| Скачать .docx |
Курсовая работа: Формирование портфеля реальных инвестиций с учетом инвестиционных рисков
НЕГОСУДАРСТВЕННОЕ ОБРАЗОВАТЕЛЬНОЕ УЧРЕЖДЕГИЕ
ВЫСШЕГО ПРОФЕССИОНАЛЬНОГО ОБРАЗОВАНИЯ
МЕЖРЕГИОНАЛЬНЫЙ ИНСТИТУТ ЭКОНОМИКИ И ПРАВА
ЭКОНОМИЧЕСКИЙ ФАКУЛЬТЕТ
КУРСОВАЯ РАБОТА
ПО ПРЕДМЕТУ:
Финансовый менеджмент
НА ТЕМУ:
Формирование портфеля реальных инвестиций
с учётом инвестиционных рисков
Выполнена студентом
3 курса, группы ФК-203
Заочного отделения
Козловым А.А.
Преподаватель:
Кунин В.А.
С.-Петербург
2007
Содержание стр.
Введение………………………………………………………………………3
1 Инвестиционный проект…………………………………………………...5
1.1 Инвестиционный проект как основа привлечения инвестиций. Инвестиционные риски…………………………………………………………………5
1.2 Разработка и реализация инвестиционного проекта…………………...9
2. Формирование и оценка инвестиционного портфеля предприятия……12
2.1 Понятие об инвестиционном портфеле. Принципы и последовательность формирования инвестиционного портфеля………………………………12
2.2 Особенности формирования портфеля реальных инвестиционных проектов………………………………………………………………………………..17
3 Методы оценки эффективности инвестиций……………………………..23
3.1 Метод чистой теперешней стоимости…………………………………..24
3.2 Метод внутренней ставки дохода……………………………………….26
3.3 Метод периода окупаемости…………………………………………….28
3.4 Метод индекса прибыльности……………………………………...……30
3.5 Метод расчета коэффициента эффективности инвестиции…………....31
4 Обоснование экономической целесообразности инвестиций по проекту…………….32
4.1 Исходные данные для: пример 1………………………………..…...…. .32
4.2 Определение теперешней чистой стоимости……………………………33
4.3 Определение внутренней ставки дохода………………………………...33
4.4 Определение периода окупаемости (по данным о денежных потоках)……………...34
4.5 Определение периода окупаемости
(по данным о теперешней стоимости денежных потоков)………………….35
4.6 Определение индексов прибыльности…………………………………...36
4.7 Определение коэффициента прибыльности……………………………..36
Выводы об экономической целесообразности проекта…………………......36
5. Определение финансового риска………………………………………….37
5.1 Пример 2…………………………………………………………………...37
5.2 Пример 3…………………………………………………………………...38
Таблица 1. Расчет дисперсии при вложении капитала в мероприятия А и Б…………...41
Заключение…………………………………………………………………….42
Источники……………………………………………………………………...43
Введение
ИНВЕСТИЦИЯ - это совокупность затрат реализуемых в форме вложений в те или иные проекты по различным отраслям народного хозяйства за достаточно длительный период.
Инвестиции, как капитал, могут быть в любой форме, как материальной, так и в денежной.
В соответствии с Российским законодательством под инвестициями понимают денежные средства, целевые банковские вклады, пай, акции и другие ценные бумаги, технологии, машины и оборудование, лицензии, кредиты, имущественные права, интеллектуальные ценности, вкладываемые в предпринимательские и другие виды деятельности с целью получения прибыли (дохода) и социального эффекта.
Инвестиции вкладываются на продолжительный период, начиная с постановки цели инвестирования и заканчивая закрытием предприятия после полной отдачи вложенного капитала.
Основой реализации инвестиций являются инвестиционные проекты. Про инвестиционные проекты можно сказать следующее:
-Это дело, мероприятие, программа действий направленная на достижение цели;
-Это организационный комплекс экономико-финансовых мероприятий и документов, необходимых для достижения цели.
Инвестиционные проекты классифицируются по ряду признаков:
1. По величине требуемых инвестиций:
-Крупные;
-Средние;
-Мелкие.
2. По степени обязательности:
-Обязательные (контрактные, основанные на договоре);
-Не обязательные.
3. По степени связанности проектов между собой:
-Независимые, когда выполнение второго проекта не зависит от хода реализации первого проекта;
-Альтернативные (взаимоисключающие), когда из двух выбирается только один проект;
-Зависимые. Когда реализация второго зависит от реализации первого инвестиционного проекта.
4. По типу денежного потока:
-Ординарные - это проект, в котором инвестиции поступают в равные промежутки времени и с равными объемами;
-Не ординарные - это проект, который получает или отдает денежные средства в различные не равные промежутки времени.
5. По отношению к рискам:
-Рискованные;
-Мало рискованные.
6. По срочности:
-Неотложные;
-Откладываемые.
7. По масштабу:
-Глобальные;
-Крупномасштабные;
-Региональные;
-Локальные.
По Российской классификации существуют следующие группы потребностей в инвестициях: внешняя- выход страны, региона, предприятия на внешний рынок; внутренняя - сокращение рабочей силы, увеличение масштаба производства, удовлетворение потребностей региона и т.д.
1 Инвестиционный проект.
1.1 Инвестиционный проект как основа привлечения
инвестиций. Инвестиционные риски.
Для ускорения принятия инвестором решения о том вкладывать ли средства в то или иное предприятие необходимо составлять инвестиционный проект, определяющий результат который стремится достичь фирма, стратегию предпринимательской деятельности в совокупности со сроками достижения цели.
Инвестиционный проект в том его виде, который принят в мировой практике, представляет собой комплекс взаимосвязанных мероприятий, направленных на достижение поставленных целей в условиях ограниченных финансовых, временных и других ресурсов.
Проектный анализ — методология, позволяющая оценивать финансовые и экономические достоинства проектов, альтернативных путей использования ресурсов с учетом их макро- и микроэкономических последствий.
Инвестиционный проект неразрывно связан с таким понятием как инвестиционный риск, т.к. полнота и достоверность представленной в нем информации о предприятии в значительной степени снижает видимый инвестору риск. В общем виде под инвестиционным риском понимается вероятность возникновения непредвиденных финансовых потерь (снижения прибыли, доходов, потери капитала и т.п.) в ситуации неопределенности условий инвестиционной деятельности.
Виды инвестиционных рисков многообразны. Риски можно классифицировать по следующим основным признакам:
1. По сферам проявления:
1.1 Экономический. К нему относится риск, связанный с изменением экономических факторов. Так как инвестиционная деятельность осуществляется в экономической сфере, то она в наибольшей степени подвержена экономическому риску.
1.2 Политический. К нему относятся различные виды возникающих административных ограничений инвестиционной деятельности, связанных с изменениями осуществляемого государством политического курса.
1.3 Социальный. К нему относится риск забастовок, осуществления под воздействием работников инвестируемых предприятий незапланированных социальных программ и другие аналогичные виды рисков.
