| Скачать .docx |
Реферат: Фінанси і фінансова діяльність
МІНІСТЕРСТВО ФІНАНСІВ УКРАЇНИ
ДНІПРОПЕТРОВСЬКА ДЕРЖАВНА ФІНАНСОВА АКАДЕМІЯ
Захищений з оцінкою
відомість № від “_” 200 р.
ЗВІТ
про виробничу практику із спеціальності 6.050100 – “ФІНАНСИ”
спеціалізації 0501 «Економіка і підприємництво»
студента курсу _ групи
база практики – ТОВ „СНІГОВИК-ПЛЮС” (ЕДРПОУ 32175990,
М.ДНІПРОПЕТРОВСЬК)
керівник практики від ПІДПРИЄМСТВА
керівник практики від ДДФА
Дніпропетровськ
2010
Календарний графік проходження практики
| № за/п | Назви робіт | Термін виконання |
Примітка |
| 1 | Вирішення питань організації практики на підприємстві ТОВ “Сніговик-Плюс” | 09.11.2009 – 13.11.2009 | |
| 2 | Вивчення сфери бізнесу ТОВ „Сніговик-Плюс”, статутних документів, структури підприємства, продукції та послуг підприємства, місця підприємства на ринку | 16.11.2009 – 04.12.2009 | |
| 3 | Вивчення теоретичної сутності фінансів та фінансової діяльності підприємства | 07.12.2009 – 18.12.2009 | |
| 4 | Аналіз системи грошових розрахунків на підприємстві ТОВ “Сніговик-Плюс” | 21.12.2009 – 30.12.2009 | |
| 5 | Аналіз системи прогнозування, планування фінансових результатів на підприємстві ТОВ “Сніговик-Плюс” | 11.01.2010 – 22.01.2010 | |
| 6 | Аналіз відносин підприємства ТОВ “Сніговик-Плюс” з бюджетною системою країни | 25.01.2010 – 29.01.2010 | |
| 7 | Аналіз відносин підприємства ТОВ “Сніговик-Плюс” з податковою системою країни | 01.02.2010 – 05.02.2010 | |
| 8 | Аналіз відносин підприємства ТОВ “Сніговик-Плюс” з банківською системою країни | 8.02.2010 – 12.02.2010 | |
| 9 | Аналіз системи управління основним капіталом на підприємстві ТОВ “Сніговик-Плюс” | 15.02.2010 – 19.02.2010 | |
| 10 | Аналіз системи управління оборотним капіталом на підприємстві ТОВ “Сніговик-Плюс” | 22.02.2010 – 26.02.2010 | |
| 11 | Аналіз діяльності підприємства ТОВ “Сніговик-Плюс” на фінансовому ринку | 1.03.2010 – 10.03.2010 | |
| 12 | Аналіз діяльності підприємства ТОВ “Сніговик-Плюс” в сферах страхових послуг | 11.03.2010 – 12.03.2010 | |
| 13 | Проведення оцінки фінансового стану підприємства ТОВ „Сніговик-Плюс” та перспективи його зміцнення | 15.03.2010 – 19.03.2010 | |
| 14 | Підготовка матеріалів та проведення розрахунків по індивідуальному завданню на виконання наукової роботи за темою “Оцінка заходів фінансової санації фінансової стійкості ТОВ “Сніговик-Плюс”, м.Дніпропетровськ” | 22.03.2010 – 09.04.2010 | |
| 14 | Підготовка та оформлення матеріалів звіту |
12.04 – 16.04.2010 |
МІНІСТЕРСТВО ФІНАНСІВ УКРАЇНИ
ДНІПРОПЕТРОВСЬКА ДЕРЖАВНА ФІНАНСОВА АКАДЕМІЯ
ЩОДЕННИК СТУДЕНТА
З ПРОХОДЖЕННЯ ПРАКТИКИ
ПРІЗВИЩЕ
ІМ’Я_
ПО БАТЬКОВІ
КУРС
ГРУПА
СПЕЦІАЛЬНІСТЬ ФІНАНСИ
Робочі записи під час проходження практики
| Дата | Яка робота була проведена | Підпис керівника | При-мітки |
| 09.11.2009 – 13.11.2009 | Затвердила календарний графік проходження практики. Пройшла інструктаж з охорони праці та техніки безпеки | ||
| 16.11.2009 – 04.12.2009 | Ознайомилась із історією утворення та функціонування підприємства; законодавчою базою створення підприємства; зі статусом та статутом підприємства; з основними зовнішніми силами, що впливають на діяльність підприємства; з процесом розробки загальних стратегій виробництва; з методами аналізу стратегій, що застосовуються на підприємстві. | ||
| 07.12.2009 – 18.12.2009 | Ознайомилась: з класифікацією виробничих процесів, з видами виробничих процесів та технологічними операціями; з основними елементами виробничого процесу; з рівнем організації виробництва; з виробничим циклом виготовлення виробів; з основними ознаками непотокового виробництва; з характеристиками серійного, масового виробництва; з основними параметрами виробничої лінії; з ознаками, за якими розрізняють структуру виробничого процесу. | ||
| 11.01.2010 – 15.01.2010 | Опрацьовано: особливості планування технологічного й організаційного розвитку виробництва; стан заходів з підвищення технічного та організаційного рівня виробництва на підприємстві; методику розрахунку виробничої потужності. | ||
| 21.12.2009 – 30.12.2009 | Ознайомилась: з системою грошових розрахунків на підприємстві; з системою комерційних розрахунків через розрахункові рахунки в банках, з віддаленим управлінням розрахунками за системою „Клієнт-банк”, з організаціїю видачі заробітної плати та коштів на відрядження за допомогою пластикових банківських карток. | ||
18.01.2010 – 22.01.2010 |
Ознайомилась: з планом собівартості продукції, з методикою розрахунку собівартості продукції, з законодавчою базою щодо ціноутворення на підприємстві, із методами та порядком обрання стратегії ціноутворення; з основними чинниками ефективності цінової політики; з чинними на підприємстві механізмом формування внутрішніх цін на продукцію; з основним елементами у складанні ціни та методами їх визначення; з порядком формування внутрішніх цін за виробничими підрозділами; з роллю витрат у формуванні ціни; з методами визначення прибутку в ціні; з механізмом визначення в ціні посередницько-збутової націнки та торгівельної надбавки. | ||
| 25.01.2010 – 29.01.2010 | Ознайомитись: з бухгалтерською звітністю підприємства «Балансом» ті «Звітом про фінансові результати»; з бізнес-планом підприємства; з техніко-економічним аналізом підприємства; з особливостями визначення різних видів точки беззбитковості; з впливом амортизації на величину грошового потоку; з основним причинами зміни вартості грошей у часі; з методичними принципами розрахунку проектного грошового потоку; з особливостями визначення проектного грошового потоку; з методикою розрахунку основних фінансових критеріїв; з розрахунком чистої теперішньої вартості; з порівнянням проектів за допомогою різних критерієві правилами їх використання; з методами оцінки ефективності проектів; з використанням операційного лівериджу для прийняття проектних рішень. | ||
| 25.01.2010 – 12.02.2010 | Ознайомилась: зі структурою відділу фінансового та податкового планування на підприємстві; положенням про планово-економічний відділ; посадові інструкції; з системою стратегічного планування на підприємстві; з функціонуванням системи планування на підприємстві; з нормами і нормативами, що їх використовує підприємство при складанні планів господарської діяльності; з методами внутрішнього планування на підприємстві та інструментами планових розрахунків; з альтернативними планами випуску продукції; з чинною на підприємстві виробничою програмою по виготовленню товарів; з планом ресурсного забезпечення діяльності підприємства; з різновидами планів та їх комплексами; з оперативно-календарними планами; із складовими частинами бізнес-плану і технологією його розробки; зі змістом фінансового плану підприємства; з особливостями планування потреби у фінансових ресурсах. | ||
| 15.02.2010 – 19.02.2010 | Ознайомилась: з системою управління основним капіталом на підприємстві ТОВ “Сніговик-Плюс”, з особливостями обґрунтування бізнес-плану інноваційного проекту; з формами фінансування інноваційних процесів; з методами зниження комерційного ризику інвестицій і інноваційній діяльності. | ||
| 22.02.2010 – 26.02.2010 | Ознайомилась: з системою управління оборотним капіталом на підприємстві ТОВ “Сніговик-Плюс”, з основними показниками виробничої діяльності підприємства; з інформаційною базою для аналізу виробничої програми підприємства; з методикою аналізу виконання виробничої програми на підприємстві. | ||
| 11.03.2010 – 12.03.2010 | Ознайомилась: з інформаційною базою щодо аналізу виробничих ресурсів підприємства; з методикою оцінки на підприємстві рівня забезпечення та ефективності використання виробничих ресурсів, з діяльністю підприємства ТОВ “Сніговик-Плюс” на фінансовому ринку та ринку страхових послуг. | ||
| 15.03.2010 – 19.03.2010 | Попрацювала: з інформаційною базою щодо аналізу фінансового стану на підприємстві. | ||
22.03.2010 – 09.04.2010 |
Попрацювала: з основними методологічними підходами проведення фінансового аналізу; з метою та сутністю проектування бухгалтерського балансу; з критеріями раціоналізації фінансових ресурсів проекту; з оцінкою фінансового стану і фінансових результатів у діяльності фірми; з фінансовою звітністю підприємства; з методикою аналізу фінансових результатів на підприємстві; з напрямками та тенденціями розподілу прибутку. Підготувала: матеріали для проведення розрахунків по індивідуальному завданню на виконання наукової роботи за темою “Оцінка заходів фінансової санації фінансової стійкості ТОВ “Сніговик-Плюс”, м.Дніпропетровськ” |
||
| 12.04 – 16.04.2010 | Оформлення та затвердження звіту практики. |
Зміст
Вступ
Основи організації практики на підприємстві ТОВ “Сніговик-Плюс”
Теоретична сутність фінансів та фінансової діяльності підприємства
Грошові розрахунки на підприємстві ТОВ “Сніговик-Плюс”
Прогнозування, планування фінансових результатів на підприємстві ТОВ “Сніговик-Плюс”
Відносини підприємства ТОВ “Сніговик-Плюс” з бюджетною системою країни
Відносини підприємства ТОВ “Сніговик-Плюс” з податковою системою країни
Відносини підприємства ТОВ “Сніговик-Плюс” з банківською системою країни
Система управління основним капіталом на підприємстві ТОВ “Сніговик-Плюс”
Система управління оборотним капіталом на підприємстві ТОВ “Сніговик-Плюс”
Діяльність підприємства ТОВ “Сніговик-Плюс” на фінансовому ринку
Діяльність підприємства ТОВ “Сніговик-Плюс” в сферах страхових послуг
Оцінка фінансового стану підприємства ТОВ „Сніговик-Плюс” та перспективи його зміцнення
Індивідуальне завдання на виконання наукової роботи
за темою “Оцінка заходів фінансової санації фінансової стійкості ТОВ “Сніговик-Плюс”, м.Дніпропетровськ”
Теоретично-правові основи діагностики фінансового стану підприємства
Зовнішні та внутрішні умови створення підприємства та характеристика його фінансово-господарської діяльності
Статистичні, загальноекономічні специфічні методи і прийоми дослідження системи показників фінансового стану підприємства
Механізм фінансової санації підприємства
Причини кризи, її види та фази розвитку
Діагностика фінансового стану підприємства
Санаційна концепція та каталог заходів з фінансової санації
Ефективність санаційних заходів, що впливають на поліпшення конкурентоспроможності та ліквідності підприємства
Основи організації практики на підприємстві ТОВ “Сніговик-Плюс”
Теоретична сутність фінансів та фінансової діяльності підприємства
Грошові розрахунки на підприємстві ТОВ “Сніговик-Плюс”
Прогнозування, планування фінансових результатів на підприємстві ТОВ “Сніговик-Плюс”
Прогноз посилення фінансової стійкості підприємства
Висновки
Список використаної літератури
Вступ
Дійсний звіт складений за результатами виробничої практики в фінансовій службі ТОВ «Сніговик-Плюс»(м.Дніпропетровськ), пройденої з 09.11.2009 по 16.04.2010, згідно наданим для аналізу організаційним, бухгал-терським, фінансовим та податковим документам підприємства за 2007 - 2009 роки.
1 Основи організації практики на підприємстві ТОВ “Сніговик-Плюс”
а) Вимоги до виробничої практики, програма і завдання практиканта
За час проходження виробничої практики в ТОВ «Сніговик-Плюс» згідно з «Робочою програмою проходження переддипломної практики для студентів, які навчаються з напряму 0501 «Економіка і підприємництво» за спеціальністю 6.050100 «Фінанси» (затвердженою кафедрою фінансів фінансового факультету ДДФА, протокол № 1 від 28.08.2009) потрібно було ознайомитися з:
- теоретичною сутністю фінансів та фінансовою діяльностю підприємства;
- системою грошових розрахунків на підприємстві;
- системою прогнозування, планування фінансових результатів на підприємстві;
- відносинами підприємства з бюджетною системою країни;
- відносинами підприємства з податковою системою країни;
- відносинами підприємства з банківською системою країни;
- системою управління основним капіталом на підприємстві;
- системою управління оборотним капіталом на підприємстві;
- діяльностю підприємства на фінансовому ринку;
- діяльностю підприємства в сферах страхових послуг;
- провести оцінку фінансового стану підприємства та перспектив його зміцнення;
- підготовати матеріали та провести розрахунків по індивідуальному завданню на виконання наукової роботи за темою “Оцінка заходів фінансової санації фінансової стійкості ТОВ “Сніговик-Плюс”, м.Дніпропетровськ”.
б) Загальні правила техніки безпеки
Охорона праці - це система правових, соціально-економічних, організаційно-технічних, санітарно-гігієнічних і лікувально-профілактичних заходів та засобів, спрямованих на збереження здоров'я і працездатності людини в процесі праці.
При укладенні трудового договору громадянин має бути проінформований власником під розписку про умови праці на підприємстві, наявність на робочому місці, де він буде працювати, небезпечних і шкідливих виробничих факторів, які ще не усунуто, можливі наслідки їх впливу на здоров'я та про його права на пільги і компенсації за роботу в таких умовах відповідно до законодавства і колективного договору.
Умови праці на робочому місці, безпека технологічних процесів, машин, механізмів, устаткування та інших засобів виробництва, стан засобів колективного та індивідуального захисту, що використовується працівником, а також санітарно-побутові умови повинні відповідати вимогам нормативних актів про охорону праці.
На адміністрацію підприємства покладається проведення інструктажу працюючих:
· Вступний інструктаж проводить інженер по охороні праці із усіма поступаючи ми на роботу, незалежно від їхньої освіти і стажу роботи, а також з учнями і студентами, що прибули на виробниче навчання і практику.
· Первинний інструктаж на робочому місці проводить індивідуально безпосередній керівник робіт із усіма робітниками, відрядженими, учнями і студентами, що вперше приступають до даного виду роботи. До ряду професій пред'являються підвищені вимоги з погляду забезпечення безпеки праці. Робітники таких професій перед первинним інструктажем повинні проходити навчання по спеціальних програмах.
· Повторний інструктаж проводять із усіма працівниками, що проходять первинний інструктаж, з метою перевірки і підвищення рівня їхніх знань по охороні праці. Його необхідно проводити систематично через визначений проміжок часу.
· Позаплановий інструктаж необхідно проводити при змінах різного роду в об'єктах, що обслуговуються, при порушенні працівниками інструкцій з охорони праці і при зміні правил по охороні праці.
Працівник має право відмовитися від дорученої роботи, якщо створилася виробнича ситуація, небезпечна для його життя чи здоров'я або для людей, які його оточують, і навколишнього середовища.
Власник зобов'язаний відшкодувати працівникові шкоду, заподіяну йому каліцтвом або іншим ушкодженням здоров'я, пов'язаним з виконанням трудових обов'язків, у повному розмірі втраченого заробітку відповідно до законодавства, а також сплатити потерпілому (членам сім'ї та утриманцям померлого) одноразову допомогу.
Працівники, зайняті на роботах з важкими та шкідливими умовами праці, безплатно забезпечуються лікувально-профілактичним харчуванням, молоком або рівноцінними харчовими продуктами, газованою солоною водою, мають право на оплачувані перерви санітарно-оздоровчого призначення, скорочення тривалості робочого часу, додаткову оплачувану відпустку, пільгову пенсію, оплату праці у підвищеному розмірі та інші пільги і компенсації, що надаються в передбаченому законодавством порядку.
Правила трудового розпорядку підприємства
Об’єктом для проходження виробничої практики є ТОВ „Сніговик-Плюс” - торгівельно-дистрибуційна компанія по оптовому продажу продукції, яку виготовляють та поставляють на оптовий склад 2 основних виробника - виробниче об’єднання “Дніпропетровський холодокомбінат ” та ТОВ «Трейд».
Фактичний вид діяльності ТОВ „Сніговик - Плюс”– це оптова торгівля продуктами харчування - морозиво, пельмені, вареники, які переміщуються по Україні власним спеціальним холодильним автотранспортом підприємства, або спецтранспортом замовника з оптового складу(морозильнику) - магазину ТОВ „Сніговик-Плюс” .
Засновники підприємства - Компанія «Аргона Трейд Л.Л.К.», США (97,91%) та фізична особа Филипова Ельвіра Олександрівна (2,09%).
Підприємство має зареєстровані види діяльності та відповідні ліцензії і патенти:
- Посередництво в торгівлі продуктами харчування, напоями та тютюновими виробами;
- Роздібна торгівля в неспеціалізованих магазигах з перевагою продовольчого асортименту;
- Неспеціалізована оптова торгівля продуктами харчування, напоями та тютюновими виробами;
- Діяльність автомобільного вантажного танспорту (ліцензія Державний департамент автомобільного транспорту „Укравтотранс”, 26.05.2004р. № 832799).
Місцезнаходження підприємства відповідно установчих документів - м. Дніпропетровськ, вул.Журналистів,13. Фактичне місцезнаходження – м. Дніпропетровськ, вул.Журналистів, 13 згідно договору оренди нежитлового приміщення №01/01/06 від 01.01.2006р., №3/01/07 від 01.01.07, №16 від 01.07.07., укладених з ВАТ „Дніпропетровський холодокомбінат”, відповідно яких Орендар приймає у тимчасове платне користування нежитлове приміщення за адресою вул.Журналистів, 13 , загальною площею 201,6 кв.м.
Товарний асортимент дистриб’юції ТОВ «Сніговик-Плюс» наведений в табл.1.1:
Таблиця 1.1
| Найменування товару |
| Морозиво вершкове (ваф.ст.) |
| Морозиво молочне (ваф.ст. б/н) |
| Морозиво пломбир (ваф.ст.) |
| Морозиво вершкове (ескімо шоколадне) |
| Морозиво пломбір (ескімо сніжна королева) |
| Морозиво плодово-ягідне (ескімо, глазурь) |
| Торт-морозиво (пломбір вишневий джем) |
| Пельмені „Сибірські” 1 кг |
| Пельмені „Єкатеринославські” |
| Пельмені „Любительські” |
| Вареники „Класичні” |
| Вареники „Селянські” |
Склад основних засобів збереження продукції та її транспортировки в ТОВ «Сніговик-Плюс» придбаний у 2006 році та становить:
- Автомобіль груз. ІВЕКО - 1 шт. * 57 774,94 грн.;
- Автомобіль груз. Мерседес410 - 1 шт.* 58 677,72 грн. ;
- Автомобіль груз. Мерседес811 – 1 шт. * 73 829,28 грн.;
- Автомобіль груз. Мерседес814 – 4 шт. * 119 084,32 грн.;
- Автомобіль груз. Богдан DF -25 - 15 шт. * 95 321,26 грн.;
- Автомобіль груз. Мерседес 612 - 1 шт. * 33 520,77 грн.;
- Автомобіль груз. Мерседес Спрінтер – 1 шт. * 24895,78 грн.;
- Автомобіль груз. РЕНО – 2 шт. * 64 744,33 грн.;
- Автомобіль „Таврія” ЗАЗ груз. – 1 шт. * 9 325,16 грн.;
- Морозильна вітрина Ssetta 7R Lx - 13 шт. * 7 574,96 грн.;
- Морозильна вітрина Samoa 6 - 3 шт. * 10 287,13 грн.;
- Морозильна вітрина Samoa 7 - 25 шт. * 10 824,63 грн.;
- Палатка - 25 шт. * 1 462,5 грн.;
- Локальна мережа з 18 ПЕОМ * 1061,0 грн.
- Касовий апарат „Dateks MP-50” – 1 шт. * 559,55 грн.
Для формування автопарку спеціалізованих автомобілів – холодильників ТОВ „Сніговик-Плюс” відповідно договору купівлі – продажу автомобілів з розстрочкою платежу від 25.09.2006р. №25/09 укладеного з ТОВ „Слім” (код 32690295) придбано автомобілі Богдан DF25 у кількості 15 шт. 2005року випуску, об’єм двигуна 3707-дизпаливо на загальну суму 1692683,0грн.( акт прийому – передачі №1 від 02.10.06). Спеціалізовані автомобілі - холодильники Мерседес отриманеі як внесок іноземного партнера в статутний фонд підприємства.
Придбані авто застраховані по договору №530503913 від 16.10.06 з страхування засобів наземного транспорту укладеного зі страховиком ЗАТ „АСК „Інго Україна” (м. Київ , вул. Воровського, 33) в особі директора Філії ЗАТ „АСК „Інго Україна” м. Дніпропетровська. Страхова премія 2877,56 грн. за 1 авто, всього 43163,4 грн./ рік.
Для здійснення своєї фінансово-господарської діяльності ТОВ “Сніговик-Плюс” були складені наступні угоди:
- з ВАТ “Дніпропетровський холодокомбінат” (м.Дніпропетровськ, код 01558135)- договор зберігання №Х8 від 01.01.06р., №Х1/1 від 01.01.07 – про надання послуг зберігання товарів у складському приміщенні, розташованому за адресою: м.Дніпропетровськ, вул.Журналистів,13;
Відповідно договору зберігання 1 тони продукції по ціні 12 грн. з ПДВ за добу. Розвантаження та завантаження 1 тони продукуції робітниками Виконавця по ціні 12 грн. з ПДВ. Розвантаження та завантаження 1 тони продукуції погрузчиком Виконавця по ціні 12 грн. з ПДВ.
- з ВАТ „Дніпропетровський холодокомбінат” - договір оренди морозильних вітрин №01 від 01.03.2007р., №04 від 01.09.2007р.
- з ВАТ “Дніпропетровський холодокомбінат” (м.Дніпропетровськ, код 01558135)- договор перевезення №1 ПС від 01.01.05р. – про надання послуг перевезення товарів.
Перевезення продукції здійснюється за рахунок залучення сторонніх суб”єктів господарювання на підставі договорів - замовлень про надання траснспортних послуг на кожну окрему поставку: ТОВ „Пегас Транс” (код ЄДРПОУ 33906833, м.Дніпропетровськ ), ПП „Ушаков А.А. (і.п.н. 2366610796, м.Дніпропетровськ), Шевченко В.Н. (і.п.н. 2617100137, м. Дніпропетровськ)
Виробничі відділи підприємства на працюють в 1-3 зміни (для транспортних перевезень в інші області України) по 8 -12 годин (незалежно від тривалості світового дня), керівництво, служби постачання та фінансова служба підприємства працює з 9-00 до 18-00 в 1 зміну.
Проходження інструктажу з охорони праці та техніки безпеки
У відділі персоналу відповідальним по техніці безпеки ТОВ «Сніговик-Плюс» був проведений інструктаж з техніці безпеки і протипожежній безпеці.
До заходів щодо техніки безпеки і пожежної безпеки на підприємстві відносяться :
- заходи щодо попередження технологічної пожежовибухонебезпечності виробничих процесів;
- заходи щодо попередження виробничого травматизму;
- заходи щодо запобігання электротравматизма;
- заходи щодо підвищення безпеки при експлуатації систем під тиском;
- заходи щодо запобігання затоплень;
- заходи щодо пожежної безпеки;
- заходи щодо підготовки до ліквідації виробничих аварій;
Основними причинами пожеж на підприємстві можуть бути:
- несправність електроустановок та електрообладнання, відсутність калібровочних плавких запобіжників, вихід з строю вузлів автоматичного захисту від коротких замикань електроустановок, не виконання вимог електробезпеки при проектувані електроустановок;
- несправність технологічного обладнання, пов’язана з відсутністю нормальних промащень механізмів де є тертя, порушення термоізоляції;
- відсутність засобів пожежної безпеки при використані ГСР;
- порушення правил зберігання пожежонебезпечних ГСР;
- неправильне рішення систем витяжної вентиляції з утворенням в воздухопроводах пожежо- та вибухонебезпечних сумішей;
- відсутність молнієзахистника, із-за чього від первинного впливу молнії може виникнути пожежа;
- порушення трудової дисципліни та правил пожежної безпеки робітниками в виробничому приміщенні;
- паління у недозволеному місці.
В офісі адміністративної служби ТОВ „Сніговик-Плюс” передбачені такі первині засоби пожежогасіння:
- вогнегасник вуглекислотний ВУ-5 – 3 шт;
- вогнегасник вуглекислотний-бромметиловий ВВБ – 2 шт;
- щит з протипожежним інвентарем;
Підготовка наказу про проходження практики на підприємстві та закріплення керівника практики від підприємства.
Прибувши на базу практики, студенткою було подано усі необхідні документи до відділу кадрів підприємства, оформлено наказ директора підприємства про зарахування студентки для проходження практики та владнано усі організаційні питання.
Затвердження календарного графіка проходження практики
Згідно наказу був призначений керівник від базового підприємства, якому була представлена програма проходження виробничої практики, вимоги інституту щодо проходження практики студентами, було скореговано та затверджено календарний графік проходження практики. Відразу після прибуття студента на підприємство керівник практики від базового підприємства ознайомила студентку з денним внутрішнім розпорядком, основними відділами і дільницями, напрямками діяльності, потужностями, продукцією, історією створення підприємства.
2 Теоретична сутність фінансів та фінансової діяльності підприємства
Фінанси підприємства – це сукупність економічних, грошових відносин, що виникають у процесі виробництва, розподілу і використання сукупного суспільного продукту, національного багатства, і зв'язані з утворенням, розподілом і використанням валового доходу, грошових нагромаджень і фінансових ресурсів підприємств [35].
Роль фінансів підприємства полягає в наступному [35]:
1. Розподіляючи і перерозподіляючи національний доход і національне багатство на загальнодержавному рівні, фінанси підприємств забезпечують формування фінансових ресурсів країни, використовуваних для утворення бюджету і позабюджетних суспільних фондів.
2. У ході розподілу і перерозподілу національного доходу і національного багатства на рівні підприємств вони забезпечують сферу матеріального виробництва необхідними фінансовими ресурсами і коштами для безупинного процесу розширеного відтворення.
3. На рівні виробничих колективів за допомогою фінансів формуються такі грошові фонди, як фонди оплати праці і матеріального стимулювання, здійснюються програми соціального розвитку колективів підприємств.
4. Важливої є роль фінансів підприємств у збалансованості в народному господарстві між матеріальними і грошовими фондами, призначеними для цілей споживання і нагромадження. Від ступеня забезпечення такої збалансованості багато в чому залежать стабільність національної грошової одиниці, грошовий обіг, стан платіжно-розрахункової дисципліни в народному господарстві.
5. Безпосередній зв'язок фінансів підприємств і фінансів галузей народного господарства з усіма фазами відтворювального процесу обумовлює їх високу потенційну активність і велику можливість впливу на всі сторони господарювання.
6. Фінанси підприємств можуть служити важливим інструментом державного регулювання економіки. З їхньою допомогою здійснюється регулювання відтворення виробленого продукту, забезпечується фінансування розширеного відтворення на основі оптимального співвідношення між засобами, спрямованими на споживання і нагромадження.
Фінанси підприємств виконують три основні функції [37]:
- розподільну;
- контрольну;
- формування грошових доходів;
Під розподільною функцією фінансів підприємства варто розуміти здійснення ними своєї діяльності в процесі розподілу валового внутрішнього продукту підприємства.
Під контрольною функцією фінансів підприємства варто розуміти внутрішньо властиву їм здатність об'єктивно відбивати і тим самим контролювати стан економіки підприємства.
Фінансові відносини підприємства виникають тоді, коли на грошовій основі відбувається формування власних засобів підприємства, його доходів, залучення позикових джерел фінансування господарської діяльності, розподіл доходів, що утворяться в результаті цієї діяльності, їхнє використання на цілі розвитку підприємства.
Організація господарської діяльності вимагає відповідного фінансового забезпечення, тобто первісного капіталу, що утворюється з внесків засновників підприємства і приймає форму статутного капіталу. Це найважливіше джерело формування майна будь-якого підприємства.
При створенні підприємства статутний капітал направляється на придбання основних фондів і формування оборотних коштів у розмірах, необхідних для ведення нормальної виробничо - господарської діяльності, вкладається в придбання ліцензій, патентів, ноу-хау, використання яких є важливим доходним фактором. Таким чином, первісний капітал інвестується у виробництво, у процесі якого створюється вартість, що виражається ціною реалізованої продукції. Після реалізації продукції вона приймає грошову форму - форму виторгу від реалізації вироблених товарів, що надходить на розрахунковий рахунок підприємства.
Виторг - це ще не доход, але джерело відшкодування витрачених на виробництво продукції коштів і формування грошових фондів і фінансових резервів підприємства. У результаті використання виторгу з нього виділяються якісно різні складові частини створеної вартості.
Насамперед це зв'язано з формуванням амортизаційного фонду, що утворюється у виді амортизаційних відрахувань після того, як знос основних виробничих фондів і нематеріальних активів прийме грошову форму. Обов'язковою умовою утворення амортизаційного фонду є продаж зроблених товарів споживачу і надходження виторгу.
Оскільки матеріальну основу створюваного товару складають сировина, матеріали, покупні комплектуючі вироби і напівфабрикати, їхня вартість поряд з іншими матеріальними витратами, зносом основних виробничих фондів, заробітною платою працівників складають витрати підприємства з виробництва продукції, що приймають форму собівартості. До надходження виторгу ці витрати фінансуються за рахунок оборотних коштів підприємства, що не витрачаються, а авансуються у виробництво. Після надходження виторгу від реалізації товарів оборотні кошти відновлюються, а понесені підприємством витрати по виробництву продукції відшкодовуються.
Відокремлення витрат у виді собівартості дає можливість зіставити отриманий від реалізації продукції виторг і зроблені витрати. Зміст інвестування засобів у виробництво продукції складається в одержанні чистого доходу , і якщо виторг перевищує собівартість, то підприємство одержує його у виді прибутку.
Прибуток і амортизаційні відрахування є результатом кругообігу засобів, вкладених у виробництво, і відносяться до власних фінансових ресурсів підприємства, якими воно розпоряджається самостійно. Оптимальне використання амортизаційних відрахувань і прибутку по цільовому призначенню дозволяє відновити виробництво продукції на розширеній основі.
Призначення амортизаційних відрахувань - забезпечувати відтворення основних виробничих фондів і нематеріальних активів. На відміну від амортизаційних відрахувань прибуток не залишається цілком у розпорядженні підприємства, його значна частина у виді податків надходить у бюджет, що визначає ще одну сферу фінансових відносин, що виникають між підприємством і державою з приводу розподілу створеного чистого доходу [43].
Прибуток, що залишається в розпорядженні підприємства - це багатоцільове джерело фінансування його потреб, але основні напрямки його використання можна визначити як нагромадження і споживання. Пропорції розподілу прибутку на нагромадження і споживання визначають перспективи розвитку підприємства.
Амортизаційні відрахування і частина прибутку, що направляється на нагромадження, складають грошові ресурси підприємства, використовувані на його виробничий і науково - технічний розвиток, формування фінансових активів - придбання цінних паперів, внески в статутний капітал інших підприємств і т.п. Інша частина прибутку, використовується на нагромадження, направляється на соціальний розвиток підприємства. Частина прибутку використовується на споживання, у результаті чого виникають фінансові відносини між підприємством і особами - акціонерами, як зайнятими, так і не зайнятими на підприємстві.
Прибуток є однією з основних категорій товарного виробництва. Це передусім виробнича категорія, що характеризує відносини, які складаються в процесі суспільного виробництва [43].
Поява прибутку безпосередньо пов’язана з появою категорії “Витрати виробництва ”. Прибуток – це та частина додаткової вартості продукту, що реалізується підприємством, яка залишається після покриття витрат виробництва.
Відособлення частини вартості продукції у вигляді витрат виступає в грошовому виразі як собівартість продукції.
Додатковий продукт – це вартість, створювана виробниками понад вартість необхідного продукту. додатковий продукт властивий усім суспільно-економічним формаціям і є однією з важливих умов їхнього успішного розвитку.
Прибуток – це частина додаткової вартості, виробленої і реалізованої, готової до розподілу. Підприємство одержує прибуток після того, як втілена у створеному продукті вартість буде реалізована і набере грошової форми. Об’єктивна основа існування прибутку пов’язана з необхідністю первинного розподілу додаткового продукту. Прибуток – це форма прояву вартості додаткового продукту. Прибуток є об’єктивною економічною категорією [44]. Тому на його формування впливають об’єктивні процеси, що відбуваються в суспільстві, у сфері виробництва й розподілу валового внутрішнього продукту.
Водночас прибуток – це підсумковий показник, результат фінаново-господарської діяльності підприємств як суб’єктів господарювання. Тому прибуток відбиває її результати і зазнає впливу багатьох чинників.
На формування абсолютної суми прибутку підприємства впливають: результати, тобто ефективність його фінансово-господарської діяльності; сфера діяльності; галузь господарства; установлені законодавством умови обліку фінансових результатів (Рис.2.1).
Отримання прибутку від реалізації продукції (товарі, робіт, послуг) залежить від здійснення основної діяльності суб’єктів господарювання. Прибуток є складовою частиною виручки від реалізації. Однак на відміну від виручки, надходження якої на поточний рахунок підприємства фіксується регулярно, обсяг отриманого прибутку визначається тільки за певний період (квартал, рік) на підставі даних бухгалтерського обліку [44].
Реально формування прибутку на підприємстві відбувається в міру реалізації продукції. Згідно із законодавчими актами України момент реалізації визначається за датою від вантаження продукції (товарів), а для робіт(послуг) – за датою фактичного виконання (надання) таких, або за датою зарахування коштів покупця на банківський рахунок постачальника.
На рис. 2.2 наведено структурно-логічну схему формування прибутку від реалізації продукції, а також названо основні показники, що впливають на прибуток від реалізації [44].
Прибуток від реалізації продукції безпосередньо залежить від двох основних показників: обсягу реалізації продукції та її собівартості. На зміну обсягу реалізації продукції впливає зміна обсягу виробництва, залишків нереалізованої продукції, частки прибутку в ціні продукції (рентабельність продукції).
Зміна обсягу виробництва, залишків нереалізованої продукції справляють вплив не тільки на обсяг реалізації продукції, а й на її собівартість, оскільки змінюються умовно-постійні витрати (за зміни обсягу виробництва продукції); витрати на зберігання продукції, інші витрати (за зміни залишків нереалізованої продукції).
Будь-яке підприємство намагається не тільки продати свій товар по вигідній високій ціні, але і скоротити свої витрати на виробництво і реалізацію продукції. Якщо перше джерело збільшення доходів підприємства багато в чому залежить від зовнішніх умов діяльності підприємства, то друге - практично винятково від самого підприємства, точніше, від ступеня ефективності організації процесу виробництва і наступної реалізації зроблених товарів [44].
Багато економістів внесли істотний вклад у вивчення витрат. Наприклад, теорія витрат К.Маркса ґрунтується на двох принципових категоріях - витрати виробництва і витрати обертання. Під витратами виробництва розуміються витрати на зарплату, сировину і матеріали, сюди ж входять амортизація засобів праці і т.д. Витрати виробництва повинні нести організатори підприємства з метою створення товарів і наступного одержання прибутку. У вартості одиниці товару, витрати виробництва складають одну з двох її частин. Витрати виробництва менше вартості товару на величину прибутку.
Категорія витрати обертання зв'язана з процесом реалізації товарів. Додатковими витратами обертання є витрати на упакування, сортування, транспортування і збереження товарів. Цей вид витрат обертання близький до витрат виробництва і, входячи у вартість товару, збільшує останню. Додаткові витрати відшкодовуються після продажу товарів з отриманої суми виторгу. Чисті витрати обертання - витрати на торгівлю (зарплата продавців і т.д.), маркетинг (вивчення споживчого попиту), рекламу, витрати на оплату персоналу штаб-квартири і т.д. Чисті витрати не збільшують вартості товарів, а відшкодовуються після продажу з прибутку, створеного в процесі виробництва товарів.
Сучасні концепції витрат у центрі класифікації містять - взаємозв'язок між обсягом виробництва , витратами і ціною на даний вид товарів. Витрати поділяються на не залежні і залежні від обсягу виробленої продукції.
Постійні витрати не залежать від величини виробництва, існують і при нульовому обсязі виробництва. Це попередні зобов'язання підприємства (відсотки по позиках і ін.), податки, амортизаційні відрахування, оплата охорони, орендна плата, витрати на обслуговування устаткування при нульовому обсязі виробництва, зарплата управлінського персоналу і т.д. Перемінні витрати залежать від кількості виробленої продукції, складаються з витрат на сировину, матеріали, зарплату робітникам і т.д. Сума постійних і перемінних витрат утворить валові витрати - суму грошових витрат на виробництво визначеного виду продукції. Для виміру витрат на виробництво одиниці продукції використовуються категорії середніх, середніх постійних і середніх перемінних витрат. Середні витрати дорівнюють частці від розподілу валових витрат на кількість зробленої продукції. Середні постійні витрати визначаються розподілом постійних витрат на кількість зробленої продукції. Середні перемінні витрати утворяться розподілом перемінних витрат на кількість зробленої продукції.
Для досягнення максимального прибутку потрібно визначити необхідний розмір випуску продукції. Інструментом економічного аналізу служить категорія граничних витрат. Граничні витрати являють собою додаткові витрати на виробництво кожної додаткової одиниці продукції в порівнянні з даним обсягом випуску. Вони розраховуються вирахуванням сусідніх значень валових витрат.
У конкретній практиці застосування розрахунку витрат для аналізу діяльності підприємств в Україні й у західних країнах маються як подібності, так і розходження. В Україні широко використовується категорія собівартість, що представляє собою сумарні витрати на виробництво і реалізацію продукції. Теоретично в собівартість повинні входити нормативні виробничі витрати, але на практиці до неї відносять наднормативна витрата сировини, матеріалів і т.д. Собівартість визначають на основі додавання економічних елементів (однорідних по економічному призначенню витрат) чи шляхом підсумовування статей калькуляції, що характеризують безпосередні напрямки тих чи інших витрат для калькулювання собівартості, застосовується класифікація прямих і непрямих витрат (витрат). Прямі витрати - це витрати, безпосередньо зв'язані зі створенням одиниці товару. Непрямі витрати необхідні для загального здійснення виробничого процесу даного виду продукції на підприємстві. Загальний підхід не виключає розходжень по конкретній класифікації деяких статей.
