| Скачать .docx |
Курсовая работа: Підготовка молодих велосипедистів
Вступ
Розділ 1. Огляд літературних джерел з підготовки юнаків велосипедистів
1.1 Діти середнього шкільного віку та велосипед
1.2 Специфіка підготовки дітей середнього шкільного віку до велосипедного спорту
1.3 Побудова тренувального процесу враховуючи особистості дітей середнього шкільного віку
Розділ 2. Методи та організація дослідження
2.1 Методи дослідження
2.2 Експериментальна частина
Розділ 3. Методи власних досліджень та їх обговорення
3.1 Аналіз власних досліджень
3.2 Кореляційний аналіз власного експерименту
Висновки
Список використовуваної літератури
Вступ
Однією з актуальних проблем спортивного тренування на сучасному етапі є управління тренувальним процесом в оптимальному режимі навантаження. Необхідність такого підходу викликана великими індивідуальними і тимчасовими варіаціями стану спортсмена, внаслідок чого використання однієї і тієї ж дії, однакового тренувального навантаження може привести до різної реакції організму, до різного тренувального ефекту.
Ефективність тренування велосипедистів підвищується, якщо умови роботи м'язів наближені до реального і оптимального зовнішнього навантаження з функціональними можливостями організму спортсмена.
Багато фахівців приділяють особливу увагу оптимальній величині навантаження з врахуванням індивідуальних особливостей організму спортсмена як основі адаптації і подальшого його розвитку. Причому найсприятливіші умови створюються при використанні різних технічних пристроїв адаптивного типа.
У кожного спортсмена є індивідуальна зона оптимальних значень ЧСС. Тренування при ЧСС меншою нижнього значення зони - неефективні, а при ЧСС, що перевищує верхні її значення - шкідливі і небезпечні для здоров'я. Сам спортсмен не завжди може контролювати себе по ЧСС. Тому доцільно в арсеналі тренувального устаткування мати пристрої, що забезпечують умови роботи м'язів максимально наближені до реального і оптимального узгодження зовнішнього навантаження з функціональними можливостями організму спортсмена, таким чином сприяючі підвищенню адаптаційних можливостей організму і ефективності управління тренувальним процесом.
Роботи в цьому напрямі початі І.П. Ратовим і Ю.Т. Черкесовим, а тепер продовжуються їх учнями. Відсутність необхідних доступних і адекватних медико-біологічних датчиків, що визначають фізичний стан людини, ще зовсім недавно стримувало практичне впровадження даних пристроїв в тренувальний процес, а, отже, і не стимулювало подальший розвиток цих технологій.
Проте в доступній нам літературі не виявлено прикладів вживання у велоспорті тренажерів і пристроїв.
Сказане вище обумовлює наукову проблему, суть якої полягає, з одного боку, в необхідності обліку оптимального індивідуального навантаження організму спортсмена при організації управління тренувальним процесом, і відсутністю, з другого боку пристроїв тих, що дозволяють автоматично регулювати навантаження у відповідь реакції організму спортсмена.
В рамках цієї проблеми розроблена тема курсової роботи, актуальність якої забезпечується створенням пристрою для тренування велосипедистів, що працює в адаптивному режимі на основі використання негативного зворотного зв'язку, і розробкою методики його вживання.
Об'єктом дослідження є процес вдосконалення рухових можливостей велосипедистів.
Предмет дослідження - педагогічні і біомеханічні умови використання штучного середовища з негативним зворотним зв'язком в процесі вдосконалення рухових можливостей велосипедистів.
Мета роботи: Обгрунтувати ефективність методу управління тренувальним процесом велосипедистів.
Мета справжнього дослідження зумовила необхідність вирішення наступних завдань:
1. Проаналізувати існуючі засоби, методи і технології управління руховими діями велосипедистів у відповідь реакції організму.
2. Розробити автоматизовану систему безперервного управління руховими діями велосипедистів по негативному зворотному зв'язку.
3. Розробити методику тренування велосипедистів в умовах безперервного регулювання зовнішнього навантаження.
Розділ 1. Огляд літературних джерел з підготовки юнаків велосипедистів
1.1 Діти середнього шкільного віку та велосипед
Діти обожнюють кататися на велосипеді, зазвичай легко освоюють технологію їзди, і годинами крутять педалі своїх "залізних коней" в компанії однолітків. Багато батьків побоюються, аби це захоплення їх дитяти не принесло шкоди їх здоров'ю.
Відзначимо, що для дівчаток, як і для хлопчиків, їзда на велосипеді абсолютно безпечна. Ні фізіологічному розвитку дівчаток, ні на їх майбутньому материнстві і потомству поїздки на велосипеді погано не відбиваються. Тисячі велосипедисток, серед яких і чемпіони світу по велоспорту стають матерями, щасливими людьми. Шкідливий вплив велосипеда на жіночий організм - дозвільна вигадка "нудьгуючих умів".
Що стосується хребта, то і тут побоювання марні. Хребет скривлюється від малорухливого способу життя, від слабкості м'язів спини і попереку. Велосипед тут ні при чому. Навпаки, як показують багаточисельні дослідження, велосипед добре розвиває довгі м'язи тіла, тобто природний м'язовий корсет, який укріплює хребет і не дає йому скривлюватися.
Коли дитя їде на велосипеді, спираючись на кермо руками, частина ваги тіла і голови падає на руки. На хребет навантаження менше. М'язи працюють, напружені. Де тут перевантаження хребетного стовпа? Дитя то сідає, то злізає з велосипеда. Долаючи гору, встає з сідла велосипеда, "танцює" на педалях. Тут все - динаміка, поперемінна напруга м'язів спини і поясу, хороше їх кровопостачання.
Інша справа, що лише кататися на велосипеді дитяті недостатньо. Треба робити гімнастику, плавати, ходити на лижах, бігати, грати в спортивні ігри. А зазвичай, полюбивши велосипед, хлопці, швидше за все, полюблять і інші корисні вправи.
