| Скачать .docx |
Реферат: Непрерывность спортивной тренировки и парадокс длительных перерывов
Кандидат педагогических наук С.И. Вовк Российская государственная академия физической культуры
К одному из важнейших фундаментальных положений, отражающих основные закономерности спортивной тренировки и в связи с этим возведенных в ранг принципов, относится принцип непрерывности. Его практическое воплощение выражается в регулярных занятиях, обеспечивающих положительную преемственность следовых тренировочных эффектов.
Являясь следствием тренировочной нагрузки, тренировочные эффекты сопровождаются более или менее длительными следовыми процессами, непрерывная кумуляция которых происходит при условии, если эффект каждого последующего занятия как бы наслаивается на следы предыдущего, "закрепляя и углубляя их" [3-5], в результате чего приобретается тренированность.
Степень кумуляции тренировочных эффектов и связанное с этим формирование тренированности, очевидно, обратно пропорционально величине разделяющего их интервала отдыха. В этой связи непрерывность тренировочного процесса, его эффективность во многом зависят от рационального сочетания нагрузки и отдыха, которое гарантировало бы неуклонное развитие тренированности.
Утвердившаяся в настоящее время система построения тренировки в форме микроциклов, видимо, представляет собой эмпирически найденный способ сохранения преемственности эффекта занятий, обеспечивающий прогресс тренированности.
Однако сегодня при значительно возросшем количестве тренировочных занятий, когда интервал восстановительного отдыха определяется не отдельной нагрузкой, а суммарным следовым эффектом всех тренировочных нагрузок, применяемых на протяжении достаточно длительного времени, определенный интерес представляет соотношение нагрузки и отдыха на фоне длительной кумуляции следовых эффектов занятий.
В этой связи весьма интересную информацию, углубляющую наши представления о закономерностях долговременной кумуляции следовых эффектов занятий, представляют случаи, когда относительно продолжительный отдых или иной перерыв не сказался отрицательно на индивидуальных достижениях и, более того, способствовал их улучшению. Таких на первый взгляд парадоксальных случаев известно к настоящему времени вполне достаточно, чтобы можно было говорить об определенной тенденции.
Методика исследования. Для изучения данного феномена в проведенном исследовании в качестве фактологического материла использовались результаты анкетирования, интервьюирования и документальные данные, в частности дневники спортсменов высокой квалификации, специализирующихся в различных видах спорта. Анализу были подвергнуты индивидуальные формы подготовки спортсменов, при которых стало возможно столь длительное сохранение результативности в условиях продолжительного отдыха. Тренировочные нагрузки классифицировались по общепринятым критериям (направленность, специализированность и т.д.).
Учитывая, что один из основных принципов спортивной тренировки заключается в непрерывности тренировочного процесса, намеренно рассматривались случаи вынужденного перерыва в тренировке, связанные с травмами, болезнями и другими привходящими причинами. Изучались ситуации, когда после полного прекращения тренировочных занятий или значительного снижения тренировочной нагрузки на относительно продолжительный период результаты в соревновательном упражнении или тестах при последующем возобновлении тренировки улучшались, оставались прежними или практически не изменялись1. При этом фиксировались продолжительность перерыва, характер отдыха, а также результаты, показанные до и после перерыва.
Результаты исследования и обсуждение. Как показали результаты исследования, после временного прекращения тренировочных занятий либо значительного снижения тренировочных нагрузок в рамках определенного времени приобретенный уровень тренированности, по всей вероятности, в основном сохраняется или даже позволяет улучшать результат, как правило, в течение нескольких недель. На рис. 1 представлен типичный случай, когда после 18-дневного отдыха, вызванного травмой, практически сразу спортсмен превысил результат, показанный непосредственно перед травмой. В последовавшей затем серии соревнований также не просматривались тенденции к регрессу тренированности, о чем свидетельствуют достаточно высокие и стабильные результаты.
Даже в случае инфекционного заболевания, требующего постельного режима, при возобновлении тренировки зафиксировано улучшение результата в соревновательном упражнении (рис. 2, 3).
Наиболее яркий пример парадоксального повышения общего функционального состояния организма после болезни представлен на рис. 3. Так, спортсменка, специализирующаяся в многоборье, сразу после болезни, выступая в соревнованиях во всех видах многоборья, на 1-10% превысила результаты, показанные до болезни.

