| Скачать .docx |
Реферат: Использование метода репертуарных решеток в целях коррекции профессиональных мотивов у студентов технических вузов
средствами физического воспитания
Т.Д. Булавкина, Е.Д. Никитина, А.Л. Полов, Брянская государственная инженерно-технологическая академия, Брянск
Происходящие в стране реформы не только затронули экономику и социально-политическую систему, но и существенно отразились на культурной сфере, привели к реформам системы образования. Коренным образом изменился социальный заказ на специалистов вузовского уровня. Многие авторы [9, 12, 17 и др.] убеждены, что физическое воспитание в вузе нуждается в переосмыслении, что, как справедливо отметила еще в 1992 г. Л.И. Лубышева, *... не происходило главного - обращения сознания студента к пониманию и принятию физической культуры как жизненно важной ценности* [12, с.10].
В действующей в настоящее время программе по физической культуре для высших учебных заведений [18] говорится о необходимости формирования у студента мотивов овладения физической культурой. Признавая важность выполнения ряда контрольных нормативов по физической подготовленности студентов, авторы программы предлагают уделять большее внимание формированию личности, способной к самостоятельной организации здорового образа жизни. Несмотря на сказанное, физическая культура в высшей технической школе оказалась в двойственном положении, когда новые методологические и концептуальные принципы опираются на былой традиционный "нормативный' подход. Тем самым оказалось размытым представление о роли и месте физической культуры в профессиональном становлении будущих специалистов. Признаваемое за студентом право на выбор средств и форм занятий физической культурой контрастирует с продолжающей существовать установкой на так называемую физическую подготовку. Введение в подобную систему понятия "мотива" без разработки его критериальной определенности вольно или невольно приводит к его подмене более "доступными" критериями, в качестве которых обычно выступают посещаемость занятий, участие в спортивных мероприятиях, сдача нормативов и т.п. Нормативный подход, посещаемость занятий в роли критериев, определяющих мотивы занятий физическими упражнениями, часто препятствуют адекватному восприятию физической культуры как необходимого компонента культуры профессионала в той или иной области.
В связи с вышеизложенным представляется очевидной ситуация практической и теоретической неразработанности проблемы формирования и коррекции мотивов овладения физической культурой в русле профессиональной подготовки студентов технических вузов. В качестве гипотезы мы предположили, что можно повысить личностную значимость физической культуры для будущих специалистов с высшим образованием путем адекватной коррекции мотивационной сферы. Это могло бы выразиться в актуализации личностных смыслов занятий физической культурой и определении путей взаимного опосредования физкультурно-спортивных мотивов и мотивов учебных, профессиональных, культурных [1].
Определив целью исследования формирование личностной потребности в занятиях физическими упражнениями и спортом, выступающей в качестве одного из условий профессионального становления студента, необходимо поставить как минимум две задачи:
- выявить особенности мотивов занятий физической культурой у студентов и их возможную взаимосвязь с профессиональными мотивами;
- разработать педагогические условия и приемы, обеспечивающие их коррекцию путем переструктурирования мотивационной сферы личности и расширения у студентов взаимосвязей учебно-профессиональных и физкультурных мотивов.
Существенной особенностью данного исследования было использование метода репертуарных решеток, что позволило изучать у студентов мотивы и их структуры, максимально приближенные к независимой от исследователя личностной позиции испытуемого. Напомним, что в исследованиях, которые проводились ранее, использовались методы психодиагностики мотивов, которые позволяли проверить лишь совпадение исследовательской позиции и позиции испытуемого (содержание, а подчас и структура мотивов задавались заранее).
Теоретические предпосылки исследования. Учебный процесс по физическому воспитанию является для студентов опытом познания пространства физической культуры [13].
Теоретический анализ, раскрывающий основные функции физического воспитания молодежи, связи физического и психофизического развития будущего специалиста и его профессиональных качеств, изложен в работах М.Я. Виленско-го, Г.К. Карповского, В.И. Ильинича [3,4], И.Л. Ганчаоа [б].