1.2 Специфіка підготовки дітей середнього шкільного віку до велосипедного спорту
При підготовці дітей середнього шкільного віку визначаються такі завдання.
Основними завданнями є: зміцнення здоров'я дітей, різностороння фізична підготовка, навчання посадці, техніці їзди на велосипеді і техніці педалювання.
Підготовка велосипедистів на вказаному етапі базується на загальних педагогічних принципах, тренувальний процес має бути безперервним і цілорічним.
Найбільш значний прогрес у вибраному вигляді спорту можливий лише на основі загального підвищення функціональних можливостей організму, різностороннього розвитку фізичних і духовних здібностей. На етапі початкової підготовки загальна і допоміжна фізична підготовка - це фундамент, на основі якого відбувається подальше вдосконалення юних велосипедистів. Їй приділяється основна увага - об'єм загальної і допоміжної підготовки складає до 90%, а спеціальною - всього 10%. (Поліщук Д.А. 2004г).
В даний час набір в групи початкової підготовки по велосипедному спорту, як правило, проводиться в 11 - 12 років. Річний об'єм роботи у юних спортсменів значною мірою залежить від тривалості етапу початкової підготовки, яка, у свою чергу, зв'язана з часом початки занять спортом. Наприклад, якщо дитя почало займатися велоспортом в 11 років, то тривалість етапу початкової підготовки складатиме 2 роки.
В деяких випадках діти з 9 - 10 років починають виявляти цікавість до велосипедного спорту. Тоді період початкової підготовки повинен скласти 3 - 4 роки, об'єм роботи протягом першого року невеликий - 100 - 150 г. Якщо ж майбутній велосипедист почав заняття велосипедним спортом з 13 - 15 років, то тривалість етапу початкової підготовки часто скорочується до одного або на півроку, а об'єм роботи з врахуванням попередніх занять в школі може досягти рівня його ровесників 250 - 300 г. в рік.
Восени, після відбору підлітків в групу, тренер знайомить їх з основами вигляду спорту, вчить їзді на велосипеді на спеціальних майданчиках або доріжках стадіону. Взимку основна увага приділяється вправам з інших видів спорту і навчанню їзди на велотренажері. Навесні і літом їзда на велосипеді поєднується із заняттями по загальній фізичній підготовці. Заняття тривалістю 60 - 90 хв. органічно поєднуються з уроками фізкультури в школі, носять переважно ігровий характер і проводяться 2 - 3 рази в тиждень [15].
Підготовка велосипедистів на даному етапі характеризується винятковою різноманітністю засобів і методів з інших видів спорті і рухливих ігор. Не слід планувати тренувальних занять із значними фізичними навантаженнями, що передбачають вживання одноманітних, монотонних навантажень. На жаль, на практиці ця вимога ігнорується. Відсівши з груп і втрата талановитих спортсменів відбувається із-за неправильного підбору і дозування вправ, їх одноманітності, загальної низької емоційності занять. На етапі початкової підготовки особливу увагу приділяють вдосконаленню техніки рухових дій (біг, ходьба на лижах, навчання різним спортивним іграм). В цей час у юного спортсмена закладається основа що передбачає опанування широкого комплексу всіляких рухових дій.
Підвищення функціональних можливостей різних систем організму на даному етапі носить різносторонній характер і планується з обліком і відповідно до особливостей природного розвитку рухових здібностей. Основну увагу звертає на розвиток прудкість. При високому темпі приросту фізичних здібностей не слід застосовувати вправи з високою інтенсивністю у поєднанні з нетривалими паузами відпочинку, не прагнути часто брати участь у відповідальних змаганнях, недоцільно планувати тренувальні заняття з великими навантаженнями і ін. На етапі попередньої базової підготовки, який зазвичай охоплює віковий діапазон 14 - 16 років, слід враховувати рухові здібності у підлітків різного віку і пов'язану з цим необхідність різносторонньої підготовки.
1.3 Побудова тренувального процесу враховуючи особистості дітей середнього шкільного віку
Побудова тренувального процесу передбачає досягнення максимально можливих результатів.
Головне завдання - диктує необхідність максимального використання найбільш сильних тренувальних дій, здатних викликати інтенсивне протікання адаптаційних процесів. Сумарні величини об'єму інтенсивності тренувальної роботи зростають до максимальних значень, широко використовуються заняття з великими навантаженнями, збільшується кількість занять в тижневих мікроциклах.
Загальний об'єм роботи складає 900-1400 г., доля загальної фізичної підготовки зменшується до 15%, такий же об'єм і допоміжної підготовки, а спеціальна фізична зростає до 70%.
Спостерігається прагнення до вживання максимальних параметрів тренувальних і змагань навантажень, які за окремими показниками досягли граничних значень (таблиця.1.2).
Таблиця 1.2. Параметри тренувальної роботи юнаків велосипедистів
Гонки на треку |
Параметри |
За тижневий мікроцикл | За рік |
| Об'єм роботи, г. | 30-50 | 1300-1500 | |
| Об'єм роботи, км. | 800-900 | 28000-35000 | |
| Кількість днів занять | 6-7 | 310-330 | |
| Кількість тренувальних. занять | 12-20 | 600-650 | |
| Кількість днів змагань | 6-7 | 100 | |
| Кількість стартів | 20 | 100-120 |
Ефективність роботи залежить від того, наскільки тренер зуміє поєднати в часі період використання потужних засобів тренувальних дій з періодом максимальної схильності організму спортсмена до досягнення найвищих результатів. До цього періоду організм спортсмена має бути підготовлений, з одного боку, природним розвитком, а з іншої - направленим перетвореннями, обумовленими багатолітньою підготовкою. При поєднанні цих умов максимальні спортивні досягнення стають реальністю, якщо цього зробити не удалося, то спортсмен демонструє результати нижче за тих, які він міг би показати.
