,929 млрд.грн. у 2007 році;
9) Рівень відрахувань підприємства за спеціальними рентними зборами за добування газу та нафти зріс з рівня 298,63 млн.грн. у 2003 році до рівня 2,403 млрд.грн. у 2006 році та додатково до рівня 3,792 млрд.грн. у 2007 році.
Рівень спеціальних відрахувань за експлуатацію газонафтових родовищ зріс з рівня 53.4 млн.грн. у 2003 році до рівня 113, 2 млн.грн. у 2006 році та до рівня 2.582 млрд.грн. у 2007 році;
10) Валовий прибуток від реалізації продукції підприємства становить 1,447 млрд.грн. у 2003 році, зростає до рівня 4,30 млрд.грн. у 2006 році та різко знижується до рівня 2,396 млрд.грн. у 2007 році;
10) Валовий операційний прибуток підприємства становить 1,274 млрд. грн. у 2003 році, зростає до рівня 3,20 млрд.грн. у 2006 році та різко знижується до рівня 1,719 млрд.грн. у 2007 році;
10) Чистий прибуток підприємства після оподаткування з рівня 0,890 млрд.грн. у 2003 році зріс до рівня 2,412 млрд.грн. у 2006 році та знизився до рівня 1,719 млрд.грн. у 2007 році;
11) Рівень ліквідності балансу підприємства характеризується наступними показниками:
- коефіцієнт загальної ліквідності становить 1,327 -3,353 при нормативному рівні не менше 2,0;
- коефіцієнт строкової ліквідності становить 0,469(2003) -0,611 (2007) при нормативному рівні не менше 0,7-0,8;
- коефіцієнт моментальної ліквідності становить 0,022(2003) -0,521(2007) при нормативному рівні не менше 0,2-0,35;
Таким чином, підприємство – ліквідне та платоспроможне.
12) Коефіцієнт автономності становить 0,799 (2003) – 0,878(2007) рік при нормативному значенні не менше 0,5;
13) Коефіцієнт забезпеченості оборотних активів власними коштами (норматив >0,1) фактично становить 0,238 (2003 рік) та зростає до 0,408 (2007рік), тобто підприємство має достатній рівень власних оборотних коштів;
14) Стан фінансової стійкості по наявності джерел покриття запасів – критичний у 2003 році та нормального рівня стійкості у 2004 -2007 роках;
15) Рівень рентабельності власного капіталу по чистому прибутку після оподаткування (ROE) становить 16,79% у 2003 році, підвищується до рівня 31,68% у 2006 році та знижується до рівня 13,88% у 2007 році;
16) Рівень рентабельності реалізованої продукції по чистому прибутку після оподаткування ( частка чистого прибутку в чистих доходах від реалізації) становить 22,71% у 2003 році та знижується до рівня 9,10% у 2007 році.
17) Рівень ймовірності банкрутства підприємства у 2003 - 2007 роках по Альтману характеризується як дуже незначний.
2.2.4 Основні підприємства продажу газу кінцевим споживачам в Україні
Дочiрня компанiя "Газ України" є дочiрньою компанiєю Нацiональної акцiонерної компанiї "Нафтогаз України" i створена за рiшенням спостережної ради НАК "Нафтогаз України" вiд 26 грудня 2000 року № 2 шляхом реорганiзацiї Дочiрньої компанiї "Торговий дiм "Газ України" та Дочiрньої компанiї "Укртрансгаз" в частинi вiдокремлення i передачi функцiй та майнових прав i обов'язкiв Головного управлiння з експлуатацiї систем постачання природного та скрапленого газу "Головпобутгаз". Компанiя створена з метою органiзацiї експлуатацiї розподiльних систем газопостачання, реалiзацiї природного та скрапленого газу на територiї України населенню, комунально-побутовим пiдприємствам, бюджетним органiзацiям та суб'єктам пiдприємницької дiяльностi, забезпечення розрахункiв за їх реалiзацiю та отримання вiд своєї дiяльностi прибутку. Єдиним засновником Компанiї є Нацiональна акцiонерна компанiя "Нафтогаз України" [118].
ДК "Газ України" є юридичною особою, має самостiйний баланс, поточний, валютний та iншi рахунки в установах банкiв, має печатку iз своїм найменуванням, штампи, фiрмовi бланки та iншi реквiзити. Майно Компанiї є державною власнiстю i перебуває в користуваннi Компанiї на правi повного господарського вiдання. Майно складається з основних фондiв та оборотних коштiв, а також iнших цiнностей, отриманих Компанiєю як правонаступником ДК "Торговий дiм "Газ України" та ДК "Укртрансгаз" в частинi майнових прав i обов'язкiв Головного управлiння "Головпобутгаз". Структура ДК "Газ України" представлена сукупнiстю вiдокремлених пiдроздiлiв (фiлiї), якi не мають статусу юридичної особи i розташованi у рiзних регiонах України. На початок 2006 року Компанiя мала 5 фiлiї. Протягом 2006 року органiзовано ще одну фiлiю на пiдставi наказу генерального директора Компанiї вiд 24.01.06 р. № 18 . Таким чином, на кiнець звiтного року Компанiя мала у своїй структурi 6 фiлiй. Фiлiї є самостiйними платниками податку на прибуток та податку на додану вартiсть. Дочiрнiх пiдприємств, представництв та безбалансових вiддiлень Компанiя не має. Керiвництво та управлiння дiяльнiстю ДК "Газ України" здiйснює Головне пiдприємство, апарат управлiння якого розташований за адресою: м. Київ, вул. Шолуденко, 1.
Компанiя забезпечує ефективне функцiонування та подальший розвиток газової промисловостi, сприяє структурнiй перебудовi галузi та залученню в галузь iнвестицiй, забезпечує бiльш повне задоволення потреб споживачiв у природному газi. Компанiя здiйснює: - реалiзацiю природного газу вiдкритим акцiонерним товариствам з газопостачання i газифiкацiї, промисловим пiдприємствам, пiдприємствам теплоенергетики. За 2006 рiк Компанiя здiйснила реалiзацiю 38 631,1 млн.куб.м природного газу на суму 13 409 951,4 тис.грн.; - реалiзацiю скрапленого газу; - координування дiяльностi вiдкритих акцiонерних товариств по газозабезпеченню та газифiкацiї.
За результатами 1 кварталу 2008 року ДК «Газ України» відзначає погіршення оплати підприємствами комунальної теплоенергетики (ТКЕ) вартості спожитого з початку опалювального сезону 2007-2008 рр. (з 1.10.2007 р.) природного газу. Надходження до Компанії грошових коштів за спожитий газ значної частини теплопостачальних підприємств зменшилось у квітні 2008 року в середньому у кілька разів.
Найбільшу заборгованість за спожитий з 1.10.2007 р. природний газ накопичили підприємства ТКЕ Донецької (борг – 379,3 млн. грн., розрахунки - 58%), Дніпропетровської (316,3 млн., грн., 58%), Харківської (311 млн. грн., 54%), Луганської (167,8 млн. грн., 52%), Запорізької (117,6 млн. грн., 67%), Львівської (98,2 млн. грн., 61%), Житомирської (50,1 млн. грн., 62%), Херсонської (48,8 млн. грн., 48%) областей, а також Автономної Республіки Крим (94,7 млн. грн., 56%). Інформація по дисципліні розрахунків за спожитий газ у 2007 -2008 роках наведені в додатках К, Л, М.
Загальна заборгованість підприємств комунальної теплоенергетики за газ, спожитий у поточному опалювальному сезоні 2007-2008 рр., становить 2,160 млрд. грн., а рівень розрахунків – 63%.
ДК «Газ України» звертало також увагу підприємств з газопостачання та газифікації на недопустимість понадпланового споживання природного газу низкою підприємств ТКЕ, що мають значну заборгованість перед Компанією.
Значне понадпланове споживання природного газу підприємствами ТКЕ у квітні допустили, зокрема, «Харківміськгаз», «Криворіжгаз», «Донецькоблгаз», «Луганськгаз», «Сумигаз», «Кременчукгаз», «Житомиргаз», «Дніпропетровськгаз» та деякі інші обл./міськгази.
ДК «Газ України» повідомив підприємства, що у разі не проведення до 1.06.2008 р. повних розрахунків за газ, спожитий протягом опалювального сезону 2007-2008 рр., Компанія не укладатиме договорів з підприємствами ТКЕ-боржниками на постачання природного газу на наступний період. ДК «Газ України» надасть також відповідні доручення щодо повного відключення від газопостачання таких підприємств ТКЕ-боржників.
В додатку Б наведені баланси та звіти про фінансові результати діяльності підприємства по реалізації газа в Україні ДК «Газ України» НАК «Нафтогаз україни» за 2003 -2006 роки [110], а також результати розрахунків показників фінансового стану підприємства, виконані за алгоритмами [81].
Проведений аналіз констатує наступне:
1) Валюта балансу підприємства з рівня 10,225 млрд.грн. у 2003 році знизилась до рівня 6,074 млрд.грн. у 2006 році;
2) Власний капітал підприємства з негативного рівня -3,711 млрд.грн. у 2003 році значно знизився до рівня -7,535 млрд.грн. у 2006 році, тобто підприємство є технічним банкротом, який втратив статутний та додатковий власний капітал за рахунок постійної збитковості діяльності. Згідно з законами України підприємство, яке не має власного капіталу, повинно бути закрите;
3) Дебіторська заборгованість підприємства з рівня 2,639 млрд.грн. у 2003 році зросла до рівня 2,853 млрд.грн. у 2006 році, при цьому звертає на себе увагу великий обсяг списаних сум сумнівної дебіторської заборгованості;
4) Кредиторська заборгованість підприємства зменшилась з рівня 42,6 млн.грн. у 2003 році до рівня 104,3 млн.грн. у 2006 році;
5) Звертає на себе увагу зниження обсягів коштів по внутрішнім розрахункам з рівня 12,8 млрд.грн. у 2003 році до рівня 9,256 млрд.грн. у 2006 році, при цьому рівень дебіторської заборгованості з внутрішніх розрахунків знизився з рівня 5.406 млрд.грн. до рівня 0,641 млрд.грн. у 2006 році.
Таким чином, зменшення обсягів валюти балансу підприємства відбулося за рахунок згортання обсягів внутрішніх розрахунків в пасивах та активах балансу підприємства.
6) Обсяги довгострокових зобов’язань підприємства зросли з рівня 0,273 млрд.грн. у 2003 році до рівня 4,193 млрд.грн. у 2006 році;
7) Чистий валовий дохід від реалізації продукції зріс з рівня 11,38 млрд.грн. у 2003 році до рівня 11,22 млрд.грн. у 2006 році, при цьому рівень собівартості реалізованої продукції зріс з рівня 11,05 млрд.грн. у 2003 році до рівня 11,162 млрд.грн. у 2006 році;
8) Валовий прибуток від реалізації продукції підприємства становить 344,4 млн.грн. у 2003 році та знижується до рівня 57,7 млн.грн. у 2006 році;
9) Валовий операційний збиток підприємства з рівня -1,443 млрд.грн. у 2003 році зріс знижується до рівня збитку – 0,392 млрд.грн. у 2006 році;
10) Чистий збиток підприємства після оподаткування з рівня -1,218 млрд. грн. у 2003 році знижується до рівня збитку -0.581 млрд.грн. у 2005 році та різко зростає до рівня збитку -1,044 млрд.грн. у 2006 році;
11) Рівень ліквідності балансу підприємства характеризується наступними показниками:
- коефіцієнт загальної ліквідності становить 0,665 -0,499 при нормативному рівні не менше 2,0;
- коефіцієнт строкової ліквідності становить 0,194 у 2003році та зростає до рівня 0,315 у 2006 році при нормативному рівні не менше 0,7-0,8;
- коефіцієнт моментальної ліквідності становить 0,0 у 2003році та 0,012 у 2006 році при нормативному рівні не менше 0,2-0,35;
Таким чином, підприємство – неліквідне та несплатоспроможне
12) Коефіцієнт автономності становить негативне значення -0,363 у 2003 році та – 1,241 у 2006 році при нормативному значенні не менше 0,5, тобто підприємство є катастрофічно нестійким та повністю залежить від претензій кредиторів, не маючи власного страхового капіталу;
14) Стан фінансової стійкості по наявності джерел покриття запасів – катастрофічний за весь діапазон 2003 -2007 років, тобто рівень запасів не покривається джерелами коштів підприємства;
19) Рівень ймовірності банкрутства підприємства у 2003 -2006 роках по Альтману характеризується як максимальний –технічне банкрутство.
Невід'ємною складовою діяльності ДК "Газ України" в регіонах є тісні партнерські стосунки з 42 ВАТ з газопостачання та газифікації, які забезпечують постачання та транспортування природного газу кінцевим споживачам (рис.2.5). За договорами з ДК «Газ України» кожному з ВАТ з газопостачання та газифікації передані в управління обласні (чи міські) системи розподільних газопроводів низького тиску.
Система розподільних газопроводів низького тиску є природною монополією і складає єдиний техніко-технологічний комплекс загальнодержавного значення. Держава визнала його таким, що не підлягає приватизації, та передала підприємствам газового господарства у користування. ДК "Газ України", за дорученням НАК "Нафтогаз України", здійснює контроль за використанням державного майна, втіленням єдиної технічної політики.
Ще один важливий аспект співпраці - корпоративні відносини. За дору-ченням НАК "Нафтогаз України", ДК "Газ України" приймає участь в управ-лінні ВАТ з газопостачання та газифікації шляхом участі в роботі спостережних рад та ревізійних комісій.
| Вінницягаз |
| Волиньгаз |
| Гадячгаз |
| Дніпрогаз |
| Дніпропетровськгаз |
| Донецькміськгаз |
| Донецькоблгаз |
| Житомиргаз |
| Закарпатгаз |
| Запоріжгаз |
| Івано-Франківськгаз |
| Київгаз |
| Київоблгаз |
| Кіровоградгаз |
| Коростишівгаз |
| Кременчукгаз |
| Криворіжгаз |
| Кримгаз |
| Лубнигаз |
| Луганськгаз |
| Львівгаз |
| Макіївкагаз |
| Маріупольгаз |
| Мелітопольгаз |
| Миколаївгаз |
| Одесагаз |
| Полтавагаз |
| Рівнегаз |
| Севастопольгаз |
| Сумигаз |
| Тернопільгаз |
| Тернопільміськгаз |
| Тисменицягаз |
| Уманьгаз |
| Харківгаз |
| Харківміськгаз |
| Херсонгаз |
| Хмельницькгаз |
| Черкасигаз |
| Чернівцігаз |
| Чернігівгаз |
| Шепетівкагаз |
Рис.2.5.- Система 42 регіональних підприємства по постачанню та газифікації в областях України (відкриті акціонерні товариства) [108]
2.3 Аналіз моделей розрахунку за використаний природний газ з населенням, бюджетними установами, комунтеплоенерго,промисловістю , хімічною промисловістю
2.3.1 ДК «ГазУкраїни», ДК «Укртрансгаз», регіональні підприємства по газорозподілу та газопостачанню як інфраструктура постачанню газу населенню за регульованим тарифом
Згідно додатку 1 наказу НАК "Нафтогаз України" № 80 Від 27. 02 2003 р. з 2003 року був встановлений наступний «Порядок реалізації природного газу для забезпечення потреб населення та установ і організацій, що фінансуються з державного та місцевих бюджетів»:
1. Здійснювати продаж природного газу для забезпечення потреб населення (з урахуванням можливих втрат газу), установ та організацій, що фінансуються з державного та місцевих бюджетів через ВАТ з газопостачання та газифікації, ДКП „Київгаз" та Чернівецьку філію ДК "Газ України" за договорами з ДК "Газ України".
2. Продаж природного газу населенню, бюджетним установам та організацій Автономної Республіки Крим здійснювати ВАТ "Кримгаз" зресурсів ДАТ "Чорноморнафтогаз", а при їх нестачі - через ДК "Газ України".
Продаж природного газу населенню, бюджетним установам та організаціям м.Севастополя здійснювати ВАТ "Севастопольгаз" задоговорами з ДК "Газ України".
3. ВАТ з газопостачання та газифікації, ДКП "Київгаз" та Чернівецькій філії ДК «Газ України» укласти з ДК "Укртрансгаз", ДК "Укргазвидобування", ВАТ "Укрнафта" або ДАТ "Чорноморнафтогаз" договори на надання послуг з транспортування природного газу для потреб населення, бюджетних установ та організацій газопроводами газовидобувних та газотранспортних підприємств.
4. Розрахунки за природний газ, спожитий населенням, бюджетними установами та організаціями, проводити за такою схемою надходження та розподілу коштів:
- від населення (крім централізованих- розрахунків), бюджетних установ та організацій (крім централізованих розрахунків), кошти надходять на розподільні рахунки ВАТ з газопостачання та газифікації, ДКП "Київгаз" та Чернівецької філії ДК "Газ України" згідно з довідкою про розподіл коштів, затвердженою НАК "Нафтогаз України" відповідно до Алгоритму, затвердженого постановою НКРЕ;
- від населення (крім централізованих розрахунків), бюджетних установ та організацій (крім централізованих розрахунків) Автономної Республіки Крим кошти надходять на розподільні рахунки ВАТ "Кримгаз" та ВАТ "Севастопольгаз", з яких, за винятком тарифу на транспортування та постачання газу, перераховуються на поточний рахунок ДАТ "Чорноморнафтогаз" та на консолідований розподільний рахунок ДК "Газ України" згідно з довідкою про розподіл коштів, затвердженою НАК "Нафтогаз України" відповідно до Алгоритму, затвердженого постановою НКРЕ;
- при затвердженні довідок про розщеплення коштів надавати Департаменту податкової політики та економічного регулювання інформацію за підписом керівників та головних бухгалтерів про рух коштів на розподільному рахунку (суми надходжень та напрямки перерахування коштів).
5. Кошти від проведення централізованих розрахунків в частині фінансування пільг та субсидій населенню, а також бюджетних установ і організацій з урахуванням тарифу на транспортування природного газу розподільними та магістральними газопроводами з рахунків ВАТ з газопостачання та газифікації та Чернівецької філії ДК "Газ України" розподіляються на підставі щомісячного розподілу, затвердженого НАК "Нафтогаз України", на три потоки:
- ДК "Газ України" на рахунки, відкриті в Державному і казначействі України, в частині вартості газу за договорами купівлі-продажу газу для населення та бюджетних установ і організацій;
- ДК "Газ України" на рахунки, відкриті в Державному казначействі України, в частині розрахунків ВАТ з газопостачання та газифікації за договорами купівлі-продажу газу для власних або виробничо-технологічних потреб (у разі відсутності заборгованості за зазначеними договорами - в частині погашення заборгованості за договорами купівлі- продажу газу, яка склалася на 01.02.03, в першу чергу отриманого для власних та виробничо-технологічних потреб, в разі нестачі - заборгованості, за якою минає строк позовної давності) за рахунок належної ВАТ частки вартості послуг з транспортування та постачання газу в сумі отриманих централізованих коштів. У разі перевищення за підсумками кварталу вартості наданих послуг з транспортування газу над вартістю газу для власних або виробничо-технологічних потреб у довідці про розщеплення коштів на наступний квартал збільшується відсоток розподілу коштів на поточний рахунок ВАТ з газопостачання та газифікації;
- ДК "Укртрансгаз" та її філіям і іншим підприємствам, що входять до складу НАК "Нафтогаз України", - в частині вартості наданих транспортних послуг підприємствами за договорами на транспортування газу. Отримані кошти ДК "Укртрансгаз" перераховує НАК "Нафтогаз України" за договорами купівлі- продажу газу для власних та виробничо-технологічних потреб.
6. ДК "Газ України" кошти, отримані від проведення централізованих розрахунків, перераховує НАК "Нафтогаз України" за договорами купівлі- продажу газу для населення та бюджетних установ і організацій.
7. ДК "Газ України" щомісяця, до 25 числа місяця, наступного за звітним, подавати до Департаменту податкової політики та економічного регулювання НАК "Нафтогаз України" довідку про суми проведених розрахунків ВАТ з газопостачання та газифікації, ДКП "Київгаз" в частині пільг і субсидій населенню, інших централізованих розрахунків, вартість газу використаного на власні, технологічні потреби (в т.ч. нормовані втрати) за формою, що додається.
8. ВАТ з газопостачання та газифікації щоквартально до 25 числа місяця, що передує наступному кварталу, подавати до Департаменту податкової політики та економічного регулювання НАК "Нафтогаз України" довідку про стан розрахунків з ДК "Укртрансгаз" і її філіями та іншими підприємствами, що входять до складу НАК "Нафтогаз України", за формою, що додається.
Згідно постанові КМУ від 8 грудня 2006 року № 1697 «ТИМЧАСОВИЙ ПОРЯДОК установлення роздрібних цін на природний газ для потреб населення» [29] визначає механізм розрахунку та затвердження роздрібних цін на природний газ, що постачається населенню.
Роздрібні ціни на природний газ диференціюються залежно:
- від річного обсягу його споживання населенням;
- від наявності лічильників природного газу.
- за відсутності газових лічильників роздрібна ціна на природний газ збільшується на 10 відсотків.
Терміни, що вживаються у цьому Тимчасовому порядку, мають таке значення:
- загальний тариф на послуги з транспортування природного газу - сума розрахункового середнього тарифу на транспортування природного газу магістральними трубопроводами та середньозваженого тарифу на послуги з його транспортування розподільними трубопроводами;
- роздрібна ціна на природний газ - ціна, за якою населення сплачує вартість природного газу залежно від обсягу споживання;
- середня ціна реалізації природного газу - розрахункова цін реалізації природного газу з урахуванням тарифів на послуги з його транспортування, розподілу і постачання, податків і зборів;
- середньозважений тариф на послуги з транспортування природного газу розподільними трубопроводами - тариф, розрахований виходячи з тарифів на транспортування природного газу розподільними трубопроводами та річного обсягу його транспортування;
- середньозважений тариф на постачання природного газу - тариф, розрахований виходячи з тарифів на постачання природного газу та річного обсягу його постачання;
- ціна природного газу як товару - середньозважена ціна природного газу, видобутого вітчизняними підприємствами на території України (далі - газ власного видобутку), та інших ресурсів природного газу НАК "Нафтогаз України", що використовується для потреб населення згідно із законодавством;
- суб'єкт господарювання, що здійснює видобування природного газу - підприємство, частка держави у статутному фонді якого перевищує 50 відсотків, господарське товариство, більше ніж 50 відсотків акцій (часток, паїв) якого знаходиться у статутних фондах інших господарських товариств, акціонером яких є держава і володіє в них контрольним пакетом акцій, а також дочірні підприємства, представництва та філії таких підприємств і товариств, учасники договорів про спільну діяльність, та/або особи, уповноважені договорами про спільну діяльність, укладеними за участю зазначених підприємств;
- граничний рівень оптової ціни на природний газ - максимальна ціна природного газу власного видобутку суб'єкта господарювання, що здійснює його видобування, прийнята до розрахунку ціни природного газу як товару з урахуванням збору у вигляді цільової надбавки до тарифу на природний газ, встановленої законодавством, загального тарифу на послуги з транспортування природного газу та середньозваженого тарифу на його постачання;
- розрахунковий середній тариф на транспортування природного газу магістральними трубопроводами - тариф, розрахований з урахуванням загальних витрат газотранспортного підприємства (крім витрат, пов'язаних з транспортуванням природного газу магістральними трубопроводами для споживачів, власні газопроводи яких безпосередньо підключені до магістральних газопроводів), пов'язаних з транспортуванням природного газу та обсягу його транспортування магістральними трубопроводами (без урахування обсягів транспортування природного газу для споживачів, власні газопроводи яких безпосередньо підключені до магістральних газопроводів).
Розрахунок ціни природного газу
1. Ціна природного газу як товару визначається за формулою
| бЦ1 х V1 + Ц2 х V2 + Ц3 х V3 ... + Цн х Vнс + Цім х Vім | ||
| Цтов | = | ______________________________________________, |
| бV1 + V2 +V3 ... + Vнс + Vім |
(2.1)
де Ц1, Ц2, Ц3 ... Цн - ціни на природний газ власного видобутку (без урахування податку на додану вартість);
Цім - ціна імпортованого природного газу;
V1, V2, V3... Vн - обсяги товарного відпуску природного газу газодобувними підприємствами;
Vім - обсяг імпортованого природного газу.
2. Середня ціна реалізації природного газу визначається за формулою
Цсередня = (Цтов + Вр) х Кцн + Тзаг + Тпост, (2.2)
де Цтов - ціна природного газу як товару (без урахування податку на додану вартість);
Кцн - коефіцієнт, що враховує цільову надбавку;
Тзаг - загальний тариф на послуги з транспортування природного газу (без урахування податку на додану вартість);
Тпост - середньозважений тариф на постачання природного газу (без урахування податку на додану вартість);
Вр - питомі витрати НАК "Нафтогаз України", пов'язані з реалізацією природного газу населенню.
21. Граничний рівень оптової ціни на природний газ визначається за формулою
Цгр = Цмакс. вл. видоб -х Кцн + Тзаг + Тпост, (2.3)
де Цмакс. вл. видоб - максимальна ціна природного газу власного видобутку суб'єктів господарювання, що здійснюють його видобування, з цін Ц1 Ц2, Ц3,...Цн, взятих для розрахунку ціни природного газу як товару, погоджених Мінпаливенерго, Мінприроди для підприємств, що належать до сфери їх управління та НКРЕ.
3. Диференціація обсягів природного газу визначається НКРЕ на підставі подання НАК "Нафтогаз України" з урахуванням дотримання вартісного балансу за формулами
Цсередня х Vзаг х Кпдв = SЦрозд i х Vдиф i ; (2.4)
Vзаг = SVдиф i ,
де Цсередня - середня ціна реалізації природного газу;
Vзаг - загальний обсяг реалізації природного газу;
Црозд i - роздрібна ціна природного газу, встановлена залежно від річного обсягу його споживання населенням (з урахуванням податку на додану вартість);
Vдиф i - обсяг споживання природного газу населенням у відповідній за даним показником категорії, для якої встановлена відповідна роздрібна ціна;
КПДВ - коефіцієнт, що враховує ставку податку на додану вартість.
4. Закупівельні ціни на природний газ для газопостачальних підприємств визначаються виходячи з роздрібних цін, затверджених для окремих категорій населення залежно від річних обсягів споживання, за вирахуванням цільової надбавки, що установлена законодавством, загального тарифу на транспортування природного газу та тарифу на його постачання.
5. НКРЕ встановлює роздрібні ціни на природний газ, для чого:
1) аналізує такі матеріали, подані НАК "Нафтогаз України":
- розрахунок ціни природного газу власного видобутку з обґрунтуванням її складових (зокрема, величини повної собівартості видобутку природного газу, капітальних вкладень та всіх обов'язкових платежів до бюджету) і пояснювальною запискою на розрахунковий період, складеною з урахуванням звітних даних за попередній рік в цілому по Компанії та у розрізі газодобувних підприємств;
- обґрунтування витрат, пов'язаних з реалізацією природного газу, та їх складових;
- аналітично-статистичні дані про споживання природного газу населенням, розподіл загальних обсягів за структурою використання та групування за річними обсягами споживання, наявність лічильників на розрахунковий період, відповідні звіти за попередній рік;
- пропозиції щодо диференціації роздрібних цін на природий газ з урахуванням вимог пунктів 2 і 6 цього Тимчасового порядку;
2) на підставі їх аналізів проводить розрахунок роздрібних цін на природний газ, узгоджує їх з Мінекономіки та приймає рішення про затвердження зазначених цін у порядку, передбаченому Регламентом НКРЕ.
6. Перегляд роздрібних цін на природний газ здійснюється НКРЕ як з власної ініціативи, так і за поданням НАК "Нафтогаз України" у разі зміни ціни природного газу як товару, внесення змін до відповідних нормативно-правових актів, виникнення інших обставин, що значно впливають на величину встановлених роздрібних цін.
Згідно з постановою НКРЕ від 4 вересня 2002 р. N 983 «МЕТОДИКАрозрахунку тарифів на транспортування та постачання природного газу для підприємств з газопостачання та газифікації» [30] розроблена відповідно до Закону України "Про природні монополії", Закону України "Про нафту і газ", Указу Президента України від 21.04.98 N 335 "Питання Національної комісії регулювання електроенергетики України", постанови Кабінету Міністрів України від 25.12.96 N 1548 "Про встановлення повноважень органів виконавчої влади та виконавчих органів міських рад щодо регулювання цін (тарифів)" та визначає принципи формування, порядок регулювання і розрахунку тарифів на послуги з транспортування та постачання природного газу для підприємств з газопостачання та газифікації.
Методика призначена для розрахунку тарифів на послуги з транспортування природного газу розподільними трубопроводами та постачання природного газу за регульованим тарифом для споживачів України.
Вартість послуг з транспортування та постачання природного газу є складовою відпускної ціни на природний газ для споживачів.
Оплата послуг з транспортування та постачання природного газу здійснюється споживачами природного газу (замовниками) за тарифами, визначеними згідно з цією Методикою.
Тарифи, визначені за цією Методикою, повинні забезпечувати підприємствам з газопостачання та газифікації:
- покриття економічно обґрунтованих витрат виробництва;
- отримання передбаченого планом прибутку, достатнього для забезпечення нормальної виробничо-господарської діяльності;
- сплату всіх податків, обов'язкових платежів та бюджетних відрахувань відповідно до чинного законодавства України.
Тарифи на послуги з транспортування та постачання природного газу є однаковими для всіх замовників цих послуг на території здійснення підприємством ліцензованої діяльності з транспортування природного газу розподільними трубопроводами та постачання природного газу за регульованим тарифом.
Методика базується на методі, розрахованому на основі витрат (собівартості). Методика враховує особливості діяльності підприємств, які транспортують та постачають природний газ споживачам. Методика застосовується на підприємствах незалежно від їх форм власності, у структурних підрозділах підприємств, виділених в окрему планово-облікову одиницю, що виконують і надають послуги з транспортування та постачання природного газу.
Інформація, яка обґрунтовує розрахунки тарифів, та інші вихідні матеріали, що використані при формуванні тарифів, повинні бути доступні для контролю та перевірки Національній комісії регулювання електроенергетики України (НКРЕ).
При розрахунку тарифів як основний розрахунковий і контрольний показник використовується планова тарифна виручка. Тарифи на транспортування та постачання природного газу розраховуються підприємствами з газопостачання та газифікації і надаються для розгляду та затвердження до НКРЕ.
У цій Методиці терміни та визначення вживаються в такому значенні:
- газопровід - трубопровід, призначений для транспортування газу;
- газорозподільні мережі (розподільні трубопроводи) - газопроводи (високого, середнього та низького тиску), які забезпечують транспортування газу від газорозподільних станцій, джерел газопостачання до газорозподільних пунктів, промислових котелень та до споживачів;
- газорозподільні підприємства - суб'єкти підприємницької діяльності, які здійснюють транспортування природного газу газорозподільними мережами між окремими споживачами;
- газопостачальні підприємства - суб'єкти підприємницької діяльності, які здійснюють постачання природного газу безпосередньо споживачу на підставі укладених договорів та отримали відповідну ліцензію НКРЕ;
- газотранспортні підприємства - суб'єкти підприємницької діяльності, які забезпечують транспортування газу магістральними газопроводами до газорозподільних мереж або до споживачів та отримали відповідну ліцензію НКРЕ;
- замовник - суб'єкт підприємницької діяльності (фізична або юридична особа), який уклав з газотранспортним підприємством договір на транспортування природного газу розподільними трубопроводами та постачання природного газу;
- ліцензіат - суб'єкт підприємницької діяльності, який в установленому законодавством порядку одержав ліцензію на здійснення підприємницької діяльності з транспортування природного газу розподільними трубопроводами (чи на постачання природного газу за регульованим тарифом);
- газові прилади, пристрої - плити, котли, водонагрівачі та інше побутове устаткування, в якому використовується газ;
- постачання природного газу - послуга, яка передбачає реалізацію природного газу шляхом подачі (транспортування) його до споживача;
- тариф на транспортування природного газу - вартість послуг з транспортування 1000 кубічних метрів природного газу газорозподільними мережами, яка забезпечує покриття виправданих витрат, отримання обґрунтованого прибутку, сплату податків, обов'язкових платежів та відрахувань ліцензіата;
- тариф на постачання природного газу - вартість послуг з постачання 1000 кубічних метрів природного газу, яка забезпечує покриття виправданих витрат, отримання обґрунтованого прибутку, сплату податків, обов'язкових платежів та відрахувань ліцензіата;
Формування роздрібної ціни
1. Підприємства з газопостачання та газифікації мають право одержувати від споживачів, яким вони постачають природний газ, плату за роздрібними цінами, що формуються, виходячи з установлених НКРЕ правил ціноутворення на газ та послуги з його транспортування, зберігання та постачання.
2. Роздрібна ціна природного газу для споживачів, якщо інше не встановлено актами законодавства, розраховується за формулою:
Цр = Цс.з. + ТТ.М. + ТТ. Р. + ТЗБ. + ТП., (2.5)
де:
Цр - роздрібна ціна природного газу для споживачів, грн./1000 м3;
Цс.з. - середньозважена ціна природного газу на розрахунковий період, до складу якої входять закупівельні або ціни газу власного видобутку, або ціна, передбачена прейскурантом і затверджена уповноваженим (вищестоящим) органом, грн./1000 м3;
ТТ.М. - тариф на транспортування природного газу магістральними газопроводами, грн./1000 м3;
ТТ.Р. - тариф на транспортування природного газу газорозподільними мережами, грн./1000 м3;
ТЗБ. - середньозважений тариф на зберігання природного газу, грн./1000 м3;
ТП. - тариф на постачання природного газу споживачам, грн./1000 м3.
3. Тариф на транспортування природного газу розподільними трубопроводами та тариф на постачання природного газу за регульованим тарифом є складовими загальної ціни реалізації природного газу.
4. Витрати підприємства на транспортування 1000 м3 природного газу є основою для розрахунку тарифу на транспортування природного газу розподільними трубопроводами.
5. Витрати підприємства на постачання 1000 м3 природного газу є основою для розрахунку тарифу на постачання природного газу.
Розрахунок тарифів
1. Основними аналітичними показниками при визначенні тарифів на послуги з транспортування і постачання природного газу є витрати підприємства і обсяги протранспортованого та поставленого споживачам природного газу.
2. Витрати підприємства на транспортування та постачання природного газу визначаються згідно з національним Положенням (стандартом) бухгалтерського обліку 16 "Витрати" та Методичним положенням по плануванню, обліку і калькулюванню собівартості продукції (робіт, послуг) за економічними елементами витрат на підприємствах з газопостачання та газифікації та їх структурних підрозділах.
Облік витрат підприємствами з газопостачання та газифікації ведеться окремо по кожному виду діяльності, а саме:
витрати на транспортування газорозподільними мережами;
витрати на постачання;
витрати на реалізацію скрапленого газу;
витрати на інші види робіт (послуг).
3. Обсяг протранспортованого природного газу визначається за показниками приладів обліку газу.
4. Обсяг поставленого споживачам природного газу визначається за показниками приладів обліку газу, а, за відсутності приладів (для населення), за встановленими нормами споживання.
5. Для всіх споживачів природного газу, незалежно від категорії, тариф на послуги з транспортування природного газу розподільними трубопроводами єдиний і розраховується за формулою:
| ВТР + Пр + К | |||
| ТТ.Р. | = | ____________, | (2.6) |
| QТР - QТП |
де:
ТТ.Р. - тариф на транспортування природного газу розподільними трубопроводами, грн./1000 м3;
ВТР - сума експлуатаційних витрат підприємства на транспортування природного газу, розраховується відповідно до Методичного положення по плануванню, обліку і калькулюванню собівартості продукції (робіт, послуг) за економічними елементами на підприємствах по газопостачанню і газифікації, грн.;
ПР - плановий прибуток підприємства, необхідний для забезпечення фінансування інвестицій і надійного газозабезпечення споживачів природного газу, розраховується підприємством з газопостачання та газифікації і затверджується НКРЕ, грн.;
К - кошти, що направляються на обслуговування власного і залученого капіталу та активів, грн.;
QТР - загальний річний обсяг природного газу, що транспортується розподільними трубопроводами підприємств з газопостачання та газифікації, 1000 м3;
QТП - власні, нормовані виробничо-технологічні витрати та втрати природного газу (технічно неминучий убуток) підприємства з газопостачання та газифікації, 1000 м3.
Обсяги транспортування природного газу розподільними трубопроводами приймаються у відповідності з договірними, плановими обсягами в розрахунку на рік без врахування власних нормованих виробничо-технологічних витрат та втрат природного газу.
У випадках, якщо договірна компанія не завершена до моменту затвердження тарифів, то обсяги транспортування природного газу визначаються як середній фактичний обсяг за попередні 3 роки з урахуванням прогнозних змін.
6. Для усіх споживачів природного газу, незалежно від групи, тариф на послуги з постачання природного газу розраховується за формулою:
| ВП + ПР + К | |||
| ТП | = | _________, | (2.7) |
| QП |
де:
ТП - тариф на постачання природного газу, грн./1000 м3;
ВП - сума експлуатаційних витрат підприємства на постачання природного газу споживачам, розраховується відповідно до Методичного положення по плануванню, обліку і калькулюванню собівартості продукції (робіт, послуг) за економічними елементами на підприємствах по газопостачанню і газифікації, грн.;
ПР - плановий прибуток підприємства, необхідний для забезпечення фінансування інвестицій і надійного газозабезпечення споживачів природного газу, розраховується підприємством з газопостачання та газифікації і затверджується НКРЕ, грн.;
К - кошти, що направляються на обслуговування власного і залученого капіталу та активів, грн.;
QП - загальний річний обсяг поставленого споживачам природного газу підприємством з газопостачання та газифікації, 1000 м3.
Обсяги постачання природного газу споживачам приймаються у відповідності з договірними, плановими обсягами в розрахунку на рік без врахування власних нормованих виробничо-технологічних витрат та втрат природного газу.
У випадках, якщо договірна компанія не завершена до моменту затвердження тарифів, то обсяги постачання природного газу визначаються як середній фактичний обсяг за попередні 3 роки з урахуванням прогнозних змін.
Склад та класифікація витрат
1. Сума витрат за елементами приймається для розрахунку на базі звітних даних за попередній рік з урахуванням введення в експлуатацію нових систем газопостачання в плановому періоді та встановлених норм витрат матеріальних ресурсів для виробництва, виконання робіт, надання послуг по обслуговуванню систем газопостачання:
