| Скачать .docx |
Реферат: Контрольная работа: Прості і складні судження
Контрольна робота
З курсу „Логіка”
Завдання: ВАРІАНТ 2
Теоретичне питання:
Прості і складні судження.
Задачі:
1. Здійсніть обмеження понять: вечеря; держава; м. Суми.
2. Укажіть вид і склад визначень та проаналізуйте їх з погляду правильності:
Розділ медицини, який вивчає медичні та судові проблеми, які виникають у слідчій та судовій практиці, називається судовою медициною.
Ідеалізм - загальне визначення філософських вчень, які ґрунтуються на ідеалістичних ідеях.
Банк – фінансова установа, яка забезпечує циркуляцію грошей.
3. Визначте вид судження, його терміни, їх розподіленість, зв’язку і кванторне слово: Кожний мисливець любить розповідати різні “мисливські байки”.
4. Згідно із структурною формулою придумайте умовивід і поясніть результат:
S- - М+
М+ - Р-
________
S- - Р-
5. З’ясуйте, чи виконуються логічні закони в таких судженнях:
Абітурієнти, яких вчора зарахували до вузу, сьогодні зібралися в актовому залі.
Деякі люди вміють плавати. Деякі люди не вміють плавати.
6. Визначте вид, формулу, модус силогізму. Зробіть висновок і проаналізуйте його правильність:
Правління або схвалить бізнес-план, або рекомендуватиме доопрацювати його.
Правління не схвалило бізнес-план.
Отже, ...
7. Наведіть приклад умовиводу за схемою, визначте його вид:
S 1 - Р
S 2 - Р
S 3 - Р
S1, S2, S3 вичерпують клас К
К ε Р
8. Спростуйте тезу:
Васюта є цінним працівником фірми “Колос”.
9. Визначте, яка форма мислення виражена у міркуванні. Дайте їй коротку характеристику:
Видатний український філософ ХІХ століття.
1. Прості і складні судження
Розглянемо види суджень. Усю множину суджень можна поділити на дві підмножини: прості і складні судження.
Простим називають таке судження у якому жодна логічна частина не є окремим судженням. Або простим називається судження, яке не має самостійних частин.
Наприклад, «Книга є джерелом інформації», якщо відняти будь-яку частину цього судження («книга», або «джерело інформації»), то окремо взята вона не буде судженням, а вихідне судження, як цілісний об'єкт, зруйнується.
Складним називається таке судження, яке складається із двох або більше простих суджень, що пов'язані логічними сполучниками, а кожна із його правильних частин буде окремим судженням.
Наприклад:
1. «Марс і Юпітер — це планети Сонячної системи»;
2. «Якщо тіло має меншу питому вагу від води, то воно не потоне» тощо.
Ці два судження є складними, тому що кожне з них можна розкласти на два простих судження. У 1 судженні: прості судження «Марс — це планета Сонячної системи», «Юпітер — це планета Сонячної системи» поєднуються логічним сполучником «і». У 2 — «Тіло має меншу питому вагу від води», «Воно не потоне» поєднуються логічним сполучником «якщо, то».
Зупинимося на аналізі простих суджень.
За характером ознаки, яка представлена предикатом судження, розрізняють такі види суджень:
а) атрибутивні;
б) судження з відношеннями, або судження про відношення;
в) судження існування.
Атрибутивним називається таке просте судження, предикат якого представляє таку ознаку, як властивість. Можна ще й так визначити атрибутивне судження: «Атрибутивним судженням називається такий вид простих суджень, в яких йдеться про притаманність предметам якихось властивостей, або про їх відсутність у предмета». Наприклад, «Франція є республікою», «Жоден мій знайомий не має вищої освіти» тощо.
Судженням з відношеннями називається такий вид простих суджень, у яких предикат представляє таку ознаку, як відношення між предметами. Наприклад: «Київ розташований вище по Дніпру, ніж Канів», «Мій приятель не знає мого брата» тощо. У першому судженні стверджується, що відношення «розташований вище по Дніпру» має місце між двома предметами «Києвом» і «Каневом». У другому судженні заперечується, що відношення «знає» має місце між «моїм приятелем» і «моїм братом».