Вивчення досвіду підготовки і виступів провідних велосипедистів світу дозволяє виявити найбільш характерні тенденції сходження до вершин майстерності залежно від вимог конкретної спортивної дисципліни, об'єму роботи різної спрямованості, динаміки тренувальних і змагань навантажень і ін. Вивчення цих тенденцій дозволить визначити найбільш ефективну тривалість тренування на етапі максимальної реалізації індивідуальних можливостей, встановити доцільну динаміку тренувальних і змагань навантажень, співвідношення роботи різної спрямованості.
Розділ 2. Методи та організація дослідження
2.1 Методи дослідження
Педагогічний експеримент стався протягом з 01.09.2009 р. по 01.12.2009 р. .
Метою дослідження є експериментальний аналіз групи юнаків велосипедистів.
В процесі дослідження належало вирішити наступні завдання:
Аналіз наукової і навчально-методичної літератури.
Розробити найбільш ефективний комплекс вправ у юнаків велосипедистів.
Експериментально перевірити ефективність розробленого комплексу вправ у юнаків.
Метод математичної статистики.
Первинна обробка отриманих експериментальних даних вироблена прийнятими в педагогічних дослідженнях методами математичної статистики. Були виміряні основні антропометричні дані (зростання і вага) як в контрольній, так і в експериментальній групі. За результатами антропометричних даних для оцінки відповідності маси тіла і зростання в динаміці на початку і в кінці експерименту був визначений індекс Кетле по формулі:
K = маса тіла, г / довжина тіла, див.
Індекс Кетле говорить про відповідність маси тіла його довжині. Нормальні показники цього індексу вагаються в межах від 325 до 400 г / см, при заняттях спортом він може досягати 400 г /см, а в деяких спортивних спеціалізаціях - навіть 600 г / см.
Отримані дані для оцінки достовірності результатів були оброблені статистично.
Дані про випробовуваних представлені в 2.1, 2.2 таблицях.
Таблиця 2.1. Деякі параметри оцінки велосипедистів (по Ж.К. Холодову, В.С. Кузнецову)
| Параметри / Оцінка | Відмінно |
Добре |
Задовільно |
Погано |
| Ритм серця (кількість ударів) під час тренування | 70 | 90 | 95 | 100 |
| Рівень тиску до тренування | 120/70 | 125/75 | 130/80 | 140/90 |
| Рівень тиску після тренування | 160/90 | 180/95 | 190/110 | 200/115 |
Метод загального стану велосипедистів.
Методика підготовки складається з наступних основних напрямів: розвиток спеціальної витривалості, запасної швидкості, дистанційної витривалості техніко-тактичної підготовки.
Характерною тенденцією розвитку сучасного спорту вищих досягнень є об'єм змагання на шосе, збільшення загальної кількості змагань в річному циклі, сприяє розвитку швидкісно-силових якостей, в одному макроциклі тренування виділяються етапи ранніх і основних змагань, для підготовки до основних змагань використовується ціла серія стартів.
Календар змагань має бути підпорядкований цілям підготовки з врахуванням необхідної кількості стартів, кваліфікованим спортсменам велосипедистам рекомендовані для освоєння сучасні об'єми навантажень змагань, для тих, що спеціалізуються в індивідуальній гонці переслідування - 7000 км.; з них 5500 км. в змаганнях на шосе і 1500 км. в змаганнях на треку, загальна кількість стартів для тих, що спеціалізуються в індивідуальній гонці переслідування - 105: у тому числі 45 стартів на основній дистанції.
Аналіз літературних джерел, методичних матеріалів показав, що в даний час на 1 етапі підготовчого періоду використовується час, тренувальні навантаження різні за об'ємом, так в планах сильних спортсменів зустрічаються навантаження в діапазоні від 2800 до 4500 км. в місяць.
Знаходження кількісних величин загального об'єму навантаження в місячному циклі тренування була присвячена 1-я завдання дослідження. /Нижегородцев А.Д. 1971/. Зміст її полягав в тому, що велосипедисти 3-х груп виконали різний об'єм навантаження і засобів загальної фізичної підготовки. Перша група спортсменів виконувала навантаження загальним об'ємом 1800, а друга - 2700 км.
На підставі результатів експерименту був зроблений висновок про те, що на першому етапі підготовчого періоду загальний об'єм навантаження є чинником, що надає позитивну дію на рівень спеціальної витривалості. Спортсмени високого класу здатні виконувати загальний об'єм навантаження в місяць, рівний 5000 км., що більшою мірою сприяє спеціальній витривалості.
У другому експерименті визначалася дія загального об'єму інтенсивного навантаження на спеціальну витривалість і швидкісні можливості велосипедистів на 2 етапі підготовчого періоду.
Дані експерименту дозволили зробити висновок про те, що збільшення об'єму інтенсивних вправ на 2 етапі підготовчого періоду до 65% від загального об'єму навантаження позитивно впливає на рівень спеціальної витривалості велосипедистів.
Слід зазначити, що рівень швидкісних можливостей певною мірою відображає виконану величину навантаження. Якщо швидкісні можливості спортсменів впродовж декількох мікроциклів знаходяться на високому рівні, то показник спеціальної витривалості залишається без змін або навіть знижується. Особливо явно виявляється в періоді змагання. Можна передбачити, що рівень швидкісних можливостей є одним з основних критеріїв оцінки стану спортсменів.
При підведенні підсумків можна зробити висновок про те, що у велосипедному спорті доцільно збільшувати об'єм інтенсивного навантаження на другому етапі підготовчого періоду до 75%.
Іншим чинником, який впливає на рівень спеціальної витривалості є співвідношення навантажень силового і швидкісного характеру, в загальному об'ємі інтенсивного навантаження. Не слід забувати про постійне спостереження за частотою сердечних скорочень, враховуючи індивідуальні здібності кожного гонщика, що представляє можливість простежити за індивідуальною можливістю спортсмена переносити навантаження, якісним виконанням даної роботи і своєчасним попередженням надмірною пері навантаження.
