| Похожие рефераты | Скачать .docx |
Дипломная работа: Программирование физической подготовки футбольных вратарей учебно-тренировочных групп на соревновательном этапе
Коломенский государственный педагогический институт
Программирование физической подготовки футбольных вратарей учебно-тренировочных групп на соревновательном этапе
ВЫПУСКНАЯ КВАЛИФИКАЦИОННАЯ РАБОТА
Научный руководитель: доктор педагогических наук, профессор С.Ю. Тюленьков
Коломна – 2004
ОГЛАВЛЕНИЕ
Введение
Глава I. Программированная подготовка и возрастные особенности воспитания двигательных способностей в спорте
1.1 Основы программирования тренировки в игровых видах спорта
1.2 Двигательные способности: понятие, структура, средства и методы воспитания
1.3 Возрастная характеристика физической подготовленности футболистов
1.4 Особенности игровых функций и тренировки футбольных вратарей
Глава II Цель, задачи, методы и организация исследования
2.1 Цель и задачи исследования
2.2 Организация исследования и педагогический эксперимент
Глава III Физическая подготовленность футболистов разного возраста
3.1 Возрастная динамика двигательных способностей футболистов
3.2 Возрастная динамика двигательных способностей футбольных вратарей
3.3 Показатели физической подготовленности и организация нагрузок в соревновательном периоде подготовки вратарей 12-16 лет
3.4 Методика количественной оценки физической подготовленности вратарей 12-16 лет
Глава IV. Экспериментальное обоснование программированной физической подготовки вратарей 15-16 лет на этапах соревновательного периода
4.1 Теоретико-методические основы экспериментальной программы физической подготовки
4.2Средства подготовки и их организация в макроцикле
4.3 Показатели физической подготовленности вратарей экспериментальной группы
4.4 Показатели проявления психомоторных качеств в процессе экспериментальной подготовки
Выводы
Библиография
ВВЕДЕНИЕ
Актуальность. Отечественный футбол после очевидного спада на протяжении последнего десятилетия, перешел в стадию повышения технико-тактического мастерства и зрелищности игры команд премьер лиги.
С одной стороны, это связано с большим притоком в российские команды зарубежных футболистов, с другой, существенным уменьшением рассогласования в уровне мастерства "лидеров" и "аутсайдеров".
В то же время постоянно ощущается явный дефицит талантливых отечественных игроков, что косвенно свидетельствует о снижении эффективности работы системы подготовки спортивных резервов, а следовательно и специалистов этой отрасли.
Выход из создавшегося положения во многом связан с внедрением" в методику подготовки спортивного резерва современных научно-методических основ управления и организации тренировочного процесса, которые нашли отражение в фундаментальных исследованиях последних лет (А.А. Сучилин, 1996; А.П. Золотарев, 1997; Г.С. Лалаков, 1998; А.И. Шамардин, 2000).
Специалисты отмечают, что существенные резервы роста мастерства футболистов кроются в повышении скорости выполнения технических приемов, за счет нахождения путей совершенствования физической подготовленности игроков и, особенно, ее скоростно-силового компонента.
Вопросом воспитания двигательных качеств футболистов разного возраста и квалификации посвящено значительное количество работ, но все они, как правило, проведены с участием полевых игроков, в то время, как различные аспекты соревновательной и тренировочной деятельности вратарей остаются малоизученными и недостаточно разработанными.
Как правило, основы вратарского мастерства были объектом внимания самих вратарей, накопивших богатый практический опыт (В. Гранаткин, Е. Фокин, 1953; Б.П. Набоков, 1963; A.M. Акимов, 1968, 1978 и др.). В этих и других работах всесторонне рассматриваются вопросы техники и тактики вратарского искусства, но вопросы организации физической подготовки раскрываются лишь с позиций первостепенного влияния двигательных качеств на уровень и качество игры.
К наиболее фундаментальным исследованиям, посвященным подготовке квалифицированных футбольных вратарей и их ближайшего резерва следует отнести диссертационную работу А.И. Шамардина (1978), но и в ней вопросы физической подготовки игроков данного амплуа рассматриваются фрагментарно.
В настоящее время сложилась ситуация, когда в командах мастеров существует практика работы тренеров по подготовке вратарей, а в детско-юношеском футболе данная работа отсутствует. При этом тренировка вратарей проходит, как правило, в составе всей команды и не имеет специализированной направленности.
Наконец отсутствие целенаправленного планирования нагрузок, учета возрастных особенностей становления и развития двигательных способностей, преимущественное проведение тренировок в воротах, надуманность и однообразие упражнений являются основными факторами низкой эффективности учебно-тренировочного процесса вратарей детских спортивных школ.
Гипотеза. Предполагалось, что программирование тренировочного процесса, основанного на объективном учете уровня и структуры физической подготовленности юных вратарей, а также знание особенностей возрастной динамики их двигательных способностей позволит оптимизировать систему физической подготовки, что обеспечит планомерный рост двигательного потенциала игроков данного амплуа.
Объект исследования. Проявления двигательных способностей юных футболистов на различных этапах возрастного и спортивного онтогенеза, включая вратарей.
Предмет исследования. Физическая подготовка вратарей 15-16 лет, основанная на использовании такого методического подхода, как программирование тренировочного процесса.
Теоретическая значимость. Показано, что специфика тренировочной и соревновательной деятельности определяет особенности возрастных границ сенситивных периодов проявления основных двигательных способностей вратарей, по отношению к футболистам, играющим в поле.
Знание структуры и динамики физических качеств можно использовать для целенаправленного развития отдельных двигательных способностей и их сочетаний в те возрастные периоды, которые наиболее благоприятны для такого развития.
Научная новизна. В работе впервые определены сенситивные периоды двигательных качеств вратарей 12-16 лет. Показано, что вратари отстают от полевых игроков по темпам прироста двигательных качеств на один год; установлено, что наибольшие резервы роста физической подготовленности юных футболистов заключаются в возможностях развития силы и скоростно-силовых способностей; разработаны количественные критерии оценки различных сторон физической подготовленности футбольных вратарей учебно-тренировочных групп.
Обосновано рациональное распределение разнонаправленных физических нагрузок в полугодовом макроцикле соревновательного периода с учетом соотношения общеподготовительных, специальноподготовительных и специализированных упражнений различной координационной сложности, обеспечивающих повышение физических кондиций вратарей 15-16 лет.
Практическая значимость результатов работы характеризуется возможностью их использования в следующих направлениях:
· в системе комплексного контроля за уровнем подготовленности вратарей учебно-тренировочных групп СДЮШОР и ДЮСПТ;
· при планировании тренировочных нагрузок в соревновательном периоде годичного цикла подготовки вратарей 15-16 лет;
· при внесении коррекции в программно-нормативные документы для ДЮСШ и СДЮШОР по футболу;
· в системе силовой и скоростно-силовой подготовки вратарей учебно-тренировочных групп 5-6 годов обучения.
ГЛАВА I . ПРОГРАММИРОВАННАЯ ПОДГОТОВКА И ВОЗРАСТНЫЕ ОСОБЕННОСТИ ВОСПИТАНИЯ ДВИГАТЕЛЬНЫХ СПОСОБНОСТЕЙ В СПОРТЕ
Одним из перспективных путей оптимизации существующих систем физического воспитания и спортивной подготовки является "программированное обучение".
Термин "программированное" пришел в педагогику из области эксплуатации электронно-вычислительных машин. В классическом его определении он звучит как автоматическое регулирование управляемости изучаемой программы. [91]
Известно, что процесс обучения - это взаимосвязанная деятельность педагога и его учеников, в нашем случае, тренера и спортсмена. В процессе обучения (тренировки) тренер должен не только сообщить ученикам те или иные сведения, но и управлять его активной деятельностью. В этом плане прокраммированное обучение открывает большие перспективы, поскольку всякое преобразование информации связано с процессом управления целенаправленной деятельностью. Отсутствие же целенаправленности воздействий означает по сути дела отсутствие управления процессом общения или тренировки. Особенно важно уяснение этого положения для совершенствования обучения как управляемого процесса. Чем конкретнее поставлена цель и задачи ее выполнения, тем выше вероятность эффективности обучения. [25]
В этой связи наличие целевой установки, как необходимого признака всякой управляемой системы, и постоянное изменение состояния управляемого объекта в процессе управления, требуют программы действия (операции) для управляемого органа.
В основе программирования лежит так называемая структурно-логическая схема, которая представляет собой схематические описания логического построения учебных (тренировочных) мероприятий, с помощью которых информация, сообщения обучаемым, преобразовывается в его знания, умения и навыки. [91, 153] В ней дается: 1) систематизированный перечень элементов информации, определенным образом дозированных, связанных между собой и с соответствующими разделами других (предшествующих) разделов работы в определенной логической последовательности; 2) указания на применяемые методы обучения, формы, способы контроля и самоконтроля результатов изучения материалов. [26]
Программированное обучение основывается на доведении информации до обучаемых, самостоятельном осмысливании этой информации, решении практических задач, привитии практических навыков, контроле степени условия информации. [82]
Многие принципиальные положения, касающиеся программированногообучения, с успехом реализуются в исследованиях в области теории и методики спортивной тренировки, включая и теорию и методику детско-юношеского спорта. [11, 18,25,39,54,81,83, 107 и др.]
1.1 Основы программирования тренировки в игровых видах спорта
Одним из первых разработкой методики программированного обучения в спорте начал заниматься С.В. Малиновский. [82, 83] Разработанные им универсальные контрольные программы, способствовали ускорению освоения юными спортсменами новой игровой деятельностью. Такие программы состояли из ряда разделов, каждый из которых имеет несколько уровней трудности. Уровень трудности позволял определить объем материала, содержание и последовательность его изучения.
Ключевые разработки в отношении применения принципа программированного обучения в спорте принадлежат Ю.В. Верхошанскому [24], который к тому же реализовал его при физической подготовке спортсмена. [25] Согласно основным его методическим разработкам, программирование - это упорядочение содержания тренировочного процесса в соответствии с целевыми задачами подготовки спортсмена и специфическими принципами определяющими рациональные формы организации тренировочных нагрузок в рамках конкретного времени. Вместо аналитико-синтетического подхода Ю.В. Верхошанский предлагает переход к программно-целевому принципу организации тренировки. Этот принцип исходит прежде всего из постановки конкретных целевых задач на том или ином этапе подготовки и соревновательной деятельности, обеспечивающей их реализацию. Тренировочный процесс организуется в соответствии с определенными . целевыми задачами, которые конкретно выражаются в задаваемой величине роста спортивного результата и обусловливают необходимую для их реализации программу тренировки.
