| Скачать .docx |
Книга: Книга: Проект производства работ на строительство автомобильной дороги
ПРОЕКТ ПРОИЗВОДСТВА РАБОТ НА СТРОИТЕЛЬСТВО АВТОМОБИЛЬНОЙ ДОРОГИ
Методическое указание к курсовому и дипломному проектированию
Л.И. Самойлова
Рекомендовано УМО вузов РФ по автотракторному и дорожному образованию для межвузовского использования.
Рассмотрены вопросы, возникающие при составлении ППР: определение продолжительности строительного сезона, составление технологических карт, расчет технико-экономических показателей, вопросы повышения качества строительства дорог.
Предназначены для студентов специальности 291000 - автомобильные дороги и аэродромы при выполнении курсовых и дипломных проектов по дисциплине "Технология и организация строительства автомобильных дорог". Указания могут быть полезными также для работников производства, занимающихся составлением ППР и ПОС.
Табл.25. Ил.8. Библиогр.: 42 назв.
Печатается по решению редакционно-издательского совета Владимирского государственного университета.
Рецензенты: д-р техн. наук В.А.Семенов (Владимирский институт бизнеса); кафедра строительства и эксплуатации дорог (Московский государственный автомобильно-дорожный институт (технический университет)).
1 ОБЩИЕ УКАЗАНИЯ
Состав проекта
Рассмотрим кратко структуру проектов, которые рекомендуются кафедрой к выполнению. По дисциплине "Технология и организация строительства автомобильных дорог" выполняются 2 курсовых проекта и 2 курсовые работы: "Возведение земляного полотна", "Строительство дорожной одежды", "Проектирование производственных предприятий", "Проект организации строительства (ПОС) автомобильной дороги". В данном пособии рассматриваются только первые два. Последовательность их выполнения соответствует табл.1.
Таблица 1
Структура проектов
| N п/п |
Наименование раздела |
Трудоемкость раздела, % |
|
| Земляное полотно |
Дорожная одежда |
||
| 1 |
Литературно-патентный обзор |
10 |
10 |
| 2 |
Определение продолжительности строительного сезона |
5 |
5 |
| 3 |
Определение количества необходимых материалов |
- |
10 |
| 4 |
Распределение земляных масс |
20 |
- |
| 5 |
Технико-экономический выбор ведущей машины |
10 |
10 |
| 6 |
Определение темпа потока, длины захватки |
5 |
5 |
| 7 |
Составление технологических карт |
30 |
60 |
| 8 |
Особые условия строительства |
2 |
- |
Курсовой проект включает расчетно-пояснительную записку на 35-40 с. и графическую часть в объеме 1 листа.
Проект производства работ (ППР) на строительство автомобильной дороги разрабатывают для определения эффективных методов выполнения строительно-монтажных работ, способствующих снижению их себестоимости и трудоемкости, сокращению продолжительности строительства объектов, повышению производительности труда и степени использования строительных машин, улучшению качества производства работ.
Проект должен быть составлен с соблюдением правил техники безопасности и охраны труда, а также охраны окружающей среды.
Исходными данными для ППР служат: задание на разработку ППР, ПОС, рабочие чертежи технического проекта, сметная документация, сведения о сроках и порядке поставки материалов, изделий, конструкций, сведения о количестве и типах машин, сведения о рабочих кадрах, данные о заводах и карьерах.
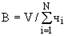
Технико-экономические показатели ППР
Для оценки различных вариантов ППР, составов машинно-дорожных отрядов (МДО) используют технико-экономические показатели: себестоимость работ, удельную трудоемкость работ, сменную выработку, уровень механизации, механоемкость и энергоемкость работ, коэффициент использования машин (форма для заполнения приведена в табл.2).
Таблица 2
Технико-экономические показатели
| N п/п |
Наименование показателя |
Ед. изм. |
Кол-во |
| Исходные данные |
|||
| 1 |
Категория дороги |
- |
|
| 2 |
Протяженность дороги |
км |
|
| 3 |
Объемы земляных работ: |
||
| - линейных |
тыс.м |
||
| - сосредоточенных |
тыс.м |
||
| 4 |
Конструкция дорожной одежды: |
||
| - двухслойный асфальтобетон - 0,09 м |
тыс.м |
||
| - цементогрунт - 0,16 м |
тыс.м |
||
| - песчано-гравийная смесь - 0,30 м |
тыс.м |
||
| 5 |
Искусственные сооружения: |
||
| - железобетонный мост |
шт./пог.м |
||
| - железобетонная труба |
шт./пог.м |
||
| 6 |
Сигнальные столбики / дорожные знаки |
шт./шт. |
|
| 7 |
Автопавильоны |
шт. |
|
| Расчетные показатели |
|||
| 1 |
Себестоимость работ |
тыс.р. |
|
| 2 |
Удельная трудоемкость |
чел.-дн./м |
|
| 3 |
Сменная выработка |
тыс.р./чел. |
|
| 4 |
Уровень механизации |
% |
|
| 5 |
Механоемкость работ |
тыс. p./чел. |
|
| 6 |
Энергоемкость работ |
кВт/чел. |
|
| 7 |
Численность работающих |
чел. |
|
| 8 |
Коэффициент использования машин |
- |
|
| 9 |
Рентабельность |
% |
Рассчитывается экономический эффект от сокращения сроков строительства и ускорения ввода объекта в эксплуатацию.
Себестоимость работ, р.:
, (1)
где
- стоимость материалов, расход которых определяется по производственным нормам, р.;
- стоимость эксплуатации строительных машин, р.;
- стоимость заработной платы, определяемой по калькуляции трудовых затрат, р.;
- накладные расходы, р.,
0,12
.
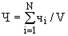
Удельная трудоемкость. чел.-дн./м
(чел.-дн./м
; чел.-дн./пог.м):
, (2)
где
- затраты труда по калькуляции на
-й вид работ, чел.-дн.;
- количество видов работ;
- объем выполненных работ, м
, м
, пог.м.
Выработка (сменная, месячная, годовая), р./чел., м
/чел.-дн.:
;
, (3)
где
- стоимость строительно-монтажных работ,
, р.;
- количество рабочих, занятых в строительстве;
- количество рабочих смен (сменная выработка), месяцев (месячная выработка) в году.