норми витрат праці, розрахунки чисельності та професійного складу робітників;
економічні нормативи: норми амортизаційних відрахувань, відрахувань на соціальні заходи, податків, зборів та інших обов'язкових платежів, передбачених законодавством, тощо.
2. Витрати з транспортування природного газу в значній мірі залежать від обсягу робіт при обслуговуванні, утриманні і експлуатації систем газопостачання, а саме:
кількості газопроводів високого, середнього, низького тиску (розподільних мереж), внутрішньоквартальних, внутрішньодворових і споруд на них, ГГРП (головних газорегуляторних пунктів), ГРП (газорегуляторних пунктів), ШРП (шафових регуляторних пунктів), які забезпечують транспортування газу від газорозподільних станцій (ГРС) до усіх споживачів;
кількості станцій катодного захисту;
наявності систем хімзахисту газопроводів від корозії;
наявності систем телемеханіки і зв'язку;
кількості побутових та промислових приладів обліку газу;
кількості газифікованих квартир та опалювальних в них приладів (газових плит, газових водонагрівачів, опалювальних печей тощо);
кількості газифікованих об'єктів, промислових підприємств, підприємств теплокомуненергетики, бюджетних установ і організацій;
утримання усіх вищезазначених систем газопостачання, а також утримання будівель і приміщень, оренда будівель і приміщень;
утримання спеціалізованого автотранспорту;
наявності обчислювальної техніки;
інших адміністративних та загальногосподарських витрат; крім тієї частини, яка розподілена пропорційно обсягу робіт, послуг та інш.;
кількості встановлених приладів обліку газу.
Перелік статей витрат на транспортування природного газу розподільними мережами визначається згідно форми 1-С (газопостачання) "Звіт про надання послуг та фінансові результати діяльності".
Враховуючи специфіку роботи підприємств з транспортування та постачання природного газу, загальноексплуатаційні, загальновиробничі витрати, пов'язані з утриманням і обслуговуванням систем газопостачання і споруд на них, мають стабільний характер і майже не залежать від обсягу транспортування газу.
Витрати на транспортування та постачання природного газу не залежать від кількості протранспортованого (поставленого) газу, але можуть збільшуватись (зменшуватись), враховуючи галузеві фактори (наприклад, введення в дію нових газопроводів і споруд на них; створення нових служб, цехів та інш.).
Величина тарифу на послуги з транспортування 1000 м3 природного газу розподільними мережами повинна забезпечувати покриття виправданих витрат на утримання і розвиток газотранспортної розподільної системи, отримання обґрунтованого прибутку, сплату податків, обов'язкових платежів, зборів та відрахувань в залежності від обсягу протранспортованого природного газу, виходячи з необхідності повного відшкодування усіх витрат протягом планового періоду.
3. Витрати з постачання природного газу в значній мірі залежать від обсягу робіт при обслуговуванні: кількості споживачів природного газу, від кількості укладених договорів на постачання природного газу.
До них відносяться витрати, пов'язані з:
проведенням обліку газу;
контролем і розрахунками за спожитий газ, збором коштів від споживачів;
виставленням рахунків;
розрахунками з постачальниками газу;
оформленням актів звірок;
використанням автотранспорту;
використанням обчислювальної техніки;
утриманням вищезазначених служб, дільниць, а також утримання (оренда) будівель, приміщень;
амортизацією основних фондів;
інші адміністративні та загальногосподарські витрати.
Витрати на постачання природного газу за регульованим тарифом визначається згідно форми 1-С (газопостачання) "Звіт про надання послуг та фінансові результати діяльності".
Витрати на постачання природного газу можуть збільшуватись (зменшуватись), враховуючи галузеві фактори (наприклад, введення в дію нових приладів, створення нових служб, цехів та інш.).
Величина тарифу (послуг) на постачання 1000 куб. метрів природного газу розраховується таким чином, щоб забезпечити відшкодування обґрунтованих витрат при обслуговуванні споживачів газу, отримання прибутку, сплату податків, обов'язкових платежів та відрахувань в залежності від обсягу поставленого газу споживачам протягом планового періоду.
Підставою для визначення фактичних витрат та розрахунку обґрунтованих тарифів на послуги з транспортування та постачання природного газу є звітні дані форми 1-С (газопостачання) "Звіт про надання послуг та фінансові результати діяльності" по видах діяльності за економічними елементами.
4. Розрахунок витрат на послуги з транспортування природного газу розподільними мережами розраховується підприємствами з газопостачання та газифікації і затверджується НКРЕ (додаток 1).
5. Розрахунок витрат на послуги з постачання природного газу розраховується підприємствами з газопостачання та газифікації і затверджується НКРЕ (додаток 2).
6. Плановий прибуток підприємств з газопостачання та газифікації встановлюється таким чином, щоб забезпечити:
- фінансування економічно обґрунтованих і узгоджених з НКРЕ програм технічного переоснащення, капітального ремонту, заміни, модернізації, реконструкції, консервації і технічної ліквідації основних виробничих фондів (ОВФ), науково-дослідних, дослідно-конструкторських розробок у частині, що не покривається амортизаційними відрахуваннями;
- фінансування економічно обґрунтованих соціальних програм;
- сплату податків згідно з діючим законодавством і нормативними актами України;
- коштами, що направляються на обслуговування власного і залученого капіталу.
Плановий прибуток підприємств з газопостачання та газифікації визначається, виходячи із затверджених інвестиційних програм розвитку. Підприємства розробляють інвестиційні програми та подають на розгляд до НКРЕ.
Програми, як правило, розробляються на 3 - 5 років та розбиваються по роках та напрямках впровадження.
Інвестиційні програми повинні містити інформацію щодо доцільності впровадження того чи іншого заходу, а також вказувати ефективність від його здійснення.
НКРЕ розглядає представлену програму та приймає рішення щодо врахування витрат програми в повному обсязі чи частково при розрахунку тарифів на транспортування та постачання природного газу.
Підприємства з газопостачання та газифікації звітують перед НКРЕ щодо цільового використання коштів на виконання затверджених інвестиційних програм двічі на рік (за результатами піврічного та річного звітів).
При умові нецільового використання коштів, закладених при розрахунку тарифів, не пов'язаних з виконанням програм, Комісія може прийняти рішення щодо зниження розміру тарифів на транспортування або постачання природного газу.
Розрахунок прибутку, необхідного для забезпечення господарської діяльності підприємства з газопостачання та газифікації, щорічно подається на погодження НКРЕ.
7. До складу тарифів на транспортування та постачання природного газу включаються всі податки, обов'язкові платежі та відрахування, обумовлені чинним законодавством України, у тому числі податок на прибуток підприємства.
Податок на додану вартість (ПДВ) при розрахунку тарифів не враховується, а додається до них.
Згідно Постанові КМУ «Деякі питання діяльності Національної акціонерної компанії "Нафтогаз України"» [44 ] - установлено з 1 січня 2008 р. граничні рівні цін на природний газ для населення та рекомендаціїНаціональній комісії регулювання електроенергетики здійснити в установленому законодавством порядку за умови незмінності діючих тарифів на розподіл і постачання природного газу поетапне щомісячне підвищення протягом травня - грудня 2008 р. (у межах річних обсягів споживання природного газу до 12 тис. куб. метрів на 3 відсотки, понад 12 тис. куб. метрів - на 5 відсотків) роздрібних цін на природний газ, що використовується для потреб населення, диференційованих залежно від річного обсягу споживання, з урахуванням встановлення на 1 грудня 2008 р. таких граничних рівнів цін, за умови, що обсяг споживання природного газу:
- не перевищує 2 500 куб. метрів на рік, - 404,44 гривні за 1 тис. куб. метрів;
- не перевищує 6 000 куб. метрів на рік, - 611,44 гривні за 1 тис. куб. метрів;
- не перевищує 12 000 куб. метрів на рік, - 1305,85 гривні за 1 тис. куб. метрів;
- перевищує 12 000 куб. метрів на рік, - 1741,67 гривні за 1 тис. куб. метрів.
Згідно Постанові КМУ «Про забезпечення споживачів природним газом» [20] у 2008 році встановлено, що потреба в природному газі задовольняється для населення - з ресурсу природного газу, який формується за рахунок продажу підприємствами, частка держави у статутному фонді яких перевищує 50 відсотків, господарськими товариствами, більш як 50 відсотків акцій (часток, паїв) яких перебуває у статутних фондах інших господарських товариств, контрольним пакетом акцій яких володіє держава, а також дочірніми підприємствами, представництвами та філіями таких підприємств і товариств, учасниками договорів про спільну діяльність, укладених за участю зазначених підприємств і товариств, та/або уповноваженими такими договорами особами Національній акціонерній компанії "Нафтогаз України" всього обсягу природного газу (в тому числі нафтового (попутного) газу) власного видобутку, який здійснюється на підставі спеціальних дозволів на користування надрами (за винятком обсягів газу, що використовується видобувними підприємствами відповідно до напрямів, визначених прогнозним річним балансом находження та розподілу природного газу по Україні, що затверджений Кабінетом Міністрів України), а у разі нестачі - за рахунок інших ресурсів Національної акціонерної компанії "Нафтогаз України".
Національна акціонерна компанія "Нафтогаз України" є уповноваженим суб'єктом з формування і розпорядження ресурсами природного газу, що використовується для задоволення потреб населення.
Підприємства реалізують видобутий природний газ (за винятком обсягів газу, що використовується видобувними підприємствами відповідно до напрямів, визначених прогнозним річним балансом надходження та розподілу природного газу по Україні, що затверджений Кабінетом Міністрів України) виключно Національній акціонерній компанії "Нафтогаз України" за ціною, затвердженою Національною комісією регулювання електроенергетики для кожного суб'єкта господарювання.
Реалізація природного газу для задоволення потреб населення здійснюється суб'єктами господарювання, що мають ліцензію на постачання природного газу за регульованим тарифом, за роздрібними цінами, встановленими Національною комісією регулювання електроенергетики.
Схема фінансових розрахунків за спожитий газ для населення формується згідно формули кінечної ціни споживача та відповідних нормативних правил, при цьому для населення НКРЕ в формулі ціни встановлений граничний норматив кінечної ціни споживача з врахуванням всіх податків та надбавок :
Ціна природного газу для споживачів - населення, якщо інше не встановлено актами законодавства, розраховується за формулою
Ц1 = (Цвиробн. + Тт.м. + Тт.р. + Тзб. + Тпос.)*(1+ЦН/100%)*(1+ПДВ/100%), (2.8)
де
Ц1 – регулюємий НКРЕ рівень кінечної ціни для споживача – населення;
Цвиробн– встановлена регульована ціна, за якою ДК «ГазУкраїни» оплачує підприємствам –газовидобувнікам України ціни газу власного Видобутку в Україні (включає рентну плату за добування+ збір за геологорозвід.роботи+ збір за використання надр);
Тт.м. - тариф на транспортування газу магістральним газопроводом ДК «Укртрансгаз» від підприємства-газодобувніка до газорозподільних мереж ВАТ по постачанню та газифікаціх в регіоні;
Тт.р. - тариф на транспортування газу газорозподільними мережами ВАТ по постачанню та газифікаціх в регіоні;
Тзб. - тариф на зберігання природного газу;
Тпос. - тариф на постачання природного газу споживачам;
ЦН – цільова надбавка на сумарний тариф постачання споживачам;
ПДВ – податок на додану вартість (20%);
В формулі (2.8) НКРЕ регулює всі складові цін, тому від якості розрахунків по регулюванню цін залежить економічний стан суб’єктів газового ринку в цьому сегменті, оскільки при перевищенні собівартістю послуг встановленої ціни реалізації для окремих операцій – така форма регулювання є свідомим шляхом до банкрутства частини учасників ринку поставки газу.
2.3.2 ДК «ГазУкраїни», ДК «Укртрансгаз», регіональні підприємства по газорозподілу та газопостачанню як інфраструктура постачанню газу бюджетним установам за регульованим тарифом
Згідно Постанові КМУ «Деякі питання діяльності Національної акціонерної компанії "Нафтогаз України"» [44] - установлено з 1 січня 2008 р. граничні рівні цін на природний газ для установ та організацій, що фінансуються з державного і місцевих бюджетів, без урахування податку на додану вартість, збору до затвердженого тарифу на природний газ у вигляді цільової надбавки, тарифів на його транспортування, розподіл і постачання
та витрат на його реалізацію Національною акціонерною компанією "Нафтогаз України" на рівні 934,7 гривні за 1 тис. куб. метрів;
Згідно Постанові КМУ «Про забезпечення споживачів природним газом» [20] у 2008 році встановлено, що потреба в природному газі задовольняється:
5) для установ та організацій, що фінансуються з державного і місцевих бюджетів - з ресурсів газу:
- Національної акціонерної компанії "Нафтогаз України",
отриманих за зовнішньоекономічними контрактами та договорами купівлі-продажу;
- суб'єктів господарювання, що здійснюють видобуток природного газу, крім обсягів газу, які згідно з абзацами першим і третім підпункту 1 пункту 2 цієї постанови підлягають продажу Національній акціонерній компанії "Нафтогаз України";
Реалізація природного газу для задоволення потреб бюджетних установ здійснюється суб'єктами господарювання, що мають ліцензію на постачання природного газу за регульованим тарифом, за роздрібними цінами, встанов-леними Національною комісією регулювання електроенергетики.
Схема фінансових розрахунків за спожитий газ для бюджетних установ формується згідно формули кінечної ціни споживача та відповідних нормативних правил, при цьому для населення НКРЕ в формулі ціни встановлений граничний норматив кінечної ціни споживача без врахуванням всіх податків та надбавок :
Ціна природного газу для споживачів – бюджетних підприємств, якщо інше не встановлено актами законодавства, розраховується за формулою
Ц2 = (Цімпорт. бюдж.+ Тт.м. + Тт.р. + Тзб. + Тпос.)*(1+ЦН/100%) *(1+ПДВ/100%), (2.9)
де
Ц2 – нерегулюємий НКРЕ рівень кінечної ціни для споживача – населення з усіма надбавками;
Цімпорт.бюдж. – встановлена НКРЕ регульована ціна вартості імпортного газу для бюджетних установ без ПДВ та всіх надбавок Тт.м. – регульований тариф на транспортування газу магістральним газопроводом ДК «Укртрансгаз» від підприємства-газодобувніка до газорозподільних мереж ВАТ по постачанню та газифікаціх в регіоні; Тт.р. – регульований тариф на транспортування газу газорозподільними мережами ВАТ по постачанню та газифікаціх в регіоні;
Тзб. – регульований тариф на зберігання природного газу;
Тпос. – регульований тариф на постачання природного газу споживачам;
ЦН – цільова надбавка на сумарний тариф постачання споживачам;
ПДВ – податок на додану вартість (20%);
В формулі (2.9) НКРЕ регулює всі складові цін, тому від якості розрахунків по регулюванню цін залежить економічний стан суб’єктів газового ринку в цьому сегменті, оскільки при перевищенні собівартістю послуг встановленої ціни реалізації для окремих операцій – така форма регулювання є свідомим шляхом до банкрутства частини учасників ринку поставки газу.
2.3.3 ДК «ГазУкраїни», ДК «Укртрансгаз», регіональні підприємства по газорозподілу та газопостачанню як інфраструктура постачанню газу підприємствам комунальних ТЕК за регульованим тарифом
Згідно Додатку 2 до наказу НАК "Нафтогаз України" № 80 від 27. 02 2003р. з 2003 року діяв наступний « Порядок забезпечення природним газом підприємств комунальної теплоенергетики та котелень промислових підприємств, які виробляють теплоносії для населення, бюджетних установ і організацій»
1. Продаж природного газу підприємствам комунальної теплоенергетики та котельням промислових підприємств, що виробляють теплоносії для населення, бюджетних установ і організацій (за умови ведення цими підприємствами окремого приладного та бухгалтерського обліку тепла та гарячої води для зазначеної категорії споживачів), здійснює ДК "Газ України" з ресурсів НАК "Нафтогаз України" без урахування тарифу на транспортування природного газу.
2. ВАТ з газопостачання і газифікації, ДКП „Київгаз", ДК "Укртрансгаз", ДК "Укргазвидобування", ВАТ „Укрнафта" та ДАТ "Чорноморнафтогаз" укладають прямі договори з підприємствами теплоенергетики, які виробляють теплоносії для населення, бюджетних установ та організацій, про надання послуг з транспортування природного газу.
3. Розрахунки за природний газ, спожитий підприємствами комунальної теплоенергетики та котельними промислових підприємств, що виробляють теплоносії для населення, бюджетних установ і організацій, а також за надані, послуги з його транспортування проводити за такою схемою надходження та розподілу коштів:
- від зазначеної категорії споживачів (крім централізованих розрахунків) за спожитий природний газ, отриманий за договорами купівлі-продажу, кошти надходять на консолідований розподільний рахунок ДК "Газ України";
- від зазначеної категорії споживачів (крім централізованих розрахунків) за надані послуги з транспортування природного газу отримані кошти надходять на розрахункові рахунки газотранспортних та газорозподільних підприємств відповідно до укладених договорів.
4. Кошти від проведення централізованих розрахунків в частині фінансування пільг та субсидій населенню на оплату теплоносіїв за складовою природного газу підприємства теплопостачання, на підставі щомісячного розподілу, затвердженого НАК "Нафтогаз України" за поданням ДК "ГазУкраїни" та ДК "Укртрансгаз", розподіляють, з оформленням відповідних протоколів, таким чином:
- ДК «Газ України» в частині вартості газу за договорами купівлі-продажу газу для підприємств теплоенергетики;
- ВАТ з газопостачання та газифікації в частині вартості послуг з транспортування газу розподільними мережами за договорами на транспортування;
- ДК "Укртрансгаз" та її філіям і іншим підприємствам, що входять до складу НАК "Нафтогаз України", в частині вартості наданих транспортних послуг підприємствами за договорами на транспортування газу.
5. ВАТ з газопостачання та газифікації перераховують отримані кошти за централізованими розрахунками ДК "Газ України" за договорами купівлі- продажу газу для власних або виробничо-технологічних потреб (у разі відсутності заборгованості за зазначеними договорами - в частині погашення заборгованості за договорами купівлі-продажу газу, яка склалася на 01.02.03, в першу чергу отриманого для власних та виробничо-технологічних потреб, в разі нестачі - заборгованості, за якою минає строк позовної давності) зарахунок належної ВАТ частки вартості послуг з транспортування та постачання газу в сумі отриманих централізованих коштів.
6. ДК "Укртрансгаз" перераховує отримані кошти за централізованими розрахунками НАК "Нафтогаз України" за договорами купівлі-продажу газу для власних та виробничо-технологічних потреб.
7. ДК "Газ України" перераховує отримані кошти за централізованими розрахунками НАК "Нафтогаз України" за договорами купівлі-продажу газу для підприємств комунальної теплоенергетики та котелень промислових підприємств, які виробляють теплоносії для населення, бюджетних установта організацій.
8. ДК "Газ України" підтверджує ресурси природного газу для підприємств комунальної теплоенергетики та котелень промислових підприємств, які виробляють теплоносії для населення, бюджетних установ та організацій, в ОДУ ДК "Укртрансгаз" подекадне відповідно до рівня розрахунків.
Згідно Постанові КМУ «Деякі питання діяльності Національної акціонерної компанії "Нафтогаз України"» [44] - установлено з 1 січня 2008 р. граничні рівні цін на природний газ для суб'єктів господарювання, які виробляють теплову енергію, у тому числі блочних (модульних) котелень, установлених на дахові та прибудованих (виходячи з обсягу природного газу, що використовується для виробництва та надання населенню послуг з опалення та гарячого водопостачання, за умови ведення такими суб'єктами окремого приладового та бухгалтерського обліку тепла і гарячої води), з урахуванням податку на додану вартість, збору до затвердженого тарифу на природний газ у вигляді цільової надбавки, тарифів на його транспортування, розподіл і постачання та витрат із зберігання за умови компенсації Національній акціонерній компанії "Нафтогаз України" з державного бюджету різниці в цінах на природний газ (гривень за 1 тис. куб. метрів):
- з 1 червня - 710,01;
- з 1 липня - 734,86;
- з 1 серпня - 760,58;
- з 1 вересня - 787,20;
- з 1 жовтня - 814,75;
- з 1 листопада - 843,27;
- з 1 грудня - 872,78.
Згідно Постанові КМУ «Про забезпечення споживачів природним газом» [20] у 2008 році установлено, що потреба в природному газі задовольняється - установ і організацій, що фінансуються з державного і місцевих бюджетів, суб'єктів господарювання, які виробляють теплову енергію, у тому числі блочних (модульних) котелень, котелень, установлених на дахові та прибудованих, - з ресурсів імпортованого природного газу Національної акціонерної компанії "Нафтогаз України".
Реалізація природного газу для задоволення потреб установ і організацій, що фінансуються з державного і місцевих бюджетів, суб'єктів господарювання, які виробляють теплову енергію, у тому числі блочних (модульних) котелень, котелень, установлених на дахові та прибудованих, здійснюється дочірньою компанією "Газ України" та дочірнім підприємством "Газтепло" Національної акціонерної компанії "Нафтогаз України", суб'єктами господарювання, що мають ліцензію на постачання природного газу за регульованим тарифом, за цінами, що не перевищують граничних рівнів цін на природний газ, установлених Кабінетом Міністрів України;
У 2008 році «ПОРЯДОК використання у 2008 році коштів, передбачених у державному бюджеті для компенсації Національній акціонерній компанії "Нафтогаз України" різниці між цінами закупівлі імпортованого природного газу та його реалізації суб'єктам господарювання для виробництва теплової енергії, яка споживається населенням» [50] - визначає компенсацію НАК «Нафтогаз України" різниці між цінами закупівлі імпортованого природного газу та його реалізації суб'єктам господарювання для виробництва теплової енергії, яка споживається населенням (далі - компенсація).
1. Компенсація надається на підставі:
- договорів про постачання природного газу для виробництва теплової енергії, яка споживається населенням, укладених між НАК "Нафтогаз України" та її дочірньою компанією "Газ України" (далі - компанія "Газ України") із зазначенням помісячного обсягу постачання, а за 2006 рік - договорів про постачання природного газу для виробництва теплової енергії, укладених між НАК "Нафтогаз України" та компанією "Газ України" або дочірнім підприємством "ГазТепло;";
- договорів про постачання природного газу в листопаді-грудні 2007 р. та в 2008 році для виробництва теплової енергії, яка споживається населенням, що укладені між компанією "Газ України" та суб'єктами господарювання.
- договорів про постачання природного газу в 2006 році для виробництва теплової енергії, укладених між компанією "Газ України" або дочірнім підприємством "ГазТепло" та суб'єктами господарювання.
У зв'язку з тим, що у 2006 році постачання природного газу для виробництва теплової енергії, яка споживалася населенням та бюджетними установами і організаціями, здійснювалося за договорами, що не передбачали розподіл обсягів газу за категоріями споживачів, для визначення обсягів природного газу, що постачалися у 2006 році компанією "Газ України" та дочірнім підприємством "ГазТепло" суб'єктам господарювання для виробництва теплової енергії, яка споживалася населенням, застосовується коефіцієнт, що визначається шляхом ділення обсягу теплової енергії, поставленої у 2006 році суб'єктом господарювання для населення, на обсяг теплової енергії, поставленої таким суб'єктом у 2006 році населенню та бюджетним установам і організаціям, та на підставі:
- довідки про обсяги теплової енергії, поставленої суб'єктом господарювання у 2006 році для населення (з розбивкою по місяцях), що засвідчується підписом керівника або іншої уповноваженої особи такого суб'єкта;
- довідки про обсяги теплової енергії, поставленої суб'єктом господарювання у 2006 році населенню та бюджетним установам і організаціям (з розбивкою по місяцях), що засвідчується підписом керівника або іншої уповноваженої особи такого суб'єкта.
Визначений коефіцієнт множиться на загальний обсяг природногогазу, який постачався у 2006 році суб'єкту господарювання для виробництва теплової енергії для населення та бюджетних установ і організацій. Загальний обсяг природного газу визначається на підставі актів приймання-передачі природного газу, підписаних компанією "Газ України" та дочірнім підприємством "ГазТепло" і суб'єктами господарювання.
2. Суб'єкти господарювання, яким постачався у 2006 році природний газ для вироблення теплової енергії (або їх правонаступники), проводять з урахуванням вимог абзаців п'ятого-сьомого цього пункту розрахунок і визначають за погодженням з обласними, Київською та Севастопольською міськими держадміністраціями коефіцієнт та надають його компанії "Газ України" і дочірньому підприємству "ГазТепло".
Компанія "Газ України" і дочірнє підприємство "ГазТепло" проводять на підставі узгодженого коефіцієнта до 15 вересня 2008 р. розрахунок обсягу природного газу, використаного для виробництва теплової енергії, яка споживалася населенням у 2006 році.
До проведення зазначеного розрахунку у період до 15 вересня 2008 р. для визначення обсягу природного газу, використаного суб'єктом господарювання для виробництва теплової енергії, яка споживалася населенням, застосовується коефіцієнт, що визначаєтьсяшляхом ділення обсягу природного газу, поставленого у 2007 році суб'єкту господарювання для виробництва такої теплової енергії, на загальний обсяг природного газу, поставленого такому суб'єкту у 2007 році для виробництва теплової енергії, яка споживалась населенням та бюджетними установами і організаціями. Визначений коефіцієнт множиться на обсяг природного газу для виробництва теплової енергії, яка споживалася населенням та бюджетними установами і організаціями у 2006 році.
НАК "Нафтогаз України" надається до 15 вересня 2008 р. компенсація за 2006 рік відповідно до розрахунків, проведених компанією "Газ України" і дочірнім підприємством "ГазТепло" з урахуванням абзацу одинадцятого цього пункту.
3. Компанія "Газ України" або дочірнє підприємство "ГазТепло" на підставі актів приймання-передачі природного газу суб'єктами господарювання, що виробляють теплову енергію, яка споживається населенням, складає реєстри договорів за формою згідно з додатком 1 і подає їх до 20 числа наступного місяця НАК "Нафтогаз України".
4. На підставі реєстрів договорів НАК "Нафтогаз України" та компанія "Газ України" звіряють обсяги природного газу, реалізовані суб'єктам господарювання для виробництва теплової енергії, яка споживається населенням, і складають акт звіряння за формою згідно з додатком 2 (далі - акт звіряння обсягів газу).
5. НАК "Нафтогаз України" не пізніше 22 числа наступного місяця подає Мінпаливенерго та ДПА акт звіряння обсягів газу.
6. Мінпаливенерго на підставі інформації про обсяги реалізації природного газу суб'єктам господарювання для виробництва теплової енергії, яка споживається населенням, затверджує суму компенсації, розрахованої НАК "Нафтогаз України" за формою згідно з додатком 3.
Сума компенсації різниці між цінами закупівлі та реалізації однієї тисячі куб. метрів природного газу обчислюється за такою формулою:
К = Цз - Цр, (2.10)
де К - сума компенсації різниці між цінами на природний газ за одну тисячу куб. метрів;
Цз - визначена у договорі ціна закупівлі (без податку на додану вартість та збору у вигляді цільової надбавки до діючого тарифу на природний газ) НАК "Нафтогаз України" імпортованого природного газу;
Цр - визначена у договорі ціна реалізації імпортованого природного газу (без податку на додану вартість та збору у вигляді цільової надбавки до діючого тарифу на природний газ) НАК "Нафтогаз України" компанії "Газ України" "або дочірньому підприємству "Газ-Тепло"для постачання суб'єктам господарювання природного газу для виробництва теплової енергії, яка споживається населенням.
Мінпаливенерго подає Державному казначейству розрахунок суми компенсації до 25 числа наступного місяця.
7. Державне казначейство протягом двох днів перераховує на рахунок Мінпаливенерго суму, необхідну для здійснення компенсації.
У 2008 році перерахування коштів для компенсації за листопад-грудень 2007 р. здійснюється в обсягах, що обчислюються відповідно до Порядку перерахування у 2007 році компенсації Національній акціонерній компанії "Нафтогаз України" різниці між цінами закупівлі та реалізації імпортованого природного газу, що використовується на виробництво теплової енергії для населення, затвердженого постановою Кабінету Міністрів України від 1 березня 2007 р. N 340 (Офіційний вісник України, 2007 р., N 16, ст. 621).
8. Мінпаливенерго в день отримання коштів перераховує їх на поточні банківські рахунки НАК "Нафтогаз України".
9. Для проведення своєчасних розрахунків з оплати імпортованого природного газу Державне казначейство за зверненням НАК "Нафтогаз України" здійснює попереднє фінансування компенсації.
Для здійснення попереднього фінансування компенсації :
- НАК "Нафтогаз України" подає Мінпаливенерго та ДПА акт звіряння обсягів газу за 2007 р.;
- Мінпаливенерго на підставі інформації про обсяги реалізації природного газу у 2007 р. суб'єктам господарювання для виробництва теплової енергії, яка споживається населенням, затверджує суму компенсації, розрахованої НАК "Нафтогаз України" за формою згідно з додатком 3 виходячи із затверджених Кабінетом Міністрів України цін на природний газ, що діють у 2008 році, і подає Державному казначейству.
- Мінпаливенерго подає до 25 числа місяця, що настає за звітним кварталом, Державному казначейству уточнену інформацію про суму компенсації, розрахованої відповідно до пунктів 5 і 6 цього Порядку виходячи з обсягів природного газу, фактично використаних суб'єктами господарювання у 2008 році для виробництва теплової енергії, яка споживається населенням, та фактичних цін закупівлі і реалізації Національною акціонерною компанією "Нафтогаз України" імпортованого природного газу.
Різниця між фактично отриманою і уточненою сумою компенсації підлягає врахуванню Мінпаливенерго під час здійснення розрахунку компенсації у подальшому.
Різниця між фактично отриманою до 15 вересня поточного року сумою компенсації за 2006 рік і сумою, уточненою з урахуванням коефіцієнта, визначеного згідно з абзацами п'ятимдесятим пункту 2 цього Порядку, підлягає врахуванню Мінпаливенерго під час проведення розрахунку компенсації у подальшому.
10. Проведення розрахунку за грудень здійснюється на підставі показників обсягу природного газу, встановлених у договорах, зазначених у пункті 2 цього Порядку.
Розрахунок суми компенсації за грудень уточнюється на підставі актів звіряння обсягів газу до 5 січня 2009 р. відповідно до статті 57 Бюджетного кодексу України .
13. У разі коли суб'єкти господарювання здійснюють постачання теплової енергії різним категоріям споживачів, обсяг природного газу, використаний для виробництва такої енергії, визначається згідно з методикою, затвердженою Мінпаливенерго за погодженням з Мінжитлокомунгоспом і Мінфіном.
2.3.4 ДК «ГазУкраїни», ДК «Укртрансгаз», СП ЗАТ «УКРГАЗЕНЕРГО», комерційні газотрейдери як інфраструктура постачання газу промисловим підприємствам за нерегульованим тарифом
Згідно додатку З до наказу НАК ''Нафтогаз України" № 80 від 27. 02 2003р. в 2003 році був введений наступний «Порядок забезпечення природним газом промислових споживачів та інших суб'єктів господарювання»:
1. ДК "Газ України" здійснює продаж природного газу з ресурсів НАК "Нафтогаз України" промисловим споживачам та іншим суб'єктам господарювання. Продаж природного газу промисловим споживачам АР Крим здійснюють ДК "Газ України" та ДАТ "Чорноморнафтогаз" в обсягах, затверджених щомісячними балансами.
2. ВАТ з газопостачання та газифікації, ДКП "Київгаз" укладають договори з промисловими підприємствами та іншими суб'єктами господарювання на транспортування природного газу розподільними газопроводами.
3. ДК "Укртрансгаз", ДК "Укргазвидобування", ВАТ "Укрнафта" та ДАТ "Чорноморнафтогаз" укладають договори із промисловими підприємствами та іншими суб'єктами господарювання на транспортування природного газу газопроводами, що знаходяться на балансі у цих газотранспортних та газовидобувних підприємств.
4. Розрахунки за природний газ, спожитий промисловими споживачами та іншими суб'єктами господарювання, а також за надані послуги з його транспортування проводити за такою схемою надходження та розподілу коштів:
- від зазначеної категорії споживачів (крім централізованих розрахунків) за спожитий природний газ, отриманий за договорами купівлі-продажу, кошти надходять на консолідований розподільний рахунок ДК "Газ України";
- від зазначеної категорії споживачів (крім централізованих розрахунків) за надані послуги з транспортування природного газу отримані кошти надходять на розрахункові рахунки газотранспортних та газорозподільних підприємств відповідно до укладених договорів.
5. Кошти від проведення централізованих розрахунків в частині фінансування пільг та субсидій населенню на оплату електроенергії за складовою природного газу підприємства електроенергетики, на підставі щомісячного розподілу, затвердженого НАК "Нафтогаз України" за поданням ДК «Газ України» та ДК "Укртрансгаз", розподіляють на три частини і оформляють три протоколи таким чином:
- ДК «Газ України» в частині вартості газу за договорами купівлі- продажу газу для підприємств елекртроенергетики;
- ВАТ з газопостачання та газифікації в частині вартості послуг з транспортування газу розподільними мережами за договорами на транспортування;
- ДК "Укртрансгаз" та її філіям і іншим підприємствам, що входять до складу НАК "Нафтогаз України", в частині вартості наданих транспортних послуг підприємствами за договорами на транспортування газу.
6. ВАТ з газопостачання та газифікації перераховують отримані кошти за централізованими розрахунками ДК "Газ України" за договорами купівлі- продажу газу для власних або виробничо-технологічних потреб (у разі відсутності заборгованості за зазначеними договорами — в частині погашення заборгованості за договорами купівлі-продажу газу, яка склалася на 01.02.03, впершу чергу отриманого для власних та виробничо-технологічних потреб, в разі нестачі — заборгованості, за якою минає строк позовної давності) за рахунок належної ВАТ частки вартості послуг з транспортування та постачання газу в сумі отриманих централізованих коштів.
7. ДК "Укртрансгаз" перераховує отримані кошти за централізованими розрахунками НАК "Нафтогаз України" за договорами купівлі-продажу газу для власних та виробничо-технологічних потреб.
8. ДК "Газ України" перераховує отримані кошти за централізованими розрахунками НАК "Нафтогаз України" за договорами купівлі-продажу газу для промислових споживачів та інших суб"єктів господарювання.
9. Реалізація природного газу для потреб промислових споживачів також може здійснюватись через ВАТ з газопостачання та газифікації за договорами з ДК "Газ України".
При цьому ціна реалізації газу для ВАТ з газопостачання та газифікації визначається, як різниця між ціною реалізації природного газу для зазначених споживачів, що визначена прейскурантом цін, затвердженим відповідним наказом НАК "Нафтогаз України", та тарифом на постачання природного газу,затвердженим відповідними постановами НКРЕ для ВАТ з газопостачання і газифікації.
10. ДК "Газ України" щодекадне підтверджує ресурси природного газу для кожного промислового підприємства чи іншого суб'єкта господарювання в ОДУ ДК "Укртрансгаз" відповідно до встановленого порядку.
Згідно Постанові КМУ «Деякі питання діяльності Національної акціонерної компанії "Нафтогаз України"» [44 ] - установлено з 1 січня 2008 р. граничні рівні цін на природний газ для промислових споживачів та інших суб'єктів господарювання без урахування податку на додану вартість, збору до затвердженого тарифу на природний газ у вигляді цільової надбавки, тарифів на його транспортування, розподіл і постачання та витрат на його реалізацію Національною акціонерною компанією "Нафтогаз України" на рівні 934,7 гривні за 1 тис. куб. метрів.
Згідно Постанові КМУ «Про забезпечення споживачів природним газом» [20] у 2008 році встановлено, що потреба в природному газі задовольняється:
1) для забезпечення технологічних та інших виробничих потреб дочірньої компанії "Укртрансгаз" Національної акціонерної компанії "Нафтогаз України", суб'єктів господарювання, що мають ліцензію на провадження господарської діяльності з розподілу природного і нафтового газу, - з ресурсів імпортованого природного газу Національної акціонерної компанії "Нафтогаз України";
2) газодобувних підприємств для виробничо-технологічних витрат і власних потреб, а також виробництва скрапленого газу - за рахунок обсягів природного газу власного видобутку;
3) виробничих категорій споживачів- з ресурсів газу:
- Національної акціонерної компанії "Нафтогаз України", отриманих за зовнішньоекономічними контрактами та договорами купівлі-продажу;
- суб'єктів господарювання, що здійснюють видобуток природного газу, крім обсягів газу, які підлягають продажу Національній акціонерній компанії "Нафтогаз України"; - отриманого з Марківського газоконденсатного родовища за зовнішньоекономічними контрактами (угодами).
На рис.2.6 – 2.9 наведені результати аналізу схем поставки газу на промислові підприємства України у 2005 -2007 роках через основних імпортерів та систему комерційних посередників – газотрейдерів України, які отримали ліцензії на поставку газа за нерегульованими тарифами.