Судженням існування називається вид простих суджень, у яких предикат виражає наявність (буття) предмета. Наприклад: «Є люди, які можуть прогнозувати майбутнє», «Не існує життя на Місяці» тощо. У першому судженні стверджується існування людей, здатних до прогнозування. У другому судженні заперечується наявність живого на такому космічному об'єкті, як Місяць.
Зупинимося на аналізі атрибутивних суджень. Інтерес до атрибутивних суджень у традиційній логіці був викликаний тим, що вони виступили вихідним матеріалом у побудові Арістотелем першої теорії логічного висновку — силогістики. Значною мірою це зумовлювало й те, що решта простих суджень (судження з відношеннями і судження існування) після відповідних синтаксичних реконструкцій тлумачилися як атрибутивні.
Атрибутивні судження поділяються на види за кількістю і якістю.
За якістю виділяють:
- стверджувальні
- заперечу вальні атрибутивні судження.
Наприклад, «Злочин є суспільно небезпечним вчинком» — сверджувальне судження; «Жоден мій приятель не має посвідчення водія» — заперечу вальне судження..
За кількістю розрізняють:
- одиничні;
- загальні;
- часткові атрибутивні судження.
Одиничним називається таке атрибутивне судження, у якому суб'єктом виступає одиничне поняття.
Наприклад: «Автор «Кобзаря» є відомим художником».
Загальним називається таке атрибутивне судження, у якому суб'єктом є загальне поняття.
Наприклад: «Трапеція є геометричною фігурою».
Частковим називається атрибутивне судження, у якому суб'єкт представляє частину класу досліджуваних предметів.
Наприклад, «Деякі книжки мають довідковий характер».
Ці дві типології атрибутивних суджень виділяються у методичних цілях. У практиці міркування вони існують у взаємодії, тому спеціально виділяють типологію атрибутивних суджень за «об'єднаним поділом за кількістю і якістю»:
- загальностверджувальні;
- частковостверджувальні;
- загальнозаперечувальні;
- частковозаперечувальні атрибутивні судження.
Загальностверджувальним називається судження, яке за кількістю є загальним, а за якістю стверджувальним.
Наприклад: «Будь-яка планета має природний супутник».
Схема загальностверджу вального судження така:
«Будь-який S є Р».
Позначається цей вид суджень буквою «А».
Це позначення береться від першої букви латинського слова «affirmo» (стверджую). «А» фіксує логічний термін у структурі загально стверджувального судження «Будь-який ... є ...». «<S» і «Р» — це дескриптивні терміни. Отже, структуру загальностверджувального судження можна записати так: Asp.
Частковостверджувальним судженням називається таке атрибутивне судження, яке за кількістю є частковим, а за якістю стверджувальним.
Наприклад: «Деякі злочини є посадовими».
Схема частковостверджувального судження має такий вигляд:
«Деякі S є Р».
Позначається це судження буквою «І».
Це друга голосна буква у слові «Affirmo». «І» виражає логічний термін у структурі частковостверджувального судження: «Деякі ... є ...». Отже, частко-востверджувальне судження позначається символом: Isp.
Загальнозаперечувальним називається атрибутивне судження, яке за кількістю є загальним, а за якістю — заперечувальним. Наприклад: «Жоден мій знайомий не був серед учасників семінару».
Загальнозаперечувальне судження має таку схему:
«Жоден S не є Р».
Це судження позначається першою голосною буквою у латинському слові «Nego» (заперечую) — «Е». Символ «Е» представляє логічний термін у загальнозаперечувальному судженні: «Жоден ... не є ...».
Записується структура загально заперечувального судження так: Esp.
Частковозаперечу вальним називається атрибутивне судження, яке за кількістю є частковим, а за якістю заперечувальним. Наприклад, «Деякі мої друзі не були запрошені на свято».
Схема частковозаперечувального судження така:
«Деякі S не є Р».
Позначається це судження другою голосною буквою у слові «Nego» — «О». Символ «О» фіксує логічний термін у частково заперечувальному судженні: «Деякі ... не є ...».
Структура цього судження записується так: Osp.
