| Скачать .docx |
Курсовая работа: Дослідження розвитку швидкості у підлітків загальноосвітньої школи
Міністерство освіти України
Запорізький національний університет
Факультет фізичного виховання
КУРСОВА РОБОТА
з методики та теорії фізичного виховання
на тему:
"Дослідження розвитку швидкості у підлітків загальноосвітньої школи"
Виконала: ст. 3-го курсу
гр. 1212/6
Цвєткова Ю.А.
Перевірила: Коваленко Ю.О.
Запоріжжя
ЗМІСТ
ВСТУП
1. ОГЛЯД ЛІТЕРАТУРИ
1.1 Вікові особливості формування особистості юного спортсмена і його виховання
1.1.1 Молодший шкільний вік
1.1.2 Підлітковий вік
1.1.3 Юнацький вік
1.2 Розвиток і удосконалення фізичних здібностей дітей підліткового віку
1.2.1 Вікові особливості розвитку сили і швидкісно-силових здібностей
1.2.2 Вікові особливості розвитку швидкісних здібностей
1.3 Вікова періодизація обсягу тренувальних навантажень
1.3.1 Основи вікової періодизації тренувальних навантажень
1.3.2 Періодизація загального обсягу тренувального навантаження
1.3.3 Періодизація вибіркового обсягу тренувального навантаження
1.4 Засоби виховання швидкісних здібностей
1.5 Визначення розвитку швидкісних здібностей
2. заВДАННЯ ТА МЕТОДИ ОРГАНІЗАЦІЇ ДОСЛІДЖЕННЯ
3. АНАЛІЗ РЕЗУЛЬТАТІВ ДОСЛІДЖЕННЯ
ВИСНОВКИ
СПИСОК ВИКОРИСТАННОЇ ЛІТЕРАТУРИ
ВСТУП
Формування особистості при багаторічній спортивній підготовці — це динамічний процес, в основу якого покладено вікові й індивідуальні зміни взаємодії спортсмена з навколишнім світом, включаючи соціальне оточення, засвоєння норм, правил і моральних критеріїв, які регулюють поведінку.
До кожного з періодів розвитку особистості залежно від віку і етапу спортивної підготовки ставляться певні соціальні вимоги. На підставі цих вимог розроблено права і обов'язки учнів ДЮСШ або спеціалізованого спортивного класу.
Система педагогічного впливу тренера, спрямованого на формування позитивних якостей особистості, повинна повністю відповідати вимогам загальноосвітньої школи, а також віковим можливостям і здібностям юного спортсмена.
Педагогічна і спортивна практика свідчить про те, що на етапі попередньої підготовки слід виховувати у юних спортсменів такі якості, як любов до Батьківщини, почуття дружби і поваги до старших, доброту, чесність і працьовитість, бережливість, дисциплінованість, старанність і допитливість, любовь до прекрасного, прагнення бути сильним, спритним, загартованим. Діти 7—8 років психологічно цілком підготовлені до чіткого розуміння цих вимог, і все залежить від того, якими засобами і методами скористується тренер.
У цьому віці треба розвивати такі властивості особистості: почуття патріотизму, свідомість і колективізм; гуманність, чесність, сумлінне ставлення до праці, спортивного тренування; дисциплінованість і активність; сміливість і силу волі; самокритичність,скромність і допитливість. Не менш важливим є естетичне виховання особистості.
На етапі поглибленої спортивної спеціалізації багато юнаків і дівчат досягають високих спортивних результатів, що значно підвищує відповідальність особи за свої поступки, дії, ставлення до суспільства. У цей час перед педагогами стоїть завдання подальшого розвитку і вдосконалення тих самих якостей, що й на попередніх етапах.
На будь-якому етапі спортивної підготовки зміст педагогічного впливу має відповідати віковим особливостям розвитку особистості юного спортсмена.
Тема курсової роботи: „Дослідження розвитку швидкості у підлітків загальноосвітньої школи”.
Актуальність роботи: етап початкової спортивної підготовки, що збігається в багатьох видах спорту з підлітковим віком, характерний зростанням соціальних вимог до особистості юного спортсмена, ускладненням змісту педагогічного впливу. Тому саме вивчення особливостей розвитку підлітків та розвитку різних фізичних здібностей в цьому віці є актуальним.
Об’єкт дослідження: учні загальноосвітньої школи.
Суб’єкт дослідження: учні 8-го класу.
Предмет дослідження: особливості розвитку швидкості в підлітковому віці.
1. ОГЛЯД ЛІТЕРАТУРИ
1.1 Вікові особливості формування особистості юного спортсмена і його виховання
1.1.1 Молодший шкільний вік
У цей віковий період відбуваються певні зміни в соціальних зв'язках, оцінці навколишньої дійсності. Для юних спортсменів авторитет учителя, тренера виходить на перше місце. Діти стають активними у громадських справах, живуть інтересами колективу. Про своїх товаришів судять прямолінійно, на зауваження не ображаються, завжди готові допомогти ровеснику. У цьому віці дітям властиві життєрадісність і добрий настрій.
Основним фактором розвитку психіки є навчання. Характерні особливості сприйняття у перший рік навчання і виховання — його недостатня диференціація, деяка поверховість і слабка цілеспрямованість.
Спортсмени-початківці добре сприймають лише той об'єкт, що пов'язаний з емоціями, має певне значення і зовнішні зрозумілі ознаки, на підставі чого й створюється уявлення про об'єкт.
У зв'язку з цим уявлення і формулювання, які належать до структури особистості юного спортсмена, мають бути достатньо чіткими, доступними для його свідомості. Близькі за змістом об'єкти діти найкраще засвоять, якщо їх порівняти між собою.
Пам'ять у дітей досить добра, і вони легко засвоюють все нове, конкретне і яскраве. Як і всі психічні процеси, пам'ять (у тому числі рухова, або моторна) дуже залежить від розвитку особистості, діти легко запам'ятовують усе, що їх цікавить, що їх близько стосується.
У цьому періоді діти жадібно поповнюють свої враження й уявлення. Вони добре відчувають чуйне ставлення до них, захоплено сприймають красу природи. Відомий радянський педагог В.О. Сухомлинський під час навчання дітей молодшого шкільного віку значну частину часу проводив з ними в лісі, саду, на лузі. Спілкування з природою сприяло формуванню у його вихованців позитивних якостей особистості [1, 103].
При організації занять на відкритому повітрі тренерові не слід забувати про те, що дитина повинна мати не лише фізичне навантаження, а й емоційне, спостерігаючи за навколишнім середовищем, тренуючи уяву і пам'ять.
Існує думка, що в дітей молодшого шкільного віку переважає механічне запам'ятовування, тобто вони легше запам'ятовують вправи, які їм показують. Багато хто з тренерів так і поступає. Однак перш ніж дати дитині завдання вивчити вправу або комбінацію вправ, треба їх не лише показати, а й розказати про принцип їх побудови, послідовність виконання тощо. Неусвідомлене запам'ятовування як моральних правил, так і фізичних вправ дає малий ефект. Якщо матеріал зрозумілий, він набагато краще запам'ятовується і відтворюється.
Дитяча увага має вибірковий характер і спрямована на те, що є для дитини особливо значним. Утримати увагу дитини на якомусь одному об'єкті дуже важко. Досвідчений тренер відчуває, коли вихованці стають неуважними, і переключає їх увагу на інший об'єкт.