Рис.2.6 - Конкуренція між ДК «Газ України», ЗАТ «Укргазенерго» та посередниками при поставках газу підприємствам за нерегульованими тарифами

Рис.2.7. - Змішана схема поставки газу за нерегульованим тарифом ДК «Газ України» (прямий контракт), ЗАТ «Укргазенерго» (прямий контракт) та комерційними газотрейдерами (через посередників) на великі підприємства

Рис.2.8. - Змішана схема поставки газу за нерегульованим тарифом ДК «Газ України» (прямий контракт) та комерційним газотрейдером (через посередників) на великі підприємства

Рис. 2.9. - Фінансова схема поставки газу за нерегульованим тарифом на виробниче підприємство ВАТ «ДМЗ»
РОЗДІЛ ІІІ
ШЛЯХИ УДОСКОНАЛЕННЯ ФІНАНСОВОГО МЕХАНІЗМУ В
ГАЗОВОМУ КОМПЛЕКСІ УКРАЇНИ
3.1 Розгляд сучасних моделей розвитку ринку природного газу в Україні
Однією з найважливіших проблем забезпечення енергетичної безпеки держави є проблема реформування внутрішнього ринку природного газу. На сьогоднішній день ринок характеризується високим ступенем монополізації, недосконалою організаційною структурою, недостатньо розвинутою конкуренцією.
На підставі аналізу еволюції структури сучасних світових ринків природного газу, стану сучасного ринку природного газу України, поточної ситуації на цьому ринку та ситуації з забезпечення енергетичної безпеки держави можна запропонувати основні напрямки реформування даного сектору енергетики в інтересах забезпечення енергетичної безпеки держави.
Природний газ на сучасному етапі розвитку економіки України залишається основним паливно-енергетичним ресурсом (ПЕР) держави (його частка в паливно-енергетичному балансі складає 41,0 %). Вважаючи, що власний видобуток природного газу є недостатнім і основні постачання здійснюються за рахунок імпорту, та враховуючи значну залежність економіки саме від цього ПЕР, що позначається і на рівні забезпечення енергетичної безпеки, нормалізація становища та розбудова сучасного та стабільного ринку природного газу є однією з першочергових проблем енергетичної політики країни.
Поточну ситуацію на ринку природного газу як в більшості країн світу, так і в Україні, можна вважати нестабільною: значні коливання ціни, обмеженість джерел постачання газу, політична нестабільність в деяких країнах-виробниках та країнах-транзитерах, недосконалість ринкових відносин в цьому секторі енергетики – все це створює певні перешкоди на шляху формування ринку природного газу та є загрозами енергетичній безпеці держави.
Сучасні моделі газового ринку визначають чотири етапи в розвитку організаційної структури газової промисловості: «зародження – зростання – розвиток – конкурентний ринок». Така модель передбачає, що з розвитком газоспоживання та розширення інфраструктури змінюється і організаційна структура газової галузі від монополії до конкуренції. Такий шлях передбачає поступову дезінтеграцію газового ланцюга постачань та зменшення ролі державного регулювання, перехід від довгострокових контрактних відносинах на незрілих ринках до більш гнучких короткострокових контрактів та прив'язки цін до біржових котирувань.
Донедавно вважалося, що в умовах природно-монопольного газопостачання саме державне регулювання є основною формою забезпечення стабільності та енергетичної безпеки газової галузі. Саме в цей період інтенсивно розвивалася інфраструктура галузі. Втім, держава, яка володіє таким потужним важелем впливу на економіку та економічну безпеку – регульованою газовою галуззю – реалізує політику в двох основних варіантах:
- утримує достатньо низькі ціни на газ для стимулювання зростання інших секторів економіки та забезпечення соціальної стабільності населення (саме такий варіант подій має місце в Україні), що, через певний час веде до дефіциту газу через нестачу інвестування;
- утримує достатньо високі ціни на газ та перерозподіляє монопольні надприбутки на соціальні потреби, що можливе для країн з високо розвинутою економікою, яка за рахунок високої енергоефективності в змозі забезпечити конкурентоспроможність кінцевої продукції (що характерно для більшості країн ЄС і, в першу чергу, Німеччини);
- обидва попередніх варіанти – низькі ціни для виробників, високі – для споживачів (характерне для Великобританії).
Найбільш вагомим недоліком такого регулювання є відсутність стимулів для підвищення ефективності газової галузі.
Для сучасної постіндустріальної економіки характерним є третій етап еволюції структури газового ринку (перехідний) – лібералізація. Саме наявність розвинутої інфраструктури, яка забезпечує множину вибору між постачальниками та споживачами, є об'єктивною передумовою переходу до конкурентної організації газового ринку. На цьому етапі відбуваються і кардинальні зміни інституційної структури ринку – відмова від державного регулювання цін виробників, приватизація та розподіл видів діяльності газових компаній, проведення дерегулювання значних споживачів, введення стороннього доступу до мереж. Передбачається, що розвиток конкуренції веде до появи спотових ринків газу (як це відбувалося і на ринках нафти) та превалюючому використанню короткострокових контрактів, при цьому зберігаються і довгострокові контракти, терміни яких поступово зменшуються, а прив'язка цін до альтернативних енергоносіїв змінюються на прив'язку до цін спотового ринку. Характерними прикладами є США (1984-1995 рр.), Великобританія (1985-1998 рр.), ЄС (1998-дійсний час), Японія (1998-дійсний час) тощо.
Останнім етапом еволюції ринкової інфраструктури газового ринку повинно стати створення конкурентного ринку. Головними особливостями такого ринку слід вважати:
- конкуренцію в усіх ланцюгах постачання і, як наслідок, зниження маржі постачальників та цін для споживачів;
- дезінтеграцію усіх ланцюгів постачання (вихід на конкурентний ринок усіх споживачів; окрім ринку фізичного постачання газу діють розвинуті фінансові ринки газу (ф'ючерси та опціони), які є орієнтиром для всіх інших контрактів);
- мінімізацію державного регулювання (дію «невидимой руки» ринку забезпечує ефективність ринку).
Слід зазначити, що спочатку наслідки введення конкуренції були вагомими: за рахунок суттєвого збільшення кількості продавців та покупців на конкурентному ринку відбулося суттєве зниження цін на газ (у США з 1998 до 1995 р. оптові ціни знизилися на 26 %, у Великобританії з 1990 до 1999 р. для промисловості на 45 %, для побутових споживачів на 20 %), суттєво збільшилися обсяги споживання. Однак, події наступних років суттєво позначилися на конкурентних газових ринках: значно зросла волантильніть цін (у більшості випадків ціни на природний газ значно зросли), зменшився попит на газ (у США в 2002 році відбулося скорочення споживання газу промисловими споживачами в порівнянні з 1997 роком на 23 %), відбулася переорієнтація виробництва з значним використанням газу на інші країни.
Серед причин такого становища можна назвати:
- надлишок видобувних та транспортних потужностей, які були створені в період державного регулювання і завдяки якому було забезпечено зниження цін при проведенні лібералізації газового ринку, на сьогоднішній день для більшості країн майже вичерпаний;
- при значному зростанні попиту, в тому числі і завдяки низькій ціні на газ, можливості щодо нарощування власного видобутку вичерпані або значно обмежені; в той же час, необхідність нарощування імпортних постачань потребує значних інвестицій (як на транспортування з значно віддалених регіонів так і на створення відповідної інфраструктури);
- зростає потреба в значних інвестиційних коштах і на оновлення існуючої інфраструктури газового виробництва та транспортування.
Але ситуація не є безвихідною. На конкурентних ринках США, Великобританії, країн ЄС ідуть активні процеси вертикальної інтеграції та концентрації задля зниження ризиків (акумуляції інвестиційних коштів,використання ефекту масштабу для зниження витрат, диверсифікації постачальників). Створюються інтегровані структури з електроенергетикою та газовою промисловістю. Така інтеграція забезпечує як збільшення власних можливостей, так і розширення можливостей з залучення позикового капіталу.
Таким чином, вертикальна інтеграція забезпечує:
- залучення фінансових та виробничих фондів, що веде до розширення виробничих можливостей таких компаній та підтримки інфраструктури;
- зменшення ризиків за рахунок диверсифікації ринків та видів діяльності, що підвищує загальну фінансову сталість компанії;
- скорочення трансакційних витрат та збільшення маржі (це є достатньо важливим стимулом для компаній в період лібералізації, який характеризується зменшенням ренти в усіх ланцюгах газових постачань);
- максимізацію доданої вартості за рахунок інтеграції з електроенергетичними підприємствами (конвергенція);
- глобалізацію енергетичних компаній (лібералізація та інтеграція дає змогу компаніям розширювати свою діяльність за межами країни).
Вільна конкуренція множини компаній призводить до ситуації, коли на місце колишніх регульованих національних монополій приходять нерегульовані вертикально-інтегровані компанії. В той же час:
- спостерігається збільшення потреби в довгострокових контрактах (в умовах високих та нестабільних цін більшість споживачів бажають гарантувати собі необхідні обсяги постачання газу за прогнозованими цінами, теж саме відноситься і до транспортування газу);
- в умовах загострення ситуації на газовому ринку та збільшення загроз енергетичній безпеці держава посилює свою роль.
Таким чином, в сучасних умовах процеси, що відбуваються на світових газових ринках, вимагають оптимального сполучення державного регулювання, яке забезпечує розширення основних фондів галузі, та конкуренції, яка забезпечує ефективність їх використання. При цьому відбувається поступове розширення ринків від локальних до державних, потім – континентальних і, нарешті, міжконтинентальних – при торгівлі скрапленим природним газом (СПГ).
Україна є енергодефіцитною країною, тому імпорт енергоносіїв, особливо в період значних цінових коливань, значним чином впливає на її енергетичну безпеку і таку її складову, як енергетична незалежність. В такий ситуації цілком очевидно, що головним напрямком є скорочення обсягу імпорту енергоносіїв та збільшення власного видобутку. Але можливості держави тут досить обмежені наявним рівнем запасів енергоресурсів в країні та потребують значних фінансових коштів й часу.
В той же час треба відзначити, що на сьогоднішній день газова промисловість в Україні є дуже регульованою. Уряд має багато прямих і непрямих методів контролю над процесами ціноутворення та встановлення тарифів, операціями імпорту та експорту, умовами доступу інвесторів та над самими процесами інвестування. Така ситуація породжує можливість політичного впливу.
Внутрішні ціни на газ для багатьох груп споживачів є нижчими за собівартість постачання і перехресно субсидіюються за рахунок більш високих цін для промисловості. Підвищення ціни на імпортований газ у 2006 р. та у подальші роки стало значним дестабілізуючим фактором для промисловості та населення країни, зважаючи на істотну залежність промислового та побутового секторів від природного газу. Донині економіка демонструвала певну стабільність, але ціни на газ продовжують зростати. З огляду на це уряд має запропонувати більш ефективні заходи для стимулювання довгострокової продуктивності та ефективності у нафтовому та газовому секторах та економіки в цілому. До сьогоднішнього дня відсутність конкуренції, значне адміністративне втручання зводять нанівець зусилля з підвищення продуктивності та ефективності.
Після підписання 12 березня 2008 р. угоди про розвиток відносин у газовій сфері між ВАТ «Газпром» і НАК «Нафтогаз України» ситуація на газовому ринку України є такою:
1.З січня по грудень 2008 року Україна отримує природний газ середньоазійського походження в обсязі не менше 49,8 млрд м3 за ціною $ 179,5 за 1000 м3. Продавцем газу виступає трейдер компанія RosUkrEnergo AG (RUE) або ВАТ «Газпром». Покупцем газу на українському кордоні виступатиме безпосередньо НАК «Нафтогаз України», яка розмитнюватиме та реалізовуватиме середньоазійський газ на території України без права реекспорту.
2.З квітня 2008 року НАК «Нафтогаз України» зобов’язується укласти зі створеною на території України дочірньою або афілійованою компанією ВАТ «Газпром» довгостроковий контракт купівлі-продажу газу середньоазійського походження у 2008 р. та наступних роках в щорічному обсязі не менше 7,5 млрд м3 для реалізації промисловим споживачам України з максимальною маржею $ 0,01 за 1000 м3.
3.Поставки середньоазійського газу в січні-лютому в обсязі 5,2 млрд м3 мають бути повністю оформлені і сплачені відповідно до контрактів, раніше укладених з RUE і ЗАТ «УкргазЕнерго». Додатково до обсягів середньо-азійського газу НАК «Нафтогаз України» має оформити з RUE контракт купівлі-продажу російського газу, що був поставлений в Україну в січня-лютому 2008 р. за базовою ціною $ 315 за 1000 м3, розрахунки за яким можуть бути здійсненні і шляхом повернення відповідних об’ємів газу (1,4 млрд м3).
З Угоди від 12 березня 2008 року також виходить, що ставка транзиту російського природного газу по українській території до країн Європи залишатиметься незмінною – $ 1,7 за 1000 м3 на 100 км.
Таким чином, виходячи з Угоди:
‑Україна повністю забезпечила власний баланс газу на поточний рік, зберігши ціну у $ 179,5 за 1000 м3;
‑з українського ринку зникає комерційний посередник ЗАТ «Укргаз Енерго»;
‑НАК «Нафтогаз України» повертає собі приблизно 2/3 ринку промислового споживача. Решта промислових підприємств напряму закуповуватимуть газ у дочірньої або афілійованої компанії ВАТ «Газпром».
Оцінюючи загалом підписану угоду позитивно, слід висловити низку пов'язаних з цим невирішених проблем:
‑посилилася позиція ВАТ «Газпрому» на внутрішньому ринку України завдяки отриманню прямого доступу до нього, причому, згідно Угоди, ВАТ «Газпром» сам вибирає собі промислових споживачів, що створює умови для проведення газовим монополістом власної «промислової політики» в економіці України;
‑в Угоді передбачається укладення довгострокового договору між НАК «Нафтогазом України» та афілійованою структурою ВАТ «Газпрому», в той час як Угода діє тільки у 2008 році;
‑передбачений продаж структурою ВАТ «Газпрому» «не менше 7,5 млрд м3» не виключає можливість суттєвого збільшення цього обсягу та витіснення НАК «Нафтогазу України» ще з частини ринків;
‑Угода не вступить в силу, доки ВАТ «Газпром» не одержить всіх дозволів відносно його діяльності на внутрішньому ринку України, що надає ВАТ «Газпрому» можливості додаткового «торгу» за отримання певних привілеїв в обмін на введення вигідних для України умов газопостачання в дію;
‑Угодою позначена нова ціна – $ 315 за 1000 м3 російського газу, яка може бути базовою в подальших переговорах, проте не призначені ні новий тариф для транзиту газу до Європи через територію України, ні тариф його зберігання в сховищах України, не визначено й умов для подальшого (на 2009 рік і далі) довгострокового співробітництва на основі поступового переходу України на європейські ціни і тарифи.
Ще однією тенденцією роботи НАК «Нафтогаз України», яка потенційно несе в собі загрозу енергетичній безпеці держави, є неконтрольована та необґрунтована кредитна політика компанії. НАК «Нафтогаз України» активно бере позики за кордоном. Компанія отримала 500 млн євро (приблизно 640 млн дол. США) від випуску Єврооблігацій (Eurobond) у Люксембурзі у 2004р. Вона також організувала кредитну лінію обсягом до 2 млрд євро (приблизно 2,6 млрд дол. США) з Deutsche Bank (хоча ця лінія була заморожена). Кредити використовуються, принаймні частково, для операційних цілей, таких як виплата прострочених податків та боргів. У червні 2006 р., згідно з повідомленнями преси, НАК «Нафтогаз України» шукав кредити на кілька сотень мільйонів доларів США для оплати свого зростаючого боргу за імпорт газу («Інтерфакс Україна», 2006). Дехто побоюється, що НАК «Нафтогаз України», занадто збільшивши цей борг, буде не в змозі виплатити ці кредити і технічно стане банкротом. Це викликає занепокоєння тому, що Україна може бути вимушена продати свої нафтові та газові активи, зокрема газопроводи, для погашення цього боргу, або стане перед необхідністю брати кредити під поруку для виплати боргу. Тим більше що російський «Газпром», діючи в руслі енергетичної стратегії Росії до 2020 року, давно прагне заволодіти газовими активами України і максимально проникнути на її внутрішній газовий ринок.
Проведений в розділах 1, 2 дипломного дослідження аналіз показав, що ринок природного газу в Україні на сьогодні розбитий на 2 сегмента по ресурсному признаку (вітчизняний та імпортний газ) та на 5 специфічних сегментів по признакам споживачів:
- ринок продажу вітчизняного газу населенню за низькими регульованими цінами, який на 100% забезпечуються газом, добутим на території України національними газодобувними компаніями;
- ринок продажу імпортного газу підприємствам теплокомуненерго - суб'єктам господарювання, які виробляють теплову енергію, у тому числі блочних (модульних) котелень, установлених на дахові та прибудованих, які забезпечують теплом та гарячею водою населення за низькими регульованими цінами з дотаціями газопостачальникам компенсаційних сум з державного бюджету України;
- ринок продажу імпортного газу установамта організаціям, що фінансуються з державного і місцевих бюджетів;
- ринок продажу імпортного газу промисловим підприємствам в якості палива та хімічної сировини;
- ринок транзитних послуг іноземним компаніям по транспортуванню та тимчасовому зберіганню в підземних сховищах російського та середньоазіатського газу, поставляємого магістральними газопроводами з кордонів «Росія-Україна» на кордон «Україна - країни Східної та Західної Європи».
За результатами дипломного дослідження вказані 5 сегментів газового ринку споживачів в Україні мають станом на 2008 рік наступні характеристики:
1. Ринок продажу вітчизняного газу населенню за низькими регульованими цінами, який на 100% забезпечуються газом, добутим на території України національними газодобувними компаніями.
За результатами дослідження отримані наступні характеристики цього сегменту ринку:
- ресурс сегменту наповнюється виключно трьома газодобувними компаніями України - Дочірня Компанія «Укргазовидобування» НАК «Нафтогаз України», ВАТ «Укрнафта» в якій НАК «Нафтогаз України» має контрольний пакет акцій більше 51%, Державне Акціонерне Товариство «Чорноморнафтогаз» підпорядковане НАК «Нафтогаз України»;
- обсяг прогнозного ресурсу сегменту на 2008 рік - 19 млрд.м3 на рік;
- прогнозний обсяг споживання сегменту за газовим балансом України на 2008 рік – 17,8 млрд.м3 на рік;
- прогнозне забезпечення сегменту газом власної добичі за балансом 2008 року – 16,8 млрд.м3 на рік;
- прогнозне забезпечення сегменту газом з підземних сховищ за балансом 2008 року – 1,0 млрд.м3 на рік;
- весь добутий газ, за виключенням внутрішніх потреб, газодобувні компанії продають Дочірній Компанії «Газ України» НАК «Нафтогаз України» за регульовано встановленими НКРЕ тарифами;
- Дочірня Компанія «Газ України» НАК «Нафтогаз України» заключає договір за регульованою НКРЕ ціною з Дочірнєю Компанією «Укртрансгаз» на транспортировку добутого національними компаніями газу трубопроводами високого тиску до вхідних регулюючих пристроїв обласних та міських газорозподільних мереж середнього та низького тиску 42 обласних ВАТ по розподілу та постачанню газу до споживачів – населення;
- 42 обласних ВАТ по територіальному розподілу та постачанню газу до споживачів за регульованими НКРЕ тарифами на розподіл та постачання постачають газ через систему трубопроводів та вузлів регулювання, які належать державі та передані їм в експлуатацію за договорами, в помешкання споживачів –населенню;
- для цього сегменту ринку встановлені регульовані НКРЕ ціни:
а) кінцева ціна, яку платить споживач – населення, з врахуванням всіх рентних платежів та спеціальних зборів і надбавок в ціни за добичу, транспортування, розподіл та постачання + 20% ПДВ;
б) ціна, за якою газовидобувні підприємства продають добутий газ ДК «Газ України». Ця ціна включає собівартість добичі, збір за геологорозвідувальні роботи, рентну плату за добичу газу, збір за надрокористування при добичі газу, прибуток газодобуваючого підприємства.
При встановленій регульовано ціні продажу, прибуток підприємств залежить від реальної собівартості та зборів і сплат в бюджет. В результаті ціна на газ для газодобувних підприємств встановлюється в 3,5 - 4,5 нижче ціни імпортує мого Україною газа з Туркменістану та Росії;
в) ціна, за якою ДК «Укртрансгаз» транспортує газ магістральними трубопроводами висого тиску ( 1 надбавка на ціну), та ціна збереження газу в підземних сховищах (2 надбавка на ціну);
г) диференціовані ціни для послуг 42 ВАТ по розподілу та газопостачанню ( 3 та 4 надбавка за ціну);
Фінансовий ланцюг розрахунків в сегменті реалізації газу населенню описується схемою:
а) населення сплачує кошти за спожитий газ в 42 обласних ВАТ по розподілу та газопостачанню (регульований НКРЕ тариф з врахуванням ПДВ 20% в кінцевій ціні);
б) 42 ВАТ по розподілу та газопостачанню сплачують:
1) Різницю = (отриманий ПДВ в ціні реалізації населенню – сплачений ПДВ ДК «Газ України» та ДК «Укртрансгаз») в державний бюджет;
2) Збір – цільову надбавку в ціні реалізації споживачам – в державний бюджет;
3) За договорами з ДК «Газ України» та ДК «Укртрансгаз» суми за поставлений газ в обласні газові мережі (регульований НКРЕ тариф);
4) Залишок коштів – витрати собівартості діяльності становлять прибуток ВАТ по розподілу та постачання газу, з якого вони сплачують податок на прибуток в державний бюджет.
в) ДК «Газ України» з отриманих від ВАТ по розподілу та газопостачанню коштів за обсяги поставленого газу сплачує: 1) Різницю = (отриманий ПДВ в ціні реалізації газу ВАТ по розподілу та газопостачанню – сплачений ПДВ підприємствам газодобичі за поставлений газ) в державний бюджет; 2) За договорами з газодобувними підприємствами суми за поставлений газ в транспортні мережі ДК «Укртрансгаз» для доставки в обласні газові мережі (регульований НКРЕ тариф);
3) Залишок коштів – витрати собівартості діяльності становлять прибуток ДК «Газ України», з якого віна сплачує податок на прибуток в державний бюджет.
г) ДК «Укртрансгаз» з отриманих від ВАТ по розподілу та газопостачанню коштів за обсяги протранспортованого в їх мережі газу сплачує:
1) Сплачений ПДВ в тарифі за транспортировку в державний бюджет;
2) Залишок коштів – витрати собівартості діяльності становлять прибуток ДК «Укртрансгаз», з якого віна сплачує податок на прибуток в державний бюджет.
д) Підприємства з газовидобування з отриманих від ДК «Газ України» коштів за обсяги поставленого газу сплачують:
1) Сплачений ПДВ в тарифі реалізації в державний бюджет;
2) Ренту плату за добутий газ в державний бюджет;
3) Збір за геологорозвідувальні роботи в державний бюджет;
4) Збір за використання надр при добуванні газу в державний бюджет;
3) Залишок коштів – витрати собівартості діяльності становлять прибуток підприємств з газовидобування, з якого вони сплачують податок на прибуток в державний бюджет.
2. Ринок продажу імпортного газу підприємствам теплокомуненерго - суб'єктам господарювання, які виробляють теплову енергію, у тому числі блочних (модульних) котелень, установлених на дахові та прибудованих, які забезпечують теплом та гарячею водою населення за низькими регульованими цінами з дотаціями газопостачальникам компенсаційних сум з державного бюджету України.
За результатами дослідження отримані наступні характеристики цього сегменту ринку:
- ресурс сегменту наповнюється з ресурсів імпортованого природного газу Національної акціонерної компанії "Нафтогаз України".
- обсяг прогнозного ресурсу сегменту на 2008 рік (виробничо-технологічні потреби 8,0 млрд.м3) - 47 млрд.м3 на рік;
- прогнозний обсяг споживання сегменту за газовим балансом України на 2008 рік – 12,6 млрд.м3 на рік;
- імпортований компанією НАК «Нафтогаз Українги» газ, передається для реалізації Дочірній Компанії «Газ України» НАК «Нафтогаз України» за регульовано встановленими НКРЕ тарифами, при цьому перевищення фактичної ціни придбаного імпортного газу над встановленими НКРЕ тарифами компенсується НАК «Нафтогаз України» за рахунок коштів державного бюджету України;
- Дочірня Компанія «Газ України» НАК «Нафтогаз України» заключає договір за регульованою НКРЕ ціною з Дочірнєю Компанією «Укртрансгаз» на транспортировку імпортованого трубопроводами високого тиску до вхідних регулюючих пристроїв обласних та міських газорозподільних мереж середнього та низького тиску 42 обласних ВАТ по розподілу та постачанню газу до споживачів – підприємств теплокомуненерго;
- 42 обласних ВАТ по територіальному розподілу та постачанню газу до споживачів за регульованими НКРЕ тарифами на розподіл та постачання постачають газ через систему трубопроводів та вузлів регулювання, які належать державі та передані їм в експлуатацію за договорами, на територію споживачів – підприємств теплокомуненерго;
- для цього сегменту ринку встановлені регульовані НКРЕ ціни:
а) кінцева ціна, яку платить споживач – підприємство теплокомуненерго, з врахуванням всіх рентних платежів та спеціальних зборів і надбавок в ціни за добичу, транспортування, розподіл та постачання + 20% ПДВ;
в) ціна, за якою ДК «Укртрансгаз» транспортує газ магістральними трубопроводами висого тиску ( 1 надбавка на ціну), та ціна збереження газу в підземних сховищах (2 надбавка на ціну);
г) диференціовані ціни для послуг 42 ВАТ по розподілу та газопостачанню ( 3 та 4 надбавка за ціну);
Фінансовий ланцюг розрахунків в сегменті реалізації газу підприємствам теплокомуненерго описується схемою:
а) підприємства теплокомуненерго сплачують кошти за спожитий газ в42 обласних ВАТ по розподілу та газопостачанню (регульований НКРЕ тариф з врахуванням ПДВ 20% в кінцевій ціні);
б) 42 ВАТ по розподілу та газопостачанню сплачують:
1) Отриманий ПДВ в ціні реалізації підприємствам теплокомуненерго в державний бюджет;
2) Збір – цільову надбавку в ціні реалізації споживачам – в державний бюджет;
3) За договорами з ДК «Газ України» та ДК «Укртрансгаз» суми за поставлений газ в обласні газові мережі (регульований НКРЕ тариф);
4) Залишок коштів – витрати собівартості діяльності становлять прибуток ВАТ по розподілу та постачання газу, з якого вони сплачують податок на прибуток в державний бюджет.
в) ДК «Газ України» з отриманих від ВАТ по розподілу та газопостачанню коштів за обсяги поставленого газу сплачує:
1) Операції поставки імпортного газу в ДК «Газ України» підприємствам обласних ВАТ для теплокомуненерго звільнені від ПДВ, тому відрахувань в державний бюджет не передбачено;
2) За договорами з НАК «Нафтогаз України» суми за поставлений газ в транспортні мережі ДК «Укртрансгаз» для доставки в обласні газові мережі (регульований НКРЕ тариф);
3) Залишок коштів – витрати собівартості діяльності становлять прибуток ДК «Газ України», з якого віна сплачує податок на прибуток в державний бюджет.
г) ДК «Укртрансгаз» з отриманих від ДК «Газ України» коштів за обсяги протранспортованого в їх мережі газу сплачує:
1) Сплачений ПДВ в тарифі за транспортировку імпортного газу в державний бюджет - відсутній;
2) Залишок коштів – витрати собівартості діяльності становлять прибуток ДК «Укртрансгаз», з якого віна сплачує податок на прибуток в державний бюджет.
д) НАК «Нафтогаз України» з отриманих від ДК «Газ України» коштів за обсяги поставленого газу готує:
1) Документи на отримання компенсації з державного бюджету різниці сум, необхідних для сплаті трейдерам «Газпром» (Росія) за поставлений імпортний газ та отриманих від ДК «Газ України» з споживачів – підприємств теплокомуненерго за зниженим регульованим тарифом;
2) Отримує компенсацію з державного бюджету частковим заліком сум рентних платежів, які повинна сплатити ДК «Укртрансгаз» в державний бюджет з отриманої плати «Газпрому» (Росія) від транзиту в Європу російського газу;
3) Сплачує трейдерам «Газпрому» (Росія) кошти за поставлений обсяг імпортного газу в сегмент ринку споживачів – підприємства теплокомуненерго України.
3. Ринок продажу імпортного газу установам та організаціям, що фінансуються з державного і місцевих бюджетів.
За результатами дослідження отримані наступні характеристики цього сегменту ринку:
- ресурс сегменту наповнюється з ресурсів імпортованого природного газу Національної акціонерної компанії "Нафтогаз України".
- обсяг прогнозного ресурсу сегменту на 2008 рік (виробничо-технологічні потреби 8,0 млрд.м3) - 47 млрд.м3 на рік;
- прогнозний обсяг споживання сегменту за газовим балансом України на 2008 рік – 1,05 млрд.м3 на рік;
- імпортований компанією НАК «Нафтогаз Українги» газ, передається для реалізації Дочірній Компанії «Газ України» НАК «Нафтогаз України» за встановленими НКРЕ тарифами на верхній граничний рівень газу (без ПДВ, цільової надбавки,тарифів на транспортування, розподіл та постачання і реалізацію);
- Дочірня Компанія «Газ України» НАК «Нафтогаз України» заключає договір за регульованою НКРЕ ціною з Дочірнєю Компанією «Укртрансгаз» на транспортировку імпортованого трубопроводами високого тиску до вхідних регулюючих пристроїв обласних та міських газорозподільних мереж середнього та низького тиску 42 обласних ВАТ по розподілу та постачанню газу до споживачів – підприємств теплокомуненерго;
- 42 обласних ВАТ по територіальному розподілу та постачанню газу до споживачів за регульованими НКРЕ тарифами на розподіл та постачання постачають газ через систему трубопроводів та вузлів регулювання, які належать державі та передані їм в експлуатацію за договорами, на територію споживачів – підприємств бюджетного асігнування;
- для цього сегменту ринку встановлені регульовані НКРЕ ціни:
а) верхній рівень кінцевої ціни, яку платить споживач – підприємство бюджетного асігнування, без врахуванням всіх рентних платежів та спеціальних зборів і надбавок в ціни за добичу, транспортування, розподіл та постачання + 20% ПДВ, які сплачуються додатково до встановленого гранічного рівня ціни;
в) ціна, за якою ДК «Укртрансгаз» транспортує газ магістральними трубопроводами висого тиску ( 1 надбавка на ціну), та ціна збереження газу в підземних сховищах (2 надбавка на ціну);
г) диференціовані ціни для послуг 42 ВАТ по розподілу та газопостачанню ( 3 та 4 надбавка за ціну);
Фінансовий ланцюг розрахунків в сегменті реалізації газу підприємствам бюджетного асігнування описується схемою:
а) підприємства бюджетного асігнування сплачують кошти за спожитий газ в 42 обласних ВАТ по розподілу та газопостачанню;
б) 42 ВАТ по розподілу та газопостачанню сплачують:
1) Отриманий ПДВ в ціні реалізації підприємствам теплокомуненерго в державний бюджет;
2) Збір – цільову надбавку в ціні реалізації споживачам – в державний бюджет;
3) За договорами з ДК «Газ України» та ДК «Укртрансгаз» суми за поставлений газ в обласні газові мережі (регульований НКРЕ граничний тариф);
4) Залишок коштів – витрати собівартості діяльності становлять прибуток ВАТ по розподілу та постачання газу, з якого вони сплачують податок на прибуток в державний бюджет.
в) ДК «Газ України» з отриманих від ВАТ по розподілу та газопостачанню коштів за обсяги поставленого газу сплачує:
1) Операції поставки імпортного газу в ДК «Газ України» підприємствам обласних ВАТ для бюджетних організацій звільнені від ПДВ, тому відрахувань в державний бюджет не передбачено;
2) За договорами з НАК «Нафтогаз України» суми за поставлений газ в транспортні мережі ДК «Укртрансгаз» для доставки в обласні газові мережі (регульований граничний НКРЕ тариф);
3) Залишок коштів – витрати собівартості діяльності становлять прибуток ДК «Газ України», з якого віна сплачує податок на прибуток в державний бюджет.
г) ДК «Укртрансгаз» з отриманих від ДК «Газ України» коштів за обсяги протранспортованого в їх мережі газу сплачує:
1) Сплачений ПДВ в тарифі за транспортировку імпортного газу в державний бюджет - відсутній;
2) Залишок коштів – витрати собівартості діяльності становлять прибуток ДК «Укртрансгаз», з якого віна сплачує податок на прибуток в державний бюджет.
д) НАК «Нафтогаз України» з отриманих від ДК «Газ України» коштів за обсяги поставленого газу готує:
1) Сплачує трейдерам «Газпрому» (Росія) кошти за поставлений обсяг імпортного газу в сегмент ринку споживачів – підприємства бюджетного асігнування України.
4. Ринок продажу імпортного газу промисловим підприємствам в якості палива та хімічної сировини.
За результатами дослідження отримані наступні характеристики цього сегменту ринку:
- ресурс сегменту наповнюється з ресурсів імпортованого природного газу Національної акціонерної компанії "Нафтогаз України" та окремих міжнародних спільних газотрейдерів з участю НАК «Нафтогаз України» (у першій половині 2008 року – СП ЗАТ «Укргазенерго»).
- обсяг прогнозного ресурсу сегменту на 2008 рік (виробничо-технологічні потреби 8,0 млрд.м3) - 47 млрд.м3 на рік;
- прогнозний обсяг споживання сегменту за газовим балансом України на 2008 рік – 33,13 млрд.м3 на рік;
- імпортований компанією НАК «Нафтогаз Українги» газ, передається для реалізації по договорам Дочірній Компанії «Газ України» НАК «Нафтогаз України» або на аукціонах – національним комерційним газотрейдерам за встановленими НКРЕ тарифами на верхній граничний рівень газу (без ПДВ, цільової надбавки,тарифів на транспортування, розподіл та постачання і реалізацію);
- імпортований СП ЗАТ «Укргазенерго» газ реалізується безпосередньо по договорам з промисловими підприємствами (при обсягу споживання вище 3 млн.м3 на рік) або на аукціонах – національним комерційним газотрейдерам за встановленими НКРЕ тарифами на верхній граничний рівень газу (без ПДВ, цільової надбавки,тарифів на транспортування, розподіл та постачання і реалізацію);
- Дочірня Компанія «Газ України» НАК «Нафтогаз України» або СП ЗАТ «Укргазенерго» заключає договір за нерегульованою НКРЕ ціною з Дочірнєю Компанією «Укртрансгаз» на транспортировку імпортованого трубопроводами високого тиску до вхідних регулюючих пристроїв промислових підприємств, без використання обласних та міських газорозподільних мереж середнього та низького тиску 42 обласних ВАТ по розподілу та постачанню газу до споживачів, оскільки вони мають ліцензії по роботі з регульованими тарифами та не мають права працювати за нерегульованими тарифами;
- для цього сегменту ринку встановлені регульовані НКРЕ ціни:
а) верхній рівень кінцевої ціни, яку платить споживач – промислове підприємство, без врахуванням всіх рентних платежів та спеціальних зборів і надбавок в ціни за добичу, транспортування, розподіл та постачання + 20% ПДВ, які сплачуються додатково до встановленого гранічного рівня ціни;
в) ціна, за якою ДК «Укртрансгаз» транспортує газ магістральними трубопроводами висого тиску ( 1 надбавка на ціну), та ціна збереження газу в підземних сховищах (2 надбавка на ціну);
Фінансовий ланцюг розрахунків в сегменті реалізації газу промисловим підприємствам описується схемою:
а) промислові підприємства безпосередньо сплачують кошти за прямими договорами на постачання імпортного газу за спожитий газ;
б) ДК «Газ України» та СП ЗАТ «Укргазенерго» сплачують:
1) Отриманий ПДВ в ціні реалізації промисловим підприємствам в державний бюджет;
2) Збір – цільову надбавку в ціні реалізації споживачам – в державний бюджет;
3) За договорами з ДК «Укртрансгаз» суми за поставлений газ в обласні газові мережі (нерегульований НКРЕ тариф);
4) Залишок коштів – витрати собівартості діяльності становлять прибуток ВАТ по розподілу та постачання газу, з якого вони сплачують податок на прибуток в державний бюджет.
в) НАК «Нафтогаз України» з отриманих від ДК «Газ України» коштів за обсяги поставленого газу:
1) Сплачує трейдерам «Газпрому» (Росія) кошти за поставлений обсяг імпортного газу в сегмент ринку споживачів – промисловим підприємствам .
г) СП ЗАТ «Укргазенерго» з коштів за обсяги поставленого газу:
1) Сплачує трейдерам «Газпрому» (Росія) кошти за поставлений обсяг імпортного газу в сегмент ринку споживачів – промисловим підприємствам.
5. Ринок транзитних послуг іноземним компаніям по транспортуванню та тимчасовому зберіганню в підземних сховищах російського та середньоазіатського газу, поставляємого магістральними газопроводами з кордонів «Росія-Україна» на кордон «Україна - країни Східної та Західної Європи».
За результатами дослідження отримані наступні характеристики цього сегменту ринку:
- ресурс сегменту наповнюється з ресурсів транзитного газу основних операторів: ВАТ «Газпром» (Росія) та його основних посередників-газотрейдерів «Газекспорт», «Росукренерго», «Ітера», а також експортуємого природного газу Національною акціонерною компанією "Нафтогаз України" в покриття боргів перед ВАТ «Газпром» за 1996 -2000 рр..
- обсяг прогнозного ресурсу сегменту на 2008 рік - 120 млрд.м3 на рік;
- транзитний газ та експортуємий компанією НАК «Нафтогаз України» газ, передається для транзиту монополісту - Дочірній Компанії «Укртрансгаз» НАК «Нафтогаз України» за обумовленою ціною транзиту в доларах США за 1000 м3 на кожні 100 км транзиту;
Фінансовий ланцюг розрахунків в сегменті міжнародного транзиту газу описується схемою:
а) НАК «Нафтогаз України» через ДК «Укртрансгаз» отримує плату за транзит від ВАТ «Газпром» (Росія) та його газотрейдерів за встановленою ціною 1,7 долара за 1000 м3 на кожні 100 км;
б) ВАТ «Газпром» та його газотрейдери в оплату послуг транзиту та збереження транзитного газу в підземних сховищах України поставляють російський газ за обумовленою ціною (315 доларів США за 1000 м3 на 2008 рік), що еквівалентно обсягам до 20 млрд.м3 газу на рік;
в) При задіянні в схемі поставок компанії «Росукренерго АГ», якій Україна сплачує за транзит туркменського газу «Туркменістан – Україна» по13,9 млрд.м3 щорічно, частина поставок російського газу заміщувалась туркменським, окрім цього компанія «Росукренерго» закачувала до 8 млрд.м3 власного газу в підземні сховища України для стабілізації поставок газу в Європу в зимній період.
Україна оголосила своєю метою приєднання до Угоди про енергетичну спільноту, яка поширює законодавство ЄС на ринки електроенергії та газу для країн, що не є членами ЄС, у Південно-східній Європі. На початку 2006 р. Мінпаливенерго розробляло пропозицію щодо проекту закону про ринок природного газу. Цей проект закону фокусується на конкурентному ринку газу та приведенні українського законодавства у відповідність до основних директив ЄС – зокрема, до Директиви ЄС з газу 2003/55. На сьогоднішній день такий важливий закон так і не прийнято.
Ще однією загрозою енергетичній безпеці держави можна вважати непродуманий метод поділу вітчизняного ринку за сортами споживачів газу, коли для одних створюються сприятливіші умови, що робить загальне конкурентне поле менш справедливим і дієздатним.
Ціни за природний газ для споживачів України і тарифи на транспортування і постачання встановлюються відповідно до регуляторних документів – методик застосування, затверджених НКРЕ. Ці методи передбачають додавання витрат, пов’язаних з розвідкою, транспортуванням і постачанням газу до загальних витрат з виробництва. НАК «Нафтогаз України» надсилає до НКРЕ ціни і їхні обґрунтування для поточного перегляду тарифів, а також перегляду тарифів на транспортування газу магістральними трубопроводами і постачання природного газу.
В рамках адаптації законодавства України в частині створення ринків природного газу необхідно передбачати такі основні засоби та механізми утворення ринку:
‑створення умов для діяльності незалежного регулятора ринків, який регулює відносини між учасниками ринків;
‑створення умов для незалежної діяльності операторів з транспортування та розподілу природного газу;
‑запровадження регульованого (на основі встановлених регулятором однакових незалежно від форм власності та недискримінаційних тарифів) доступу до засобів транспортування та розподілу природного газу;
‑запровадження справедливих, прозорих та недискримінаційних соціальних зобов’язань енергетичних компаній щодо надання послуг і захист найбільш незахищених категорій споживачів;
‑створення умов для розвитку внутрішніх та міждержавних газопроводів з метою забезпечення надійності функціонування енергетичних ринків, здійснення експортно-імпортних операцій та транзиту газу.
Головними особливостями перспективного спотового ринку природного газу слід вважати:
- агрегування попиту та пропозиції для визначення відповідних кривих попиту та пропозиції системи, яке сприяє посиленню конкуренції між учасниками ринку;
- спрощення визначення ринкової ціни природного газу (у тому числі за рахунок прозорості процесу формування ціни);
- сприяння зростанню економічної ефективності системи за рахунок процесу визначення ціни природного газу, яка відображає короткострокові граничні витрати, тобто реальну економічну цінність газу в конкретний час та в конкретній точці ринкового простору;
- змога оптимізації керування ризиками та портфеля контрактів: учасники ринку отримують змогу купувати газ з різних джерел та постачати його в різних напрямках, що дозволяє комбінувати шляхи постачань через декілька центрів, диверсифікуя ризики постачальників; крім того, спотовий ринок дає учасникам можливості по зниженню і цінових ризиків;
- виступати як «остання надія» для ризиків по об'єктам: якщо одна з сторін контракту не викупила весь обсяг газу, обумовлений в довгостроковому контракті, інша сторона знає, що може тимчасово переорієнтуватися на спотовий ринок.
Основними умовами розвитку ліквідних спотових ринків вважаються:
- надлишки пропозицій та транспортних потужностей природного газу;
- забезпечення прозорих правил транспортування газу з жорсткою регламентацією послідовності дій учасників ринку та встановлення чітких часових обмежень, що обумовлено технологічними особливостями газопостачання;
- наявність регулюючого органу для розробки правил, контролю за їх виконанням, моніторингу становища та внесення змін й доповнень;
- участь достатньо великої кількості продавців та покупців на ринку, внаслідок чого ринок може відображати реальні цінові орієнтири;
- використання контрактів, стандартизованих по найбільш суттєвим контрактним умовам з тим, щоб дати змогу виникнення єдиного ефективного механізму ціноутворення за ними;
- відносна легкість входу та виходу на спотовий ринок;
- доступ до інформації (саме необхідна прозорість ринку досягається через публічно доступні інформаційні джерела).
Серед інших особливостей спотового ринку можна назвати і наявність газових сховищ (СПГ), які в значному ступені забезпечують певні можливості цінового регулювання, шляхом наявності певного зв'язку між ціною газу та його обсягів в СПГ. Так в США діє біля 410 СПГ загальним об'ємом біля 110 млрд м3 природного газу, що дорівнює 1/5 річного споживання і йде нарощування цих обсягів. Ще однією позитивною особливістю спотового ринку є наявність зв'язку між розвитком спотового та фінансового ринків.
Слід зазначити, що загальні очікування щодо зниження цін внаслідок лібералізації ринків не повинні інтерпретуватися як безумовний ціновий прогноз. Дія інших факторів, впливаючих на ціни внутрішнього ринку, таких як, наприклад, раптова зміна цін на паливо на світових ринках, в змозі змінити кінцевий напрямок руху цін. Саме такий період має місце в сьогодні. Значне підвищення цін на головні ПЕР в значному ступені превалюють над перевагами лібералізованого ринку та змушують країни експортери ПЕР суттєво підвищувати і внутрішні ціни на ПЕР. Такі тенденції стають на заваді сталому економічному розвитку в світі і, зокрема, України (рис.3.1).