Уровень механизации, %:
, (4)
где
- объем механизированных работ, м
, м
, пог.м.
Механоемкость работ, тыс.р./чел.:
, (5)
где
- стоимость машин (табл.4 приложения), тыс. р.;
- количество машин
-го типа;
- число типов машин в составе МДО.
Энергоемкость работ, кВт/чел., кВт/м
, кВт/м
:
;
, (6)
где
- мощность двигателей машин, кВт;
- время работы машин, маш.-см.
Средний коэффициент использования машин:
, (7)
где
- коэффициент использования
-й машины.
Экономический эффект от сокращения сроков строительства рассчитывается по формулам:
а) в строительной организации за счет экономии условно-постоянной части накладных расходов
,
где
,
- сроки производства работ по вариантам, год;
б) в строительной организации за счет освобождения основных фондов и оборотных средств
,
где
- нормативный коэффициент эффективности в строительстве,
0,12;
- стоимость используемых в организации основных фондов и оборотных средств, тыс.р.:
в) в народном хозяйстве за счет досрочного ввода в эксплуатацию объекта строительства
,
где
- капитальные вложения в строительство дороги (сметная стоимость), тыс.р.
Стройгенплан автомобильной дороги
Разработку ППР начинают с составления строительного генерального плана в масштабе 1:5000 или 1:2000 (рис.1) и дополняют его схемой района строительства, на которой показывают существующую и временную транспортные сети, обеспечивающие строительство материалами, изделиями, оборудованием (рис.2).
М 1: 10000
Рис.1. Стройгенплан: 1 - строительная площадка; 2 - стоянка строительных машин; 3 - промежуточный склад щебня; 4 - временная дорога; 5 - карьер грунта;
- направление строительного потока
М 1:400000
Рис.2. Схема района строительства дороги
строящаяся дорога
ДРСУ
АБЗ
карьер песка
карьер грунта
100 - расстояние транспортирования материалов, км
Стройгенплан дороги включает направление стройпотока, выделение пусковых комплексов, размещение производственных баз, карьеров, резервов и т.д. На плане обозначается расположение постоянных и временных транспортных путей, объектов энерго- и теплогазоснабжения, сетей связи, складов, стройплощадок, стоянок техники и машин, необходимых на период строительства.
На схеме района строительства показывается обеспечение строительства основными дорожно-строительными материалами, изделиями, конструкциями, приводятся способы транспортирования и дальности перевозки материалов, а также характер погрузочно-разгрузочных работ, наличие и состояние подъездных путей, железнодорожных веток и разгрузочных площадок.
Литературно-патентный обзор
Непременным условием высокого качества научных исследований и принимаемых проектных решений является их предварительная проработка по литературным и патентным источникам. Цель написания литературно-патентного обзора - поиск принципиально новых прогрессивных конструкций, материалов, способов организации и производства работ и т.п.
Поиск проводится по литературе за последние 5-10 лет, его необходимо начинать с монографий, посвященных исследуемой проблеме. Затем просматривают справочную литературу, журнал "Автомобильные дороги", учетно-регистрационные издания НТИ: реферативный журнал "Автомобильные дороги", экспресс-информацию, обзорную информацию, информационные и реферативные сборники Информавтодора.
Патентный поиск необходимо вести по журналу "Бюллетень изобретений стран мира". Дорожный раздел и группа классификаций изобретений (ЕО1С, Д, Е, F, Н; Е02Д, G01N) определяются по алфавитно-предметному указателю.
Затем приступают к чтению и конспектированию материала. Составляется план обзора. Во введении указывают актуальность, важность темы, ее научную новизну. В аналитической части обзора материал критически оценивается в таком порядке:
- фиксируется достигнутый уровень знаний в заданной области;
- выясняются оригинальные идеи, методы в этом направлении;
- выявляются недостатки предыдущих исследований;
- намечаются возможные пути дальнейших исследований.
Можно излагать материал в хронологическом или географическом порядке. Все источники, на которые автор ссылается в обзоре, должны быть включены в список использованной литературы в порядке ссылки на нее или ценности источника, или в алфавитном порядке.
Связь списка литературы с текстом обзора осуществляется с помощью ссылок, т.е. порядковых номеров в списке литературы, проставляемых в квадратных скобках в тексте обзора.
В заключение обзора формируют рекомендации и отвечают на вопросы: что в этой области твердо известно, чем это объясняется, на какие вопросы ответ противоречив?
Пример написания обзора приведен в методических указаниях [#M12293 0 855000792 25198 1216776799 2629853156 2947434724 2777115223 6 685171511 442#S].
2 ОПРЕДЕЛЕНИЕ ПРОДОЛЖИТЕЛЬНОСТИ СТРОИТЕЛЬНОГО СЕЗОНА
Из-за изменчивости природных условий продолжительность строительного сезона существенно колеблется в разные годы, поэтому использовать средние значения продолжительности строительного сезона, рекомендуемые в [#M12293 0 855000792 24882 4032942006 1119032955 310777731 4294967262 78 14 429289992030#S], можно лишь как сугубо ориентировочные.
Первым этапом определения продолжительности строительного сезона является изучение климатических факторов для района строительства. Из СНиП 2.01.01-82* делают выписку необходимых климатических характеристик района строительства дороги: температуры наружного воздуха, глубины промерзания грунтов, дат образования и разрушения, высоты снежного покрова. По полученным данным строят дорожно-климатический график (рис.3).
Рис.3. Дорожно-климатический график
Продолжительность строительного сезона в зависимости от группы работ определяют по допускаемой температуре воздуха (табл.3).
Таблица 3
Классификация дорожных работ
| Группа работ |
Наименование работ |
Допускаемая температура воздуха, °С |
| 0 |
Подготовительные, сосредоточенные земляные работы, строительство мостов, труб, временных сооружений |
Ниже 0 |
| 1 |
Линейные земляные работы, устройство слоев дорожной одежды из песка, щебня, гравия, сборного железобетона |
Выше 0 |
| 2 |
Устройство слоев из черного щебня, асфальтобетона, цементобетона и смесей, изготовленных в установках |
Выше +5 (весной),+10 (осенью) |
| 3 |
Устройство слоев дорожной одежды из материалов, укрепленных вяжущими смешением на дороге |
Выше +10 |
| 4 |
Устройство поверхностной обработки |
Выше +15 |
С помощью дорожно-климатического графика устанавливают сроки производства работ по метеорологическим условиям и уточняют их по технологическим и директивным требованиям. Нормы продолжительности строительства содержатся в #M12291 1200000622СНиП 1.04.03-85#S, РСН 63-87 (табл.4).