Атрибутивні судження можна розглядати як з точки зору інтенсіоналу, так і з точки зору екстенсіоналу. Попередній розгляд атрибутивних суджень базувався на їх інтенсіональній характеристиці. Тобто, до уваги брався факт притаманності або непритаманності предметам якоїсь властивості.
З точки зору екстенсіоналу атрибутивне судження можна тлумачити як судження про повне або часткове включення чи невключення обсягу одного терміна S до обсягу іншого терміна Р.
Наприклад:
1. «Будь-яке дерево — є рослина».
2. «Будь-який квадрат є рівностороннім прямокутником».
3. «Деякі поети — лауреати».
4. Деякі книжки є підручниками».
5. «Жодний природний супутник не є планетою».
6. «Деякі злочини не є посадовими».
7. «Юпітер є планета».
8. «Місяць не є планетою».
Із позицій екстенсіональної характеристики наведені вище судження можна відповідним способом і у кожному конкретному випадку подати як схему:
1. Wx S(x)
Wx P(x) — Asp.
І

2. Wx S(X)
Wx P(x) — Asp.
II
![]()

3. Wx S(x)
Wx P(x) — Isp.
ІІІ

4. Wx P(x) c Wx S(x) — Isp.
IV
![]()

![]()

5. Wx S(x)
Wx P(x) і Wx P(x)
Wx S(x) - Esp.
V
|


6.Wx S(x)
n Wx P(x) - Osp.
VI

7. а є Wx P(x) - а єр.

8.a є WxP(x) - а не є p.
|

Включення або невключення обсягу одного терміна до обсягу другого терміна визначає таке важливе для характеристики атрибутивних суджень відношення, як «розподіленість термінів».
Термін S або Р називається розподіленим у даному судженні, якщо він взятий у повному обсязі.
Нерозподіленим називається термін, якщо він взятий у неповному обсязі.
Це відношення можна визначити ще й так: «Термін атрибутивного судження називається розподіленим, якщо його обсяг повністю включається або повністю виключається із обсягу другого терміна. Термін нерозподілений, якщо його обсяг частково включається або виключається із обсягу другого терміна».
Розподілений термін позначається знаком (+), а нерозподілений — знаком (—).
У загальностверджувальному судженні, як правило, суб'єктрозподілений, а предикат не розподілений: As+ p- . Винятком для загальностверджувального судження є ситуація, коли і суб'єкт і предикат розподілені: As+ p+ . Ілюстрацією цього випадку є приклад 2.
У загальнозаперечувально му судженні і суб'єкт і предикат розподілені: Е s+ p+ .
У частковостверджувально му судженні і суб'єкт і предикат, як правило, не розподілені: Іs- p- . Але буває виняток, коли в цьому судженні суб'єкт не розподілений, а предикат розподілений: Іs+ p+ . Переконанням слугує приклад 4.
У частковозаперечувальному судженні суб'єкт не розподілений, а предикат розподілений: О s р+ .
Схеми І, II, III, IV, V, VI наочно ілюструють відношення розподіленості термінів. Необхідно пам'ятати, що відношення розподіленості термінів є одним із важливих правил при побудові безпосередніх умовиводів1 і особливо такого опосердкованого умовиводу, як «простий категоричний силогізм».
Схеми розподіленості термінів І—VI можна розглядати як умови істинності чи хибності для атрибутивних суджень. Тобто, схеми І —VІ — це своєрідне поле інтерпретації для : Asp, Isp, Esp і Osp.
Все це можна записати у вигляді наступних рівностей:
а) Asp — «і» <=>{І, ІІ}
(читається ця рівність так: «Судження Asp є істинним тоді і тільки тоді, коли мають місце ситуації І, II»);
б) Asp — «х» <=>{III, IV, V}
(читається ця рівність так: «Судження Asp є хибним тоді і тільки тоді, коли мають місце ситуації III, IV, F»);
в) Isp — «і» <=> {І, II, III, IV};
г) Isp — «х» <=> {V};
д) Esp — «і» <=> {V};
е) Esp — «х» <=> {І, ІІ, III, ІV};
є) Osp — «і» <=> {IV, V, VI};
ж) Osp — «х» <=> {І, ІІ};
Наведені рівності лежать в основі логічних відношень між судженнями.