У сучасному економічному аналізі використовується вищеописаний розподіл витрат (витрат) на постійні і перемінні, причому прямі і частина непрямих витрат відносяться до перемінних, а частина непрямих витрат, що залишилася, (не залежних від обсягу виробництва) - до постійних. Нерідко перша з вищевказаних частин непрямих витрат виділяється в окрему групу - частково перемінні витрати, оскільки ці витрати змінюються по своїй величині не в прямо пропорційній залежності від зміни обсягу виробленої продукції. Розподіл витрат на прямі і перемінні дозволяє одержати показник - додану вартість, обумовлену вирахуванням із загального доходу (виторгу) підприємства перемінних витрат. Додана вартість складається, таким чином, з постійних витрат і чистого прибутку. Цей показник дозволяє оцінити загальну ефективність производста і реалізації поза залежністю від прямо залежних від величини обсягу виробництва перемінних витрат [45].
Керування витратами на підприємстві передбачає їхню диференціацію по місцях і центрам відповідальності. Місце витрат – це місце їхнього формування (робоче місце, ділянка,цех). Під центром відповідальності – розуміють організаційна єдність місць витрат з центром відповідальності за їхній рівень [41].
По центрах відповідальності складаються кошториси (планові витрати), обчислюються фактичні витрати, а для виробничих підрозділів визначається собівартість одиниці продукції(послуг). При цьому важливе значення має розподіл витрат щодо кожного центра відповідальності на прямі і непрямі , перемінні і постійні. Перший розподіл має важливе значення для визначення собівартості окремих виробів(калькулювання). Прямі витрати безпосередньо відносяться на продукцію центрів відповідальності(місць витрат), а непрямі – формуються в цих центрах , а потім розподіляються між окремими видами продукції. Поділ витрат на перемінні і постійні щодо центрів відповідальності( місць витрат) важливий для розрахунку так званих гнучких кошторисів і оцінки діяльності.
Собівартість продукції - один з найважливіших економічних показників діяльності промислових підприємств і об'єднань, що виражає в грошовій формі усі витрати підприємства, зв'язані з виробництвом і реалізацією продукції. Собівартість показує, у що обходиться підприємству продукція, що випускається їм. У собівартість включаються перенесені на продукцію витрати минулої праці (амортизація основних фондів, вартість сировини, матеріалів, палива й інших матеріальних ресурсів) і витрати на оплату праці працівників підприємства (заробітна плата).
Розрізняють три види собівартості продукції. Цехова собівартість включає витрати даного цеху на виробництво продукції. Загальнозаводська (загальфабрична) собівартість показує усі витрати підприємства на виробництво продукції. Повна собівартість характеризує витрати підприємства не тільки на виробництво, але і на реалізацію продукції. Витрати на виробництво промислової продукції плануються і враховуються по первинних економічних елементах і статтям витрат.
Угруповання по первинних економічних елементах дозволяє розробити кошторис витрат на виробництво, у якому визначаються загальна потреба підприємства в матеріальних ресурсах, сума амортизації основних фондів, витрати на оплату праці та інші грошові витрати підприємства. Це угруповання використовується також для узгодження плану по собівартості з іншими розділами техпромфінплану, для планування оборотних коштів і контролю за їхнім використанням. У промисловості прийняте наступне угруповання витрат по їхніх економічних елементах:
- сировина й основні матеріали,
- допоміжні матеріали,
- паливо (з боку),
- енергія (з боку),
- амортизація основних фондів,
- заробітна плата,
- відрахування на соціальне страхування,
- інші витрати, не розподілені по елементах.
Співвідношення окремих економічних елементів у загальних витратах визначає структуру витрат на виробництво. У різних галузях промисловості структура витрат на виробництво неоднакова; вона залежить від специфічних умов кожної галузі.
Угруповання витрат по економічних елементах показує матеріальні і грошові витрати підприємства без розподілу їх на окремі види продукції й інші господарські нестатки. По економічних елементах не можна,як правило, визначити собівартість одиниці продукції. Тому поряд з угрупованням витрат по економічних елементах витрати на виробництво плануються і враховуються по статтях витрат (статтям калькуляції).
Угруповання витрат по статтях витрат дає можливість бачити витрати по їх місцеві і призначенню, знати, у що обходиться підприємству виробництво і реалізація окремих видів продукції. Планування й облік собівартості по статтях витрат необхідні для того, щоб визначити, під впливом яких факторів сформувався даний рівень собівартості, у яких напрямках потрібно вести боротьбу за її зниження.
У промисловості застосовується наступна номенклатура основних калькуляційних статей [45]:
1) сировина і матеріали
2) паливо й енергія на технологічні нестатки
3) основна заробітна плата виробничих робітників
4) витрати на утримання і експлуатацію устаткування
5) цехові витрати
6) загальнозаводські (загальнофабричні) витрати
7) втрати від браку
8) невиробничі витрати.
Перші сім статей витрат створюють фабрично-заводську собівартість. Повна собівартість складається з фабрично-заводської собівартості і позавиробничих витрат.
3 Грошові розрахунки на підприємстві ТОВ “Сніговик-Плюс”
Згідно „Положенню про ведення касових операцій у національній валюті в Україні” [16] визначається наступний порядок ведення касових операцій у національній валюті України підприємствами (підприємцями), а також окремі питання організації банками роботи з готівкою:
- готівкові розрахунки - платежі готівкою підприємств (підприємців) та фізичних осіб за реалізовану продукцію (товари, виконані роботи, надані послуги), а також за операціями, які безпосередньо не пов'язані з реалізацією продукції (товарів, робіт, послуг) та іншого майна;
- касові документи - документи (касові ордери та платіжні чи розрахунково-платіжні відомості, розрахункові документи, відомості закупівлі сільськогосподарської продукції, інші прибуткові та видаткові касові документи), за допомогою яких відповідно до законодавства України оформляються касові операції, звіти про використання коштів, а також відповідні журнали встановленої форми для реєстрації цих документів та книги обліку;
- касові операції - операції підприємств (підприємців) між собою та з фізичними особами, що пов'язані з прийманням і видачею готівки під час проведення розрахунків через касу з відображенням цих операцій у відповідних книгах обліку;
- ліміт залишку готівки в касі (далі - ліміт каси) - граничний розмір суми готівки, що може залишатися в касі в позаробочий час;
- небанківська фінансова установа - юридична особа, яка відповідно до Закону України "Про фінансові послуги та державне регулювання ринків фінансових послуг" надає одну чи кілька фінансових послуг та яка внесена до Державного реєстру фінансових установ в установленому законодавством України порядку. До небанківських фінансових установ належать кредитні спілки, ломбарди, лізингові компанії, довірчі товариства, страхові компанії, установи накопичувального пенсійного забезпечення, інвестиційні фонди і компанії та інші юридичні особи, виключним видом діяльності яких є надання фінансових послуг;
- оприбуткування готівки - проведення підприємствами і підприємцями обліку готівки в касі на повну суму її фактичних надходжень у касовій книзі, книзі обліку доходів і витрат, книзі обліку розрахункових операцій;
- переказ готівки - унесення певної суми готівки підприємством (підприємцем) або фізичною особою з метою її зарахування на рахунки відповідного підприємства (підприємця) чи фізичної особи або видачі одержувачу в готівковій формі;
Вимоги до організації готівкових розрахунків:
1. Підприємства (підприємці), які відкрили поточні рахунки в банках і зберігають на цих рахунках свої кошти, здійснюють розрахунки за своїми грошовими зобов'язаннями, що виникають у господарських відносинах, пріоритетно в безготівковій формі, а також у готівковій формі (з дотриманням чинних обмежень) у порядку, установленому законодавством України.
2. Підприємства (підприємці) здійснюють розрахунки готівкою між собою і з фізичними особами (громадянами України, іноземцями, особами без громадянства, які не здійснюють підприємницької діяльності) через касу як за рахунок готівкової виручки, так і за рахунок коштів, одержаних із банків. Зазначені розрахунки проводяться також шляхом переказу готівки для сплати відповідних платежів.
Підприємства (підприємці) здійснюють облік операцій з готівкою у відповідних книгах обліку.
3. Гранична сума готівкового розрахунку одного підприємства (підприємця) з іншим підприємством (підприємцем) протягом одного дня за одним або кількома платіжними документами встановлюється відповідною постановою Правління Національного банку України. Платежі понад зазначену граничну суму проводяться виключно в безготівковій формі. Кількість підприємств (підприємців), з якими здійснюються розрахунки, протягом дня не обмежується.
Зазначені обмеження стосуються також розрахунків готівкою між підприємствами в оплату за товари, що придбані на виробничі (господарські) потреби за рахунок коштів, одержаних за корпоративними картками.
Зазначені обмеження не поширюються на:
а) розрахунки підприємств (підприємців) з фізичними особами, бюджетами та державними цільовими фондами;
б) добровільні пожертвування та благодійну допомогу;
в) розрахунки підприємств (підприємців) за спожиту ними електроенергію;
г) використання коштів, виданих на відрядження;
ґ) розрахунки підприємств (підприємців) між собою під час закупівлі сільськогосподарської продукції. Перелік товарів, що належать до цієї продукції (далі - сільськогосподарська продукція), визначений Законом України "Про державну підтримку сільського господарства України".
У разі здійснення підприємствами готівкових розрахунків з іншими підприємствами (підприємцями) понад установлену граничну суму кошти в розмірі перевищення встановленої суми розрахунково додаються до фактичних залишків готівки в касі на кінець дня платника готівки одноразово в день здійснення цієї операції, з подальшим порівнянням одержаної розрахункової суми із затвердженим лімітом каси.
4. Якщо підприємство (підприємець) відповідно до законодавства України приймає до обслуговування платіжні картки з метою проведення оплати вартості товарів чи послуг і оснащене платіжним терміналом (у тому числі з'єднаним чи поєднаним з РРО), то таке підприємство (підприємець) може за рахунок готівкової виручки або коштів, отриманих із банку, надавати держателю платіжної картки Національної системи масових електронних платежів та інших платіжних систем (якщо така послуга передбачена їх правилами) послуги з видачі готівки з друкуванням квитанції платіжного термінала (або розрахункового документа) та відображенням таких операцій у відповідній книзі обліку.
Національний банк України має право встановлювати обмеження з видачі готівки за платіжними картками.
Обмеження з видачі готівки за платіжними картками можуть встановлюватися платіжною організацією відповідної платіжної системи та банками - членами цієї системи.
5. Якщо підприємства (підприємці) та фізичні особи здійснюють готівкові розрахунки без відкриття поточного рахунку шляхом унесення до банків готівки для подальшого її перерахування на рахунки інших підприємств (підприємців) або фізичних осіб, то такі розрахунки для платників коштів є готівковими, а для отримувачів коштів безготівковими.
6. Уся готівка, що надходить до кас, має своєчасно (у день одержання готівкових коштів) та в повній сумі оприбутковуватися.
Оприбуткуванням готівки в касах підприємств, які проводять готівкові розрахунки з оформленням їх касовими ордерами і веденням касової книги відповідно до вимог глави 4 цього Положення, є здійснення обліку готівки в повній сумі її фактичних надходжень у касовій книзі на підставі прибуткових касових ордерів.
У разі проведення готівкових розрахунків із застосуванням РРО або використанням РК оприбуткуванням готівки є здійснення обліку зазначених готівкових коштів у повній сумі їх фактичних надходжень у книзі обліку розрахункових операцій на підставі фіскальних звітних чеків РРО (даних РК).
Підприємствам, яким Законом України "Про застосування реєстраторів розрахункових операцій у сфері торгівлі, громадського харчування та послуг" надано право проводити розрахунки готівкою із споживачами без використання РРО та РК і специфіка функціонування яких унеможливлює оформлення ними кожної операції касовим ордером (продаж проїзних і перевізних документів; білетів державних лотерей; квитків на відвідування культурно-спортивних і видовищних закладів тощо), дозволяється оприбутковувати готівку наприкінці робочого дня за сукупністю операцій у цілому за робочий день з оформленням касовими документами і відображенням у відповідній книзі обліку.
Суми готівки, що оприбутковуються, мають відповідати сумам, визначеним у відповідних касових (розрахункових) документах.
7. Виходячи з потреби прискорення обігу готівкових коштів і своєчасного їх надходження до кас банків для підприємств, що здійснюють операції з готівкою в національній валюті, установлюються ліміт каси та строки здавання готівкової виручки (готівки) відповідно до вимог глави 5 цього Положення.
Банкам і підприємцям ліміт каси та строки здавання готівкової виручки (готівки) не встановлюються.
8. Підприємства можуть тримати в позаробочий час у своїх касах готівкову виручку (готівку) в межах, що не перевищують установлений ліміт каси. Готівкова виручка (готівка), що перевищує встановлений ліміт каси, обов'язково здається до банків для її зарахування на банківські рахунки. Відокремлені підрозділи підприємств - юридичних осіб можуть здавати готівкову виручку (готівку) безпосередньо до кас таких юридичних осіб або до будь-якого банку для її переказу і зарахування на банківські рахунки зазначених юридичних осіб. За відсутності банків готівкова виручка (готівка) може здаватися до операторів поштового зв'язку для її переказу на банківські рахунки підприємства.
Здавання готівкової виручки (готівки) здійснюється самостійно або через відповідні служби, яким згідно із законодавством України надано право на перевезення валютних цінностей та інкасацію коштів.
Здавання готівкової виручки (готівки) може здійснюватися для зарахування на будь-який банківський рахунок підприємства (підприємця) на його вибір.
9. Готівкова виручка (готівка) підприємств (підприємців), у тому числі готівка, одержана з банку, використовуються ними для забезпечення потреб, що виникають у процесі їх функціонування, а також для проведення розрахунків з бюджетами та державними цільовими фондами за податками і зборами (обов'язковими платежами).
Підприємства не повинні накопичувати готівкову виручку (готівку) у своїх касах понад установлений ліміт каси для здійснення потрібних витрат до настання строків цих виплат.
10. Підприємства мають право зберігати у своїй касі готівку, одержану в банку для виплат, що належать до фонду оплати праці, а також пенсій, стипендій, дивідендів (доходу), понад установлений ліміт каси протягом трьох робочих днів, уключаючи день одержання готівки в банку. Для проведення цих виплат працівникам віддалених відокремлених підрозділів підприємств залізничного транспорту та морських портів готівка може зберігатися в їх касах понад установлений ліміт каси протягом п'яти робочих днів, уключаючи день одержання готівки в банку. Готівка, що одержана в банку на інші виплати, має видаватися підприємством своїм працівникам у той самий день. Суми готівки, що одержані в банку і не використані за призначенням протягом установлених вище строків, повертаються підприємством до банку не пізніше наступного робочого дня банку або можуть залишатися в його касі (у межах установленого ліміту).
Підприємство має право зберігати в касі готівку для виплат, які належать до фонду оплати праці та здійснюються за рахунок виручки, понад установлений йому ліміт каси протягом трьох робочих днів з дня настання строків цих виплат у сумі, що зазначена в переданих до каси платіжних (розрахунково-платіжних) відомостях (далі - видаткові відомості).
11. Видача готівкових коштів під звіт або на відрядження (далі - під звіт) здійснюється відповідно до законодавства України.
Видача готівкових коштів під звіт на закупівлю сільськогосподарської продукції та заготівлю вторинної сировини, крім металобрухту, дозволяється на строк не більше 10 робочих днів від дня видачі готівкових коштів під звіт, а на всі інші виробничі (господарські) потреби на строк не більше двох робочих днів, уключаючи день отримання готівкових коштів під звіт.
Якщо підзвітній особі одночасно видана готівка як на відрядження, так і для вирішення в цьому відрядженні виробничих (господарських) питань (у тому числі для закупівлі сільськогосподарської продукції у населення та заготівлі вторинної сировини), то строк, на який видана готівка під звіт на ці завдання, може бути продовжено до завершення терміну відрядження.
Видача відповідній особі готівкових коштів під звіт проводиться за умови звітування нею у встановленому порядку за раніше отримані під звіт суми.
Звітування за одержані під звіт готівкові кошти здійснюється відповідно до законодавства України.
12. Фізичні особи - довірені особи підприємств (юридичних осіб), які відповідно до законодавства України одержали готівку з карткового рахунку із застосуванням корпоративної платіжної картки або особистої платіжної картки, використовують її за призначенням без оприбуткування в касі. Зазначені довірені особи подають до бухгалтерії підприємства звіт про використання коштів разом із підтвердними документами в установлені строки і порядку, що визначені для підзвітних осіб законодавством України, а також документи про одержання готівки з карткового рахунку (чек банкомата, копія видаткового ордера, довідки за встановленими формами, сліп, квитанція торговельного термінала тощо) разом з невитраченим залишком готівки.
13. Підприємства (підприємці) під час здійснення розрахунків із споживачами за готівку зобов'язані приймати у сплату за продукцію (товари, роботи, послуги) без обмежень банкноти і монети (у тому числі обігові, пам'ятні, ювілейні монети, зношені банкноти та монети) усіх номіналів, які випускає Національний банк України в обіг, що є дійсним платіжним засобом і не викликають сумніву в їх справжності та платіжності. Крім того, підприємства та підприємці мають забезпечувати наявність у касі банкнот і монет для видачі здачі.
Згідно „Інструкція про безготівкові розрахунки в Україні в національній валюті” [17] безготівкові розрахунки – це перерахування певної суми коштів з рахунків платників на рахунки отримувачів коштів, а також перерахування банками за дорученням підприємств і фізичних осіб коштів, унесених ними готівкою в касу банку, на рахунки отримувачів коштів. Ці розрахунки проводяться банком на підставі розрахункових документів на паперових носіях чи в електронному вигляді;
Під час здійснення безготівкових розрахункових операцій використовуються такі види платіжних інструментів:
-меморіальний ордер;
- платіжне доручення ;
- платіжна вимога-доручення;
- платіжна вимога;
- розрахунковий чек;
- акредитив.
Використання векселів та спеціальних платіжних засобів, зокрема платіжних карток (у тому числі корпоративних платіжних карток), регулюється законодавством України, у тому числі нормативно-правовими актами Національного банку.
Згідно з „Інструкції про порядок відкриття, використання і закриття рахунків у національній та іноземних валютах” [18] суб'єкти господарювання, нерезиденти-інвестори, іноземні представництва і фізичні особи мають право відкривати рахунки для забезпечення своєї господарської діяльності і власних потреб у будь-яких банках України відповідно до власного вибору, крім випадків, коли банк не має можливості прийняти на банківське обслуговування або якщо така відмова допускається законом або банківськими правилами.
Юридичні особи - резиденти можуть відкривати поточні та/або вкладні (депозитні) рахунки в банках через свої відокремлені підрозділи (далі - поточний рахунок відокремленого підрозділу, вкладний (депозитний) рахунок відокремленого підрозділу).
Порядок відкриття поточних рахунків у національній та іноземних валютах суб'єктам господарювання наступний :
1. Якщо суб'єкт господарювання не має в цьому банку рахунків, то відкриття йому поточного рахунку здійснюється в такому порядку.
Особи (особа), які (яка) від імені суб'єкта господарювання відкривають поточний рахунок, мають:
- пред'явити паспорт або документ, що його замінює. Представники юридичних осіб мають також пред'явити документи, що підтверджують їх повноваження. Фізичні особи - резиденти додатково пред'являють документ, виданий відповідним органом державної податкової служби, що засвідчує присвоєння їм ідентифікаційного номера платника податків;
- подати документи (копії документів, засвідчені в установленому порядку), визначені цією главою Інструкції.
На підставі зазначених вище документів уповноважений працівник банку здійснює ідентифікацію клієнта та осіб, уповноважених розпоряджатися поточним рахунком.
Між банком і клієнтом укладається в письмовій формі договір банківського рахунку.
2. Якщо юридична особа не має рахунку в цьому банку, то для відкриття їй поточного рахунку потрібно подати такі документи:
- заяву про відкриття поточного рахунку (додаток 1). Заяву підписує керівник юридичної особи або інша уповноважена на це особа;
- копію свідоцтва про державну реєстрацію юридичної особи в органі виконавчої влади, іншому органі, уповноваженому здійснювати державну реєстрацію, засвідчену нотаріально або органом, який видав свідоцтво про державну реєстрацію. У разі відкриття поточних рахунків юридичним особам, які утримуються за рахунок бюджетів, цей документ не вимагається;
- копію належним чином зареєстрованого установчого документа (статуту / засновницького договору / установчого акта / положення), засвідчену органом, який здійснив реєстрацію, або нотаріально. Положення юридичних осіб публічного права, які затверджуються розпорядчими актами Президента України, органу державної влади, органу влади Автономної Республіки Крим або органу місцевого самоврядування, засвідчення не потребують. Юридичні особи публічного права, які діють на підставі законів, установчий документ не подають;
- копію довідки про внесення юридичної особи до Єдиного державного реєстру підприємств та організацій України, засвідчену органом, що видав довідку, або нотаріально чи підписом уповноваженого працівника банку;
- копію документа, що підтверджує взяття юридичної особи на облік в органі державної податкової служби, засвідчену органом, що видав документ, або нотаріально чи підписом уповноваженого працівника банку;
- картку із зразками підписів і відбитка печатки (додаток 2), засвідчену нотаріально або організацією, якій клієнт адміністративно підпорядкований, в установленому порядку. До картки включаються зразки підписів осіб, яким відповідно до законодавства України або установчих документів юридичної особи надано право розпорядження рахунком та підписання розрахункових документів.
Юридичні особи, які використовують найману працю і відповідно до законодавства України є платниками страхових внесків, додатково до вищезазначеного переліку документів мають подати такі документи:
- копію документа, що підтверджує реєстрацію юридичної особи у відповідному органі Пенсійного фонду України, засвідчену органом, що його видав, або нотаріально чи підписом уповноваженого працівника банку;
- копію страхового свідоцтва, що підтверджує реєстрацію юридичної особи у Фонді соціального страхування від нещасних випадків на виробництві та професійних захворювань України як платника страхових внесків, засвідчену органом, що його видав, або нотаріально чи підписом уповноваженого працівника банку.
Інформацію про те, що юридична особа не використовує найману працю і не є платником страхових внесків, клієнт обов'язково зазначає в заяві про відкриття поточного рахунку в рядку "Додаткова інформація".
3. Для відкриття поточного рахунку відокремленого підрозділу, який не має рахунків у цьому банку, потрібно подати такі документи:
- заяву про відкриття поточного рахунку (додаток 1). Заяву підписує керівник відокремленого підрозділу або інша уповноважена на це особа;
- клопотання юридичної особи або відповідного органу приватизації (щодо структурних підрозділів, які відокремлюються в процесі приватизації) до банку, у якому відкривається поточний рахунок відокремленого підрозділу, про відкриття рахунку із зазначенням номера поточного рахунку юридичної особи та назви банку, у якому він відкритий, а також інформації про те, чи є відокремлений підрозділ платником страхових внесків. У разі одночасного відкриття в банку поточних рахунків через кілька відокремлених підрозділів однієї юридичної особи подаються одне клопотання юридичної особи з вищезазначеною інформацією і переліком відокремлених підрозділів, через які відкриваються рахунки, та копії цього клопотання в кількості, потрібній для формування справ з юридичного оформлення рахунків за кожним відокремленим підрозділом;
- копію свідоцтва про державну реєстрацію юридичної особи в органі виконавчої влади, іншому органі, уповноваженому здійснювати державну реєстрацію, засвідчену нотаріально або органом, який видав свідоцтво про державну реєстрацію. У разі відкриття поточних рахунків відокремленим підрозділам юридичних осіб, які утримуються за рахунок бюджетів, цей документ не вимагається;
- копію належним чином оформленого положення про відокремлений підрозділ, засвідчену нотаріально або юридичною особою, що створила відокремлений підрозділ;
- копію довідки про внесення відокремленого підрозділу до Єдиного державного реєстру підприємств та організацій України, засвідчену органом, що видав відповідну довідку, або нотаріально чи підписом уповноваженого працівника банку;
- копію документа, що підтверджує взяття юридичної особи, яка створила відокремлений підрозділ, на облік в органі державної податкової служби, засвідчену органом, що видав документ, або нотаріально чи підписом уповноваженого працівника банку;
- копію документа, що підтверджує взяття відокремленого підрозділу на облік в органі державної податкової служби за місцезнаходженням цього підрозділу, засвідчену органом, що видав документ, або нотаріально чи підписом уповноваженого працівника банку;
- картку із зразками підписів і відбитка печатки (додаток 2), засвідчену нотаріально або підписом керівника юридичної особи, до складу якої входить відокремлений підрозділ. До картки включаються зразки підписів уповноважених осіб підрозділу, яким відповідно до законодавства України і відповідними документами юридичної особи надано право розпорядження рахунком та підписування розрахункових документів.
Якщо відокремлений підрозділ розташований на території іншої територіальної громади ніж юридична особа, що його створила, має окремий баланс, здійснює розрахунки з оплати праці самостійно і є платником страхових внесків, то цей підрозділ додатково до вищезазначеного переліку документів має подати копії відповідних документів, що підтверджують реєстрацію відокремленого підрозділу у відповідному органі Пенсійного фонду України та Фонду соціального страхування від нещасних випадків на виробництві та професійних захворювань України. Ці копії мають бути засвідчені органами, що їх видали, або нотаріально чи підписом уповноваженого працівника банку
4 Прогнозування, планування фінансових результатів на підприємстві ТОВ “Сніговик-Плюс”
Фінансове планування [28] – це процес розробки системи заходів по забезпеченню розвитку підприємства необхідними фінансовими ресурсами і підвищенню ефективності фінансової діяльності в майбутньому періоді.
Фінансове планування на підприємстві охоплює три основних його види:
1) оперативне планування фінансової діяльності;
2) поточне планування фінансової діяльності;
3) прогнозування фінансової діяльності.
Кожному з цих видів фінансового планування відповідають визначені форми представлення його результатів.
Усі три види фінансового планування знаходяться у взаємозв'язку і здійснюються у визначеній послідовності. Первісним етапом фінансового планування є прогнозування фінансової діяльності, що визначає задачі поточного її планування. У свою чергу, поточне планування фінансової діяльності створює основу для більш заглибленого оперативного її планування.
Прогнозування фінансової діяльності підприємства являє собою найбільш складний етап планування, що вимагає високої кваліфікації виконавців.
Фінансова політика – це форма реалізації стратегії фінансового розвитку підприємства в розрізі окремих аспектів фінансової діяльності.
Поточне планування фінансової діяльності – це розробка системи фінансових планів по окремих аспектах фінансової діяльності підприємства. Поточне планування дозволяє визначити на майбутній період усі джерела фінансування діяльності підприємства, сформувати систему його доходів і витрат, забезпечити постійну платоспроможність підприємства, визначити структуру його активів і пасивів на кінець планованого періоду.
Окремі види поточних фінансових планів підприємства складають звичайно на майбутній рік з розбивкою по кварталах. У процесі поточного фінансового планування на підприємствах розробляються звичайно наступні види фінансових планів:
1) план доходів і витрат по основній господарській діяльності;
2) план надходження і витрати коштів;
3) балансовий план;
4) план формування і використання фінансових ресурсів.
Ступінь деталізації показників кожного з видів фінансового плану визначається підприємством самостійно з урахуванням специфіки його діяльності, а також діючої практики організації фінансового й управлінського обліку.
Розробка плану доходів і витрат по основній господарській діяльності є первісним етапом поточного планування фінансової діяльності підприємства. Метою розробки цього плану є визначення суми чистого прибутку, що залишається в розпорядженні підприємства в планованому періоді.
Основними показниками цього плану є: обсяг виробництва продукції (товарів, послуг); сума і рівень доходів від продажу продукції; сума і рівень валових витрат виробництва і обертання; ставки і сума основних податкових платежів; сума оподатковуваного і чистого прибутку підприємства.
Розробка плану надходження і витрати коштів також є важливим моментом поточного планування фінансової діяльності підприємства. Метою розробки цього плану є забезпечення постійної платоспроможності підприємства на всіх етапах планованого періоду. Тому показники цього плану часто розраховуються не тільки поквартально, але й у помісячній розбивці.
Розроблений план надходження і витрати коштів складається з двох розділів, що повинні бути збалансовані між собою в розрізі кожного кварталу (Місяця). У розділі «Надходження коштів» планується залучення грошових активів від продажу продукції (товарів, робіт, послуг), продажу іншого майна, стягнення простроченої дебіторської заборгованості і з інших джерел. У розділі «Витрата коштів» передбачається використання коштів на покупку сировини, матеріалів і товарів; малоцінних і швидкозношувальних предметів; оренду і зміст основних фондів і на інші мети. З огляду на високу фінансову відповідальність за прострочення платежів, при плануванні необхідно передбачати не тільки відповідність надходження і витрати коштів, але і наявність визначених резервів у формі залишку вільних коштів на розрахунковому рахунку, інших рахунках і в касі підприємства.
Балансовий план підприємства відбиває прогноз складу його активів і пасивів і являє собою частину поточного фінансового планування на підприємстві. Метою розробки балансового плану є визначення можливості приросту окремих активів і формування оптимальної фінансової структури капіталу підприємства, що забезпечує фінансову стійкість його розвитку.
У процесі розробки балансового плану використовується укрупнена схема статей балансу підприємства, що відбиває вимоги бухгалтерського обліку стосовно до специфіки підприємства даної організаційно-правової форми (акціонерного товариства, товариства з обмеженою відповідальністю і т.п.). При плануванні активів оптимізується співвідношення оборотних і поза оборотних їхніх видів, а в складі оборотних – окремих їхніх груп по ризику ліквідності. При плануванні пасивів оптимізується співвідношення власних і позикових засобів, а в складі позикових – короткострокових і довгострокових зобов'язань.
План формування і використання фінансових ресурсів являє собою частину поточного фінансового планування підприємства, метою розробки якого є акумуляція і цілеспрямована витрата фінансових ресурсів, що забезпечують стратегічний розвиток підприємства в планованому періоді.
Розроблений план складається з двох розділів, збалансованих між собою. У розділі «Джерела формування фінансових ресурсів» виділяються наступні показники: сума чистого прибутку, що направляється на виробничий розвиток; сума амортизаційних відрахувань; інші джерела формування власних фінансових ресурсів; сума притягнутих довгострокових кредитів і позик і інші. У розділі «Напрямку використання фінансових ресурсів» виділяються наступні показники: капітальні вкладення у поза оборотні активи; фінансування приросту оборотних активів; вкладення в нематеріальні активи; приріст довгострокових фінансових вкладень і інші.
Оперативне планування фінансової діяльності полягає в розробці системи бюджетів. Бюджет являє собою оперативний фінансовий план короткострокового періоду (до 1 року), що відбиває витрати і надходження засобів по окремих аспектах фінансової діяльності, окремим господарським операціям чи інвестиційним проектам.
Розробка бюджету спрямована на рішення двох основних задач:
1) визначення обсягу і структури витрат;
2) забезпечення покриття цих витрат фінансовими ресурсами з різних джерел.
У практиці оперативного фінансового планування використовуються два види бюджетів: бюджет капітальних витрат і надходження засобів та бюджет поточних грошових витрат і доходів.
Бюджет капітальних витрат і надходження засобів (капітальний бюджет) - це бюджет, розроблювальний на етапі здійснення реального інвестування, зв’язаного з новим будівництвом, реконструкцією і модернізацією об'єкта.
Бюджет поточних грошових витрат і доходів (поточний бюджет) – це бюджет, розроблений по окремих господарських операціях чи по господарській діяльності підприємства в цілому в розрізі окремих короткотермінових періодів
(у порядку конкретизації плану доходів і витрат по основній господарській діяльності).
Капітальний бюджет складається з двох розділів: капітальні витрати і надходження засобів. Капітальні витрати являють собою витрати на придбання довгострокових необоротних активів. До них звичайно відносять первісну вартість будинків, що вводяться в лад, і споруджень (чи поетапні витрати по їхньому спорудженню); вартість нових видів машин і устаткування; вартість нематеріальних активів, що здобуваються, (патентів, «ноу-хау» і інших) і т.п. Надходження засобів при розробці капітального бюджету включає планований потік фінансових засобів (інвестиційних ресурсів) у розрізі окремих джерел.
Поточний бюджет також складається з двох розділів: поточні витрати і доходи від поточної господарської діяльності. Поточні витрати являють собою витрати виробництва чи обертання. Доходи від поточної господарської діяльності формуються в основному за рахунок продажу продукції (товарів, робіт, послуг).
З метою збільшення обсягу прибутку, рентабельності своєї роботи підприємство повинне постійно розробляти бізнеси-проекти, що передбачають вкладення фінансових ресурсів у створення нових технологій, організацію нових виробництв, реконструкцію виробничих площ і устаткування для випуску конкурентно-здатних товарів на внутрішньому і зовнішньому ринках, будівництво філій і цехів, наближених до джерел сировини і ринкам збуту і т.д. Кожний з цих проектів повинний бути обґрунтований у бізнес-плані від ідеї до розрахунку конкретної суми прибутку, що буде отримана від його реалізації.
Фінансовий план складається з трьох частин:
1) план доходів і витрат (план прибутку і збитків);
2) план грошових надходжень і виплат (плановий касовий бюджет чи план руху готівки);
3) плановий баланс.
Особливість фінансового плану в порівнянні з іншими розділами бізнес-плану полягає в тому, що перераховані фінансові документи мають стандартну форму, що не допускає відхилень.
Планування фінансів підприємства – важлива частина роботи з забезпечення стійкого фінансового положення підприємства, що дозволяє прийняти до здійснення заходи щодо ліквідації «вузьких місць», вибрати найбільш вигідні джерела фінансування і зони вкладення фінансових ресурсів.
Фінансове планування є і відправною крапкою, і кінцевим пунктом усієї системи планування, включаючи в себе виробничо-господарську і фінансову діяльність підприємства.
5 Відносини підприємства ТОВ “Сніговик-Плюс” з бюджетною системою країни
ТОВ „Сніговик-Плюс” є комерційним підприємством та не користується джерелами бюджетного фінансування та фінансовими преференціями у своїй діяльності. ТОВ „Сніговик-Плюс” не виконує роботи для замовників бюджетної сфери фінансування, тому не приймає участі у тендерах на поставку матеріалів та послуг в бюджетні заклади та підприємства України.
6 Відносини підприємства ТОВ “Сніговик-Плюс” з податковою системою країни
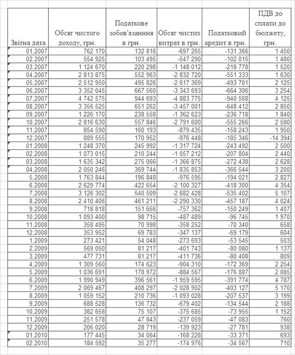
Податкове навантаження ТОВ „Сніговик-Плюс” наведене в табл. 6.1.