Таким чином, ефективність розвитку спеціальної витривалості на 2 етапі підготовчого періоду залежить від питомої ваги інтенсивної роботи швидкісної і силової спрямованості. Рівномірне співвідношення об'ємів тренувальних навантажень швидкісного і силового характеру більшою мірою сприяє вихованню спеціальної витривалості, чим переважне виховання одне з них. Наступним етапом дослідження було вивчення дії на спортсмена інтенсивного навантаження, виконаного з різною швидкістю на 2 етапі підготовчого періоду.
Вживання підвищеного об'єму тренувального навантаження із швидкістю 90-95% від максимального, переважного в даних відрізках дистанції на 2 етапі підготовчого періоду сприяють ефективнішому зростанню спеціальної витривалості.
Проте отриманий висновок правомірний лише при арифметиці рівня розвитку спеціальної витривалості. У подальших дослідженнях було виявлено, що при високому вихідному рівні спеціальної витривалості цей висновок втрачає своє значення.
Велосипедисти з експериментальної групи на початку 1 етапу підготовчого періоду мали високий рівень спеціальної витривалості оскільки в грудні вони вже мали об'єм 50 км. з них 5 км. змаганнях в одноденних гонках, і відповідно, були добре підготовлені. Останнє навантаження планувалося так, щоб спортсмени на 1 етапі підготовчого періоду мали хороший фундамент для підготовки до основних змагань сезону. Проте вживання на 2 етапі підготовчого періоду інтенсивних навантажень, що виконуються переважно в даних відрізках дистанції із швидкістю 90-95%, не дало очікуваного збільшення спеціальної витривалості, хоча рівень загальної витривалості значно виріс. І лише включення в періоді змагання вправ, що виконуються на середніх відрізках дистанції з швидкістю змагання сприяло зростанню спеціальної витривалості.
Наступне завдання дослідження передбачало вивчення двох варіантів навантаження спортсменів до відповідальних змагань сезоні.
Велосипедисти були розділені на дослідні групи. Кожен варіант навантаження складався з 7 денних мікроциклів, що входить в один передзмагання мезоцикл. Об'єми тренувальних навантажень в мезоциклі були також об'єми навантажень третього мезоциклу, оскільки істотних змін при виконанні їх спортсменами на протязі спортивних семи днів не спостерігалося. Об'єми навантажень в сумі за два перші мікроцикли в обох групах також були рівними і наголошувалися лише розподілом швидкісного навантаження при подоланні спортсменами середніх відрізань дистанції на цьому етапі підготовки були такими, що визначає і складала 60% всієї швидкісної роботи. Тому основна увага була направлена на визначення, в якому з двох мікроциклів навантаження має бути інтенсивним.
2.2 Експериментальна частина
Останніми роками у велосипедному спорті спостерігається тенденція до збільшення навантаження змагання. Сильні велосипедисти мають більше 120 стартів в році. У зв'язку з тим, що навантаження змагань є одній з форм спортивного тренування і займають в загальному об'ємі навантаження значне місце. Було завдання визначити вплив різних видів змагань на розвиток спеціальних фізичних якостей.
Таким чином, було встановлено, що збільшення спортивного результату в індивідуальній гонці переслідування можна чекати при використанні рівномірного, а не змінного режиму роботи, як це має місце в групових і командних гонках. Участь гонщиків-переслідувачів в багатоденних змаганнях робить позитивний вплив на динаміку загальної і спеціальної витривалості і позитивно позначається на їх швидкісних можливостях в підготовчому періоді.
На підставі проведених досліджень були найраціональніше згруповані види тренувальних і змагань навантажень на різних етапах річного никла підготовки.
Кращі результати досліджень яких наступні:
І. Яценко - 4.27.132.
А. Симоненко - 4.29.426.
Аналіз підготовки на 1 етапі підготовчого періоду показав, що І. Яценко виконав тренувальний об'єм навантаження на шосе більше, ніж А. Симоненко, проте інтенсивний об'єм юнака значно перевершує показники Яценко. [11]
Моделювання в процесі силової підготовки адаптує спортсмена до вигляду змагання, наприклад вживання максимальних стартів на малій передачі в круту гору розвиває у гонщика вибухову силу в старті;
Модель 5-ти хвилинної максимальної роботи в круту гору на малій передачі розвиває силу і витривалість в індивідуальній гонці на 4 кілометри. Її слід включати в підготовчий період в тренувальні заняття 2 - 3 рази в тиждень залежно від мікроциклу.
Також повне виключення силової роботи за 20 днів до змагань на треку.
Таблиця 2.3. Статистичні показники рухової активності юнаків та дівчат велосипедистів груп
| Експериментальна група | Рівень рухової активності (ккал) | ||
| X | S | ||
Юнаки |
|||
| 1 | ЕГ 1 (п=11) | 2977,54 | 105,53 |
| 2 | ЕГ 2 (п=8) | 2945,86 | 112,57 |
| Р1-2 | >0,05 | ||
| Р 1-3 | <0,05 | ||
Другим не маловажним чинником в підготовці є викочування, вихід на необхідну швидкість і освоєння дороги протягом 10 денного мікроциклу.
Викочування в командах в 3 тренувальних заняттях 2 рази по 20 хвилин по чорній лінії і 2 рази по 10 хвилин під бортом з відпочинком по 10 хвилин. Всі роботи необхідно виконувати не перевищуючи аеробний поріг на ЧСС 120 - 140 уд\хв.
У другий день вже можна починати відпрацьовувати старт 1-го круга з місця 2 рази.
Увечері обов'язкове загортання 5 км. на малій і середній передачі.
В наступні дні слід проводити на всіх тренувальних заняттях розминки по 20 хвилин в гуркіт з кожним днем збільшуючи швидкість до змагання.
Четвертий день проводиться 20-ти хвилинна робота під бортом не перевищуючи аеробний поріг на частоті 150 - 160 уд\хв і 4 рази по 4 кілометри в командах на тих же пульсових режимах (розгін з синьої лінії).