На пассивное отношение студентов к физической культуре и низкий уровень -сформированное™ здорового образа жизни указывали Л.И. Лубышева [12,13], Г.К. Зайцев [7] и другие. Так как не существует официальных требований к физической подготовке инженера, то становление специалиста в стенах вуза должно базироваться на предпосылках и источниках, которые по своей качественной природе отвечали бы критерию культуры и способствовали формированию и коррекции культуры двигательной активности, потребности в ней у студентов посредством освоения ими потенциала физической культуры, о чем писали Н.Б. Крылова [11] и ГЛ. Иванов [9].
Занимаясь проблемой мотивов учебной, профессиональной, физкультурно-спортивной деятельности, необходимость внимания к этой проблеме отмечали М.Я. Виленский, Г.К. Карповский [4], А.Ф. Тараненко [16]. Рядом авторов установлена целесообразность внесения коррекций в управление процессом физического воспитания студентов на основе изучения личностных аспектов сложившейся системы ценностей и необходимость нетрадиционных форм педагогического воздействия на формирование внутренней мотивационной активности личности (Г.К. Зайцев [7], Г.С. Туманян [17]).
Методикя проведения эксперимента. Вышеизложенное предопределило поиск и разработку соответствующих педагогических подходов, условий, средств, направленных на коррекцию мотивационной сферы студентов.
На основе нового метода конструктов (автором метода и теории конструктов является Джордж Келли) нами разработана репертуарная решетка, "настроенная" на выявление и изучение мотивов и их структуры. Авторами руководства по использованию репертуарных решеток являются ф. франселла и Д. Баннистер [19].
Джордж Келли, а также авторы руководства по применению репертуарных личностных методик Ф.Франселла и Д.Баннистер отвергают по отношению к репертуарным решеткам приравнивание валидности к степени коррекции с • другим тестом [19]. Дж.Келли полагал, что валидность надо приравнивать к полезности, и считал наиболее полезным свойством инструмента возможность проникать во внутренний мир человека. Таким образом, валидность определяется теми возможностями, которые она представляет для совершенствования системы конструктов [15]. Репертуарная решетка, помимо своей научно-практической информативности, является и способом самопознания.
Достоинством решетки, по словам Ф. Франселлы [19], служит то, что ее валидность не только определяется способностью дифференцировать группы до начала и после эксперимента, но и позволяет проверять гипотезы относительно различий в психологических процессах у представителей различных групп. К данным, полученным от одного конкретного испытуемого, можно применить весь арсенал статистических методов, традиционно используемых для групповых данных.
Репертуарные решетки можно считать специфической разновидностью структурированного интервью. На специальном бланке испытуемый делает условные отметки по результатам сопоставления известных ему людей. Решетка в нашем исследовании представляет собой поле размером 20х20 клеток. В каждой клетке можно поместить одну из трех условных отметок (О, О, V) или она остается незаполненной.
При этом исследователем изначально задается лишь набор ролей, а известные испытуемому люди становятся воображаемыми исполнителями этих ролей. В нашем случае в качестве предполагаемых ролей-объектов выступают люди, имеющие то или иное отношение к самому испытуемому, к выбору профессии, к влиянию на испытуемого, к спорту, к физической культуре, к учебе (всего 20 ролей-объектов сопоставления). С полным списком объектов-ролей можно познакомиться ниже в перечне так называемых "триад* (они указаны цифрами в скобках после соответствующих наименований объектов-ролей). По своей информативности решетки с 20 элементами наиболее оптимальны [2, б]. Эти роли-объекты ("элементы* по терминологии Келли) соответствуют столбцам репертуарной решетки.
На первой стадии заполнения решетки испытуемый произвольными, понятными ему знаками указывает знакомых ему людей, наиболее подходящих для исполнения каждой конкретной роли.