Обсяг уваги у дітей молодшого шкільного віку невеликий; в той же час вони, по суті, вчаться за двома програмами: загальноосвітньої та спортивної школи і їм доводиться сприймати багато нового і важкого для них матеріалу. Треба поступово вчити дитину спрямовувати і зосереджувати свою увагу на потрібних, а не тільки зовні цікавих речах. Тому в перші роки навчання і виховання юного спортсмена особливо важливим є уміння керувати його увагою.
На першому етапі навчання юного спортсмена чітко простежується процес розвитку мислення. Хоч воно і залишається в основному конкретним, все ж кількість пізнаванних об'єктів і відношень між ними значно збільшується, розвивається також уміння порівнювати.
В основі суджень дітей про ознаки і властивості предметів і явищ найчастіше покладено наочні зображення й опис. При цьому мислення проходить ніби дві стадії. Перша стадія полягає в тому, що на етапі попереднього навчання дитина весь матеріал аналізує переважно в наочно-дійовому плані, тобто спирається на реальні предмети або їхні прямі замінники. На другій стадії розвитку мислення діти починають абстрагувати й узагальнювати. Ця здатність з'являється через 1—2 роки систематичних занять фізичними вправами і залежить від індивідуальних особливостей, в одних дітей розвивається швидше, в інших — повільніше [1, 105].
Регулярні заняття в загальноосвітній і спортивній школі сприяють розвитку такої важливої психічної функції, як уява.
На попередньому етапі спортивної підготовки розвиток уяви юного спортсмена проходить дві стадії. Спочатку образи спортивних рухів лише приблизно характеризують реальний об'єкт, мають мало деталей, статичні, не відображають змін, дій і взаємозв'язків. Це відтворювальна (репродуктивна) уява, пов'язана з умінням визначити і зобразити такий стан об'єктів, яким його розуміє юний спортсмен.
У дітей молодшого шкільного віку є психологічні передумови для формування творчої (продуктивної) уяви, яка набуває величезної ваги на подальших етапах спортивної підготовки аж до виступів на Олімпійських іграх. Високий рівень розвитку творчих здібностей дуже потрібен як для самого вихованця, так і для його педагога-тренера, бо дає змогу досягти успіхів у спортивному удосконаленні [1, 105].
Творча уява формується під час виконання самостійно придуманих юними спортсменами різноманітних вправ, ігор, комбінацій тощо. У таких творчих ігрлх активно розпивається у дітей почуття особистості, тобто емоційне сприймання дійсності. Внаслідок навчально-тренувальних занять змінюється загальний характер емоцій. Поступово юний спортсмен засвоює правила поведінки в школі, спортивній секції, дома. Виконуючи ці правила, дитина відчуває задоволення, а при заохоченні тренером — радість.
Емоції дитини в цьому віці іноді ще дуже нестійкі, її настрій часто міняється. Тому естетичне, етичне і моральне виховання набуває виключно важливого значення. Добре ставлення до рідних, обурення неправильним вчинком свого ровесника або дорослого, почуття симпатії чи антипатії, підкріплені емоційними реакціями,— усе це є підставою для роздумів і переживань, наслідувальної діяльності дитини.
У цьому віці закладається фундамент моральних вчинків майбутнього громадянина. Через те що воля у дітей ще дуже слабка і нестійка, на її розвиток і зміцнення треба спрямовувати всі педагогічні засоби. Велике значення має формування звички бути уважним, доводити до кінця почату справу. У цьому, безумовно, велика роль тренера, його підготовленість і знання закономірностей навчання і виховання дітей даного віку [1, 105].
Заняття фізичними вправами зміцнюють волю юного спортсмена, адже оволодіння новими знаннями, навичками і уміннями потребує вольових зусиль, які формуються на попередньому етапі спортивної підготовки за допомогою різноманітних (за формою і змістом) засобів і методів спортивного тренування.
1.1.2 Підлітковий вік
Дитина підліткового віку, особливо на початку періоду статевого дозрівання (який можна досить точно встановити по розвитку вторинних статевих ознак), потребує особливої уваги з боку сім'ї, школи, тренера, чуйного і дбайливого ставлення до всіх її проблем і утруднень.
Підліток має підвищену потребу в розумінні його як особистості, у самоствердженні. У цей період можна дозволяти юному спортсмену самостійно робити розминку, допомагати тренеру керувати групами попередньої підготовки, організовувати й проводити змагання [2, 143].
Пізнавальні інтереси у підлітків бувають надзвичайно різноманітними — від сучасної музики до класичної, від занять спортом до написання віршів тощо. Таку різноманітність інтересів слід заохочувати, бо це створює сприятливі умови для формування всебічно розвинутої особистості, а не тільки висококваліфікованого спортсмена.
Підліток усвідомлює, щоб розібратися в навколишній дійсності, треба багато знати, поповнювати свої знання самоосвітою. Поступово в процесі навчання він робить висновок, що змістове запам'ятовування і відтворення має багато переваг, хоч часто ще використовує механічну пам'ять.
У цьому віці немає підстав перевантажувати пам'ять дрібними фактами і деталями, бо вони заважають учневі засвоювати основний матеріал. Тим більше, що увага підлітка, особливо на початку періоду статевого дозрівання, дещо знижується. У той же час підліток легко переключається з одного виду діяльності на інший. Йому подобається така різноманітність, звичайно ці переходи не такі часті, як у юних спортсменів на етапі попередньої підготовки. З часом підліток може захопитися одним видом діяльності настільки, що забуває про все. Увага підлітка-спортсмена значно підвищується в процесі навчання фізичним вправам, спеціально організованого під час навчально-тренувальних занять [1, 143].
У процесі навчання в підлітка розвивається мислення. Він засвоює наукові поняття і оперує ними, робить висновки, його мислення уже має елементи абстрактності. Йому під силу засвоїти більш складний курс теорії спорту, узагальнити відомості, одержані в загальноосвітній школі та в процесі спортивного тренування.
Достатньо високий рівень уяви дає змогу юному спортсмену в думках перетворитися в олімпійського чемпіона, космонавта, льотчика-випробовувача і т. п. Така мрійливість по суті є підготовкою до майбутньої діяльності, а бесіди і розповіді тренера про героїв спорту, їхнє життя стають реальним життям підлітка.
При досягненні поставленої мети виникає почуття радості. І хоча емоції підлітка часто ніби вихлюпуються, вони якісно відрізняються від афективних спалахів, які спостерігаються у молодших школярів. Висока чутливість до навколишньої дійсності, до дій і вчинків є благодатною основою для морального виховання підлітків, формування в них позитивних властивостей особистості.
Під час фізичного навантаження, розучування складних вправ спортсмен-підліток може проявляти достатньо вольових зусиль. Проте виховання і формування волі в цьому віці буде ефективнішим, якщо підліток знає, що і як він повинен робити і заради чого. Чим вища мета, чим зрозуміліше підлітку її громадське значення, тим легше організувати його спортивну діяльність.
Соціальна активність у цьому віці полягає у високій сприйнятливості юного спортсмена-підлітка до засвоєння норм, цінностей і способів поведінки, які і прийняті у світі дорослих [1, 144].
Спортивні досягнення підлітків свідчать про те, що вониможуть вирішувати складні завдання, які ставить перед ними тренер у процесі навчально-тренувальних занять, і показувати високі результати. Однак досягнення підлітком спортивних вершин ще не дає підстав вважати, що його особистість сформувалася. Навпаки, він мабуть більше, ніж його ровесники, має потребу в розумному, дбайливому і тактовному тренерові-наставникові.