Программирование тренировки, являясь одним из главных составляющих управления, решает задачи нахождения наиболее эффективных способов перевода систем и функций организма спортсмена на максимально доступный уровень устойчивого функционирования с учетом гетерохронности их развития и совершенствования в рамках конкретного времени в целях достижения Сединой функциональной системой организма общего полезного результата. [24, 25, 26]
Предпосылками программирования спортивной тренировки выступают причинно-следственные связи, лежащие в основе сочетания средств и методов тренировочного воздействия специально организованных физических упражнений, предназначенных для целенаправленного совершенствования систем и функций организма спортсмена. Многокомпонентность данной системы, составляющей базу знаний для программирования спортивной тренировки, в силу ограниченности действия известных закономерностей спортивной тренировки, затрудняет определение цели и способов ее достижения и снижает прогностичность принятия решения. [11]
Программирование - это система действий, целью которых является нахождение наиболее эффективных способов перевода состояния спортсмена на новый максимально доступный и устойчивый уровень. Программирование спортивной тренировки складывается из упорядоченных логических операций и основывается на базе знаний, в большей своей части не поддающихся формализации. Решение задачи эффективного программирования тренировки возможно за счет формализации самого процесса программирования и разработки алгоритмов, составляющих технологию программирования.
Ш.К. Шахов [145] считает, что в качестве основных элементов программирования физической подготовки спортсменов необходимо рассматривать:
· требования к уровню физической подготовленности в конкретном виде спорта (эти требования выражаются в данных тестирования отдельных двигательных способностей и их объективизации в виде модельных показателей или должных норм);
· содержание конкретных средств и методов физической подготовки; конкретные пути реализации основных принципов и специфических методов программированной физической подготовки применительно к особенностям вида спорта.
В процессе построения системы программированной физической подготовки спортсменов необходимо формировать следующие установки: на реализацию текущего адаптационного резерва организма; на сохранение тренирующего потенциала нагрузки;
· на концентрированное использование отдельных специальных однонаправленных нагрузок;
· на использование долговременного отставленного тренировочного эффекта концентрированного объема разнообразных нагрузок физической подготовки;
· на разделение во времени объемов нагрузок различной преимущественной направленности. [11, 26, 127]
Отметим, что наиболее фундаментальные исследования по программированию физической подготовки выполнены применительно к подготовке взрослых высококвалифицированных спортсменов и лишь в последние годы данное направление работ нашло отражение в диссертациях с участием юных баскетболистов [111], борцов [145], боксеров [45].
В спортивных играх разработка вопросов программирования учебно-тренировочного процесса находится на начальном этапе. Более широкому их развитию мешают объективные трудности и, прежде всего, сложность структуры соревновательной деятельности. Помимо этого, большие трудности возникают между организацией тренировочного воздействия, которая имеет, как правило, общегрупповой характер, и сущностью тренировочного эффекта, всегда индивидуального для каждого спортсмена. [146] Более того, необходимо отметить специфику соревновательного сезона в спортивных играх. По сравнению с другими видами спорта, "нормой" здесь является участие в 50-70 состязаниях в течение годичного цикла. При этом длительность соревновательного периода составляет 6-9 месяцев в году. [127]
Учитывая это обстоятельство, в спортивных играх необходимо изменение привычного для большинства видов спорта взгляда на периодизацию годичного цикла подготовки. Вместо подготовительного периода здесь могут иметь место три таких периода и дальше - больше. [118]
Это заставляет каждый раз выделять внутри годичного цикла целостные мезоциклы, включающие в себя "этапы накопления потенциала и его реализации", соответствующие всем четырем фазам развития спортивной формы (создания, сравнительной стабилизации, оптимального проявления и частичной утраты).
Следует заметить, что внутри такого подготовительного мезоцикла по аналогии с годичным сохраняется волнообразность нагрузок по составляющим его этапам: переходному, обще- и специально-подготовительным, пред -соревновательным и соревновательным. [19, 20, 43, 75, 88, 115]
Для достижения запланированных результатов необходима четкая иерархия подцелей и задач, соответствующих различным этапам подготовки. Наиболее четко они обозначаются в результате системного анализа содержания спортивной деятельности и процесса подготовки к ней. Используемая концепция подготовки в спортивных играх складывается из таких блоков, как:
1. Специфика игры (ее технико-тактическая характеристика).
2. Модель игры (и промежуточная ее модель) и модели игроков (исходные и конечные).
3. Общие принципы и структура процесса подготовки.
4. Промежуточные модели подготовки, включающие методы и формы организации и систему реализации.
5. Отбираемое содержание техники, тактики и уровня физической и психической подготовки.
6. Средства и методы контроля и управления. [3, 123]
Суммация тренировочных нагрузок может вызвать как положительный, так и отрицательный результат, если при этом будет превышен индивидуальный адаптационный ресурс. Для реализации текущего адаптационного ресурса необходимо около 20 недель. И поэтому в основу структуры рационально организованной тренировки кладется цикличность в развитии построения тренированности. Годичный цикл, большой этап (мезоцикл) и микроцикл составляют структурные единицы программирования тренировки. [И, 18, 20, 28, 54, 76, 84]
Важным аспектом планирования подготовки в спортивных играх представляется тенденция упрощения процесса программирования, используя блочный принцип подбора тренировочных средств и их формализацию. Так, например, при разработке годичного цикла немецкие специалисты по гандболу используют всего 43 блока, распределяя их по 6 разделам. [118] Такой же подход апробирован в тренировке хоккеистов при разработке тренировочных занятий. Элементной базой такого программирования избраны отдельные физические упражнения или ряд их, объединенных по признакам решения определенной педагогической задачи. Карты тренировочного задания (ТЗ) в этом случае заполняются шифром. Дополнительно вычерчивается схема оперативного плана, затем, исходя из основной задачи тренировки,подбираются ТЗ. В нижней графе плана представляется суммарная величина нагрузки (по формуле B.C. Келлера). Это позволяет четко дозировать нагрузки, их объем и интенсивность и вести их точный учет. [64]
Так, в хоккее программирование тренировочных и соревновательных нагрузок - это оптимизация тренировочного процесса с помощью моделей, отражающих структуру соревновательной деятельности спортсменов. Основополагающим принципом программирования является адекватное обеспечение двигательной деятельности, критерием которой является прогнозируемый результат. [119]
Программирование тренировочного процесса опирается на: 1) специфику двигательно-тактической деятельности; 2) особенности календарных соревнований; 3) стратегию и закономерности процессов адаптации организма к тренировочным нагрузкам; 4) их индивидуальные особенности, связаны с динамикой развития двигательных способностей (темпы роста, характером взаимосвязей и времени удержания); 5) взаимосвязь специальной физической и технико-тактической подготовок. [25, 26, 27, 145]
На основании проведенных за последние годы исследований можно констатировать, что совершенствование системы подготовки в различных спортивных играх в значительной мере связано с повышением качества программирования спортивной подготовки в наиболее важном соревновательном периоде. Целесообразно соревновательный период расчленять в зависимости от календаря соревнований на серию межтуровых мезоциклов. Рациональное использование межтурового мезоцикла позволяет поддерживать высокий уровень специальной готовности и спортивной формы игроков в течение всего длительного основного соревновательного периода годичного цикла подготовки. [18, 28, 43, 56, 59, 90, 105]
Из анализа литературы следует, что специальная физическая подготовленность, как юных, так и квалифицированных футболистов в значительной степени определяется скоростно-силовыми возможностямиспортсменов, а также степенью адаптации организма к особенностям игровой деятельности [6, 27, 29, 76, 77, 123, 128, 140]
Современная практика развития футбола обуславливает переход к программному принципу организации тренировки. Программно-целевой принцип предусматривает моделирование нагрузок в рамках отдельных этапов. Вопрос о структуре и содержании таких этапов может зависеть от ряда причин, к которым целесообразно отнести следующие:
• интервал отдыха между двумя ответственными встречами;
• оптимальная продолжительность тренировочного воздействия конкретной направленности для достижения значимого эффекта;
• рациональное сочетание разнонаправленных тренировочных воздействий в целях достижения конкретной эффективности структуры технико-тактической и физической подготовленности;
• соотношение средств и методов физической подготовки. [127] Проблема программирования подготовки футболистов была в определенной степени исследована тренерами-практиками. [55, 56, 75, 78] В конечном итоге вышеперечисленные авторы установили, что тренировочные программы с однотипными моделями занятий малоэффективны для повышения уровня подготовленности футболистов. На этапе продолжительностью от 12 до 16 дней уровень физических качеств и технико-тактических возможностей футболистов практически не изменяется, если вклад тренировочных средств различной преимущественной направленности был одинаков (33,3%).
Определены параметры специализированных футбольных упражнений в рамках определенной направленности воздействия нагрузки, а также их соотношение на различных по продолжительности этапах подготовки. [56]
Структура физической подготовленности и показатели технико-тактической деятельности футболистов в течение сезона подвержены значительным колебаниям. Выявлено, что перепады уровня двигательных качеств отмечаются каждые 40-50 дней. Это позволяет говорить о необходимости детального планирования подготовки только по отдельнымэтапам. Годичный план тренировки может содержать в основном общие педагогические показатели: количество игр, количество тренировочных дней и занятий, объем нагрузки (в часах) и некоторые другие показатели. [18, 127]
В рамках программирования подготовки спортсменов, специализирующихся в спортивных играх важное место занимает проблема экономизации рационализации тренировочного процесса. [58, 59, 69, 74, 100, 108, 116] При этом экспериментально обоснован ряд положений . интенсификации подготовки в игровых видах спорта, среди которых можно выделить следующие:
•систематическое использование нагрузок, направленных на специальную выносливость на большинстве этапов подготовки, как подготовительного, так и соревновательного периодов; при таком варианте тренировка сразу приобретает специализированный характер и создает наиболее благоприятные условия для адаптации к специфике соревновательной деятельности [4, 19, 138];
•последовательная реализация "вариантно-контрастного" и "сопряженного" методов для преодоления адаптации организма к сильным, но однообразно монотонным нагрузкам (известно, что отличительной особенностью организма спортсмена является относительно быстрое привыкание к повторным, аналогичным воздействиям, которые не вызывают морфологических, метаболических и функциональных изменений) с периодическим изменением отдельных параметров нагрузки, а также введением отличных по новизне структур специальных упражнений [128, 140, 144]
•выполнение определенного, достаточно большого объема тренировочной работы в смешанном (аэробно-анаэробном) режиме энергообеспечения мышечной деятельности на уровне анаэробного порога (АП), как наиболее экономичного средства повышения эффективности функционирования кардио-респираторной системы организма. Нагрузки на уровне АП способствуют формированию базы для перехода к нагрузкам анаэробно-гликолитической направленности, избегая раннего закисления организма. [24, 28, 131, 138, 152]
•сочетание в пределах тренировочного дня и микроцикла занятий различной направленности по принципу вариативного обеспечения глубокого использования функциональных резервов и интенсивного протекания восстановительных процессов. [151, 154]
•в большинстве микроциклов целесообразно планировать занятия направленные на развитие быстроты и скорости, чаще вводить упражнения спринтерского характера в подготовительную часть занятий. В процессе силовой подготовки использовать упражнения на гибкость и расслабление. [17, 21,23,71]
Здесь же отметим, что важнейшим требованием к методике воспитания физических качеств в детско-юношеском спорте являются всесторонность воздействий, соразмерность нагрузок функциональным возможностям растущего организма, соответствие воздействующих факторов особенностям этапов возрастного развития. В заключении данного раздела следует сказать об отсутствии единства впонимании физических качеств и их структуры, что определяет необходимость более подробного рассмотрения состояния данной проблемы в теории физического воспитания и спорта.