Рис. 6.1. Динаміка обсягів доходів, витрат і нарахування податкових зобов'язань, податкового кредиту та податку ПДВ до сплати в бюджет у ТОВ «Сніговик-Плюс» у 2007 - 2009 роках
Таблиця 6.1
Податкове навантаження на ТОВ «Сніговик-Плюс» у 2007 - 2009 роках


Рис. 6.2. Динаміка нарахування податкових зобов'язань, податкового кредиту та податку ПДВ до сплати в бюджет у ТОВ «Сніговик-Плюс» у 2008 - 2009 роках
Як показує аналіз даних, наведених в табл. 6.1, ТОВ «Сніговик-Плюс» є платником основних 5-ти видів податків:
- податку на додану вартість;
- податку на прибуток підприємства;
- податку з доходів найманих працівників, який воно стягує з заробітної плати як податковий агент в момент виплати;
- зборів до Пенсійного Фонду України та 3-х держаних фондів соціального страхування з нарахованого фонду заробітної плати найманих працівників;
- податок з власників автомобільних засобів (юридичні особи).
Сумарне податкове навантаження на валовий дохід (з ПДВ) складає 1,16 – 1,93%, що значно менше єдиного податку 10% (з платників єдиного податку – платників ПДВ) від валового доходу при спрощеній формі оподаткування.