Рис.3.1. – Порівняння цін на газ в Україні, Росії та Європі [ ]
3.2 О сновні напрямки та заходи удосконалення фінансового механізму
Обсяги видобутого газу у травні 2008 року в Україні майже відповідають показнику минулого року (1 728,4 млн. куб. м ), у тому числі підприємствами НАК “Нафтогаз України” видобуток газу менше рівня показника 2007 року на 16,3 млн. куб. м та дорівнює 1 591,7 млн. куб. м [108].
За 5 місяців 2008 року видобуток газу на 7,1 млн. куб. м (або на 0,1%) більше показника 5 місяців 2007 року та дорівнює 8 739,8 млн. куб. м, у тому числі обсяг видобутку газу підприємствами НАК “Нафтогаз України” менше на 53,8 млн. куб. м, та становить 8 045,8 млн. куб. м. [108].

Рис.3.2. – Динаміка показників видобутку вітчизняного газу в Україні у 2007 -2008 роках [108]
За 5 місяців 2008 року територією України за оперативними даними протранспортовано (транзитом) 56,7 млрд. куб. м природного газу, що на 11,3 млрд. куб. м., або на 24,9% більше ніж за 5 місяців 2007 року.
НАК ”Нафтогаз України” за 5 місяців 2008 року споживачам реалізовано 19 508,7 млн. кубометрів природного газу вартістю 12 370,2 млн. грн., за який сплачено 12 381,2 млн. грн. Рівень оплати за спожитий природний газ всіма категоріями споживачів України становить 100,1%.
Таблиця 3.1
Обсяги та оплата споживання природного газу за 5 місяців 2008 р. (за даними НАК "Нафтогаз України”) [108]

Розрахунки за спожитий природний газ енергогенеруючими компаніями України - за травень 2008 року обсяг спожитого природного газу енергогенеруючими компаніями України зменшився порівняно з аналогічним показником травня 2007 року на 8,0 млн. куб.м і склав 49,2 млн. куб. м.
За 5 місяців 2008 року енергогенеруючими компаніями України спожито 613,1 млн. куб. м природного газу, що на 187,6 млн. куб. м або на 44,1% більше порівняно із відповідним періодом минулого року.
Рівень розрахунків енергогенеруючих компаній (з урахуванням попередньої оплати) за спожитий природний газ протягом травня 2008 року становив – 123,7% та за 5 місяців 2008 року – 100,3%.

Рис.3.3. – Динаміка показників оплати ТЕК спожитого газу в Україні у 2007 - 2008 роках [108]
Дебіторська заборгованість підприємств, що знаходяться в корпоративному управлінні НАК „Нафтогаз України” станом на 01.04.2008 складає 49 029,5 млн. грн.
Заборгованість споживачів за спожитий природний газ з урахуванням боргів 1999-2008 рр. станом на 01.06.2008 становить 6 199,3 млн. грн. Передплата протягом 5 місяців 2008 року склала 10,9 млн. грн.
Кредиторська заборгованість підприємств, що знаходяться в корпоративному управлінні НАК „Нафтогаз України” станом на 01.04.2008 складає 71 424,2 млн. грн.
У 2007 році споживання газу в Україні склало 76,4 млрд. м3 газу, в тому числі населенням – 18,0 млрд. м3, на виробничо-технологічні потреби газодобувних та газотранспортних підприємств – 7,5 млрд. м3.
Відповідно до балансу надходження та розподілу природного газу в Україні у 2007 році для власного споживання отримано за імпортом 55,9 млрд. м3 (з Російської Федерації та з країн Середньої Азії).
Під час формування стратегії імпортної політики НАК “Нафтогаз України” здійснює переорієнтацію з укладання спотових угод на укладання довгострокових контрактів на реалізацію вуглеводнів з визначенням ціни реалізації за формулами, що враховують зміни світових цін на вуглеводневу сировину.
Перспективними джерелами імпорту газу в Україну можуть бути: Туркменістан, Казахстан (з використанням системи діючих газопроводів), Азербайджан, Іран, Ірак, в тому числі з використанням перспективного газопроводу „Набукко” (розробляється програмою INOGATE під егідою ЄС), траса якого проходитиме через Туреччину, Болгарію, Румунію, Угорщину.
Україна може приєднатись до цієї системи і зацікавлена в реалізації даного проекту. Серед можливих варіантів постачання природного газу в Україну з використанням газопроводу „Набукко” варто відзначити такі:
- постачання газу зворотним шляхом по вивільненому газопроводу від КС “Лозинець” (Болгарія) до м.Ізмаїл (Україна);
- постачання газу з чорноморських портів Трабзон (Туреччина) або Супса (Грузія) – до України (Одеса, Феодосія) у компремованому або скрапленому вигляді. Для цього необхідно збудувати газопроводи–відводи, в першому випадку – від газопроводу „Набукко” до п.Трабзон, у другому – від газопроводу Баку-Тбілісі-Ерзурум до п.Супса;
- заміщення російським газом на кордоні Україна – Росія.
Альтернативними шляхами поставок газу в Україну та Європу є маршрути Іран – Європа та нові маршрути Туркменістан – Європа, які б проходили через Україну. На користь вибору саме цих країн свідчить динаміка зміни їх експортного потенціалу (рис.3.5).
Вибір конкретних варіантів диверсифікації надходження природного газу в Україну потребує більш детального техніко-економічного обґрунтування, яке має бути виконано в межах програми диверсифікації постачання природного газу в Україну.

Рис.3.4. - Маршрут газопроводу „Набукко” та можливі варіанти постачання природного газу в Україну з використанням болгарської та турецької ділянок газопроводу [108]


Рис.3.5. - Динаміка зміни експортного потенціалу природного газу Ірану та Туркменістану, млрд. м3 [108]
Можливі альтернативи постачання природного газу в Україну слід розглядати з урахуванням таких об'єктивних чинників:
- диверсифікація джерел та шляхів постачання газу в Україну – стратегічний напрям на перспективу;
- на сьогодні постачання природного газу в Україну з альтернативних джерел дорожче за природний газ, який транспортується через або з території Росії;
- альтернативні джерела та шляхи постачання газу в Україну повинні бути узгоджені з перспективами постачання газу до країн ЄС, передбаченими програмою INOGATE;
- реалізація альтернативних проектів постачання газу в Україну має виконуватись у межах створених для цього консорціумів.
У газорозподільній мережі мають місце виробничо-технологічні втрати природного газу, як нормовані, так і понаднормативні.
У 2006 році ці втрати склали 1,9 млрд. м3 (1,1 млрд. м3 – нормовані втрати, 0,8 млрд. м3 – понаднормативні) або 2,8% від обсягів використання газу споживачами України. У 2007 році з урахуванням розвитку газорозподільної мережі нормовані втрати склали 1,2 млрд. м3.
Втрати природного газу в газотранспортній системі України (балансові втрати) у 2006 році склали 1,06 млрд. м3, або 0,5% від обсягів надходження газу. У 2007 році вони зменшились на 90 млн.куб.м і склали 0,97 млн.куб.м.
Довідково: під час транспортування природного газу в газотранспортній системі щороку витрачається (переважно на роботу газоперекачувальних агрегатів) 5,5 - 5,8 млрд. м3 газу, в газорозподільній мережі – 0,016 млрд. м3.
У зв'язку з розвитком газифікації (збільшення протяжності газопроводів, зростання кількості газифікованих квартир, об'єктів тощо), старінням газопроводів і зношеністю обладнання нормовані втрати газу в газорозподільних мережах дещо підвищаться і до 2030 року складуть близько 2% від обсягів споживання.
Очікується, що втрати природного газу в газотранспортній системі у 2030 році досягнуть рівня 0,3% від обсягів його транспортування.
Основні напрямки зменшення втрат природного газу:
- вдосконалення нормативно-правової бази щодо забезпечення надійної роботи газотранспортної системи та обліку виробничо-технологічних витрат природного газу;
- модернізація та заміна фізично зношених газоперекачувальних агрегатів;
- завершення оснащення житлового фонду лічильниками природного газу до 2015 року;
- введення розрахунків за спожитий газ в енергетичних одиницях – ТДж або ГВт/год.;
- будівництво на кордоні з Росією та Білоруссю пунктів вимірювання газу, що дублюють російські та білоруські;
- завершення оснащення газовимірювальних станцій на виході газу з України та газорозподільних станцій (ГРС) І категорії високоточними дублюючими приладами обліку природного газу.
Станом на 01.01.08 залишкові запаси газу в Україні становлять 1023,8 млрд. м3. Умови видобутку з родовищ, що на даний час вже введено в розробку, постійно ускладнюються через низку чинників. Більше 75% газових родовищах мають початкові видобувні запаси менше 10 млрд. м3. Лише 4 родовища мали початкові видобувні запаси газу більше 100 млрд. м3 (Яблунiвське, Єфремiвське, Західно-Хрестищенське, Шебелинське). Важливо, що ці 4 родовища забезпечують більше 25% поточного видобутку природного газу і сьогодні.
На найближчу та подальшу перспективу рівні видобутку газу в Україні будуть визначати такі складові:
- підвищення ефективності видобутоку вуглеводнів з родовищ, що знаходяться в експлуатації;
- прискорена розробка запасів з нових родовищ;
- приведення цін на газ для всіх категорій споживачів до економічно обґрунтованого рівня.
Зважаючи на динаміку видобутку газу з введених в розробку родовищ та прогнозної зміни розвіданих запасів вуглеводневої сировини, нв рис.3.4 наведено розраховані обсяги видобутку газу на прогнозний період (внутрішні джерела, базовий сценарій) [ ].

Рис.3.6. – Динаміка та прогноз власного видобутку газу в Україні, млрд. м3 [108]
За оптимістичним сценарієм прогнозується видобуток природного газу на території України у 2010 р. в обсязі 23,5 млрд. м3, у 2015 р. – 25,5 млрд. м3, у 2020 р. – 26,6 млрд. м3 та у 2030 р. – 30,1 млрд. м3, а за песимістичним – 20,8 млрд. м3 у 2010 р., 23,0 млрд. м3 – у 2015 р., 24,6 млрд. м3 – у 2020 р. та 26,9 млрд. м3 – у 2030 р.
Передбачається, що видобуток газу на прогнозний період здійснюватимуть переважно вітчизняні компанії.
До робіт з геологорозвідки та видобутку природного газу в глибоководній частині шельфу Чорного моря залучатимуться іноземні інвестиції та технології міжнародних нафтогазових компаній.
Найперспективніші в економічному аспекті ресурси газу, як і нафти, знаходяться в зоні Близького та Середнього Сходу, Північної та Центральної Африки. Країни, що знаходяться в цих зонах і володіють значними запасами вуглеводнів, як правило, мають невисокий рівень розвитку економіки, яка має сировинну спрямованість і базується переважно на видобутку корисних копалин. Рівень економічного розвитку цих країн змушує їх уряди поліпшувати інвестиційний клімат і впроваджувати програми значного нарощування видобутку нафти і газу, розвитку відповідної інфраструктури. Українські підприємства, володіючи високим технічним та кадровим потенціалом, можуть мати конкурентні переваги за рахунок більш низької собівартості послуг, що надаються, і робіт. Сприятиме цьому традиційно позитивні взаємовідносини країн цього регіону з країнами колишнього СРСР, в т. ч. і з Україною. Провідну роль у просуванні на міжнародні ринки видобутку газу має відігравати НАК “Нафтогаз України".
У зв’язку з тим, що у подальшому практично весь потенціал збільшення нафтогазовидобутку буде сконцентровано в таких країнах, як Саудівська Аравія, Об’єднані Арабські Емірати, Алжир, Кувейт, Лівія, Росія, Казахстан, Іран та, можливо, Ірак і Ангола, вони розглядаються як першочергові для отримання ліцензій на розвідку і подальшу розробку родовищ газу.
Виходячи з техніко-економічних обґрунтувань проектів, підготовлених НАК „Нафтогаз України”, передбачається, що видобуток природного газу українськими компаніями за межами України розпочнеться у 2010 р. і буде зростати, сягнувши у 2030 р. до 11,6 млрд. м3 на рік(рис.3.7).
Реалізація проектів з видобутку газу за межами України має відбуватись таким чином: супроводжуватися за участю українських спеціалізованих компаній в реалізації проектів модернізації та спорудження нафтогазової інфраструктури та нафтогазотранспортних систем: постачанням нафтопромислового обладнання та устаткування; наданням сервісних послуг у нафтогазовій сфері; обміном досвідом та фахівцями з метою підготовки кадрів; наданні технічно-інформаційної підтримки. Основним напрямком цієї діяльності має стати участь українських нафтогазовидобувних підприємств в освоєнні нафтогазових ресурсів зарубіжних країн на основі концесійних угод і угод про розподіл продукції.