Тривалість підліткового періоду має значні індивідуальні відмінності. По закінченні він переходить у період юнацтва, що має свої особливості формування особистості.
У підлітковому і юнацькому віці більшість спортсменів досягають високих результатів. Це вікова зона перших великих успіхів, період участі у багатьох змаганнях. При цьому спостерігаються і деякі статеві відмінності. Так, наприклад, для дівчат зона спортивних досягнень у плаванні, спортивній і художній гімнастиці, фігурному катанні на ковзанах може починатися з 12—14 років, для юнаків — дещо пізніше (у плаванні з 14—15 років, фігурному катанні на ковзанах — з 13—16 і т. д.). Це види спорту, де вимагається високий рівень координаційних здібностей, завдяки яким в основному і досягають успіхів юні спортсмени.
У тих видах спорту, де необхідне поєднання фізичних здібностей з координацією рухів, успіх припадає в основному на юнацький вік [1, 145].
Існує багато теорій періоду юнацтва — біологічних, психологічних, соціальних і т. п. На думку вчених, вивчення проблеми юнацтва має бути комплексним, поєднувати соціально-психологічний підхід з дотриманням внутрішніх закономірностей розвитку.
1.1.3 Юнацький вік
Юність—завершальний етап біологічного дозрівання і формування особистості. Видатний педагог К.Д. Ушинський відзначав, що у вогні, який живить юність, відливається характер людини, а тому не слід ні гасити його, ні боятися його, ані вважати його небезпечним для суспільства, ні обмежувати його вільного горіння, а лише потурбуватися, щоб матеріал, що вливається в цей час у душу юнацтва, був доброї якості [3, 83].
У цьому віці значно підвищуються вимоги до особистості. Пізнавши себе і вимоги суспільства, юна особистість дуже чутлива до голосу совісті. Вона сама осудить себе за помилки, відчує гордість після виконання свого обов'язку.
Потреби у юнацькому віці різні й значною мірою залежать від організації побуту сім'ї, у якій виховуються дівчина чи юнак.
Більшість спортсменів юнацького віку, пройшовши багаторічну спортивну підготовку, досить чітко уявляють, що тільки праця визначає потреби людини (в одязі, культурі, спілкуванні тощо). Вони мають велику тягу до фізичної і спортивної досконалості, що досягається лише з допомогою фізичних навантажень, які вимагають значних зусиль особистості.
Спортсмени юнацького віку досить чітко різняться між собою за інтересами, переконаннями й ідеалами. У них значно збільшується потяг до громадсько-політичного життя [4, 37].
Для юнацького віку характерний розвиток усіх видів пам'яті, тому для удосконалення їхніх уже виразних спортивних здібностей можна використовувати різноманітні засоби і методи.
Розвивається теоретичне мислення, пов'язане з високим рівнем абстракції й узагальнення, що дає змогу ширше використовувати спортивну літературу для самовдосконалення.
На відміну від підлітків юнаки чіткіше зіставляють свої мрії з дійсністю, конкретизують діяльність уяви щодо співвідношення створених образів і своїх можливостей.
Моральні відчуття у юнацькому віці більш усвідомлені, ніж у підлітків, а зовнішні прояви почуттів краще регулюються відповідно до прийнятих норм поведінки. Маючи певні вольові якості, які сформувалися в процесі занять спортом і змагальної боротьби, юнак-спортсмен може самостійно організувати свої тренувальні заняття й заняття з групами молодших за віком спортсменів [4, 38].
Розглянуті вікові особливості становлення особистості юного спортсмена, розвитку і формування психічних процесів — основа для побудови навчально-тренувального процесу навчання і виховання, вибору засобів і методів педагогічного впливу, які на різних етапах багаторічної спортивної підготовки змінюють не тільки форму, а й зміст.
1.2 Розвиток і удосконалення фізичних здібностей дітей підліткового віку
1.2.1 Вікові особливості розвитку сили і швидкісно-силових здібностей
Однією з основних фізичних якостей є м'язова сила, яку можна визначити як здатність переборювати зовнішній опір або протидіяти йому з допомогою м'язових зусиль.
Найвищі темпи зростання сили кисті й станової можуть бути у підлітків і юнаків, що дає змогу збільшувати обсяг засобів силової спрямованості.
У цілому віковий розвиток різних груп м'язів відбувається нерівномірно й індивідуально: кожна з них проходить свій специфічний шлях, хоч для всіх груп м'язів властиве постійне збільшення з віком абсолютного показника сили. У дівчаток 9—10 років суттєво зростає сила згиначів кисті і м'язів спини, у 10—11 років— усіх груп м'язів, у 11—12 років — м'язів спини і нижніх кінцівок, в 12—13 років — згиначів пальців кисті й спини.
Не менш важливою, ніж власна сила, є динамічна сила і один з її видів — вибухова, або здатність виявити велику силу в мінімальний час. Вона розвивається поступально, але нерівномірно, й залежить від віку і статі (рис. 1.1) [5, 92].

Рис. 1.1 - Розвиток швидкісно-силових здібностей у хлопчиків (а) ідівчаток (б) зрізним рівнем фізичного розвитку: 1 — середнім; 2 — нижче середнього; 3 — вище середнього.
Так, висота стрибка вгору з місця у дівчаток безперервно збільшується до 12—14 років, потім результати дещо стабілізуються, а в подальшому навіть погіршуються.
У хлопчиків середньорічні показники вибухової сили з роками поліпшуються, досягаючи максимуму в 15—17 років. Достовірне збільшення вибухової сили зафіксовано у дівчаток 8—10 і 11—14 років, а в хлопчиків — у 11 —12 і 13—15 років.
При плануванні тренувального навантаження в процесі багаторічної підготовки юних спортсменів треба мати на увазі, що діти і підлітки з різним рівнем фізичного розвитку відрізняються один від одного за показниками швидкісно-силових здібностей.
1.2.2 Вікові особливості розвитку швидкісних здібностей
Швидкість — це комплекс функціональних особливостей, що обумовлюють швидкісні характеристики рухів і час рухової реакції. До цих характеристик рухів належать швидкість простої й складної рухових реакцій, окремих рухових дій і темп (частота) рухів.
Прихований (латентний) період рухової реакції кисті вже у 9—11 років наближається до показників у дорослих. До 13—14 років така сама закономірність спостерігається у рухах плеча, стегна, гомілки і стопи.
Швидкість простої і складної рухової реакції у юних спортсменів з віком не дуже змінюється. Темп рухів у дітей з 7 до 16 років зростає в півтора раза, причому особливо інтенсивно—з 7 до 9 років.
Є невеликі статеві відмінності в максимальній частоті рухів у суглобах кінцівок. Так, у віці 7—10 років темп рухів більший у хлопчиків, а в 13—14 років — у дівчат.
Не менш важливе значення для практики спортивної підготовки має швидкість окремих рухових дій. Якщо такі дії виконуються з максимальною швидкістю, то в них розрізняють періоди збільшення швидкості (прискорення), максимальної швидкості та її зниження.
Період прискорення швидкості до максимальної під час стартового розбігу не залежить від віку й статі і для будь-якої швидкості бігу становить 5—6 с. Максимальна ж швидкість з віком збільшується.
У віковому розвитку швидкісних здібностей дітей молодшого шкільного віку є незначні відмінності навіть при різному рівні фізичного розвитку (рис. 1.2) [5, 106].

Рис. 1.2 - Розвиток швидкісних здібностей у хлопчиків (а) і дівчаток (б) з різним рівнем фізичного розвитку: 1 – середнім; 2 — нижче середнього; 3 – вище середнього.