З 5-го дня можна застосувати 5-ти кілометрові відрізки (80-90% зусиль) на шосе в ранішній час. Вечірньої пори це накладення сили варто перетворити в швидкість.
День відпочинку з 2-ма тренуваннями 5 і 4 км. на малій передачі.
7-й день 5 відрізків по 1 км. за машиною на малих передачах, але з 120 зворотами ноги в хвилину, не перевищуючи аеробного порогу.
8-й день трек: 20 хв. розминка до майже максимальної швидкості, відпочинок 7 хв і 2 роботи по 5 км. У колоні з просвітами 5 - 7 м на 95% від максимальної швидкості (розгін з під борти). Відпочинок між роботами 10 хвилин.
Організація дослідження.
Вся програма досліджень була виконана в три етапи. Перший етап проводився з 01.09.2009 р. по 01.10 2009 р... Основною метою досліджень було вивчення різних методів виховання педалюванні у дітей молодшого шкільного віку.
Другий етап (01.10 2009 р. по 01.11.2009 р.) передбачав проведення порівняльного педагогічного експерименту. Для вирішення поставлених завдань були вивчені 2 групи юнаків (середній вік - 14-15 років) гімназії № 82 міста Дніпропетровська. Під спостереженням знаходилися 18 юнаків. З них 11 склали контрольну групу, 7 - експериментальну групу. Контрольна група займалася за шкільною програмою. Експериментальна група займалася по спеціально розробленому комплексу вправ, направлених на виховання фізичних здібностей юнаків-велосипедистів. Віковий і статевий склад юнаків в обох групах був ідентичним.
Третій етап (02.11 2009 р. по 01.12.2009 р.) передбачав виконання статистичної обробки отриманих даних педагогічного експерименту, їх інтерпретацію і оформлення результатів дослідження.
Розділ 3. Методи власних досліджень та їх обговорення
3.1 Аналіз власних досліджень
Аналіз отриманих даних показав, що між контрольною і експериментальною групами випробовуваних юнаків є істотні відмінності.
Антропометричні дані випробовуваних юнаків в обох групах (контрольною і експериментальною) відповідають нормальним середнім віковим показникам. Так, середня величина зростання в контрольній групі склала 123.2 см, в експериментальній - 121,2 см. Середня величина ваги тіла відповідно 20,8 і 21,7 в обох групах. Дані показники зростання і ваги відповідають віковій нормі.
Показники педалюванні приведені в таблицях 3.1 і 3.2 У контрольній групі до початку експерименту (вересень) показник педалюванні склав в середньому - 1,4 см, в кінці експерименту (грудень) - 0,87см. Відповідні показники в експериментальній групі, що займається по методиці акцентованого розвитку педалюванні, склали відповідно - 1,4 на початку експерименту і + 1,31 - в кінці експерименту.
У перерахунку на відсотки абсолютних величин, в експериментальній групі показник педалюванні збільшився на 128% більше в порівнянні з контрольною.
Показники педалюванні свідчать про то що показник на початку навчального року в контрольної групи склав 172 обороти/хвилини, в кінці обстежуваного періоду - 174 обороти/хвилини. У контрольній групі відповідні показники склали також 172 обороти/хвилини на початку дослідження і досягли 179 градуса в кінці дослідження. Різниця по цьому показнику в звичайній групі склала всього 2 обороти/хвилини, в експериментальній групі - 7 обороти/хвилин. Ці відмінності вельми істотні і статистично достовірні (t = 4,17 при р < 0, 01).
Цікаво відзначити, що між дослідженими величинами спостерігається певна залежність. Так, чим вище показник педалюванні по похилому тесту, тим більше величина кута в тазостегновому суглобі і навпаки.
Між антропометричним ростовим для маси показником Кетле і показником педалюванні спостерігалася деяка негативна залежність.
Таблиця 3.1. Контрольна група - юнаки контрольної групи
Ф. И.О. |
Вік (рік народження) | Ріст (см) | Вага (кг) | Тест на педалювання до експиременту оборот/хвил | Тест на педалювання після експерименту оборот/хвил | ||||
| 1 | 2 | 3 | 4 | 5 | 6 | ||||
| 1. Абдрахманова А. | 1994 | 120 | 19.500 | 73 | 56 | ||||
| 2. Авдєєв А. | 1995 | 118 | 19.0 | 72 | 63 | ||||
| 3. Асингужіна Є. | 1994 | 125 | 21 | 65 | 42 | ||||
| 4. Вахитов Є. | 1994 | 124 | 22 | 68 | 53 | ||||
| 5. Горобців Б. | 1994 | 119 | 20 | 76 | 65 | ||||
| 6. Евстегнєєва Л. | 1994 | 118 | 18 | 72 | 74 | ||||
| 7. Загидуллін Л | 1995 | 124 | 20.200 | 73 | 63 | ||||
| 8. Загидулліна І. | 1994 | 130 | 21.300 | 70 | 54 | ||||
| 9. Іванов А. | 1994 | 125 | 20.500 | 68 | 59 | ||||
| 10. Іванов Б. | 1994 | 135 | 23 | 70 | 121 | ||||
| 11. Ковальський Н. | 1994 | 124 | 20 | 67 | 70 | ||||
| Середні показники педалювання | 123,2 | 20,8 | 72 | 74 | |||||
Таблиця 3.2. Експериментальна група
Ф.І.О. |
Вік (рік наро-дження) | Ріста (см) | Вага (кг) | Тест на педалювання до тренування оборот/хвил. | Тест на педалювання після тренування оборот/хвил. |
| 1 | 2 | 3 | 4 | 5 | 6 |
| 1. Бікметов Р | 1995 | 120 | 18.500 | 73 | 69 |
| 2. Бікулова А. | 1994 | 118 | 19 | 72 | 68 |
| 3. Голощапов Ст... | 1994 | 119 | 19.500 | 69 | 66 |
| 4. Евдокимова Р. | 1994 | 125 | 26 | 78 | 60 |
| 5. Зінатуллін Л. | 1995 | 123 | 24 | 72 | 69 |
| 6. Петров Ст. | 1994 | 120 | 19.500 | 70 | 68 |
| 7. Петров Н. | 1994 | 119 | 20 | 69 | 58 |
| 8. Котів О. | 1994 | 1125 | 23 | 72 | 60 |
Середні показники педалювання |
121,2 | 21,7 | 72 | 58 |
Таким чином, між контрольною і експериментальною групами спостерігаються істотні відмінності. Позитивна динаміка в педалюванні у випробовуваних контрольної групи, вочевидь, пояснюється деяким поліпшенням рухливості завдяки заняттям фізичною культурою за звичайною програмою.