1.2 Двигательные способности: понятие, структура, средства и методы воспитания
Сложилось понимание физического качества как объединяющего те стороны моторики, которые проявляются в одинаковых параметрах движения и измеряются тождественным способом, а также имеют аналогичные физиологические и биомеханические механизмы и требуют проявления сходных свойств психики. [10, 48, 50, 51]
Термин "физические качества" аналогичен понятию "двигательные качества", поскольку подразумеваются их проявления в характеристиках движения, которые определяются максимальными характеристиками этого движения. [51]
В последнее время все чаще говорят, что более точно говорить не о физических качествах, а о двигательных способностях, т.е. способностью индивида выполнять движения. [24, 48, 60] Хотя в ряде учебников по физическому воспитанию и спортивной тренировке не применяется термин двигательные способности, но используются такие частные определения, как силовые, скоростные, координационные способности. [53, 85, 112, 114, 133]
Не соглашается с определением физических качеств как способностей Б.В. Коренберг (68] так как, по его мнению, в этом случае исчезает понимание механизмов качественной обособленности и ортодоксальности этих компонентов моторики человека.
В свою очередь B.C. Фарфель [131] отказывается от понятия двигательные качества и говорит о двигательных способностях.
В этом отношении представляется достаточно логичным подход Е.П. Ильина [60], который считает, что понятия "одаренность", "способность" и "качества" определяют некоторые факторы, влияющие на возможности человека и на эффективность его деятельности. Он считает, что одаренностью следует считать возможность спортсмена осуществлять на высоком уровне определенную деятельность в связи с имеющимися у него врожденными психофизиологическими и морфологическими способностями. Среди врожденных особенностей центральное место занимают задатки. Выполнение деятельности, которая требует проявления задатков, приводит к развитию способностей. Таким образом, способности можно определить как потенциальные, или наличные, возможности осуществлять деятельность на высоком уровне, обусловленные врожденными задатками и развитыми в процессе жизни. [60]
Вышеприведенная позиция обоснована в системе специальной физической подготовленности спортсменов, разработанной Ю.В. Верхошанским [27], где в основу положен системный принцип реализации рабочего эффекта движений.
Что же касается термина "качество", то его целесообразно применять при сравнении двух или группы спортсменов. Так, при сравнении силовых способностей двух спортсменов мы говорим, что качество их проявления в определенном движении у одного выше, чем у другого.
Согласно справедливому высказыванию В.И. Ляха [79, 80] о том, что несмотря на многолетние усилия ученых, пока не создана единая общепринятая классификация двигательных способностей человека. Сам автор подразделяет их на два класса, что впрочем тоже довольно условно: кондиционные и координационные способности (рис. 1). Класс кондиционных, или энергетических способностей в значительной мере обусловлен морфологическими факторами, биохимическими и гистологическими перестройками в мышцах и организме в целом.
Комплекс координационных способностей преимущественно обусловлен центрально-нервными влияниями (психофизиологическими механизмами управления и регулирования).
Остановимся на основных понятиях двигательных способностей, которые на протяжении не одного десятилетия были и будут привлекать внимание теоретиков и практиков, работающих в области физической культуры и спорта. Выполнение любого движения или сохранения какой-либо позы тела человека обусловлено работой мышц. Величину развиваемого при этом усилия принято называть силой мышц. Сила (силовые способности) - это способность преодолевать внешнее сопротивление или противодействовать ему за счет мышечных усилий. [85] При этом силовые способности подразделяют на собственно силовые, которые проявляются в условиях статического режима и медленных (жимовых) движениях и скоростно-силовые способности. Последние, в свою очередь, подразделяются на динамическую и амортизационную силу и проявляются в быстрых движениях преодолевающего и уступающего характера. [14, 22, 85, 155]
Важной разновидностью скоростно-силовых способностей является "взрывная сила" - способность проявлять большие величины силы в наименьшее время. [71] "Взрывная сила" характеризует мышечную деятельность, отличающуюся большой скоростью и мощностью, и в наиболее выраженном виде проявляется в высоте прыжка с места толчком двумя ногами. [50]
Уровень развития и появления силовых способностей зависит от таких факторов, как: биомеханические характеристики движения (длины плеч рычагов, возможности включения в работу крупных мышц, взаимного сочетания напряжений отдельных мышечных групп); величины физиологического поперечника мышц (чем он больше, тем при прочих равных условиях больше усилие может развивать мышца); состава мышечных волокон ("медленные" и "быстрые" волокна). [32, 57, 155]
Существенную роль в проявлении силовых возможностей человека играет регуляция мышечных напряжений со стороны центральной нервной системы. Величина мышечной силы при этом связана: с частотой импульсов, проступающих к мышце от мотонейронов спинного мозга; степенью синхронизации сокращения отдельных двигательных единиц, порядком и количеством включенных двигательных единиц. [24, 115, 131]
Проявление силовых способностей тесно связано с эффективностью энергообеспечения мышечной деятельности. При этом важную роль играют скорость и мощность анаэробного ресинтеза АТФ, уровень содержания креатинфосфата, активность внутримышечных ферментов, а также содержание гемоглобина и буферные возможности мышечной ткани. [30, 34, 152]
Силовые возможности зависят от возраста и пола занимающихся: наибольший прирост показателей абсолютной силы происходит у подростков и юношей в 13-14 лет. Относительные показатели силы особенно значительно возрастают с 9-11 и 16-17 лет. ]31, 80, 133]
Скоростные способности (быстрота) - это комплекс функциональных свойств человека, обеспечивающих выполнение двигательных действий в минимальный для данных условий отрезок времени. [51] Различаютэлементарные и комплексные формы проявления скоростных способностей. [39] К элементарным формам относятся следующие относительно независимые проявления быстроты: 1) латентное время двигательной реакции; 2) скорость одиночного движения; 3) частота движений. [10, 17, 51].
В отличие от традиционного подхода, В. Б. Коренберг [68] первую из перечисленных форм быстроты предлагает выделить как самостоятельное качество, названное им "реактивностью".
Элементарные формы проявления быстроты в различных сочетаниях и в совокупности с другими способностями и техническими навыками обеспечивают комплексное проявление быстроты в сложных двигательных актах, характерных для конкретного вида спортивной деятельности. [112] К таким комплексным формам проявления относятся: способность быстро набирать скорость на старте до максимально возможной (стартовая скорость) и способность к достижению высокой скорости на дистанции (дистанционная скорость), способность быстро переключаться с одних действия на другие и т.п. [27,4]
Уровень развития и проявления скоростных способностей зависит от следующих факторов: подвижности нервных процессов; соотношения различных типов мышечных волокон, их эластичности и растяжимости; эффективности внутримышечной и межмышечной координации; совершенства техники выполнения движений; степени развития координационных способностей и гибкости; содержания АТФ и КФ в мышцах, скорости их расщепления и восстановления. [12, 14, 21, 37, 57, 132]
Скоростные способности очень специфичны. Можно быстро выполнять одни движения и медленно другие, обладать высоким стартовым ускорением и низкой дистанционной скоростью. [42]
Генетические исследования показали существенную зависимость скоростных способностей от факторов генотипа [151] Так по данным разных авторов быстрота простой реакции на 60-88% определяется наследственностью. Средне-сильное генетическое влияние испытывает на себе скорость одиночного движения и частота движений, а скорость, проявляемая в целостных двигательных актах зависит примерно в равной степени от генотипа и среды. [31,32,80]
По общему мнению специалистов, быстрота во всех ее разновидностях в течение жизни прогрессирует существенно меньше и раньше начинает подвергаться инволюционным возрастным изменениям, чем другие двигательные способности, даже при условии специально направленного ее воспитания. [17, 109]
Выносливостью принято называть способность человека к длительному выполнению какой-либо деятельности человека без снижения ее эффективности, т.е. способность противостоять утомлению. [17, 30, 38]
В теории и практике спорта принято различать общую и специальную выносливость. Под общей подразумевают способность к эффективному и ' продолжительному выполнению работы умеренной интенсивности, в которой участвует значительная часть мышечного аппарата. Однако по справедливому замечанию В.Н. Платонова [113], такое определение применимо только к циклическим видам двигательной деятельности. Автор дает определения общей выносливости в следующем виде: это способность к продолжительному и эффективному выполнению работы неспецифического характера, оказывающую положительное влияние на процесс становления специфических компонентов спортивного мастерства благодаря повышению адаптации к нагрузкам и наличию явления "переноса" тренированности неспецифических видов деятельности на специфические. Соответственно специальной выносливостью называют способность к эффективному выполнению работы и преодолению утомления в условиях, детерминированных требованиями конкретного вида деятельности. Обобщенная схема классификации выносливости отражена на рис. 2.
Отметим, что практически нет таких двигательных действий, которые требовали бы проявления какой-либо формы выносливости в "чистом виде". При выполнении любого двигательного действия в той или иной мере находят проявления различные формы выносливости. [13, 36, 51]
Уровень развития и проявления выносливости зависит от целого ряда многообразных факторов:
· наличия энергетических ресурсов организма; уровня функциональных возможностей систем энергообеспечения мышечной деятельности;
· быстроты активации и согласованности в работе этих систем;
· устойчивости психологических функций к нарушениям гомеостаза;
· экономичности использования функционального потенциала;
· подготовленности нервно-мышечного аппарата и др. [29, 57, 86, 115]
Эти факторы имеют значение во многих видах деятельности, но степень проявления каждого из них определяется особенностями конкретного вида работы. Поэтому различные формы проявления выносливости группируются по характерным признакам: выносливость к работе циклического, ациклического, смешанного характера; локальная, региональная, глобальная; аэробная и анаэробная; скоростная и силовая; статическая и динамическая; выносливость к работе в различных зонах мощности (максимальной, субмаксимальной, большой, умеренной) и др.