Таблица 4
Нормы продолжительности строительства местных дорог (РСН 63-87), мес.
| Категория дороги |
Протяженность, км |
Продолжительность |
| 4 |
1 |
6 (1) |
| 2 |
8 (2) |
|
| 3 |
10 (2) |
|
| 4 |
12 (2) |
|
| 5 |
14 (2) |
|
| 7 |
18 (2) |
|
| 10 |
24 (3) |
|
| 5 |
1 |
6 (1) |
| 2 |
7 (2) |
|
| 3 |
10 (2) |
|
| 4 |
11 (2) |
|
| 5 |
12 (2) |
|
| 7 |
16 (2) |
|
| 10 |
22 (3) |
Примечание. В скобках указана продолжительность подготовительного периода.
Пример 1. Рассматривается 2-я категория дороги. Директивный срок строительства установлен 8 месяцев (с 1 января по 31 августа).
Количество календарных дней на период строительства определяется следующим образом. Из общей продолжительности строительного сезона необходимо вычесть продолжительность осенней и весенней распутицы, так как производство работ в этот период затруднено.
Осенняя распутица начинается в период обложных дождей при температуре воздуха ниже 3°С, а прекращается с установлением отрицательных температур воздуха, когда верхний слой грунта промерзнет до глубины 20 см.
Весной распутица наступает вслед за сходом снежного покрова при переходе температуры через 0°С, когда оттаивает верхний слой грунта 5 см. Прекращение распутицы совпадает с моментом просыхания грунта на 20 см и оттаивания его на 50 см. Начало и конец весенней распутицы можно определить по формулам:
,
,
где
,
- начало и конец весенней распутицы;
- дата перехода температуры воздуха через 0°С,
1.04 (см.#M12293 0 855000792 0 0 0 0 0 0 0 185729802рис.3#S);
- скорость оттаивания грунта,
1,2-5 см/сут (большие значения для южных районов и глинистых грунтов).
Сроки производства работ по метеорологическим условиям назначаем для зимних сосредоточенных земляных работ (0-я группа) с 20 ноября по 23 апреля, для летних линейных земляных работ (1-я группа) - с 23 апреля по 20 октября. Устройство подстилающего слоя песчано-гравийной смеси (1-я группа) - с 23 апреля по 20 октября; цементогрунтового основания (3-я группа) - с 10 мая по 15 сентября; асфальтобетонного покрытия (2-я группа) - с 23 апреля по 15 сентября.
Полученные таким образом начало и конец работ по метеорологическим условиям корректируются с учетом технологических и директивных требований всех специализированных потоков.
Технологические требования: земляное полотно следует возводить с опережением работ по устройству дорожной одежды на 25-50%; между специализированными отрядами по дорожной одежде должны предусматриваться организационные (2-3 дня) или технологические (7 дней) перерывы и время на развертывание потока (2-3 дня). Технологический перерыв необходим после устройства слоев из материалов, обработанных неорганическим вяжущим.
Затем определяем количество рабочих смен
в каждом специализированном потоке. Из количества календарных дней
вычитаем выходные и праздничные дни
, простои по климатическим условиям из-за метелей и ливней
, время на ремонт дорожных машин
:
смен.
Данные по выходным дням выписываются из календаря на год строительства. В зимний период одна суббота в месяце должна быть рабочей, а в летний сезон обычно все субботние дни бывают рабочими. Значения
и
определяют по формулам:
;
,
где
- количество дождливых дней в зависимости от дорожно-климатической зоны (ДКЗ), % (табл.5);
- число дней ремонта дорожных машин (табл.6).
Таблица 5
Простои по климатическим условиям
| #G0ДКЗ |
Количество дождливых дней, % |
|
| Глина |
Пески |
|
| 1 |
11 |
5 |
| 2 |
8 |
4 |
| 3 |
5 |
3 |
| 4 |
4 |
2 |
| 5 |
3 |
1 |
| Горы |
7 |
4 |
Таблица 6
Простои на ремонт дорожных машин
| Регионы |
Число дней ремонта дорожных машин в год в ДКЗ |
||||
| 1 |
2 |
3 |
4 |
5 |
|
| Европейская часть |
10 |
18 |
17 |
21 |
21 |
| Сибирь |
13 |
12 |
14 |
14 |
12 |
| Дальний Восток |
7 |
14 |
17 |
- |
- |
Количество смен принимается равным 1 в период при температуре воздуха ниже +5°С и 2 - при более высокой температуре. Расчет продолжительности специализированных потоков сведен в табл.7.
Таблица 7
Определение продолжительности работ специализированных потоков
| Поток по устройству слоя |
Группа работ |
Сроки производства работ |
Количество нерабочих дней |
Количество раб. дн. |
||||||
| по метеорологич. условиям |
по технологическим, директивным требованиям |
выход, празд. |
из-за метелей, ливней |
из-за ремонта маш. |
||||||
| нач. |
кон. |
нач. |
кон. |
прод. |
||||||
| Сосредоточенные земляные работы |
0 |
20.11 |
3.04 |
1.01 |
3.04 |
94 |
26 |
17 |
9 |
42 |
| Линейные земляные работы |
1 |
23.04 |
20.10 |
23.04 |
14.08 |
110 |
19 |
11 |
10 |
70 |
| Укладка: |
||||||||||
| песчано-гравийной смеси |
1 |
23.04 |
20.10 |
3.05 |
18.08 |
108 |
17 |
11 |
10 |
70 |
| цементо-грунта |
3 |
10.05 |
15.09 |
10.05 |
22.08 |
105 |
16 |
11 |
10 |
68 |
| асфальтобетона |
2 |
23.04 |
15.09 |
19.05 |
31.08 |
105 |
16 |
11 |
10 |
68 |
3 РАСПРЕДЕЛЕНИЕ ЗЕМЛЯНЫХ МАСС
Распределение земляных масс показывается на специальном графике (табл.8) в два этапа. На первом этапе устанавливаются возможные источники получения грунта для насыпей и места его отсыпки (заполняются 1-я - 15-я строки графика), на втором - распределяются объемы грунта по видам разработки и транспортировки после технико-экономического выбора ведущего механизма. В табл.8 представлен пример графика для участка дороги ПК0 - ПК10.