Оскільки в експериментальній групі увага була акцентована на розвиток як пасивної, так і активної форми педалювання, значніші зміни пояснюються саме ефектом акцентованого розвитку педалювання. Методика проведення занять на акцентований розвиток педалювання описана в розділі "Огляд літературних даних".
Оскільки віковий і статевий склад в обох досліджених групах є ідентичним, відмінності в динаміці розвитку педалювання пояснюється особливою методикою проведення уроків фізичної культури, яка позитивно позначається на розвиток такої важливої рухової якості як педалювання.
За антропометричними даними індекс Кетле в кінці обстеження у юнаків контрольної групи склав 179 г/см, у юнаків експериментальної групи - 169 г/см. Такі показники масарістового індексу побічно можуть свідчити про вищий рівень педалювання у юнаків контрольної групи. Цей факт також говорить на користь того, що акцентовані заняття на розвиток педалювання позитивно позначаються на антропометричних чинниках, які і визначають рівень педалювання.
В.Г. Мінченко і Б.В. Міхайлов експериментально показали позитивний вплив підвищення інтенсивності тренувальних навантажень. Справжня робота розширює і заглиблює вказане методику в підготовці велосипедистів, здатних заповніть в річному циклі об'єм навантажень 220-270 км.
У проведеному педагогічному експерименті прийняли участь 18 юнаків-школярів.
Спортсмени були розподілені на дві групи, які впродовж 5 місяців експериментального тренування виконували наступні завдання.
Контрольна група тренувалася загальноприйнятим способом. Початок експериментального періоду збігався з початком річного тренувального циклу. У грудні, тобто на першому етапі підготовчого періоду, велосипедисти виконували рівномірні навантаження виключно аеробної спрямованості з ЧСС від 130 до 156 уд/хв. У січні і лютому об'єм тренувального навантаження значно збільшився. При цьому аеробна робота склала 80-90% спеціальних завдань, а на долю змішаних нагрузок, куди включався силовий і інтенсивний об'єм (при ЧСС 160-185 уд./хв), доводилося 10-12% загального об'єму.
1-я дослідна група безпосередньо після завершення перехідного періоду, на відміну від контрольної групи, виконала не лише аеробні, але і змішані загрузки. Їх, доля складала в грудні 35%, а в січні і лютому в середньому 43% від загального об'єму кілометражу (див. рисунок 3.1)
2-я дослідна група в порівнянні з 1-ою в грудні виконала більший об'єм загального навантаження при підвищеній інтенсивності завдань.
Загальний об'єм соціальної роботи, а також співвідношення аеробних, змішаних, анаеробних і змагань навантажень за березень-квітень у всіх групах був однаковим.

Рисунок 3.1. Структура тренувальних навантажень випробовуваних велосипедистів за період педагогічного експерименту.
Таким чином, випробовувані всіх двох груп за експериментальний період, що складається з 3,5 місяця першого етапу періоду змагання, витратили відносно однаковий час на виконання спеціальних навантажень і ОФП. Однак доля інтенсивних навантажень в підготовчому періоді, особисто в грудні, була неоднаковою: найменша в контрольній, а найбільша в експериментальній групі.
Всі випробовувані 4 рази обстежувалися в умовах лабораторії. Під час виконання ступінчастого навантаження повністю на модифікованому велоергометрі "Монарк" визначався сумарний час роботи на всіх "сходинках" (Тст), величина РWCмаксимальний вжиток кисню (МПК). Поріг анаеробного обміну в критеріях потужності навантаження (ПАНО) і величина критичної потужності роботи, тобто тій потужності тестуючої нагрузки, при якій у спортсмена наставало МПК.
Обстеження, проведене в листопаді, мало значення точки відліку стану випробовуваних всіх груп. Проводилося воно після завершення перехідного періоду попереднього річного циклу, на початку підготовчого періоду сезону. Результати тестування в грудні і лютому характеризують зміни стану спортсменів на окремих етапах підготовчого періоду.
3.2 Кореляційний аналіз власного експерименту
Регресійний аналіз.
Якщо по результатам тренувань розрахувати і побудувати графік рівняння регресії для відносних значень PWC170 і часу фізичного руху 3х10 м у 13 досліджуваних і зробити висновок про точність розрахунку рівнянь, якщо дані вибірок такі:
xi , кГ м/хв/кг ~ 15,6; 13,4; 17,9; 12,8; 10,7; 15,7; 11,7; 12,3; 12,3; 11,1; 14,3; 12,7; 14,4
yi , з ~ 6,9; 7,2; 7,1; 6,7; 7,6; 7,0; 6,4; 6,9; 7,7; 7,6; 7,9; 8,2; 6,8
Якщо, коефіцієнт детермінації:
- регресійна модель адекватна.