У підлітковому віці відмінності у розвитку швидкісних здібностей як щодо статі, так і до рівня фізичного розвитку мають вірогідний характер.
1.3 Вікова періодизація обсягу тренувальних навантажень
1.3.1 Основи вікової періодизації тренувальних навантажень
При визначенні обсягу тренувального навантаження узагальнюючим показником є енерговитрати організму, необхідні для його виконання.
Ріст — це передусім збільшення маси активної частини організму, коли, за визначенням біолога І.І. Шмальгаузена, зростає кількість вільної енергії. І.А. Аршавський (1981), доповнюючи це визначення, розцінює ріст як процес створення надмірного анаболізму, індукованого функціональною активністю, тобто катаболізмом, при якому збільшується кількість внутрішньої та вільної енергії [6, 73].
Відповідно до цього визначення сформульовано правило скелетних м'язів, суть якого полягає в тому, що рухова активність живої системи, незалежно від дії, яка її спричинила, є фактором функціональної надмірності анаболізму. Тому можна вважати ріст природним наслідком активності живої системи та її елементів, в результаті якої індукується повернення системи не до попереднього (вихідного) стану, а відновлення з надлишком.
На певних етапах розвитку в дітей і підлітків нагромаджується надлишок енергії, що й проявляється в їхній руховій активності.
Але якщо є періоди надлишку енергії в організмі, то можна припустити наявність вікових етапів, коли цієї енергії невистачає. Оскільки навантаження — це передусім витрата енергії, то його обсяг має суворо відповідати віковим можливостям організму [6, 74].
Зважаючи на це, відповідність тренувального навантаження енергетичним можливостям організму є основним принципом вибору обсягу педагогічної дії. У періоди надлишку енергії в організмі навантаження збільшують, сприяючи створенню енергетичного потенціалу, а при зниженні енергетичного потенціалу юного спортсмена навантаження відповідно зменшують.
Таким чином, періодичність росту і розвитку організму як цілісної системи спостерігається також у характері розвитку її компонентів. При вивченні цього питання треба перш за все спиратися на теорію функціональних систем, одним з основних положень якої є концепція системогенезу. Згідно з цією концепцією, системогенезу — це послідовне й вибіркове дозрівання (формування) функціональних систем і окремих компонентів їх у процесі філо- і онтогенезу.
Якщо розглядати з позицій цієї концепції вікові особливості розвитку фізичних здібностей, то можна зробити висновок про те, що в кожному віковому періоді спостерігається гетерохронія (різнорідність у часі). Організм самостійно розподіляє енергію росту, стимулюючи розвиток у певний період онтогенезу певної здібності.
Гетерохронність спостерігається не тільки у розвитку фізичних можливостей, а й інших функцій і систем організму. Наприклад, при дослідженні протягом кількох років росту дитини і окружностей його тіла можна чітко встановити періоди активізації й стабілізації у розвитку цих параметрів. Так, найшвидше ростуть дівчатка після 11 років, а хлопчики — в 11, 14 і 17 років. Маса тіла у хлопчиків щорічно збільшується послідовно і рівномірно, а в дівчаток — через два роки на третій [6, 74].
При порівнянні даних формування в дітей і підлітків морфологічних ознак з віковими особливостями розвитку фізичних здібностей можна помітити таку закономірність: зростанню функціональних можливостей, що відбивається на збільшенні показників сили, швидкості, витривалості, передують роки приросту морфологічних ознак. Це ще раз підтверджує саморегулюючу функцію організму, який періодично розподіляє енергію росту між всіма його системами.
1.3.2 Періодизація загального обсягу тренувального навантаження
Для вивчення енергетичного потенціалу організму критерієм оцінки можуть бути як функціональні, так і морфологічні зміни, що взаємозв'язані.
На підставі дослідження енергетичного потенціалу організму юних спортсменів за сумарним показником темпу розвитку фізичних здібностей порівняно з показниками попереднього року встановлено, що у хлопчиків найбільш інтенсивно розвиваються фізичні здібності у 8—9, 10—12 і 13—14 років (рис. 1.3) [7, 21].

Рис. 1.3 - Сумарні показники темпу розвитку фізичних здібностей хлопчиків (а) і дівчаток (б) шкільного віку: 1 — максимальний рівень; 2 — середній рівень; 3 — мінімальний рівень.
При цьому енергія нагромаджується поступово і в певному віці витрачається на формування систем і організму в цілому. Збільшення тренувального навантаження в ці вікові періоди, як і зменшення у віці 9—10, 12—13 і 16—17 років біологічно виправдано.
Дещо інший характер розвитку фізичних здібностей спостерігається в дівчаток (рис. 1.3, б): періоди зростання його темпів у них коротші, ніж у хлопчиків, але самих періодів більше. Відповідно до сповільнення темпів розвитку фізичних здібностей тренувальне навантаження для дівчаток зменшують у віці 9—10, 12—13, 14—15 і 16—17 років. Вікові періоди пов'язані із значним біологічним навантаженням внаслідок статевого дозрівання. При цьому помітна синхронність біологічних процесів: як у хлопчиків, так і дівчаток етапи статевого дозрівання збігаються з періодами зниження темпів розвитку фізичних здібностей [7, 22].
Таким чином, знаючи закономірності розвитку рухової активності дітей і підлітків можна визначати загальний обсяг тренувального навантаження. Проте для вірогідності цього показника потрібні дані про морфологічний розвиток молодого організму як цілісної системи, одержані при вивченні взаємозв'язку (кореляції) найбільш інформативних морфологічних ознак організму (зріст, маса тіла, окружності тіла та інші параметри) (рис. 1.4) [7, 23].

Рис. 1.4 - Динаміка взаємозв’язків морфологічних ознак у процесі росту хлопчиків (а) і дівчаток (б) шкільного віку
У періоди активного росту й розвитку окремих систем організму взаємозв'язок між ними може порушуватись через нерівномірність і гетерохронність зазначених процесів. Це дає підстави вважати, що в цей час знижуються адаптаційні можливості організму, його стійкість проти впливу значних фізичних навантажень, адже енергія витрачається на ріст.
Періодизація обсягу тренувального навантаження у молодшому шкільному віці. Дівчатка 8-річного віку мають багато взаємозв'язаних морфологічних ознак (на рівні 0,8—0,9), а в 9 років цей показник зменшується до 0,7—0,8. Це позначається на всіх факторах морфологічної системи при провідній ролі показника маси тіла й підвищенні інформативності показника довжини тіла.
У 10 років відбувається подальше зниження кількості кореляцій, що характерне не тільки для окремих факторів, а й для системи в цілому. Для більшості дівчаток вік 10 років єпочатком періоду статевого дозрівання. Тому починаючи з 8-річного віку тренувальні навантаження їм поступово зменшують до найменшого в 10 років, тобто на початку періоду статевого дозрівання.
У хлопчиків 8-річного віку найтісніше зв'язані між собою показники, які характеризують окружності тіла. У 9 років кількість взаємозв'язків збільшується (аналогічний рівень спостерігається у юнаків 15 років). Значне зниження кількості кореляцій відбувається у віці 10 років, тому в цей час треба зменшити загальний обсяг тренувальної дії [8, 69].
Періодизація обсягу тренувального навантаження в підлітковому віці. Для дівчаток 11 років властива найбільша узгодженість як окремих факторів, так всієї системи в цілому. У 13 років порушується гармонія росту й розвитку окремих систем і всього організму, що збігається зосновним періодом статевого дозрівання. Дівчатка 14 років мають приблизно таку ж кількість кореляцій ознак морфологічної системи, як і в 12 років.