На второй стадии испытуемому предлагается в каждой из 20 строк кружочком "О" отметить три наиболее подходящие кандидатуры (из числа выбранных на первом этапе знакомых людей) на роли, которые также задаются создателями репертуарных решеток. Это так называемые "триады". Студентам предлагалось рассмотреть 20 триад (в скобках указан номер роли-объекта на первом этапе). При этом испытуемый не только отмечает кружочком соответствующих троих людей, но и проводит их сравнение, решая, чем двое из троих похожи и чем отличаются от третьего человека. Приняв решение, испытуемый отмечает крестиками "X" этих похожих людей и записывает в той же строке справа в графе 'выявленный полюс" слово или короткую фразу, разъясняющую, чем именно эти люди сходны между собой. Противоположная по смыслу характеристика записывается в графе "противоположный полюс", а кружок, соответствующий третьему человеку, не похожему на них, остается пустым. После этого испытуемый должен отметить галочкой "V" тех из его знакомых, которые отвечают характеристике по выявленному полюсу. Подобным образом заполняются и остальные строки решетки.
Строки решетки в конечном итоге и представляют собой конструкты - биполярные признаки, которые выявляются у испытуемого с помощью данной специальной процедуры. Таким образом у каждого испытуемого были получены 20 конструктов, которые могут быть интерпретированы как мотивы с их сложной структурой.
Ниже приведен список триад, использованных нами. Напомним, что испытуемому предстоит выполнить условия второго этапа заполнения репертуарной решетки, т.е. сравнить людей, обозначенных номерами в скобках, и проделать дальнейшие операции этого этапа.
1. Я сам (1). Человек, на которого Вам хотелось бы быть похожим (11). Человек физически не развитый (слабый, больной), которого Вы жалеете [13].
2. Испытуемого просят сравнить между собой следующих людей: Знакомый Вам специалист своего дела самой высокой квалификации (5). Человек, знакомый Вам лично, наиболее удачно сочетающий занятия спортом и работу (19). Самый красивый (фигура, строение тела) человек из Ваших знакомых (одного с Вами пола) (18).
3. Сравнивается: Один из Ваших знакомых-студентов, сильнее всех ориентированный на моду во всех ее проявлениях (7). Знакомый Вам лично спортсмен (спортсменка) (15). Самый красивый (фигура, строение тела) человек из Ваших знакомых (одного с Вами пола) (18).
4. Хорошо знакомый Вам человек, имеющий ту же специальность, что будет и у Вас (3). Человек Вашей профессии, достигший успеха и увлекающийся физической культурой или спортом (4). Специалист, каким я хочу стать (17).
5. Ваш однокурсник, увлекающийся физической культурой или занимающийся спортом (6). Один из Ваших знакомых-студентов, сильнее всех ориентированный на моду во всех ее проявлениях (одежда, поведение, манеры, музыка и т.п.) (7). Ваш знакомый по институту, который хочет учиться (9).
6. Знакомый Вам специалист своего дела самой высокой квалификации (5). Ваш знакомый по институту, которого совершенно не интересует приобретаемая им профессия (8). Человек, на которого Вам бы хотелось быть похожим (11).
7. Класс существующей притягательности спорта. Сравнивается: Человек, на которого Вам хотелось бы быть похожим (11), со знакомым Вам лично спортсменом (спортсменкой) (15) и с человеком физически не развитым (13).
8. Знакомый Вам специалист своего дела самой высокой квалификации (5). Ваш знакомый по институту, который хочет учиться (9). Человек, знакомый Вам лично, наиболее удачно сочетающий занятия спортом и работу (19).
9. Ваш однокурсник, увлекающийся физической культурой или занимающийся спортом (6). Ваш знакомый по институту, которого совершенно не интересует приобретаемая им профессия (8). Ваш хороший знакомый по институту, совершенно отвергающий занятия физической культурой или спортом (10).
10. Человек, повлиявший на выбор вашей будущей профессии (2). Знакомый Вам лично спортсмен (спортсменка) (15). Человек, чье мнение для Вас важно (16).
11. Ваш однокурсник, на которого Вы не хотели бы быть похожим (12). Самый красивый (фигура, строение тела) человек из Ваших знакомых (одного с Вами пола) (18). Человек, знакомый Вам лично, с самым высоким культурным уровнем (20).
12. Я сам (1). Хорошо знакомый Вам человек, имеющий ту же специальность, что будет и у Вас (3). Специалист, каким я хочу стать (17).