Рис. 1. Динамика результатов спортсмена М. (мсмк, бег 110м с/б)

Рис. 2. Динамика результатов спортсмена П. (кмс, плавание, 100 м брасс)
Среди многочисленных феноменов улучшения спортивного результата после вынужденного отдыха, связанного с травмами либо болезнями, в зависимости от характера травм и специфики заболеваний встречается различный интервал отдыха. Однако продолжительность отдыха, не сопровождающегося кардинальным падением уровня тренированности, в среднем составляет 2-3 недели.
Зафиксированы отдельные случаи и более длительного сохранения спортивного результата. Так, в прыжках с шестом спортсмену после 2-месячного перерыва в тренировке удалось повторить результат, показанный непосредственно перед перерывом - 5 м 40 см (рис. 4). В беге на средние дистанции после полного отдыха в течение 10-12 дней, вызванного травмой, спортсмен, выступая в соревнованиях, улучшил предыдущий результат, а затем в течение 20 дней, проводя легкую тренировку (через день медленный бег по 6 км), практически сохранил свою результативность (рис. 5).
Для объяснения перечисленных фактов следует учесть, что все описанные выше явления, связанные с сохранением и улучшением спортивного результата после отдыха в течение 2-3 и более недель, как правило, имели место после завершения относительно длительных циклов или этапов подготовки, характерных хроническим наращиванием тренировочных нагрузок. Аналогичных случаев на ранних этапах подготовки, например в начале подготовительного периода, нами не отмечено.
Очевидно, что проявление данного феномена возможно, кроме всего прочего, при хронической кумуляции тренировочных эффектов в результате систематических занятий, когда в организме сформированы глубокие функциональные изменения, лежащие в основе тренированности.
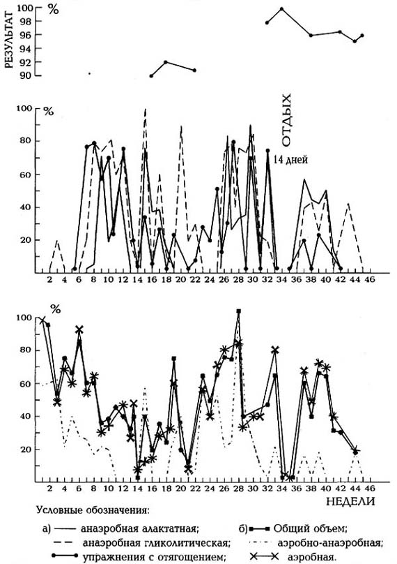
Относительно длительное сохранение результативности спортсменов в условиях продолжительного отдыха зафиксировано нами во многих видах спорта. Учитывая, что в разных видах спорта используются различные частные критерии тренировочных нагрузок, затрудняющие их обобщенный анализ, нам представляется интересным сравнить динамику тренировочных нагрузок у представителей циклических локомоций в беге и плаваний, а также морском многоборье, сочетающем в себе как бег, так и плавание (800 и 200 м соответственно).

Рис. 3. Динамика результатов спортсменки К. (мс, л/атл. - многоборье, соревнования проводились в залах): 1 - прыжки в длину, 2 - прыжки в высоту, 3 - бег 600 м, 4 - бег 60 м с/б
Так, как видно на представленных рисунках (рис. 6-8), незадолго до вынужденного отдыха (20-36 недель от начала годичного цикла подготовки) спортсмены вышли на максимальные недельные объемы по различным средствам подготовки. У спортсменов, специализирующихся в плавании и морском многоборье, общий объем нагрузки достиг своего максимального недельного значения за 1,5 недели до перерыва, а в беге - за 5 недель до перерыва и в обоих случаях - за 4-7 недель до соревнований, где были показаны более высокие, чем до перерыва, результаты. Объем нагрузки анаэробно-гликолитичес-кой направленности достиг своих максимальных величин в плавании за 5 недель до перерыва, и за 8 недель до соревнований, а в беге пик аналогичной нагрузки пришелся несколько раньше, однако за 4-7 недель до соревнований на протяжении нескольких недель акцентированно применялась анаэробно-гликолитическая нагрузка, объем которой колебался от 75 до 90% от уже освоенных параметров в сочетании с предельным объемом упражнений, направленных на совершенствование максимальной скорости бега. На те же сроки пришлись и наибольшие объемы средств с отягощением.