Види складних суджень.
Виклад складних суджень мовою логіки висловлювань
Складним називається судження, яке складається з двох або більше простих суджень, з'єднаних за допомогою логічних сполучників. Наприклад: «Моя сестра навчається у консерваторії, а брат — в університеті»; «Матеріали конференції будуть опубліковані в науковому журналі або в спеціальному збірнику» тощо.
За типом логічних сполучників складні судження поділяються на:
а) з'єднувальні;
б) роз'єднувальні;
в) умовні;
г) еквівалентні.
У традиційній логіці терміни, за допомогою яких утворюються складні судження, подавалися в описовому вигляді. Тут зосереджувалася увага на характеристиці аналогів логічних термінів, якими є слова природної мови: «і», «або», «якщо, то», «неправильно, що» тощо. Це в значній мірі ускладнювало дослідження логічної природи складних суджень. Якщо ж застосувати до аналізу складних суджень засоби сучасної логіки (а саме мову логіки висловлювань), то це допоможе ефективніше дослідити основні властивості та характеристики складних суджень.
Отже, розглянемо мову класичної логіки висловлювань.
Мова класичної логіки висловлювань — це спеціальна штучна мова, яка призначена для аналізу логічної структури складних суджень.
Вона складається із:
- алфавітну та
- правил утворення (дефініції формули).
Алфавіт
1. Пропозиційні змінні для позначене» простих суджень:
р, q, r, р1 , q1 , r1 , ....
2. Пропозиційні зв'язки (константи) — ┐, &,
, D,
, ↔ .
3. Технічні символи, якими є ліва та права дужка і кома: (,)
Правила утворення
Дефініція формули:
1. Будь-яка пропозиційна змінна є формулою: р, q, r, р1 , q1 , r1 , ...
2. Якщо А1 — формула, то ┐А також формула.
3. Якщо А та В формули, то вирази А & В, A
В, А
В, А ↔ В також формули.
4. Ніщо, крім зазначеного в пунктах І, 2, 3, не є формулою мови класичної логіки висловлювань.
Формули, які зазначені в пункті 1 даної дефініції називаються елементарними, а у пунктах 2 і 3 — складними.
Наведена дефініція формули дозволяє ефективно визначати, чи є деякий вираз формулою мови логіки висловлювань (скорочено МЛВ), чи ні.
Візьмемо для прикладу такий вираз:
р
(q
(r
q)).
Цей вираз має вигляд схеми: і
В, де Л є р, а В — (q
(r
q)).
Отже, даний вираз є формулою МЛВ відповідно до 3 пункту наведеної дефініції.
Якщо ж маємо вираз «р
(q
», то відповідно до дефініції він не буде формулою МЛВ, оскільки не відповідає жодному пунктові дефініції.
Використовуючи МЛВ, можна перекласти будь-яке складне судження для з'ясування його логічної форми.
Наприклад, маємо судження: «Якщо студент успішно навчається і виявляє здібність до наукової роботи, то він має підставу на рекомендацію до аспірантури».
Щоб перекласти це складне судження на мову логіки висловлювань, необхідно виконати такі дії:
1. Спочатку потрібно виділити усі прості судження, які входять до складу складного судження. У нашому прикладі їх три:
1.«Студент успішно навчається».
2. «Студент виявляє хист до наукової роботи».
3. «Студент має підставу на рекомендацію до аспірантури».
Кожному простому судженню ставиться у відповідність конкретна пропозиційна змінна: 1 — р, 2 — q, 3 — г.
II. Далі потрібно виділити логічні терміни, що входять до складного судження.
Дане судження має два логічних терміни: & та
.
Визначивши імплікацію головним логічним сполучником отримаємо імплікативне висловлювання, яке буде перекладом умовного судження мовою логіки висловлювань: (р & q)
r.
У природній мові прості судження можуть об'єднуватися за допомогою таких логічних сполучників, яким не відповідають за смислом ніякі пропозиційні зв'язки із побудованої нами мови логіки висловлювань.