Рис.3.7. - Прогнозований річний видобуток природного газу українськими компаніями за межами України, млрд. м3 на рік (базовий сценарій) [108]
За оптимістичним сценарієм прогнозується видобуток природного газу за межами України у 2010 р. – 2,5 млрд.м3, у 2015 р. – 6,2 млрд.м3, у 2020 р. – 6,9 млрд.м3, у 2030 р. – 12,2 млрд.м3, а за песимістичним – у 2010 р. – 2 млрд.м3, у 2015 р. – 5,5 млрд.м3, у 2020 р. –6,4 млрд.м3, у 2030 р. – 10,9 млрд.м3.
Таблиця 3.2
Техніко-економічні показники проектів видобутку природного газуНАК „Нафтогаз України” за межами України [108]
| Показник | Країна | ||
| Казахстан | Алжир | Лівія | |
| Ресурс газу, млрд. м3 | 16,1 | 16,2 | 18 |
| Ресурс нафти, млн.тонн | 63 | ||
| Очікуваний видобуток газу, млрд. м3 | 16,1 | 15,4 | 14,8 |
| Очікуваний видобуток нафти, млн.тонн | 53,1 | ||
| Загальна вартість проекту, млн. USD | 283 | 350 | 868 |
| в т.ч. українського інвестора | 209 | 304 | 868 |
| Грошовий потік, млн. USD | 183 | 357 | 1690 |
| Дисконтований грошовий потік, млн. USD | 74,5 | 97,3 | 404,6 |
| Термін окупності, роки | 6 | 7 | 7 |
Газотранспортна система України (ГТС) складається з 37,6 тис. км газопроводів різного призначення та продуктивності, 73 компресорних станцій із 110 компресорними цехами, де встановлено 703 газоперекачувальні агрегати загальною потужністю 5,4 тис. МВт, 1607 газорозподільних станцій, 13 підземних сховищ газу загальною місткістю за активним газом понад 32,0 млрд. м3 та об’єкти інфраструктури.
На "вході" ГТС спроможна прийняти до 290 млрд. м3, а на “виході” передати175 млрд. м3 природного газу, в т.ч. 140 млрд. м3 - до країн Західної та Центральної Європи.
На сьогодні близько 29% газопроводів відпрацювали свій амортизаційний термін, майже 60% експлуатуються від 10 до 33 років. Майже третина із 703 ГПА КС виробила свій моторесурс або близька до цього і потребує реконструкції.
На рис.3.8 наведені результати аналізу стратегічної важливості підтемнихних сховищ газу в Україні для стабільності забезпечення газом країн Європи.

Рис.3.8. - Частка активної місткості ПСГ країн Європи у 2007 р. [108]
Забезпечення споживачів природним газом здійснюється газовими мережами тиском до 1,2 МПа, довжина яких становить близько 287 тис. км. Необхідний режим газопостачання в цих мережах забезпечують близько 51 тис. газорегуляторних пунктів (ГРП).
Система газопостачання природного газу тиском до 1,2 МПа має значний ступінь зносу і, крім цього, експлуатується в складних умовах інженерної інфраструктури населених пунктів. Так, 11,6 тис. км розподільчих газопроводів (або близько 7%) та 4,9 тис. газорегуляторних пунктів (або близько 14%) вже відпрацювали свій амортизаційний термін.
Зважаючи на терміни експлуатації газопроводів та їх технічний стан, для підтримання надійного та ефективного функціонування до 2015 року планується повністю завершити реконструкцію всіх компресорних станцій. До 2030 року буде завершено модернізацію та техпереоснащення газотранспортної системи з використанням найбільш сучасних та ефективних технологій.
Сучасний рівень цін на природний газ у країнах Європи становить 220-350 USD/тис.м3 для промислових споживачів та 550-600 USD/тис.м3 для побутових споживачів з тенденцією до подальшого зростання. У зв’язку з лібералізацією енергетичних ринків, неминучим є наближення цін на природний газ в Україні до рівня світових.
Зростання ціни на природний газ до середньоєвропейського рівня призведе до зниження його конкурентоспроможності у виробництві досить широкого спектру товарної продукції та послуг в Україні. Найбільші зміни відбуватимуться під час вибору первинного енергоносія для виробництва тепла та електроенергії.
Прогнозоване зростання світових цін на нафту та природний газ відбуватиметься в умовах відносно стабільних цін на вугілля та ядерне паливо, що підвищує конкурентоспроможність гідравлічних, атомних і теплових електростанцій, які працюють на вугіллі та стимулює розвиток нетрадиційних та відновлювальних джерел енергії. Тому перевага у структурі палива для виробництва енергії в Україні надаватиметься власному урану та вугіллю, що забезпечить певну стабільність паливної складової на електричну енергію та підвищить рівень енергетичної безпеки країни.
Водночас прогнозоване відставання темпів зростання цін на електричну енергію від цін на природний газ та нафту створює економічні умови для використання електричної енергії замість природного газу та мазуту у системах промислового та побутового теплозабезпечення.
З метою оптимізації режимів виробництва електричної енергії та підвищення коефіцієнта використання потужностей атомних енергоблоків шляхом збільшення споживання електроенергії в години „нічного провалу” доцільно поетапно замінювати газовий нагрів системами акумуляційного електронагріву, які є споживачами-регуляторами, забезпечивши оптимальне управління зонними та диференційованими тарифами на електричну енергію. Це дозволить суттєво знизити обсяги споживання природного газу на потреби опалення.
Окрім використання акумуляційних систем електронагріву, масштабне витіснення вуглеводневого палива із систем низько- та середньотемпературного нагріву (технологія опалення, гаряче водопостачання, вентиляція та кондиціонування) забезпечить використання електричних теплогенераторів та термотрансформаторів.
Заміна газових котелень на електричні теплогенератори та акумуляційний електричний нагрів може забезпечити витіснення більше половини природного газу, що використовується для теплопостачання у промисловості і побуті.
Забезпечення та регулювання ринку нафтопродуктів України передбачається за рахунок переробки нафти і газового конденсату власного видобутку та видобутих українськими компаніями за межами України, заміщенням моторного палива стиснутим (метан) та скрапленим (пропан-бутан) газом, а також рідким паливом, отриманим внаслідок переробки органічної маси (ріпаку, зерна, цукрових буряків тощо) та кам’яного вугілля.
Враховуючи наведені факти, за базовим сценарієм прогнозується таке споживання основних енергоресурсів до 2030 року [ ]:
· Споживання електроенергії збільшиться в 2,2 рази і перевищить за прогнозними даними 395,1 млрд.кВтг, експортні можливості зростуть до 25 млрд.кВтг;

Рис.3.9. – Прогноз споживання електроенергії в Україні до 2030 року[108]
· Споживання вугільної продукції збільшиться майже в 2,2 разу – до 130,3 млн.тонн;

Рис.3.10. – Прогноз споживання вугілля в Україні до 2030 року[108]
· Споживання природного газу зменшиться майже на 36% – до 49,5 млрд. м3;

Рис.3.11. – Прогноз споживання газу в Україні до 2030 року[108]
· Споживання нафти для внутрішніх потреб збільшиться на третину – до 23,8 млн.тонн.

Рис.3.12. – Прогноз споживання вугілля в Україні до 2030 року[108]
![]()

Рис.3.13. – прогноз споживання власних та імпортованих ресурсів у 2005, 2030 роках, млн. т у.п. / % [108]
Одним із шляхів диверсифікації шляхів поставки природного газу по імпорту в Україну є використання зрідженого природного газу (ЗПГ). ЗПГ –це природний газ зріджений шляхом охолодження до – 1610С. В процесі зрідження об'єм газу зменшується майже в 600 разів, що робить економічно прийнятним його транспортування в спеціальних танкерах-метановозах по всьому світі. В 2003 році 12 країн світу (США, Алжир, Лівія, ОАЕ, Бруней, Індонезія, Малайзія, Австралія, Трінідад та Тобаго, Нігерія, Оман, Катар) експортували 126 млн т ЗПГ (біля 128 млрд м3) в 13 країн світу. ПостачанняЗПГ в 2003 році забезпечило біля 6 % загального споживання газу та 27 % всієї міжнародної торгівлі газом. Темпи зростання торгівлі ЗПГ досить високі: вже до 2007 року обсяг світової торгівлі ЗПГ може скласти від 200 до 330 млн т на рік, тобто за 4 роки зрости майже вдвічі.
Не зважаючи на наявні переваги торгівлі ЗПГ є і певні вади, а саме:
- технологічна складність виробництва та транспортування ЗПГ;
- значні обсяги інвестування виробництва;
- значні обсяги витрат споживача для будівництва приймальних терміналів та заводів з ре газифікації.
На сьогоднішній день собівартість виробництва 1 т ЗПГ складає біля $ 250 для повного початкового виробництва і біля $ 175 для розширення потужностей на діючому виробництві. Саме використання ЗПГ в сучасних умовах є реальною можливістю диверсифікації газових постачань.
«Нафтогаз України» запропонував побудувати регазифікаційну установку для ЗПГ на Чорному морі з наміром імпортувати ЗПГ з Лівії, Єгипту та інших країн. У січні 2006 р. «Нафтогаз України» оголосив про завершення технічко-економічного обґрунтування для терміналу з початковою потужністю 10 млрд м3. Такий проект коштуватиме 3 млрд дол. США.
Теоретично термінал ЗПГ допоміг би Україні диверсифікувати постачання газу. Однак такий проект потребував би ретельного аналізу витрат та вигід, з урахуванням варіантів постачання, прогнозованих світових цін на ЗПГ, витрат на транспортування та потенційний попит на ЗПГ, що постачається за світовими цінами. Є очевидним, що фінансування було б проблемою. НАК «Нафтогаз України» стверджує, що він фінансував би проект завдяки своїм власним фондам та кредитам, але заборгованість компанії вже викликає занепокоєння. Додаткова складність, яка має враховуватися – це транзит суден з ЗПГ через Босфорську протоку, чому протистоять владні структури Туреччини. Тим не менше, подальше зростання ціни на російський та каспійський газ та широкі реформи в українському газовому секторі можуть в кінцевому підсумку покращити перспективи спорудження терміналу ЗПГ у країні.
![]()

Рис.3.14. - Прогнозна динаміка видобутку та імпорту природного газудля забезпечення власного споживання, млрд. м3 [108]
3.3 Удосконалення державного регулювання цін (тарифів) на послуги природних монополій та функціонування комерційних посередників в схемах поставок і фінансових розрахунків на аукціонному принципі
Для вироблення рекомендацій по удосконаленню тарифної політики в фінансових розрахунках суб’єктів газового ринку України в рамках обмежених можливостей дипломного дослідження проведений наступний інтегральний аналіз.
В табл.3.3 наведена динаміка тарифів для 4-х сегментів ринку споживачів України у 2004 -2008 роках.
На рис. 3.15 – 3.18 наведені результати оцінки рівня сплати за спожитий газ на регулюємому державою частці ринку за перші 5 місяців 2008 року [118]:
– оцінка рівня рівня сплати за спожитий газ за 5 місяців 2008 року в сегменті «Населення» за даними НАК «Нафтогаз України» ;
– оцінка рівня рівня сплати за спожитий газ за 5 місяців 2008 року в сегменті «Бюджетні установи» за даними НАК «Нафтогаз України»;
– оцінка рівня рівня сплати за спожитий газ за 5 місяців 2008 року в сегменті «Підприємства ТКЕ - теплокомуненерго» (інформація середня по області) за даними НАК «Нафтогаз України»;
- оцінка рівня рівня сплати за спожитий газ за 5 місяців 2008 року в сегменті «Підприємства ТКЕ - теплокомуненерго»(інформація по крупним містам України) за даними НАК «Нафтогаз України».
Як показують результати аналіза графіків рис.3.13 -3.16:
- Середньозважений рівень сплати по сегменту «Населення» становить- 82,6%;
- Середньозважений рівень сплати по сегменту «Бюджетні установи» становить- 86,0%;
- Середньозважений рівень сплати по сегменту «Теплокомуненерго- середньообласні рівні» становить- 53,0%;
- Середньозважений рівень сплати по сегменту «Теплокомуненерго- міста України» становить- 45,1%;
В табл.3.2 наведені результати статистичної обробки рядів рівня сплати споживачами за газ в регульованих сегментах ринку, виконані за допомогою програмного забезпеченя пакету EXCEL-2007.
Таблиця 3.4
Статистичні характеристики рядов розподілу рівня сплати за 5 місяців 2008 року

Як показує аналіз даних табл.3.4 – найгірші показники рівня сплати за спожитий газ – в сегменті «підприємства теплоенерго – крупних міст України», тобто навіть дотація для цього сегменту з державного бюджету не покращує положення в секторі, де є міста з рівнем оплати 5%.
Враховуючи, що нормативні документи по фінансовим розрахункам, розглянуті в даному дипломному дослідженні вимагають сплати за спожитийгаз, єдиним шляхом є зміна вимог до сегменту ТКЕ з вимогами передоплати за спожитий газ.
Таблиця 3.3
Динаміка тарифів для 4-х сегментів користувачів газу в Україні у 2004 -2008 роках


Рис.3.15. – Оцінка рівня рівня сплати за спожитий газ за 5 місяців 2008 року в сегменті «Населення» за даними НАК «Нафтогаз України» [ ]

Рис.3.16. – Оцінка рівня рівня сплати за спожитий газ за 5 місяців 2008 року в сегменті «Бюджетні установи» за даними НАК «Нафтогаз України»

Рис.3.17. – Оцінка рівня рівня сплати за спожитий газ за 5 місяців 2008 року в сегменті «Підприємства ТКЕ - теплокомуненерго» (інформація середня по області) за даними НАК «Нафтогаз України»

Рис.3.18. – Оцінка рівня рівня сплати за спожитий газ за 5 місяців 2008 року в сегменті «Підприємства ТКЕ - теплокомуненерго»(інформація по крупним містам Укра\ни) за даними НАК «Нафтогаз України»
На рис.3.19 – 3.22 наведені результати побудови кореляційно – регресійних моделей залежності рівня боргів за несплачений газ від рівня спожитого газу за 5 місяців 2008 року в сегментах регульованих тарифів «Населення», «Бюджетні установи», «Підприємства теплокомуненерго областей», «Підприємства теплокомуненерго великих міст України». Побудова та графічне зображення отримане за допомогою математичного пеката статистичних досліджень MicrosoftExcel – 2007.
Як показує аналіз в характерних сегментах ринку регульованих тарифів для споживачів газу на Україні отримані наступні залежності (функція боргу за спожитий газ в грн. від обсягу спожитого газу за 5 місяців 2008 року в тис.м3):
1. Для сегменту «Населення»:
а) тарифна функція
Y(грн.)= (315 -345)(грн/тис.м3) * x(тис.м3)
б) кореляційно-регресійна функція боргу за несплачений газ (кореляційний зв’язок середньої сили)
Y= 41,4 * x( R2 = 0,317)
2. Для сегменту «Бюджетні установи»
а) тарифна функція
Y(грн.)= 1350 (грн/тис.м3) * x(тис.м3)
б) кореляційно-регресійна функція боргу за несплачений газ (кореляційний зв’язок середньої сили)
Y= 147,3 * x( R2 = 0,314)
3. Для сегменту «Підприємства теплокомуненерго областей» а) тарифна функція
Y(грн.)= 710 (грн/тис.м3) * x(тис.м3)
б) кореляційно-регресійна функція боргу за несплачений газ (кореляційний зв’язок великою сили)
Y= 417,7 * x( R2 = 0,918)
4. Для сегменту «Підприємства теплокомуненерго міст України»
а) тарифна функція
Y(грн.)= 710 (грн/тис.м3) * x(тис.м3)
б) кореляційно-регресійна функція боргу за несплачений газ (кореляційний зв’язок великою сили)
Y= 433,6 * x( R2 = 0,883)
Таким чином, коефіцієнт схильності до заборгованості та несплаті за спожитий газ в сегменті «Бюджетні Установи» в 3,7 рази вище ніж в сегменті «Населення», в сегментах «Підприємства теплокомуненерго» (сильний кореляційний зв’язок) - в 10-11 раз вище, ніж в сегменті «Населення».
Як показує спільний аналіз тарифних функцій та розрахованих функцій боргу:
- Коефіцієнт боргу в сегментах «Населення» та «Бюджетні установи» становить 10% -15% від коефіцієнту тарифу;
- Коефіцієнт боргу в сегменті «Підприємства теплокомуненерго» становить 58,7%-61,0%.
Тобто удосконаленою тарифною політикою в наведених сегментах може бути запропоновано:
1. Оплата спожитого газу в сегменті «Населеняя» згідно фактичним показникам спожиття (після спожиття);
2. Передоплата 50% ліміту газу, розподіленого для споживання в сегменті «Бюджетні установи», з оплатою залишків сум по результатах фактичного споживання;
3. Передоплата векселями, які можна продавати населенню для розрахунків з підприємствами теплокомуненерго, за газ 100% у сегменті «Підприємства теплокомуненерго», або вертикальна інтеграція по типу «Газтепло» зі зміною власників підприємств теплокомуненерго і створенням інтегрованих підприємств.

Рис. 3.19. – Кореляційно-регресійна модель залежності рівня боргів за несплачений газ від рівня спожитого газу за 5 місяців 2008 року в сегменті регульованих тарифів «Населення»

Рис. 3.20. – Кореляційно-регресійна модель залежності рівня боргів за несплачений газ від рівня спожитого газу за 5 місяців 2008 року в сегменті регульованих тарифів «Бюджетні установи»

Рис. 3.21. – Кореляційно-регресійна модель залежності рівня боргів за несплачений газ від рівня спожитого газу за 5 місяців 2008 року в сегменті регульованих тарифів «Підприємства теплокомуненерго областей України»

