| Скачать .docx |
Реферат: Новая автоматизированная система оптимизации рационов питания спортсменов
В последнее время специалисты-нутрициологи все более уверенно отстаивают точку зрения, согласно которой ни один из факторов, за исключением наследственно обусловленных возможностей и степени адаптации к физическим нагрузкам, не оказывает столь сильного влияния на спортивный результат, как питание [6, 9, 10].
В то же время многочисленные исследования, проведенные на командах самого различного ранга, свидетельствуют о серьезных диетических нарушениях в пищевых рационах спортсменов, что, естественно, не может негативно не повлиять на уровень их спортивных результатов [4, 10].
В связи с этим проблема рационализации питания на основе его ежедневной оперативной оценки и своевременной оптимизации с учетом спортивной специализации, задач и условий проведения тренировочного процесса продолжает привлекать внимание ученых. В настоящее время с этой целью используются различные методы анализа фактического питания, среди которых наиболее широкое распространение получил анкетно-опросный метод, реализованный в компьютеризованных анкетах [3] и специальных программах для оперативного анализа фактического питания и его своевременной коррекции с целью создания благоприятного метаболического фона при интенсивной мышечной деятельности [5, 11, 12].
Однако все существующие разразработки автоматизированной системы анализа практически не учитывают важного концептуального положения, согласно которому метаболический фон в значительной мере определяется уровнем незаменимых факторов питания (незаменимых аминокислот, непредельных жирных кислот, биологически активных веществ) и степенью их усвояемости [6].
Реализация данного положения требует следующего: а) дополнительных данных относительно биологической ценности рационов (содержание незаменимых аминокислот, полиненасыщенных жирных кислот, соотношение компонентов углеводной части питания [6], в том числе наличие пищевых волокон); б) сведений об оптимальном соотношении в спектре минерального состава, что обусловливает степень усвояемости отдельных компонентов пищи пищеварительной системой [7]; в) соблюдения условий совместимости продуктов с учетом биологической направленности при их комбинации для одновременного приема [2] и г) учета потерь пищевой ценности продуктов при их кулинарной обработке [8].
С учетом вышеизложенного нами была разработана математическая модель оптимизации рационов питания спортсменов, которая реализована в программном обеспечении для IBM-совместимых компьютеров и позволяет решать следующие задачи:
1. Анализировать суточный рацион или отдельные приемы пищи (завтрак, обед, полдник, ужин, дополнительное питание) с известным количественным набором готовых продуктов по энергетической ценности и химическому составу с целью выявления диетических нарушений.
2. Рассчитывать для фиксированного перечня готовых продуктов их оптимальное количество, максимально приближенное по всем параметрам к эталонному рациону, рекомендуемому в зависимости от спортивной специализации, энергетической направленности выполняемой нагрузки, условий (среднегорье, высокогорье, высокие и низкие температуры) и специальных задач (максимальное углеводное насыщение) тренировочного процесса.
3. Оптимизировать рацион в зависимости от поставленной задачи путем подбора группы готовых продуктов из полного или избранного перечня архивных данных, равнозначно учитывая при этом все необходимые параметры качества каждого продукта.
4. Переводить полученные количества готовых продуктов рациона в набор рыночных компонентов, входящих в их состав, с учетом потерь при кулинарной обработке.
5. Корректировать рацион питания спортсменов с учетом диетических отклонений по отдельным параметрам химического состава и энергетической ценности путем дополнительного введения продуктов повышенной биологической ценности специального назначения, поливитаминных и поливитаминно-минеральных препаратов, а также природных биологически активных веществ.
Результаты решения поставленных задач выражаются в граммах готовых продуктов оптимизированного рациона.
Интегральный критерий качества (показатель адекватности) оценивает оптимизацию рациона (в %), равнозначно учитывая энергетическую стоимость и все параметры химического состава каждого продукта.
Энергетическая ценность рациона при необходимости может жестко фиксироваться в условиях решения поставленной задачи; равнозначно учитываться вместе с оптимизируемыми параметрами химического состава; констатироваться после оптимизации рациона.
Все компоненты химического состава, в том числе незаменимые факторы питания, рассчитываются в граммах суточной потребности и в процентах по отношению к эталонным значениям.
При необходимости возможно вычисление величины каждого оптимизируемого параметра в граммах на 1 килограмм массы тела для подбора индивидуального питания спортсменов.
Полученные данные могут быть распечатаны в текстовой редакции, а также в виде графиков и гистограмм.