Однако нет таких двигательных действий, которые требовали бы проявления какой-либо формы выносливости в чистом виде. [127]
Рассматривая возрастную динамику выносливости специалисты отмечают, что наибольшие абсолютные величины аэробной и анаэробной производительности наблюдаются у людей зрелого возраста. [17, 85, 105] Не случайно, что наиболее высокие достижения в видах спорта, требующих максимального проявления выносливости, демонстрируются в возрасте 25-30 лет.
Координационные способности - умение человека наиболее совершенно, быстро, точно, целесообразно и экономно решать двигательные задачи, особенно сложные и возникающие неожиданно. [114]
Наиболее адекватным отражением координационных возможностей является степень соответствия двигательных действий окружающей обстановке. [13, 99]
Координационные возможности в практике чаще определяются как двигательное качество - ловкость, его измерителями являются: координационная сложность задания, точность его выполнения, время выполнения, в частности, либо минимальное время, необходимое для овладения должным уровнем точности, либо минимальное время от момента изменения обстановки до начала ответного движения, когда двигательные характеристики движения заранее не известны. [13, 79]
В разные возрастные периоды наблюдается неравномерность в развитии отдельных видов координационных способностей, уровень которых к 15-16 годам практически достигает уровня показателей взрослого человека. [80, 99]
Таким образом, нами рассмотрены следующие двигательные способности и их производные: сила, "взрывная" сила, быстрота (скорость), выносливость, "скоростная" выносливость, координационные способности.
В рамках некоторых теорий [42, 50, 86] силу, выносливость и скорость относят к основным двигательным качествам (способностям), а "взрывную" силу, "силовую" выносливость, "скоростную" выносливость и координационные способности - к комплексным двигательным способностям.
Специфическую группу средств, направленных и обеспечивающих совершенствование двигательных способностей составляют физические упражнения, под которыми понимаются виды двигательных действий, которые направлены на реализацию задач физического воспитания и спорта и подчиненные их закономерностям. [87]
Одной из распространенных классификаций физических упражнений (средств тренировки) является их разделение по направленности педагогического воздействия [127]:
1. скоростно-силовые упражнения, характеризующиеся максимальной интенсивностью и мощностью усилий;
2. упражнения, требующие преимущественного проявления выносливости в движениях циклического характера;
3. упражнения, требующие проявлений тонких и сложных координационных способностей в условиях регламентированной программы движений;
4. упражнения, требующие комплексного проявления физических качеств в условиях переменных режимов двигательной деятельности, непрерывных изменений ситуаций и форм действий.
Одним из важнейших понятий для характеристики средств и методов физической подготовки является "нагрузка", как определенная величина воздействия физических упражнений на организм занимающихся. [20, 36, 39]
Показателями нагрузки являются, с одной стороны, величины, характеризующие внешние параметры совершаемой работы (продолжительность и скорость выполнения упражнений, количество элементов, подходов, вес отягощений и т.д.), с другой - величины функциональных и связанных с ними сдвигов в организме, вызванных упражнениями (степень увеличения ЧСС, легочной вентиляции, потребления кислорода, сдвиги РН и др.). [33, 39, 86, 105, 115] Первые относятся к "внешней" стороне нагрузки, вторые - к "внутренней".
В теории и методике физического воспитания вопрос разработки средств и методов физической подготовки спортсменов разного возраста изучен достаточно полно. [31, 46, 53, 74, 80, 100]
Однако, рациональное применение разработанных средств и методов в условиях различных по направленности этапов подготовки, возрастных особенностей занимающихся и специфики вида спорта - задача чрезвычайно актуальная и требующая постоянного поиска.
Динамика роста спортивного мастерства требует изыскания новых более эффективных путей повышения как общей, так и специальной физической подготовленности [26] с учетом точных количественных критериев оценки структуры и параметров физических нагрузок. [36, 56, 84]
В циклических видах спорта тренировочная нагрузка относительно полно характеризуется следующими компонентами: интенсивностью упражнения, продолжительностью упражнения, длительностью и характером интервалов отдыха, числом повторений и серий. [35, 50]
В футболе нагрузка, наряду с вышеперечисленными показателями может варьироваться изменениями количества игроков, размерами площадки и степенью координационной сложности упражнений. [55, 58, 76, 98, 123]
Соответственно одной из задач теории и практики спортивной тренировки является сочетание таких компонентов нагрузки, которые наилучшим образом расширили бы функциональные возможности занимающихся. [11, 27, 33] В данном контексте целесообразно сказать об исследовании Г.С. Лалакова [74], который обосновал концепцию построения тренировочных нагрузок у футболистов разного возраста и выявил критерии допустимости и степени их соответствия функциональному состоянию организма футболистов.
В процессе воспитания двигательных способностей спортсменов, специализирующихся в командных играх и в футболе, в частности, применяется большое число методов тренировки, но наибольшее распространение получили следующие - равномерный, переменный, повторный, интервальный. [7, 18, 87, 108] В спортивных играх важным принципом применения средств и методов физической подготовки является максимальное использование элементов интегрального метода, при котором развиваются не только специальные двигательные способности, но и специфические психомоторные навыки. [49, 59, 111, 121]
Наряду с вышеперечисленными методами воспитания двигательных способностей достаточно широкое распространение в практике физической культуры и спорта получили соревновательный, игровой и круговой методы. [9, 38, 75]
Необходимо отметить, что круговой и игровой методы можно отнести к методам воспитания двигательных качеств весьма условно, поскольку с помощью этих методов решаются и задачи организации занятий. [42,127]
1.3 Возрастная характеристика физической подготовленности футболистов
Многочисленными исследованиями в области подготовки спортивных резервов всесторонне рассмотрены закономерности онтогенеза физических способностей человека и изменений двигательных функций спортсменов, происходящие с ростом их квалификации. [32, 44, 80, 105, 122, 139, 147]
Положительное влияние систематических занятий спортивными играми, в том числе и футболом, на организм убедительно доказано в исследованиях как отечественных, так и зарубежных специалистов. [58, 59, 74, 81, 107, 149]
Обобщая полученные результаты, можно констатировать, что систематические занятия футболом стимулируют естественный рост, физическое и функциональное развитие организма.
Так, если у подростков, систематически не занимающихся спортом, в пубертатном периоде снижается уровень проявления быстроты, выносливости, ловкости, нарушается процесс формирования взаимосвязей двигательной и вегетативной функций, замедляются темпы адаптации к новым формам движений, то тренировка подростков в спортивных играх способствует стабильному улучшению согласованности всех основных движений. [31]
При анализе проблемы физической подготовки, мы выделяем, прежде всего, те, которые относятся к исследованиям возрастной динамики физических качеств, а также оптимальному применению различных методов и средств их формирования. Важнейшие требования к методике воспитания физических качеств в период возрастного становления организма - всесторонность воздействий, соразмерность нагрузок функциональным возможностям растущего организма, соответствие воздействующих факторов особенностям этапов возрастного развития. [32, 45, 49, 58, 59, 85 и др. ]
Не вызывает сомнений доказанный факт [44, 58, 79, 80] о необходимости учета периодов наиболее бурного естественного прироста двигательных способностей детей и подростков (сенситивных периодов) для их преимущественного воспитания средствами физической культуры и спорта.
Также показано, что на возрастные границы сенситивных периодов влияет систематичность занятий физическими упражнениями, а также специфика вида спорта, и даже отдельные разновидности специализаций внутри него. [85, 116]
Проблема возрастной динамики физических качеств в футболе давно стала объектом внимания специалистов. Можно выделить несколько направлений разработок этой проблемы:
· возрастная динамика основных двигательных способностей [7, 9, 58, 129,149];
· разработка контрольных нормативов по физической подготовке для игроков разного возраста [42, 58, 107, 120];
· разработка модельных характеристик физической подготовленности [81, 98, 107, 144].
Отметим, что данные границ сенситивных периодов для воспитания двигательных качеств футболистов не всегда совпадают. Так, например, в качестве таких периодов для воспитания силы юных футболистов в одних случаях выделяют возраст 13-15 лет [8, 58], в других - 14-16 лет. [36]
Аналогичная картина характерна для скоростно-силовых способностей. По данным А.П. Лаптева и А.А. Сучилина [149] - это возраст 12-15 лет. Есть данные специалистов, где указываются возрастные периоды 13-16 лет [156], 10-15 лет [81] и 12-14 лет [69].
При этом отмечается, что в процессе многолетней подготовки . футболистов на период от 11 до 14 лет приходится 51,4% всего прироста скоростно-силовых качеств. Однако, темпы его по годам неодинаковы и составляют: от 11 до 12 лет - 9,5%; от 12 до 13 лет - 4,0% и от 13 до 14 лет -37,9%. [69]
Таким образом, сенситивные периоды для скоростно-силовых качеств юных футболистов определяются в довольно широких границах, согласно которым наиболее благоприятным для их целенаправленного развития может считаться как возраст 10-16 лет, так и более узкий диапазон - 13-14 лет.
Для быстроты юных футболистов в качестве сенситивных специалистами отмечаются: возраст от 7 до 12 лет [8], от 14 до 15 лет [149], а также от 12 до 15 лет [156].
Известно, что наиболее комплексно скоростные качества футболистов проявляются в беге с максимальной скоростью на дистанции 30-40 м. [6, 121] В этой связи представляется интересным рассмотрение коэффициента "соразмерности" скоростных качеств по М.Я. Набатниковой [105] на примере исследований в детско-юношеском футболе. Так, в сопоставлении с достижениями в 7-летнем возрасте этот показатель для 11-летних футболистов в беге на скорость на коротком отрезке в 3 м составляет 91,2%, на отрезке 6м-87,7%, 9 м - 89,1%, 12 м. - 88,9%, 15 м - 81,0% и 30 м - 80,6%.
Все это еще раз подчеркивает зависимость проявления скоростных качеств от возраста юных футболистов и длины пробегаемой дистанции.
Достаточно широкий возрастной диапазон с наиболее благоприятными предпосылками выделяется для воспитания выносливости. Так, по данным А.П.
Лаптева и А.А. Сучилина [149] сенситивным для выносливости следует считать возраст 12-15 лет, что совпадает с мнением Ю.М. Арестова [8], в других случаях выделяется возраст 10-16 лет и 16-17 лет. [36] Именно на этот возраст у юных футболистов, по данным В.Г. Макаренко [81], приходится 36% всего прироста уровня общей и специальной выносливости за период подготовки в ДЮСШ.