1.4 Экологический. К нему относится риск различных экологических катастроф и бедствий (наводнений, пожаров и т.п.), отрицательно сказывающихся на деятельности инвестируемых объектов.
1.5 Прочих видов. К ним можно отнести рэкет, хищения имущества, обман со стороны инвестиционных или хозяйственных партнеров т т.п.
2. По формам инвестирования:
2.1 Реального инвестирования. Этот риск связан:
-С неудачным выбором месторасположения строящегося объекта;
-Перебоями в поставке строительных материалов и оборудования;
-Существенным ростом цен на инвестиционные товары;
-Выбором неквалифицированного или недобросовестного подрядчика и другими факторами, задерживающими ввод в эксплуатацию объекта инвестирования или снижающими доход (прибыль) в процессе его эксплуатации.
2.2 Финансового инвестирования. Этот риск связан с непродуманным подбором финансовых инструментов для инвестирования; финансовыми затруднениями или банкротством отдельных эмитентов; непредвиденными изменениями условий инвестирования, прямым обманом инвесторов и т.п.
3. По источникам возникновения выделяют два основных видов риска:
3.1 Систематический (или рыночный). Этот вид риска возникает для всех участников инвестиционной деятельности и форм инвестирования. Он определяется сменой стадий экономического цикла развития страны или конъюнктурных циклов развития инвестиционного рынка; значительными изменениями налогового законодательства в сфере инвестирования и другими аналогичными факторами, на которые инвестор повлиять при выборе объектов инвестирования не может.
3.2 Несистематический (или специфический). Этот вид риска присущ конкретному объекту инвестирования или деятельности конкретного инвестора. Он может быть связан с неквалифицированным руководством компанией (фирмой) — объектом инвестирования, усилением конкуренции в отдельном сегменте инвестиционного рынка; нерациональной структурой инвестируемых средств и другими аналогичными факторами, отрицательные последствия которых в значительной мере можно предотвратить за счет эффективного управления инвестиционным процессом.
В отдельных источниках также выделяют такие риски, как:
- риск, связанный с отраслью производства, — вложение в производство товаров народного потребления в среднем менее рискованны, чем в производство, скажем, оборудования;
- управленческий риск, т.е. связанный с качеством управленческой команды на предприятии;
- временной риск (чем больше срок вложения денег в предприятие, тем больше риска);
- коммерческий риск (связан с показателями развития данного предприятия и сроком его существования).
Так как инвестиционный риск характеризует вероятность возникновения непредвиденных финансовых потерь, его уровень при оценке определяется как отклонение ожидаемых доходов от инвестирования от средней или расчетной величины. Поэтому оценка инвестиционных рисков всегда связана с оценкой ожидаемых доходов и их потерь. Однако, оценка риска — процесс субъективный. Сколько бы ни существовало математических моделей расчета кривой риска и точной его величины, в каждом конкретном случае инвестор сам должен определить риск вложений в данное предприятие.
Инвестиции — это не столько вложения в проект, сколько в людей, способных реализовать этот проект. Инвестициям предшествуют длительные исследования, и они сопровождаются постоянным мониторингом состояния предприятия, на первоначальных этапах которого определяется вероятность всех возможных рисков.
1.2 Разработка и реализация инвестиционного проекта.
Мировая практика делит жизненный цикл инвестиционного проекта на следующие стадии:
1. Формулировка проекта.
2. Проектный анализ.
3. Разработка проекта.
4. Оценка результатов.
Именно на пред- инвестиционных стадиях жизненного цикла закладывается его жизнеспособность и инвестиционная привлекательность. Качество подготовки проектов с учетом критериев и требований международной экспертизы служит, как отмечалось ранее, своеобразной гарантией для иностранного инвестора, снижает его инвестиционный риск. К сожалению, в связи с большой трудоемкостью работ по подготовке проектов и недостатком квалификации специалистов предприятий в этой области, этому этапу работ над проектом отечественные соискатели инвестиций уделяют недостаточно времени. В результате, большинство проектов, отправляемых на экспертизу в международные финансовые организации и фонды, не находят инвестора.
Подготовка инвестиционного проекта должна учитывать следующие принципы:
1. Анализ “внутренней” и “внешней” среды проекта.
2. Анализ альтернативных технических и организационных решений.
3. Сравнение вариантов “с проектом” и “без проекта”.
4. Комплексный (технический, финансовый, институциональный, коммерческий, экологический) анализ проекта на всех этапах жизненного цикла.
5. Рассмотрение ценности проекта с точки зрения его участников: предприятия, инвесторов, государства.
6. Использование различных критериев и альтернативных оценок в анализе ценности проекта.
7. Учет инфляции, фактора времени, риска и неопределенности при экономическом и финансовом анализе.
Наиболее трудоемким и важным в данном процессе является комплексный анализ. Рассмотрим его составляющие.
Анализ технических аспектов: исследование предполагаемого масштаба проекта, типов используемых процессов, материалов, оборудования, месторасположения объекта, график работ, наличие производственных фондов и рабочей силы, необходимой инфраструктуры, предлагаемые методы реализации, эксплуатации и обслуживания проекта, реальную осуществимость графика проекта и поэтапного получения выгод. Важная часть технического анализа — проверка ориентировочных оценок инвестиций и эксплуатационных затрат по проекту.
Организационные (институциональные) аспекты: компетентность административного персонала и соответствие организационной структуры поставленным задачам.
Экологическая оценка: существующие экологические условия, потенциальное влияние проекта на окружающую среду.
Коммерческий анализ: есть ли рынок продукции (услуг), выпускаемых по рассматриваемому проекту. Результаты данного анализа являются ключевыми для принятия экономических и финансовых решений.
По представленным этапам можно выделить типичные ошибки, просчеты в инвестиционных проектах:
-Основная масса идей, лежащих в основе инвестиционных проектов, является результатом НИОКР, изобретений; практически отсутствуют идеи со стороны потребителей, рынка, конкурентов. Между тем в западных фирмах более 50% идей подсказывают потребители, что резко уменьшает риск неудач.
-При оценке проектов основной упор делается на производственно-технические показатели и частично на финансовые показатели. Как правило, практически отсутствует анализ рыночной ситуации — размера и прибыльности рынка, состояния конкуренции, характеристики товаров конкурентов, оценка доли рынка, которую можно захватить.
-Отсутствуют либо недостаточно конкретно указаны потенциальные потребители продукции, их характеристики.
-В проектах чаще всего речь идет об объеме производства, нет прогноза объема продаж. Почти не проработаны вопросы организации сбыта.
-При разработке изделий не уделяется должное внимание торговой марке, фирменному стилю, упаковке, эргономическим и экологическим параметрам, дизайну и т.д.
![]() |
2. Формирование и оценка инвестиционного портфеля предприятия
2.1 Понятие об инвестиционном портфеле.