Рис. 3.22. – Кореляційно-регресійна модель залежності рівня боргів за несплачений газ від рівня спожитого газу за 5 місяців 2008 року в сегменті регульованих тарифів «Підприємства теплокомуненерго крупних міст України»
В ИСНОВКИ
Газовий ринок України за джерелами ресурсів розподіляється на 2 сегменти: ринок природного газу власного добування та ринок імпортного природного газу.
Ринок природного газу власного добування представлений монополістом НАК «Нафтогаз України» та підпорядкованими йому дочірніми підприємствами чи контролюємими за пакетом акцій підприємствами:
- ДК «Укргазовидобування» - національне підприємство власного газодобування;
- ДАТ «Чорноморнафтогаз» -національне підприємство власного газодобування;
- ВАТ «Укрнафта» - національне підприємство власного газодобування;
- ДК «Газ України» - національне підприємство НАК «Нафтогаз України» по розподілу та торгівлі газом власного добування за регульованими тарифами;
- ДК «Укртрансгаз» - національне підприємство НАК «Нафтогаз України» по транспортируванні магістральними газопроводами високого тиску газу власного добуваня від виробника да територіального розподільника;
- 42 теріторіально- обласних ВАТ по розподілу та постачанню газа кінцевим користувачам за допомогою розподільних мереж середнього та низького тиску;
- 15 -20 невеликими незалежними газодобувними підприємствами місцевого значення чи попутної добичі газу в невеликих обсягах.
Ринок імпортного природного газу представлений:
- Власниками імпортного газу в Росії, Туркменістані, Узбекістані та Казахстані;
- Міжнародними експортерами- газотрейдерами постачання імпортно-го газу в Україну - компанії “Ітера” (Росія-Кіпр), «EuralTG» (Росія-Кіпр) та “РОСУКРЕНЕРГО” (Росія-Австрія);
- Імпортером газу в Україні - Національна акціонерна компанія «НАФТОГАЗ УКРАЇНИ»
- Імпортером газу в Україні – спільне ЗАТ «УКРГАЗЕНЕРГО» (РОСУКРЕНЕРГО+НАК «НАФТОГАЗ УКРАЇНИ»);
- ДК «Укртрансгаз» НАК «Нафтогаз України» - національне підприємство транзитних трубопроводів газу високого тиску України;
- 42 теріторіально- обласними ВАТ по транзиту імпортного кінцевим користувачам за допомогою розподільних мереж середнього та низького тиску;
- 350 – 400 національними газотрейдерами по перепродажу імпортного газу, купленого на аукціонах чи у прямих імпортерів імпортного газу;
Проведений в дипломному дослідженні аналіз показав, що ринок споживачів природного газу в Україні на сьогодні розбитий на 5 специфічних сегментів по признакам споживачів:
- ринок продажу вітчизняного газу населенню за низькими регульованими цінами, який на 100% забезпечуються газом, добутим на території України національними газодобувними компаніями;
- ринок продажу імпортного газу підприємствам теплокомуненерго - суб'єктам господарювання, які виробляють теплову енергію, у тому числі блочних (модульних) котелень, установлених на дахові та прибудованих, які забезпечують теплом та гарячею водою населення за низькими регульованими цінами з дотаціями газопостачальникам компенсаційних сум з державного бюджету України;
- ринок продажу імпортного газу установамта організаціям, що фінансуються з державного і місцевих бюджетів;
- ринок продажу імпортного газу промисловим підприємствам в якості палива та хімічної сировини;
- ринок транзитних послуг іноземним компаніям по транспортуванню та тимчасовому зберіганню в підземних сховищах російського та середньоазіатського газу, поставляємого магістральними газопроводами з кордонів «Росія-Україна» на кордон «Україна - країни Східної та Західної Європи».
За результатами дипломного дослідження вказані 5 сегментів газового ринку споживачів в Україні мають станом на 2008 рік наступні характеристики:
1. Ринок продажу вітчизняного газу населенню за низькими регульованими цінами, який на 100% забезпечуються газом, добутим на території України національними газодобувними компаніями.
За результатами дослідження отримані наступні характеристики цього сегменту ринку:
- ресурс сегменту наповнюється виключно трьома газодобувними компаніями України - Дочірня Компанія «Укргазовидобування» НАК «Нафтогаз України», ВАТ «Укрнафта» в якій НАК «Нафтогаз України» має контрольний пакет акцій більше 51%, Державне Акціонерне Товариство «Чорноморнафтогаз» підпорядковане НАК «Нафтогаз України»;
- обсяг прогнозного ресурсу сегменту на 2008 рік - 19 млрд.м3 на рік;
- прогнозний обсяг споживання сегменту за газовим балансом України на 2008 рік – 17,8 млрд.м3 на рік;
- прогнозне забезпечення сегменту газом власної добичі за балансом 2008 року – 16,8 млрд.м3 на рік;
- прогнозне забезпечення сегменту газом з підземних сховищ за балансом 2008 року – 1,0 млрд.м3 на рік;
- весь добутий газ, за виключенням внутрішніх потреб, газодобувні компанії продають Дочірній Компанії «Газ України» НАК «Нафтогаз України» за регульовано встановленими НКРЕ тарифами;
- Дочірня Компанія «Газ України» НАК «Нафтогаз України» заключає договір за регульованою НКРЕ ціною з Дочірнєю Компанією «Укртрансгаз» на транспортировку добутого національними компаніями газу трубопроводами високого тиску до вхідних регулюючих пристроїв обласних та міських газорозподільних мереж середнього та низького тиску 42 обласних ВАТ по розподілу та постачанню газу до споживачів – населення;
- 42 обласних ВАТ по територіальному розподілу та постачанню газу до споживачів за регульованими НКРЕ тарифами на розподіл та постачання постачають газ через систему трубопроводів та вузлів регулювання, які належать державі та передані їм в експлуатацію за договорами, в помешкання споживачів –населенню;
- для цього сегменту ринку встановлені регульовані НКРЕ ціни:
а) кінцева ціна, яку платить споживач – населення, з врахуванням всіх рентних платежів та спеціальних зборів і надбавок в ціни за добичу, транспортування, розподіл та постачання + 20% ПДВ;
б) ціна, за якою газовидобувні підприємства продають добутий газ ДК «Газ України». Ця ціна включає собівартість добичі, збір за геологорозвідувальні роботи, рентну плату за добичу газу, збір за надрокористування при добичі газу, прибуток газодобуваючого підприємства.
При встановленій регульовано ціні продажу, прибуток підприємств залежить від реальної собівартості та зборів і сплат в бюджет. В результаті ціна на газ для газодобувних підприємств встановлюється в 3,5 - 4,5 нижче ціни імпортує мого Україною газа з Туркменістану та Росії;
в) ціна, за якою ДК «Укртрансгаз» транспортує газ магістральними трубопроводами висого тиску ( 1 надбавка на ціну), та ціна збереження газу в підземних сховищах (2 надбавка на ціну);
г) диференціовані ціни для послуг 42 ВАТ по розподілу та газопостачанню ( 3 та 4 надбавка за ціну);
2. Ринок продажу імпортного газу підприємствам теплокомуненерго - суб'єктам господарювання, які виробляють теплову енергію, у тому числі блочних (модульних) котелень, установлених на дахові та прибудованих, які забезпечують теплом та гарячею водою населення за низькими регульованими цінами з дотаціями газопостачальникам компенсаційних сум з державного бюджету України.
За результатами дослідження отримані наступні характеристики цього сегменту ринку:
- ресурс сегменту наповнюється з ресурсів імпортованого природного газу Національної акціонерної компанії "Нафтогаз України".
- обсяг прогнозного ресурсу сегменту на 2008 рік (виробничо-технологічні потреби 8,0 млрд.м3) - 47 млрд.м3 на рік;
- прогнозний обсяг споживання сегменту за газовим балансом України на 2008 рік – 12,6 млрд.м3 на рік;
- імпортований компанією НАК «Нафтогаз Українги» газ, передається для реалізації Дочірній Компанії «Газ України» НАК «Нафтогаз України» за регульовано встановленими НКРЕ тарифами, при цьому перевищення фактичної ціни придбаного імпортного газу над встановленими НКРЕ тарифами компенсується НАК «Нафтогаз України» за рахунок коштів державного бюджету України;
- Дочірня Компанія «Газ України» НАК «Нафтогаз України» заключає договір за регульованою НКРЕ ціною з Дочірнєю Компанією «Укртрансгаз» на транспортировку імпортованого трубопроводами високого тиску до вхідних регулюючих пристроїв обласних та міських газорозподільних мереж середнього та низького тиску 42 обласних ВАТ по розподілу та постачанню газу до споживачів – підприємств теплокомуненерго;
- 42 обласних ВАТ по територіальному розподілу та постачанню газу до споживачів за регульованими НКРЕ тарифами на розподіл та постачання постачають газ через систему трубопроводів та вузлів регулювання, які належать державі та передані їм в експлуатацію за договорами, на територію споживачів – підприємств теплокомуненерго;
- для цього сегменту ринку встановлені регульовані НКРЕ ціни:
а) кінцева ціна, яку платить споживач – підприємство теплокомуненерго, з врахуванням всіх рентних платежів та спеціальних зборів і надбавок в ціни за добичу, транспортування, розподіл та постачання + 20% ПДВ;
в) ціна, за якою ДК «Укртрансгаз» транспортує газ магістральними трубопроводами висого тиску ( 1 надбавка на ціну), та ціна збереження газу в підземних сховищах (2 надбавка на ціну);
г) диференціовані ціни для послуг 42 ВАТ по розподілу та газопостачанню ( 3 та 4 надбавка за ціну);
3. Ринок продажу імпортного газу установам та організаціям, що фінансуються з державного і місцевих бюджетів.
За результатами дослідження отримані наступні характеристики цього сегменту ринку:
- ресурс сегменту наповнюється з ресурсів імпортованого природного газу Національної акціонерної компанії "Нафтогаз України".
- обсяг прогнозного ресурсу сегменту на 2008 рік (виробничо-технологічні потреби 8,0 млрд.м3) - 47 млрд.м3 на рік;
- прогнозний обсяг споживання сегменту за газовим балансом України на 2008 рік – 1,05 млрд.м3 на рік;
- імпортований компанією НАК «Нафтогаз Українги» газ, передається для реалізації Дочірній Компанії «Газ України» НАК «Нафтогаз України» за встановленими НКРЕ тарифами на верхній граничний рівень газу (без ПДВ, цільової надбавки,тарифів на транспортування, розподіл та постачання і реалізацію);
- Дочірня Компанія «Газ України» НАК «Нафтогаз України» заключає договір за регульованою НКРЕ ціною з Дочірнєю Компанією «Укртрансгаз» на транспортировку імпортованого трубопроводами високого тиску до вхідних регулюючих пристроїв обласних та міських газорозподільних мереж середнього та низького тиску 42 обласних ВАТ по розподілу та постачанню газу до споживачів – підприємств теплокомуненерго;
- 42 обласних ВАТ по територіальному розподілу та постачанню газу до споживачів за регульованими НКРЕ тарифами на розподіл та постачання постачають газ через систему трубопроводів та вузлів регулювання, які належать державі та передані їм в експлуатацію за договорами, на територію споживачів – підприємств бюджетного асігнування;
- для цього сегменту ринку встановлені регульовані НКРЕ ціни:
а) верхній рівень кінцевої ціни, яку платить споживач – підприємство бюджетного асігнування, без врахуванням всіх рентних платежів та спеціальних зборів і надбавок в ціни за добичу, транспортування, розподіл та постачання + 20% ПДВ, які сплачуються додатково до встановленого гранічного рівня ціни;
в) ціна, за якою ДК «Укртрансгаз» транспортує газ магістральними трубопроводами висого тиску ( 1 надбавка на ціну), та ціна збереження газу в підземних сховищах (2 надбавка на ціну);
г) диференціовані ціни для послуг 42 ВАТ по розподілу та газопостачанню ( 3 та 4 надбавка за ціну);
4. Ринок продажу імпортного газу промисловим підприємствам в якості палива та хімічної сировини.
За результатами дослідження отримані наступні характеристики цього сегменту ринку:
- ресурс сегменту наповнюється з ресурсів імпортованого природного газу Національної акціонерної компанії "Нафтогаз України" та окремих міжнародних спільних газотрейдерів з участю НАК «Нафтогаз України» (у першій половині 2008 року – СП ЗАТ «Укргазенерго»).
- обсяг прогнозного ресурсу сегменту на 2008 рік (виробничо-технологічні потреби 8,0 млрд.м3) - 47 млрд.м3 на рік;
- прогнозний обсяг споживання сегменту за газовим балансом України на 2008 рік – 33,13 млрд.м3 на рік;
- імпортований компанією НАК «Нафтогаз Українги» газ, передається для реалізації по договорам Дочірній Компанії «Газ України» НАК «Нафтогаз України» або на аукціонах – національним комерційним газотрейдерам за встановленими НКРЕ тарифами на верхній граничний рівень газу (без ПДВ, цільової надбавки,тарифів на транспортування, розподіл та постачання і реалізацію);
- імпортований СП ЗАТ «Укргазенерго» газ реалізується безпосередньо по договорам з промисловими підприємствами (при обсягу споживання вище 3 млн.м3 на рік) або на аукціонах – національним комерційним газотрейдерам за встановленими НКРЕ тарифами на верхній граничний рівень газу (без ПДВ, цільової надбавки,тарифів на транспортування, розподіл та постачання і реалізацію);
- Дочірня Компанія «Газ України» НАК «Нафтогаз України» або СП ЗАТ «Укргазенерго» заключає договір за нерегульованою НКРЕ ціною з Дочірнєю Компанією «Укртрансгаз» на транспортировку імпортованого трубопроводами високого тиску до вхідних регулюючих пристроїв промислових підприємств, без використання обласних та міських газорозподільних мереж середнього та низького тиску 42 обласних ВАТ по розподілу та постачанню газу до споживачів, оскільки вони мають ліцензії по роботі з регульованими тарифами та не мають права працювати за нерегульованими тарифами;
- для цього сегменту ринку встановлені регульовані НКРЕ ціни:
а) верхній рівень кінцевої ціни, яку платить споживач – промислове підприємство, без врахуванням всіх рентних платежів та спеціальних зборів і надбавок в ціни за добичу, транспортування, розподіл та постачання + 20% ПДВ, які сплачуються додатково до встановленого гранічного рівня ціни;
в) ціна, за якою ДК «Укртрансгаз» транспортує газ магістральними трубопроводами висого тиску ( 1 надбавка на ціну), та ціна збереження газу в підземних сховищах (2 надбавка на ціну);
5. Ринок транзитних послуг іноземним компаніям по транспортуванню та тимчасовому зберіганню в підземних сховищах російського та середньоазіатського газу, поставляємого магістральними газопроводами з кордонів «Росія-Україна» на кордон «Україна - країни Східної та Західної Європи».
За результатами дослідження отримані наступні характеристики цього сегменту ринку:
- ресурс сегменту наповнюється з ресурсів транзитного газу основних операторів: ВАТ «Газпром» (Росія) та його основних посередників-газотрейдерів «Газекспорт», «Росукренерго», «Ітера», а також експортуємого природного газу Національною акціонерною компанією "Нафтогаз України" в покриття боргів перед ВАТ «Газпром» за 1996 -2000 рр..
- обсяг прогнозного ресурсу сегменту на 2008 рік - 120 млрд.м3 на рік;
- транзитний газ та експортуємий компанією НАК «Нафтогаз України» газ, передається для транзиту монополісту - Дочірній Компанії «Укртрансгаз» НАК «Нафтогаз України» за обумовленою ціною транзиту в доларах США за 1000 м3 на кожні 100 км транзиту;
Фінансовий ланцюг розрахунків в сегменті міжнародного транзиту газу описується схемою:
а) НАК «Нафтогаз України» через ДК «Укртрансгаз» отримує плату за транзит від ВАТ «Газпром» (Росія) та його газотрейдерів за встановленою ціною 1,7 долара за 1000 м3 на кожні 100 км;
б) ВАТ «Газпром» та його газотрейдери в оплату послуг транзиту та збереження транзитного газу в підземних сховищах України поставляють російський газ за обумовленою ціною (315 доларів США за 1000 м3 на 2008 рік), що еквівалентно обсягам до 20 млрд.м3 газу на рік;
в) При задіянні в схемі поставок компанії «Росукренерго АГ», якій Україна сплачує за транзит туркменського газу «Туркменістан – Україна» по13,9 млрд.м3 щорічно, частина поставок російського газу заміщувалась туркменським, окрім цього компанія «Росукренерго» закачувала до 8 млрд.м3 власного газу в підземні сховища України для стабілізації поставок газу в Європу в зимній період.
Проведений в дипломному дослідженні аналіз фінансового стану підприємств –суб’єктів газового ринку України показав:
а) НАК «НафтогазУкраїни»:
- чистий прибуток у 2007 році – 3,124 млрд.грн.;
- підприємство низько ліквідне, з низьким рівнем автономноссті, не має власних оборотних коштів, стан фінансової стійкості по покриттю запасів – кризисний;
- рівень рентабельності власного капіталу у 2007 році – 14,6% (на рівні депозитної ставки банківського ринку капіталів);
- рівень ймовірності банкрутства підприємства у 2003 - 2007 роках по Альтману характеризується як дуже значний, що потребує виконання антикризової програми на підприємстві.
б) ВАТ «Укрнафта»
- Чистий прибуток підприємства після оподаткування з рівня 0,890 млрд. грн. у 2003 році зріс до рівня 2,412 млрд.грн. у 2006 році та знизився до рівня 1,719 млрд.грн. у 2007 році;
- підприємство – ліквідне та платоспроможне
- коефіцієнт автономності та рівень власного оборотного капіталу перевищують рівень вимог для стійкого функціонування підприємства;
- стан фінансової стійкості по наявності джерел покриття запасів – критичний у 2003 році та нормального рівня стійкості у 2004 -2007 роках;
- рівень рентабельності власного капіталу по чистому прибутку після оподаткування (ROE) становить 16,79% у 2003 році, підвищується до рівня 31,68% у 2006 році та знижується до рівня 13,88% у 2007 році;
- рівень ймовірності банкрутства підприємства у 2003 - 2007 роках по Альтману характеризується як дуже незначний.
в) ДАТ «Чорноморнафтогаз»
- чистий прибуток 7,11 млн.грн. у 2007 році;
- підприємство – ліквідне та платоспроможне, при цьому має певні проб-леми з нестачею строкової ліквідності.
- коефіцієнт автономності та рівень власного оборотного капіталу перевищують рівень вимог для стійкого функціонування підприємства;
- стан фінансової стійкості по наявності джерел покриття запасів – абсолютно стійкий за весь діапазон 2003 -2007 років
- рівень рентабельності власного капіталу по чистому прибутку після оподаткування (ROE) становить 2,49% у 2003 році, зростає до рівня 9,26% у 2006 році та різко знижується до рівня 0,46% у 2007 році;
- рівень ймовірності банкрутства підприємства у 2003 -2006 роках по Альтману характеризується як незначний
д) ДК «Газ України»
- власний капітал підприємства з негативного рівня -3,711 млрд.грн. у 2003 році значно знизився до рівня -7,535 млрд.грн. у 2006 році, тобто підприємство є технічним банкротом, який втратив статутний та додатковий власний капітал за рахунок постійної збитковості діяльності. Згідно з законами України підприємство, яке не має власного капіталу, повинно бути закрите;
- чистий збиток підприємства після оподаткування з рівня -1,218 млрд. грн. у 2003 році знижується до рівня збитку -0.581 млрд.грн. у 2005 році та різко зростає до рівня збитку -1,044 млрд.грн. у 2006 році;
- підприємство – неліквідне та несплатоспроможне
- коефіцієнт автономності становить негативне значення -0,363 у 2003 році та – 1,241 у 2006 році при нормативному значенні не менше 0,5, тобто підприємство є катастрофічно нестійким та повністю залежить від претензій кредиторів, не маючи власного страхового капіталу;
- стан фінансової стійкості по наявності джерел покриття запасів – катастрофічний за весь діапазон 2003 -2007 років, тобто рівень запасів не покривається джерелами коштів підприємства;
- рівень ймовірності банкрутства підприємства у 2003 -2006 роках по Альтману характеризується як максимальний –технічне банкрутство.
ж) 42 ВАТ по теріторіальному розподілу та постачанню газу в областях:
- ВАТ збиткові чи низько прибуткові, оскільки працюють за регулюємими НКРЕ тарифами, які розрахунково мають рентабельність 5%, а фактично є збитковими.
з) СП ЗАТ «Укргазенерго»:
- прибуткове за рахунок перепродажу імпортного газу з мінімальною собівартістю власних витрат (фінансові посередники), оскільки ніяких фізичних поставок фірми не проводять та не мають основних засобів (газотранспортних мереж чи газорозподільних мереж). При штаті в 60 працівників СП організовує поставки імпортного газу більш ніж 4000 великих промислових підприємств України (на обслуговуванні підприємства з витратами білье 3 млн.м3 газу на рік).
СП ЗАТ «Укргазнерго» використовує по договорам технологічну структуру газових мереж НАК «Нафтогаз України» та 42 ВАТ по газорозподілу та газопостачанню.
і) Газотрейдери по перепродажу імпортного природного газу за нерегульованим тарифом:
- прибуткові за рахунок перепродажу газу з мінімальною собівартістю власних витрат (фінансові посередники), оскільки ніяких фізичних поставок фірми не проводять та не мають основних засобів (газотранспортних мереж чи газорозподільних мереж).
Національні газотрейдери використовують по договорам технологічну структуру газових мереж НАК «Нафтогаз України» та 42 ВАТ по газорозподілу та газопостачанню.
Таким чином, отримані результати показують прибутковість діяльності частини газового ринку, який працює в промисловості за нерегульованими тарифами на імпортному газі, та збитковість діяльності регульованого державою ринку вітчизняного газу, який працює за регульованими тарифами та з великими дотаціями з державного бюджету.
При цьому, звертає на себе увагу обмеження рівня нерегульованого тарифу у 2008 році для промислових підприємств не вище рівня регульованого тарифу для бюджетних підприємств та установ. В цих умовах збитковість діяльності підприємств в сегменті регульованого тарифу та державни дотацій може бути наслідком тільки одного явища – прямого нехтування споживачами оплати за спожитий газ, який поставляється авансово
Для вироблення рекомендацій по удосконаленню тарифної політики в фінансових розрахунках суб’єктів газового ринку України в рамках обмежених можливостей дипломного дослідження проведений комплексний інтегральний аналіз.
Результати оцінки рівня сплати за спожитий газ на регулюємому державою частці ринку за перші 5 місяців 2008 року показали :
- середньозважений рівень сплати по сегменту «Населення» становить- 82,6%;
- середньозважений рівень сплати по сегменту «Бюджетні установи» становить- 86,0%;
- середньозважений рівень сплати по сегменту «Теплокомуненерго- середньообласні рівні» становить- 53,0%;
- середньозважений рівень сплати по сегменту «Виробничі підприємства» (передоплата) становить- 93,0%, оскільки передоплата та тарифи закладаються в ціну випускаємої продукції;
Результати побудови кореляційно – регресійних моделей залежності рівня боргів за несплачений газ від рівня спожитого газу за 5 місяців 2008 року в сегментах регульованих тарифів «Населення», «Бюджетні установи», «Підприємства теплокомуненерго областей», «Підприємства теплокомуненерго великих міст України» показали, що коефіцієнт схильності до заборгованості та несплаті за спожитий газ в сегменті «Бюджетні Установи» в 3,7 рази вище ніж в сегменті «Населення», в сегментах «Підприємства теплокомуненерго» - в 10-11 раз вище, ніж в сегменті «Населення». Як показав спільний аналіз тарифних функцій та розрахованих функцій боргу:
- Коефіцієнт боргу в сегментах «Населення» та «Бюджетні установи» становить 10% -15% від коефіцієнту тарифу;
- Коефіцієнт боргу в сегменті «Підприємства теплокомуненерго» становить 58,7%-61,0% від коефіцієнту тарифу.
Тобто удосконаленою тарифною політикою в наведених сегментах може бути запропоновано:
1. Оплата спожитого газу в сегменті «Населеняя» згідно фактичним показникам спожиття (після спожиття);
2. Передоплата 50% ліміту газу, розподіленого для споживання в сегменті «Бюджетні установи», з оплатою залишків сум по результатах фактичного споживання;
3. Передоплата векселями, які можна продавати населенню для розрахунків з підприємствами теплокомуненерго, за газ 100% у сегменті «Підприємства теплокомуненерго», або вертикальна інтеграція по типу «Газ-тепло» зі зміною власників підприємств теплокомуненерго і створенням інтегрованих підприємств.
Рекомендації:
1. Сучасна політика забезпечення енергетичної безпеки на ринку газу повинна відповідати і ринковим принципам (конкурентні умови діяльності, прозорість та передбачуваність ціноутворення, невтручання держави в економічну діяльність підприємств) і використанню механізмів державного регулювання (податкова та інвестиційна політика, ліцензування). Такий підхід повинен визначатися в Законі України «Про ринок природного газу», процес затвердження якого необхідно значно інтенсифікувати.
2. Державна політика реформування газового ринку має базуватися на загальновизнаних принципах та стратегічних документах, в яких необхідно передбачити:
· форму, структуру та основні механізми державного регулювання газової галузі;
· довгострокові зобов'язання щодо механізмів оподаткування, інвестування та захисту прав власності;
· визначення механізмів ціноутворення, виходячи з ринкових принципів (в той же час такий підхід не виключає адресних субсидій найбільш незахищеним верствам населення) та різних форм державного регулювання процесу ціноутворення (інвестування, оподаткування тощо);
· комплекс заходів та реальних механізмів стимулювання щодо підвищення ефективності використання природного газу;
· інформаційну прозорість діяльності ринку.
3. Суттєву увагу слід звернути на процес підвищення енергоефективності в усіх сферах використання газу (житлово-комунальній, промисловій тощо), в першу чергу, за рахунок виконання програм енергозбереження і скорочення споживання природного газу (що передбачено «Енергетичною стратегією України на період до 2030 року»), впровадження систем обліку природного газу на усіх етапах його споживання (від митного прийому до кінцевого конкретного споживача);
4. Необхідно проаналізувати ефективність виконання раніш прийнятих державних програм, стратегій, розпоряджень, рішень та прийняти заходи щодо їх безумовного виконання;
5. Необхідно заключити довгострокову політичну угоду з РФ та країнами Середньої Азії - експортерами газу щодо базових принципів співробітництва в газовій сфері, яка б передбачала:
· гарантовані обсяги експорту та транспортування;
· встановлення базових підходів до побудови механізмів ціноутворення на газ що експортується та його транзит;
· загальні принципи доступу до вільних газотранспортних потужностей;
· перспективні плани реалізації спільних проектів.
СПИСОК ВИКОРИСТАНИХ ДЖЕРЕЛ ЛІТЕРАТУРИ
1. Господарський кодекс України від 16 січня 2003 року N 436-IV(діє з 01.01.2004) // Із змінами і доповненнями, внесеними Законами України від 9 січня 2007 року N 549-V, ОВУ, 2007 р., N 8, ст. 276
2. ЗАКОН УКРАЇНИ «Про господарські товариства» // від 19 вересня 1991 року N 1576-XII (Із змінами і доповненнями, внесеними Законами України станом на 19 лютого 2004 року N 1519-IV)
3. Закон України "Про ліцензування певних видів господарської діяльності" від 1 червня 2000 року N 1775-III // Із змінами і доповненнями, внесеними Законами України станом від 16 травня 2007 року N 1026-V
4. Закон України "Про природні монополії" від 20 квітня 2000 року N 1682-III // Із змінами і доповненнями, внесеними Законами України станом від 1 грудня 2006 року N 424-V
5. ЗАКОН УКРАЇНИ “Про нафту і газ» від 12 липня 2001 року N 2665-III// Із змінами і доповненнями, внесеними Законами України станом від 19 грудня 2006 року N 489-V
6. ЗаконУкраїни «Про охорону праці» від 14 жовтня 1992 року N 2694-XII // Із змінами і доповненнями, внесеними Законами України станом від 16 травня 2007 року N 1026-V
7. ЗАКОН УКРАЇНИ «Про рентні платежі за нафту, природний газ і газовий конденсат» від5 лютого 2004 року N 1456-IV //Дію Закону зупинено на 2004 рік ,на 2005 рік,на 2006 рік, на 2007 рік, на 2008 рік - згідно із Законом України від 28 грудня 2007 року N 107-VI
8. “Про Державний бюджет України на 2002 рік” - Закон України від 20 грудня 2001 року N 2905-III // Із змінами і доповненнями, внесеними Законами України від 27 грудня 2002 року N 423-IV - - Компьютерно-довідкова система законодавства України (www.liga-zakon.com.ua), квітень 2008 року
9. «Про Державний бюджет України на 2003 рік» - Закон України від 26 грудня 2002 року N 380-IV // Із змінами і доповненнями, внесеними Законами України станом від 11 грудня 2003 року N 1397-IV - Компьютерно-довідкова система законодавства України (www.liga-zakon.com.ua), квітень 2008 року
10. «Про Державний бюджет України на 2004 рік» - Закон України від 27 листопада 2003 року N 1344-IV // Із змінами і доповненнями, внесеними Законами України станом від 17 червня 2004 року N 1801-IV - Компьютерно-довідкова система законодавства України (www.liga-zakon.com.ua), квітень 2008 року
11. „Про Державний бюджет України на 2005 рік” - Закон України від 25 березня 2005 року N 2505-IV // Із змінами і доповненнями, внесеними Законами України станом від 7 липня 2005 року N 2771-IV - Компьютерно-довідкова система законодавства України (www.liga-zakon.com.ua), квітень 2008 року
12. “Про Державний бюджет України на 2006 рік” - Закон України від 20 грудня 2005 року N 3235-IV // Із змінами і доповненнями, внесеними Законами України від 14 листопада 2006 року N 338-V - Компьютерно-довідкова система законодавства України (www.liga-zakon.com.ua), квітень 2008 року
13. “Про Державний бюджет України на 2007 рік”- Закон України від 19 грудня 2006 року N 489-V // Із змінами і доповненнями, внесеними Законами України від 1 червня 2007 року N 1119-V - Компьютерно-довідкова система законодавства України (www.liga-zakon.com.ua), квітень 2008 року
14. “Про Державний бюджет України на 2008 рік” - Закон України від 28 грудня 2007 року N 107-VI - Компьютерно-довідкова система законодавства України (www.liga-zakon.com.ua), квітень 2008 року
15. ЗАКОН УКРАЇНИ від15 травня 1996 року N 192/96-ВР «Про трубопровідний транспорт» // Із змінами і доповненнями, внесеними Законами України станом від 27 квітня 2007 року N 997-V
16. ЗАКОН УКРАЇНИ “Про оподаткування прибутку підприємств” від 28 грудня 1994 року N 334/94-ВР // Із змінами і доповненнями, внесеними Законами України станом від 27 квітня 2007 року N 997-V
17. ЗАКОН УКРАЇНИ “Про податок на додану вартість” від 3 квітня 1997 року N 168/97-ВР // Із змінами і доповненнями, внесеними Законами України станом від від 22 грудня 2006 року N 535-V
18. Положення про Національну комісію регулювання електроенергетики України, затвердженого Указом Президента України від 14.03.95 N 213/95 (у редакції Указу Президента України від 21.04.98 N 335/98)
19. Постанова Кабінету Міністрів України від 05.07.2006 N 938 "Про затвердження Типового договору про надання населенню послуг з газопоста-чання та внесення змін до постанови Кабінету Міністрів України від 09.12.99 N 2246"
20. Постанова Кабінету Міністрів України від 27 грудня 2001 р. N 1729 «Про забезпечення споживачів природним газом» // Із змінами і доповненнями, внесеними постановами Кабінету Міністрів України станом від 17 жовтня 2007 року N 1244
21. Постанова Кабінету Міністрів України від 8 грудня 2006 р. N 1697 «Про заходи щодо подальшого вдосконалення механізму забезпечення при-родним газом вітчизняних споживачів» //Із змінами і доповненнями, внесеними постановою Кабінету Міністрів України від 5 вересня 2007 року N 1094
22. Постанова Кабінету Міністрів України від 9 грудня 1999 р. N 2246 «Про затвердження Правил надання населенню послуг з газопостачання» // Із змінами і доповненнями, внесеними постановами Кабінету Міністрів України станом від 13 червня 2007 року N 821
23. Про затвердження Ліцензійних умов провадження господарської діяльності з постачання природного газу за регульованим тарифом // Наказ Державного комітету України з питань регуляторної політики та підприєм-ництва від 25 серпня 2005 року N 74, постановою НКРЕ від 25.08.2005 N 693
24. Про затвердження Ліцензійних умов провадження господарської діяльності з постачання природного газу за нерегульованим тарифом //Наказ Державного комітету України з питань регуляторної політики та підпри-ємництва від 25 серпня 2005 року N 73, постановою Національної комісії регу-лювання електроенергетики України від 25 серпня 2005 р. N 694
25. Про затвердження Ліцензійних умов провадження господарської ді-яльності з розподілу природного і нафтового газу //Наказ Державного комітету України з питань регуляторної політики та підприємництва від 30 вересня 2005 року N 89, постанова НКРЕ від 30.09.2005 N 859
26. Про затвердження Ліцензійних умов провадження господарської ді-яльності з транспортування природного і нафтового газу магістральними тру-бопроводами //Наказ Державного комітету України з питань регуляторної політики та підприємництва від 30 вересня 2005 року N 86
27. Про затвердження Методики розрахунку тарифів на транспортування та постачання природного газу для підприємств з газопостачання та газифікації // НАЦІОНАЛЬНА КОМІСІЯ РЕГУЛЮВАННЯ ЕЛЕКТРОЕНЕРГЕТИКИ УКРАЇНИ , ПОСТАНОВА від 4 вересня 2002 року N 983
28. Про роздрібні ціни на природний газ, що використовується для потреб населення //Постанова Національної комісії регулювання електроенергетики України від 19 грудня 2006 року N 1672 (Із змінами і доповненнями, внесеними постановами Національної комісії регулювання електроенергетики України станом від 14 червня 2007 року N 750)
29. Про заходи щодо подальшого вдосконалення механізму забезпечення природним газом вітчизняних споживачів // постанова КМУ від 8 грудня 2006 р. N 1697(Із змінами і доповненнями, внесенимипостановою Кабінету Міністрів Українивід 5 вересня 2007 року N 1094)
30. Про затвердження Методики розрахунку тарифів на транспортування та постачання природного газу для підприємств з газопостачання та газифікації // НАЦІОНАЛЬНА КОМІСІЯ РЕГУЛЮВАННЯ ЕЛЕКТРОЕНЕРГЕТИКИ УКРАЇНИ, ПОСТАНОВАвід 4 вересня 2002 року N 983
31. Про затвердження прогнозного балансу надходження та розподілу природного газу на 2005 рік // Розпорядження КМУ від 16 грудня 2004 р. N 918-р
32. Про забезпечення балансу надходження та розподілу природного газу в I кварталі 2006 року // Розпорядження КМУ від 31 грудня 2005 р. N 1308
33. Про затвердження прогнозного балансу надходження та розподілу природного газу на 2007 рік // Розпорядження КМУ від 16 травня 2007 р. N 328-р (Із змінами і доповненнями, внесеними розпорядженням Кабінету Міністрів України від 17 жовтня 2007 року N 897-р )
34. Про затвердження прогнозного балансу надходження та розподілу природного газу на 2008 рік // Розпорядження КМУ від 9 січня 2008 р. N 57-р (Із змінами і доповненнями, внесеними розпорядженням Кабінету Міністрів України від 6 лютого 2008 року N 41 )
35. Про затвердження Порядку внесення до спеціального фонду держав-ного бюджету збору у вигляді цільової надбавки до тарифу на природний газ // Постанова КМУ від 11 червня 2005 р. N 442 (Із змінами і доповненнями, внесеними постановами Кабінету Міністрів України стано м від 9 квітня 2008 року N 346)
36. Про затвердження фінансового плану та основних показників руху коштів Національної акціонерної компанії "Нафтогаз України" як окремої юридичної особи на 2008 рік та внесення змін до деяких постанов Кабінету Міністрів України // Постанова КМУ від 9 квітня 2008 р. N 346
37. Про встановлення розміру збору у вигляді цільової надбавки до тарифу на природний газ // Постанова КМУ від 13 грудня 2006 р. N 1723 (Із змінами і доповненнями, внесеними постановою Кабінету Міністрів України станом від 9 квітня 2008 року N 346) - Дію постанови продовжено на 2008 рік (згідно з постановою Кабінету Міністрів України від 19 грудня 2007 року N 1401)
38. Про обчислення і внесення до державного бюджету рентної плати за транспортування нафти і нафтопродуктів магістральними нафтопроводами та нафтопродуктоводами, транзитне транспортування трубопроводами природного газу та аміаку територією України // Постанова КМУ від 8 червня 2005 р. N 424 (Із змінами і доповненнями, внесеними постановами Кабінету Міністрів України станом від 26 березня 2008 року N 262)
39. Про затвердження Порядку встановлення нормативів збору за геологорозвідувальні роботи, виконані за рахунок державного бюджету, та його справляння // Постанова КМУ від 29 січня 1999 р. N 115 (Із змінами і доповненнями, внесеними постановами Кабінету Міністрів України станом від 25 травня 2006 року N 754, установлено, що у 2006 році до нормативів збору за геологорозвідувальні роботи, виконаних за рахунок державного бюджету, які затверджені цією постановою, застосовується коефіцієнт 1,94 згідно із Законом України від 20 грудня 2005 року N 3235-IV, установлено, що у 2008 році проводиться індексація нормативів збору за геологорозвідувальні роботи, виконані за рахунок державного бюджету, що затверджені цією постановою, із застосуванням коефіцієнта 2,27 згідно з постановою Кабінету Міністрів України від 18 липня 2007 року N 947.
40.Про затвердження базових нормативів плати за користування надрами для видобування корисних копалин та Порядку справляння плати за користування надрами для видобування корисних копалин // Постанова КМУ від 12.09.97 № 1014(Із змінами і доповненнями, внесеними постановами Кабінету Міністрів України станом від 25 травня 2006 року N 754)
41. Тимчасовий порядок розподілу коштів, що надходять за використаний природний газ на транзитні і консолідований транзитний рахунки, відкриті на ім'я газозбутових організацій та Державної акціонерної холдингової компанії "Укргаз" // ДЕРЖАВНА АКЦІОНЕРНА ХОЛДИНГОВА КОМПАНІЯ "УКРГАЗ", ДЕРЖАВНИЙ КОМІТЕТ НАФТОВОЇ ГАЗОВОВОЇ ТА НАФТОПЕРЕРОБНОЇ ПРОМИСЛОВОСТІ УКРАЇНИ від 28 червня 1996 року N 23/9-1457, N 12-211/630-3604, N 14-303 N 43-44/311, N 1318
42. Про затвердження тарифів на транспортування та постачання природного газу // Постанова НКРЕ від 21 червня 2007 року N 775 (Із змінами і доповненнями, внесенимипостановою НКРЕ України від 19 липня 2007 року N 979)
43. «Про забезпечення споживачів природним газом» // Постанова КМУ України від 27 грудня 2001 р. N 172 (із змінами, внесеними згідно з Постановами КМУ станом від 17 жовтня 2007 року N 1244)
44. Деякі питання діяльності Національної акціонерної компанії "Нафтогаз України" // Постанова КМУ від 29 квітня 2006 р. N 605 (Із змінами і доповненнями, внесеними постановами Кабінету Міністрів України станом від 19 грудня 2007 року N 1401)
45. Положення (стандарт) бухгалтерського обліку 2 "Баланс" // наказ Мі-ністерства фінансів України від 31 березня 1999 р. N 87 (Із змінами і доповнен-нями, внесеними наказами Міністерства фінансів України станом від 5 березня 2008 року N 353) – Інформаційно-довідкова комп’ютерна система “Ліга-Закон», 2008
46. Положення (стандарт) бухгалтерського обліку 3 "Звіт про фінансові результати" // наказ Міністерства фінансів України від 31 березня 1999 р. N 87 (Із змінами і доповненнями, внесеними наказами Міністерства фінансів України станом від 5 березня 2008 року N 353) – Інформаційно-довідкова комп’ютерна система “Ліга-Закон», 2008
47. Положення (стандарт) бухгалтерського обліку 9 "Запаси" // наказ Міністерства фінансів України від 8 жовтня 1999 року N 237 (Із змінами і доповненнями, внесеними наказами Міністерства фінансів України станом від 19 грудня 2006 року N 1213) – Інформаційно-довідкова комп’ютерна система “Ліга-Закон», 2008
48. Положення (стандарт) бухгалтерського обліку 15 "Дохід" // наказ Міністерства фінансів України від 29 листопада 1999 року N 290 (Із змінами і доповненнями, внесеними наказами Міністерства фінансів України станом від 11 грудня 2006 року N 1176) – Інформаційно-довідкова комп’ютерна система “Ліга-Закон», 2008
49. Положення (стандарт) бухгалтерського обліку 16 "Витрати" // наказ Міністерства фінансів України від 31 грудня 1999 року N 318 (Із змінами і доповненнями, внесеними наказами Міністерства фінансів України станом від 11 грудня 2006 року N 1176) – Інформаційно-довідкова комп’ютерна система “Ліга-Закон», 2008
50. Про затвердження Порядку використання у 2008 році коштів, перед-бачених у державному бюджеті для компенсації Національній акціонерній компанії "Нафтогаз України" різниці між цінами закупівлі імпортованого природного газу та його реалізації суб'єктам господарювання для виробництва теплової енергії, яка споживається населенням // Постанова КМУ від 11 лютого 2008 р. N 53( Із змінами, внесеними згідно з Постановою КМ N 421від 25.04.2008 )
51. Про внесення змін до Порядку використання у 2008 році коштів, передбачених у державному бюджеті для компенсації Національній акціонерній компанії "Нафтогаз України" різниці між цінами закупівлі імпортованого природного газу та його реалізації суб'єктам господарювання для виробництва теплової енергії, яка споживається населенням // Постанова КМУ від 18 червня 2008 р. N 559
52. Айвазян С.А. Основы эконометрики. – М.: ЮНИТИ–ДАНА, 2001.–432 с.
53. Азоев Г.Л., Челенков А.П. Конкурентные преимущества фирмы / Гос. ун-т управления, Нац. фонд подготовки фин. и упр. кадров. - М.: ОАО "Тип. "Новости", 2000. - 256 с.
54. Афонин И.В. Инновационный менеджмент и экономическая оценка реальных инвестиций: Учебное пособие/ И.В. Афонин. - М.: Гардарики, 2006. - 301 с.
55. Барроу, Пол. Бизнес-план, который работает: С предисловием сэра Ричарда Брэнсона: Пер. с англ./ П. Барроу. - М.: Альпина Бизнес Букс, 2006. - 281 с
56. Батенко Л.П., Завгородніх О.А.Ліщинська В.В. Управління проектами: навч. посібник.- К., КНЕУ,2003.- 231 с.
57. Бекетова О.Н. Бизнес-план: теория и практика/ О.Н. Бекетова, В.И. Найденков. - М.: Альфа-Пресс, 2006. - 272 с
58. Бирман Г., Шмидт С. Капиталовложения: экономический анализ инвестиционных проектов / Пер. в анг. Под ред. Л.П.Белых. – М.:ЮНИТИ-ДАНА, 2003. – 631 с.
59. Бланк И.А. Управление денежными потоками / И.А. Бланк. – изд. 2-е, перераб. и доп. – К. : Эльга : Ника-Центр, 2007. – 752 с.
60. Бланк И.А. Управление прибылью / И.А. Бланк. – изд. 3-е, перераб. и доп. – К. : Ника-Центр, 2007. – 768 с.
61. Бланк И.А. Финансовая стратегия предприятия : учебный курс / И.А. Бланк. - К. : Ника-Центр, 2006. - 518 с.
62. Ван Хорн, Джеймс. Основы финансового менеджмента: Пер. с англ./ Дж.К. Ван Хорн, Дж.М. Вахович. - 12-е изд.. - М.: Вильямс, 2006. - 1225 с
63. Василенко В.О. Інноваційний менеджмент: Навч. посібник/ В.О. Василенко, В.Г. Шматько. - 3-тє вид., виправл. та доповн.. - К.: Центр навчальної літератури, 2005. - 440 с64. Ватуля І.Д. Податки, збори, платежі: Навч. посібник/ І.Д. Ватуля, М.І. Ватуля, Л.В. Рибалко. - К.: Центр навчальної літератури, 2006. - 352 с
65. Власова Н.О. Фінанси підприємств : навч. посібник для студ. вищих навч. закладів / Н.О. Власова, О.А. Круглова, Л.І. Безгінова ; М-во освіти і науки України, Харк. держ. ун-т харчування та торгівлі. - К. : Центр учбової літератури, 2007. - 272 с.
66. Гетьман О.О., Шаповал В.М. Економіка підприємства: навчальний посібник для студентів вищих навчальних закладів.- Київ, Центр навчальної літератури, 2006. – 488 с.
67. Гетьман О.О. Економічна діагностика : навч. посіб. / О.О. Гетьман, В.М. Шаповал ; М-во освіти і науки України, Український державний хіміко-технологічний ун-т, Дніпропетровський ун-т економіки та права. – К. : Центр навчальної літератури, 2007. – 307 с.
68. Глен, Арнольд. Инвестирование. Путеводитель от Financial Times. Самый полный справочник по инвестированию и финансовым рынкам : пер. с англ. / А. Глен. - М. : Дело и Сервис, 2007. - 496 с.
69. Грей К.Ф., Ларсон Э.У. Управление проектами: Практическое руководство. – М.: Дело и Сервис, 2003. – 528 с.
70. Гукова А.В. Инвестиционный капитал предприятия/ А.В. Гукова, А.Ю. Егоров. - М.: КНОРУС, 2006. - 276 с
71. Дамодаран, Асват. Инвестиционная оценка. Инструменты и методы оценки любых активов: Пер. с англ./ А. Дамодаран. - 3-е изд.. - М.: Альпина Бизнес Букс, 2006. - 1325 с
72. Должанський І. З. Бізнес-план: технологія розробки : навч. посібник для студ. вищих навч. закладів / І. З. Должанський, Т.О. Загорна ; М-во освіти і науки України, Макіївський економіко-гуманітарний ін-т. - К. : Центр навчальної літератури, 2006. - 384 с.
73. Економіка та підприємництво : навч. посібник / С.Я. Салига [та ін.] ; М-во освіти і науки України, Гуманітарний ун-т "Запорізький ін-т державного та муніципального управління". – К. : Професіонал, 2007. – 749 с.
74. Економіка підприємства: Підручник/ Ред. С.Ф. Покропивний. - 3-тє вид., без змін. - К.: КНЕУ, 2006. - 528 с. - (До 100-річчя Київського національного економічного університету)
75. Економіка підприємства: Навч. посібник/ Ред. А.В. Калина. - К.: МАУП, 2006. - 351 с
76. Економіка підприємства: Підручник/ Ред. А.В. Шегда. - К.: Знання, 2006. - 614 с
77. Ефимова М.Р., Ганченко О.И., Петрова Е.В. Практикум по общей теории статистики: Учебное пособие. – Москва: Финансы и статистика, 2000.
78. Загорна Т.О. Економічна діагностика : навч. посібник / Т. О. Загорна ; М-во освіти і науки України, Макіївський економіко-гуманітарний ін-т. - К. : Центр учбової літератури, 2007. - 400 с.
79. Івахненко В.М. Курс економічного аналізу: Навч. посібник/ В.М. Івахненко. - 5-те вид., виправл. та доповн.. - К.: Знання, 2006. - 261 с.
80. Ивасенко А.Г. Инвестиции: источники и методы финансирования/ А.Г. Ивасенко, Я.И. Никонова. - М.: Омега-Л, 2006. - 253 с.
81. Ізмайлова К.В. Фінансовий аналіз: Навч.посібник.- К.: МАУП,2000. – 152 c.
82. Клебанова Т.С., Дубровина Н.А. и др. Эконометрия на персональном компьютере. Учебное пособие. – Харьков: ИЗД ХГЭУ, 2002. – 208с.
83. Ковалев В. В. Финансовый менеджмент: теория и практика : научное издание / В. В. Ковалев. - 2-е изд., перераб. и доп. - М. : Проспект, 2007. - 1024 с.
84. Крамаренко Г.О., Чорна О.Є. Фінансовий менеджмент.- Киів: Центр навчальної літератури, 2006р. –520 с.
85. Крамаренко Г.О. Фінансовий аналіз та планування. – Дніпропет-ровськ: Видавництво ДАУБП, 2001. – 224 с.
86. Кремер Н.Ш., Путко Б.А. Эконометрика: Учебник для вузов. – М.: ЮНИТИ – ДАНА, 2002. – 311 с.
87. Крутякова Ю.А. Бизнес-планирование: Учеб.-практ. пособие/ Ю.А. Крутякова, С.Р. Юсупова. - М.: Проспект, 2006. - 352 с
88. Круш П.В. Економіка (розрахунки фінансово-інвестиційних операцій в EXCEL) : навч. посіб. / П. В. Круш, О. В. Клименко ; Нац. технічний ун-т України "Київський політехнічний ін-т". – К. : Центр навчальної літератури, 2006. – 264 с.
89. Куденко Н.В. Стратегічний маркетинг: Навч.посібник. – К.: КНЕУ,1998 – 202 с.
90. Куденко Н.В. Маркетингові стратегії фірми – Київ, КНЕУ,2002.–245 с.
91. Кучеренко В.Р. Бізнес-планування фірми: Навчальний посібник/ В.Р. Кучеренко, В.А. Карпов, О.С. Маркітан. - К.: Знання, 2006. - 424 с
92. Лапыгин Ю.Н. Бизнес-план: стратегии и тактика развития компании: Практическое пособие/ Ю.Н. Лапыгин, Д.Ю. Лапыгин. - М.: Омега-Л, 2007. - 351 с.
93. Мойсеєнко І.П. Інвестування: Навчальний посібник/ І.П. Мойсеєнко. - К.: Знання, 2006. - 490 с
94. Наливайко А.П. Теорія стратегії підприємства. Сучасний стан та напрямки розвитку: Монографія. — К.: КНЕУ, 2001. — 227 с.
95. Павленко І.А. Економіка та організація інноваційної діяльності: Навч. посібник/ І.А. Павленко. - 2-ге вид. без змін. - К.: КНЕУ, 2006. - 204 с.
96. Подольська В.О. Фінансовий аналіз : навч. посіб. / В. О. Подольська, О. В. Яріш ; М-во освіти і науки України, Полтавський ун-т споживчої кооперації України. – К. : Центр навчальної літератури, 2007. – 488 с.
97. Попов В.М. Финансовый бизнес-план: Учебное пособие для студ. экономических специальностей/ В.М. Попов, С.И. Ляпунов. - 2-е изд.. - М.: Финансы и статистика, 2007. - 460 с
98. Соляник Л.Г. Економічний аналіз:Навчальний посібник. – Дніпропетровськ, Національна гірнича академія України, 2007. – 199 с.
99. Стадник В.В. Інноваційний менеджмент: Навчальний посібник/ В.В. Стадник, М.А. Йохна. - К.: Академвидав, 2006. - 464 с.
100.Сідун В.А. Економіка підприємства: Навчальний посібник/ В.А. Сідун, Ю.В. Пономарьова. - К.: Центр навчальної літератури, 2006. - 356 с
101. Уманець, Тетяна Василівна. Економічна статистика: Навчальний посібник/ Т.В. Уманець. - К.: Знання, 2006. - 429 с. - (Вища освіта XXI століття)
102. Фінанси підприємств : підручник / А.М. Поддєрьогін, М.Д. Білик, Л.Д. Буряк. - 6-те вид., переробл. і доповн. - К. : КНЕУ, 2006. - 552 с.
103. Фінансовий менеджмент: Підручник/Кер. кол. авт. і наук. ред проф.А.М. Поддєрьогін.- К.: КНЕУ, 2005.- 536 с.
104. Федоренко В.Г. Інвестування: Підручник для студ. вищих навчаль-них закладів/ В.Г. Федоренко. - К.: Алерта, 2006. - 442 с
105. Шелудько В.М. Фінансовий менеджмент: Підручник/ В.М. Шелудь-ко. - К.: Знання, 2006. - 439 с.
1106. Шморгун Н.П. Фінансовий аналіз : навч. посібник для студ. вищих навчальних закладів / Н.М. Шморгун, І.В. Головко ; М-во освіти і науки України, Київський нац. ун-т ім. Т. Шевченка. – К. : Центр навчальної літератури, 2006. – 525 с.
107. http://www.ukrstat.gov.ua – Офіційний Інтернет-сайт Державного комітету статистики України, 2008
108. http://www.naftogaz.gov.ua – Офіційний Інтернет-сайт НАК «Нафтогаз України», 2008
109. http://www.liga-zakon.com.ua – Офіційний Інтернет-сайт довідкової системи “Ліга-ЗАКОН», 2008
110. http://www.smida.gov.ua - Офіційний сайт Державного комісії з цінних паперів та фондового ринку України
111. http://dniepropetrovskgas.ukrbiz.net - Офіційний сайт ВАТ «Дніпропетровськгаз»
112. http://www.ukrtransgas.naftogaz.com - Офіційний Інтернет-сайт ДК “Укртрансгаз”
113. http://www.ngbi.com.ua - Офіційний Інтернет-сайт Форуму нафтогазового комплексу України
114. http://www.ugv.com.ua/ - офіційній Інтернет-сайт ДК «Укргазовидобування» НАК «Нафтогаз України»
115. http://www.ukrnafta.com/ -офіційний Інтернет-сайт ВАТ «Укрнафта»
116. http://www.gas.crimea.ua/ - Офіційний Інтернет-сайт ДАТ «Чорноморнафтогаз»
117. http://www.ukrtransgas.naftogaz.com/ - Офіційний Інтернет-сайт ДК «Укртрансгаз»
118. http://www.gasukraine.com.ua/ - офіційний Інтернет-сайт ДК «Газ України»
119. http://www.gazteplo.com.ua/ - Офіційний Інтернет-сайт ДП «Газ-тепло»
120. http://www.rosukrenergo.ch/ - Офіційний Інтернет-сайт компанії «ROSUKRENERGOAG»
121. http://www.ITERA_UKR.COM.UA/ - Офіційний Інтернет-сайт ЗАО «Торгово-энергетическая компания «ИТЕРА Украина»
ДОДАТКИ
Додаток А
Баланси та звіти про фінансові результати НАК «Нафтогаз України»за 2003 -2007 роки
Таблиця А.1