Возрастные особенности гибкости юных футболистов исследовались в незначительном количестве работ. При этом в качестве сенситивного для целенаправленного развития этого двигательного качества при занятиях футболом выделяется возраст от 7 до 11 лет. [8, 149]
Особенности динамики ловкости юных футболистов в широких возрастных диапазонах, наряду с достаточно полной изученностью в возрастном аспекте других двигательных качеств, до настоящего времени малоизученны. Между тем, как известно, от знания возрастных закономерностей развития ловкости, как и других двигательных качеств, во многом зависит эффективность многолетнего процесса становления спортивного мастерства футболистов. [6, 36, 40]
Под воздействием тренировки ловкость развивается наиболее эффективно в возрасте 8-9 лет, то есть при низком ее уровне. В возрасте 14-15 лет показатели ухудшаются и устанавливаются на уровне ниже наивысшего. [90]
Как показывают результаты исследования возрастных особенностей двигательной деятельности юных футболистов, в 9-12 лет у них происходит значительное улучшение координации движений. В возрасте 13-15 лет на основе значительно возросших функциональных возможностей ЦНС создаются благоприятные предпосылки для совершенствования двигательных способностей, которые в этот период развиваются наиболее бурно. [31, 44, 156] При этом высказывается предположение, что с возрастом футболисты утрачивают не столько скоростные качества, сколько координированность. [30]
В качестве сенситивных периодов для развития ловкости у юных13-14 лет [81]. Из теории вопроса известно, что для большинства показателей ловкости (как обобщенному проявлению координационных способностей) наиболее продуктивным возрастным периодом для целенаправленного развития считается возраст с 11 до 12-13 лет. [79, 80]
Таким образом можно сказать, что имеются расхождения в определении границ сенситивных периодов динамики физических качеств юных футболистов.
В докторской диссертации А.П. Золотарева [58] в процессе экспериментальной проверки сделаны уточнения по данной проблеме.
В частности, установлены следующие границы наибольшего прироста двигательных способностей футболистов:
· координация (ловкость) -9-12и 13-14 лет;
· скоростные способности - 10-11 и 12-14 лет;
· скоростно-силовые способности - 10-11 и 12-15 лет;
· выносливость -9-10и 14-16 лет.)
Если говорить об уровне физической подготовленности футболистов разного возраста, то можно констатировать, что юные футболисты имеющие более высокий уровень развития двигательных способностей, как правило, достигают более высоких спортивных результатов и чаще попадают в различные сборные команды. [81]
В то же время, сравнительные данные, полученные С.А. Локтевым [76] показали, что футболисты уступают по физическим кондициям своим сверстникам, занимающихся легкой атлетикой, плаванием, велоспортом, современным пятиборьем. С одной стороны, это обусловлено спецификой соревновательной деятельности футболистов, которая носит переменный характер. С другой, свидетельствует о необходимости поиска резервов в повышении их двигательных способностей, что невозможно без дальнейшей разработки проблемы оптимизации структуры и содержания тренировочных нагрузок на этапах многолетней подготовки.
В последние годы появились работы, систематизирующие многолетние исследования возрастного аспекта подготовки футболистов [58, 73, 126], но вопросы программирования физической подготовки в них рассматриваются эпизодически.
1.4 Особенности игровых функций и тренировки футбольных вратарей
В футбольной команде одному из одиннадцати игроков поручается выполнение обязанности вратаря. Роль вратаря в футболе очень ответственная, качество его игры нередко влияет на исход состязания.
Вратарь - единственный игрок в команде, которому правилами разрешено играть руками в пределах штрафной площадки, т.е. его функции во многом специфичны по отношению к другим амплуа футболистов.
Игра вратаря за последние годы претерпела значительные изменения. Если раньше от него, в основном, требовалось отличная игра непосредственно в ворртах, то теперь этого недостаточно. В частности, A.M. Акимов [1, 2] говорит, что с ростом класса футбола диапазон действий вратарей значительно расширился. В настоящее время вратарь обязан умело действовать не только в районе штрафной площадки, но и за ее пределами, выполняя функции защитников. С изменениями правил вратарю необходимо умение точно сыграть в пас с полевым игроком.
Высокая техника игры в воротах, решительные и стремительные выходы из ворот на перехват передач с флангов и из глубины поля, четкое руководство защитными действиями, мгновенная оценка игровой обстановкой, быстрый выбор оптимального решения при защите ворот, активное участие в организации атак - вот основные характерные черты вратаря в современном футболе. [1,41,94, 106, 120]
В футболе, как и в большинстве других видов спорта, приинято считать, что учебно-тренировочный процесс должен быть подчинен специфическим особенностям соревновательной деятельности. [20, 38, 46, 141] Соответственно, чтобы обеспечить качественную подготовку вратарей необходимо располагать
конкретными и объективными данными об особенностях их двигательных и технико-тактических действий в процессе матча. [143]
Результаты исследований показали, что в матчах команд мастеров 50% технико-тактических действий (ТТД) и приемов составляют введение мяча в игру выкатыванием, выбрасыванием или выбиванием; от 17 до 30% - ловля и отбивание катящихся и низко летящих мячей; от 17 до 23% - ловля и отбивание высоко летящих мячей, от 4 до 10% - ловля и отбивание мячей падениями- . бросками, в том числе в ноги сопернику. [124]
Сопоставляя типовые ситуации в игре и тренировке А.И. Шамардин [143] установил, что в условиях тренировки количественные показатели игровых действий в воротах превышают аналогичные показатели, зарегистрированные в ходе соревнований более чем в 6,3 и 9 раз у юных и квалифицированных спортсменов соответственно (табл. 1). По мнению автора, это объясняется особенностями содержания тренировок: в ходе тренировочных занятий, фактически без противодействия обороняющихся, полевые игроки бьют поворотам гораздо чаще, чем в играх. Меньше расхождений в объеме ТТД при игре на выходах: у взрослых - 1,6; у юных - 1,4 раза. Вместе с тем отмечается, что в тренировочном процессе не остается времени для отработки третьей типичной ситуации - введения мяча в игру в целях организации атаки. [141]
Специалисты отмечают [41, 70, 106], что в основном разработана методика тренировки по линии ворот и относительно хорошо решены вопросы действий вратаря против прорвавшегося противника (игра на выходах). Данные наблюдений [124, 144], проведенные за играми чемпионатов России и Европейских кубков позволили отметить следующие недостатки в игре лучших вратарей:
· ловля и отбивание высоких мячей при непрерывном давлении соперника;
· низкая активность при руководстве собственной защитой;
· неправильное или нежелательное для команды начало атаки при выбивании или вбрасывании мяча в поле.
Таблица 1.Средние показатели ТТД вратарей в игре и тренировке (по А.И. Шамардину [143])
| ТТД | Вратари | |||
| квалифицированные | юные | |||
| тренировка | игра | тренировка | игра | |
| В воротах | 298 | 31 | 132 | 20,7 |
| На выходах | 56 | 36 | 34 | 23,2 |
| Организация атак | - | 49 | - | 29,2 |
| Всего | 354 | 116 | 166 | 73,1 |
Вышеизложенное убедительно свидетельствует, что современный футбол, предъявляет высокие требования к технико-тактической подготовленности вратарей, а эффективная реализация последней не возможна без должного уровня физической подготовленности спортсменов. [120, 123] Вратарь должен быть достаточно сильным, ловким, прыгучим, выносливым и обладать отличной реакцией. [41, 42]
В настоящее время средством и методом физической подготовки вратарей посвящены единичные работы, выводы которых, как правило, не подтверждены экспериментально.
Отсутствие планирования, проведение тренировок только в воротах, низкий объем специальных упражнений, однообразие средств и методов подготовки - вот основные недостатки в организации и проведении тренировок, как взрослых, так и юных вратарей. [130]
В учебном пособии для тренеров "Юный футболист" [149] поставлены основные задачи подготовки юных вратарей на этапах многолетней тренировки:
1. на этапе начальной подготовки - укрепление здоровья, привитие устойчивого интереса к футболу, всесторонняя физическая подготовка с преимущественным развитием быстроты, ловкости и координации движений, ознакомление с наиболее важными тактическими действиями вратаря;
2. на этапе специализации - совершенствование всесторонней физической подготовленности с преимущественным развитием скоростно-силовых качеств, общей и специальной выносливости, а также овладение техникой приемов мяча и основных тактических действий;
3. на этапе спортивного совершенствования - продолжение развития физических способностей, отработки техники приемов мяча и основных тактических действий.
Как видно из вышесказанного на всех этапах задачи довольно схожи и не сделаны акценты на ключевые моменты тренировки.
Раскрывая средства подготовки вратарей авторы не дифференцируют их с учетом возрастных особенностей занимающихся.
В монографии "Подготовка молодого футболиста" под общей редакцией Я. Палфаи [117] в разделе "Подготовка вратарей" организация подготовки рассматривается более дифференцированно. В частности предлагаются тесты для отбора вратарей, конкретизируются этапы подготовки, раскрываются общие принципы и задачи основных ее разделов.
При всех положительных моментах данной работы фактически отсутствие программы физической подготовки с указанием объемов, интенсивности и параметров нагрузки.
Весьма отрывочно рассматриваются вопросы организации подготовки вратарей в учебных программах для ДЮСШ и СДЮШОР по футболу. [134, 135, 136]
Раскрывая средства подготовки практически все специалисты отмечают, что вратари должны как можно чаще выполнять различные упражнения с мячом в руках, будь то общеразвивающие или специальные, в общей группе или индивидуально. [70, 106, 124]
Среди средств общей и специальной подготовки вратарей разного возраста и квалификации рекомендуются упражнения, связанные с быстрым реагированием на движущийся объект и меняющуюся обстановку (прием мяча после отскока от пола, земли, батута; перехват мяча руками в упражнениях типа квадрат, выполняемых полевыми игроками; упражнения в приеме и отбивании мяча при отработке действий в воротах и т.д.). Для развития скоростно-силовых способностей рекомендуются различные варианты выпрыгиваний без и с имитацией ловли мяча, напрыгивание на препятствия, бег с высоким подыманием бедра, пробегание отрезков 15, 20 и 30 метров. [117, 126, 141, 149]
Следует сказать, что фактически отсутствуют комплексы силовой . подготовки в системе тренировки вратарей, в то время, как повышение скоростных возможностей малоэффективно без соответствующей подготовки мышечного аппарата. [23, 148]
Уделяя должное внимание физической подготовке вратарей, большинство авторов отмечают ее тесную взаимосвязь с другими видами подготовки и рассматривают ее как необходимую базу для усиленного формирования технико-тактического мастерства вратарей. [2, 40, 149]
В данном аспекте специалисты считают целесообразным использовать в тренировке вратаря упражнения комплексного характера, которые одновременно воздействуют на специально-физическую, техническую подготовку. Тем самым подчеркивается важность, так называемого, "сопряженного метода" [46, 47] в системе подготовки вратарей.