Принципы и последовательность формирования инвестиционного портфеля
В процессе инвестиционной деятельности инвестор сталкивается с ситуацией выбора объектов инвестирования с различными инвестиционными характеристиками для наиболее полного достижения поставленных перед собой целей. Современная инвестиционная деятельность непосредственно связана с так называемой “портфельной теорией” (portfoliotheory). Она основывается на том, что большинство инвесторов избирают для своей инвестиционной деятельности несколько объектов реального или финансового инвестирования, т.е. формируют определенную их совокупность (инвестиционный портфель).
Инвестиционный портфель - целенаправленная совокупность объектов реального и финансового инвестирования, предназначенная для осуществления инвестиционной деятельности в определенный промежуток времени в соответствии с разработанной инвестиционной стратегией предприятия и рассматриваемая как целостный объект управления. Формирование инвестиционного портфеля - процесс целенаправленного подбора объектов инвестирования.
Основная задача портфельного инвестирования- создание оптимальных условий инвестирования за счёт обеспечения таких характеристик инвестиционного портфеля, которые невозможно достичь при размещении средств в отдельно взятый объект. В процессе формирования портфеля путём комбинирования инвестиционных активов достигается новое инвестиционное качество: обеспечивается требуемый уровень доходности при заданном уровне риска.
Система целей формирования инвестиционного портфеля предполагает наличие главной и основных целей.
Главная цель формирования инвестиционного портфеля предприятия- обеспечение реализации инвестиционной стратеги предприятия путём отбора наиболее эффективных и безопасных инвестиционных проектов.
Основные цели формирования инвестиционного портфеля:
-Обеспечение высоких темпов роста капитала. Позволяет обеспечить эффективную деятельность предприятия в долгосрочной перспективе. Достигается инвестированием средств в проекты с высоким значением чистого дисконтированного дохода;
-Обеспечение высоких темпов роста доходов. Предполагает получение регулярного дохода в текущем периоде. Достигается включением в портфель проектов с высокой текучей доходностью, обеспечивающих подержание постоянной платёжеспособности предприятия;
-Обеспечение минимизации инвестиционных рисков. Отдельные инвестиционные проекты, в частности, обеспечивающие высокие темпы роста дохода, могут иметь высокий уровень рисков, однако в рамках инвестиционного портфеля в целом уровень риска должен минимизироваться. Причём основное внимание должно быть уделено минимизации риска потери капитала, а лишь затем минимизации риска потери доходов;
-Обеспечение достаточной ликвидности инвестиционного портфеля. Предполагает возможность быстрого и безубыточного (без существенных потерь в стоимости) обращения инвестиций в наличные деньги в целях обеспечения быстрого реинвестирования капитала в более выгодные проекты.
Эти цели формирования инвестиционного портфеля в значительной степени являются альтернативными:
-Обеспечение высоких темпов роста капитала в определенной степени достигается за счёт снижения уровня текущей доходности инвестиционного портфеля;
-Рост капитала и доходов находится в прямой связи с уровнем инвестиционных рисков;
-Обеспечение достаточной ликвидности может препятствовать включению в портфель высокодоходных инвестиционных проектов, обеспечивающих значительный прирост капитала в долгосрочном периоде.
Учитывая альтернативность целей формирования инвестиционного портфеля, каждый инвестор должен сам определить их приоритеты в данном периоде.
Существуют следующие основные классификации инвестиционных портфелей:
1. По объектам инвестирования
-Портфель реальных инвестиционных проектов формируется, как правило, производственными предприятиями для обеспечения своего развития.
-Портфель ценных бумаг формируется, как правило, институциональными инвесторами (инвестиционными фондами, трастовыми фирмами и т.п.). Характеризуется более высокой ликвидностью и лёгкой управляемостью.
-Портфель прочих объектов инвестирования- валютный портфель, депозитный портфель и т. п.
-Смешанный портфель включает разнородные объекты инвестирования.
-Совокупный инвестиционный портфель предприятия может формироваться на базе одного или нескольких видов инвестиционных портфелей.
2. По приоритетным целям инвестирования
-Портфель роста формируется в основном за счёт объектов инвестирования, обеспечивающих достижение высоких темпов роста капитала (при высоких уровнях риска).
-Портфель дохода формируется в основном за счёт объектов инвестирования, обеспечивающих достижение высоких темпов роста дохода (уровень риска также довольно высок).
-Консервативный портфель формируется в основном за счёт объектов инвестирования со средним (минимальным) уровнем риска (темпы роста дохода и капитала значительно ниже).
-Агрессивный портфель- портфель роста или дохода при максимальных значениях своих целевых показателей.
3. По достигнутому соответствию целей инвестирования
-Сбалансированный портфель характеризуется полной реализацией целей его формирования: отбором инвестиционных проектов, наиболее полно отвечающим этим целям.
-Несбалансированный портфель характеризуется несоответствием состава его инвестиционных проектов поставленным целям формирования портфеля.
-Разбалансированный портфель (разновидность несбалансированного портфеля) представляет собой ране оптимизированный портфель, уже не удовлетворяющий инвестора в связи с существенным изменением внешних условий инвестиционной деятельности (например, изменение условий налогообложения) или внутренних факторов (например, задержки реализации некоторых инвестиционных проектов).
Используются следующие принципы формирования инвестиционного портфеля:
-Обеспечение реализации инвестиционной стратегии. Соответствие целей формирования инвестиционного портфеля целям инвестиционной стратегии предприятия, преемственность планирования и инвестиционной деятельности предприятия на среднесрочную и долгосрочную перспективу;
-Обеспечение соответствия портфеля инвестиционным ресурсам. Увязка общей капиталоёмкости отбираемых в портфель инвестиционных проектов с объёмом инвестиционных ресурсов предприятия. Реализация этого принципа определяет ограниченность отбираемых объектов инвестирования объёмом их возможного финансирования.
-оптимизация соотношения доходности и риска. Определение пропорций между этими показателями исходя из целей формирования инвестиционного портфеля. реализация этого принципа обеспечивается путём диверсификации объектов инвестирования.
-Оптимизация соотношения доходности и ликвидности. Определение необходимых пропорций между этими показателями. Оптимизация по этому принципу должна учитывать также обеспечение финансовой устойчивости и текущей платежеспособности предприятия;
-Обеспечение управляемости портфелем. Ограничение отбираемых инвестиционных проектов возможностями их реализации в рамках кадрового потенциала предприятия, наличием профессиональных менеджеров и аналитиков.
Инвестиционный портфель формируется с помощью следующих этапов:
-Конкретизация целей инвестиционной стратегии предприятия;
-Определение приоритетных целей формирования инвестиционного портфеля;
Оптимизация пропорций формирования инвестиционного портфеля по основным видам инвестиционных проектов с учётом объёма и структуры инвестиционных ресурсов;
-Формирование отдельных видов портфелей (реальных инвестиционных проектов, финансовых инструментов и т.п.) обеспечивающих установленные критерии доходности, риска и ликвидности;
-Обеспечение необходимой диверсификации инвестиционного портфеля;
-Оценка доходности, риска и ликвидности инвестиционного портфеля;
-Окончательная оптимизации структуры инвестиционного портфеля по установленным критериям доходности, риска и ликвидности.