13. Ваш однокурсник, увлекающийся физической культурой или занимающийся спортом (6). Ваш знакомый по институту, который хочет учиться (9). Человек, который хочет заниматься физической культурой или спортом (14).
14. Человек, повлиявший на выбор вашей будущей профессии (2). Хорошо знакомый Вам человек, имеющий ту же специальность, что будет и у Вас (3). Человек, знакомый Вам лично, наиболее удачно сочетающий занятия спортом и работу (19).
15. Человек Вашей профессии, достигший успеха и увлекающийся физической культурой или спортом (4). Ваш хороший знакомый по институту, совершенно отвергающий занятия физической культурой или спортом (10). Ваш однокурсник, на которого Вы не хотели бы быть похожим (12).
16. Человек, повлиявший на выбор вашей будущей профессии (2). Один из Ваших знакомых-студентов, сильнее всех ориентированный на моду во всех ее проявлениях (одежда, поведение, манеры, музыка и т.п.) (7). Человек, который хочет заниматься физической культурой или спортом (14).
17. Я сам (1). Человек Вашей профессии, достигший успеха и увлекающийся физической культурой или спортом (4). Человек, который хочет заниматься физической культурой или спортом (14).
18. Ваш однокурсник, на которого Вы не хотели бы быть похожим (12). Человек, чье мнение для Вас важно (16). Человек с высоким культурным уровнем (20).
19. Специалист, каким я хочу стать (17). Один из Ваших знакомых-студентов, сильнее всех ориентированный на моду во всех ее проявлениях (одежда, поведение, манеры, музыка и т.п.) (7). Ваш хороший знакомый по институту, совершенно отвергающий занятия физической культурой или спортом (10).
20. Один из Ваших знакомых-студентов, сильнее всех ориентированный на моду во всех ее проявлениях (одежда, поведение, манеры, музыка и т.п.) (7). Человек, чье мнение для Вас важно (16). Человек знакомый Вам лично, с самым высоким культурным уровнем (20).
На третьей стадии выявления мотивов с помощью репертуарной решетки проводится специальная математике-статистическая обработка с помощью компьютерной программы, реализующей процедуру вычисления коэффициента сопряженности Чупрова [8] для каждого столбца и для каждой строки репертуарной решетки. При этом для каждой репертуарной решетки создается файл данных в виде матрицы 20х20, состоящей из нулей и единиц. Ноль (0) соответствует незаполненной клетке репертуарной решетки, единица (1) - отметке "V". Программа предусматривает полный цикл расчета взаимосвязей как конструктов, так и ролей-объектов (элементов).
Коэффициент сопряженности Чулрова для четырехпольной таблицы (8) попарно характеризует силу связи двух признаков (либо двух конструктов, либо двух элементов), каждый из которых может иметь 20 случаев варьирования "О" или "Г. Таким образом, при рассмотрении каждой пары клеток решетки возможны 4 варианта:
а - количество пар, где имеются оба признака (оба имеют "галочки");
b - количество пар, где в одной клетке (для конструктов
- в верхней, для ролей-объектов - в левой) "галочка", а в другой - "пропуск";
с - количество пар, где в одной клетке (для конструктов
- в нижней, для ролей-объектов - в правой) признака нет ("пропуск"), а в другой есть ("галочка");
d - количество пар, где в обеих сопоставляемых клетках признаки отсутствуют ("пропуск"-"пропуск").
В результате этого при последовательном сопоставлении каждой пары признаков в столбцах (или строках) репертуарной решетки происходит накопление фактических частот а, Ь, с, d.
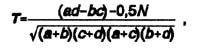
Общее количество накопленных частот в каждой паре объектов-ролей или конструктов равно 20. Вычисления производятся по формуле:

где Т - тетрахорический коэффициент сопряженности Чупрова;
N - число возможных варьируемых признаков (в нашем случае равно 20);
а, Ь, с, d - фактические частоты.