Таким образом можно говорить о первостепенности высокого уровня моторного потенциала для успешного осуществления игровой деятельности вратарей на всех этапах многолетней подготовки. В то же время, несмотря на богатый арсенал предлагаемых упражнений, нет экспериментальных исследований, посвященных рациональной организации процесса физической подготовки вратарей, тренирующихся в ДЮСШ и СДЮШОР. Практически отсутствуют работы в которых рассматривается возрастная динамика развития двигательных качеств вратарей. Такое положение возможно связано с тем, что бытует мнение о совпадении сенситивных периодов в структуре физической подготовки вратарей и полевых игроков. Однако можно предположить, что специфика двигательной деятельности вратарей должна, в определенной степени, определять возрастные особенности проявления их двигательных способностей.
Наконец, практически отсутствуют объективные критерии оценки физической подготовленности вратарей разного возраста, что затрудняет объективность управления как тренировочным процессом, так и эффективностью многолетней системы отбора.
ГЛАВА II . ЦЕЛЬ, ЗАДАЧИ, МЕТОДЫ И ОРГАНИЗАЦИЯ ИССЛЕДОВАНИЯ
2.1 Цель и задачи исследования
Цель исследования - повышение эффективности физической подготовки вратарей учебно-тренировочных групп на соревновательном этапе.
В процессе реализации поставленной цели решались следующие основные задачи:
1. Изучить особенности возрастного развития двигательных способностей футболистов 12-18 лет, включая вратарей.
2. Разработать количественные критерии оценки физической подготовленности вратарей учебно-тренировочных групп детских спортивных школ.
3. Экспериментально обосновать методику программирования физической подготовки вратарей 15-16 лет в соревновательном периоде
Для решения поставленных задач использовались педагогические и психологические методы исследования:
· изучение и анализ научной и научно-методической литературы;
· педагогические наблюдения за тренировочным процессом юных вратарей и хронометраж нагрузок;
· педагогическое тестирование физической подготовленности;
· тестирование психомоторных и координационных способностей;
· регистрация показателей соревновательной деятельности;
· методы математической статистики;
· организация исследования и педагогический эксперимент.
Изучение и анализ научной и научно-методической литературы
Анализ литературы позволил выявить современное состояние проблемы физической подготовки в футболе, включая юношеский футбол.
Библиографический метод применен нами для исследования следующих вопросов:
· анализ закономерностей возрастного развития физических качествподростов и юношей;
· оценка влияния физических упражнений на морфофункциональное
· развитие спортсменов;
· определение оптимальных средств и методов, применяемых в процессе физической подготовки юных футболистов;
· анализ принципов и методов программирования и путей его применения в физической подготовке спортсменов.
Педагогические наблюдения и хронометраж
Педагогические наблюдения проводились с целью изучения содержания учебно-тренировочного процесса и особенности организации подготовки вратарей. В процессе наблюдений систематизировались средства и методы тренировки, регистрировались педагогические параметры выполняемых упражнений.
На основании анализа продолжительности упражнений, количества повторений, интервалов и характера отдыха оценивалась преимущественная направленность нагрузок. [35]
Дополнительно оценивалась частота сердечных сокращений, как физиологический фактор классификации нагрузок по преимущественной направленности. [34]
Педагогическое тестирование физической подготовленности
Для оценки уровня развития двигательных способностей юных футболистов использовался комплекс информативного и надежного тестов, разработанных в лаборатории теории и методики футбола ВНИИФК [129], получивших широкое распространение в теории и практике футбола.
Программа тестирования предусматривала оценку стартовой скорости, дистанционной скорости, скоростно-силовых способностей, специальной (скоростной) выносливости и силовых способностей.
Оценка скоростных качеств осуществлялась по результатам пробегания 50-метровой дистанции с высокого старта с промежуточной регистрацией времени преодоления первого 10-метрового отрезка.
Показатель времени пробегания 10 метров являлся критерием оценки стартовой скорости, а 50 метров - дистанционной.
В качестве аппаратуры использовались фотодатчики ИСВИ, установленные на старте, отрезках 10 и 50 метров, а также миллисекундомер "электроника МК-1".
Скоростная выносливость оценивалась по интегральному результату семикратного пробегания 50-метрового отрезка (челночный бег 7*50). Задача спортсмена от начала до конца выполнять тест на максимальной скорости. В ряде случаев фиксировалось время оббегания стоек, как один из показателей координационных способностей футболистов. [108]
Оценка скоростно-силовых способностей определялась на основании уровня прыгучести (высота выпрыгивания). Спортсмен выполнял вертикальное выпрыгивание с контактной платформы. Время безопорной (фазы полета) регистрировалось миллисекундомером Ф-209 и пересчитывалось в сантиметры. [129]
Силовые способности определялись по данным становой динамометрии.
Тестирование психомоторных и координационных способностей
Наряду с кондиционными способностями, в основном педагогическом эксперименте изучался уровень психомоторного потенциала вратарей 15-16 лет и их координационные способности. Применения данного комплекса тестов проводилось с целью определения влияния разработанной тренировочной программы на психофункциональные показатели игроков.
Используемый комплекс тестов подробно описан и проверен на добротность в работах В.А. Родионова [119] и В.И. Ляха [79, 80], а также нашел применение в работах, выполненных с участием юных спортсменов. [45, 97, 111]
Теппинг-тест: испытуемый выполнял постукивание в 6-квадратную мишень, по 5 сек. работы в каждом квадрате правой, а затем левой рукой. Определяется количество точек в каждом квадрате и суммарный показатель. Тест позволяет оценить частоту движения, т.е. возможности скоростной работы верхних конечностей, а также устойчивость этого качества.
Что касается психологических проявлений свойств высшей нервной деятельности по данному тесту, то их характеризуют следующие показатели: высокий суммарный показатель всех серий - сила нервной системы, невысокая разность показателей первой и второй серии - подвижность нервной системы, низкий показатель разброса в каждой серии - уравновешенность нервной системы;
Тест на точность мышечно-двигательных дифференцировок: в первой (пробной) попытке испытуемый выполняет тест с помощью кистевого динамометра. Фиксируются максимальные показатели мышечных усилий для левой и правой рук.
Затем испытуемый должен воспроизвести усилия, равные 50% от максимального показателя (также отдельно для левой и правой рук). Выполняются три пробные попытки со зрительным контролем и три зачетные без зрительного контроля. Фиксируется средняя величина ошибки воспроизведения 50% максимального усилия без зрительного контроля со знаком "+", если средняя величина превышена и со знаком "-", если средняя величина преуменьшена;
- Тест на быстроту двигательной реакции: на гимнастической палке наносятся риски, хорошо видные испытуемому, через каждые два сантиметра. Эти риски нумеруются, начиная от одного конца палки.
Экспериментатор держит палку двумя пальцами за конец, на котором нанесены максимальные числовые значения. Испытуемый, стоя напротив экспериментатора, держит одну ("сильнейшую") руку наготове, кольцом пальцев охватывая палку около риски с нанесенным рядом с ней числом "О" (но не касаясь палки).
Через полторы-две секунды после предварительной команды "Внимание!" экспериментатор внезапно опускает гимнастическую палку и она . начинает падать вертикально вниз. Испытуемый должен как можно быстрее схватить палку.
Время реакции определяется по числовому значению риски, в районе которой испытуемый зафиксировал гимнастическую палку.
Выполняется 5 попыток и высчитывается среднее время двигательной реакции.
Высокие показатели реакции свидетельствуют о хорошей подвижности нервных процессов, а стабильность показателей - о хорошем балансе нервных процессов;
- Тест на точность реакции на движущийся объект.
Условия и форма проведения этого теста - те же, что и в предыдущем тесте. Отличие заключается в инструкции испытуемому и в его ответных действиях.
Инструкция следующая: "Сейчас ты также будешь ловить падающую гимнастическую палку, но не как можно быстрее, а около риски такой-то" (называется числовое значение риски, которая находится в 8-ми сантиметрах от того конца палки, за который ее держит экспериментатор). Таким образом, испытуемый должен действовать с некоторой задержкой, стараясь зафиксировать падающую палку в заданный момент времени.
Регистрируется ошибка реакции по тем эмпирическим значениям, которые оказались в реальной пробе по отношению к заданному эталону. Определяется средняя величина ошибки реакции на движущийся объект сознаком "+", если средняя величина превышает эталон и со знаком "-" -преобладает процесс возбуждения.
Тестирование координационных способностей проводилось по следующей схеме.
Тесть № 1. Испытуемый выполняет пробный прыжок в длину с места в стандартных условиях (с установкой на максимальную длину прыжка).
Затем выполняется прыжок в длину с места из исходного положения стоя спиной к направлению прыжка.
Фиксируется разность между результатом прыжка в стандартных и усложненных условиях.
Тест № 2. Прыжки через скакалку с двойным прокрутом. Учитывается количество правильно выполненных прыжков из общего количества тридцать прыжков (двойной прокрут скакалки чередуется с одинарным прокрутом).
Тест № 3. Строится квадрат 4x5, т.е. длина каждой стороны квадрата - 4 метров. На каждом углу квадрата устанавливается набивной мяч.
По сигналу испытуемый стартует от левой ближней стороны квадрата и бежит лицом вперед к левой дальней стороне квадрата. Коснувшись набивного мяча правой рукой, он бежит приставными шагами правым боком к правой дальней стороне квадрата. Опять коснувшись набивного мяча, но уже левой рукой, он бежит спиной вперед к правой ближней стороне квадрата. Наконец, коснувшись набивного мяча левой рукой, он бежит приставными шагами левым боком к левой ближней стороне квадрата, где и финиширует (финиш обозначается касанием набивного мяча правой рукой.
Фиксируется время выполнения теста. Из двух попыток берется результат лучшей попытки.
Такой набор методик позволяет, с одной стороны, более расширено рассмотреть процесс формирования двигательных способностей юных вратарей, как в отношении общих закономерностей развития, так и в отношении анализа индивидуальных различий. [111] С другой стороны, не вызывает сомнений тот факт, если биологические механизмы развития двигательных способностей являются низшим звеном в иерархии развития системы, то психофизиологические - более высшим звеном, но тесно связанным с этим низшим. Причем последние во многом определяют класс вратаря высокой квалификации. [40]
Регистрация показателей соревновательной деятельности
В процессе игр вратарей 15-16 лет на первенство г. Москвы регистрировались технико-тактические показатели соревновательной деятельности.