2.2 Особенности формирования портфеля
реальных инвестиционных проектов
Особенностями реальных инвестиционных проектов являются:
1. Формирование и реализация такого портфеля обеспечивает
-Высокие темпы развития предприятия;
-Создание дополнительных рабочих мест;
-Формирование определенного имиджа;
-Определённую государственную поддержку инвестиционного процесса.
2.Этот портфель обычно бывает:
-Наиболее капиталоёмким (большой объём инвестиций);
-Наименее ликвидным;
-Более рискованным (из-за продолжительности реализации);
-Наиболее сложным и трудоёмким в управлении.
3. Требует тщательного отбора каждого инвестиционного проекта, включаемого в портфель.
Основными принципами формирования портфеля реальных инвестиционных проектов являются:
-Многокритериальность отбора проектов в портфель. Позволяет учесть систему целей инвестиционной стратегии предприятия и задачи его инвестиционной деятельности;
-Дифференциация критериев отбора по видам инвестиционных проектов. Осуществляется по независимым, взаимосвязанным и взаимоисключающим инвестиционным проектам;
-Учёт объективных ограничений инвестиционной деятельности предприятия. К ограничениям относятся объёмы инвестиционной деятельности, направления и формы отраслевой и региональной диверсификации инвестиционной деятельности, потенциал формирования собственных инвестиционных ресурсов и др.;
-Обеспечение связи инвестиционного портфеля с производственной и финансовой программами предприятия. Это происходит за счёт комплексного формирования денежных потоков по рассматриваемым видам деятельности в рамках конкретных периодов времени;
-Обеспечение сбалансированности инвестиционного портфеля по важнейшим параметрам. Это происходит за счёт эффективного соотношения уровня доходности, риска и ликвидности.
Основными этапами формирования портфеля реальных инвестиций являются:
1. Выбор главного критерия отбора проектов в инвестиционный портфель. Главный критерий отбора проектов должен быть связан с показателями эффективности, отражающими темп (объём прироста) капитала, поэтому предпочтение отдаётся показателю чистого дисконтированного дохода (иногда внутренней норме доходности);
2. Дифференциация количественного значения главного критерия по типам инвестиционных проектов. Для возможности отбора инвестиционных проектов в портфель главный критерий должен иметь количественное значение, которое, как правило, дифференцируются по типам проектов:
-По независимым проектам критерием отбора принимается целевой стратегический норматив эффективности инвестиционной деятельности;
-По взаимозависимым проектам принимается аналогичный критерий по всему взаимосвязанному комплексу проектов;
-По взаимоисключающим проектам отбор осуществляется по максимальному значению выбранного главного критерия.
3. Поиск возможных вариантов реальных инвестиционных проектов осуществляется независимо от наличия у предприятия инвестиционных ресурсов, состояния инвестиционного рынка и других факторов. Количество привлечённых к выбору инвестиционных проектов должно значительно превышать их количество, предусматриваемое для реализации.
4. Рассмотрение и оценка бизнес-планов отдельных инвестиционных проектов- общее знакомство с инвестиционными проектами, при необходимости направление проектов на доработку и т. п.
5. Первичный отбор инвестиционных проектов для более углубленного последующего анализа- отсев из общего множества проектов тех, которые не соответствуют главному критерию.
6. Построение системы ограничений отбора проектов в инвестиционный портфель, которая включает, как правило, основные и вспомогательные показатели:
-Основные ограничивающие показатели:
а) Один из показателей эффективного проекта (минимальная внутренняя норма доходности или максимальный период возврата инвестиций);
б) Максимальный уровень риска проекта;
в) Максимально допустимая ликвидность инвестиций;
-Вспомогательные ограничивающие нормативные показатели:
а) Соответствие инвестиционного проекта стратегии и имиджу организации;
б) Соответствие инвестиционного проекта направлениям отраслевой и региональной диверсификации инвестиционной деятельности;
в) Степень разработанности инвестиционного проекта;
г) Степень обеспеченности проекта основными факторами производства;
д) Объём инвестиций и продолжительность периода инвестирования (до начала эксплуатации объекта);
е) Возможность диверсификации риска инвестиционного проекта;
ж) Инновационный уровень проекта;
з) Предусматриваемые источники финансирования и др.
По результатам оценки инвестиционных проектов в разрезе отдельных показателей определяется общий уровень их инвестиционных качеств. Отобранные в процессе предварительной оценки инвестиционные проекты подлежат дальнейшей углубленной экспертизе.
7. Экспертиза отобранных инвестиционных проектов по критериям эффективности (доходности):
-Проверка реальности приведенных в бизнес-плане основных показателей (объёма инвестиций, графика инвестиционного потока и прогноза денежного потока в период эксплуатации);
-Расчёт показателей оценки эффективности (чистый дисконтированный доход NPV, индекс доходности ИД, внутренняя норма доходности ВНД, период возврата инвестиций с дисконтированием Ток);
8. Экспертиза отобранных инвестиционных проектов по критериям риска:
-Расчёт уровня риска по каждому инвестиционному проекту;
-Ранжирование инвестиционных проектов по уровню риска (в прорядке роста);
-Отбор инвестиционных проектов исходя из критериев риска.
9. Экспертиза отобранных инвестиционных проектов по критериям ликвидности. Осуществляется, как правило, на основе периода инвестирования (до начала эксплуатации объекта). При этом, исходят из того, что инвестиционный проект, доведенный до эксплуатации, может быть продан (акционирован и т.д.) быстрее, чем проект незавершённый. Для оценки ликвидности проекты группируются по продолжительности периода инвестирования;
10. Окончательный отбор инвестиционных проектов в инвестиционный портфель с учётом амортизации и обеспечения необходимой диверсификации инвестиционной деятельности:
-Если есть приоритетный критерий (высокая доходность, безопасность и т. д.), то необходимости в оптимизации не возникает;
-Если предусматривается сбалансированность целей (доходности, риска и ликвидности), то требуется оптимизация по соотношениям: доходность-риск, доходность-ликвидность;
11. Формирование инвестиционного портфеля в условиях ограниченности параметров производственной деятельности. Осуществляется, когда приоритетом деятельности организации является выход на заданные объёмы производства и реализации производства. В этом случае портфель формируется по показателю объёма производства или реализации продукции на единицу инвестиций на основе построения модели оптимизации инвестиционной программы предприятия. Построение модели осуществляется исходя из следующих принципов:
-Рассматриваемые инвестиционные проекты являются независимыми;
-Известен необходимый прирост производства (реализации) продукции;
-Проведено ранжирование проектов по показателю объёма производства (реализации) продукции на единицу инвестиций.