Рис. 6.3. Схема товарної грошових потоків в ТОВ «Сніговик-Плюс»
Таблиця 6.2
Динаміка щомісячних доходів, витрат та нарахування ПДВ до сплати в бюджет в ТОВ «Сніговик-Плюс» у 2007 - 2009 роках

Як показує аналіз динаміки щомісячних доходів ТОВ „ Сніговик - Плюс” (дані декларацій по ПДВ) має місце сезонний характер доходності, тобто щомісячні обсяги «піку продажів» у 6-7 місяцях кожного року в 4-5 разів більше щомісячних обсягів продажів у листопаді – лютому кожного року. При цьому, як показує аналіз динаміки обсягів щомісячних доходів та витрат у 2007 -2009 роках, рівень «піків продажів» у 2008 році у 1,5 рази менший, ніж у 2007 році, а рівень «піків продажів» у 2009 році у 1,5 рази менший, ніж у 2008 році.
Таким чином, розвиток бізнесу ТОВ «Сніговик-Плюс» у 2007 – 2009 роках має негативний тренд по обсягам продажів.
7 Відносини підприємства ТОВ “Сніговик-Плюс” з банківською системою країни
ТОВ «Сніговик-Плюс» є клієнтом 2-х комерційних банків – ПАТ КБ «Приватбанк» та ВАТ «Кредитпромбанк», в яких у нього відкриті розрахункові рахунки та валютні розрахункові рахунки.
Таблиця 7.1
Банківські рахунки ТОВ «Сніговик-Плюс»
| МФО банку | Назва банку | Номер рахунку | Код валюти | Назва валюти | Дата відкриття рахунку |
| 305299 | ПАТ КБ "ПРИВАТБАНК" | 26007050002601 | 980 | ГРИВНЯ | 30.11.2006 |
| 305299 | ПАТ КБ "ПРИВАТБАНК" | 26008050400332 | 840 | ДОЛАР США | 30.11.2006 |
| 306890 | ДН.ФІЛІЯ ВАТ"КРЕДИТПРОМБАНК", М.ДН-СЬК | 26003500007087 | 980 | ГРИВНЯ | 10.10.2006 |
| 306890 | ДН.ФІЛІЯ ВАТ"КРЕДИТПРОМБАНК", М.ДН-СЬК | 26007584007087 | 840 | ДОЛАР США | 10.10.2006 |
8 Система управління основним капіталом на підприємстві ТОВ “Сніговик-Плюс”
Характеристики системи управління основним капіталом ТОВ „Сніговик-Плюс” наведені на рис.8.1 – 8.2. Як показує аналіз даних, наведених на рис.8.1 - 8.2 питома вага основного (необоротного) капіталу на підприємстві становить 14,5 – 15,8%, оскільки підприємство не має власних виробничих потужностей орендує приміщення управлінського офісу та складу, а основні засоби сформовані за рахунок спеціалізованого холодильного автотранспорту.

Рис.8.1. Динаміка формування агрегатів пасивів балансу ТОВ „Сніговик-Плюс” у 2007 – 2009 роках


Рис.8.2. Структура необоротного капіталу в ТОВ „Сніговик-Плюс” у 2007 - 2009 рр.
9 Система управління оборотним капіталом на підприємстві ТОВ “Сніговик-Плюс”
Характеристики системи управління оборотним капіталом ТОВ „Сніговик- Плюс»” наведені на рис.9.1 – 9.2. Як показує аналіз даних, наведених на рис.9.1 - 9.2 питома вага оборотного капіталу на підприємстві становить 84,5 – 85,5% від валюти балансу, та має наступну внутрішню структуру:
- дебіторська заборгованість за відпущені товари та виконані послуги – 51,2%;
- дебіторська заборгованість в розрахунках – 20,1%
- виробничі запаси 20,07%, в тому числі - готова продукція на складі – 18,04%;
- грошові кошти – 4,85%.
Наведена структура є типовою для торгівельно-дистрибуційної фірми.