Структура взаємозв'язків ознак морфологічної системи дівчаток 15 років відповідає 10-річному віку.
При цьому значно порушується гармонійність розвитку морфологічної системи, зменшується функціональна готовність до великих обсягів тренувальних навантажень, закінчується період статевого дозрівання. Це друге й останнє значне зниження надійності організму в період його росту.
Для хлопчиків 11 років характерне підвищення кількості взаємозв'язків ознак до рівня 0,75. У 12 років число кореляцій зменшується й надійність організму погіршується, що свідчить про настання періоду статевого дозрівання. У 14 років кількість взаємозв'язків морфологічних ознак знову збільшується.
Вік 14—15 років для хлопчиків характерний тим, що організм в цей час набуває стійкості до великих тренувальних навантажень, бо настає гармонія і єдність у розвитку всіх елементів морфологічної системи. Це другий пік підвищеної надійності організму у період росту хлопчиків [8, 70].
Періодизація обсягу тренувального навантаження в юнацькому віці. Дівчата 16 років мають найбільшу кількість взаємозв'язків між показниками окружностей тіла. У 17 років гармонійність розвитку всередині окремих факторів і всієї морфологічної системи в цілому не порушується, лише впорядковується структура взаємозв'язків і виникають нові кореляції. У цей період завершується статеве дозрівання, підвищується надійність організму, його функціональна готовність до фізичних навантажень.
Для юнаків 16 років властиве значне зменшення кількості взаємозв'язків між ознаками; у 17 років структура морфологічної системи майже не змінюється, лише утворюється кілька кореляцій як в структурі окремих факторів, так і між ними.
При порівнянні динаміки взаємозв'язків морфологічних ознак з даними функціональних змін у молодому організмі (їх оцінюють за показниками сумарного темпу розвитку фізичних здібностей) чітко простежується гетерохронність розвитку двох систем — функціональної й морфологічної.
У періоди активного розвитку морфологічних ознак, що відбивається на зменшенні кількості кореляцій, темп розвитку фізичних здібностей сповільнюється. Це особливо помітно з настанням етапу статевого дозрівання.
Встановивши вікову періодизацію тренувального навантаження, потрібно також визначити його зміст, вирішити, за рахунок яких дій можна його збільшувати чи зменшувати, які засоби вибіркового впливу слід використати в навчально-тренувальному процесі на різних етапах спортивної підготовки. Щоб відповісти на ці питання, треба вивчити вікові закономірності вибіркового розвитку фізичних здібностей [7, 72].
1.3.3 Періодизація вибіркового обсягу тренувального навантаження
Через те що функціональні системи молодого організму дозрівають послідовно і вибірково, виникає потреба дозувати обсяг тренувальної дії, співвідношення її компонентів у системі багаторічної підготовки юних спортсменів. Тут можливі два напрями: перший — через серію експериментів визначити найбільш прийнятне співвідношення засобів вибіркового впливу; другий — використовуючи дані вікового розвитку фізичних здібностей, встановити періоди сенситивності (чутливості) до тренувального впливу.
Обидва напрями дають змогу на практиці визначити оптимальну величину вибіркового тренувального навантаження на різних етапах спортивної підготовки. Так, С. В. Каледін (1968) досліджував ефективність застосування в спортсменів 13—14 років таких співвідношень засобів тренувальної дії: а) 50 % основної частини заняття (уроку) — виховання швидкості, 25 % — сили і 25 % — витривалості; б) 50 % — виховання сили, 25 % — швидкості і 25 % — витривалості; в) 50 % — виховання витривалості, 25 % — швидкості і 25 % — сили [9, 103].
У першій групі спортсменів, де перевага надавалась вихованню швидкості, тренувальні засоби були спрямовані на розвиток швидкісних здібностей: біг (на короткі дистанції, за інерцією, східцями, підтюпцем, в упорі, бар'єрний, на місці), стрибки з розбігу тощо. У другій групі, в якій 50 % часу відводилось на виховання сили, застосовували віджимання штанги, перетягування за руки, підтягування, штовхання ядра, вправи з набивними м'ячами, силові ігри, присідання, біг з опором та інші засоби. Третя група спортсменів тренувалась переважно за програмою, спрямованою на виховання витривалості: тривалий біг помірного темну, крос, футбол, ручний м'яч, спортивна ходьба, біг різної інтенсивності тощо. Решта часу заняття відводилась на виховання інших фізичних здібностей.
Після закінчення експерименту були проведені контрольні випробування, які показали, що перший варіант, коли 50 % часу використовували на виховання швидкості і по 25 % — на формування сили і витривалості, найефективніший. Аналіз даних біохімічних досліджень підтвердив, що таке тренування створює в організмі спортсмена 13—14 років позитивні передумови для розвитку сили і витривалості, тобто справляє більш різноманітний вплив на нього.
Аналогічне дослідження для розробки співвідношення засобів вибіркової спрямованості проводилось групою тренерів під керівництвом В.П. Філіна (1972). Однак спрямованість засобів тренувальної дії була не швидкісною, а швидкісно-силовою. Результати педагогічного експерименту підтвердили ефективність такого підходу в комплексному вихованні фізичних здібностей юних спортсменів [15, 28].
При порівнянні результатів проведених досліджень з даними вивчення сенситивних періодів розвитку фізичних можливостей видно, що збільшення обсягу засобів тренувального впливу у 13—14 років є цілком обґрунтованим, бо в цьому віковому періоді активно розвиваються швидкісні і швидкісно-силові здібності юних спортсменів.
Отже, другий напрям більш доцільний і практичний, тобто оптимальний шлях вирішення питання про періодизацію обсягів тренувального навантаження — це вивчення закономірностей розвитку фізичних здібностей дітей і підлітків.
Біологічним обґрунтуванням такого підходу є теорія функціональних систем (П.К. Анохін, 1980), а педагогічним— дослідження Л.С. Виготського (1956), який установив, що педагогічний вплив під час сенситивних періодів значно прискорює розвиток здібностей дітей і підлітків. Це підтверджують також інші дослідження вітчизняних вчених [10, 211].
Для одержання порівняльних даних з метою комплексного вивчення цієї проблеми за критерій брали щорічний темп розвитку (приріст у процентах) окремих фізичних здібностей.
На підставі даних про темпи зростання окремих фізичних здібностей можна визначити обсяг вибіркового впливу, а також співвідношення засобів, яке відповідає закономірностям розвитку молодого організму.
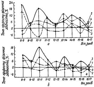
На попередньому етапі спортивної підготовки юні спортсмени мають найвищий темп розвитку швидкісно-силових здібностей. За три роки (з 8 до 11) ці здібності у хлопчиків зростають на 44 % (рис. 1.5, а), а в дівчаток на 34 % (рис. 1.5, б) [11, 162].

Рис. 1.5 - Вибірковий темп приросту фізичних здібностей у хлопчиків ( а ) і дівчаток (б): 1 — швидкісно-силових; 2 — швидкісних; 3 — гнучкості; 4 — спритності; 5 — витривалості.
З 10 до 11 років хлопчики значно випереджають дівчаток за темпами розвитку швидкості. Виховання швидкості рухів — швидкісних здібностей є одним з основних завдань навчально-тренувального заняття на попередньому етапі спортивної підготовки.