Таблица 8
График распределения земляных масс
Примечание. Грунт в выемке и боковых резервах 4-й степени пучинистости, в карьере - песок.
Боковые резервы устраивают на непригодных для сельского хозяйства землях при высоте насыпи менее 1,5 м, на глубину 0,4-1,5 м, но не ниже уровня грунтовых вод. Объем боковых резервов рассчитывается с учетом конструкции земляного полотна, ширины полосы отвода, ценности земель, пригодности грунта, уровня грунтовых вод и т.п.
Местоположение сосредоточенного карьера принимается студентом согласно заданию. Попикетные объемы земляных работ и кюветов, рабочие отметки насыпей и выемок, объем почвенно-растительного слоя грунта, план трассы берутся из курсового проекта N 1 по дисциплине "Изыскание и проектирование автомобильных дорог".
Пригодность грунтов в насыпь определяется в зависимости от степени пучинистости грунта по СНиП [#M12293 0 855000792 79 3704477087 78 23945 2496674701 2949715563 3094927026 42949672723#S]. Грунты 1-й - 3-й степени пучинистости пригодны в насыпь без ограничения, но на связных грунтах толщина дренирующего слоя принимается 0,2-0,3 м, для 4-й группы - 0,5-0,75 м, для 5-й группы - 0,8-1,0 м. Большие значения принимаются для 1-й - 2-й категорий дорог.
Объем дренирующего слоя
рассчитывается с учетом конструкции земляного полотна, дорожной одежды и зависит от пучинистости грунтов, принятых в нижней части насыпи (рис.4):
м
,
где
- ширина дренирующего слоя,
16,5 м;
- толщина дренирующего слоя,
0,5 м;
- длина участка,
100 м.
Рис.4. Конструкция земляного полотна
Из всех возможных источников получения грунта в насыпь в первую очередь рассматриваются кюветы и выемки. Если грунт пригоден для отсыпки земляного полотна, то выемку распределяют в соседние насыпи, а грунт кюветов используют в том же месте, где его разрабатывают. Недостающий грунт в насыпи может быть получен из боковых резервов и сосредоточенного карьера.
Объем оплачиваемых земляных работ находится как сумма объема насыпи и грунта, идущего в отвал (почвенно-растительный грунт, непригодный грунт выемок). По каждому километру и по всей трассе объемы суммируются и отражаются в графе "Итого".
Машины для разработки и транспортировки грунта назначаются по СНиП.
4 ТЕХНИКО-ЭКОНОМИЧЕСКИЙ ВЫБОР ВЕДУЩЕЙ МАШИНЫ
Ведущей машиной называют ту, которая выполняет основной объем земляных работ - разработку и транспортировку грунта.
Для отдельных участков земляного полотна могут возникнуть сомнения относительно рациональности ее выбора, тогда назначаются варианты ведущих машин на этих участках.
Для технико-экономического сравнения намеченных вариантов составляются калькуляции затрат труда на возведение земляного полотна Ниже приведен пример сравнения вариантов при выборе ведущих машин.
Таблица 9
Калькуляция затрат труда на возведение земляного полотна (1-й вар.)
| Источник обоснования норм выработки |
Наименование технологических процессов |
Состав бригады |
Един. измерения |
Объем работ |
(маш.-ч) Расц.,р. |
Кол-во чел.-см. (маш.-c) Зарп.,р. |
| 1. Е2-1-5, п.1б |
Срезка растительного слоя грунта 2-й гр. бульдозером ДЗ-8 в отвал |
Машинист 6-го разр. - 1 |
1000 м |
1,95 |
1,80 (1,80) 1-91 |
0,44 (0,44) 3-72 |
| 2. Е2-1-22, табл.2, п.2б |
Разработка грунта 2-й гр. в боковом резерве бульдозером ДЗ-8 с перемещением на 10 м |
То же |
100 м |
13,31 |
0,68 (0,68) 0-72 |
1,13 (1,13) 9-60 |
| 3. Е2-1-28, п.1б |
Послойное разравнивание грунта 2-й гр. бульдозером ДЗ-8 слоями по 0,3 м |
-"- |
100 м |
13,31 |
0,84 (0,84) 0-89 |
1,40 (1,40) 11-85 |
| 4. Е2-1-29, табл.4, п.2а, 4а |
Послойное уплотнение грунта пневмокатком ДУ-16 за 6 проходов по 1 следу |
-"- |
100 м |
13,31 |
0,40 (0,40) 0-42 |
0,67 (0,67) 5-64 |
| 5. Е2-1-37, табл.2, п.1д |
Планировка верха земляного полотна автогрейдером ДЗ-31-1 за 3 прохода по 1 следу |
-"- |
1000 м |
1,58 |
0,66 (0,66) 0-70 |
0,13 (0,13) 1-10 |
| 6. Е2-1-39, п.1в |
Планировка откосов земляного полотна автогрейдером ДЗ-31-1 |
-"- |
1000 м |
0,46 |
0,57 (0,57) 0-60 |
0,03 (0,03) 0-28 |
| Итого на 1331 м |
3,80 (3,80) 32-19 |
|||||
Таблица 10
Затраты на эксплуатацию строительных машин (1-й вар.)
| #G0Наименование машин |
Количество маш.-смен |
Цена 1 маш.-см., р. |
Общая стоимость, р. |
| Бульдозер ДЗ-8 |
2,97 |
18,48 |
54,89 |
| Автогрейдер ДЗ-31-1 |
0,16 |
19,44 |
3,11 |
| Пневмокаток ДУ-16 |
0,67 |
15,68 |
10,51 |
| Итого на 1331 м |
68,51 |
||
Таблица 11
Калькуляция затрат труда на возведение земляного полотна (2-й вар.)