12. Формирование инвестиционного портфеля в условиях ограниченности средневзвешенной стоимости инвестиционных ресурсов. Осуществляется, если реализация проектов связана с использованием заёмного капитала, объём и стоимость привлечения которого возрастают при увеличении объёмов инвестиционной деятельности. Исходные условия построения модели:
-Рассматриваемые инвестиционные проекты являются независимыми:
-Известны показатели предельной стоимости инвестиционных ресурсов при увеличении объёма инвестиций;
-Проведено ранжирование проектов по показателю внутренней нормы доходности.
13. Формирование инвестиционного портфеля в условиях ограниченности общего объёма инвестиционных ресурсов. Осуществляется, если объём собственных инвестиционных ресурсов организации ограничен, а объём заимствования инвестиций может снизить финансовую устойчивость предприятия. исходные условия построения модели:
-Рассматриваемые инвестиционные проекты являются независимыми;
-Объём возможного привлечения финансовых ресурсов для инвестирования ограничен;
-Проведено ранжирование проектов по показателю индекса доходности.
14. Оценка сформированного инвестиционного портфеля по доходности, риску и ликвидности:
-Уровень доходности проектов портфеля. Определяется на основе общего показателя чистого дисконтированного дохода всех проектов, включенных в портфель;
-Уровень риска проектов портфеля. Определятся на основе коэффициента вариации показателя чистого денежного потока (чистой инвестиционной прибыли);
-Уровень ликвидности проектов портфеля, определяется на основе средневзвешенного коэффициента ликвидности инвестиций отдельных проектов (взвешивание выполняется по объёму инвестиций в проект).
3 Методы оценки эффективности инвестиций
В основе процесса принятия управленческих решений инвестиционного характера лежат оценка и сравнение объема предполагаемых инвестиций и будущих денежных поступлений. Поскольку сравниваемые показатели относятся к различным моментам времени, ключевой проблемой здесь является проблема их сопоставимости. Относиться к ней можно по-разному в зависимости от существующих объективных и субъективных условий: темпа инфляции, уровня риска, размера инвестиций и генерируемых поступлений, горизонта прогнозирования, уровня квалификации аналитика и т. п.
Методы, используемые в анализе инвестиционной деятельности, можно подразделить на две группы:
а) Основанные на дисконтированных оценках;
б) Основанные на учетных оценках. Рассмотрим ключевые идеи, лежащие в основе этих методов.
3.1 Метод чистой теперешней стоимости
Этот метод основан на сопоставлении величины исходной инвестиции (IC) с общей суммой дисконтированных чистых денежных поступлений, генерируемых ею в течение прогнозируемого срока. Поскольку приток денежных средств распределен во времени, он дисконтируется с помощью коэффициента r, устанавливаемого аналитиком (инвестором) самостоятельно исходя из ежегодного процента возврата, который он хочет или может иметь на инвестируемый им капитал.
Допустим, делается прогноз, что инвестиция (IC) будет генерировать в течение n лет, годовые доходы в размере P1 , P2 , ..., Рn . Общая накопленная величина дисконтированных доходов (PV) и чистый приведенный эффект (NPV) соответственно рассчитываются по формулам:
,
.
Очевидно, что если: NPV > 0, то проект следует принять;
NPV < 0, то проект следует отвергнуть;
NPV = 0, то проект ни прибыльный, ни убыточный.
При прогнозировании доходов по годам необходимо по возможности учитывать все виды поступлений как производственного, так и непроизводственного характера, которые могут быть ассоциированы с данным проектом. Так, если по окончании периода реализации проекта планируется поступление средств в виде ликвидационной стоимости оборудования или высвобождения части оборотных средств, они должны быть учтены как доходы соответствующих периодов.
Если проект предполагает не разовую инвестицию, а последовательное инвестирование финансовых ресурсов в течение m лет, то формула для расчета NPV модифицируется следующим образом:
,
где i — прогнозируемый средний уровень инфляции.
Расчет с помощью приведенных формул вручную достаточно трудоемок, поэтому для удобства применения этого и других методов, основанных на дисконтированных оценках, разработаны специальные статистические таблицы, в которых табулированы значения сложных процентов, дисконтирующих множителей, дисконтированного значения денежной единицы и т. п. в зависимости от временного интервала и значения коэффициента дисконтирования.
Необходимо отметить, что показатель NPV отражает прогнозную оценку изменения экономического потенциала предприятия в случае принятия рассматриваемого проекта. Этот показатель аддитивен во временном аспекте, т. е. NPV различных проектов можно суммировать. Это очень важное свойство, выделяющее этот критерий из всех остальных и позволяющее использовать его в качестве основного при анализе оптимальности инвестиционного портфеля.
3.2 Метод внутренней ставки дохода
Под нормой рентабельности инвестиции (IRR) понимают значение коэффициента дисконтирования, при котором NPV проекта равен нулю:
IRR = r, при котором NPV = f(r) = 0.
Смысл расчета этого коэффициента при анализе эффективности планируемых инвестиций заключается в следующем: IRR показывает максимально допустимый относительный уровень расходов, которые могут быть ассоциированы с данным проектом. Например, если проект полностью финансируется за счет ссуды коммерческого банка, то значение IRR показывает верхнюю границу допустимого уровня банковской процентной ставки, превышение которого делает проект убыточным.
На практике любое предприятие финансирует свою деятельность, в том числе и инвестиционную, из различных источников. В качестве платы за пользование авансированными в деятельность предприятия финансовыми ресурсами оно уплачивает проценты, дивиденды, вознаграждения и т.п., т.е. несет некоторые обоснованные расходы на поддержание своего экономического потенциала. Показатель, характеризующий относительный уровень этих расходов, можно назвать "ценой" авансированного капитала (CC). Этот показатель отражает сложившийся на предприятии минимум возврата на вложенный в его деятельность капитал, его рентабельность и рассчитывается по формуле средней арифметической взвешенной.
Экономический смысл этого показателя заключается в следующем: предприятие может принимать любые решения инвестиционного характера, уровень рентабельности которых не ниже текущего значения показателя CC (или цены источника средств для данного проекта, если он имеет целевой источник). Именно с ним сравнивается показатель IRR, рассчитанный для конкретного проекта, при этом связь между ними такова.
Если: IRR > CC. то проект следует принять;
IRR < CC, то проект следует отвергнуть;
IRR = CC, то проект ни прибыльный, ни убыточный.
Практическое применение данного метода осложнено, если в распоряжении аналитика нет специализированного финансового калькулятора. В этом случае применяется метод последовательных итераций с использованием табулированных значений дисконтирующих множителей. Для этого с помощью таблиц выбираются два значения коэффициента дисконтирования r1 <r2 таким образом, чтобы в интервале (r1 ,r2 ) функция NPV=f(r) меняла свое значение с "+" на "-" или с "-" на "+". Далее применяют формулу
,
где r1 — значение табулированного коэффициента дисконтирования, при котором f(r1 )>0 (f(r1 )<0);
r2 — значение табулированного коэффициента дисконтирования, при котором f(r2 )<О (f(r2 )>0).