Наприклад, висловлювання «Ні вдень, ні вночі вони не переставали думати про свої плани» утримує сполучник «ні ... ні», у якого немає смислового аналогу в системі зв'язок { ┐, &,
,
, ↔}.
Щоб виявити логічну формулу в таких випадках, треба переформулювати складне судження таким чином, щоб воно не змінило первісного смислу і утримувало ті сполучники, яким відповідають за смислом які-небудь зв'язки із алфавіту МЛВ. У нашому випадку матимемо: «Невірно, що вдень вони переставали думати про свої плани і невірно, що вночі вони переставали думати про свої плани». При перекладі на мову логіки висловлюваль дане судження отримає вигляд такого висловлювання:р & q.
Логічні відношення між складними судженнями
Складні судження виступають у тих самих відношеннях, в яких виступають категоричні судження.
Складні судження поділяють на:
- порівнювані та
- непорівнювані.
Порівнюваними називають складні судження, які складаються з одних і тих же простих суджень, але різняться логічними термінами.
Наприклад, А & В і А
В тощо.
Непорівнюваними називаються складні судження, в яких хоча б одне просте судження не співпадає.
Наприклад, А & В і А & С; A
B i А
C, тощо.
Серед порівнюваних суджень виділяють:
- сумісні та
- несумісні.
Сумісними називаються складні судження, які при однакових наборах значень простих можуть бути істинними.
Несумісними називаються складні судження, які при однакових наборах значень простих не можуть бути разом істинними.
Між сумісними складними судженнями існують відношення:
а) еквівалентності;
б) часткової сумісності;
в) логічного слідування.
Для несумісних складних суджень характерні відношення:
а) протиріччя;
б) протилежності.
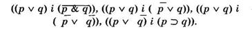
Для наочного уявлення названих відношень використаємо семантичну таблицю істинності складного висловлювання, яке складається із двох простих висловлювань:

У відношенні еквівалентності знаходяться такі прості висловлювання, які при однакових наборах значень їх змінних набувають одні й ті самі значення.
![]()
З наведеної таблиці видно, що еквівалентними є висловлювання:
У відношенні часткової сумісності знаходяться висловлювання, які при однакових наборах значень простих висловлювань не можуть мати одночасно значення хибності.
Наведена таблиця показує, що такими висловлюваннями є:
![]()
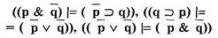
Два висловлювання А і В знаходяться у відношенні логічного слідування, якщо не може бути так, щоб А було істинне, а В — хибне.
З наведеної таблиці видно, що відношення слідування буде між висловлюваннями: ((р ↔q) |= (р
q))1
, ((p ↔ q) |= (q
р)),
![]()
Як уже зазначалося, відношення логічної несумісності має два види: протиріччя і протилежності.
Висловлювання А і В знаходяться у відношенні протиріччя, якщо вони при однакових наборах змінних не можуть бути одночасно істинними і одночасно хибними. Наведена вище таблиця ілюструє такі випадки суперечливих висловлювань:
![]()
У відношенні протилежності знаходяться висловлювання А і В, якщо вони при однакових наборах значень їх змінних не можуть бути одночасно істинними, хибними (у крайньому випадку одне з них обов'язково буде хибним).
До таких висловлювань відносяться, як свідчить наведена виїде таблиця, пари висловлювань ((р & q) і ( р & q)), (( р & q) і (р & q)). Огляд усіх можливих логічних відношень між складними судженнями можна зобразити такою схемою:

Знання дефініцій логічних відношень між складними судженнями, вміння з ними поводитися допомагає нам у практиці міркувань послідовно аргументувати свою точку зору, спростовувати чужі тези і аргументи, знаходити протиріччя і невизначеності у процесі спілкування і обміну інформацією.
Задачі
1. Здійсніть обмеження понять: вечеря; держава; м. Суми.
Відповідь:
Вечеря; вечеря в колі сім`ї; Петренко повечеряв в колі сім`ї.
2. Укажіть вид і склад визначень та проаналізуйте їх з погляду правильності:
Розділ медицини, який вивчає медичні та судові проблеми, які виникають у слідчій та судовій практиці, називається судовою медициною.
