Скачать .docx  

Реферат: Способ оценки специальной выносливости таэквондистов

Т.В. Басик, Ю.Б. Калашников, В.В. Шиян, Российская государственная академия физической культуры, Москва

Таэквон-до (ITF) - один из молодых и наиболее динамично развивающихся видов восточных единоборств, получивший к настоящему моменту признание во многих странах мира (в Международную федерацию таэквон-до входит 107 стран).

Российские таэквондисты за последние годы добились значительного прогресса в уровне технико-так тического мастерства, что отразилось на достижениях ведущих спортсменов на крупнейших соревнованиях.

Однако дальнейшие успехи российских спортсменов на международной арене в значительной мере сдерживаются отсутствием научно обоснованной системы предсоревновательной подготовки, включающей в себя не только совершенствование уровня технико-тактического мастерства таэквондистов, но и развитие важнейших физических качеств, обеспечивающих максимальный уровень специальной выносливости.

Проблема рационального планирования учебно-тренировочного процесса в предсоревновательной подготовке высококвалифицированных таэквондистов не может быть успешно разрешена без наличия двух важнейших составных частей: объективного количественного учета параметров тренировочной работы спортсменов и изменения уровня специальной выносливости и основных физических качеств.

Цель настоящего исследования состояла в разработке стандартизированной процедуры и критерия оценки уровня специальной выносливости высококвалифицированных таэквондистов.

Разработка модели физической нагрузки для женщин основывалась на результатах анализа финальных поединков Чемпионата Европы 1997 г. в Словении. Предварительный количественный анализ характера соревновательной деятельности высококвалифициро ванных таэквондисток позволяет сделать вывод, что каждый 2-минутный период поединка можно условно разделить на три эпизода, состоящих из фоновой (23,4±6,4 с) и спуртовой (10,6±3,9 с) нагрузок.

Качественный анализ особенностей проявления спортсменами технико-тактического мастерства в условиях соревновательных поединков поволил выявить четыре основных сочетания технических действий, которые были условно объединены в одну комбинацию, включающую:

- два удара руками в голову с переходом в связку ударов ногами в туловище (2 ап чумок чириги, доллео чаги каунде);

- контратакующий удар ногой с переходом в атакующий с разворота (йоп чаги, тора йоп чаги);

- два удара руками в прыжке в голову с переходом в удар ногой (тимиё ап чумок чириги, ап чаги);

- удар ногой в туловище, контратакующий удар ногой (доллео чаги нопунде, тора вит чаги). Два удара руками в голову с переходом.

Процедура проведения специального теста состоит из трех периодов тестовой нагрузки, повторяющейся через минутные интервалы отдыха. Каждый период состоит из трех повторений фоновой и спуртовой нагрузок. Фоновая нагрузка выполняется в течение 25 с и состоит из двух повторяющихся комбинаций основных технических действий, спуртовая нагрузка - из одной комбинации, выполняемой с максимальной быстротой, с точным определением времени всех спуртовых серий работы теста.

Для проведения теста нужны два помощника, которые будут держать "макивару" и следить за техникой выполнения приемов и силой ударов, а также за правильностью передвижений. Помощники должны стоять на расстоянии 3 м лицом друг к дургу. В исходном положении испытуемый находится на расстоянии 1,5 м от каждого из помощников и по сигналу тренера начинает выполнять необходимую фоновую или спуртовую работу.

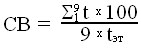
Для количественной оценки уровня специальной выносливости (СВ) таэквондистов использовалась формула, апробированная при проведении подобных тестовых испытаний в спортивной борьбе [5]:

и предполагающая определение общего времени всех девяти серий спуртовой работы ( t) и эталонное время спуртовой работы (tэт), равное 5 с.

Результаты предварительных экспериментов позволили разработать шкалу нормативных значений количественной оценки уровня специальной выносливости высококвалифицированных таэквондистов, в соответствии с которой очень высокий уровень специальной выносливости соответствует значениям КСВ менее 150 усл. ед., средний - от 150 до 250, низкий - свыше 250.

Список литературы

1. Аулик И.В. Как определить тренированность спортсмена. - М.: ФиС, 1977. - 102 с.

2. Бурындин А.Г. Оценка уровня специальной выносливости в спортивной борьбе //Спортивная борьба: Ежегодник. - М.: ФиС, 1974, с. 33-34.

3. Геселевич В.А., Новиков А.А. Функциональная проба борца // Теор. и практ. физ. культ., 1961, № 1, с. 63-64.

4. Дахновский В.С., Лещенко С.С. Подготовка борцов высокого класса: - Киев: Здоров'я, 1989. - 189 с.

5. Игуменов В.М., Подливаев Б.А., Шиян В.В. Стандартизация средств и методов контроля за физической подготовленностью борцов старших разрядов: Метод. разраб. - М.: ГЦОЛИФК, 1987, с. 57.

6. Кулик Н.Г. Совершенствование путей повышения работоспособности борцов-самбистов: Автореф. канд. дис. М., 1967. - 30 с.

7. Фролов В.Д., Дианов Н.Д., Дахновский В.С. Общая выносливость у дзюдоистов //Спортивная борьба: Ежегодник. - М.: ФиС, 1980, с. 69-70.

8. Шепилов А.А., Климин В.П. Выносливость борцов. - М.: ФиС, 1979. - 142 с.

9. Шиян В.В. Критерии оценки специальной выносливости дзюдоистов //Теор. и практ. физ. культ., 1988, № 5, с. 36-37.

10. Klinzing J.E., Karpowicz W. A wrestling performance test //Wrestling USA. 1981, N 1, p. 12-16.