Вивчення закономірностей розвитку гнучкості показує, що у дівчаток не спостерігається великого підвищення її: з 8 до 9 років приросту показників немає, з 9 до 10 років темпи приросту зменшуються на 1 %, а з 10 до 11 років — на 3 %. У хлопчиків темпи розвитку гнучкості знижуються на 5 %, але потім протягом двох років зростають до 3 %, а після цього — до 4 %, тому треба збільшувати кількість вправ на гнучкість.
Вікові темпи приросту спритності у дівчаток і хлопчиків різні внаслідок неоднакових строків формування функціональних систем, які забезпечують виконання координаційно-складних рухів. У хлопчиків спритність сумарно збільшується в період з 8 до 11 років на 6 %, у дівчаток—на 15%. Після цього темпи трохи сповільнюються з переходом у хлопчиків на виразне зниження (8%), а в дівчаток—на підвищення (9%). Це є підставою для планування тренувального навантаження таким чином, щоб з 8 до 9 років обсяг вправ на спритність був великим; з 9 до 10 — середнім, а з 10 до 11 років для хлопчиків — незначним, для дівчаток— великим [11, 164].
Якщо аналізувати темпи розвитку витривалості, то до 9 років ця здібність у бігу з рівномірною швидкістю (2,5 м/с) збільшується. У хлопчиків результати зростають щорічно, у дівчаток — лише з 7 до 8 років.
Результати вивчення темпів розвитку фізичних здібностей юних спортсменів на попередньому етапі спортивної підготовки свідчать, що доцільно планувати великий обсяг засобів тренувального навантаження за рахунок швидкісно-силових і силових вправ. При цьому слід враховувати не тільки вікові, а й статеві відмінності. Це особливо суттєво для 10—11-літніх при вихованні швидкісних здібностей, 9—10 і 10—11-літніх — при вихованні гнучкості та 8—9-літніх — спритності. У ці періоди обсяг навантаження у дівчаток має бути значно меншим, ніж у хлопчиків. Для дівчаток характерне підвищення обсягу тренувальних навантажень при вихованні швидкості з 8 до 9 років і спритності з 10 до 11 років.
На початковому етапі спортивної підготовки у хлопчиків 11 —12років показники приросту швидкісно-силових здібностей (10 %) майже не відрізняються від аналогічних показників у дівчаток (7 %). Надалі, під кінець періоду статевого дозрівання, темп розвитку цієї здібності знову збільшується і в дівчаток 13—14 років становить 8 %, а хлопчиків 14—15 років — 11 % [10, 210].
На підставі цих даних можна збільшувати застосування засобів виховання швидкісно-силових здібностей для хлопчиків на початку та в кінці періоду статевого дозрівання, тобто у 11 —12 і 14—15 років. У решті вікових періодів використовують середні навантаження.
У дівчаток великий обсяг вправ швидкісно-силового характеру планують на 11 —12 і 13—14 років. В інші роки, коли формування та розвиток швидкісно-силових якостей дещо сповільнюється, рекомендується застосовувати навантаження середнього обсягу. Загальний темп приросту цієї здібності у хлопчиків за весь підлітковий період дорівнює 31 %, у дівчаток — 12 %.
Значно зростають у підлітковому віці темпи приросту швидкісних можливостей. Так, у хлопчиків цей показник сягає 26 %, у дівчаток він дорівнює 11 %.. Тому для хлопчиків планують велику кількість вправ швидкісного характеру. Виняток становить період а 12 до 13 років, коли рекомендується середній обсяг навантажень, бо темп приросту силової здібності в цей час становить 2 %. У дівчаток великий обсяг фізичних вправ силової спрямованості допускається з 12 до 13. років; у інші роки — обсяг середній [10, 211].
Показники темпів розвитку гнучкості у підлітковому періоді дещо зменшуються як у хлопчиків, так і в дівчаток. Планувати виховання гнучкості треба в 14—15 років у хлопчиків і в 13—14 років — у дівчаток. У ці періоди застосовують великі за обсягом навантаження, збільшують кількість вправ, які сприяють розвиткові гнучкості. Для дівчаток 11 —12 років можна планувати навантаження середнього обсягу.
Максимальний обсяг вправ, спрямованих на виховання спритності, хлопчики виконують з 11 до 14 років, середній обсяг рекомендується з 14 до 15 років.
У дівчаток темп розвитку спритності підвищується двічі: у 10—11 і 14—15 років; для решти вікових періодів треба планувати навантаження невеликого обсягу. Отже вправи, спрямовані на виховання спритності, у хлопчиків можна використовувати протягом всього підліткового віку, а в дівчаток — тільки в 11 —12 і 13—14 років.
Темп розвитку витривалості збільшується у хлопчиків 13—15 років до 12%,у дівчаток—до 3,7%. Найбільшу кількість засобів, спрямованих на виховання витривалості треба планувати для хлопчиків 13—15 років до дівчаток обсяг навантаження повинен бути середнім з незначним підвищенням у 14—15 років.
Дані про темпи розвитку гнучкості свідчать про те, що в юнаків активна фаза її формування закінчилась. Проте до засобів тренувального навантаження для них включають вправи, які сприяють розвиткові гнучкості; обсяг навантаження повинен бути середнім і невеликим [12, 95].
Якщо в юнаків темпи розвитку гнучкості зменшуються, то у дівчат ще є можливості для її цілеспрямованого розвитку, при цьому у 15—16 років рекомендується застосовувати навантаження великого обсягу, а в старшому віці — середнього й невеликого.
Темпи розвитку спритності дещо спадають, але юнаки все-таки мають деяку можливість для її удосконалення. Незначне збільшення темпів розвитку спритності спостерігається у дівчат 15—16 років; після цього відбувається поступове зниження її до 3 %, що свідчить про закінчення формування нервових центрів, які забезпечують швидкісну координацію рухів.
Найбільший обсяг засобів, спрямованих на розвиток витривалості, планують для юнаків 16—17-річного віку. Дівчатам 15—16 років рекомендується малий обсяг засобів для розвитку цієї здібності, а 16—17-літ-нім — середній.
Тренувальне навантаження доцільно розподіляти так, щоб на розвиток фізичних здібностей, в цей час чутливих до тренувального впливу, припадав найбільший його обсяг. При цьому слід керуватися такими методичними положеннями [13, 325]:
— щорічне зростання фізичних здібностей більш ніж на 3 % свідчить про високу активність і дає підстави планувати 30 % часу на вибірковий їх розвиток;
— при темпі приросту здібності від 0 до 3 %, що розцінюють як середній рівень активності, кількість занять для її розвитку повинна становити не більше 20 % на рік;
— якщо фізичні якості не зростають, тобто при низькому рівні активності, кількість занять для розвитку цих здібностей не повинна перевищувати 10%.
Дотримання цих методичних положень сприятиме гармонійному розвитку не тільки фізичних здібностей, а й організму в цілому.
Однак при цьому треба пам'ятати, що тренувальне навантаження складається з двох компонентів — обсягу та інтенсивності. Обов'язковою умовою ефективності розвитку окремих фізичних здібностей є застосування відповідного режиму навантаження, тобто виконання рухів з певною інтенсивністю й дотриманням певних (конкретних) інтервалів відпочинку між вправами. Загальний обсяг тренувального навантаження в цьому разі можна регулювати з допомогою різної інтенсивності виконання вправ.
Використовуючи дані, які обґрунтовують періодичність обсягів загального та вибіркового тренувальних навантажень, можна досить чітко спланувати ці компоненти для кожного спортсмена, залежно від його віку і статі [13, 327].