Коефіцієнт множинної кореляції ![]()
То,
1. Необхідно занести дані тестування в робочу таблицю і зробити відповідні розрахунки.
| xi | xi
- |
(xi
- |
Yi | yi
- |
(yi
- |
(xi
- |
| 15.6 | 2.1 | 4.41 | 6.9 | -0.3 | 0.09 | -0.63 |
| 13.4 | -0.1 | 0.01 | 7.2 | 0 | 0 | 0 |
| 17.9 | 4.4 | 19.36 | 7.1 | -0.1 | 0.01 | -0.44 |
| 12.8 | -0.7 | 0.49 | 6.7 | -0.5 | 0.25 | 0.35 |
| 10.7 | -2.8 | 7.84 | 7.6 | 0.4 | 0.16 | -1.12 |
| 15.7 | 2.2 | 4.84 | 7.0 | -0.2 | 0.04 | -0.44 |
| 11.7 | -1.8 | 3.24 | 6.4 | -0.8 | 0.64 | 1.44 |
| 12.3 | -1.2 | 1.44 | 6.9 | -0.3 | 0.09 | 0.36 |
| 12.3 | -1.2 | 1.44 | 7.7 | 0.5 | 0.25 | -0.60 |
| 11.1 | -2.4 | 5.76 | 7.6 | 0.4 | 0.16 | -0.96 |
| 14.3 | 0.8 | 0.64 | 7.9 | 0.7 | 0.49 | 0.56 |
| 12.7 | -0.8 | 0.64 | 8.2 | 1 | 1 | -0.80 |
| 14.4 | 0.9 | 0.81 | 6.8 | -0.4 | 0.16 | -0.36 |
1. Якщо розрахувати значення нормованого коефіцієнта кореляції по формулі:

2. Якщо розрахувати кінцевий вид рівнянь прямолінійної регресії по формулах (3.1) і (3.2):
(3.1)
(3.2)

Т. ч.
![]()
4. Якщо розрахувати абсолютні погрішності рівнянь регресії по формулах (3.3) і (3.4):

5. Необхідно розрахувати відносні погрішності рівнянь регресії по формулах (3.5) і (3.6):

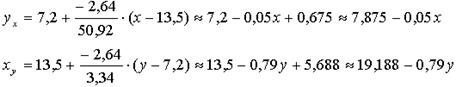
6. Для графічного представлення кореляційної залежності між ознаками розрахувати координати ліній регресії, підставивши в кінцевий вид рівнянь (3.7) і (3.8) дані будь-якого досліджуваного (наприклад, четвертого зі списку).
Тоді:
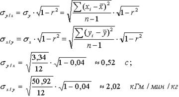
при х = 12,8 кгм/хв/кг у =7,235 з " 7,2 з;
при в = 6,7 з х = 13,895 з " 13,9 кГм/хв/кг.
Аналіз рядів динаміки.
Якщо маємо
| Учасник | Результат | ||||||
| 1 | 56 | xt | T | t^2 | t^3 | T^4 | xt^2 |
| 2 | 56 | 56 | 1 | 1 | 1 | 1 | 56 |
| 3 | 54 | 112 | 2 | 4 | 8 | 16 | 224 |
| 4 | 12 | 162 | 3 | 9 | 27 | 81 | 486 |
| 5 | 28 | 8 | 4 | 16 | 64 | 256 | 32 |
| 6 | 28 | 40 | 5 | 25 | 125 | 625 | 200 |
| 7 | 25 | 48 | 6 | 36 | 216 | 1296 | 288 |
| 8 | 32 | 35 | 7 | 49 | 343 | 2401 | 245 |
| 9 | 21 | 256 | 8 | 64 | 512 | 4096 | 2048 |
| 10 | 23 | 9 | 9 | 81 | 729 | 6561 | 81 |
| 11 | 28 | 30 | 10 | 100 | 1000 | 10000 | 300 |
| 12 | 26 | 88 | 11 | 121 | 1331 | 14641 | 968 |
| 13 | 28 | 72 | 12 | 144 | 1728 | 20736 | 864 |
| 14 | 36 | 104 | 13 | 169 | 2197 | 28561 | 1352 |
| 15 | 54 | 84 | 14 | 196 | 2744 | 38416 | 1176 |
| 16 | 26 | 810 | 15 | 225 | 3375 | 50625 | 12150 |
| 17 | 78 | 96 | 16 | 256 | 4096 | 65536 | 1536 |
| 18 | 16 | 1326 | 17 | 289 | 4913 | 83521 | 22542 |
| Всього | 560 | 25 | 25 | 625 | 15625 | 390625 | 625 |
| 7076 | 325 | 5525 | 105625 | 2153645 | 127554 |
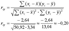
1) у досліджуваній групі спостерігається недостовірний зворотний взаємозв'язок між даними відносних значень PWC170 і часу машинного бігу 3х10 м, тому що rху = - 0,20 < rst = 0,55 для ДО= 11 при = 95%;
2) відносна погрішність функції ух = 7,875 - 0,05х менше (7,22%), а, отже, прогноз результату в машинному бігу за даними відносних значень проби PWC170 більш точний.
Висновки
1. За останні роки результат в індивідуальній гонці переслідування на 4 км. виріс з 4.32.53 секунд до 4.19.15 секунд, що складає 13 секунд. Але не можна судити про те, що результат виріс лише із-за доброї підготовленості спортсменів та удосконалення інвентаря і нових технологій в конструкції велосипеда і устаткування до нього. Також чинниками підвищення спортивних результатів, що можуть впливають на результат є:
А) місце розташування велотреку (високогір'я, середньо гір`я).
Б) покриття полотна велотреку.
В) погодні умови при відкритому треку.
2. Характеризуючи систему підготовки велосипедистів до індивідуальної гонки переслідування на 4 км. слід зазначити:
А) потрібно добитися добрих результатів на рівні майстрів спорту на шосе.
Б) виконати великий об'єм навантаження змагання на шосе (5-7 тис. км).
В) має бути система вкраплення етапів підготовки на треку, з врахуванням індивідуальних особливостей спортсмена.
3. У мікроциклі тренувань періоду юнаків велосипедистів слід виконати спочатку звикання до трека, а потім правильно підійти до тренувань та змагань з врахуванням індивідуальних особливостей гонщика.