Точность вычислений обратно пропорциональна длине интервала (r1 ,r2 ), а наилучшая аппроксимация с использованием табулированных значений достигается в случае, когда длина интервала минимальна (равна 1%), т.е. r1 и r2 - ближайшие друг к другу значения коэффициента дисконтирования, удовлетворяющие условиям (в случае изменения знака функции с "+" на "-"):
r1 — значение табулированного коэффициента дисконтирования, минимизирующее положительное значение показателя NPV, т.е. f(r1 )=minr {f(r)>0};
r2 — значение табулированного коэффициента дисконтирования, максимизирующее отрицательное значение показателя NPV, т.е. f(r2 )=maxr {f(r)<0}.
Путем взаимной замены коэффициентов r1 и r2 аналогичные условия выписываются для ситуации, когда функция меняет знак с "-" на "+".
3.3 Метод периода окупаемости
Этот метод - один из самых простых и широко распространен в мировой учетно-аналитической практике, не предполагает временной упорядоченности денежных поступлений. Алгоритм расчета срока окупаемости (PP) зависит от равномерности распределения прогнозируемых доходов от инвестиции. Если доход распределен по годам равномерно, то срок окупаемости рассчитывается делением единовременных затрат на величину годового дохода, обусловленного ими. При получении дробного числа оно округляется в сторону увеличения до ближайшего целого. Если прибыль распределена неравномерно, то срок окупаемости рассчитывается прямым подсчетом числа лет, в течение которых инвестиция будет погашена кумулятивным доходом. Общая формула расчета показателя PP имеет вид:
PP=n, при котором
.
Некоторые специалисты при расчете показателя PP все же рекомендуют учитывать временной аспект. В этом случае в расчет принимаются денежные потоки, дисконтированные по показателю "цена" авансированного капитала. Очевидно, что срок окупаемости увеличивается.
Показатель срока окупаемости инвестиции очень прост в расчетах, вместе с тем он имеет ряд недостатков, которые необходимо учитывать в анализе.
Во-первых, он не учитывает влияние доходов последних периодов. В качестве примера рассмотрим два проекта с одинаковыми капитальными затратами (10 млн. руб.), но различными прогнозируемыми годовыми доходами: по проекту А - 4,2 млн. руб. в течение трех лет; по проекту Б - 3,8 млн. руб. в течение десяти лет. Оба эти проекта в течение первых трех лет обеспечивают окупаемость капитальных вложений, поэтому с позиции данного критерия они равноправны. Однако очевидно, что проект Б гораздо более выгоден.
Во-вторых, поскольку этот метод основан на недисконтированных оценках, он не делает различия между проектами с одинаковой суммой кумулятивных доходов, по различным распределением ее по годам. Так, с позиции этого критерия проект А с годовыми доходами 4000, 6000. 2000 тыс. руб. и проект Б с годовыми доходами 2000, 4000. 6000 тыс. руб. равноправны, хотя очевидно, что первый проект является более предпочтительным, поскольку обеспечивает большую сумму доходов в первые два года.
В-третьих, данный метод не обладает свойством аддитивности.
Существует ряд ситуаций, при которых применение метода, основанного на расчете срока окупаемости затрат, может быть целесообразным. В частности, это ситуация, когда руководство предприятия в большей степени озабочено решением проблемы ликвидности, а не прибыльности проекта — главное, чтобы инвестиции окупились и как можно скорее. Метод также хорош в ситуации, когда инвестиции сопряжены с высокой степенью риска, поэтому чем короче срок окупаемости, тем менее рискованным является проект. Такая ситуация характерна для отраслей или видов деятельности, которым присуща большая вероятность достаточно быстрых технологических изменений.
3.4 Метод индекса прибыльности
Этот метод является, по сути, следствием метода чистой теперешней стоимости. Индекс рентабельности (PI) рассчитывается по формуле
.
Очевидно, что если: Р1 > 1, то проект следует принять;
Р1 < 1, то проект следует отвергнуть;
Р1 = 1, то проект ни прибыльный, ни убыточный.
В отличие от чистого приведенного эффекта индекс рентабельности является относительным показателем. Благодаря этому он очень удобен при выборе одного проекта из ряда альтернативных, имеющих примерно одинаковые значения NPV. либо при комплектовании портфеля инвестиций с максимальным суммарным значением NPV.
3.5 Метод расчета коэффициента эффективности инвестиции
Этот метод имеет две характерные черты: во-первых, он не предполагает дисконтирования показателей дохода; во-вторых, доход характеризуется показателем чистой прибыли PN (балансовая прибыль за минусом отчислений в бюджет). Алгоритм расчета исключительно прост, что и предопределяет широкое использование этого показателя на практике: коэффициент эффективности инвестиции (ARR) рассчитывается делением среднегодовой прибыли PN на среднюю величину инвестиции (коэффициент берется в процентах). Средняя величина инвестиции находится делением исходной суммы капитальных вложений на два, если предполагается, что по истечении срока реализации анализируемого проекта все капитальные затраты будут списаны; если допускается наличие остаточной или ликвидационной стоимости (RV), то ее оценка должна быть исключена.
.
Данный показатель сравнивается с коэффициентом рентабельности авансированного капитала, рассчитываемого делением общей чистой прибыли предприятия на общую сумму средств, авансированных в его деятельность (итог среднего баланса-нетто).
Метод, основанный на коэффициенте эффективности инвестиции, также имеет ряд существенных недостатков, обусловленных в основном тем, что он не учитывает временной составляющей денежных потоков. В частности, метод не делает различия между проектами с одинаковой суммой среднегодовой прибыли, но варьирующей суммой прибыли по годам, а также между проектами, имеющими одинаковую среднегодовую прибыль, но генерируемую в течение различного количества лет и т.п.
4 Обоснование экономической целесообразности инвестиций
по проекту.
4.1 Исходные данные для: Пример 1
На основании изучения рынка продукции, которая производится на предприятии, установлена возможность увеличения платежеспособного спроса на неё. В связи с этим предприятие рассматривает целесообразность приобретения новой технологической линии для увеличения производства продукции с целью увеличения объема продаж. Оценка возможного увеличения объёма продаж установлена на основании анализа данных о потенциальных возможностях конкурентов. Стоимость линии (капитальные вложения по проекту) составляет $18530; срок эксплуатации - 5 лет; прибыль за вычетом налога на нее от реализации основных фондов по истечении срока их службы составит $926.5;. денежные потоки (прибыль за вычетом налога на нее и амортизационных отчислений от стоимости введенных в действие основных фондов за счет капитальных вложений) прогнозируется по годам в следующих объемах: $5406, $6006, $5706, $5506, $5406. Ставка дисконта для определения теперешней стоимости денежных потоков принята в размере 12% и 15%. Граничная ставка для оценки расчетного уровня внутренней ставки дохода установлена в размере 16%. Приемлемый для предприятия период окупаемости капитальных вложений, исчисленный по данным о денежных потоках и теперешней стоимости денежных потоков принят 5 лет. Целесообразен ли данный проект к реализации?