Оценивалось количество и качество выполнения основных технических приемов в следующих ситуациях игры вратарей:
· игра в воротах (ловля мяча, отбивание мяча, перевод мяча на угловой);
· игра на выходах (ловля мяча, отбивание мяча, перевод на угловой);
· организация атак: ударом от ворот ногой, ударом с рук, вбрасывание мяча.
По отношению точно выполненных действий к их суммарному количеству определялась надежность ТТД. [141]
Методы математической статистики
Обработка цифрового материала осуществлялась при помощи традиционных методов математической статистики, принятых и получивших широкое распространение в исследованиях по спортивной педагогике. [10] Вычислялись: средняя арифметическая, стандартное отклонение, ошибка средней, достоверность различий по t-критерию Стьюдента.
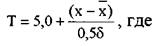
Величина прироста показателей тестирования рассчитывалась по формуле С. Броди (цит по Р.И. Куликову, 1973).
Р = {(х2 – х 1)/(х1 – х2)} х 100%,
где
Р - прирост;
числа 100 и 0,5 - константные величины;
x1 и х2 - исходный и конечный результаты контрольного упражнения.
2.2 Организация исследования и педагогический эксперимент
Исследование проводилось в течение трех лет с 1999-2003 г.г. на базе детской спортивной школы "Красный Октябрь" г. Москвы и "Торпедо" г. Люберцы.
В исследованиях приняли участие 373 футболиста в возрасте от 12 лет до игроков команд мастеров, включая 65 вратарей.
На первом этапе работы изучалась и анализировалась научно-методическая и специальная литература по проблеме исследования. Всего были проанализированы 156 литературных источников, включая 6 на иностранных языках.
На основе анализа был определен набор показателей, характеризующих физическую подготовленность футболистов. Проводились наблюдения за соревновательной деятельностью вратарей разного возраста.
На втором этапе был проведен констатирующий педагогический эксперимент, цель которого заключалась в тестировании уровня развития двигательных способностей полевых игроков и вратарей на разных этапах годичного цикла. Одновременно осуществлялось наблюдение за тренировочным процессом и соревновательной деятельностью вратарей 15-16 лет (учебно-тренировочные группы 6-го года обучения), поскольку данный возраст был выбран в качестве экспериментального. Наблюдения и тестирования физической подготовленности осуществлялись по окончанию подготовительного и в течение шести месяцев соревновательного периодов. Выбор соревновательного периода в качестве экспериментального обусловлен тремя причинами. Первая связана с тем, что проблемы построения и организации подготовки футболистов разного возраста в подготовительном периоде изучены достаточно подробно.
Во-вторых, мы исходили из принципа, что в юношеском футболе соревнования не являются самоцелью подготовки, а участие в соревнованиях является эффективным тренировочным средством.
В-третьих, в результате предварительного эксперимента было установлено, что сложившаяся на практике методика подготовки вратарей 15-16 лет в соревновательном периоде не обеспечивает роста их двигательных способностей, что само по себе лимитирует рост спортивного мастерства игроков.
С учетом результатов констатирующего эксперимента был разработан алгоритм программирования физической подготовленности вратарей 15-16 лет, реализация которого осуществлялась в ходе основного педагогического эксперимента (апрель-сентябрь 2003 г.).
Как и в процессе констатирующего этапа исследования до начала и по окончанию эксперимента оценивались уровень и структура физической подготовленности вратарей. При этом в системе планирования тренировочных нагрузок учитывались индивидуальные особенности интегрального уровня физической подготовленности и отдельных двигательных способностей. Дополнительно комплекс тестов был расширен за счет методик оценки психофизиологических качеств и координационных способностей вратарей.
Под наблюдением в ходе эксперимента находились 9 вратарей 15-16 лет, имеющих стаж занятий футболом 5-8 лет, а вратарский стаж не менее 4 лет. Средний рост и вес игроков составлял в начале исследования 170±7 см и 58±7 кг и конце 173±7 см и 62±6 кг соответственно.
ГЛАВА III . ФИЗИЧЕСКАЯ ПОДГОТОВЛЕННОСТЬ ФУТБОЛИСТОВ РАЗНОГО ВОЗРАСТА
Динамика развития спортивно-значимых качеств у юных футболистов имеет гетерохронный характер, обуславливаемый прежде всего общебиологическими закономерностями возрастного развития. Вместе с тем, занятия футболом оказывают специфическое воздействие на развитие двигательных способностей в зависимости от возраста. [144, 150] В этой связи логично предположить, что уровень и возрастная динамика физической подготовленности вратарей может отличаться от показателей полевых игроков, поскольку специфика двигательных действий последних существенно отличается от первых.
С учетом вышеизложенного основная задача данного раздела работы сводилась к изучению возрастной динамики двигательных способностей футболистов и вратарей, в частности.
3.1 Возрастная динамика двигательных способностей футболистов
В таблице 2 представлены показатели физической подготовленности футболистов с 12 лет до возраста команд мастеров, который колеблется в пределах 19-30 лет.
Если рассматривать полученные показатели в целом, то можно констатировать, что в процессе возрастного развития результаты тестирования постоянно повышаются, достигая максимальных значений к 18 годам. Исключение составляют показатели становой динамометрии, которые имеют тенденцию роста и после 18 лет. Абсолютные показатели тестов не позволяют оценить темпы прироста изучаемых двигательных качеств, что обусловливает необходимость оценки относительных показателей изменения результатов тестирования (табл. 3).
Таблица 2 Показатели физической подготовленности футболистов разного возраста ( х ± 6)
| Возраст, лет | Кол-во испытуемых, п | Двигательные способности (тесты) | ||||
| Стартовая скорость бег 10 м, с | Дистанц. скорость бег 50 м, с | Ск.-сил. качества высота прыжка, см | Скорости, выносл. челноч. бег 7x50 м, с |
Сила становая динамометрия, кГ | ||
| 12 | 40 | 2.07±0.06 | 8.0U0.26 | 33±3 | 79.7±2.4 | 41.3±4.1 |
| 13 | 38 | 2.05±0.09 | 7.90±0.19 | 34±3 | 77.2±2.1 | 50.3±3.9 |
| 14 | 42 | 1.94±0.32 | 7.2U0.31 | 42±5 | 69.5±2.0 | 61.1±3.6 |
| 15 | 36 | 1.89±0.05 | 7.05±0.28 | 43±3 | 67.9±2.1 | 88.4±6.7 |
| 16 | 42 | 1.85±0.05 | 6.74±0.17 | 44±3 | 67.4±2.1 | 95.U5.2 |
| 17 | 30 | 1.83±0.05 | 6.65±0.69 | 46±3 | 64.3±3.1 | 110.3±8.4 |
| 18 | 26 | 1.78±0.06 | 6.54±0.18 | 48±4 | 62.0±1.2 | 115.4±9.3 |
| мастера старше 18 лет | 20 | 1.76±0.08 | 6.34±0.23 | 47±5 | 63.4±2.1 | 132.1±9.2 |
Таблица 3 Прирост показателей физической подготовленности футболистов 12-18 лет (%)
| Возрастной период,лет | Двигательные способности | |||||||||
| стартовая скорость | Дистанцион. скорость | Скор-сил. качества | Скорости, выносливость | Сила | ||||||
| Р | % | Р | % | Р | % | Р | % | Р | % | |
| от 12 до 13 | <0.01 | 0.97 | <0.01 | 1.4 | >0.05 | 2.9 | <0.01 | 3.2 | <0.01 | 19.6 |
| от 13 до 14 | <0.01 | 5.5 | <0.01 | 9.1 | <0.01 | 21 | <0.01 | 10.5 | <0.01 | 19.3 |
| от 14 до 15 | <0.01 | 2.6 | <0.01 | 2.2 | >0.05 | 2.4 | <0.01 | 2.4 | <0.01 | 18.2 |
| от 15 до 16 | <0.01 | 2.1 | <0.01 | 4.5 | >0.05 | 2.3 | >0.05 | 3.4 | <0.01 | 3.6 |
| от 16 до 17 | <0.01 | 1.1 | <0.05 | 1.3 | <0.05 | 4.4 | <0.05 | 4.8 | <0.01 | 14.7 |
| от Идо 18 | <0.01 | 2.7 | <0.05 | 1.6 | <0.05 | 4.2 | <0.05 | 3.4 | <0.01 | 4.5 |
| от 18 и старше | <0.01 | 1.1 | <0.01 | 3.1 | >0.05 | -2.1 | >0.05 | -2.1 | <0.01 | 13.8 |
В нашем случае за исходный результат принимается показатель предыдущего возраста, а за конечный - последующего.
Анализ данных таблицы 3 позволяет заключить, что наиболее высокие темпы прироста двигательных способностей футболистов отличаются в возрастном период от 13 до 14 лет (рис. 3, 4). При этом стартовая скорость равномерно повышается от 14 до 16 лет, затем темпы ее прироста снижаются к 17 годам и несколько возрастают к 17-18 годам. Дистанционная скорость наибольшими темпами увеличивается в период от 13 до 14 лет и от 15 до 16 лет.
Для скоростно-силовых качеств характерны очень высокие темпы прироста от 13 до 14 лет и менее выраженные от 16 до 18 лет. Скоростная выносливость, которая во многом связана как с эффективностью анаэробного механизма энергообеспечения, там и мощностью аэробного обмена [129] также, как и другие способности наиболее интенсивно увеличиваются от 13 до 14 лет, а так же в возрасте от 16 до 17 лет.

Рис. 3 Динамика прироста (%) показателей стартовой (сплошная линия) и дистанционной (пунктирная линия) скорости у футболистов 12-18 лет
Если рассмотреть показатели тестирования двигательных способностей футболистов разного возраста в процентах от уровня их развития у игроков 18 лет, принятых за 100 % (рис. 5), то можно констатировать следующие закономерности:
наиболее консервативным показателем, который уже в 12 лет составляет
85,7% от показателей 18-летних является стартовая скорость, которая к 15 годам достигает 94,1% от взятого максимума;
наименее консервативным качеством является прыгучесть, которая в 12 лет составляет 68% результата 18-летних, а в 16 лет этот показатель составляет 92%;
промежуточное положение занимают дистанционная скорость и скоростная выносливость. В 12 лет они составляют 81,5 и 77,6% от максимума, а в 17 лет - 98 и 96% соответственно.

Рис. 4. Динамика прироста показателей скоростно-силовых качеств (сплошная линия) и силы (пунктирная линия) футболистов 12-18 лет
Наибольшая динамика роста от 12 до 17 лет характерна для показателя становой динамометрии, которая характеризует силу мышц разгибателей. Так в 12 лет уровень силы составляет лишь 37% от 100% 18 летних игроков. В 13, 14, 15, 16, 17 лет эти показатели составляют 44, 53, 76, 83 и 96% от уровня характерного для футболистов 18 лет.