Рис.9.1. Динаміка формування агрегатів активів балансу ТОВ „Сніговик-Плюс” у 2008 – 2009 роках


Рис.9.2. Структура оборотного капіталу в ТОВ „Сніговик-Плюс” у 2007 - 2009 рр.
10 Діяльність підприємства ТОВ “Сніговик-Плюс” на фінансовому ринку
Діяльність підприємства ТОВ „Сніговик-Плюс” у 2007 -2009 роках на фінансовому ринку характеризується запозиченням довгострокового та 3-х короткострокових банківських кредитів:
- у 2006 році в КБ „Приватбанк” на суму 3,0 млн.грн. строком на 5 років (з 01.07.2006 по 30.12.2011) під 21% річних, на поповнення оборотних коштів з заставою дебіторської заборгованості за відпущену продукцію. Сума сплачених відсотків за 2007 – 2009 роки становить в сумі 1,13 млн.грн., залишкова заборгованість по кредиту станом на 01.01.2010 року становить 413,6 тис.грн.;
- у 2007 році в КБ „Приватбанк” на суму 1,2 млн.грн. строком на 4 місяці (з 01.09.2007 по 30.12.2007) під 21% річних, на поповнення оборотних коштів з заставою дебіторської заборгованості за відпущену продукцію. Сума сплачених відсотків становить 55,0 тис.грн., кредит повернуто в строк 30.12.2007 року;
- у 2008 році в КБ „Приватбанк” на суму 1,2 млн.грн. грн. строком на 7 місяців (з 01.05.2008 по 30.12.2008) під 21% річних, на поповнення оборотних коштів з заставою дебіторської заборгованості за відпущену продукцію. Сума сплачених відсотків становить 135,0 тис.грн., кредит повернуто в строк 30.12.2008 року;
- у 2009 році в КБ „Приватбанк” на суму 255,0 тис. грн. - револьверна кредитна лінія строком на 2 роки (з 01.01.2009 по 30.12.2011) під 25% річних, на поповнення оборотних коштів з заставою дебіторської заборгованості за відпущену продукцію. Сума сплачених відсотків за 2009 рік становить 67,4 тис.грн., кредит повернуто в строки 30.06.2009 року та відновлено з 01.07.2009 року, в строки 30.12.2009 та знову відновлено з 01.01.2010 року.
11 Діяльність підприємства ТОВ “Сніговик-Плюс” в сферах страхових послуг
Згідно з наданими документами, ТОВ „Сніговик-Плюс” користувалось у 2007 - 2009 роках послугами страхових компаній для обов’язкового страхування автотранспорту підприємства ( «зелена карта»).
Придбані автомобілі застраховані по договору №530503913 від 16.10.06 з страхування засобів наземного транспорту укладеного зі страховиком ЗАТ „АСК „Інго Україна” (м. Київ , вул. Воровського, 33) в особі директора Філії ЗАТ „АСК „Інго Україна” м. Дніпропетровська.
Сплачена страхова премія становить:
- у 2007 році 2877,56 грн. за 1 авто, всього 43163,4 грн. ;
- у 2008 році 3287,6 грн. за 1 авто, всього 53 163,4 грн. ;
- у 2009 році 4228,0 грн. за 1 авто, всього 70 256,4 грн. ;
Страхових відшкодувань по аварійним страховим випадкам у 2007 – 2009 роках ТОВ «Сніговик-Плюс» не отримувало.
12 Оцінка фінансового стану підприємства ТОВ „Сніговик-Плюс” та перспективи його зміцнення
В Додатку Ж наведені алгоритми розрахунків показників фінансового стану підприємства - фінансової стійкості, ліквідності, платоспроможності та рентабельності роботи підприємства, які виконуються за алгоритмами, наведе-ними в табл. Ж.1 – Ж.5. [34].
На рис.12.1 - 12.6 наведені графіки динаміки показників фінансового стану ТОВ „Сніговик-Плюс”, розраховані за звітними даними балансу та звіту про фінансові результати діяльності у 2007 – 2009 роках (Додатки В,Г). В таблиці 12.1 наведені результати розрахунків показників схільності ТОВ «Сніговик-Плюс» до банкрутства (по Альтману).

Рис.12.1. Динаміка показників валового, операційного та чистого прибутку ТОВ «Сніговик-Плюс» за 2007 - 2009 рік
Рис.12.2. Динаміка показників ліквідності ТОВ «Сніговик-Плюс» за 2007 - 2009 рік

Рис.12.3. Динаміка показників оборотності характерних агрегатів активів та пасивів ТОВ «Сніговик-Плюс» за 2007 - 2009 рік

Рис.12.4. Динаміка показників рентабельності власного капіталу та реалізованої продукції по чистому прибутку після оподаткування в ТОВ «Сніговик-Плюс» за 2007 - 2009 рік

Рис.12.5. Динаміка показників коефіцієнта фінансової автономії та коефіцієнта забезпечення активів власним капіталом в ТОВ «Сніговик-Плюс» за 2007 - 2009 рік

Рис.12.6. Динаміка показників фінансової стійкості по покриттю запасів власними та залученими коштами в ТОВ «Сніговик-Плюс» за 2008 - 2009 рік
Як показує спільний аналіз результатів, наведених на графіках рис.12.1 -12.6 та в табл.12.1 фінансовий стан підприємства ТОВ «Сніговик-Плюс» за результатами діяльності у 2007 – 2009 роках характеризується як:
- діяльність підприємства прибуткова, але рентабельність власного капіталу по чистому прибутку після оподаткування з рівня 6,56% у 2007 році знизилась до рівня 2,21% у 2009 році , що катастрофічно нижче середньо ринкового значення дохідності капіталу (22 -24% по рівню доходності держоблігацій ОВГЗ у 2009 році), тобто підприємство – інвестиційна непривабливе для додаткових інвесторів та збиткове для капіталу засновників підприємства;
- підприємство має надлишковий стійкий рівень покриття запасів власними та залученими кредитними коштами банків;
- підприємство має недостатній рівень власного капіталу, що приводить до низького рівня показника фінансової автономії (менше нормативу в 0,5, що загрожує можливістю банкрутства підприємства за заявами кредиторів;
- підприємство практично має в 5-6 разів нижчий за нормативний рівень показника поточної негайної ліквідності (готівкові кошти), тобто поточно – проблемно неплатоспроможне.;
- підприємство поступово підвищує рівень схильності до банкрутства за показником Альтмана та потребує впровадження заходів фінансової санації.
Таблиця 12.1
Показники схільності ТОВ «Сніговик-Плюс» до банкрутства

13 Індивідуальне завдання на виконання наукової роботи за темою “Оцінка заходів фінансової санації фінансової стійкості ТОВ “Сніговик-Плюс”, м.Дніпропетровськ”
13.1 Теоретично-правові основи діагностики фінансового стану підприємства
Банкрутство – це природній процесс ринкової економіки, який є наслідком впливу об'єктивних екзогенних (зовнішніх) факторів ринку та суб'єктивних ендогенних(внутрішніх) факторів менеджменту підприємством. Своєчасна ідентифікація ознак банкрутства та застосування заходів по уникненню негативних наслідків, знання та вміння застосування заходів антикризового управління підприємством – основа діяльності сучасних економічних менеджерів підприємств в ринковій економіці України [42].
Методика проведення поглибленого аналізу фінансово-господарського стану неплатоспроможних підприємств та організацій [12] розроблена відповідно до Указу Президента України від 17 червня 1996 р. N 435/96 "Про утворення Агентства з питань запобігання банкрутству підприємств та організацій" та Положення про Реєстр неплатоспроможних підприємств та організацій, затвердженого постановою Кабінету Міністрів України від 25 листопада 1996 р. N 1403, для проведення поглибленого аналізу фінансово-господарського стану суб'єктів підприємницької діяльності (далі - підприємства).
Основним завданням проведення аналізу є оцінка результатів господарської діяльності за попередній та поточний роки, виявлення факторів, які позитивно чи негативно вплинули на кінцеві показники роботи підприємства, прийняття рішення про визнання структури балансу задовільною (незадовільною), а підприємства - платоспроможним (неплатоспроможним) .
Джерелами інформації для проведення аналізу є:
- баланс підприємства за попередній рік та за звітний період, ф. 1;
- звіт про фінансові результати та їх використання за попередній рік та за
звітний період, ф. 2;
- звіт про фінансово-майновий стан, ф. 3;
- звіт з праці за попередній рік та за звітний період, ф. 1-ПВ, ф. 3-ПВ;
- звіт про витрати на виробництво продукції, робіт, послуг, ф. 5-с;
- розрахунок нормативу власних обігових коштів;
- розшифровка дебіторської та кредиторської заборгованості;
- звіт про наявність та рух основних фондів, амортизацію , ф.11 - ОФ;
- зведена таблиця основних показників, ф. 22 (річні);
- звіт про рух коштів в іноземній валюті, ф. 15-зез;
- бізнес-план;
- матеріали маркетингових досліджень;
- висновки аудиторських перевірок;
- інша інформація.
Результати проведеного аналізу відображаються в аналітичній записці, яка є додатком N 1 до акту роботи комісії.
Методика складається з двох частин: аналізу фінансового стану та аналізу виробничо-господарської діяльності підприємства.
а). Характеристика підприємства
Повне найменування Скорочене найменування _ за ЄДРПОУ _Підпорядкованість _ за СПОДУ _Вид діяльності за ЗКГНГ _Форма власності _ за ЗКФВ Територія за СПАТО _Адреса підприємства_Монопольне становище Дата, N узгодження з АМКУ_ Банківські реквізити _Адреса місцевої Державної податкової адміністрації _Керівник підприємства Головний бухгалтертелефон _б) Аналіз фінансового стану підприємстваДля характеристики фінансового стану підприємства, використання ним власних та залучених коштів застосовуються показники балансу ф. 1, звіту ф. 3.
Аналіз джерел власних коштів
1. Виявляється одна з важливих характеристик фінансового стану підприємства - його фінансова незалежність від зовнішніх джерел.
З цією метою обчислюється Коефіцієнт фінансової незалежності "автономії" (Кавт) як відношення загальної суми власних коштів до підсумку балансу: Практикою встановлено, що загальна сума заборгованості не повинна перевищувати суму власних джерел фінансування, тобто критичне значення Кавт = 0,5. Чим більше значення коефіцієнту, тим кращий фінансовий стан підприємства (менша залежність від зовнішніх джерел).
2. Для визначення фінансової стійкості вираховують коефіцієнт фінансової стабільності (Кфс), який характеризує співвідношення власних та позикових коштів:
Перевищення власних коштів над позиковими вказує на те, що підприємство має достатній рівень фінансової стійкості і відносно незалежне від зовнішніх фінансових джерел. Нормативне значення Кфс повинно бути більшим 1. Якщо Кфс менше 1, то потрібно з'ясувати причини зменшення фінансової стабільності (падіння виручки, зменшення прибутку, необгрунтоване збільшення матеріальних запасів тощо).
3. Важливе значення у процесі аналізу джерел власних коштів має показник фінансового лівериджу (Фл), який характеризує залежність підприємства від довгострокових зобов'язань і визначається як відношення довгострокових зобов'язань до джерел власних коштів:
Зростання значення Фл свідчить про зростання фінансового ризику, тобто можливість втрати платоспроможності. В такому разі більш детально аналізуються показники другого розділу пасиву балансу.
4. Для вирішення питання щодо забезпечення підприємства власними коштами розраховується коефіцієнт забезпечення власними коштами (Кзк). Цей коефіцієнт розраховується як відношення різниці між обсягами джерел власних та прирівняних до них коштів (за вирахуванням статей: "Розрахунки з учасниками", "Резерви наступних витрат і платежів", "Доходи майбутніх періодів", "Реструктуризований борг") і фактичною вартістю основних засобів та інших позаоборотних активів до фактичної вартості наявних у підприємства оборотних коштів. Значення Кзк повинно бути більше 0,1.
б) Аналіз структури кредиторської заборгованості
Аналізу підлягають дані III розділу пасиву балансу "Розрахунки та інші пасиви" , при цьому визначається частка окремих статей розділу в загальній сумі кредиторської заборгованості, а також відхилення значень цих статей на кінець звітного періоду відносно початку року .
Особливу увагу необхідно звернути на наявність простроченої заборгованості перед бюджетом, позабюджетними фондами, по страхуванню, по оплаті праці та перед іншими кредиторами (за тепло, електроенергію, газ, воду).
При аналізі довгострокової кредиторської заборгованості звертається увага на цільове використання довгострокових кредитів банків та позикових коштів, які одержані протягом останніх трьох років .
в) Аналіз структури активів підприємства
Аналізу підлягають I, II, III розділи Активу балансу.
Активи підприємства та їх структура вивчаються як з точки зору їх участі в виробництві, так і з точки зору оцінки їх ліквідності. Безпосередньо з’ясовується участь у виробничому циклі основних фондів, нематеріальних активів, запасів і затрат, грошових коштів. При цьому уточнюються найбільш ліквідні активи підприємства: грошові кошти на рахунках, а також короткострокові цінні папери та найменш ліквідні активи - основні фонди, що знаходяться на балансі підприємства та інші позаоборотні активи.
Зміна структури активів підприємства в бік збільшення частки оборотних засобів може вказувати на:
- формування більш мобільної структури активів, що сприяє прискоренню оборотності засобів підприємства;
- відволікання частини поточних активів на кредитування споживачів товарів, робіт, послуг підприємства, дочірніх підприємств та інших дебіторів, що свідчить про фактичну іммобілізацію цієї частини оборотних засобів із виробничого циклу;
- згортання виробничої бази;
- викривлення результатів оцінки основних фондів внаслідок існуючого порядку їх бухгалтерського обліку та інше.
Для того, щоб зробити однозначні висновки про причини зміни даної пропорції в структурі активів, проводиться детальний аналіз розділів і окремих статей активу балансу.
г) Аналіз основних засобів та інших позаоборотних активів
Аналізується рух основних фондів та амортизаційних відрахувань за попередній та поточний роки (форма 11-ОФ (річна), дані аналітичного бухгалтер-сього обліку за звітний період). Звертається увага на основні фонди підприємства, які придбані, реалізовані, ліквідовані або здані в оренду протягом поточного року.
д) Аналіз власних оборотних засобів
Власні оборотні засоби - це робочий капітал (Рк).
Робочий капітал (Рк) - різниця між оборотними активами підприємства та його короткостроковими зобов'язаннями. Тобто, робочий капітал є тією частиною оборотних активів, яка фінансується за рахунок власних коштів та довгострокових зобов'язань. Наявність робочого капіталу свідчить про те, що підприємство не тільки здатне сплатити власні поточні борги, а й має фінансові ресурси для розширення діяльності та інвестування. Для визначення величини Рк слід від суми підсумків розділів II і III активу балансу відняти підсумок розділу III пасиву:
Платоспроможність підприємства визначається передусім величиною і маневреністю його робочого капіталу. Як нестача робочого капіталу, так і його надлишок може бути негативною ознакою. Оптимальний розмір Рк залежить від сфери діяльності, обсягу реалізації, кон'юнктури ринку тощо.
Якщо сума довгострокових кредитів перевищує робочий капітал (Рк < ряд. 530), то це свідчить, що підприємство використовує частину довгострокових позик і кредитів на фінансування поточних операцій, тобто здійснює нецільове їх використання.
При зменшенні Рк необхідно з'ясувати, за рахунок чого це відбулося і як це вплинуло на маневреність робочого капіталу.
Маневреність робочого капіталу (Мк) характеризує частку запасів у його загальній сумі, тобто визначається відношенням величини запасів до розміру робочого капіталу:
Зростання товарних запасів, характерне в умовах інфляції, призводить до залучення довгострокових кредитів, що, в свою чергу, може вплинути, враховуючи високі кредитні ставки, на платоспроможність підприємства.
Важливим показником платоспроможності підприємства є коефіцієнт покриття (Кп). Він визначається співвідношенням усіх поточних активів (за вирахуванням витрат майбутніх періодів) до короткострокових зобов'язань і характеризує достатність оборотних коштів підприємства для погашення своїх боргів протягом року:
Кіп показує, скільки грошових одиниць оборотних коштів припадає на кожну грошову одиницю короткострокових зобов'язань. Критичне значення Кп = 1. При Кп < 1 підприємство має неліквідний баланс. Значення Кп у межах 1 -1,5 свідчить про те, що підприємство своєчасно ліквідує борги.
е) Аналіз структури оборотних засобів
Оборотні засоби підприємства складаються із запасів і затрат та грошових коштів, розрахунків та інших активів . Швидкість обороту оборотних засобів підприємства є однією з якісних характеристик фінансової політики підприємства. Чим більша швидкість обороту, тим ефективніше працює підприємство. Тому абсолютне чи відносне зростання оборотних засобів може свідчити не тільки про розширення виробництва або дію факторів інфляції, але й про уповільнення їх обороту, що викликає збільшення їх маси.
Важливим показником ліквідності підприємства є коефіцієнт абсолютної ліквідності Кал, який характеризує негайну готовність підприємства ліквідувати короткострокову заборгованість і визначається як відношення суми грошових коштів підприємства та короткотермінових фінансових вкладень до суми короткотермінових (поточних) зобов'язань:
Значення Кал є достатнім у межах 0,2 -:- 0,35, а менше 0,2 - це зовнішня ознака неплатоспроможності.
е) Аналіз прибутковості підприємства
Прибутковість підприємства характеризується сумою прибутку та рівнем рентабельності. Рівень рентабельності визначається як відношення прибутку від реалізації (П) до собівартості продукції (С) (робіт, послуг):
У процесі аналізу визначається, як змінюються протягом певного періоду значення прибутку від реалізації, чистого прибутку, рівня рентабельності, розглядаються фактори, що приводять до їх зміни.
Крім того, вивчається вплив на балансовий прибуток підприємства таких показників, як: виручка від реалізації, ПДВ, акцизний збір, собівартість реалізованої продукції, а також прибуток (збиток) від іншої реалізації та позареалізаційних операцій (рядки 060, 070 ф. 2).
ж) Аналіз використання прибутку
Необхідним елементом аналізу є дослідження результатів фінансової діяльності та напрямків використання прибутку.
У тому разі, коли підприємство збиткове, можна зробити висновок про відсутність джерела поповнення власних коштів підприємства для ведення ним нормальної господарської діяльності.
За наявності збитку попереднього або звітного року співвідношення в % для відповідної графи не розраховуються. Аналізується тільки відхилення по статтям використання прибутку.
и) Заключні положення
Усі дані, отримані за результатами аналізу, заносяться до таблиці "Основні фінансово-економічні показники та коефіцієнти". Для розроблення заходів по запобіганню банкрутству використовуються дані таблиці "Основні показники господарської діяльності", які додаються до аналітичної записки.
13.2 Зовнішні та внутрішні умови створення підприємства та характеристика його фінансово-господарської діяльності
ТОВ “Сніговий плюс ” - це торгівельно-дистрибуційна компанія по оптовому продажу продукції, яку виготовляють та поставляють на оптовий склад 2 основних виробника - виробниче об’єднання “Дніпропетровський холодокомбінат” та ТОВ «Трейд».
Фактичний вид діяльності ТОВ „Сніговик - Плюс”– це оптова торгівля продуктами харчування - морозиво, пельмені, вареники, які переміщуються по Україні власним спеціальним холодильним автотранспортом підприємства, або спецтранспортом замовника з оптового складу(морозильнику) - магазину ТОВ „Сніговик-Плюс” .
Основні реєстраційні дані по ТОВ «Сніговик-Плюс» наведені в Додатку А. ТОВ “Сніговик-Плюс» зареєстровано Виконкомом Дніпропетровської міської Ради м.Дніпропетровська. Свідоцтво про державну реєстрацію від 20.01.03року, № 414055, перереєстроване у зв”язку з збільшенням статутного фонду 04.10.2005р., форма власності – приватна (код-10).
Код суб”єкта господарювання за ЄДРПОУ 32175990.
Місцезнаходження підприємства відповідно установчих документів - м. Дніпропетровськ, вул.Журналистів,13. Фактичне місцезнаходження – м. Дніпропетровськ, вул.Журналистів, 13 Згідно договору оренди не житлового приміщення №01/01/06 від 01.01.2006р., №3/01/07 від 01.01.07, №16 від 01.07.07. укладених з ВАТ „Дніпропетровський холодокомбінат”, відповідно яких Орендар приймає у тимчасове платне користування нежитлове приміщення за адресою вул.Журналистів, 13 , загальною площею 201,6 кв.м., орендна плата 1000грн. .(тел. 343753).
ТОВ «Сніговик-Плюс» взято на податковий облік 24.01.2003р. Лівобережною МДПІ м. Дніпропетровська за №3289.
ТОВ “Сніговик-Плюс” є платником:
· Податку на прибуток;
· Податку на додану вартість;
· Комунального податку;
· Податку з доходів фізичних осіб;
· Податку з власників транспортних засобів та інших самохідних машин і механізмів;
· Збору за забруднення навколишнього природного середовища;
· Плати за придбання торгівельного патенту.
ТОВ “Сніговик-Плюс” зареєстровано як платник податку на додану вартість, свідоцтво від 29.01.03р. № 04337547 видане Лівобережною МДПІ м. Дніпропетровська. Індивідуальний податковий номер платника ПДВ 321759904640.
Статутний фонд становить – 884 832,36 грн. Зміни до статутного фонду переєстровані рішеннями Виконкому Дніпропетровської міської ради від 23.03.2004р., 12.09.2005р., 04.10.2005р., номер запису 12241050002016334.
Дані про засновників (учасників, акціонерів) суб’єкта господарювання відповідно до установчих та інших документів наведені в табл.Б.1 Додатку Б.
ТОВ «Сніговик-Плюс” являється засновником (учасником), акціонером іншого суб’єкту господарювання (табл.Б.2 Додатку Б).
Підприємство має зареєстровані види діяльності та відповідні ліцензії і патенти:
- Посередництво в торгівлі продуктами харчування, напоями та тютюновими виробами;
- Роздібна торгівля в неспеціалізованих магазигах з перевагою продовольчого асортименту;
- Неспеціалізована оптова торгівля продуктами харчування, напоями та тютюновими виробами;
- Діяльність автомобільного вантажного танспорту (ліцензія Державний департамент автомобільного транспорту „Укравтотранс”, 26.05.2004р. № 832799).
Місцезнаходження підприємства відповідно установчих документів - м. Дніпропетровськ, вул.13. Фактичне місцезнаходження – м. Дніпропетровськ, вул., 13 згідно договору оренди нежитлового приміщення №01/01/06 від 01.01.2006р., №3/01/07 від 01.01.07, №16 від 01.07.07., укладених з ВАТ „Дніпропетровський холодокомбінат”, відповідно яких Орендар приймає у тимчасове платне користування нежитлове приміщення за адресою вул., 13 , загальною площею 201,6 кв.м.
Товарний асортимент дистриб’юції ТОВ «Сніговик-Плюс» наведений в табл.13.2.1:
Таблиця 13.2.1
| Найменування товару |
| Морозиво вершкове (ваф.ст.) |
| Морозиво молочне (ваф.ст. б/н) |
| Морозиво пломбир (ваф.ст.) |
| Морозиво вершкове (ескімо шоколадне) |
| Морозиво пломбір (ескімо сніжна королева) |
| Морозиво плодово-ягідне (ескімо, глазурь) |
| Торт-морозиво (пломбір вишневий джем) |
| Пельмені „Сибірські” 1 кг |
| Пельмені „Єкатеринославські” |
| Пельмені „Любительські” |
| Вареники „Класичні” |
| Вареники „Селянські” |
Склад основних засобів збереження продукції та її транспортировки в ТОВ «Сніговик-Плюс» придбаний у 2006 році та становить:
- Автомобіль груз. ІВЕКО - 1 шт. * 57 774,94 грн.;
- Автомобіль груз. Мерседес410 - 1 шт.* 58 677,72 грн. ;
- Автомобіль груз. Мерседес811 – 1 шт. * 73 829,28 грн.;
- Автомобіль груз. Мерседес814 – 4 шт. * 119 084,32 грн.;
- Автомобіль груз. Богдан DF -25 - 15 шт. * 95 321,26 грн.;
- Автомобіль груз. Мерседес 612 - 1 шт. * 33 520,77 грн.;
- Автомобіль груз. Мерседес Спрінтер – 1 шт. * 24895,78 грн.;
- Автомобіль груз. РЕНО – 2 шт. * 64 744,33 грн.;
- Автомобіль „Таврія” ЗАЗ груз. – 1 шт. * 9 325,16 грн.;
- Морозильна вітрина Ssetta 7R Lx - 13 шт. * 7 574,96 грн.;
- Морозильна вітрина Samoa 6 - 3 шт. * 10 287,13 грн.;
- Морозильна вітрина Samoa 7 - 25 шт. * 10 824,63 грн.;
- Палатка - 25 шт. * 1 462,5 грн.;
- Локальна мережа з 18 ПЕОМ * 1061,0 грн.
- Касовий апарат „Dateks MP-50” – 1 шт. * 559,55 грн.
Для формування автопарку спеціалізованих автомобілів – холодильників ТОВ „Сніговик-Плюс” відповідно договору купівлі – продажу автомобілів з розстрочкою платежу від 25.09.2006р. №25/09 укладеного з ТОВ „Слім” (код 32690295) придбано автомобілі Богдан DF25 у кількості 15 шт. 2005року випуску, об”єм двигуна 3707-дизпаливо на загальну суму 1692683,0грн.( акт прийому – передачі №1 від 02.10.06). Спеціалізовані автомобілі- холодильники Мерседес отриманеі як внесок іноземного партнера в статутний фонд підприємства.
Для здійснення своєї фінансово-господарської діяльності ТОВ “Сніговик-Плюс” були складені наступні угоди:
- з ВАТ “Дніпропетровський холодокомбінат” (м.Дніпропетровськ, код 01558135)- договор зберігання №Х8 від 01.01.06р., №Х1/1 від 01.01.07 – про надання послуг зберігання товарів у складському приміщенні, розташованому за адресою: м.Дніпропетровськ, вул.Журналистів,13;
Відповідно договору зберігання 1 тони продукції по ціні 12 грн. з ПДВ за добу. Розвантаження та завантаження 1 тони продукуції робітниками Виконавця по ціні 12 грн. з ПДВ. Розвантаження та завантаження 1 тони продукуції погрузчиком Виконавця по ціні 12 грн. з ПДВ.
- з ВАТ „Дніпропетровський холодокомбінат” - договір оренди морозильних вітрин №01 від 01.03.2007р., №04 від 01.09.2007р.
- з ВАТ “Дніпропетровський холодокомбінат” (м.Дніпропетровськ, код 01558135)- договор перевезення №1 ПС від 01.01.05р. – про надання послуг перевезення товарів.
Перевезення продукції здійснюється за рахунок залучення сторонніх суб”єктів господарювання на підставі договорів - замовлень про надання траснспортних послуг на кожну окрему поставку: ТОВ „Пегас Транс” (код ЄДРПОУ 33906833, м.Дніпропетровськ ), ПП „Ушаков А.А. (і.п.н. 2366610796, м.Дніпропетровськ), Шевченко В.Н. (і.п.н. 2617100137, м. Дніпропетровськ)
Основні постачальники:
1.ТОВ „Трейд” код 31929890, м. Дніпропетровськ
2.ВАТ „Дніпропетровський холодокомбінат” код 01558135
Основні покупці:
3. ПП Барлаков О.А. код 2507616918, м. Маріуполь
4. ПП Вагіна А.І. код 2085609507, м. Дніпропетровськ
5. ПП Іванов В.П. код 1825000016, м. Луганськ
6. ТОВ „Караван” Одеська філія, код 33383313
7. ТОВ „Караван” Харківська філія, код 33717438
8. ТОВ „Катран -95 ” код 23435769, м. Сімферополь
9. ПП Корнієнко А.В. код 1699107935, м. Дніпропетровськ
10. ТОВ „Максима – 2006” код 33974608, м. Дніпропетровськ
11. ТОВ „Віват” код 23368027, м. Дніпропетровськ
12.ПП Оркін С.М. код 2163912978, м. Запоріжжя
13. „Партнер” СП ТОВ „Вів ат” код 25483146, м. Запоріжжя
14. ТОВ „Поділля Ресурс”, код 23101376, м. Вінниця
15. ТОВ „Савва” код 31117435 , м. Київ
16. ТОВ „Савва” код 34343681, м. Львів
17. ПП Сав”юк Д.О. код 2182814357, м. Снятин
18. ТОВ „Сніговик” код 32331386, м. Донецьк
13.3 Статистичні, загальноекономічні специфічні методи і прийоми дослідження системи показників фінансового стану підприємства
У сучасній спеціальній літературі відсутня єдність поглядів на процес антикризового управління підприємством, тобто послідовність дій, які повинні бути здійснені з метою виведення його зі стану кризи. У окремих дослідників послідовність процесу антикризового впливу взагалі не формалізується, і тільки із логічного викладення матеріалу можна зробити необхідні висновки стосовно причинно-наслідкових зв'язків, які існують між окремими напрямами (блоками, етапами) роботи, підсистемами антикризового управління, а інші, зокрема проф. Ковальов В.В. [35], пропонують чітке структурування послідовності управлінських зусиль.
Базуючись на викладених вище теоретичних засадах, антикризове управління підприємством має здійснюватись поетапно та передбачати послідовність дій, які показано на рис. 13.3.1.
Зміст кожного етапу процесу антикризового управління полягає у нижчезазначеному.
1 етап - діагностика кризового стану і загрози банкрутства підприємства. Діагностика кризового стану і загрози банкрутства підприємства може здійснюватися або безпосередньо співробітниками підприємства або зовнішніми незалежними експертами. Другий варіант визнається як більш дієвий. На цьому етапі роботи шляхом використання спеціальних прийомів і методів дослідження необхідно:
1) здійснити комплексний аналіз результатів господарсько-фінансової діяльності та фінансово-майнового становища підприємства, вивчити динаміку найважливіших обсягових (обсяги виробництва та реалізації продукції (товарів, робіт, послуг), доходів, витрат, прибутку активів та капіталу) та якісних показників діяльності (рентабельності, ліквідності, оборотності, фінансової стійкості підприємства);
2) оцінити ритмічність і синхронність грошових потоків;