4.2 Определение теперешней чистой стоимост и
а) При ставке дисконта 12%.
![]()
б) При ставке дисконта 15%.
![]()
4.3 Определение внутренней ставки дохода
Таблица 1.1
Исходные данные для расчёта показателя IRR.
Денежные потоки , $ |
PV 12% , $ |
PV 15% , $ |
PV16% , $ |
PV 17% , $ |
|
| 0 год | -18530 | -18530 | -18530 | -18530 | -18530 |
| 1 год | 5406 | 4826,79 | 4700,87 | 4660,34 | 4620,51 |
| 2 год | 6006 | 4787,95 | 4550,00 | 4448,89 | 4383,94 |
| 3 год | 5706 | 4061,21 | 3753,95 | 3657,69 | 3566,25 |
| 4 год | 5506 | 3507,01 | 3146,29 | 3041,99 | 2944,39 |
| 5 год | 5406 | 3071,59 | 2689,55 | 2574,28 | 2469,86 |
| Прибыль | 926,5 | 526,42 | 460,94 | 441,19 | 423,06 |
| NPV | 1198,13 | 771,60 | 294,38 | -121,99 |
Исходя из расчетов, приведённых в табл. 2.1, можно сделать вывод: что функция NPV=f(r) меняет свой знак на интервале (15%,16%).
.
4.4 Определение периода окупаемости (по данным о денежных потоках)
Инвестиции составляют $18530 в 0-й год. Денежные потоки за пятилетний срок составляют: $5406, $6006, $5706, $5506, $5406. Доходы покроют инвестиции на 4 год. За первые 3 года доходы составляют:
$5406 + $6006 + $5706 = $17118
За 4 год необходимо покрыть:
$18530 - $17118 = $1412,
$1412/ $5506 = 0,26 (примерно 4,1 месяца).
Общий срок окупаемости составляет 3 года 4,1 месяца.
4.5 Определение периода окупаемости
(по данным о теперешней стоимости денежных потоков)
а) При ставке дисконта 12%.
Доходы покроют инвестиции на 5 год. За первые 4 года доходы составляют (данные взяты из табл. 1.1):
$4826,79 + $4787,95 + $4061,21 + $3507,01 = $17182,96
За 5 год необходимо покрыть:
$18530 - $17182,96 = $1347,04,
$1347,04 / $3071,59 = 0,44 (примерно 5,4 месяца).
Общий срок окупаемости составляет 4 года 5,4 месяца.
б) При ставке дисконта 15%.
Доходы покроют инвестиции на 5 год. За первые 4 года доходы составляют:
$4700,87 + $4550 + $3753,95 + $3146,29 = $16151,11
За 5 год необходимо покрыть:
$18530 - $16151,11= $2378,89,
$2378,89 / $2689,55 = 0,88 (примерно 10,7 месяцев).
Общий срок окупаемости составляет 4 года 10,7 месяцев.
4.6 Определение индексов прибыльности
а) При ставке дисконта 12%. (данные взяты из табл. 1.1):
PI 12% = ($4826,79 + $4787,95 + $4061,21 + $3507,01+3071,59) / $18530 = 1,09
б) При ставке дисконта 15%.
PI 15% = ($4700,87 + $4550 + $3753,95 + $3146,29+2689,55) / $18530 = 1,015
4.7 Определение коэффициента прибыльности

Выводы об экономической целесообразности проекта
Полученные результаты указывают на экономическую целесообразность данного проекта. Такой проект можно принять с полной уверенностью при ставке дисконта меньшей 16,6% (максимальная ставка дисконта, при которой чистая теперешняя стоимость неотрицательна). Чем ниже ставка дисконта, тем раньше окупятся капитальные вложения и, следовательно, предприятие, осуществившее этот проект, получит больше прибыли. Расчеты показали, что при более низкой ставке дисконта чистая теперешняя стоимость и индекс прибыльности увеличиваются, а период окупаемости уменьшается. Так, при дисконте равном 15% инвестиция окупится через 4 года 10,7 месяцев (индекс прибыльности 1,5%), а при 12% — раньше на 5,3 месяцев (индекс прибыльности 9%). Коэффициент прибыльности инвестиционного проекта составляет 63,8%.
5 Определение финансового риска
Финансовый риск, как и любой риск, имеет математически выраженную вероятность наступления потери, которая опирается на статистические данные и может быть рассчитана с достаточно высокой точностью. Чтобы количественно определить величину финансового риска, необходимо знать все возможные последствия какого-нибудь отдельного действия и вероятность самих последствий. Вероятность означает возможность получения определенного результата. Применительно к экономическим задачам методы теории вероятности сводятся к определению значений вероятности наступления событий и к выбору из возможных событий самого предпочтительного исходя из наибольшей величины математического ожидания. Иначе говоря, математическое ожидание какого-либо события равно абсолютной величине этого события, умноженной на вероятность его наступления.
Для рассмотрения факторов неопределенности и риска при оценке эффективности инвестиционных проектов можно рассмотреть следующие примеры:
5.1 Пример 2.
Имеются два варианта вложения капитала. Установлено, что при вложении капитала в мероприятие А получение прибыли в сумме 15 тыс. руб. — вероятность 0,6; в мероприятие Б получение прибыли в сумме 20 тыс. руб. — вероятность 0,4. Тогда ожидаемое получение прибыли от вложения капитала (т.е. математическое ожидание) составит:
по мероприятию А 15 х 0,6 = 9 тыс. руб.;
по мероприятию Б 20 х 0,4 = 8 тыс. руб.
Вероятность наступления события может быть определена объективным методом или субъективным. Объективный метод определения вероятности основан на вычислении частоты, с которой происходит данное событие. Например, если известно, что при вложении капитала в какое-либо мероприятие прибыль в сумме 15 тыс. руб. была получена в 120 случаев из 200, то вероятность получения такой прибыли составляет 0,6(120/200). Субъективный метод базируется на использовании субъективных критериев, которые основываются на различных предположениях. К таким предположениям могут относиться суждение оценивающего, его личный опыт, оценка эксперта, мнение финансового консультанта и т.п.
Величина риска или степень риска измеряется двумя критериями:
1) среднее ожидаемое значение;
2) колеблемость (изменчивость) возможного результата.
Среднее ожидаемое значение — это то значение величины события, которое связано с неопределенной ситуацией. Среднее ожидаемое значение является средневзвешенным для всех возможных результатов, где вероятность каждого результата используется в качестве частоты или веса соответствующего значения. Среднее ожидаемое значение измеряет результат, который мы ожидаем в среднем.
5.2 Пример 3.