Тетрахорические коэффициенты выдаются в виде матрицы с 20 строками и 20 столбцами. Знаком (-) обозначаются коэффициенты, получившиеся в результате равенства нулю одной или нескольких скобок в расчетной формуле:
(а+Ь)=0; (c+d)=0; (a+c)=0; (b+d)=0. В данном случае деление на 0 означает бесконечно большую связь конструкта (или элемента) с остальными.
Значимость тетрахорического коэффициента сопряженности оценивается на доверительном уровне Р=0,95 по методу X2 (хи-квадрат).
X2=NT2;
где Т - тетрахорический коэффициент сопряженности;
N - объем выборки (количество конструктов или элементов), N=20:
X2 - критерий оценки сопряженности наблюдаемых факторов. Для нашего случая он равен 3,841 [8].
При изучении психологического смысла взаимосвязи конструктов (или элементов) факт характера связи (отрицательной или положительной) между ними имеет важное значение. Поэтому с помощью расчета ожидаемых частот вычислялось направление связи ((+) или (-)).
![]()
где N - объем выборки (количество конструктов или элементов), N=20;
а' - ожидаемая частота в клетке а.
Если а > а', то связь положительная (+), если а < а', то связь отрицательная (-).
Значимые коэффициенты сопряженности в матрице отмечаются знаком (*).
Ф. Франселла и Б. Баннистер [19] предлагают для анализа решетки пользоваться показателем, называемым "баллом взаимосвязи*. Поскольку тетрахорические коэффициенты взаимосвязи нелинейны, балл взаимосвязи логично представить положительным числом.
T1 = 100T2, где
T1 - балл взаимосвязи.
Т - тетрахорический коэффициент.
Возведение в квадрат делает все тетрахорические коэффициенты взаимосвязи положительными. Умножение на 100 дает возможность избавиться от дробей. Для получения балла взаимосвязи любого конструкта суммируются все его тетрахорические коэффициенты взаимосвязи со всеми остальными конструктами (без учета знака). В результате получаем числовое выражение общей дисперсии, объясняемой данным конструктом. Самым значимым является такой конструкт, который наиболее тесно связан со всеми конструктами решетки (имеет наибольший балл взаимосвязи).
Для наглядного отображения взаимосвязи конструктов (элементов) может быть использован метод наибольшего корреляционного пути по Выханду [5]. Для каждого конструкта (элемента) выбирается конструкт (элемент), имеющий наибольшее значение тетрахорического коэффициента взаимосвязи (без учета знака). Если несколько конструктов имеют одинаково наибольшую взаимосвязь, то учитываются все эти коэффициенты.
Для практического определения уровня мотивации к занятиям физическими упражнениями мы рекомендуем применять разработанную репертуарную решетку. В качестве критерия уровня мотивации предлагается использовать количество и содержание конструктов, относящихся к области физической культуры и спорта, содержащихся в репертуарных решетках.
Организация исследования. Экспериментальное исследование (в период с октября 1992 по июнь 1996 г.) проведено на базе Брянской государственной инженерно-технологической академии (БГИТА) в несколько этапов. Внедрение коррекции мотивационной сферы студентов осуществлялось на двух факультетах БГИТА и в Брянском государственном техническом университете. В формирующем эксперименте участвовали 107 студентов БГИТА.
Основные результаты исследования и выводы. 1. Эмпирическое изучение мотивов студентов в отношении физкультурно-слортивной деятельности выявило наличие незначительного их количества и слабой связи с учебно-профессиональными мотивами. Для того чтобы физическая культура стала полноценным фактором становления специалиста, она должна быть личностно значимой для студента. Необходимо, чтобы студент: а) понимал роль физической культуры в своей жизни; б) положительно относился к физической культуре; в) включился в занятия физической культурой, определив для себя приемлемую форму и условия занятий; г) имел личностно значимые мотивы занятий, сформированные на базе интереса к физической культуре и спорту, основанного на его собственных потребностях.