![]() |
![]() |
| Рис. 4. Динамика результатов спортсмена Б. (мс, прыжки с шестом) | Рис. 5. Динамика результатов спортсмена Г. (мс, бег 1500м) |

Рис. 6. Динамика тренировочных нагрузок и спортивного результата в годичном цикле подготовки у спортсмена П. (кмс, плавание,100 м брасс)
Как видно, нагрузка в микроциклах имеет комплексный характер с преимущественным доминированием одного или нескольких средств подготовки, и есть основания полагать, что подобно тому, как определенное сочетание разнонаправленных средств на одном занятии может усиливать сдвиги, вызванные предыдущими упражнениями, точно так же и сочетание разнонаправленных нагрузок в микроциклах имеет подобную зависимость, способную усугублять утомление и вызывать далеко идущие функциональные и структурные перестройки.
Обращает на, себя внимание и тот факт, что как в плавании, так и в беге непосредственно перед перерывом в последнюю очередь были достигнуты практически максимумы нагрузки аэробной направленности. Учитывая, что упражнения, требующие суммарно наибольших затрат энергии (например, длительные аэробные упражнения), сопровождаются и более длительным восстановлением [8], нельзя игнорировать и влияние этого фактора на столь продолжительное сохранение результативности у спортсменов после перерывов в тренировке, даже связанных с инфекционным заболеванием.
Анализируя изложенное, нетрудно заметить, что независимо от вида спорта во всех случаях, связанных с вынужденным перерывом в тренировке, имевшим место по завершении длительных этапов подготовки, не более чем за 5 недель до перерыва, спортсмены достигали максимальных параметров нагрузки как общей, так и в различном сочетании ее парциальных составляющих, после чего даже вынужденный отдых не сказывался отрицательно на результативности спортсменов, а иногда после перерыва демонстрировались даже личные достижения (рис. 7).

Рис. 7. Динамика тренировочных нагрузок и спортивного результата в годичном цикле подготовки у спортсменки И. (мс, морское многоборье)
Следует отметить, что в работах специалистов, изучавших проблему детренированности [2], представлены данные о том, что после длительной гипокинезии (от 5 до 40 суток) "спортсмены в ближайшем периоде после возобновления тренировки показывали обычные и даже рекордные для себя результаты'. Предположительно это объясняется тем, что гипокинезия способствует снятию утомления, накапливающегося в различных формах во время занятий, при этом не нарушая связей, выработанных в процессе тренировки.
Однако не указывается на длительность и характер предшествовавших тренировочных нагрузок, находились ли спортсмены в утомленном состоянии.
В этой связи уместно обратить внимание на исследование Н.В. Зимкина и Ю.Н. Трифонова [1], изучавших влияние тренировки на неспецифическую устойчивость организма. Отмечая зависимость сопротивляемости организма к действию гипоксии, рентгеновскому облучению и другим вредоносным факторам от длительности предшествующей системы воздействий, авторы показали, что после прекращения воздействий, сопротивляемость организма продолжает повышаться, достигая своего максимума через две недели.
Такое улучшение результата или сохранение его после некоторого перерыва, по-видимому, как общебиологическая закономерность является внешним выражением феномена "запаздывающей трансформации". Это подтверждает известную концепцию о необходимой степени временного уменьшения объема тренировочной нагрузки перед демонстрацией наиболее значимого спортивного результата.
Вместе с тем можно полагать, что эффект "запаздывающей трансформации" не единственная причина рассматриваемого феномена. Как указывалось выше, практически все случаи вынужденного временного прекращения тренировки и последующего сохранения и даже улучшения спортивного результата связаны с травмами или болезнями. Однако очевидно, что такое улучшение спортивного результата неправомерно рассматривать с убыванием двигательной активности, вынужденным отдыхом, а это зачастую сопровождается улучшением результативности. То есть не болезнь, а скорее отдых позитивно влияет на спортивный результат. Это вполне объяснимо, так как часто травмы и болезни являются закономерным итогом "перегрузки", особенно если организм подвергается ей в течение достаточно длительного времени. Так, показано, что при выполнении чрезмерных для данного организма нагрузок проявляется общебиологическая закономерность, заключающаяся в том, что все приспособительные реакции организма обладают лишь относительной целесообразностью и даже сформировавшаяся долговременная устойчивая адаптация к физическим нагрузкам может иметь свою повышенную биологическую "цену" [6, 7]. При это "цена" адаптации может проявляться в двух различных формах. Во-первых, в прямом изнашивании функциональной системы, на которую при адаптации падает основная нагрузка, в результате чего возможны прямые повреждения структур организма. Во-вторых, "цена" адаптации может проявиться в нарушениях, возникающих в функциональных системах, непосредственно не связанных с физической нагрузкой, вследствие чего возможны болезни.