| Источник обоснования норм выработки |
Наименование технологических процессов |
Состав бригады |
Един. измерения |
Объем работ |
(маш.-ч) Расц.,р. |
Кол-во чел.-см. (маш.-c) Зарп.,р. |
| 1. Е2-1-5, п.1б |
Срезка растительного слоя грунта 2-й гр. бульдозером ДЗ-8 в отвал |
Машинист 6-го разр. - 1 |
1000 м |
1,95 |
1,80 (1,80) 1-91 |
0,44 (0,44) 3-72 |
| 2. Е2-1-1, табл.2, п.1a |
Рыхление грунта 2-й гр. в резерве рыхлителем ДП-14 |
То же |
100 м |
13,31 |
0,21 (0,21) 0-22 |
0,35 (0,35) 2-97 |
| 3. Е2-1-22, табл.2, п.2б |
Разработка грунта 2-й гр. в боковом резерве грейдер-элеватором ДЗ-50 |
-"- |
100 м |
13,31 |
0,67 (0,67) 0-71 |
1,11 (1,11) 9-45 |
| 4. Е2-1-28, п.1б |
Послойное разравнивание грунта 2-й гр. бульдозером ДЗ-8 слоями по 0,3 м |
-"- |
100 м |
13,31 |
0,84 (0,84) 0-89 |
1,40 (1,40) 11-85 |
| 5. Е2-1-29, табл.4, п.2а, 4а |
Послойное уплотнение грунта пневмокатком ДУ-16 за 10 проходов по 1 следу |
-"- |
100 м |
13,31 |
0,60 (0,60) 0-64 |
1,00 (1,00) 8-47 |
| 6. Е2-1-37, табл.2, п.1д |
Планировка верха земляного полотна автогрейдером ДЗ-31-1 за 3 прохода |
-"- |
1000 м |
1,58 |
0,66 (0,66) 0-70 |
0,13 (0,13) 1-10 |
| 7. Е2-1-39, п.1в |
Планировка откосов земляного полотна автогрейдером ДЗ-31-1 |
-"- |
1000 м |
0,46 |
0,57 (0,57) 0-60 |
0,03 (0,03) 0-28 |
| Итого на 1331 м |
4,46 (4,46) 37-84 |
|||||
Таблица 12
Затраты на эксплуатацию строительных машин (2-й вар.)
| Наименование машин |
Количество маш.-смен |
Цена 1 маш.-см., р. |
Общая стоимость, р. |
| Бульдозер ДЗ-8 |
1,84 |
18,48 |
34,00 |
| Автогрейдер ДЗ-31-1 |
0,16 |
19,44 |
3,11 |
| Пневмокаток ДУ-16 |
1,00 |
15,68 |
15,68 |
| Грейдер-элеватор ДЗ-501 |
1,11 |
21,24 |
23,58 |
| Рыхлитель ДП-14 |
0,35 |
19,35 |
6,77 |
| Итого на 1331 м |
83,14 |
||
Пример 2. На участке дороги с ПК 2 до ПК 3 грунт разрабатывается из боковых резервов в объеме 1331 м
и перемещается в насыпь на расстояние до 10 м. Намечены 2 варианта ведущих машин: 1-й вариант применение бульдозера ДЗ-8, 2-й вариант - применение грейдер-элеватора ДЗ-501. Составим калькуляцию затрат труда по вариантам.
Калькуляция трудовых затрат включает подробное описание и объемы подлежащих выполнению работ в их технологической последовательности, нормы затрат рабочего времени и расценки по данному виду работ на измеритель конечной продукции, а также затраты труда и сумму заработной платы на весь объем работ. Калькуляцию трудовых затрат составляют на основе ЕНиР 1 приложения.
При сравнении учитывается работа не только основных, но и вспомогательных машин.
Связные грунты 3-й - 4-й группы трудности разработки при влажности меньше оптимальной необходимо рыхлить на всю глубину (0,25-0,30 м) перед автогрейдером или в виде отдельных борозд перед грейдер-элеватором и скрепером.
При выборе марки экскаватора необходимо учитывать грузоподъемность принятых автосамосвалов, которая должна составлять не менее 3-4 объемов ковша экскаватора.
Объем работ по транспортированию грунта
в калькуляции трудовых затрат для автосамосвалов определяется:
т км,
где
- объем работ на измеритель конечной продукции,
1331 м
;
- плотность сухого грунта,
1,7 т/м
;
- дальность транспортирования грунта, находится из графика распределения земляных масс,
2 км.
Ковш скрепера наполняется обязательно при помощи трактора-толкача. Если отсыпка ведется не кучами, а равномерным слоем при работе скрепера, можно предусмотреть разравнивание грунта автогрейдером, а не бульдозером.
Назначать такое количество проходов катка по одному следу, которое позволяет достичь
0,95. Для несвязных грунтов - 4-6 проходов пневмокатка, для связных грунтов - 6-8 проходов. При уплотнении до
0,98 число проходов увеличить в 1,5 раза. Минимальный требуемый коэффициент стандартного уплотнения принимать по СНиП. Необходимо при назначении количества проходов катка также учесть и тип ведущего механизма.
Так, при отсыпке грунта экскаватором навымет и грейдер-элеватором коэффициент уплотнения всего лишь
0,75-0,80 перед началом уплотнения катками, а при работе скрепера и при регулировании движения автосамосвалов по вновь отсыпанному земляному полотну он может доходить до
=0,90, для бульдозера -
0,80-0,85. Значит, работу уплотнения в первом случае следует принять большую, чем во втором, в 1,5 раза. Окончательное количество проходов катка по одному следу назначается по результатам пробной укатки на эталонном участке.
Потребное количество человеко-смен или машино-смен N, чел.-см. (маш.-см.):
,
где
- норма времени по данному виду работ на измеритель конечной продукции,
1,80 маш.-ч;
- объем работ,
1,95·1000 м
;
- количество часов в смену.
Заработная плата рабочим, р.:
,
где
- сдельная расценка по данному виду работ на измеритель конечной продукции,
1,91 р.
Для каждого варианта производства работ определяют затраты на эксплуатацию строительных машин, используя калькуляцию затрат труда, из которой берут количество машино-смен, и СНиП 4.03-91*) и заносят в Табл. 10
Общая стоимость эксплуатации машин:
р.,
где
- суммарное количество машино-смен (см. табл.9),
=2,97;
- цена машино-часа,
=2,31 р.