2. В ходе исследования установлено, что наиболее часто из блока физкультурно-спортивных мотивов среди студентов технического вуза встречается мотив любви к спорту (68,2% студентов), стремление заниматься определенным видом спорта (41,1%), обладать хорошим физическим развитием (29,9%), развивать или иметь физические качества (22,4%). Стремление к здоровому образу жизни выражается в основном мотивами отрицательного отношения к алкоголю и курению (42%). 14,9% студентов имеют мотивы неприязни к физической культуре.
3. Выявлено, что доминирующими мотивами в учебно-профессиональной деятельности являются: интерес к получению знаний (42,9% студентов), стремление иметь работу (профессию) (35,5%), стремление к студенческой жизни (33,6%), желание добиться успеха (33,6%). Быть хорошим специалистом хотят 20,6% студентов. Стремление быть культурным человеком мы отметили у 19,6% студентов, а интеллигентными хотят быть только 12,1% студентов. Для 61,2% студентов технического вуза значимо желание быть умным или обладать интеллектом.
4. Определено 5 подгрупп студентов, существенно различающихся уровнем мотивации в области физической культуры и спорта. Выявлено, что между параметрами физической подготовленности студентов, уровнем мотивации, субъективными оценками роли и места физической культуры в жизни общества, в учебно-профессиональной деятельности и желании заниматься ею существует достоверная корреляционная связь. При этом у студентов, не имеющих мотивов физкультурно-спортивной деятельности, самые низкие показатели физической подготовленности, субъективной положительной оценки роли и места физической культуры в культурной жизни общества, в учебно-профессиональной деятельности, в желании заниматься ею.
5. Установлено, что для студентов, имеющих 1-2 мотива физкультурно-спортивной деятельности, характерно стремление обладать оптимальным телосложением. Студенты, имеющие 3-4 мотива в репертуарной решетке, в 75% случаев отдают предпочтение мотиву 'любить спорт", причем у студентов с 5-6 и более мотивами физкультурно-спортивной деятельности названный мотив встречается уже в 92% случаев. Для них же наиболее значимы мотивы занятия конкретным видом спорта. Сопоставление содержания решеток с реальной вовлеченностью студентов в занятия физической культурой и спортом позволяет утверждать, что генерализованные мотивы появляются у студентов с меньшей вовлеченностью в физическую культуру и спорт, а дифференциация мотивов и их многогранность свойственны студентам, в большей мере приобщенным к физической культуре и спорту. 6. В ходе экспериментального исследования установлено, что актуализация мотивов физкультурно-спортивной деятельности в период вузовской подготовки студента не возникает без дополнительных педагогических усилий. Уже ко 2-му курсу происходит значительное снижение числа мотивов (на 20-30%) физкультурно-спортивной деятельности. К тому же эти мотивы не находят отражения в профессиональных мотивах.
7. Экспериментальная работа показала, что в результате коррекции мотивационной сферы у всех студентов экспериментальной группы появились мотивы физкультурно-спортивной деятельности. Их количество в среднем на одного студента увеличилось более чем в 2,5 раза для 1-й и 2-й подгрупп и в 1,2 раза для 3-й подгруппы. В аналогичных подгруппах контрольной группы произошло снижение количества мотивов соответственно в 1,1 и 1,4 раза. В 4-й и 5-й подгруппах экспериментальной группы количество мотивов на одного студента осталось на прежнем уровне, в то время как в контрольной группе в аналогичных подгруппах число мотивов сократилось в 1,3 раза. У 81% студентов экспериментальной группы к концу эксперимента наблюдалась взаимосвязь физкультурно-спортивных и учебно-профессиональных мотивов, в контрольной группе такая взаимосвязь наблюдалась у 44,7 % студентов.
8. В процессе проведения эксперимента установлено, что рост результатов контрольных нормативов не является необходимым и достаточным условием принятия на личностном уровне ценностей физической культуры и спорта, а также не влечет за собой возрастания желания заниматься физкультурой и положительного отношения к ней. В целом выявлена закономерная тенденция динамики результатов выполнения контрольных нормативов по физической подготовленности, подверженная сезонным колебаниям.
Значительное улучшение результатов у студентов со слабым и средним уровнем подготовленности возможно только с помощью целенаправленных или дополнительных занятий.