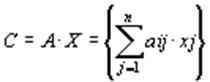
Для формализации качественных и количественных характеристик пищевых продуктов, используемых при моделировании адекватных рационов питания спортсменов, в программе предложены следующие обозначения: bi (1<=i<=p) - значение каждого оптимизируемого параметра; xj (1<=j<=n) - количество продукта, входящего в состав рациона.
Задача по определению количества каждого продукта в оптимизируемом рационе xj (1<=j<=p) решалась таким образом, что суммарные значения всех параметров набора продуктов сi по абсолютной величине и соотношению максимально приближались к соответствующим эталонным значениям bi. Для оптимизации С = {ci} с помощью управляющего вектора Х ={xj} разработан критерий качества (целевая функция), отражающий степень сбалансированности. Массовая доля i-го показателя в j-м продукте, входящем в состав рациона, обозначалась как аij. Эти числа сведены в матрицу А = (aij) размером p x n и по формуле:
![]() |
(1)
получен вектор химического состава оптимизируемого рациона.
Исходя из физиологических норм питания, на управляющий вектор Х возможно наложение ограничений:
О <= xj <= kj,
(2)
где константы kj известны и задаются.
![]() |
Учитывая качественные различия готовых блюд и составляющих их рыночных продуктов, целесообразно вектор Х считать относящимся к расчету готовых продуктов, а количества рыночных продуктов ye (1<=e<=m), cоставляющие вектор Y = {ye}, можно получить по формуле:
(3)
где: dej - массовые доли е-го рыночного продукта в i-м готовом продукте, составляющем матрицу d=(dej).
![]() |
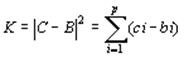
С учетом квадрата модуля разности векторов химических составов оптимизируемого рациона С и эталона В:
(4)
![]() |
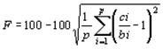
предложен следующий показатель сбалансированности по химическому составу:
(5)
Очевидно, что при полном совпадении С и В величина F достигает своего глобального максимума - 100%.
Можно показать, что экстремумы (5) и (4) достигаются при одних и тех же оптимальных решениях Х.
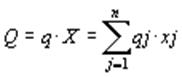
Наряду с показателем сбалансированности по химическому составу рациона, который должен быть максимизирован, в питании спортсменов определяющую роль играет энергетическая стоимость рациона - Q:
![]() |
(6)
где: qj - калорийность единицы массы j-го продукта, используемого в рационе.
Тогда целевой функцией в задаче (1) - (6) должна выступать функция, которая относится к классу выпуклого квадратичного программирования [12]:
![]() |
(7)
где: К - показатель адекватности рациона спортсменов.
Аналогично при решении задачи (7) можно учесть необходимость минимизации стоимости рационов питания и другие факторы, имеющие значение для конкретного пользователя.
Список литературы
1. Базара М., Шетти К. Нелинейное программирование. Теория и алгоритмы.- М.: Мир, 1982.
2. Викторов А.П., Передерий В.Г. Щербак А.В. Взаимодействие лекарств и пищи.- Киев: Здоров'я, 1991.
3. Иванов А.В., Пшендин А.И., Рогозкин В.А. и др. Компьютеризованная анкета для оценки фактического питания лиц работоспособного возраста при повышении двигательной активности /Тез. докл. Всесоюзн. научно-практ. конф. "Культура двигательной активности, питания и закаливания".- М.: ВНИИФК, 1991, с. 43-44.
4. Коровников К.А., Лешик Я.Д. Питание и спортивная работоспособность. "Теор. и практ. физ. культ.", 1989, № 11, c. 9-12.
5. Методические рекомендации по организации обследования фактического питания отдельных групп населения анкетно-опросным методом с применением электронно-вычислительной техники /В.И. Смоляр, В.Я. Береза, А.Г. Кондратенко и др. Киев, 1979.
6. Рогозкин В.А., Пшендин А.И., Шишина Н.Н. Питание спортсменов.- М.: ФиС, 1989.
7. Смоляр В.И. Рациональное питание.- Киев: Наукова думка, 1991.
8. Химический состав пищевых продуктов /Под ред. И.М. Скурихина, В.А. Шатерникова. - М.: Легкая и пищевая промышленность, 1984.
9. Block J., Hartman A.N., Dresser C.M. //Am.J. Epidemiol., 1986, v. 124, p. 453-469.
10. Costill D.L. Cardohydrates for exercise: dietary demands for optimal performance //Int. J. Sports Med., 1988, v. 9, p. 1-18.
11. Orme J.F., Clemer T.P. Med. Clin. N. Amer., 1983, v. 67, № 6, p. 1295.
12. Witschi J., Komaloff H., Bloom S., Slack W.-J. The Amer. Diet., Associat., 1981, v. 79, p. 609.