1.4 Засоби виховання швидкісних здібностей
Біг по коридору. Натягують шнур або проводять крейдою лінії таким чином, щоб утворилося кілька коридорів завширшки 25—30 см і завдовжки 10—15 м. На відстані 10—15 м від лінії старту встановлюють стойки або прапорці на підставах, які гравці повинні оббігти під час змагань.
За командою тренера кожен направляючий з високого старту біжить по коридору, оббігає стойку й повертається назад. Торкнувшись рукою гравця, що стоїть першим у його колоні, направляючий дає йому старт, а сам стає в кінці цієї колони [14, 201].
Біг по коридору із східцями, кільцями. У коридорах паралельно до натягнутих шнурів розкладають планки або гімнастичні палиці (відстань між ними залежить від віку спортсменів).
Вправу виконують у тій самій послідовності й за тими правилами, що й естафету, але гравець, швидко пробігаючи коридором, перестрибує через планки, палиці, кільця чи інші розкладені там предмети. Залежно від завдань, відстань між предметами збільшують або зменшують.
Біг через перешкоди. Як перешкоди в коридорі для бігу використовують гімнастичні лави, набивні м'ячі. їх повинно бути не більше двох, заввишки 35—40 см — не більше. Відстань від лінії старту до першої перешкоди 5—6 м, до другої — 8—9 м. Поворот від лінії старту має бути за 10—15 м. Вправу виконують так само, як і попередні, тільки під час бігу не дозволяється наступати на перешкоду. Залежно від поставлених завдань міняють висоту перешкод і відстань між ними.
Біг крізь обруч. На відстані 25—30 см від лінії старту розташовують гімнастичний обруч або натягують шпур між стрибковими стопками на висоті 60— 70 см (обруч підвішують або тримають на відстані 5—10 см від підлоги).
Вихідне положення — низький старт. Після команди «Марш!» направляючий пробігає крізь обруч, а учень, який стояв за цим гравцем, займає вихідне положення. Повертаючись назад, гравець оббігає обруч справа, торкається рукою того учня, що уже зайняв вихідне положення, чим дає йому старт, а сам стає на лівий фланг [14, 202].
Біг з наскоком на предмет. На відстані 6—7 м від лінії старту ставлять гімнастичні лави, на які кладуть 1—2 мати. За командою тренера гравець вбігає у коридор, біжить до гімнастичної лави, наскакує поштовховою ногою на неї і, сильно відштовхнувшись вперед і вгору або тільки вперед, приземляється на мат, після чого продовжує бігти. Після повороту виконання вправи повторюють у зворотному напрямі.
Примітка. Вправу виконують з учнями, які засвоїли приземлення після стрибка. Біг з наскоком на предмет можна поєднувати з передаванням естафетної палички або тенісного м'яча.
Біг за м'ячем. Відділення шикують по лінії, проведеній півколом. Тренер стоїть з м'ячем (волейбольним, футбольним, баскетбольним або набивним) позаду відділення на відстані 2—3 м від лівофлангових гравців. За командою «Марш!» він кидає на підлогу м'яч, за яким біжать гравці, що стоять спереду.
Учасники, які закінчили біг, стають на лівий фланг відділення, м'яч повертають тренеру [14, 203].
1.5 Визначення розвитку швидкісних здібностей
Максимальну швидкість визначають за дистанцією, яку учень може пробігти за 6 с. Для цього ставлять на землю (підвішують на тросі) 25 фанерних щитів 10X15 см, на кожному з яких пишуть цифру (від 25 до 50). Перший щит з цифрою 25 розташовують на відстані 25 м від старту, а інші — через кожний метр. Відстань, яку пробігають учні різного віку на початку навчального року, приблизно буде такою: у 11 років — 28—31 м, 12 років —28—34 м, 13 років —31—36 м, 14 років — 33—39 м, 15 років — 35—42 м, 16 років — 38—43 м, 17 років —38—45 м [15, 106].
Швидкість рухової реакції можна визначити за реакцією учня на падіння предмета. Для цього використовують будь-який предмет, найчастіше — гімнастичну палицю, розмічену в сантиметрах.
Перед виконанням тесту учень займає вихідне положення — ноги на ширині плечей, руки зігнуті в ліктях і притиснуті до тулуба, пальці стиснуті в кулак. Партнер бере палицю за верхній кінець, так щоб нульова позначка була на рівні нижнього краю його долоні. Потім випускає без команди палицю з рук, а учень, у якого визначають швидкість рухової реакції, повинен захопити її долонями. Чим швидше він це зробить, тим меншою буде відстань від нульової позначки до нижнього краю долонь, отже, тим краще у нього розвинута рухома реакція.
З допомогою електро- та електронних секундомірів можна виміряти рухову реакцію до десятих й тисячних часток секунди.
Для визначення максимальної частоти рухів підраховують кількість рухів, виконаних протягом певного часу. Рухи можуть бути найрізноманітнішими: на рахунок один — руки вгору, на два — вниз, біг на місці, високо піднімаючи стегна, з фіксуванням цієї висоти і т. ін.
Швидкість цілісного руху можна визначити за показниками бігу на 10, 20, 30, 60 і 100 м як з високого, так і з низького старту [15, 109].
2. за ВДАННЯ ТА МЕТОДИ ОРГАНІЗАЦІЇ ДОСЛІДЖЕННЯ
З авдання дослідження:
- ознайомитись з літературою з теми: «Розвиток швидкості у підлітків загальноосвітньої школи»;
- проаналізувати дану тему;
- виділити вікові особливості формування юного спортсмена та особливості його виховання;
- виділити особливості розвитку та удосконалення фізичних здібностей дітей підліткового віку;
- виділити особливості вікової періодизації тренувальних навантажень;
- виділити основні засоби виховання швидкісних здібностей;
- виділити особливості визначення розвитку швидкісних здібностей;
- провести дослідження на визначення рівня розвитку швидкості у підлітків загальноосвітньої школи;
- виділити результати дослідження;
- зробити відповідні висновки.
Методи дослідження:
- опис;
- аналіз;
- пояснення;
- метод системного спостереження.
Організація дослідження: дослідження проводилось в 8-му класі ЗОШ № 32 м. Запоріжжя. Досліджувані 29 учнів: 19 дівчат та 10 хлопців.
3. АНАЛІЗ РЕЗУЛЬТАТІВ ДОСЛІДЖЕННЯ
Дослідження проводилось в ЗОШ № 32 м. Запоріжжя, у 8-му класі. Дослідження тривало один рік. В досліджуваному класі 29 дітей, всі хлопці.
На початку навчального року, в вересні, вчитель перевірив рівень розвитку швидкісних здібностей у дітей цього класу та виявив такі результати: результати шести учнів можна віднести до початкового рівня розвитку швидкісних здібностей, результати десяти учнів можна віднести до середнього рівня розвитку швидкісних здібностей, результати дев’яти учнів можна віднести до достатнього рівня розвитку швидкісних здібностей та результати чотирьох учнів можна віднести до високого рівня розвитку швидкісних здібностей (табл. 3.1.). Розвиток швидкісних здібностей перевірявся на уроці бігом на 60 м.
В даному класі в тиждень проводилось два уроки з фізичної культури. Раз на два тижні вчитель проводив заняття, на яких проводились різні рухові ігри та естафети.