Продовження табл.А.1

Таблиця А.2

Продовження табл.А.2

Таблиця А.3
Показники фінансового стану НАК «Нафтогаз України» за 2003 -2007 роки

Таблиця А.4
Показники фінансового стану НАК «Нафтогаз України» за 2003 -2007 роки

Таблиця А.5
Показники фінансового стану НАК «Нафтогаз України» за 2003 -2007 роки

Таблиця А.6
Показники фінансового стану НАК «Нафтогаз України» за 2003 -2007 роки


Додаток Б
Баланси та звіти про фінансові результати ДК «Газ України» за 2003 - 2006 роки
Таблиця Б.1

Продовження табл.Б.1

Таблиця Б.2

Таблиця Б.3
Показники фінансового стану ДК «Газ України» за 2003 - 2006 роки

Таблиця Б.4
Показники фінансового стану ДК «Газ України» за 2003 - 2006 роки

Таблиця Б.5
Показники фінансового стану ДК «Газ України» за 2003 - 2006 роки

Таблиця Б.6
Показники фінансового стану ДК «Газ України» за 2003 - 2006 роки


Додаток В
Баланси та звіти про фінансові результати ВАТ «Укрнафта» за 2003 - 2007 роки
Таблиця В.1

Продовження табл.В1

Таблиця В.2

Продовження табл.В.2

Таблиця В.3
Показники фінансового стану ВАТ «Укрнафта» за 2003 - 2007 роки

Таблиця В.4
Показники фінансового стану ВАТ «Укрнафта» за 2003 - 2007 роки

Таблиця В.5
Показники фінансового стану ВАТ «Укрнафта» за 2003 - 2007 роки

Таблиця В.6
Показники фінансового стану ВАТ «Укрнафта» за 2003 - 2007 роки


Додаток Г
Баланси та звіти про фінансові результати ДАТ «Чорноморнафтогаз» за 2003 - 2007 роки
Таблиця Г.1

Продовження табл.Г.1

Таблиця Г.2

Таблиця Г.3
Показники фінансового стану ДАТ «Чорноморнафтогаз» за 2003 - 2007 роки

Таблиця Г.4
Показники фінансового стану ДАТ «Чорноморнафтогаз» за 2003 - 2007 роки

Таблиця Г.5
Показники фінансового стану ДАТ «Чорноморнафтогаз» за 2003 - 2007 роки

Таблиця Г.6
Показники фінансового стану ДАТ «Чорноморнафтогаз» за 2003 - 2007 роки


Додаток Д
Закрите акціонерне товариство "УКРГАЗ-ЕНЕРГО" код за ЄДРПОУ 34003224 2006 рік, на кінець року |
| КОДИ | |||
| Підприємство | ЗАТ "УКРГАЗ-ЕНЕРГО" | Дата | 01.01.2007 |
| за ЄДРПОУ | 34003224 | ||
| за КОАТУУ | 8039100000 | ||
| Територія | м.Київ | за КФВ | 10 |
| Форма власності | приватна | за СПОДУ | д/н |
| Орган державного управління | самостiйне | за ЗКГНГ | д/н |
| за КВЕД | 51.51.0 | ||
| Галузь | д/н | Контрольна сума | |
| Вид економічної діяльності | оптова торгiвля паливом | ||
| Одиниця виміру: | тис. грн. | ||
| Адреса | 01001, м. Київ, вул. Б. Хмельницького, 6 | ||
| БAЛAНС | |||
| на 31.12.2006 р. | |||
| Форма N 1 | Код за ДКУД | 1801001 | |
| Актив | Код рядка | На початок звітного періоду | На кінець звітного періоду |
| 1 | 2 | 3 | 4 |
| I. Необоротні активи | |||
| Нематеріальні активи: | |||
| залишкова вартість | 010 | 0 | 1 264,4 |
| первісна вартість | 011 | 0 | 1 339,9 |
| накопичена амортизація | 012 | 0 | 75,5 |
| Незавершене будівництво | 020 | 0 | 61,4 |
| Основні засоби: | |||
| залишкова вартість | 030 | 0 | 6 702,1 |
| первісна вартість | 031 | 0 | 7 299,6 |
| знос | 032 | 0 | 597,5 |
| Довгострокові фінансові інвестиції: | |||
| які обліковуються за методом участі в капіталі інших підприємств | 040 | 0 | 0 |
| інші фінансові інвестиції | 045 | 0 | 0 |
| Довгострокова дебіторська заборгованість | 050 | 0 | 0 |
| Відстрочені податкові активи | 060 | 0 | 108 780,3 |
| Інші необоротні активи | 070 | 0 | 0 |
| Усього за розділом I | 080 | 0 | 116 808,2 |
| II. Оборотні активи | |||
| Запаси: | |||
| виробничі запаси | 100 | 0 | 390 878,8 |
| тварини на вирощуванніта відгодівлі | 110 | 0 | 0 |
| незавершене виробництво | 120 | 0 | 0 |
| готова продукція | 130 | 0 | 194 736,9 |
| товари | 140 | 0 | 1 504 533,7 |
| Векселі одержані | 150 | 0 | 0 |
| Дебіторська заборгованість за товари, роботи, послуги: | |||
| чиста реалізаційна вартість | 160 | 0 | 2 164 493,1 |
| первісна вартість | 161 | 0 | 2 164 493,1 |
| резерв сумнівних боргів | 162 | 0 | 0 |
| Дебіторська заборгованість за розрахунками: | |||
| з бюджетом | 170 | 0 | 92 794,5 |
| за виданими авансами | 180 | 0 | 319 328,3 |
| з нарахованих доходів | 190 | 0 | 218,7 |
| із внутрішніх розрахунків | 200 | 0 | 0 |
| Інша поточна дебіторська заборгованість | 210 | 0 | 2 178,6 |
| Поточні фінансові інвестиції | 220 | 0 | 0 |
| Грошові кошти та їх еквіваленти: | |||
| в національній валюті | 230 | 0 | 602 178,6 |
| в іноземній валюті | 240 | 0 | 3 911,2 |
| Інші оборотні активи | 250 | 0 | 158 038,6 |
| Усього за розділом II | 260 | 0 | 5 433 291 |
| III. Витрати майбутніх періодів | 270 | 0 | 97,4 |
| Баланс | 280 | 0 | 5 550 196,6 |
| Пасив | Код рядка | На початок звітного періоду | На кінець звітного періоду |
| 1 | 2 | 3 | 4 |
| I. Власний капітал | |||
| Статутний капітал | 300 | 0 | 5 000 |
| Пайовий капітал | 310 | 0 | 0 |
| Додатковий вкладений капітал | 320 | 0 | 0 |
| Інший додатковий капітал | 330 | 0 | 0 |
| Резервний капітал | 340 | 0 | 0 |
| Нерозподілений прибуток (непокритий збиток) | 350 | 0 | 865 563,6 |
| Неоплачений капітал | 360 | 0 | 0 |
| Вилучений капітал | 370 | 0 | 0 |
| Усього за розділом I | 380 | 0 | 870 563,6 |
| II. Забезпечення наступних витрат і платежів | |||
| Забезпечення виплат персоналу | 400 | 0 | 393 |
| Інші забезпечення | 410 | 0 | 0 |
| Цільове фінансування | 420 | 0 | 0 |
| Усього за розділом II | 430 | 0 | 393 |
| III. Довгострокові зобов'язання | |||
| Довгострокові кредити банків | 440 | 0 | 0 |
| Інші довгострокові фінансові зобов'язання | 450 | 0 | 0 |
| Відстрочені податкові зобов'язання | 460 | 0 | 0 |
| Інші довгострокові зобов'язання | 470 | 0 | 0 |
| Усього за розділом III | 480 | 0 | 0 |
| IV. Поточні зобов'язання | |||
| Короткострокові кредити банків | 500 | 0 | 1 999 800 |
| Поточна заборгованість за довгостроковими зобов'язаннями | 510 | 0 | 0 |
| Векселі видані | 520 | 0 | 0 |
| Кредиторська заборгованість за товари, роботи, послуги | 530 | 0 | 1 757 138,4 |
| Поточні зобов'язання за розрахунками: | |||
| з одержаних авансів | 540 | 0 | 798 274,8 |
| з бюджетом | 550 | 0 | 77 582,2 |
| з позабюджетних платежів | 560 | 0 | 0 |
| зі страхування | 570 | 0 | 0 |
| з оплати праці | 580 | 0 | 61,8 |
| з учасниками | 590 | 0 | 0 |
| із внутрішніх розрахунків | 600 | 0 | 0 |
| Інші поточні зобов'язання | 610 | 0 | 46 382,8 |
| Усього за розділом IV | 620 | 0 | 4 679 240 |
| V. Доходи майбутніх періодів | 630 | 0 | 0 |
| Баланс | 640 | 0 | 5 550 196,6 |
| ЗВІТ ПРО ФІНАНСОВІ РЕЗУЛЬТАТИ |
| за 2 006 р. |
| І. ФІНАНСОВІ РЕЗУЛЬТАТИ |
| Стаття | Код рядка | За звітний період | За попередній період |
| Доход (виручка) від реалізації продукції (товарів, робіт, послуг) | 010 | 20 287 506,3 | 0 |
| Податок на додану вартість | 015 | ( 3 363 471,4 ) | ( 0 ) |
| Акцизний збір | 020 | ( 0 ) | ( 0 ) |
| 025 | ( 169 416,4 ) | ( 0 ) | |
| Інші вирахування з доходу | 030 | ( 0 ) | ( 0 ) |
| Чистий доход (виручка) від реалізації продукції (товарів, робіт, послуг) | 035 | 16 754 618,5 | 0 |
| Собівартість реалізованої продукції (товарів, робіт, послуг) | 040 | ( 15 305 403,2 ) | ( 0 ) |
| Валовий: | |||
| прибуток | 050 | 1 449 215,3 | 0 |
| збиток | 055 | ( 0 ) | ( 0 ) |
| Інші операційні доходи | 060 | 117 413,4 | 0 |
| Адміністративні витрати | 070 | ( 52 239,2 ) | ( 0 ) |
| Витрати на збут | 080 | ( 63 091,7 ) | ( 0 ) |
| Інші операційні витрати | 090 | ( 259 606,9 ) | ( 0 ) |
| Фінансові результати від операційної діяльності: | |||
| прибуток | 100 | 1 191 690,9 | 0 |
| збиток | 105 | ( 0 ) | ( 0 ) |
| Доход від участі в капіталі | 110 | 0 | 0 |
| Інші фінансові доходи | 120 | 12 207,4 | 0 |
| Інші доходи | 130 | 261,6 | 0 |
| Фінансові витрати | 140 | ( 40 828,7 ) | ( 0 ) |
| Втрати від участі в капіталі | 150 | ( 0 ) | ( 0 ) |
| Інші витрати | 160 | ( 251,7 ) | ( 0 ) |
| Фінансові результати від звичайної діяльності до оподаткування: | |||
| прибуток | 170 | 1 163 079,5 | 0 |
| збиток | 175 | ( 0 ) | ( 0 ) |
| Податок на прибуток від звичайної діяльності | 180 | 297 515,9 | 0 |
| Дохід з податку на прибуток від звичайної діяльності | 185 | 0 | 0 |
| Фінансові результати від звичайної діяльності: | |||
| прибуток | 190 | 865 563,6 | 0 |
| збиток | 195 | ( 0 ) | ( 0 ) |
| Надзвичайні: | |||
| доходи | 200 | 0 | 0 |
| витрати | 205 | ( 0 ) | ( 0 ) |
| Податки з надзвичайного прибутку | 210 | 0 | 0 |
| Чистий: | |||
| прибуток | 220 | 865 563,6 | 0 |
| збиток | 225 | ( 0 ) | ( 0 ) |
| ІІ. ЕЛЕМЕНТИ ОПЕРАЦІЙНИХ ВИТРАТ |
| Найменування показника | Код рядка | За звітний період | За попередній період |
| Матеріальні затрати | 230 | 567 187,6 | 0 |
| Витрати на оплату праці | 240 | 6 723,7 | 0 |
| Відрахування на соціальні заходи | 250 | 1 456 | 0 |
| Амортизація | 260 | 686,2 | 0 |
| Інші операційні витрати | 270 | 346 534 | 0 |
| Разом | 280 | 922 587,5 | 0 |
| ІІІ. РОЗРАХУНОК ПОКАЗНИКІВ ПРИБУТКОВОСТІ АКЦІЙ |
| Назва статті | Код рядка | За звітний період | За попе-редній період |
| Середньорічна кількість простих акцій | 300 | 5 000 | 0 |
| Скоригована середньорічна кількість простих акцій | 310 | 5 000 | 0 |
| Чистий прибуток, (збиток) на одну просту акцію | 320 | 173,1 | 0 |
| Скоригований чистий прибуток, (збиток) на одну просту акцію | 330 | 173,1 | 0 |
Додаток Е
| КОДИ | |||
| Підприємство | ДОЧIРНЯ КОМПАНIЯ "УКРТРАНСГАЗ" НАЦIОНАЛЬНОЇ АКЦIОНЕРНОЇ КОМПАНIЇ "НАФТОГАЗ УКРАЇНИ" | Дата | 01.01.2004 |
| за ЄДРПОУ | 30019801 | ||
| за КОАТУУ | 8038200000 | ||
| Територія | м.Київ | за КФВ | 31 |
| Форма власності | ЗАГАЛЬНОДЕРЖАВНА ВЛАСНIСТЬ | за СПОДУ | 06024 |
| Орган державного управління | Акцiонернi товариства вiдкритого типу | за ЗКГНГ | 51130 |
| за КВЕД | 60.30.2 | ||
| Галузь | ТРУБОПРОВIДНИЙ ТРАНСПОРТ ЗАГАЛЬНОГО КОРИСТУВАННЯ | Контрольна сума | |
| Вид економічної діяльності | Дiяльнiсть трубопровiдного транспорту з транспортування газу | ||
| Одиниця виміру: | тис. грн. | ||
| Адреса | м.Київ Кловський узвiз 9/1 | ||
| БAЛAНС | |||
| на 31.12.2003 р. | |||
| Форма N 1 | Код за ДКУД | 1801001 | |
| Актив | Код рядка | На початок звітного періоду | На кінець звітного періоду |
| 1 | 2 | 3 | 4 |
| I. Необоротні активи | |||
| Нематеріальні активи: | |||
| залишкова вартість | 010 | 6 889,3 | 9 948,7 |
| первісна вартість | 011 | 8 638,2 | 13 659,4 |
| накопичена амортизація | 012 | 1 748,9 | 3 710,7 |
| Незавершене будівництво | 020 | 1 329 940 | 1 134 770 |
| Основні засоби: | |||
| залишкова вартість | 030 | 8 218 120 | 9 067 450 |
| первісна вартість | 031 | 15 487 300 | 16 861 700 |
| знос | 032 | 7 269 130 | 7 794 270 |
| Довгострокові фінансові інвестиції: | |||
| які обліковуються за методом участі в капіталі інших підприємств | 040 | 11 002 | 20 084,7 |
| інші фінансові інвестиції | 045 | 83 248,6 | 103 426 |
| Довгострокова дебіторська заборгованість | 050 | 122 984 | 24 041,3 |
| Відстрочені податкові активи | 060 | 15 516 | 13 485,9 |
| Інші необоротні активи | 070 | 963,4 | 0 |
| Усього за розділом I | 080 | 9 788 660 | 10 373 200 |
| II. Оборотні активи | |||
| Запаси: | |||
| виробничі запаси | 100 | 1 092 890 | 1 560 050 |
| тварини на вирощуванніта відгодівлі | 110 | 7 599,1 | 7 337,2 |
| незавершене виробництво | 120 | 84 819,5 | 80 241,8 |
| готова продукція | 130 | 4 090,8 | 4 562,9 |
| товари | 140 | 381 766 | 275 454 |
| Векселі одержані | 150 | 331 973 | 362 135 |
| Дебіторська заборгованість за товари, роботи, послуги: | |||
| чиста реалізаційна вартість | 160 | 984 963 | 1 011 730 |
| первісна вартість | 161 | 1 110 020 | 1 134 360 |
| резерв сумнівних боргів | 162 | 125 060 | 122 630 |
| Дебіторська заборгованість за розрахунками: | |||
| з бюджетом | 170 | 133 082 | 26 578,7 |
| за виданими авансами | 180 | 18 631,8 | 82 296,2 |
| з нарахованих доходів | 190 | 0 | 0 |
| із внутрішніх розрахунків | 200 | 1 378 490 | 1 254 760 |
| Інша поточна дебіторська заборгованість | 210 | 509 079 | 513 172 |
| Поточні фінансові інвестиції | 220 | 4 015,1 | 60 119,1 |
| Грошові кошти та їх еквіваленти: | |||
| в національній валюті | 230 | 30 607,3 | 31 394,9 |
| в іноземній валюті | 240 | 1 778,4 | 1 016,2 |
| Інші оборотні активи | 250 | 213 041 | 211 341 |
| Усього за розділом II | 260 | 5 176 830 | 5 482 180 |
| III. Витрати майбутніх періодів | 270 | 3 548,1 | 1 931,8 |
| Баланс | 280 | 14 969 000 | 15 857 300 |
| Пасив | Код рядка | На початок звітного періоду | На кінець звітного періоду |
| 1 | 2 | 3 | 4 |
| I. Власний капітал | |||
| Статутний капітал | 300 | 1 494 610 | 1 494 610 |
| Пайовий капітал | 310 | 0 | 0 |
| Додатковий вкладений капітал | 320 | 0 | 0 |
| Інший додатковий капітал | 330 | 7 741 270 | 7 624 490 |
| Резервний капітал | 340 | 0 | 0 |
| Нерозподілений прибуток (непокритий збиток) | 350 | 2 407 000 | 2 582 230 |
| Неоплачений капітал | 360 | 0 | 0 |
| Вилучений капітал | 370 | 0 | 0 |
| Усього за розділом I | 380 | 11 642 900 | 11 701 300 |
| II. Забезпечення наступних витрат і платежів | |||
| Забезпечення виплат персоналу | 400 | 0 | 0 |
| Інші забезпечення | 410 | 0 | 0 |
| Цільове фінансування | 420 | 13 057,7 | 2 014,9 |
| Усього за розділом II | 430 | 13 057,7 | 2 014,9 |
| III. Довгострокові зобов'язання | |||
| Довгострокові кредити банків | 440 | 0 | 0 |
| Інші довгострокові фінансові зобов'язання | 450 | 162 994 | 209 775 |
| Відстрочені податкові зобов'язання | 460 | 0 | 0 |
| Інші довгострокові зобов'язання | 470 | 170 681 | 527 |
| Усього за розділом III | 480 | 333 675 | 210 302 |
| IV. Поточні зобов'язання | |||
| Короткострокові кредити банків | 500 | 33 497,3 | 137 494 |
| Поточна заборгованість за довгостроковими зобов'язаннями | 510 | 157,1 | 0 |
| Векселі видані | 520 | 253 | 200 |
| Кредиторська заборгованість за товари, роботи, послуги | 530 | 269 346 | 260 733 |
| Поточні зобов'язання за розрахунками: | |||
| з одержаних авансів | 540 | 718,5 | 994 |
| з бюджетом | 550 | 27 933,1 | 11 482,1 |
| з позабюджетних платежів | 560 | 37 205,3 | 30 424,2 |
| зі страхування | 570 | 6 269,7 | 10 064,4 |
| з оплати праці | 580 | 13 880,9 | 19 913,5 |
| з учасниками | 590 | 0 | 0 |
| із внутрішніх розрахунків | 600 | 2 435 550 | 3 356 580 |
| Інші поточні зобов'язання | 610 | 144 795 | 114 085 |
| Усього за розділом IV | 620 | 2 969 610 | 3 941 970 |
| V. Доходи майбутніх періодів | 630 | 9 830,9 | 1 697,4 |
| Баланс | 640 | 14 969 000 | 15 857 300 |
| ЗВІТ ПРО ФІНАНСОВІ РЕЗУЛЬТАТИ |
| за 2 003 р. |
| Стаття | Код рядка | За звітний період | За попередній період |
| Доход (виручка) від реалізації продукції (товарів, робіт, послуг) | 10 | 5 131 300 | 4 488 630 |
| Податок на додану вартість | 15 | ( 470 132 ) | ( 396 205 ) |
| Акцизний збір | 20 | ( 0 ) | ( 0 ) |
| 25 | ( 677,4 ) | ( 1 399,5 ) | |
| Інші вирахування з доходу | 30 | ( 0 ) | ( 0 ) |
| Чистий доход (виручка) від реалізації продукції (товарів, робіт, послуг) | 35 | 4 660 490 | 4 091 020 |
| Собівартість реалізованої продукції (товарів, робіт, послуг) | 40 | ( 4 272 200 ) | ( 3 698 370 ) |
| Валовий: | |||
| прибуток | 50 | 388 284 | 392 655 |
| збиток | 55 | ( 0 ) | ( 0 ) |
| Інші операційні доходи | 60 | 179 408 | 205 979 |
| Адміністративні витрати | 70 | ( 169 076 ) | ( 131 503 ) |
| Витрати на збут | 80 | ( 1 820,9 ) | ( 1 373 ) |
| Інші операційні витрати | 90 | ( 321 203 ) | ( 402 612 ) |
| Фінансові результати від операційної діяльності: | |||
| прибуток | 100 | 75 592,80 | 63 145,80 |
| збиток | 105 | ( 0 ) | ( 0 ) |
| Доход від участі в капіталі | 110 | 1 813,90 | 1 487,20 |
| Інші фінансові доходи | 120 | 906 | 1 644,10 |
| Інші доходи | 130 | 36 421,40 | 25 094 |
| Фінансові витрати | 140 | ( 11 850,9 ) | ( 9 088,9 ) |
| Втрати від участі в капіталі | 150 | ( 0 ) | ( 0 ) |
| Інші витрати | 160 | ( 82 343,6 ) | ( 49 788 ) |
| Фінансові результати від звичайної діяльності до оподаткування: | |||
| прибуток | 170 | 20 539,60 | 32 494,20 |
| збиток | 175 | ( 0 ) | ( 0 ) |
| Податок на прибуток від звичайної діяльності | 180 | 0 | 19 030,30 |
| Дохід з податку на прибуток від звичайної діяльності | 185 | 931,6 | 0 |
| Фінансові результати від звичайної діяльності: | |||
| прибуток | 190 | 21 471,20 | 13 463,90 |
| збиток | 195 | ( 0 ) | ( 0 ) |
| Надзвичайні: | |||
| доходи | 200 | 238,5 | 29,3 |
| витрати | 205 | ( 1 919,1 ) | ( 574,7 ) |
| Податки з надзвичайного прибутку | 210 | 0 | 0 |
| Чистий: | |||
| прибуток | 220 | 19 790,60 | 12 918,50 |
| збиток | 225 | ( 0 ) | ( 0 ) |
| ІІ. ЕЛЕМЕНТИ ОПЕРАЦІЙНИХ ВИТРАТ |
| Найменування показника | Код рядка | За звітний період | За попередній період |
| Матеріальні затрати | 230 | 2 355 010 | 2 171 080 |
| Витрати на оплату праці | 240 | 385 853 | 318 109 |
| Відрахування на соціальні заходи | 250 | 133 096 | 105 844 |
| Амортизація | 260 | 541 605 | 494 554 |
| Інші операційні витрати | 270 | 876 498 | 851 730 |
| Разом | 280 | 4 292 060 | 3 941 320 |
Додаток Ж
Інформація НАК "Нафтогаз України" про проведення розрахунків за спожитий природний газ по категоріях споживачів станом на 1 серпня 2006 р.