Другим проявлением "цены" адаптации является снижение иммунологической реактивности организма у спортсменов при достижении ими "пика" спортивной формы в результате длительной тренировки.
Очевидно, если травмы и болезни есть "цена" адаптации к чрезмерной нагрузке, когда кумулятивный эффект тренировочной нагрузки выходит за границы, отделяющие нормальное физиологическое утомление от переутомления и перетренировки, то период вынужденного отдыха является важнейшим условием, нивелирующим нарушение этих границ. В связи с этим весьма вероятно, что вынужденный реабилитационный перерыв может не повлечь за собой утраты ряда сторон тренированности, так как в результате предшествовавших нагрузок, вызвавших хроническую кумуляцию тренировочных эффектов, были созданы мощные предпосылки для последующих адаптационных, восстановительных процессов. Можно также полагать, что в условиях систематических нагрузок эффект сохранения или даже улучшения спортивного результата после продолжительного отдыха подобен такому известному в спортивной практике явлению, как "суперкомпенсация", когда после усиленного расходования рабочих ресурсов организма, спустя некоторое время, наблюдаются их мощное "сверхвосстановление" и прирост спортивного результата.
Как следует из сказанного выше, на фоне длительной кумуляции следовых эффектов занятий, характеризующих стадию долговременной адаптации, продолжительность относительного отдыха, обеспечивающего преемственность положительных результатов занятий и тем самым создающего условия для прогресса в спортивной деятельности, может достигать в среднем 2-3 недель. По всей вероятности, столь длительный интервал восстановительного отдыха возможен только по завершении крупных этапов и периодов подготовки, когда в результате систематической тренировки затронуты глубинные адаптационные механизмы, ответственные за приспособительные перестроения на уровне клеточных структур организма.

Рис. 8. Динамика тренировочных нагрузок и спортивного результата в годичном цикле подготовки у спортсменки Б. (мс, л/атл., бег 400 м)
Учитывая, что восстановление работоспособности организма после больших тренировочных нагрузок является одной из сторон процесса адаптации его к этим условиям, можно утверждать, что интервал восстановительного отдыха, позволяющего обеспечить столь необходимую преемственность эффектов занятий, в конечном итоге зависит от степени как утомления, так и напряжения адаптационных механизмов, вызванного серией занятий. В этой связи соотношение нагрузки и отдыха в рамках микро-, мезо- и макроциклов должно быть различным. Дальнейшее изучение закономерностей взаимодействия ближайших и следовых эффектов занятий в различных структурных звеньях тренировочного процесса позволит составить более глубокое и целостное представление о закономерностях построения спортивной тренировки, в том числе о реализации принципа ее непрерывности.
Список литературы
1. Зимкин Н.В., Трифонов Ю.Н. Влияние характера мышечной тренировки и эмоциональных воздействий на состояние неспецифической устойчивости организма к неблагоприятным факторам //Материалы конференции по проблеме адаптации, тренировки и другим способам повышения устойчивости организма. Донецк, 1960, с. 37-38.
2. Иоффе Л.А. Докт. дис. М., 1971.
3. Матвеев Л.П. Основы спортивной тренировки: Учебн. пос. для ИФКов. - М.: ФиС, 1977.
4. Матвеев Л.П. Принципы, регламентирующие деятельность по физическому воспитанию //Теория и методика физической культуры: Учебник для ИФКов. - М.: ФиС, 1991, с. 85-113.
5. Матвеев Л.П., Меерсон Ф.З. Принципы теории тренировки и современные положения теории адаптации к физическим нагрузкам //Очерки по теории физической культуры. - М.:ФиС, 1984, с. 224-240.
6. Меерсон Ф.З., Пшенникова М.Г. Адаптация к стрессорным ситуациям и физическим нагрузкам. - М.: Медицина, 1988.
7. Пшенникова М.Г. Адаптация к физическим нагрузкам //Физиология адаптационных процессов: Руководство по физиологии. - М.: Наука, 1986, с. 124-209.
8. Спортивная физиология: Учебник для ИФКов. /Под ред. Я.М. Коца. - М.: ФиС, 1986.
1 К Данной категории были отнесены случаи некоторого ухудшения результатов, но не более чем на 1% от результата, показанного непосредственно перед перерывом. Такое снижение результатов может быть вызвано влиянием привходящих, внетренировочных факторов. За 100% условно был принят спортивный результат, показанный непосредственно перед перерывом.