В січні місяці вчитель знову перевірив розвиток швидкісних здібностей у дітей та отримав такі результати: результати чотирьох учнів можна віднести до початкового рівня розвитку швидкісних здібностей, результати восьми учнів можна віднести до середнього рівня розвитку швидкісних здібностей, результати тринадцяти учнів можна віднести до достатнього рівня розвитку швидкісних здібностей та результати чотирьох учнів можна віднести до високого рівня розвитку швидкісних здібностей (табл. 3.1.). Розвиток швидкісних здібностей перевірявся на уроці човниковим бігом.
В кінці навчального року, в травні, вчитель отримав вже такі результати: результати двох учнів можна віднести до початкового рівня розвитку швидкісних здібностей, результати чотирьох учнів можна віднести до середнього рівня розвитку швидкісних здібностей, результати сімнадцяти учнів можна віднести до достатнього рівня розвитку швидкісних здібностей та результати шести учнів можна віднести до високого рівня розвитку швидкісних здібностей (табл. 3.1.). Розвиток швидкісних здібностей перевірявся на уроці бігом на 60 м.
Отже, всі дані дослідження можна помістити в таблицю:
Таблиця 3.1 - Результати дослідження
Перевірка розвитку швидкісних здібностей |
Рівень розвитку швидкісних здібностей | ||||||||
початковий |
середній |
достатній |
високий |
||||||
| місяць перевірки | вид перевірки | кільк. учнів |
% | кільк. учнів |
% | кільк. учнів |
% | кільк. учнів |
% |
| вересень 2004 | біг на 60 м. | 6 |
20,6 | 10 |
34,4 | 9 |
31,03 | 4 |
13,7 |
| січень 2005 | човниковий біг | 4 | 13,7 | 8 | 27,5 | 13 | 44,8 | 4 | 13,7 |
| травень 2005 | біг на 60 м | 2 | 6,89 | 4 | 13,7 | 17 | 58,6 | 6 | 20,6 |
ВИСНОВКИ
Отже, можна зробити такі висновки:
· Початкова підготовка до поглибленої спортивної спеціалізації найчастіше припадає на підлітковий вік, коли в організмі відбуваються великі зміни внаслідок статевого дозрівання. Цей процес дуже впливає на психічний розвиток підлітка.
· Основні зміни в особистості підлітка полягають у становленні його самостійності, адже він відчуває в собі сили, щоб самому вирішувати деякі практичні завдання. Звідси і випливають вимоги підлітка визнати його право бути дорослим. Однак тренер повинен знати, що більш зрілі і самостійні висновки характерні лише для старшого підліткового віку, який найчастіше починається з 13 років.
· Потреба підлітка посісти становите, що відповідає його уявленню про свою особу (при цьому піп часто переоцінює себе), може вплинути на його поведінку, ставлення до навчання, тренування. У той же час успіхи підлітка в навчанні, спорті є засобами його самоствердження. Треба пам'ятати, що в цей час потрібні інші засоби педагогічного впливу, ніж під час роботи з юними спортсменами на етапі попередньої підготовки.
· Віковий аналіз швидкісно-силових здібностей показує, що у хлопчиків 8—10 років приріст показників, які характеризують розвиток цих здібностей, становить 22%, 9—10 років —4%, 10—11 років—18%. У дівчаток ці дані відповідно 11%, 5 % і 18 %. Тому на початковому етапі спортивної підготовки як хлопчиків, так і дівчаток планують значний обсяг вправ швидкісно-силової спрямованості.
· Інший обсяг навантаження планується при вихованні швидкісних здібностей. Приріст показників розвитку цих здібностей у хлопчиків становить 10%, а в дівчаток 15 %. Внаслідок цього фізичне навантаження у дівчаток 8—-9 років значно вище, ніж у хлопчиків. У хлопчиків у цьому періоді спостерігається зменшення приросту показників швидкісних здібностей, а, отже, обсяг тренувального навантаження цієї спрямованості у них знижується. Це зменшення невелике й тимчасове, і вже з 9—10 років їхнє тренувальне навантаження може бути таким самим, як і для дівчаток.
· На початковому етапі спортивної підготовки у хлопчиків 11 —12років показники приросту швидкісно-силових здібностей (10 %) майже не відрізняються від аналогічних показників у дівчаток (7 %). Надалі, під кінець періоду статевого дозрівання, темп розвитку цієї здібності знову збільшується і в дівчаток 13—14 років становить 8 %, а хлопчиків 14—15 років — 11 %.
· На підставі цих даних можна збільшувати застосування засобів виховання швидкісно-силових здібностей для хлопчиків на початку та в кінці періоду статевого дозрівання, тобто у 11 —12 і 14—15 років. У решті вікових періодів використовують середні навантаження.
· У дівчаток великий обсяг вправ швидкісно-силового характеру планують на 11 —12 і 13—14 років. В інші роки, коли формування та розвиток швидкісно-силових якостей дещо сповільнюється, рекомендується застосовувати навантаження середнього обсягу. Загальний темп приросту цієї здібності у хлопчиків за весь підлітковий період дорівнює 31 %, у дівчаток — 12 %.
· Значно зростають у підлітковому віці темпи приросту швидкісних можливостей. Так, у хлопчиків цей показник сягає 26 %, у дівчаток він дорівнює 11 %.. Тому для хлопчиків планують велику кількість вправ швидкісного характеру. Виняток становить період а 12 до 13 років, коли рекомендується середній обсяг навантажень, бо темп приросту силової здібності в цей час становить 2 %. У дівчаток великий обсяг фізичних вправ силової спрямованості допускається з 12 до 13. років; у інші роки — обсяг середній.
· На етапі поглибленої спортивної спеціалізації тренувальне навантаження юнаків крім великого обсягу швидкісно-силових вправ охоплює такий же обсяг засобів, спрямованих на виховання швидкісних здібностей. Потім їх розвиток стабілізується, що свідчить про завершення формування нервових центрів, які забезпечують швидкість рухів. Для дівчат цей період настає у 15—16 років, після чого приріст швидкісних здібностей з кожним роком зменшується.
СПИСОК ВИКОРИСТАННИХ ДЖЕРЕЛ
1. Адаптація организму учнів до учбового та фізичного навантаження/Під ред. А.Г. Хрипковой, М.В. Антроповой.— М., 1982.—240 с.
2. Аршавський І.А. Фізіологічні механізми та закономірності індивідуального розвитку.— М., 1981.— 282 с.
3. Боген М.М. Навчання руховим діям.— М., 1985.— 192 с.
4. Волков Л.В. Методика виховання фізичних здібностей учнів.—К., 1980.— 104 с.
5. Волков Л.В. Навчання та виховання юного спортсмена.— К., 1984. – 144с.
6. Волков Л.В. Фізичне виховання учнів — К., 1988.— 184 с.
7. Гужаловський Л.А. Розвиток рухових якостей у школярів.—Мінськ, 1978.— 88 с.
8. Михайлов К.В. Методи спортивної підготовки.— К., 1981.— 126 с.
9. Основи управління підготовкою юних спортсменів. / Під ред. М.Я. Набатникової.— М., 1982.— 280 с.
10. Платонов В.Н. Теорія та методика спортивного тренування.— К., 1984.— 352 с.
11. Платонов В.Н., Сахновський К.П. Підготовка юного спортсмена— К., 1988.— 288 с.
12. Станкін М.І. Спорт та виховання підлітка.— М., 1983.— 104 с.
13. Теорія спорту / Під ред. В.Н. Платонова.—К., 1987.—424 с.
14. Тер-Ованесян А.А. Педагогічні основи фізичного виховання.— М., 1978.—232 с.
15. Філін В.П. Теорія та методика юнацького спорту.—М., 1987.— 128 с.