Стоимость работ на возведение земляного полотна получают суммированием общей стоимости эксплуатации машин и заработной платы рабочих с учетом накладных расходов 12% (табл.13).
Таблица 13
Стоимость работ на возведение земляного полотна
| Nп/п |
Статьи затрат |
Стоимость по вариантам, р. |
|
| 1 |
Материалы |
- |
- |
| 2 |
Заработная плата |
32,19 |
37,84 |
| 3 |
Затраты на эксплуатацию машин |
68,51 |
83,14 |
| 4 |
Прямые затраты (итого) |
100,70 |
120,98 |
| 5 |
Накладные расходы 12% |
12,08 |
14,52 |
| Итого |
112,78 |
135,50 |
|
При сравнении вариантов лучшим считается тот, который имеет меньшую стоимость производства работ по табл.13 и трудоемкость в человеко-сменах по табл.
После этого заполняются строки 16-25 графика распределения земляных масс, при этом нужно стремиться к однотипности применяемых машин по трассе.
5 ОПРЕДЕЛЕНИЕ ТЕМПА ПОТОКА И ДЛИНЫ ЗАХВАТКИ СПЕЦИАЛИЗИРОВАННОГО ПОТОКА
Наиболее прогрессивным методом организации работ по строительству дороги является поточный. Он предусматривает создание специализированных МДО для сооружения мостов, труб, выполнения сосредоточенных и линейных земляных работ, строительства дорожной одежды.
Земляное полотно
Сменная производительность отряда по возведению земляного полотна (
- темп потока, м
/см) определяется по формуле:
м
/см.
где
- объем земляных масс для данного потока на всей дороге, определяется по табл.8,
79380 м
;
- количество рабочих смен, принимается по табл.7,
42 (для зимних земляных работ).
Длину захватки 1, м/см, рассчитываем по участкам для насыпей с высотой до 1,5 м, до 3 м и выше из-за неравномерности распределения объемов земляных работ по трассе:
м/см,
где
- средняя ширина насыпи на участке (без учета дорожной одежды),
21 м;
- средняя высота насыпи на участке (без дорожной одежды, но с учетом толщины дернового слоя),
3,6 м;
- коэффициент относительного уплотнения,
1,0 (песок),
1,04 (суглинок).
Пример 3. Общая протяженность дороги в рассматриваемом примере - 8,1 км, категория дороги - 2, толщина дорожной одежды - 25 см, толщина снятого почвенно-растительного слоя - 20 см.
Расчет темпа потока и длины захватки для земляных работ сводим в табл.14.
Таблица 14
Расчет темпа частных потоков
| #G0Наименование потока |
Зона действия потока |
Объем работ, тыс.м |
Колич. рабоч. смен |
Темп, м |
Параметры насыпи, м |
Длина захватки, м/см. |
||
| от ПК |
до ПК |
выс. |
шир. |
|||||
| Зимние сосредоточенные работы |
15+00 |
21+00 |
79,38 |
42 |
1890 |
3,6 |
21,0 |
25 |
| Летние линейные работы |
0+00 |
15+00 |
1,2 |
17,5 |
89 |
|||
| 21+00 |
67+00 |
130,55 |
70 |
1865 |
0,7 |
16,8 |
159 |
|
| 67+00 |
81+00 |
1,8 |
18,5 |
56 |
||||
Длина захватки для линейных земляных работ не должна быть меньше 30-50 м. В противном случае необходимо сократить сроки производства работ, откорректировать темп потока и длину захватки.
Земляное полотно отсыпается послойно до низа дорожной одежды и имеет двускатный поперечный профиль. Для каждого участка при соответствующей длине захватки определяем объемы по слоям (табл.15):
(рис.5). При подсчете первого слоя необходимо учесть толщину снятого дернового слоя. В сумме объемы слоев на каждом участке должны равняться темпу потока.
Рис.5. К расчету объемов по слоям
Таблица 15
Объемы земляных работ по слоям на длину захватки l = 159 м
| Пикет |
Объем, м |
Суммарный объем (темп потока), м |
|||
| от |
до |
1-го слоя |
2-го слоя |
3-го слоя |
|
| 21+00 |
67+00 |
710 |
661 |
494 |
1865 |
На участке с ПК 21 по ПК 67 грунт отсыпается в три слоя: скрепером прицепным из выемки в 2 слоя по 0,25 м и из сосредоточенного карьера верхний дренирующий слой 0,2 м.
Дорожная одежда
Длина захватки по строительству дорожной одежды должна быть оптимальной по стоимости производства строительно-монтажных работ. Для ее нахождения сначала определяют минимальную возможную длину захватки
, обеспечивающую выполнение работ в директивные сроки:
м/см.,
где
- протяженность участка дороги, строящегося данным частным потоком,
8100 м;
- количество рабочих смен (см.табл.7),
68.
Затем находят максимально возможную длину захватки
по наибольшему коэффициенту использования ведущей машины в течение смены. С этой целью устанавливают перечень технологических операций, а затем подбирают ведущую машину на основе технико-экономического подсчета, используя при этом соответствующие ЕНиР.
Пример 4. Максимальная длина захватки находится следующим образом:
а) Для устройства асфальтобетонного покрытия - по производительности асфальтобетонного завода (25 т/ч). Сменная производительность завода 25·8·0,8=160 т/см. Расход асфальтобетонной смеси на 100 м
- 12,2 т при толщине слоя 0,05 м, тогда сменная длина захватки определяется из пропорции:
|
|
|
|
|
|
| где |
б) Для устройства цементогрунтового основания - по производительности фрезы
фрезы - 1,18 маш.-ч на 100 м
(0,3 маш.-ч - измельчение грунта; 0,88 маш.-ч - сухое и влажное перемешивание грунта с цементом). Составляем пропорцию:
| #G0 |
|
|
|
в) Для устройства песчано-гравийного основания - по производительности экскаватора
экскаватора - 1,7 маш.-ч на 100 м
. Составляем пропорцию:
| #G0 |
|
|
|
Расчетная длина захватки находится в интервале
и обеспечивает минимальную стоимость производства работ всем комплектом машин при строительстве данного слоя.