Ідеалізм - загальне визначення філософських вчень, які ґрунтуються на ідеалістичних ідеях.
Банк – фінансова установа, яка забезпечує циркуляцію грошей.
Відповідь:
Перше речення – визначення через рід і видову відмінність.
Рід – медицина, вид – судова медицина, видові відмінності – проблеми які притаманні тільки і тільки слідчій і судовій медицині.
Друге речення – генетичне визначення.
Тобто з появою ідеалістичних ідей виник ідеалізм.
Третє речення – надто вузьке визначення.
Наведене визначення банку тільки одна з багатьох визначальних функцій банку.
3. Визначте вид судження, його терміни, їх розподіленість, зв’язку і кванторне слово: Кожний мисливець любить розповідати різні “мисливські байки”.
Відповідь:
Наведено просте категоричне судження з складним предикатом. За якістю та кількістю відноситься до виду загально ствердних суджень.
Терміни: Суб`єкт (S) – “мисливець”, перший предикат (Р1 ) – „любить розповідати”, другий предикат (Р2 ) – „різні „мисливські байки”.
S – розподілене (повністю включається в обидва предиката)
Р1 – нерозподілене (любителі розповідати є не тільки серед мисливців)
Р2 – нерозподілене („мисливські байки” у кожного мисливця різні).
Отже, обсяги предикатів не вичерпуються обсягом суб`єкту.
В даному реченні слова-зв`язки формально немає, але мається на увазі слово-зв`язка „є”, тобто мисливець є любителем розповідей байок.
Кванторне слово – „кожний” – є квантором спільності ∀х .
Запишемо судження в символічній формі: (якщо х ∈S, то х ∈Р1 ,Р2 ), що означає: Якщо всякий предмет володіє властивістю мисливця, то він володіє і властивістю любителя розповідати, і властивістю знання різних „мисливських байок”.
4. Згідно із структурною формулою придумайте умовивід і поясніть результат:
S- - М+
М+ - Р-
S- - Р-
Відповідь:
Здійснимо тотожне перетворення
М+ - Р-
S- - М+
S- - Р-
Отже, це перша фігура категоричного силогізму.
Розглянемо можливі варіанти суджень згідно з правилами розподіленості суджень
М+ - Р- :
![]() |
загальноствердне |
![]() |
частковоствердне |
S- - М+
![]() ![]() |
частковозаперечне |
S- - Р-
![]() ![]() |
частковоствердне |
Будемо придумувати категоричний силогізм, для цього можливі варіанти суджень підведемо під загальні правила категоричного силогізму.
1 правило – три терміни S – M – P/
2 правило – середній термін М розподілений.
3 правило – виконується.
4 правило – виконується.
5 правило – не виконується.
6 правило – більший засновок в силогізмі має бути загальним.
7 правило – висновок в силогізмі має бути частковим.
Таким чином, не виконується правило: якщо один засновок заперечний, то й висновок має бути заперечним.
Отже, при конструюванні категоричного силогізму потрібно допустити, щоб з істинності засновків був зроблений хибний висновок або відмовитись від категоричного силогізму, але структурна формула силогізму задачі забороняє це робити.
5. З’ясуйте, чи виконуються логічні закони в таких судженнях:
Абітурієнти, яких вчора зарахували до вузу, сьогодні зібралися в актовому залі.
Деякі люди вміють плавати. Деякі люди не вміють плавати.
Відповідь:
Перше судження – порушений закон тотожності.
В процесі мислення змінився предмет думки.
Вчора – абітурієнт. Абітурієнт, якого зарахували до вузу, це вже студент. Тому в залі зібралися не абітурієнти, а вже студенти.
Друге судження – закон тотожності виконується – предмет думки (людина) один. Закон суперечності не діє, тому що прості судження (вміє, не вміє) йдуться про один і той же предмет (людину), в один і той же час (наприклад, теперішній час), але в різних відношеннях, тому що кванторне слово „деякі” означає частку чогось взагалі, а не концерну (фактичну) частку чогось. Закон виключення третього не діє, тому що не є суперечливими прості судження. Закон достатньої підстави не діє, тому що наведені судження не обґрунтовуються.