Рис.13.3.1. Концептуальна модель процесу антикризового управління підприємством
3) розміри та періодичність виникнення дефіциту грошових коштів;
4) визначити обсяг, структуру і час погашення зовнішніх фінансових зобов'язань;
5) визначити основні причини виникнення та поглиблення кризи розвитку підприємства;
6) оцінити масштаб і можливі наслідки подальшого поглиблення кризових явищ, ймовірність і терміни виникнення ситуації банкрутства;
7) здійснити аналіз і прогнозування розвитку ринкової ситуації для визначення сприятливості зовнішнього середовища для подолання кризи;
8) оцінити внутрішні можливості підприємства щодо локалізації та подолання кризових явищ.
Проведення описаного комплексу досліджень надає можливість сформувати необхідне аналітичне підґрунтя для подальшої роботи.
2 етап - визначення мети і завдань антикризового управління. Результати проведеної діагностики дозволяють визначити глиби ну кризи, яка охопила підприємство, а отже - визначити мету та завдання антикризового управління. Залежно від глибини кризи такими завданнями можуть бути:
- виведення підприємства зі стану юридичного банкрутства;
- недопущення виникнення ситуації банкрутства;
- локалізація кризових явищ;
- фінансова стабілізація;
- запобігання повторенню кризи.
Розрізняють поточні (актуальні) та наступні завдання антикризового управління. Поточне (актуальне) завдання визначається після проведення діагностики кризи та відповідає певній фазі кризи. Наведені завдання антикризового управління є головними або першочерговими. їх виконання свідчить про зменшення глибини кризи і припускає перехід до виконання наступних завдань антикризового управління (за ступенем черговості), аж до повного виходу з неї. Тобто кожне наступне завдання у наведеному ланцюгу завдань стає актуальним після реалізації завдань попереднього етапу.
3 етап - визначення суб'єкта антикризової діяльності. На цьому етапі роботи необхідно визначити суб'єкт, який бере на себе відповідальність за розробку і реалізацію антикризових процедур, встановити його повноваження стосовно розробки та впровадження антикризової програми.
Проблематичною визнається розробка заходів щодо виведення підприємств з кризи тими ж особами (або командою менеджерів), діяльність або бездіяльність яких зумовила її появу. Тому, як правило, успішна нормалізація діяльності можлива за умови зміни вищого керівництва або, як мінімум, шляхом залучення до розробки антикризової програми молодих кадрів середньої ланки управління. Новизна і неординарність їхнього мислення можуть стати серйозною підтримкою вищому керівництву, забезпечити розробку ефективного плану виходу з кризи.
У країнах з розвиненою ринковою економікою для виконання цієї роботи використовують позаштатних професіоналів-фахівців з питань неспроможності або антикризових керуючих (у багатьох державах їх називають синдиками, в українському професійному сленгу - „ліквідаторами" або „чистильниками"). Оскільки ефективність даної роботи багато в чому визначається досвідом і професіоналізмом запрошених фахівців, їх пошук і залучення до співпраці є необхідним етапом процесу антикризового управління.
4 етап - оцінка часових обмежень процесу антикризового управління, які визначаються часом, наявним у підприємства до порушення справи про банкрутство і адміністративного обмеження повноважень існуючого керівництва.
Часові обмеження антикризових процедур визначаються інтенсивністю поширення кризових явищ. Розуміння цього обумовлює недопущення подальшого поглиблення кризи, оскільки подолання більш глибокої кризи пов'язане з більш значними витратами і труднощами.
У разі реальної загрози ініціювання банкрутства, фактор часу стає жорстко лімітованим обмеженням, набуває центрального значення. Це визначає необхідність прогнозування ймовірного терміну банкрутства.
Якщо за відправну точку взяти день можливого невиконання зобов'язань перед і-м кредитором, то виникнення ситуації банкрутства може мати місце як мінімум через 160 днів. Такий часовий лаг пояснюється існуючою процедурою порушення справи про банкрутство [2, 6]:
30 днів - час відповіді на офіційне письмове звернення кредитора з вимогою виконання фінансових зобов'язань;
30 днів - час відповіді на претензію кредитора;
30 днів - час розгляду в судовому порядку позову кредитора через невиконання фінансових зобов'язань і одержання рішення про стягнення боргу;
10 днів - час набуття чинності рішення суду про стягнення боргу з боржника;
30 днів - час на виконання судового рішення щодо виконання строкового зобов'язання (перерахування суми боргу кредиторові);
30 днів - час до порушення справи про банкрутство після подання заяви кредиторів.
5 етап - оцінка ресурсного потенціалу антикризового управління. У сучасній економічній літературі підприємство розглядається як система ресурсів, що взаємодіють між собою і забезпечують досягнення певних результатів, мети діяльності. Основними видами використовуваних ресурсів є: технічні, технологічні, кадрові, просторові, ресурси організаційної структури системи управління, інформаційні, фінансові тощо (для торговельних підприємств - товарні ресурси).
Кожний із зазначених видів ресурсів являє собою сукупність можливостей функціонування підприємства та досягнення стратегічних цілей його діяльності. Існуючі потенційні можливості у підприємства при найбільш ефективному використанні наявних у його розпорядженні ресурсів являють собою ресурсний потенціал підприємства.
Оцінюючи ресурсний потенціал підприємства у процесі антикризового управління, необхідно звернути увагу на такі його характеристики:
- достатність ресурсів для вирішення поставлених завдань та комплексність ресурсного потенціалу;
- гнучкість і адаптованість ресурсного потенціалу, що визначає спромогність підприємства до інновацій;
- перспективність ресурсного потенціалу або наявність життєздатного ядра.
Таким чином, ресурсний потенціал також є лімітуючим обмеженням антикризового процесу. Жорсткість цього обмеження визначається рядом факторів:
1) можливістю вивільнення ліквідних коштів внаслідок іммобілізації оборотних і поза оборотних активів підприємства (природної, здійснюваної в перебігу операційного циклу, або насильницької, внаслідок прийняття рішення про продаж окремих елементів майна);
2) можливістю одержання додаткових зовнішніх фінансових ресурсів (додаткових кредитів, позик, здійснення випуску акцій та облігацій, поповнення статутного фонду за рахунок грошових фінансів та інше) або одержання відстрочки повернення (пролонгації) отриманих раніше;
3) конкурентним статусом підприємства, що визначається сукупністю внутрішніх можливостей підприємства з генерування потоків грошових коштів, необхідних для розрахунку по зовнішніх зобов'язаннях і продовження самотінансування діяльності. Даний фактор є найскладнішим і комплексним, оскільки визначає спроможність підприємства не тільки до ліквідації загрози банкрутства, але й до усунення глибинних причин кризових явищ.
6 етап - розробка антикризової програми підприємства, яка являє собою обґрунтовану сукупність заходів, що мають бути вжиті для досягнення визначених цілей та задач антикризового управління, її зміст обумовлюється результатами проведеної діагностики, часовими та ресурсними обмеженнями антикризового процесу. У складі програми зазвичай виділяються окремі антикризові політики, тобто сукупність дій, засобів та інструментів досягнення певних завдань.
У сучасній економічній літературі антикризові заходи і політику прийнято класифікувати по-різному. Так, виокремлюють тактичні і стратегічні рішення, оборонні і наступальні дії, механізми оперативної, тактичної і стратегічної фінансової стабілізації, вжиття негайних заходів та корпоративні відновлювальні стратегії тощо.
Не сформувалося загальновизнаної точки зору на послідовність (черговість) застосування тих чи інших антикризових процедур, оптимальну норму співвідношення між ними. Багато дослідників акцентують увагу на необхідності поєднання стратегії і тактики антикризового управління, диференціюють час проведення окремих політик.
У роботі [46] поєднання стратегічного і тактичного підходу до антикризового управління подано у вигляді окремих часових інтервалів запобігання, недопущення і виходу з кризи, які визначені залежно від інтенсивності наростання кризових явищ. Необхідність адекватності антикризових дій глибині кризи передбачена і в роботі [44], де визначені основні етапи фінансової стабілізації (усунення неплатоспроможності; відновлення фінансової стійкості; зміна фінансової стратегії з метою прискорення економічного зростання) та розкрито систему заходів, характерних для кожного з них.
Чітке ранжирування тих чи інших антикризових заходів за терміном не є виправданим і життєздатним. У практичному житті неможливо чітко визначити день „X", що є межею їх застосування. Залежно від фази кризи, жорсткості часових та ресурсних обмежень в антикризовій програмі підприємства має бути знайдене оптимальне поєднання оперативних, тактичних і стратегічних рішень. Раціональне співвідношення між оперативними, тактичними і стратегічними заходами щодо виведення підприємства з кризи пропонується визначати залежно від характеру прояву часових і ресурсних обмежень антикризового процесу.
7 етап - впровадження антикризової програми і контроль за її виконанням. Найважливішою управлінською функцією на етапі безпосереднього проведення запланованих заходів є організація контролю за перебігом виконання розробленої антикризової програми для своєчасного вжиття заходів щодо модернізації або корегування раніше розробленої політики (процедур, заходів) у зв'язку з не прогнозованими збуреннями у внутрішньому і зовнішньому середовищі та поведінкою окремих кредиторів.
Система контролю має забезпечувати, по-перше, відстеження динаміки зовнішніх проявів кризових явищ, причин і факторів розвитку кризи, інтегральних показників кризового стану; по-друге, оцінку результатів вжитих антикризових заходів (за їх характером, термінами, наслідками реалізації).
8 етап - розробка і реалізація профілактичних заходів щодо запобігання повторенню кризи. Метою цього етапу процесу антикризового управління є створення або модернізація основних елементів системи протидії банкрутству на рівні підприємства, розробка та реалізація профілактичних заходів щодо запобігання повторенню кризи в майбутньому.
З цією метою мають бути внесені відповідні зміни в основні функціональні стратегії та політики підприємства: управління грошовим оборотом та запасами, господарським ризиком; формування та використання прибутку, закупівля товарно-матеріальних ресурсів, управління дебіторською заборгованістю, залучення кредитних ресурсів, інвестиційну та інші політики, пов'язані з генеруванням або витрачанням грошових коштів. Зміни, що вносяться, мають враховувати передові технології, засоби та інструменти управління економічними процесами, забезпечити високоефективну і сталу роботу підприємства в майбутньому.
Виходячи з інформаційного забезпечення розрахунку показників-індика-торів, виокремлюються показники експрес - та фундаментальної діагностики.
До складу показників експрес-діагностики включають оціночні показники, що розраховуються тільки на підставі затверджених форм фінансової, статистичної та податкової звітності підприємства. Ці показники можуть бути швидко розраховані будь-яким стороннім дослідником (органами державного контролю, кредиторами, господарськими партнерами тощо). Фундаментальна діагностика потребує більш складного інформаційного забезпечення у вигляді матеріалів управлінського обліку та результатів спеціальних обстежень (рис. 13.3.2).