Приложение
Таблица 1
ЕНиР на перевозку грузов (норма времени и расценки на 1 ткм)
| Грузоподъемность, т |
В городе |
Вне города по группам дорог |
||||||
| I |
II |
III |
||||||
|
|
Расц. |
|
Расц. |
|
Расц. |
|
Расц. |
|
| 4,0 |
1,20 |
1,44 |
0,61 |
0,73 |
0,81 |
0,97 |
1,07 |
1,28 |
| 4,5 |
1,07 |
1,28 |
0,54 |
0,65 |
0,72 |
0,89 |
0,95 |
1,14 |
| 5,0 |
0,96 |
1,15 |
0,49 |
0,59 |
0,65 |
0,78 |
0,86 |
1,03 |
| 6,0 |
0,80 |
1,00 |
0,41 |
0,51 |
0,54 |
0,68 |
0,71 |
0,89 |
| 7,0 |
0,71 |
0,89 |
0,36 |
0,44 |
0,46 |
0,58 |
0,61 |
0,75 |
| 7,5 |
0,67 |
0,88 |
0,33 |
0,43 |
0,43 |
0,57 |
0,57 |
0,75 |
| 10,0 |
0,50 |
0,66 |
0,24 |
0,32 |
0,32 |
0,42 |
0,43 |
0,57 |
| 11,0 |
0,45 |
0,64 |
0,22 |
0,31 |
0,29 |
0,41 |
0,39 |
0,55 |
| 12,0 |
0,42 |
0,60 |
0,20 |
0,28 |
0,27 |
0,38 |
0,36 |
0,51 |
| 13,0 |
0,38 |
0,54 |
0,19 |
0,27 |
0,25 |
0,35 |
0,33 |
0,47 |
| 14,0 |
0,36 |
0,51 |
0,18 |
0,26 |
0,23 |
0,32 |
0,30 |
0,42 |
| 15,0 |
0,33 |
0,47 |
0,16 |
0,23 |
0,22 |
0,31 |
0,28 |
0,40 |
Примечания. 1. Группа дорог: I - асфальтобетонное, цементобетонное покрытие;
II - щебеночное, гравийное, улучшенное грунтовое;
III грунтовая дорога.
2. Норма времени указана в машино-минутах, расценка - в копейках.
Тaблица 2
Простой автосамосвалов под погрузкой и разгрузкой
(норма времени и расценка на 1 т)
| #G0Грузопод., т |
3 |
4 |
5 |
6 |
7 |
9 |
10 |
12 |
15 |
|
|
2,66 |
2,10 |
1,97 |
1,88 |
1,75 |
1,03 |
0,91 |
0,82 |
0,75 |
| Расц., к. |
3,01 |
2,52 |
2,36 |
2,19 |
1,68 |
1,50 |
1,29 |
1,20 |
1,06 |
Тaблица 3
Цена машино-часа (на 1984 г.), р.
(СНиП IV-3-82)
| #G0Наименование машин |
Цена |
|
| Автобитумовоз: |
4-6 т |
5,84-5,92 |
| 15 т |
6,83 |
|
| Автоцементовоз |
8 т |
6,80 |
| Автогрейдер |
3,27 |
|
| Автосамосвал: |
||
| ЗИЛ - 5 т |
110 кВт |
3,00 |
| МАЗ - 8 т |
130 кВт |
4,20 |
| КамАЗ - 10 т |
154 кВт |
4,95 |
| КрАЗ - 12 т |
176 кВт |
5,05 |
| Асфальтоукладчик |
3,08 |
|
| Бульдозер: |
59-79 кВт |
2,71-3,35 |
| 96-132 кВт |
4,57-5,55 |
|
| Грейдер-элеватор |
3,69 |
|
| Грунтосмесительная маш. |
11,60 |
|
| Каток: |
||
| - вибрационный |
4-6 т |
1,72 |
| - гладковальцовый |
5 т |
2,51 |
| 10 т |
2,59 |
|
| 18 т |
2,63 |
|
| - кулачковый |
6-8 т |
2,51 |
| - пневмокаток |
16-30 т |
3,58-7,55 |
| Распределитель щебня |
4,52 |
|
| Трактор: |
59-79 кВт |
2,25-3,02 |
| 96-132 кВт |
3,90-5,05 |
|
| Поливомоечная машина |
6,78 |
|
| Погрузчик одноковшовый |
2,66 |
|
| Скрепер: |
||
| - прицепной |
3-5 м |
3,67-4,23 |
| 7-8 м |
4,85-5,51 |
|
| 10-15 м |
7,37 -13,60 |
|
| - самоходный |
8-10 м |
6,05-8,40 |
| 15 м |
13,40 |
|
| Экскаватор: |
0,4-0,6 м |
4,00-5,34 |
| 1,0-1,5 м |
6,94-7,40 |
|
| 2,0-3,0 м |
8,35-9,93 |
|
| Фреза |
4,45 |
|
| Комплект ДС-100: |
||
| - профилировщик |
38,60 |
|
| - распределитель бетона |
35,90 |
|
| - бетоноукладчик |
47,10 |
|
| - финишер трубчатый |
6,76 |
|
| - распределитель помароли |
7,73 |
|
| - тележка арматурная |
2,71 |
|
| - погрузчик арматуры |
2,77 |
|
| - нарезчик швов |
1,75 |
|
________________
* Внимание! Документ недействующий - Примечание "КОДЕКС".
Тaблица 4
Стоимость машины, тыс.р. (в ценах 1984 г.)
| #G0Наименование машины |
Стоимость |
|
| Автобитумовоз |
5-8 т |
5,0-5,8-8 |
| Автоцементовоз |
5-12 т |
5,9-6,5-11 |
| Автогрейдер: |
||
| 66-96 кВт |
8,9-9,5-12 |
|
| 96-184 кВт |
14,4-34,0 |
|
| Автосамосвал: |
||
| 5-8 т |
3,6-6,8 |
|
| 10-12 т |
8,8-9,7 |
|
| Асфальтоукладчик: |
||
| 29 кВт |
9,6 |
|
| 37-66 кВт |
13,0-16,4 |
|
| Бульдозер: |
||
| 59-79 кВт |
4,2-7,8-9 |
|
| 96-132 кВт |
9,1-18-22 |
|
| Поливомоечная машина |
5,5-6,3-8 |
|
| Трактор-толкач |
4,8 |
|
| Грейдер-элеватор |
12,5 |
|
| Грунтосмесительная маш. |
34,8 |
|
| Скрепер: |
||
| - самоходный |
19,2 |
|
| - прицепной |
14,2 |
|
| Каток: |
||
| - вибрационный |
4-6 т |
5,6 |
| - гладковальцовый |
5 т |
3,2 |
| 12 т |
7,2 |
|
| - кулачковый |
6-8 т |
5,4 |
| - пневмокаток |
16-30 т |
14,8-16-23 |
| Комплект машин: |
||
| ДС-100 |
500,0 |
|
| Экскаватор |
12,8 |
|
| Распределитель щебня |
18,0 |
|
| Фреза |
14,8-17,2 |
|
БИБЛИОГРАФИЧЕСКИЙ СПИСОК
1Нормы продолжительности строительства и задела в строительстве предприятий, зданий и сооружений. М., 1985. 551с.