Если известно, что при вложении капитала в мероприятия А из 120 случаев прибыль 12.5 тыс. руб. была получена в 48 случаях (вероятность 0,4), прибыль 20 тыс. руб. — в 42 случаях (вероятность 0,35) и прибыль 12 тыс. руб. в 30 случаях (вероятность 0,25), то среднее ожидаемое значение выразилось в 15 тыс. руб.
[(12,5 х 0,4) +(20 х 0,35)+(12 х 0,25)].
Аналогично было найдено, что при вложении капитала в мероприятия Б средняя прибыль составила 20 тыс. руб.
[(15 х 0,3) + (20 х 0,5) + (27,5 х 0,2)].
Сравнивая две суммы ожидаемой прибыли при вложении капитала в мероприятия А и Б, можно сделать вывод, что при вложении в мероприятие А величина получаемой прибыли колеблется от 12,5 до 20 тыс. руб. и средняя величина составляет 15 тыс. руб.; при вложении капитала в мероприятие Б величина получаемой прибыли колеблется от 15 до 27,5 тыс. руб. и средняя величина составляет 20 тыс. руб.
Средняя величина представляет собой обобщенную количественную характеристику и не позволяет принять решения в пользу какого-либо варианта вложения капитала. Для окончательного принятия решения необходимо измерить колеблемость показателей, т.е. определить меру изменчивости возможного результата.
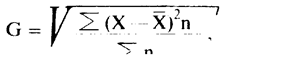
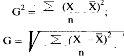
Колеблемость возможного результата представляет собой степень отклонения ожидаемого значения от средней величины. Для этого на практике обычно применяют два близко связанных критерия: дисперсию и среднее квадратическое отклонение. Дисперсия — средне взвешенное из квадратов отклонений действительных результатов от средних ожидаемых
![]()
где G2 - дисперсия;
X - ожидаемое значение для каждого случая наблюдения;
Х - среднее ожидаемое значение;
n - число случаев наблюдения (частота).
Среднее квадратическое отклонение определяется по формуле:

где G - среднее квадратическое отклонение.
При равенстве частот имеем частный случай

Среднее квадратическое отклонение является именованной величиной и указывается в тех же единицах, в каких измеряется варьирующий признак. Дисперсия и среднее квадратическое отклонение служат мерами абсолютной колеблемости. Для анализа обычно используют коэффициент вариации. Коэффициент вариации представляет собой отношение среднего квадратического отклонения к средней арифметической и показывает степень отклонения полученных значений

где V - коэффициент вариации, %.
Коэффициент вариации — относительная величина. Поэтому на его размер не оказывают влияния абсолютные значения изучаемого показателя. С помощью коэффициента вариации можно сравнивать даже колеблемость признаков, выраженных в разных единицах измерения. Коэффициент вариации может изменяться от 0 до 100%. Чем больше коэффициент, тем сильнее колеблемость. В экономической статистике установлена следующая оценка различных значений коэффициента вариации: до 10% - слабая колеблемость; до 10 – 25 - умеренная колеблемость; свыше 25% - высокая колеблемость. Расчет дисперсии при вложении капитала в мероприятия А и Б приведен в табл. 1.
Имеем. Среднее квадратическое отклонение составляет при вложении капитала:
в мероприятие А

в мероприятие Б

Коэффициент вариации:
для мероприятия А

для мероприятия Б
![]()
Коэффициент вариации при вложении капитала в мероприятие Б меньше, чем при вложении в мероприятие А. что позволяет сделать вывод о принятии решения в пользу вложения капитала в мероприятие Б.
Таблица 1. Расчет дисперсии при вложении капитала в мероприятия А и Б
| Номер события | Полученная прибыль, тыс. руб. X |
Число случаев наблюдения, n |
(X - X) |
(X • Х)2 |
(X - Х)2 |
| Мероприятие А | |||||
| 1 | 12,5 | 48 | -2,5 | 6,25 | 300 |
| 2 | 20 | 42 | +5 | 25,00 | 1050 |
| 3 | 12 | 30 | -3 | 9,00 | 270 |
| Итого | Х=15 | 120 | 1620 | ||
| Мероприятие Б | |||||
| 1 | 15 | 24 | -5 | 25 | 600 |
| 2 | 20 | 40 | |||
| 3 | 27,5 | 16 | +7,5 | 56,25 | 900 |
| Итого | Х=20 | 80 | 1500 | ||
Заключение
Учитывая долгосрочность инвестиционной деятельности и многообразие влияющих на неё факторов внешней среды, можно сказать, что инвестиционная деятельность во всех её формах и видах сопряжена с риском.
При разных возможных условиях реализации проекта его затраты и результаты различны, следовательно, факторы риска и неопределенности подлежат учёту в расчётах его эффективности. Помимо этого, развитие инвестиционного проекта- процесс динамичный, и в каждой точке принятия решений условия реализации проекта могут измениться, что в ходе управления проектом приводит к автоматическому изменению ране рассчитанных результатов.
Воздействие факторов внешнеё среды влечёт за собой:
-Невыполнение некоторых из предусмотренных проектом действий;
-Изменение запланированных сроков выполнения проектных действий;
-Отклонение от прогнозируемых проектных результатов.
В расчётах эффективности рекомендуется учитывать неопределенность и риск, а показатели эффективности, исчисленные с их учётом, называются ожидаемыми.
Инвестиционное решение является рискованным, если оно имеет несколько возможных сценариев развития. При оценке эффективности инвестиционных проектов рассматриваются такие ситуации, когда все возможные последствия любого рискованного решения известны либо их можно предвидеть и как следствие рассчитать возможный результат от любого изменения ситуации.
Инвестиционный проект считается устойчивым, если при всех вариантах его реализации он эффективен и финансово реализуем, а устранение возможных негативных отклонений встроено в организационно-экономический механизм реализации.
Источники
1. Федеральный закон от 25.02.99 №39-ФЗ “Об инвестиционной деятельности в Российской Федерации, осуществляемой в форме капитальных вложений”
2. С. Филин Инвестиционный риск и его составляющие при принятии инвестиционных решений/ ж. Инвестиции в России. 2002
3. Фатхутдинов Р.А. Стратегический менеджмент: -М.: Дело, 2005
4. Балдин К.В., Воробьёв С.Н. Риск-менеджмент: -М.: Гардарики, 2005
5. Бланк И.А. Антикризисное финансовое управление предприятием. –К.: Эльга, Ника-Центр, 2006
6. Экономическая оценка инвестиций: Г.С. Староверова, А.Ю. Медведев, И.В. Сорокина. –М.: КНОРУС, 2006
7. В.Е. Есипов, Г.А. Маховикова, И.А. Бузова, В.В. Терехова Экономическая оценка инвестиций. –СПб.: Вектор, 2006
8. Гаврилова А.Н. Финансовый менеджмент: -М.: КНОРУС, 2006
9. Л.Е. Басовский Финансовый менеджмент: -М: ИНФРА-М, 2007
10. Е.А. Кучарина Инвестиционный анализ. –СПб.: Питер, 2007