6. Визначте вид, формулу, модус силогізму. Зробіть висновок і проаналізуйте його правильність:
Правління або схвалить бізнес-план, або рекомендуватиме доопрацювати його.
Правління не схвалило бізнес-план.
Отже, ...
Відповідь:
Правління або схвалить бізнес-план, або рекомендуватиме доопрацювати його.
Правління не схвалило бізнес-план.___________________________________
Отже, бізнес-план необхідно доопрацювати.
Це – умовно-розподільний силогізм – деструктивна дилема.
Перше речення – більший засновник – із основи („правління”) виходять дійсні наслідки (схвалить, рекомендує доопрацювати або іншими словами не схвалить), тобто основа визначена, а наслідки не надумані.
Альтернативи, що містяться в дилемі, вичерпують всі можливі рішення (схвалить, або рекомендує доопрацювати, що еквівалентно – не схвалить).
Це третя фігура силогізму ![]()
Модус фігури : А І І
Більший засновок – загальноствердний (А), менший засновок – частковоствердний (І), висновок – частковоствердний (І).
7. Наведіть приклад умовиводу за схемою, визначте його вид:
S 1 - Р
S 2 - Р
S 3 - Р
S1, S2, S3 вичерпують клас К
К ε Р
Відповідь:
1) Атом Н – складається з електронів, протонів, нейтронів.
Атом Не – складається з електронів, протонів, нейтронів.
Атом О – складається з електронів, протонів, нейтронів.
2) Н, Не, О – елементи таблиці Мєндєлєєва
Отже, атоми (елементи таблиці Мєндєлєєва) складаються з електронів, протонів, нейтронів.
Це – індуктивний умовивід, коли на підставі належності однакової ознаки окремим предметам, зроблений висновок про належність цієї ознаки всьому класу предметів взагалі.
8. Спростуйте тезу:
Васюта є цінним працівником фірми “Колос”.
Відповідь:
Спростуємо цю тезу, тобто доведемо її хибність.
Спробуємо застосувати пряме спростування:
З Т виводиться або наслідок, несумісний з А, або протиріччя.
А істинне.
Т хибне.
Де Т – теза, А – аргумент.
Т = Васюта є цінним працівником фірми “Колос”.
А1 = Працівники фірми “Колос” є цінними.
А2 = Жоден Васюта не є цінним.
Отже, Васюта є не-Васюта.
Висновок силогізму свідчить про контрарну несумісність його засновків, а несумісні судження разом істинними бути не можуть, тому теза з необхідністю є хибною.
9. Визначте, яка форма мислення виражена у міркуванні. Дайте їй коротку характеристику:
Видатний український філософ ХІХ століття.
Відповідь:

Це поняття, його можна зобразити так:
Де А – філософ,
В – видатний
С – український
Д – ХІХ століття
Родове поняття А повністю включає в себе обсяг видових понять В, С, Д, обсяг яких складає лиш частину поняття А.
Поняття А сумісне з поняттями В, С, Д, але поняття В, С, Д несумісні між собою, вони знаходяться в відношеннях співпорядкування.
Література
1. Арутюнов В.Х., Мішин В.М., Кирик Д.П. Логіка. – К.: КНЕУ, 2000.
2. Жеребкін В.Є. Логіка. – Х.: Основа, 1998.
3. Ивлев Ю.В. Логика для вузов. – М.: Изд-во Моск. ун-та, 1997.
4. Ивлев Ю.В. Логика: Сборник упражнений. – М.: Книжный дом «Университет», 1999.
5. Кириллов В.Н., Старченко А.А. Логика. – М.: Юрист, 1999.
6. Кондаков Н.Н. Логический словарь. – М.: Сов. энциклопедия, 1990.
7. Орендарчук Г.О. Основи логіки. – Тернопіль: СМП “Астон”, 2001.
8. Рузавин Г.Н. Логика. – М.: ЮНИТИ, 2002.
9. Упражнения по логике: Учебное пособие. – М.: Юрист, 1993.
10. Хоменко І.В. Логіка в задачах. – К.: Четверта хвиля, 1998.
11. Хоменко І.В., Алексюк І.А. Основи логіки. – К.: Золоті ворота, 1996.