Рис.13.3.2. Система оціночних показників – індикаторів кризового стану та загрози банкрутства підприємства за функціональним спрямуванням
У складі показників експрес-діагностики залежно від виду звітності, що використовуються, можна відокремити наступні аналітичні підсистеми:
1) показники, які розраховуються щоквартально та за підсумками року виключно на базі даних фінансової звітності;
2) показники, розрахунок яких базується на спільному використанні форм фінансової та статистичної звітності, зокрема ф.№1-Б „Звіт про фінансові результати, дебіторську та кредиторську заборгованість" (місячна), яка містить інформацію про обсяг простроченої кредиторської заборгованості підприємствва;
3) показники, які розраховуються на базі податкової звітності; на відміну від 2-х попередніх підсистем ці показники розраховуються за матеріалами податкового обліку та передбачають використання специфічних показників, перелік та методика розрахунку яких визначена відповідними нормативно-інструктивними матеріалами [44].
Виходячи з функціонального спрямування, показники-індикатори кризи традиційно об'єднуються у 4-ти підгрупи:
1) стан ліквідності,
2) структура капіталу,
3) оборотність,
4) рентабельність.
Перелік показників кожної групи є достатньо різноманітним та дискусійним. Більш того, в різних дослідженнях пропонуються різні назви одного показника (за однакового алгоритму) та різні алгоритми розрахунку (за однакової назви).
Залежно від призначення (сфери застосування) показників виокремлюються показники поточної і майбутньої загрози банкрутства.
Розрахунок показників поточної загрози банкрутства дає змогу оцінити загрозу порушення передбачених законодавством про банкрутство термінів виконання фінансових зобов'язань (задоволення претензій кредиторів) за рахунок наявних високоліквідних активів або наявність передумов для ініціювання судових процедур (з боку кредиторів - наявність заборгованості, термін сплати якої минув, з боку самого підприємства - поточна збитковість та часткова втрата власного капіталу). До складу цієї групи доцільно включати показники, що мають еталонний мінімум або критичне значення. Якщо рівень цих показників нижчий еталонного (критичного) - поточний стан підприємства діагностується як неблагополучний, а рівень поточної загрози банкрутства - високий.
Оцінка рівня майбутньої загрози банкрутства може здійснюватися за допомогою дослідження динаміки показників структури капіталу, оборотності та прибутковості за ряд періодів. Стабільна тенденція до зниження рівня цих показників свідчить про зростаючу загрозу банкрутства підприємства, що може реалізуватися в майбутньому періоді. Порівняння абсолютних значень показників із середньогалузевим дає можливість встановити, як швидко „відкладена загроза банкрутства" може стати наявною.
13.4 Механізм фінансової санації підприємства
Згідно з Законом України "Про відновлення платоспроможності боржника або визнання його банкрутом" [7] порушення нормального фінансово-економічного процесу функціонування підприємства та тимчасова втрата платоспроможності приводить до ініціювання кредиторами процесів санація, відновлення платоспроможності чи банкрутства підприємства.
Досудова санація - система заходів щодо відновлення платоспроможності боржника, які може здійснювати власник майна (орган, уповноважений управляти майном) боржника, інвестор, з метою запобігання банкрутству боржника шляхом реорганізаційних, організаційно-господарських, управлінських, інвестиційних, технічних, фінансово-економічних, правових заходів відповідно до законодавства до початку порушення провадження у справі про банкрутство.
Санація - система заходів, що здійснюються під час провадження у справі про банкрутство з метою запобігання визнання боржника банкрутом та його ліквідації, спрямована на оздоровлення фінансово-господарського становища боржника, а також задоволення в повному обсязі або частково вимог кредиторів шляхом кредитування, реструктуризації підприємства, боргів і капіталу та (або) зміну організаційно-правової та виробничої структури боржника;
Згідно із методикою[1] , план фінансового оздоровлення (санації) підприємства складається зі вступу та чотирьох розділів.
У вступі відображається загальна характеристика об'єкта планування, подаються відомості про правову форму організації бізнесу, форму власності, організаційну структуру, сфери діяльності та коротка історична довідка про розвиток підприємства.
У першому розділі відображається вихідна ситуація на підприємстві.
Аналіз вихідних даних включає такі підрозділи:
а) Оцінка зовнішніх умов.
б) Аналіз фінансово-господарського стану.
в) Аналіз причин фінансової кризи та слабких місць.
г) Наявний потенціал.
На підставі аналізу вихідної ситуації робиться висновок про доцільність санації підприємства чи про необхідність його ліквідації.
У другому розділі плану замальовуються стратегічні цілі санації, цільові орієнтири та розробляється стратегія санації підприємства.
Розділ 3 є основною частиною плану санації. Це конкретний план заходів для відновлення прибутковості та конкурентоспроможності підприємства в довгостроковому періоді.
Розділ 4 містить розрахунок ефективності санації, а також перелік організаційних заходів щодо реалізації плану та контролю за ходом реалізації.
Банкрутство підприємств - це наслідок глибокої фінансової кризи. Під фінансовою кризою розуміють фазу розбалансованої діяльності підприємства та обмежених можливостей впливу його керівництва на фінансові відносини. На практиці з кризою, як правило, ідентифікується загроза неплатоспроможності та банкрутства підприємства, діяльність його в неприбутковій зоні або брак у фірми потенціалу для успішного функціонування. З позиції фінансового менеджменту кризовий стан підприємства полягає в його неспроможності здійснювати фінансове забезпечення поточної виробничої діяльності. Фінансову кризу на підприємстві характеризують за трьома параметрами: джерела (фактори) виникнення; вид кризи; стадія розвитку кризи. Ідентифікація вказаних ознак уможливлює правильне визначення діагнозу фінансової неспроможності підприємства та підбір найефективніших санаційних заходів. Для цього передовсім необхідно ідентифікувати причини фінансової неспроможності суб'єкта господарювання.
Виділяють такі види криз:
- стратегічна криза (коли на підприємстві зруйновано виробничий потенціал та бракує довгострокових факторів успіху);
- криза прибутковості (перманентні збитки "з'їдають" власний капітал і це призводить до незадовільної структури балансу);
- криза ліквідності (коли підприємство є неплатоспроможним або існує реальна загроза втрати платоспроможності).
Важливою передумовою застосування правильних антикризових заходів є ідентифікація глибини фінансової кризи. Розрізняють три фази кризи:
а) фаза, яка безпосередньо не загрожує функціонуванню підприємства (за умови переведення його на режим антикризового управління);
б) фаза, яка загрожує дальшому існуванню підприємства і потребує негайного проведення фінансової санації;
в) кризовий стан, який не сумісний з існуванням підприємства і призводить до його ліквідації.
Ідентифікація фази фінансової кризи є необхідною передумовою правильної та своєчасної реакції на неї. Головним критерієм прийняття рішення щодо санації чи ліквідації підприємства є його санаційна спроможність. Санаційна спроможність - це наявність у підприємства, що перебуває у фінансовій кризі, фінансових, організаційно-технічних та правових можливостей, які визначають здатність до успішного проведення його фінансової санації.
Заходами щодо відновлення платоспроможності боржника, які містять план санації, можуть бути[2] :
- реструктуризація підприємства;
- перепрофілювання виробництва;
- закриття нерентабельних виробництв;
- відстрочка та (або) розстрочка платежів або прощення (списання) частини боргів, про що укладається мирова угода;
- ліквідація дебіторської заборгованості;
- продаж частини майна боржника;
- зобов'язання інвестора про погашення боргу (частини боргу) боржника, зокрема шляхом переведення на нього боргу (частини боргу) та його відповідальність за невиконання взятих на себе зобов'язань;
- виконання зобов'язань боржника власником майна боржника та його відповідальність за невиконання взятих на себе зобов'язань;
- продаж майна боржника як цілісного майнового комплексу (для недержавних підприємств);
- одержання кредиту для виплати вихідної допомоги працівникам боржника, які звільняються згідно з планом санації, який відшкодовується в першу чергу за рахунок реалізації майна боржника;
- звільнення працівників боржника, які не можуть бути задіяні в процесі реалізації плану санації. Вихідна допомога у цьому разі виплачується за рахунок інвестора, а за його відсутності - за рахунок реалізації майна боржника або за рахунок кредиту, одержаного для цієї мети;
- інші заходи відновлення платоспроможності боржника.
13.5 Причини кризи, її види та фази розвитку
Причинами банкрутства є виникнення фінансової кризи на підприємстві, під якою розуміють загрозу неплатоспроможності, діяльність підприємства в неприбутковій зоні, відсутність у фірми потенціалу успішного функціонування. Для прогнозування та аналізу, з метою можливого подолання, фінансової кризи на підприємстві, дуже важливим є розуміння причин її виникнення. Світовий досвід містить наступний перелік можливих причин виникнення фінансової кризи [42]:
- недостатність оборотнім коштів;
- застаріле обладнання;
- прострочена велика кредиторська та дебіторська заборгованість;
- не конкурентоспроможність продукції;
- низький рівень кваліфікації персоналу;
- криза галузі;
- форс-мажорні обставини;
- податковий тиск;
- державне втручання в економіку;
- зриви поставки сировини;
- нестабільність фінансового ринку;
- несприятлива кон’юнктура ринку;
- відсутність стратегії;
- низький рівень менеджменту;
- посилення конкуренції в галузі або монополізм;
- зайві робочі місця.
Причини поділяються на внутрішні (екзогенні) та зовнішні (ендогенні).
Як правило, сукупність деяких зазначених причин може призвести до таких негативних наслідків:
- втрата клієнтів та покупців готової продукції;
- зменшення кількості замовлення та контрактів на продаж;
- втрата робочого часу;
- підвищення собівартості продукції;
- збільшення розміру неліквідних товарів;
- підвищення тиску на ціни;
- виникнення виробничих конфліктів.
З метою швидкої ідентифікації фінансової кризи, виявлення причин, що неї визначаються, і розробки антикризових заходів на підприємствах доцільно впроваджувати систему раннього попередження і реагування (СРПР). Система раннього попередження і реагування — це особлива інформаційна система, що сигналізує керівництву про потенційні ризики, що можуть насуватися на підприємство як із зовнішнього, так і з внутрішнього середовища.
Рис.13.5.1. Схематичне переростання фінансової кризи в банкрутство
підприємства
13.6 Діагностика фінансового стану підприємства
Процес створення системи раннього попередження та реагування включає в себе такі етапи [42]:
I етап – визначення сфер спостереження;
II етап – визначення індикаторів раннього попередження (обсяг реалізації, рівень періодичних платежів, кредиторська та дебіторська заборгованість);
III етап – визначення цільових показників;
IV етап – формування центрів обробки інформації;
V етап – формування інформаційних каналів;
Розрізняють дві підсистеми СРПР: систему, зорієнтовану на внутрішні параметри діяльності підприємства, і систему, зорієнтовану на зовнішнє середовище. Внутрішньо зорієнтована підсистема СРПР спрямована на ідентифікацію ризиків і шансів, що ховаються усередині підприємства. У своєму розвитку ця підсистема дійшла вже до третього покоління. Системи першого покоління були зорієнтовані на ідентифікацію наслідків дії тих чи інших факторів; другого — на визначення симптомів; третього — на виявлення першопричин. Одним з найважливіших інструментів системи раннього попередження банкрутства підприємств і методом його прогнозування є дискримінантний аналіз. Зміст дискримінантного аналізу полягає в тому, що за допомогою статистичних методів будується функція й обчислюється інтегральний показник, на підставі якого з достатньою імовірністю можна передбачити банкрутство суб'єкта господарювання.
Існує багато підходів до прогнозування фінансової неплатоспроможності суб'єктів господарювання. Будь-яка методика оцінювання кредитоспроможності є, по суті, методикою прогнозування банкрутства. У закордонній практиці поширення придбали дві моделі — Альтмана і Спрингейта, названі на честь їхніх авторів [34].
Модель Альтмана (розроблена в 1968 році і відома також за назвою «розрахунок Z-показника» — інтегрального показника рівня погрози):
(13.6.1)
де Х1 = (Поточні активи - Поточні пасиви) / Обсяг активу;
Х2 = Нерозподілений прибуток / Обсяг активу;
Х3 = Прибуток до виплати відсотків / Обсяг активу;
Х4 = Ринкова вартість власного капіталу / Позикові засоби;
Х5 = Виторг від реалізації / Обсяг активу;
При Z < 1,8 - імовірність банкрутства дуже висока;
1,8 < Z < 2,7 - імовірність банкрутства середня;
2,7 < Z < 2,99 - імовірність банкрутства невелика;
Z > 2,99 - імовірність банкрутства незначна.
Методичні рекомендації Міністерства економіки України [10] розроблені з метою забезпечення однозначності підходів при оцінці фінансово-господарського стану підприємств, виявленні ознак поточної, критичної чи надкритичної їх неплатоспроможності та ознак дій, передбачених статтями 1562 - 1564 Кримінального кодексу України, - приховування банкрутства, фіктивного банкрутства чи доведення до банкрутства, а також для своєчасного виявлення формування незадовільної структури балансу для здійснення випереджувальних заходів щодо запобігання банкрутству підприємств [19],[20].
Поточною неплатоспроможністю може характеризуватися фінансовий стан будь-якого підприємства, якщо на конкретний момент через випадковий збіг обставин тимчасово суми наявних у нього коштів і високоліквідних активів недостатньо для погашення поточного боргу, що відповідає законодавчому визначенню, як неспроможність суб'єкта підприємницької діяльності виконати грошові зобов'язання перед кредиторами після настання встановленого строку їх сплати, у тому числі із заробітної плати, а також виконати зобов'язання щодо сплати податків і зборів (обов'язкових платежів) не інакше, як через відновлення платоспроможності.
Економічним показником ознак поточної платоспроможності (Пп) при наявності простроченої кредиторської заборгованості є різниця між сумою наявних у підприємства грошових коштів, їх еквівалентів та інших високоліквідних активів і його поточних зобов'язань, що визначається за формулою:
Пп = А040 + А045 +А220 +А230 + А240 - П620
де А040 , А045 , А220 , А230 , А240 - відповідні рядки активу балансу;
П620 - підсумок IV розділу пасиву балансу.
Від'ємний результат алгебраїчної суми зазначених статей балансу свідчить про поточну неплатоспроможність суб'єкта підприємницької діяльності.
Фінансовий стан підприємства, у якого на початку і в кінці звітного кварталу мають місце ознаки поточної неплатоспроможності, відповідає законодавчому визначенню боржника, який неспроможний виконати свої грошові зобов'язання перед кредиторами, у тому числі зобов'язання щодо сплати податків і зборів (обов'язкових платежів), протягом трьох місяців після настання встановленого строку їх сплати.
Ознаки критичної неплатоспроможності, що відповідають фінансовому стану потенційного банкрутства, мають місце, якщо на початку і в кінці звітного кварталу, що передував поданню заяви про порушення справи про банкрутство, мають місце ознаки поточної неплатоспроможності, а коефіцієнт покриття (Кп) і коефіцієнт забезпечення власними засобами (Кз) у кінці звітного кварталу менше їх нормативних значень - 1,5 і 0,1 відповідно.
Коефіцієнт покриття характеризує достатність оборотних коштів підприємства для погашення своїх боргів і визначається, як відношення суми оборотних коштів до загальної суми поточних зобов'язань за кредитами банку, інших позикових коштів і розрахунків з кредиторами.
Коефіцієнт покриття визначається за формулою[23]:
Кп = А260 : П620
де А620 - підсумок II розділу активу балансу.
Коефіцієнт забезпечення власними засобами характеризує наявність власних оборотних коштів у підприємства, необхідних для його фінансової сталості, і визначається, як відношення різниці між обсягами джерел власних та прирівняних до них коштів і фактичною вартістю основних засобів та інших необоротних активів до вартості наявних у підприємства оборотних активів - виробничих запасів, незавершеного виробництва, готової продукції, грошових коштів, дебіторської заборгованості та інших оборотних активів.
Коефіцієнт забезпечення власними засобами визначається за формулою:
Кп = А260 : П620
де П380 - підсумок розділу I пасиву балансу;
А080 , А260 - підсумки I і II розділів активу балансу відповідно.
Якщо в кінці звітного кварталу хоча б один із зазначених коефіцієнтів (Кп або Кз) перевищує його нормативне значення або протягом звітного кварталу спостерігається їх зростання, перевага повинна надаватися позасудовим заходам відновлення платоспроможності боржника або його санації в процесі провадження справи про банкрутство.
Якщо протягом терміну, установленого планом санації боржника, забезпечується позитивний показник поточної платоспроможності і перевищення нормативного значення коефіцієнта покриття (Кп > 1,5) при наявності тенденції зростання рентабельності, платоспроможність боржника може вважатися відновленою (відсутні ознаки потенційного банкрутства).
Якщо за підсумками року коефіцієнт покриття менше 1 і підприємство не отримало прибутку, то такий його фінансовий стан характеризується ознаками надкритичної неплатоспроможності, коли задоволення визнаних судом вимог кредиторів можливе не інакше, як через застосування ліквідаційної процедури.
Якщо на початку звітного періоду, що передував поданню заяви до арбітражного суду про порушення справи про банкрутство, були відсутні ознаки надкритичної неплатоспроможності, тобто, фактичний коефіцієнт покриття перевищував 1 при нульовій або позитивній рентабельності, це може свідчити про наявність ознак фіктивного банкрутства.
Економічними ознаками дій щодо доведення до банкрутства може вважатися таке фінансове становище боржника, якщо підприємство не мало ознак надкритичної неплатоспроможності напередодні виконання угод, укладених з корисливих мотивів. Якщо на окремих стадіях провадження у справі про банкрутство буде встановлено, що боржником подані недостовірні відомості про своє майно в бухгалтерському балансі або в інших документах, що свідчать про його фінансове та майнове становище, яке фактично характеризується ознаками надкритичної неплатоспроможності, у таких випадках можуть мати місце ознаки щодо приховування банкрутства.
З метою своєчасного виявлення тенденцій формування незадовільної структури балансу у прибутково працюючого суб'єкта підприємницької діяльності і вжиття випереджувальних заходів, спрямованих на запобігання банкрутству, проводиться систематичний експрес-аналіз фінансового стану підприємств (фінансовий моніторинг) за допомогою коефіцієнта Бівера.
Коефіцієнт Бівера розраховується, як відношення різниці між чистим прибутком і нарахованою амортизацією до суми довгострокових і поточних зобов'язань, за формулою:
Кб = (Ф220 - Ф260 ) : (П480 + П620 )
де Кб - коефіцієнт Бівера;
Ф220 і Ф260 - чистий прибуток і амортизація, наведені у рядках 220 і 260 форми N 2 "Звіт про фінансові результати" відповідно;
П480 і П620 - довгострокові і поточні зобов'язання (підсумки розділів III і IV),наведені у рядках 480 і 620 форми N 1 "Баланс".
Ознакою формування незадовільної структури балансу є таке фінансове становище підприємства, у якого протягом тривалого часу (1,5 - 2 роки) коефіцієнт Бівера не перевищує 0,2, що відображає небажане скорочення частки прибутку, яка направляється на розвиток виробництва. Така тенденція в кінцевому випадку призводить до незадовільної структури балансу, коли підприємство починає працювати в борг і його коефіцієнт забезпечення власними засобами стає меншим 0,1.
13.7 Санаційна концепція та каталог заходів з фінансової санації
План санації підприємства-боржника може містити такі розділи та підрозділи [42]:
1. Попередня історія (оглядово).
1.1. Коротка історія, реквізити підприємства;
1.2. Інформація про власників акцій;
1.3. Організаційна структура, наявність дочірніх підприємств, філій, представництв та інших відокремлених структурних підрозділів.
1.4. Короткий огляд продукції, цін та ринків;
1.5. Фінансово-майновий стан підприємства-боржника за останній звітний період;
1.6. Цілі реструктуризації.
2. Матеріали руху готівки за попередні 12 місяців роботи.
3. Аналіз ліквідації (сума грошей, яку можна отримати після продажу активів з метою сплати боргів).
4. Структура боргу.
4.1. Загальна сума боргу та кількість кредиторів;
4.2. Структура зростання кредиторської заборгованості поквартально (наскільки застарілими є борги);
4.3. Черговість виплати боргів кредиторам;
4.4. Сума боргів важливим і неважливим постачальникам;
4.5. Ставлення важливих постачальників (їхня готовність до співпраці та ймовірність підтримки ними реструктуризації).
5. Пропозиції щодо операційної реструктуризації, розрахунок необхідних коштів для реалізації заходів.
6. Пропозиції щодо заходів з фінансової реструктуризації та джерел фінансування.
6.1. Відстрочення боргів (скільки та якими кредиторами);
6.2. Прощення боргів (скільки та якими кредиторами);
6.3. Інші заходи з внутрішнього фінансування (мораторій на сплату боргів, продаж активів та обмін активів на борги);
6.4. Умови участі інвесторів і кредиторів у проведенні санації (набуття права власності на майно підприємства, розпорядження частиною його продукції, оренда майна підприємства, задоволення вимог кредиторів шляхом переведення боргу на інвесторів тощо);
6.5. Загальні результати заходів з фінансової реструктуризації (коли закінчується період реструктуризації, скільки боргів сплачено і коли).
7. Прогноз фінансових результатів для підприємства, що hеструктуризується.
7.1. Прогноз прибутків та збитків на декілька років вперед;
7.2. Прогноз руху готівки на декілька років вперед.
8. Заключне порівняння для кредиторів: реструктуризація проти ліквідації.
8.1. Борги, які може бути сплачено за кожним з варіантів розвитку;
8.2. Тривалі відносини з постачальниками, сплата податків та інших обов'язкових платежів до державного бюджету, виплата зарплати працівникам;
8.3. Структура підприємства-боржника після відновлення його платоспроможності.
13.8 Ефективність санаційних заходів, що впливають на поліпшення конкурентоспроможності та ліквідності підприємства
Враховуючи :
- низьку рентабельність власного капіталу (2,2%) по чистому прибутку;
- наростаючу загрозу банкрутства підприємства ТОВ «Сніговик-Плюс»;
- проблеми з негайною платоспроможністю підприємства (відсутність необхідного рівня готівкових коштів на розрахунковому рахунку);
- значні витрати підприємства на сплату відсотків за користування довгостроковими та короткостроковими банківськими кредитами;
- недостатній рівень власних коштів та, відповідно, недостатній рівень автономії;
- суттєве зниження обсягів продажу у 2008 – 2009 роках на фоні падіння споживчого ринку, як наслідку впливу світової фінансової кризи,
в якості санаційних заходів по підвищенню фінансової стійкості підприємства пропонується перехід на форму господарювання – відкрите акціонерне товариство (ВАТ) з додатковою емісією акцій на суму 2,0 млн.грн., що дозволить:
- суттєво підняти рівень коефіцієнта термінової ліквідності за рахунок зростання готівкових коштів на розрахунковому рахунку;
- забезпечити різке зростання коефіцієнта автономії, що знизить ризик банкрутства підприємства за поданням кредиторів;
- повернення банківських кредитів, які надаються під занадто високий банківський відсоток, та заміну їх власним додатковим акціонерним капіталом;
13.9 Внутрішні та зовнішні резерви зміцнення фінансової стійкості підприємства
Внутрішні резерви для нарощування власного капіталу за рахунок прибутку підприємства використані повністю, але для підвищення фінансової стійкості підприємства необхідно залучити клас капіталу – «власний капітал», що можливо реалізувати тільки за рахунок переходу на форму господарювання – ВАТ та емісії акцій додаткового обсягу статутного капіталу. Таке залучення зовнішніх резервів фінансів є можливим за результатами проведеного фінансового аналізу, який показує можливість досягнення інвестиційної привабливості підприємства при перенаправленні 24-25% річних відсотків за користування кредитами банків в підвищення дивідендної доходності акціонерів створюваного ВАТ до ринкової норми прибутковості інвестицій – 20- 24% (по доходності держоблігацій).
13.10 Прогноз посилення фінансової стійкості підприємства
На рис.13.10.1 – 13.10.4 наведені результати прогнозів посилення фінансової стійкості підприємства ТОВ «Сніговик-Плюс» при впровадженні
санаційних заходів по підвищенню фінансової стійкості за рахунок переходу на форму господарювання – відкрите акціонерне товариство (ВАТ) з додатковою емісією акцій на суму 2,5 млн.грн..
Як показує аналіз графіків, наведених на рис.13.10.1 – 13.10.4, ступінь посилення фінансової стійкості характеризується наступними показниками:
1. Показник поточної абсолютної ліквідності зросте з фактичного рівня 0,08 у 2009 році до прогнозного рівня 0,287, що відповідає середині нормативного діапазону значень цього коефіцієнта ліквідності (0,2 - 0,35).
2. При зростанні обсягу власного статутного капіталу ТОВ з 884,8 тис.грн. до рівня статутного капіталу ВАТ 3 384,8 тис.грн. умовний рівень рентабельності власного статутного капіталу (дивідендна доходність акцій ВАТ) зросте за рахунок відсутності витрат на відсотки по банківським кредитам по результатам 2009 року з 2,2% до 10,8%, тобто зросте практично в 5 разів.
3. Поліпшення показника коефіцієнта фінансової автономії відповідає зростанню з рівня 0,439 у 2009 році до прогнозного рівня 0,687, що відповідає його знаходженню в діапазоні стійкого рівня (не менше 0,5) та різко знижує можливість зовнішньої ініціалізації банкрутства підприємства з боку кредиторів.
4. Поліпшення показника схильності до банкрутства по Альтману з рівня 2,283 у 2009 році до прогнозного рівня 3,278 ( при нормативному рівні мінімальної схильності до банкрутства не менше 2,99), відповідає суттєвому зростанню фінансової стійкості підприємства та мінімальній схильності джо банкрутства.