9. Экспериментальная работа показала, что полное отсутствие мотивов занятий физической культурой и спортом в мотивационной сфере студентов, возникшее как результат недостаточного внимания к этой области в процессе довузов-ского воспитания, приводит к затруднению актуализации физкультурно-спортивных мотивов и требует значительных усилий педагога и существенных затрат дополнительного времени. Различная степень мотивированности студентов в области физической культуры и спорта вызывает необходимость в дифференцированных подходах к их физическому воспитанию с учетом особенностей мотивации.
Значимость данного исследования заключается в возможности выявления мотивации студентов, использования вузовского физического воспитания для приобщения к ценностям физической культуры и понимания ее личностной значимости, а также в возможности трансформации прикладной физической культуры в физическую культуру специалиста с высшим образованием, способного оптимизировать свое физическое состояние.
Список литературы
1. Асмолов А.Г. Психология личности: принципы общепсихологического анализа. - М.: МГУ, 1990, 367с.
2. Булавкина Т.А. Коррекция профессиональных мотивов у студентов технических вузов средствами физического воспитания: Автореф. дисс. - Малаховка: МГАФК, 1997, 142 с.
3. Виленский М.Я., Ильинич В.И. Физическая культура работников умственного труда. - М.: Знание, 1987, 93с.
4. Виленский М.Я., Карповский Г.К. Мотивационно-ценностное отношение студентов к физическому воспитанию и пути его направленного формирования //Теор. и практ. физ. культ. 1984, № 10, с.39-42.
5. Выханду Л.К. В сб.: Применение математических методов в биологии. - Л.: изд. ЛГУ, 1964.
6. Ганчар И.Л. Экспериментальное обоснование прикладной направленности физического воспитания и интегральной оценки его результатов в условиях вуза (на примере студентов-гидрометеорологов): Автореф. дисс. - Л.: ГДОИФК, 1980, 21с.
7. Зайцев Г.К. Потребностно-мотивационная сфера физического воспитания студентов //Теория и практика физической культуры. 1993, Ne 7, с.23-24.
8. Зайцев Г.Н. Методика биометрических расчетов. - М.: Наука, 1973, 256с.
9. Иванов Г.Д. Физическое воспитание в вузе как часть физической культуры //Теор. и практ. физ. культ., 1993, №7, с. 18-19.
10. Ильинич В.И. Профессионально-прикладная физическая подготовка студентов вузов: Научно-методические и организационные основы. - М.: Высшая школа, 1978, 144с.
11. Крылова Н.Б. Формирование культуры будущего специалиста. М.: Высшая школа., 1990, 142с.
12. Лубышева Л.И. Концепции формирования физической культуры человека. - М.: ГЦОЛИФК, 1992, 123с.
13. Лубышева Л.И. Теоретико-методологические и организационные основы формирования физической культуры студентов: Автореф. докт. дисс.- М.: ГЦОЛИФК, 1992, 58с.
14. Общая психодиагностика: Основы психодиагностики, немедицинской психотерапии и психологического консультирования /Под. ред. А.А. Бодалева, В.В.Столина. - М.: МГУ, 1987, 304с.
15. Психологическая диагностика: учебное пособие /К.М. Гуревич, М.К. Акимова, Г.А. Берулава и др. Ред.-сост. Е.М. Борисова. - Бийск: Научно-изд. центр Бийского государственного пед. института, 1993, 324с.
16. Тараненко А.Ф. Формирование мотивации к занятиям физическими упражнениями в зависимости от профессиональной ориентации: Дисс.- Малаховка.: МОГИФК, 1992, 149 с.
17. Туманян Г.С. Физическая культура учащейся молодежи: Концептуальные основы научных исследований //Теор. и практ. физ. культ., 1993, Ms 4, с.35-36.
18. Физическая культура: Примерная учебная программа для высших учебных заведений. М., Госкомитет Российской Федерации по высшему образованию, 1994, 54с.
19. Франселла Ф., Баннистер Д. Новый метод исследования личности /Пер. с англ. - М.: Прогресс, 1987, 236 с.