Додаток К
Інформація про стан розрахунків підприємств ТКЕ за спожитий природний газ в 2008 р. (станом на 09.06.08)

Продовження Додатку К

Додаток Л
Інформація про стан розрахунків ВАТобл/міськ/газ з ДК"Газ України" за газ, спожитий населенням у 2008 році (станом на 09.06.2008)

Додаток М
Інформація про стан розрахунків ВАТобл/міськ/газ з ДК"Газ України" за газ, спожитий бюджетними установами у 2008 році (станом на 09.06.08)

Додаток Н
Ціни на газ в Європі для промислових споживачів (1996-2007)
Ціни на газ станом на 1 січня кожного року для промислових споживачів в євро за 1000 кубометрів з урахуванням транспортування без урахування податків за умови споживання 1 111 000 м3* природного газу в рік
| 1996 | 1997 | 1998 | 1999 | 2000 | 2001 | 2002 | 2003 | 2004 | 2005 | 2006 | 2007 | |
| Європейський Союз (27країн) | 226,5 | 305,7 | 335,1 | |||||||||
| Європейський Союз (25країн) | 201,6 | 231 | 309,8 | 338,8 | ||||||||
| Європейський Союз (15країн) | 135,7 | 151,9 | 151,9 | 131.5 | 159,1 | 230,7 | 216,7 | 209,6 | 205 | 234,8 | 314,3 | 344,5 |
| Бельгія | 149,6 | 156,8 | 160,2 | 130,4 | 166,6 | 238,2 | 197,9 | 204,3 | 199 | 198,6 | 266,1 | 259,7 |
| Болгарія | 131,9 | 142,5 | 169,6 | 196,7 | ||||||||
| Чехія | 113,4 | 146,2 | 176,4 | 156 | 158,3 | 192,6 | 276,6 | 247,2 | ||||
| Данія | 128,9 | 151,9 | 135,3 | 99,9 | 173 | 225,8 | 169,2 | 198,2 | 173,8 | 226,5 | 232,5 | 217,5 |
| Німеччини | 166,2 | 186,9 | 187,7 | 158,7 | 180,2 | 292,5 | 274,4 | 253,7 | 240,8 | 292,5 | 394,6 | 457,9 |
| Естонія | 109,7 | 109,7 | 103,6 | 107 | 139,1 | |||||||
| Ірландія | 110,4 | 144,4 | 111,6 | 116,5 | 135,3 | 175,3 | 183,9 | 186,2 | ||||
| Іспанія | 118,3 | 140,6 | 138,3 | 107 | 152,6 | 208,8 | 163,6 | 181,3 | 166,2 | 176,4 | 272,9 | 266,5 |
| Франція | 127,8 | 134,9 | 139,5 | 127,8 | 161,7 | 223,9 | 185,8 | 205,8 | 194,5 | 234,4 | 303,8 | 287,6 |
| Італія | 134,9 | 166,6 | 159,4 | 131,2 | 156 | 248 | 221,2 | 202,8 | 211,1 | 229,5 | 265,3 | 318.9 |
| Латвія | 130,8 | 131,2 | 152,6 | 199,4 | ||||||||
| Литва | 158,7 | 144,4 | 136,1 | 167,7 | 226,9 | |||||||
| Люксембург | 183,2 | 188,8 | 189,6 | 176,8 | 186,2 | 259,7 | 222,4 | 232,5 | 223,9 | 261,9 | 339,6 | 371,2 |
| Угорщина | 84,8 | 108,5 | 124,4 | 109,7 | 103,3 | 154,2 | 185,1 | 196 | 203,9 | 219 | 299,6 | 357,3 |
| Нідерланди | 127,4 | 140,2 | 140,2 | 116,5 | 153 | 203,5 | 222 | 240,8 | 306,8 | 316,6 | ||
| Австрія | 182,4 | 173 | 159,4 | 159,4 | 133 | 208,4 | 211,8 | 205,8 | 209,9 | 231,4 | 314,3 | 335,8 |
| Польща | 211,1 | 231,8 | 210,7 | 160,6 | 199,8 | 255,2 | 284.2 | |||||
| Португалія | 259,3 | 235,9 | 240,8 | 214,1 | 227,3 | 287,6 | 292,5 | |||||
| Румунія | 86,3 | 106,7 | 138,7 | 234,8 | 275,9 | |||||||
| Словенія | 130,8 | 130 | 202 | 146,6 | 180,2 | 288,7 | 241,6 | 168,1 | 150,7 | 192,2 | 270,2 | 276,3 |
| Словаччина | 200,9 | 191,5 | 288,3 | 276,3 | ||||||||
| Фінлядія | 118,7 | 150 | 136,4 | 94,6 | 170,7 | 266,8 | 232,9 | 240,1 | 235,6 | 242,3 | 275,9 | 286,8 |
| Швеція | 183,2 | 173 | 127 | 191,1 | 359,9 | 223,5 | 256,3 | 241,2 | 304,5 | 420,2 | 416,9 | |
| Великобританія | 98 | 108,9 | 119,9 | 118,7 | 133 | 151,1 | 204,3 | 183,6 | 177,1 | 219 | 336,2 | 397,6 |
| Хорватія | 242 | 247,6 | 248 |
*З розрахунку, що 1 ГДж приблизно рівний 26.5322 м3 природного газу, 1000 м3 - 37,69 ГДж
Джерело: Євростат Ціни на газ в Європі для домогосподарств (1996-2007)
Ціни на газ за станом на 1 січня кожного року для домогосподарств в євро за 1000 кубометрів з урахуванням транспортування без урахування податків за умови споживання 2220 м3* природного газу в рік на потреби підігріву води, опалювання будинків, приготування їжі.
| 1996 | 1997 | 1998 | 1999 | 2000 | 2001 | 2002 | 2003 | 2004 | 2005 | 2006 | 2007 | |
| Європейський Союз (27країн) | 318,9 | 376,9 | 440,2 | |||||||||
| Європейський Союз (25країн) | 297,4 | 321,9 | 379,2 | 420,6 | ||||||||
| Європейський Союз (15країн) | 250,3 | 272,1 | 276,6 | 256,7 | 272,9 | 320 | 317,3 | 315,5 | 308,3 | 333,2 | 391,6 | 459,1 |
| Бельгія | 259,7 | 260,8 | 265 | 243,5 | 280,4 | 356,2 | 314,3 | 323,4 | 316,2 | 333,6 | 405,2 | 389,3 |
| Болгарія | 211,8 | 211,4 | 242 | 277,4 | ||||||||
| Чехія | 134,6 | 170 | 219 | 196 | 202,8 | 237,4 | 317,7 | 299,2 | ||||
| Данія | 226,5 | 337,3 | 413,1 | 283,8 | 314 | 318,5 | 474,1 | 497,1 | 512,6 | |||
| Німеччини | 258,2 | 268 | 263,8 | 250,3 | 261,2 | 363,7 | 348,3 | 336,6 | 343 | 382,9 | 461,7 | 526,5 |
| Естонія | 148,1 | 148,1 | 147,7 | 148,1 | 188,1 | |||||||
| Ірландія | 262,7 | 288 | 272,5 | 277 | 274,4 | 274,4 | 274 | 274 | 298,9 | 331,7 | 415,3 | 555,6 |
| Іспанія | 349,8 | 345,2 | 343 | 333,6 | 344,9 | 416,9 | 394,2 | 393,1 | 375 | 386,3 | 442,9 | 462,5 |
| Франція | 274 | 272,5 | 289,1 | 277,4 | 263,5 | 318,1 | 346,4 | 341,5 | 326 | 339,2 | 407,4 | 430,4 |
| Італія | 294 | 339,2 | 333,2 | 303,4 | 331,3 | 417,2 | 375 | 371,6 | 334,7 | 338,5 | 393,1 | 444,4 |
| Латвія | 134,9 | 145,1 | 171,1 | 239,3 | ||||||||
| Литва | 174,1 | 172,6 | 199,4 | 225 | ||||||||
| Люксембург | 211,8 | 216,7 | 217,1 | 199,4 | 214,1 | 287,6 | 250,3 | 260,4 | 251,4 | 289,5 | 367,1 | 403,3 |
| Угорщина | 81 | 113,1 | 125,9 | 112,7 | 111,9 | 120,6 | 146,2 | 148,5 | 156 | 167 | 173 | 225 |
| Нідерланди | 219,4 | 234,8 | 232,2 | 215,6 | 211,8 | 237,8 | 265 | 305,3 | 305,3 | 363,3 | 418 | 463,6 |
| Австрія | 324,5 | 314 | 291 | 294 | 294 | 331,7 | 331,7 | 333,6 | 350,5 | 335,8 | 404 | 413,8 |
| Польща | 199,4 | 250,3 | 222,8 | 196 | 233,3 | 292,5 | 330,2 | |||||
| Португалія | 515,6 | 497,1 | 478,7 | 432,7 | 442,9 | 521,3 | 49,3 | |||||
| Румунія | 151,9 | 242,7 | 286,4 | |||||||||
| Словенія | 195,2 | 196 | 233,7 | 203,9 | 208 | 308,3 | 275,5 | 278,9 | 272,5 | 294,7 | 378 | 405.2 |
| Словаччина | 230,3 | 257,8 | 343,7 | 363,3 | ||||||||
| Фінлядія | 188,8 | 206,5 | 268,4 | 248 | ||||||||
| Швеція | 271,7 | 272,9 | 255,9 | 287,6 | 344,1 | 363 | 371,2 | 377,3 | 441,7 | 557,8 | 568,7 | |
| Великобританія | 208 | 238,2 | 254,4 | 225,4 | 248,8 | 236,3 | 24,9 | 247,2 | 245,7 | 260,4 | 295,5 | 422,1 |
| Хорватія | 236,3 | 242 | 242,3 |
*З розрахунку, що 1 ГДж приблизно рівний 26.5322 м3 природного газу, 1000 м3 - 37,69 ГДж
Джерело: Євростат
Додаток М
НАЦІОНАЛЬНА КОМІСІЯ РЕГУЛЮВАННЯ ЕЛЕКТРОЕНЕРГЕТИКИ УКРАЇНИ
ПОСТАНОВА
від 21 червня 2007 року N 775
Згідно з повноваженнями, наданими Законом України "Про природні монополії", Указом Президента України від 14.03.95 N 213 "Про заходи щодо забезпечення діяльності Національної комісії з питань регулювання електроенергетики України", відповідно до постанови Кабінету Міністрів України від 25.12.96 N 1548 "Про встановлення повноважень органів виконавчої влади та виконавчих органів міських рад щодо регулювання цін (тарифів)", у зв'язку із зміною величини витрат та обсягів транспортування і постачання природного газу Національна комісія регулювання електроенергетики України постановляє:
1. Затвердити загальний тариф на послуги з транспортування природного газу в розмірі 96,30 грн. за 1000 м3 без урахування податку на додану вартість.
2. Затвердити розрахунковий середній тариф на транспортування природного газу магістральними трубопроводами для Дочірньої компанії "Укртрансгаз" Національної акціонерної компанії "Нафтогаз України" в розмірі 40,70 грн. за 1000 м3 без урахування податку на додану вартість.
3. Установити ДК "Укртрансгаз" структуру розрахункового середнього тарифу на транспортування природного газу магістральними трубопроводами згідно з додатком 1.
4. Затвердити тариф на послуги з транспортування природного газу магістральними трубопроводами для споживачів, власні газопроводи яких безпосередньо підключені до магістральних газопроводів, у розмірі 74,70 грн. за 1000 м3 без урахування податку на додану вартість.
5. Затвердити середньозважений тариф на транспортування природного газу розподільними трубопроводами в розмірі 55,60 грн. за 1000 м3 без урахування податку на додану вартість.
6. Затвердити середньозважений тариф на постачання природного газу в розмірі 26,80 грн. за 1000 м3 без урахування податку на додану вартість.
7. Затвердити тарифи на послуги з транспортування природного газу магістральними трубопроводами для Дочірньої компанії "Укртрансгаз" Національної акціонерної компанії "Нафтогаз України" та Державного акціонерного товариства "Чорноморнафтогаз", відповідно до території ліцензованої діяльності підприємств з газопостачання та газифікації згідно з додатком 2.
8. Постанови НКРЕ від 19.12.2006 N 1682 "Про затвердження тарифів на транспортування та постачання природного газу", від 28.12.2006 N 1894 "Про внесення змін до додатка 2 до постанови НКРЕ від 19.12.2006 N 1682" та від 26.04.2007 N 501 "Про внесення змін до додатка 2 до постанови НКРЕ від 19.12.2006 N 1682" визнати такими, що втратили чинність.
9. Ця постанова набуває чинності з 1 липня 2007 року.
| Голова Комісії | С. Тітенко |
| Додаток 1 до постанови НКРЕ від 21 червня 2007 р. N 775 |
Конфіденційно
| Додаток 2 до постанови НКРЕ від 21 червня 2007 р. N 775 |
Тарифи на послуги з транспортування природного газу магістральними трубопроводами для Дочірньої компанії "Укртрансгаз" Національної акціонерної компанії "Нафтогаз України" та Державного акціонерного товариства "Чорноморнафтогаз" відповідно до території ліцензованої діяльності підприємств з газопостачання та газифікації
| N | Підприємства з газопостачання та газифікації | Тариф на транспортування природного газу магістральними трубопроводами (без ПДВ), грн за 1000 м3 | |
| ДК "Укртрансгаз" | ДАТ "Чорноморнафтогаз" | ||
| 1 | ВАТ "Вінницягаз" | 40,30 | |
| 2 | ВАТ "Волиньгаз" | 10,80 | |
| 3 | ВАТ "Гадячгаз" | 15,10 | |
| 4 | ВАТ "Дніпрогаз" | 57,80 | |
| 5 | ВАТ "Дніпропетровськгаз" | 35,90 | |
| 6 | ВАТ "Донецькміськгаз" | 41,50 | |
| 7 | ВАТ "Донецькоблгаз" | 49,10 | |
| 8 | ВАТ "Житомиргаз" | 23,00 | |
| 9 | ВАТ "Закарпатгаз" | 7,90 | |
| 10 | ВАТ "Запоріжгаз" | 55,70 | |
| 11 | ВАТ "Івано-Франківськгаз" | 23,90 | |
| 12 | ВАТ "Керчгаз" | 52,50 | 1,50 |
| 13 | ВАТ "Київгаз" | 67,50 | |
| 14 | ВАТ "Київоблгаз" | 32,20 | |
| 15 | ДП Києво-Святошинське УЕГГ | 43,80 | |
| 16 | ВАТ "Кіровоградгаз" | 11,20 | |
| 17 | ВАТ "Коростишівгаз" | 2,90 | |
| 18 | ВАТ "Кременчукгаз" | 69,20 | |
| 19 | ВАТ "Криворіжгаз" | 69,00 | |
| 20 |
ВАТ "Кримгаз" (Східний регіон із залученням газопроводу Джанкой - Феодосія - Керч) | 35,00 | 1,50 |
| ВАТ "Кримгаз" (західний регіон) | 6,90 | 29,60 | |
| 21 | ВАТ "Лубнигаз" | 15,10 | |
| 22 | ВАТ "Луганськгаз" | 42,10 | |
| 23 | ВАТ "Львівгаз" | 15,60 | |
| 24 | ВАТ "Макіївкагаз" | 66,80 | |
| 25 | ВАТ "Маріупольгаз" | 25,50 | |
| 26 | ВАТ "Мелітопольгаз" | 7,40 | |
| 27 | ВАТ "Миколаївгаз" | 20,90 | |
| 28 | ВАТ "Одесагаз" | 64,50 | |
| 29 | ВАТ "Полтавагаз" | 6,40 | |
| 30 | ВАТ "Рівнегаз" | 7,20 | |
| 31 | ВАТ "Севастопольгаз" | 16,50 | 29,60 |
| 32 | ВАТ "Сумигаз" | 33,10 | |
| 33 | ВАТ "Тернопільгаз" | 6,70 | |
| 34 | ВАТ "Тернопільміськгаз" | 49,70 | |
| 35 | ВАТ "Тисменицягаз" | 7,90 | |
| 36 | ВАТ "Уманьгаз" | 29,30 | |
| 37 | ВАТ "Харківгаз" | 14,10 | |
| 38 | ВАТ "Харківміськгаз" | 63,30 | |
| 39 |
ВАТ "Херсонгаз" | 22,10 | |
| ВАТ "Херсонгаз" (на території Арабатської стрілки)* | 0,00 | 29,60 | |
| 40 | ВАТ "Хмельницькгаз" | 8,10 | |
| 41 | ВАТ "Черкасигаз" | 59,40 | |
| 41 | ДП "Укргазмережі" | 11,70 | |
| 42 | ВАТ "Чернівцігаз" | 1,80 | |
| 43 | ВАТ "Чернігівгаз" | 30,70 | |
| 44 | ВАТ "Шепетівкагаз" | 35,10 | |
| 45 | ЗАТ "Теодосія" | 47,80 | 1,50 |
| 46 | ЗАТ "Джурчі" | 26,20 | 1,50 |
| 47 | ДГХП "Сірка" | 68,70 | |
| 48 | ПП "Укргазпром" | 21,60 | 29,60 |
| 49 | ДП "Монтажник" СВАТ "Браїлівське" | 68,70 | |
| 50 | ТОВ "Об'єднання Транс-Континенталь" | 28,40 | 1,50 |
| 51 | ТОВ "Газовик" | 15,20 | |
* Для споживачів Арабатської стрілки (Херсонська область) загальна вартість послуг з транспортування природного газу не відповідає рівню загального тарифу. Для цих споживачів тариф на транспортування природного газу формується, виходячи з величини тарифів на транспортування природного газу магістральними та розподільними трубопроводами.
Примітка.
Відповідно до Закону України від 03.04.97 N 168/97-ВР "Про податок на додану вартість" до вищезазначених тарифів додається податок на додану вартість за визначеною законом ставкою податку.
Додаток Н
Таблиця Н1.1
ПРОГНОЗНИЙ БАЛАНС надходження та розподілу природного газу по Україні на 2003 рік[43]
| Надходження | Обсяг, млн. куб. метрів | Розподіл | Обсяг, млн. куб. метрів |
| Ресурси газу, всього | 89756 | розподіл газу, всього | 89756 |
| в тому числі: | в тому числі: | ||
| газ власного видобутку | 18611 | фонди облдержадміністрацій | 31190 |
| в тому числі: | в тому числі: | ||
| ДК "Укргазвидобування" | 13500 | населення | 17650 |
| ВАТ "Укрнафта" | 3096 | бюджетні організації | 1070 |
| ДАТ "Чорноморнафтогаз" | 1015 | підприємства теплокомуненерго | 11830 |
| інші | 1000 | виробничо-технологічні витрати газорозподільних підприємств | 640 |
| в тому числі: | промислові споживачі | 33485 | |
| СП "Полтавська газонафтокомпанія" | 245 | в тому числі: | |
| СП "УкрКарпат-Ойл ЛТД" | 7,2 | для генеруючих компаній | 8800 |
| СП "Дельта" | 36 | вироб.-техн. потреби | 7526 |
| СП "Каштан Петроліум ЛТД" | 1,3 | газ для вироблення скрапленого газу | 113 |
| ЗАТ "Пласт" | 98,1 | експорт, усього | 3676 |
| ЗАТ "Укрнафтогазтехнологія" | 240 | в тому числі: | |
| СП "Бориславська нафтокомпанія" | 29,3 | за Ямбурзькимиугодами | 500 |
| ТОВ "Оберон-вугілля" | 8,2 | повернення боргу ВАТ "Газпром" | 1500 |
| НАК "Надра України" | 133,3 | закачування до підземних сховищ газу | 12266 |
| ТОВ "Куб-Газ" | 56,3 | ||
| ТОВ "Дніпрогазресурс" | 70 | ||
| ТОВ "Мар'їнське" | 56,5 | ||
| ТОВ "Інвесторнафтогаз" | 8 | ||
| ЗАТ "Тисагаз" | 5,2 | ||
| ДП "Європа нафта і газ України" | 5,6 | ||
| Газ, від ВАТ "Газпром" за транзит | 26000 | ||
| Туркменський газ | 31500 | ||
| Інші постачальники | 360 | ||
| Відбір з підземних сховищ газу | 13285 |
Таблиця Н.2
ПРОГНОЗНИЙ БАЛАНС надходження та розподілу природного газу в Україні на 2004 рік (млн. м3) [43]
| I. Ресурси природного газу - всього* | 94720 |
| у тому числі: | |
| 1. Природний газ, видобутий в Україні | 19850 |
| у тому числі: | |
| ДК "Укргазвидобування" | 14350 |
| ВАТ "Укрнафта" | 3350 |
| ДАТ "Чорноморнафтогаз" | 1110 |
| інші газодобувні підприємства | 1040 |
| 2. Надходження - всього | 60420 |
| від ВАТ "Газпром" – за транзит | 24000 |
| туркменський природний газ | 36000 |
| інші постачальники | 420 |
| 3. Відбір з підземних сховищ природного газу для споживачів - всього | 14450 |
| II. Розподіл природного газу - всього | 94720 |
| 1. Україні - всього | 75630 |
| -на задоволення виробничо-технологічних потреб | 7500 |
| - на виробництво скрапленого газу та стабільного бензину | 130 |
| - для споживачів - всього | 68000 |
| з них: | |
| фондам держадміністрацій , в тому числі | 34000 |
| населення | 18000 |
| бюджетних організацій | 1070 |
| підприємств теплокомуненерго | 13915 |
| виробничо-технологічних витрат | 1015 |
| промисловим споживачам - всього | 34000 |
| у тому числі для енергогенеруючих компаній Мінпаливенерго | 6000 |
| 2. Експорт українського природного газу | 5000 |
| 3. Закачування до підземних сховищ природного газу - всього | 14090 |
Таблиця Н.3
ПРОГНОЗНИЙ БАЛАНС надходження та розподілу природного газу на 2005 рік [31]
| (млн. куб. метрів) | ||
| I. | Ресурси газу - всього* | 96456 |
| У тому числі: | ||
| 1. | Природний газ, видобутий в Україні | 20192 |
| У тому числі: | ||
| ДК "Укргазвидобування" | 14450 | |
| ВАТ "Укрнафта" | 3375 | |
| ДАТ "Чорноморнафтогаз" | 1202 | |
| інші газодобувні підприємства | 1165 | |
| 2. | Надходження - всього | 62000 |
| Від ВАТ "Газпром" – за транзит | 24000 | |
| Від республік Середньої Азії | 38000 | |
| 3. | Відбір з підземних сховищ природного газу - всього | 14264 |
| II. | Розподіл природного газу - всього | 96456 |
| 1. | По Україні - всього | 76456 |
| У тому числі: | ||
| для задоволення виробничо-технологічних потреб | 7600 | |
| для виробництва скрапленого газу та стабільного бензину | 150 | |
| для споживачів - всього | 68706 | |
| зокрема: | ||
| до фондів держадміністрацій - всього | 34246 | |
| у тому числі для: | ||
| населення | 17670 | |
| бюджетних організацій | 1061 | |
| підприємств теплокомуненерго | 14415 | |
| виробничо-технологічних витрат газорозподільних | 1100 | |
| підприємств | ||
| промисловим споживачам - всього | 34460 | |
| у тому числі через: | ||
| НАК "Нафтогаз України" | 32795 | |
| зокрема енергогенеруючим компаніям | 5000 | |
| інших постачальників | 1665 | |
| 2. | Експорт українського природного газу | 5000 |
| 3. | Закачування до підземних сховищ природного газу - всього | 15000 |
Таблиця Н.4
ПРОГНОЗНИЙ БАЛАНС надходження та розподілу природного газу в I кварталі 2006 року [32] (млн. куб. метрів)
| Усього | У тому числі за місяцями | |||
| січень | лютий | березень | ||
| 1. Ресурси газу | 32383 | 11149 | 10079 | 11155 |
| у тому числі: | ||||
| 1) газ власного видобутку: | 5123 | 1760 | 1597 | 1766 |
| дочірня компанія "Укргазвидобування" | 3751 | 1291 | 1169 | 1291 |
| ВАТ "Укрнафта" | 770 | 262 | 240 | 268 |
| державне акціонерне товариство "Чорноморнафтогаз" |
302 | 104 | 94 | 104 |
| інші газодобувні підприємства | 300 | 103 | 94 | 103 |
| 2) надходження газу: | 26410 | 9096 | 8218 | 9096 |
| від ВАТ "Газпром" | 15000 | 5167 | 4666 | 5167 |
| з республік Середньої Азії | 11350 | 3909 | 3539 | 3909 |
| від інших постачальників | 60 | 20 | 20 | 20 |
| 3) відбір з підземних сховищ газу | 850 | 293 | 264 | 293 |
| у тому числі компанії "РосУкрЕнерго" для транзиту | 850 | 293 | 264 | 293 |
| 2. Розподіл газу | 32383 | 11149 | 10079 | 11155 |
| 1) Україні | 27857 | 10111 | 9150 | 8596 |
| на виробничо-технологічні потреби | 2225 | 809 | 722 | 694 |
| споживачам | 25586 | 9286 | 8414 | 7886 |
| з них: | ||||
| фондам держадміністрацій | 15789 | 5687 | 5315 | 4787 |
| у тому числі: | ||||
| населенню | 8200 | 2900 | 2800 | 2500 |
| бюджетним організаціям | 560 | 200 | 185 | 175 |
| підприємствам теплокомуненерго | 6500 | 2400 | 2150 | 1950 |
| на виробничо-технологічні витрати | 529 | 187 | 180 | 162 |
| промисловим споживачам | 9797 | 3599 | 3099 | 3099 |
| у тому числі через: | ||||
| НАК "Нафтогаз України" | 9437 | 3476 | 2985 | 2976 |
| інших постачальників | 360 | 123 | 114 | 123 |
| 2) експорт українського газу | 363 | 121 | 121 | 121 |
| 4) закачування газу до підземних сховищ | 3313 | 624 | 544 | 2145 |
Таблиця Н.5
ПРОГНОЗНИЙ БАЛАНС надходження та розподілу природного газу на 2007 рік [33] (млн. куб. метрів)
| I. | Ресурси природного газу - всього | 94604 | ||
| У тому числі: | ||||
| 1. | Природний газ, видобутий в Україні, - всього | 20569 | ||
| У тому числі: | ||||
| дочірня компанія "Укргазвидобування" | 14725 | |||
| ВАТ "Укрнафта" | 3263 | |||
| ДАТ "Чорноморнафтогаз" | 1269 | |||
| інші газодобувні підприємства | 1312 | |||
| 2. | Надходження - всього | 59785 | ||
| У тому числі: | ||||
| для ЗАТ "Укргаз-Енерго" | 53785 | |||
| газ компанії "РосУкрЕнерго АГ" для закачування до підземних сховищ природного газу | 6000 | |||
| 3. | Відбір із підземних сховищ природного газу - всього | 14121 | ||
| У тому числі газ: | ||||
| ВАТ "Укрнафта" з ресурсів 2006 року для населення | 1544 | |||
| компанії "РосУкрЕнерго АГ" для транзиту | 6686 | |||
| 4. | Відбір з газопроводів | 129 | ||
| II. | Розподіл природного газу - всього | 94604 | ||
| 1. | По Україні - всього | 69629 | ||
| У тому числі: | ||||
| виробничо-технологічні потреби - всього | 6129 | |||
| зокрема: | ||||
| дочірня компанія "Укртрансгаз" - всього | 5363 | |||
| з них з ресурсів газу власного видобутку | 1303 | |||
| газодобувні підприємства | 766 | |||
| сировина для виробництва скрапленого газу та стабільного бензину | 176 | |||
| споживачам України - всього | 63324 | |||
| з них: | ||||
| фонди держадміністрацій - всього | 30351 | |||
| у тому числі: | ||||
| населення - всього | 16919 | |||
| з них з ресурсів газу, видобутого ВАТ "Укрнафта" | 2800 | |||
| бюджетні організації - всього | 966 | |||
| підприємства теплокомуненерго - всього | 11365 | |||
| з них з ресурсів газу власного видобутку | 502 | |||
| виробничо-технологічні витрати та втрати газорозподільних підприємств | 1101 | |||
| промислові споживачі | 32973 | |||
| 2. | Транзит газу компанії "РосУкрЕнерго АГ" (з підземних сховищ природного газу) | 6686 | ||
| 3. | Експорт | 5 | ||
| 4. | Закачування до підземних сховищ природного газу | 18140 | ||
| У тому числі газ компанії "РосУкрЕнерго АГ" для транзиту | 6000 | |||
| 5. | Наповнення газопроводів | 144. | ||
Таблиця Н.6
ПРОГНОЗНИЙ БАЛАНС надходження та розподілу природного газу на 2008 рік [34] (млн. куб. метрів)
| Усього | У тому числі за кварталами | |||||||
| I | II | III | IV | |||||
| I. Ресурси природного газу - усього | 86760 | 25913 | 18195 | 18913 | 23739 | |||
| У тому числі: | ||||||||
| 1. Газ, видобутий в Україні, - усього | 20325 | 5195 | 4995 | 5013 | 5122 | |||
| У тому числі: | ||||||||
| дочірня компанія "Укргазвидобування" | 14600 | 3767 | 3579 | 3578 | 3676 | |||
| ВАТ "Укрнафта" | 3120 | 788 | 772 | 783 | 777 | |||
| ДАТ "Чорноморнафтогаз" | 1225 | 297 | 301 | 305 | 322 | |||
| інші газодобувні підприємства | 1380 | 343 | 343 | 347 | 347 | |||
| 2. Надходження - усього | 55000 | 13900 | 13200 | 13900 | 14000 | |||
| У тому числі імпортований природний газ | 55000 | 13900 | 13200 | 13900 | 14000 | |||
| 3. Відбір із підземних сховищ природного газу - усього | 11435 | 6818 | 4617 | |||||
| У тому числі: | ||||||||
| НАК "Нафтогаз України" - усього | 4796 | 2945 | 1851 | |||||
| з них із підземних сховищ природного газу: | ||||||||
| дочірня компанія "Укртрансгаз", усього | 4523 | 2773 | 1750 | |||||
| у тому числі: ВАТ "Укрнафта" | 2727 | 2727 | ||||||
| з них видобутого: | ||||||||
| у 2006 році | 841 | 841 | ||||||
| у 2007 році | 1886 | 1886 | ||||||
| ДАТ "Чорноморнафтогаз" | 273 | 172 | 101 | |||||
| імпортований природний газ для споживачів України | 5842 | 3076 | 2766 | |||||
| у тому числі для населення | 510 | 510 | ||||||
| інші власники газу | 797 | 797 | ||||||
| II. Розподіл природного газу - усього | 86760 | 25913 | 18195 | 18913 | 23739 | |||
| 1. По Україні - усього | 72465 | 25909 | 12412 | 10786 | 23358 | |||
| У тому числі: | ||||||||
| виробничо-технологічні потреби - усього | 6489 | 1820 | 1475 | 1344 | 1850 | |||
| з них: дочірня компанія Укртрансгаз | 5692 | 1611 | 1289 | 1160 | 1632 | |||
| газодобувні підприємства | 797 | 209 | 186 | 184 | 218 | |||
| сировина для виробництва скрапле-ного газу та стабільного бензину | 166 | 42 | 41 | 40 | 43 | |||
| споживачам України - усього | 65810 | 24047 | 10896 | 9402 | 21465 | |||
| з них: | ||||||||
| фонди держадміністрації - усього | 32680 | 14757 | 3806 | 2252 | 11865 | |||
| у тому числі: | ||||||||
| населення: | 17830 | 8004 | 2350 | 1213 | 6263 | |||
| природний газ власного видобутку - усього | 16813 | 7271 | 2273 | 1174 | 6095 | |||
| з них: | ||||||||
| дочірня компанія "Укргазвидобування" | 8961 | 3612 | 1485 | 389 | 3475 | |||
| ВАТ "Укрнафта" | 2610 | 649 | 650 | 666 | 645 | |||
| ДАТ "Чорноморнафтогаз" | 446 | 65 | 138 | 119 | 124 | |||
| НАК "Нафтогаз України" з підземних сховищ газу | 4796 | 2945 | 1851 | |||||
| газ власного видобутку ДАТ "Чорноморнафтогаз" | 507 | 223 | 77 | 39 | 168 | |||
| імпортований природний газ | 510 | 510 | ||||||
| у тому числі з підземних сховищ | 510 | 510 | ||||||
| бюджетні організації | 1050 | 532 | 93 | 30 | 395 | |||
| підприємства теплокомуненерго | 12600 | 5710 | 1190 | 875 | 4825 | |||
| зокрема для виробництва теплової енергії для потреб населення | 10650 | 4700 | 1000 | 750 | 4200 | |||
| виробничо-технологічні витрати та втрати газорозподільних підприємств | 1200 | 511 | 173 | 134 | 382 | |||
| промислові споживачі | 33130 | 9290 | 7090 | 7150 | 9600 | |||
| 2. Експорт з ресурсу дочірньої компанії "Укргазвидобування" | 9 | 4 | 1 | 4 | ||||
| 3. Закачування природного газу до підземних сховищ | 14286 | 5782 | 8127 | 377 | ||||
| У тому числі: | ||||||||
| газ власного видобутку НАК "Нафтогаз України", усього | 5283 | 2037 | 3191 | 55 | ||||
| з них: | ||||||||
| з ресурсів дочірньої компанії "Укргазвидобування" | 5043 | 1957 | 3051 | 35 | ||||
| ДАТ "Чорноморнафтогаз" | 240 | 80 | 140 | 20 | ||||
| імпортований газ | 9003 | 3745 | 4936 | 322 | ||||
Додаток П
Таблиця П.1
Динаміка ставок спеціальних зборів в державний бюджет України з операцій добування, транспортування та продажу природного газу в Україні у 2002 -2008 роках

Таблиця П.2
Динаміка сум спеціальних зборів в державний бюджет України з операцій добування, транспортування та продажу природного газу в Україні у 2002 -2008 роках

Похожие рефераты:
Розробка заходів з підвищення ефективності операційної діяльності ВАТ "Дніпропетровськгаз"
Ринок як форма функціонування товарного господарства
Польські інвестиції в Україну в світлі східної політики ЄС
Паливно-енергетичний комплекс України
Роль і господарське значення газової галузі в економіці України
Державне регулювання природних монополій
Характеристика факторів розміщення галузей матеріального виробництва
Геополітична та економічна характеристика Ірану
Аналіз міжнародних економічних відносин України, Польщі, Австрії та Японії