Рис.13.10.1. Прогноз поліпшення показників ліквідності ТОВ «Сніговик-Плюс» при нарощуванні статутного фонду при переході на форму ВАТ з емісією додаткових акцій у 2010 році

Рис.13.10.2. Прогноз змін показників рентабельності власного капіталу та реалізованої продукції по чистому прибутку після оподаткування в ТОВ «Сніговик-Плюс» при нарощуванні статутного фонду при переході на форму ВАТ з емісією додаткових акцій у 2010 році

Рис.13.10.3. Прогноз поліпшення показників коефіцієнта фінансової автономії та коефіцієнта забезпечення активів власним капіталом в ТОВ «Сніговик-Плюс» при нарощуванні статутного фонду при переході на форму ВАТ з емісією додаткових акцій у 2010 році

Рис.13.10.4. Прогноз зменшення ризику схильності до банкрутства ТОВ «Сніговик-Плюс» при нарощуванні статутного фонду при переході на форму ВАТ з емісією додаткових акцій у 2010 році
Висновки
Важливою передумовою застосування правильних антикризових санаційних заходів є ідентифікація глибини фінансової кризи на підприємстві. Проведений аналіз фінансового стану досліджуємого підприємства «Сніговик-Плюс» показав, що підприємство знаходиться в 1-й фазі кризи, яка безпосередньо не загрожує функціонуванню підприємства (за умови переведення його на режим санаційного антикризового управління).
Враховуючи за результатами економічної діагностики у ТОВ «Сніговик-Плюс»:
- низьку рентабельність власного капіталу (2,2%) по чистому прибутку;
- наростаючу загрозу банкрутства підприємства ТОВ «Сніговик-Плюс»;
- проблеми з негайною платоспроможністю підприємства (відсутність необхідного рівня готівкових коштів на розрахунковому рахунку);
- значні витрати підприємства на сплату відсотків за користування довгостроковими та короткостроковими банківськими кредитами;
- недостатній рівень власних коштів та, відповідно, недостатній рівень автономії;
- суттєве зниження обсягів продажу у 2008 – 2009 роках на фоні падіння споживчого ринку, як наслідку впливу світової фінансової кризи,
в якості санаційних заходів по підвищенню фінансової стійкості підприємства пропонується перехід на форму господарювання – відкрите акціонерне товариство (ВАТ) з додатковою емісією акцій на суму 2,5 млн.грн., що дозволить:
- суттєво підняти рівень коефіцієнта термінової ліквідності за рахунок зростання готівкових коштів на розрахунковому рахунку;
- забезпечити різке зростання коефіцієнта автономії, що знизить ризик банкрутства підприємства за поданням кредиторів;
- повернення банківських кредитів, які надаються під занадто високий банківський відсоток, та заміну їх власним додатковим акціонерним капіталом;
Внутрішні резерви для нарощування власного капіталу за рахунок прибутку підприємства використані повністю, але для підвищення фінансової стійкості підприємства необхідно залучити клас капіталу – «власний капітал», що можливо реалізувати тільки за рахунок переходу на форму господарювання – ВАТ та емісії акцій додаткового обсягу статутного капіталу. Таке залучення зовнішніх резервів фінансів є можливим за результатами проведеного фінансового аналізу, який показує можливість досягнення інвестиційної привабливості підприємства при перенаправленні 24-25% річних відсотків за користування кредитами банків в підвищення дивідендної доходності акціонерів створюваного ВАТ до ринкової норми прибутковості інвестицій – 20- 24% (по доходності держоблігацій).
Як показують результати прогнозів посилення фінансової стійкості під-приємства ТОВ «Сніговик-Плюс» при впровадженні санаційних заходів по підвищенню фінансової стійкості за рахунок переходу на форму господарювання – відкрите акціонерне товариство (ВАТ) з додатковою емісією акцій на суму 2,5 млн.грн., ступінь посилення фінансової стійкості характеризується наступними показниками:
1. Показник поточної абсолютної ліквідності зросте з фактичного рівня 0,08 у 2009 році до прогнозного рівня 0,287, що відповідає середині нормативного діапазону значень цього коефіцієнта ліквідності (0,2 - 0,35).
2. При зростанні обсягу власного статутного капіталу ТОВ з 884,8 тис.грн. до рівня статутного капіталу ВАТ 3 384,8 тис.грн. умовний рівень рентабельності власного статутного капіталу (дивідендна доходність акцій ВАТ) зросте за рахунок відсутності витрат на відсотки по банківським кредитам по результатам 2009 року з 2,2% до 10,8%, тобто зросте практично в 5 разів.
3. Поліпшення показника коефіцієнта фінансової автономії відповідає зростанню з рівня 0,439 у 2009 році до прогнозного рівня 0,687, що відповідає його знаходженню в діапазоні стійкого рівня (не менше 0,5) та різко знижує можливість зовнішньої ініціалізації банкрутства підприємства з боку кредиторів.
4. Поліпшення показника схильності до банкрутства по Альтману з рівня 2,283 у 2009 році до прогнозного рівня 3,278 ( при нормативному рівні мінімальної схильності до банкрутства не менше 2,99), відповідає суттєвому зростанню фінансової стійкості підприємства та мінімальній схильності джо банкрутства.
Таким чином, запропонована в дослідженні санаційна программа підвищення платоспроможності та фінансової стійкості підприємства ТОВ «Сніговик- Плюс» є дійовою та ефективною.
Список використаної літератури
1. Господарський кодекс України // від 16 січня 2003 року N 436-IV(діє з 01.01.2004)
2. Закон України “Про систему оподаткування в Україні” від 25.06.1991 N 1251-XII // Із змінами і доповненнями, внесеними Законами України станом від 17 листопада 2009 року N 1565-VI
3. Закон України „Про податок на додану вартість” від 3 квітня 1997 року N 168/97-ВР // Із змінами і доповненнями, внесеними Законами України станом змін від 22 грудня 2009 року N 1782-VI
4. Закон України “Про порядок погашення зобов'язань платників податків перед бюджетами і державними цільовими фондами” від 21.12.2000 № 2181-ІІІ //Із змінами і доповненнями, внесенимиЗаконами України станом від 24 липня 2009 року N 1617-VI
5. Закон України „Про оподаткування прибутку підприємств” від 22 травня 1997 р. N 283/97-ВР // Із змінами і доповненнями, внесеними Законами України станом змін від 21 серпня 2009 року N 1608-VI
6. Указ Президента України "Про спрощену систему оподаткування, обліку та звітності суб'єктів малого підприємництва" від 3 липня 1998 р. N 727/98 // Указом Президента України від 28 червня 1999 року N 746/99 цей Указ викладено у новій редакції
7. ЗАКОН УКРАЇНИ “Про відновлення платоспроможності боржника або визнання його банкрутом “ від 14 травня 1992 року N 2343-XII // із змінами станом від 14 грудня 2006 року N 3273-IV
8. Порядок проведення досудової санації державних підприємств // Постанова КМУ від 17 березня 2000 р. N 515
9. Положення про порядок проведення досудової санації господарських товариств, у статутних фондах яких державна частка перевищує 25 відсотків, та державних підприємств, щодо яких прийнято рішення про приватизацію //Наказ Фонду державного майна України від 12 жовтня 2001 року N 1865
10. Про Методичні рекомендації щодо виявлення ознак неплатоспроможності підприємства та ознак дій з приховування банкрутства, фіктивного банкрутства чи доведення до банкрутства // МІНІСТЕРСТВО ЕКОНОМІКИ УКРАЇНИ НАКАЗ від 17 січня 2001 року N 10
11. Про затвердження Методики інтегральної оцінки інвестиційної привабливості підприємств та організацій // Наказ Агентства з питань запобігання банкрутству підприємств та організацій від 23 лютого 1998 року N 22
12. Про затвердження Методики проведення поглибленого аналізу фінансово-господарського стану підприємств та організацій // Наказ Агентства з пи- тань запобігання банкрутству підприємств та організацій від 27 червня 1997 року N 81
13. Положення (стандарт) бухгалтерського обліку 1 "Загальні вимоги до фінансової звітності", Наказ Мінфіна України № 87 від 31.03.1999 + № 304 від 30.11.2000.
14. Положення (стандарт) бухгалтерського обліку 2 "Баланс", Наказ Мінфіна України № 87 від 31.03.1999 + № 304 від 30.11.2000.
15. Положення (стандарт) бухгалтерського обліку 3 " Звіт про фінансові результати «, Наказ Мінфіна України № 87 від 31.03.1999 + № 304 від 30.11.2000.
16. Положення про ведення касових операцій у національній валюті в Україні // Постанова Правління Національного банку України від 15.12.2004 року N 637 (Із змінами і доповненнями, внесеними постановами Правління Національного банку України станом від 29.04.2009 року N 252) – http://www.liga-zakon.net - - Комп’ютерна законодавчо-довідкова система законодавства України “Ліга-закон”, 2009
17. Інструкція про безготівкові розрахунки в Україні в національній валюті // Постанова Правління Національного банку України від 21.01. 2004 року N 22 (Із змінами і доповненнями, внесеними постановами Правління Національного банку України станом від 18.10.2006 N 407) – http://www.liga-zakon.net - - Комп’ютерна законодавчо-довідкова система законодавства України “Ліга-закон”, 2009
18. Інструкція про порядок відкриття, використання і закриття рахунків у національній та іноземних валютах // Постанова Правління Національного банку України від 12.11.2003 року N 492(Із змінами і доповненнями, внесеними постановами Правління Національного банку України станом від 05.01.2010 N 4) – http://www.liga-zakon.net - - Комп’ютерна законодавчо-довідкова система законодавства України “Ліга-закон”, 2009
19. Василенко В.О., Ткаченко Т.І. Стратегічний менеджмент: Навчальний посібник. - Київ: ЦУЛ, 2003. - 396 с.
20. Василенко В.О., Шостка В.І. Ситуаційний менеджмент: Навчальний посібник. - Київ: ЦУЛ, 2003. - 305 с.
21. Василенко В.О., Ткаченко Т.І. Стратегічне управління підприємством. Навчальний посібник. Вид.2-ге, виправл. І доп. За ред.Василенка В.О. – К.:Центр навчальної літератури, 2004.-400 с.
22. Василик О.Д. Податкова система України. Навч.посібник. – Київ, Видавництво:Поліграф книга, 2004. - 478 с.23. Ватуля І.Д. Податки, збори, платежі: Навч. посібник/ І.Д. Ватуля, М.І. Ватуля, Л.В. Рибалко. - К.: Центр навчальної літератури, 2006. - 352 с
24. Гаєвська Л. М., Фурманюк О. Л., Цимбалюк С. Я., Булгакова Г. А. Економіка підприємства: Навч. посібник для студ. вищ. навч. закл. - Ірпінь, 2001. — 144 с.
25. Гетьман О.О., Шаповал В.М. Економіка підприємства: навчальний посібник для студентів вищих навчальних закладів.- Київ, Центр навчальної літератури, 2006. – 488 с.
26. Голов С. Класифікація витрат і методи калькулювання собівартості в управлінському обліку // Податкове планування. – 2006. -№ 1,2.
27. Гончаров С.І. Економіка підприємств: Учбовий посібник.-Вид.2-геперероб.та доп. -Дніпропетровськ: Пороги, 2003. - 174 с..
28. Грещак М.Г., Гребешкова О.М.,Коцюба О.С. Внутрішній економічний механізм підприємства : Навч.посібник. – К.: КНЕУ,2001 – 228 с.
29. Захожай В.Б., Литвиненко Я.В., Захожай К.В., Литвиненко Р.Я. Система оподаткування та податкова політика. Навч.посібник. –Київ, Видавництво:Центр навч. л-ри, 2006. – 468 с.
30. Економіка підприємства: Підручник / За заг. ред. д-ра екон. наук, проф. С.Ф. Покропивного. – К.: КНЕУ, 2003. – 608 с.
31. Економіка підприємства: опорний конспект лекцій / Н.М.Ушакова, Л.О.Лігоненко,М.М.Скотнікова – К., КНТЕУ, 2002. – 187 с.
32. Економіка підприємства: Навч.-метод. посібник для самост. вивч. дисц./ І .О.Швиданенко, С.Ф.Покропивний, С.М.Клименко та ін. - К.: КНЕУ, 2000 -248 с
33. Івашенко В.І., Болюх М.А. Економічний аналіз господарської діяльності.-Київ:НІЧЛАВА,2001.-204 с.
34. Ізмайлова К.В. Фінансовий аналіз.-Київ:МАУП,2000.-152 с.
35. Ковалев В. В. Финансовый менеджмент: теория и практика : научное издание / В. В. Ковалев. - 2-е изд., перераб. и доп. - М. : Проспект, 2007. - 1024 с.
36. Коробов М.Я. Фінансово-економічний аналіз діяльності підприємств.-Київ:Знання,2002.-294 с.
37. Крамаренко Г.О., Чорна О.Є. Фінансовий менеджмент.- Киів: Центр навчальної літератури, 2006р. -520с.
38. Мних Є.В. Економічний аналіз: Підручник. - Київ: Центр навчальної літератури, 2003. - 412 с.
39. Савицька Г.В. Економічний аналіз діяльності підприємства.-Київ: Знання,2005.-662 с.
40. Савчук В.П. Фінансовий менеджмент підприємств: прикладні питання з аналізом ділових ситуацій. - К.: Видавничий будинок "Максимус", 2001. - 600 с.
41. Соляник Л.Г. Економічний аналіз:Навчальний посібник. – Дніпропетровськ, Національна гірнича академія України, 2007. – 199 с.
42. Терещенко О.О. Фінансова санація та банкрутство підприємств: Навч.посібник. – К.: КНЕУ, 2000. – 412 с.
43. Фінансовий менеджмент:Підручник/ Кер.кол.авт.і наук.ред. проф.А.М.Подддєрьогін. – К.: КНЕУ, 2005. – 536 с.
44. Фінанси підприємств: Підручник / Кер. авт. кол. і наук. ред. проф. А.М. Поддєрьогін. – 4-те вид., перероб. та доп. – К.: КНЕУ, 2002. – 571 с.: іл..
45. Фінансовий аналіз: Навчальний посіб. / Г.В. Митрофанов, Г.О. Кравченко, Н.С. Барабаш та ін.; За ред. проф. Г.В. Митрофанова. – К.: Київ нац. торг.-екон. ун-т.: 2002. – 301 с.
46. Фомин Я.А. Диагностика кризисного состояния предприятия: Учеб.Пособие для вузов. – М.: ЮНИТИ-ДАНА, 2003. – 349 с.
47. Шеремет О.О.Фінансовий аналіз .-К.:Кондор , 2005.-240 с.
48. Шморгун Н. П. Фінансовий аналіз : навч. посібник для студ. вищих навчальних закладів / Н. М. Шморгун, І. В. Головко ; М-во освіти і науки України, Київський нац. ун-т ім. Т. Шевченка. – К. : Центр навчальної літератури, 2006. – 525 с.
[1] Фінанси підприємств.Підручник /За ред.А.М.Поддєрьогіна – К.:КНЕУ,2000
[2] Положення про порядок проведення досудової санації господарських товариств, у статутних фондах яких державна частка перевищує 25 відсотків, та державних підприємств, щодо яких прийнято рішення про приватизацію //Наказ Фонду державного майна України від 12 жовтня 2001 року N 1865