На підставі вищевикладеного нами зроблені наступні виводи:
Підготовчий період - найбільш тривала одиниця тренувального макроциклу. Виходячи з сучасних вимог на цьому етапі підготовки повинні переважати спеціальною підготовкою вправи максимально наближені до змагань.
Для базового мезоциклу 1-етапу підготовчого періоду висококваліфікованих велосипедистів характерні мезоцикли двох типів: втягуючих і базові, а для другого контрольно-підготовчі або перед-змагання.
3. При розробці індивідуальних тренувальних планів слід використовувати рекомендації т. т. Гаммерштедта Ю.А. 1972 Жіхаревіча св., Черелисиной М.А. (1973г)
4. Таким чином виконання підвищеного об'єму специфічних тренувальних навантажень в першому місяці підготовчого періоду, а також використання на всьому протязі цього періоду інтенсивною тренувальною роботи, доля якої складає від 30-60% загального кілометражу є вельми ефективним.
Список використовуваної літератури
1. Бахвалов В.А. Роль тренера в організації виступу велосипедистів в змаганнях по треку. Велосипедний спорт. - М.; ФІС., 1977г.
2. Вильчковский Э.С. Физическое воспитание школьников в семье. - К.: Рад. шк., 1987. - 128 с.: ил.
3. Доман Г. Как сделать ребенка физически совершенным: Пер. с англ. - М.: АСТ, Аквариум, 2000. - 333 с.
4. Ердаков С.В. Підготовка велосипедистів - преследователей до відповідальних змагань. Ежегодник1975г. Велосипедний спорт - М.; ФІС., 1975г.
5. Ердаков С.В. Підсумки сезону-84 Щорічник. Велосипедний Спорт-м., ФІС., 2006
6. Крилатих Ю.Г. Техніка гонщиків-переслідувачів. Щорічник-м., ФІС., 2004
7. Лайзане С.Я. Физическая культура для детей: Кн. для учителя школы. - М.: Просвещение, 1987. - 160 с.: ил.
8. Морфофункциональное созревание основных физиологических систем организма детей школьного возраста / Под ред. М.В. Антроповой, М.М. Кольцовой. - М.: Педагогика, 1983.
9. Ніжегородцев А.Д. Дослідження ефективності різних видів змагань у зв'язку з вихованням спеціальної витривалості велосипедиста (на прикладі гонки переслідування на 4 км). Автореферат-м., 2002
10. Ніжегородцев А.Д. Дослідження спеціальної витривалості при різних поєднаннях об'ємно-інтенсивною Навантаження-м., ФІС., 2001
11. Осадчий В.П. Управління розвитком фізичних якостей при підготовці велосипедистів високого класу. Щорічник-м., ФІС., 1983г.
12. Осадчий В.П., Поліщук Д.А. Система педагогічного контролю за розвитком спеціальних фізичних якостей велосипедистів: Велосипедний спорт - М., ФІС., 1980г.
13. Пензулаева Л.И. Физкультурные занятия с детьми: Пособие для учителя школы. - М.: Просвещение, 1998. - 143 с.: ил.
14. Платонов В.Н. Загальна теорія та методика підготовки спортсменів в олімпійському Спорті., Олімпійська література, 2006
15. Платонов В.Н. організаційно-методичні проблеми підготовки велосипедистів Щорічник-м., ФІС., 1983г.
16. Платонов В.Н. Підготовка квалифицированых спортсменів - М., ФІС., 2003
17. Поліщук Д.А. Велосипедний спорт. Учбовий посібник., Віща школа 1998г.
18. Поліщук Д.А. Велосипедний Спорт., Олимпийская література, 1997г.
19. Поліщук Д.А. Дороги вдосконалення методики підготовки змагання велосипедистів високої кваліфікації. Велосипедний Спорт-м., ФиС., 1976г.
20. Поліщук Д.А. Підсумки сезону-80 в гонках по треку. Щорічник-м., ФІС. 1981г.
21. Практикум по общей физиологии и физиологии спорта. / Под редакцией А.Б. Гандельсмана. - М.: Физкультура и спорт, 1973.
22. Руденко В.П. Структура діяльності змагання велосипедистів в річному циклі підготовки (на матеріалі індивідуальної гонки). Автореферат, 2001.
23. Физиологические методы исследования в спорте С.Н. Кучкин, В.М. Ченегин. - Волгоград: изд. В.Г. И.Ф.К., 1982.
24. Физиология спорта. А.С. Солодков, Е.Б. Сологуб. СПб.: СПбГАФК им. П.Ф. Лесгафта. 1999.
25. Физиология спорта. Физиологические особенности спортивных упражнений скоростно-силового характера Н.А. Масальгин. - М.: изд. С.Г. И.Ф.К., 1979.
26. Физическая культура школьника: Ученик / Под ред.В.И. Ильинича. 2001г.
27. Физическая культура: Учебное пособие / Под ред. Коваленко В.А. 2000г.
28. Физическое воспитание детей школьного возраста: Кн. учителя школы / Сост. Ю.Ф. Луури. - М.: Просвещение, 1991. - 61 с.
29. Філін В.П. Виховання фізичних якостей у спортсменів - М., ФиС. 2006.
30. Хухлаева Г.В. Занятия по физической культуре с детьми: Кн. учителя школы. - М.: Просвещение, 1992. - 192 с.: ил.
31. Энциклопедия здоровья. Молодость до ста лет. Белов В.И. 1993г.
32. http://fkvot. infosport.ru/1996N1/p5-10. htm Концепция физического воспитания детей и подростков // Физическая культура: Научно-методический журнал. - 1996. - № 1.
33. http://www.infosport.ru/press/tpfk/1999N3/p54-58. htm Инновационные направления развития системы физического воспитания детей школьного возраста // Теория и практика физической культуры: Научно-теоретический журнал. - 1999. - № 3.