2. СНиП 2.01.01-82*. Строительная климатология и геофизика. М., 1983. 136 с.
3. Автомобильные дороги. М., 1986. 52 с.
4. Организация строительного производства. М., 1985. 54 с.
5. Техника безопасности в строительстве. М., 1980. 255 с.
6. Автомобильные дороги. М., 1986. 111 с.
7. СНиП 4.02-91*. Сборники сметных норм и расценок на строительные работы. Сб. 27: Автомобильные дороги. М., 1990. 126 с.
8. СНиП 4.03-91. Сборник сметных норм и расценок на эксплуатацию строительных машин. М., 1990. 126 с.
9. Указания по строительству, ремонту и содержанию гравийных покрытий. М., 1989. 100 с.
10. Правила приемки работ при строительстве и ремонте автомобильных дорог. М., 1990. 40 с.
11. Технические указания по применению битумных шламов для устройства защитных слоев автомобильных дорог. М., 1977. 56 с.
12. Технические указания по устройству дорожных покрытий с шероховатой поверхностью. М., 1990. 57 с.
13.. Нормы расхода строительных материалов на строительство и ремонт автомобильных дорог и мостов. М., 1991. 192 с.
14. ВСН 49-86*. Указания по повышению несущей способности земляного полотна и дорожных одежд с применением синтетических материалов. М., 1986. 212 с.
15. Проектирование и содержание земляного полотна автомобильных дорог в песчаных пустынях. М., 1989. 150 с.
16. Инструкция по изысканию, проектированию и строительству автомобильных дорог в районах вечной мерзлоты. М., 1989. 85 с.
17. Инструкция по устройству покрытий и оснований из щебеночных, гравийных и песчаных материалов, обработанных органическими вяжущими. М., 1978. 48 с.
18.. Инструкция по проектированию, строительству и содержанию зимних автомобильных дорог в условиях Сибири М., 1989. 61 с.
19. ВСН 139-80*. Инструкция по строительству цементобетонных покрытий автомобильных дорог. М., 1980. 106 с.
20. ВСН 178-74. Технические указания по проектированию и производству буровзрывных работ при сооружении земляного полотна. М., 1974. 35 с.
21.. Технические указания по применению сборных решетчатых конструкций для укрепления конусов и откосов земляного полотна. М., 1974. 42 с.
22. Технические указания по использованию зол-уноса и золошлаковых смесей для сооружения земляного полотна и устройства дорожных оснований и покрытий автомобильных дорог. М., 1976. 38 с.
23. ЕНиР. М., 1988. Земляные работы. Вып.1: Механизированные и ручные земляные работы. 224 с.
24. ЕНиР. М., 1988.: Строительство автомобильных дорог. 48 с.
25. ЕНиР. М., 1987.: Peмoнтнo-стpoитeльныe работы. Вып.2: Автомобильные дороги и искусственные сооружения. 64 с.
26. ЕНиР. М., 1987. Сб. В4: Специальные работы в транспортном строительстве. Вып.2: Разработка и перемещение грунтов машинами повышенной мощности. 21 с.
27. ЕНиР. М., 1987. Сб. В4: Специальные работы в транспортном строительстве. Вып.3: Устройство оснований и покрытий машинами повышенной мощности. 16 с.
28. Общие производственные нормы расхода материалов в строительстве. М., 1985. Сб. 29: Дорожные работы. 56 с.
29. Устройство земляного полотна автодорог: Технологические карты /Миндорстрой УССР. Киев: Будивельник, 1989. 160 с.
30. Строительство автомобильных дорог: В 2 т. / Под ред. В.К.Некрасова. М., 1980. Т.1. 416 с. Т.2. 421 с.
31. Строительство автомобильных дорог: Справ. инженера-дорожника /Под ред. В.А.Бочина. М., 1980. 512 с.
32. Технология и организация строительства автомобильных дорог: Учеб. для вузов /Под ред. Н.В.Горелышева. М., 1992. 551 с.
33. Руководство по сооружению земляного полотна автомобильных дорог /Минтрансстрой. М., 1982. 160 с.
34. Эталон проекта производства работ на строительство автомобильной дороги. М., 1982. 81 с.
35. Материалы и изделия для строительства автомобильных дорог /Под ред. Н.В.Горелышева. М., 1986. 288 с.
36. Операционный контроль качества земляного полотна и дорожных одежд /Под ред. А.Я. Тулаева. М., 1985. 224 с.
37. Типовые калькуляции затрат труда и заработной платы на строительство, ремонт и содержание автомобильных дорог и искусственных сооружений /Сост. Г.Ф.Науменко; Миндорстрой УССР. Киев: Будивельник, 1990. 288 с.
38. Пособие по строительству покрытий и оснований автомобильных дорог и аэродромов из грунтов, укрепленных вяжущими материалами /СоюздорНИИ. М., 1990. 102 с.
39. Пособие по организации скоростного строительства автомобильных дорог и аэродромов с использованием комплектов машин ДС-100 /СоюздорНИИ. М., 1990. 85 с.
40. Пособие по строительству асфальтобетонных покрытий дорог и аэродромов /СоюздорНИИ. М., 1991. 98 с.
41. Пособие по приготовлению и применению битумных дорожных эмульсий /СоюздорНИИ. М., 1989. 96 с.
42. Литературно-патентный обзор: Метод. указания к курсовому и дипломному проектированию /Сост. Л.И.Самойлова. Владимир, 1993. 20 с.