Полученные данные позволяют заключить, что наиболее трудно поддается тренировке стартовая скорость, а самые большие резервы совершенствования физических кондиций игроков кроются в воспитании и развитии скоростно-силовых качеств и силы.

Рис. 5. Показатели двигательных способностей футболистов разного возраста в % от данных по 18-летних спортсменов (100%)
В процессе обзора литературы говорилось, что доказано положение влияния специфики двигательной деятельности, характерной для различных видов спорта, на уровень и особенности проявлений двигательных способностей. С учетом темы исследования была сформулирована задача: сопоставить возрастную динамику двигательных способностей юных вратарей с идентичными показателями полевых игроков. Постановка такой задачи диктовалась значительными отличиями тренировочной и соревновательной деятельности футбольных вратарей от двигательной деятельности полевых игроков.
3.2 Возрастная динамика двигательных способностей футбольных вратарей
Специфика двигательной деятельности вратарей связана, прежде всего, с необходимостью проявлять силу в минимальное время на протяжении игрового времени матча. Естественно, что скоростно-силовые способности являются ведущими в структуре их физической подготовленности, о чем свидетельствуют данные многих исследований. [9, 38, 42, 106, 117, 124, 141]
Для оценки физической подготовленности вратарей были проведены тестирования с участием спортсменов от 12 лет и заканчивая игроками команд мастеров (табл. 4).
Таблица 4 Показатели физической подготовленности вратарей разного возраста (х ± 5)
| Возраст, лет | Кол-во испытуемых, п | Двигательные способности (тесты) | ||||
| Стартовая скорость бег 10 м, с | Дистанц. скорость бег 50 м, с |
Ск.-сил. качества прыжок вверх, см | Скорости, выносл. челноч. бег 7x50 м, с |
Сила становая динамометрия, кГ | ||
| 12 | 8 | 2.12±0.05 | 8.19±0.14 | 35.5±1.9 | 81.2±2.1 | 45.4±3.6 |
| 13 | 8 | 2.10±0.06 | 7.97±0.39 | 35.5±2.3 | 77.2±5.2 | 50.5±3.8 |
| 14 | 8 | 2.03±0.07 | 7.55±0.46 | 41.3±3.5 | 73.7±4.0 | 66.6±3.6 |
| 15 | 9 | 1.88±0.05 | 6.85±0.12 | 46.2±4.1 | 69.3±1.7 | 94.0±6.7 |
| 16 | 10 | 1.90±0.09 | 6.94±0.24 | 47.9±3.8 | 67.9±2.4 | 108.0±5.0 |
| 17 | 10 | 1.80±0.02 | 6.65±0.10 | 50.8±3.8 | 65.3±3.0 | 118.0±8.0 |
| 18 | 12 | 1.80±0..06 | 6.67±0.13 | 53.0±4.7 | 64.9±2.8 | 129.3±6.7 |
| мастера старше 18 лет | 15 | 1.81±0.06 | 6.66±0.17 | 55.3±3.5 | - | 146.5±8.8 |
Рассматривая показатели физической подготовленности вратарей можно сказать, что до 15 лет они практически по всем качествам, за исключением силы, уступают полевым игрокам (см. табл. 2). В возрасте 15 лет вратари по показателям прыгучести опережают полевых игроков (р<0.05). В дальнейшем вратари превосходят своих коллег лишь по высоте выпрыгивания и не имеют достоверных отличий в стартовой скорости.
Уже эти предварительные данные позволяют говорить о первостепенности высокого уровня скоростно-силового потенциала для игровой деятельности вратарей.
Теперь рассмотрим приросты показателей проявления двигательных способностей вратарей в возрастном аспекте по аналогии с данными полевых игроков (табл. 5, рис. 6, 7).
Таблица 5 Прирост показателей физической подготовленности вратарей 12-18 лет (%)
| Возрастной период,лет | Двигательные способности | |||||||||
| стартовая скорость | Дистанцион. скорость | Скор-сил. качества | Скорости, выносливость | Сила | ||||||
| Р | % | Р | % | Р | % | Р | % | Р | % | |
| от 12 до 13 | >0.05 | 0,9 | >0.05 | 2,7 | - | 0 | >0.05 | 6,2 | <0.05 | 10,6 |
| от 13 до 14 | <0.01 | 3,4 | <0.05 | 5,4 | <0.01 | 15,1 | >0.05 | 4,7 | <0.01 | 27,5 |
| от 14 до 15 | >0.05 | 7,7 | <0.01 | 9,7 | <0.01 | 11,2 | <0.05 | 5,6 | <0.01 | 34,3 |
| от 15 до 16 | >0.05 | -0,8 | >0.05 | -3,2 | >0.01 | 1,9 | >0.05 | 2,0 | <0.01 | 12,4 |
| от 16 до 17 | <0.01 | 1,5 | <0.05 | 4,3 | <0.05 | 5,9 | <0.05 | 3,9 | <0.05 | 8,8 |
| от 17 до 18 | - | 0 | >0.05 | -0,3 | <0.05 | 5,2 | - | 0 | <0.05 | 8,1 |
| от 18 и старше | - | -1Д | >0.05 | 0 | >0.05 | 1,9 | - | 0 | <0.01 | 12,3 |
Рассматривая данные, приведенные в табл. 5 и на рис. 6, 7 можно сделать ряд заключений. Прежде всего обращает на себя внимание тот факт, что наибольший прирост физических кондиций вратарей приходится на возрастной период 14-15 лет, то есть на год позже, чем у полевых игроков. По-видимому это связано с особенностями двигательной активности данного амплуа в футболе, где объем двигательной активности существенно ниже по сравнению с полевыми игроками. Здесь же можно дать субъективное объяснение данному факту. Зачастую, тренеры на начальных этапах подготовки ставят в ворота спортсменов, уступающих своим сверстникам по двигательным кондициям, но превосходящих их по весо-ростовым и силовым показателям.
Если сравнить данные становой динамометрии полевых игроков и вратарей, то последние превосходят своих сверстников по уровню проявления силы на всех этапах многолетней подготовки. Наибольший прирост силовых возможностей (27,5%) отмечен у вратарей в возрасте 14-15 лет, в то время как у полевых игроков это период 13-14 лет.
Весьма интересен факт, что резкое снижение прироста уровня двигательных способностей у вратарей приходится на период окончания . полового созревания (15-16 лет). Отмечается даже отрицательная динамика стартовой и дистанционной скорости и низкие приросты скоростной выносливости и прыгучести. Известно [8, 17, 31, 44], что периоды интенсивного морфофункционального развития организма сопровождаются последующим замедлением прогресса работоспособности. Кстати, та же тенденция, но менее выраженная, характерна для полевых игроков.
Установленная закономерность во многом послужила основанием выбора возрастного периода 15-16 лет в качестве субъекта педагогического эксперимента, поскольку очевидно, что прогресс в развитии двигательных способностей спортсменов связан не столько с возрастными закономерностями двигательных способностей сколько с рациональной организацией тренировочных нагрузок и адекватностью средств и методов тренировки функциональным возможностям растущего организма.
В предыдущем разделе работы рассматривался процент реализации отдельных двигательных способностей игроков 12-17 лет от уровня их проявления у 18 летних футболистов.
Такой же анализ был проведен для вратарей (рис. 8).
В целом здесь отмечаются те же закономерности, которые характерны для физических качеств полевых игроков разного возраста (раздел 3.1). Однако, если к 17 годам процент реализации двигательных способностей футболистов, играющих в поле достиг 95-98% от уровня 18-летних игроков, то у вратарей этот показатель практически составил 100%. В группе 15-16 летних юношей вратарей процент реализации основных двигательных способностей был от
87% - скоростно-силовые качества до 90-97% - скорость и скоростная выносливость.

Рис. 6. Динамика прироста стартовой (сплошная линия) и дистанционной (пунктирная линия) скорости вратарей 12-18 лет

Рис. 7. Динамика прироста скоростно-силовых качеств (сплошная линия) и силы (пунктирная линия) вратарей 12-18 лет
Представляет интерес каковы резервы развития двигательных способностей 15-16 летних вратарей по отношению к показателям взрослых ведущих вратарей команд мастеров. Последние можно рассматривать в качестве модельных характеристики физической подготовленности игроков данного амплуа (табл. 6).
Практически по всем показателям скорости и силы юноши отстают от мастеров, но степень этого отставания различна (рис. 9).
Наибольшие резервы имеются для развития скоростно-силовых качеств и силы, которые составляют 85,2 и 68 % от модельного уровня.
По скоростным возможностям вратари достигают модельного уровня (мастера) на 95-96%. Здесь можно сказать, что дистанционные методы тренировки, направлены на развитие скорости вратарей в командах мастеров
занимают незначительный объем, в то время, как в подготовке резервов их величина достаточно высока. [121, 141]
Таблица 6 Сравнительные характеристики показателей физической подготовленности вратарей 15-16 лет и игроков команд мастеров
| Тесты | Рациональное качество | Вратари | Р | |
| команды мастеров | юноши 15-16 лет | |||
| Бег 10 м, с | стартовая скорость | 1.81±0.05 | 1.89±0.07 | <0.01 |
| Бег 50 м, с | дистанционная скорость | 6.66±0.17 | 6.89±0.18 | <0.01 |
| Вертикальное выпрыгивание, см | скоростно-силовые качества | 55.3±3.5 | 47.1±4.0 | <0.01 |
| Становая динамометрия | сила | 146.5±8.8 | 101±6.2 | <0.01 |
Подводя итоги данному разделу исследования еще раз отметим, что возраст 15-16 лет наиболее консервативный в возрастном развитии двигательных способностей, что послужило основанием для выбора этого периода онтогенеза в качестве экспериментального при разработке программированной физической подготовки.
Не вызывает сомнений тот факт, что динамика развития двигательных способностей футболистов разного возраста связана, с одной стороны, синтенсивностью морфофункциональных перестроек организма, с другой - с величиной, интенсивностью и организацией тренировочных воздействий.

Рис. 9. Показатели двигательных способностей вратарей 15-16 лет в % от данных мастеров
Важно отметить, что футболисты всех возрастных групп обследовались в середине подготовительного периода, в течение одной недели, что исключает влияние длительности процесса подготовки на зарегистрированные показатели.
Одной из задач предварительного эксперимента было проследить изменения уровня развития двигательных качеств вратарей разного возраста под влиянием нагрузки соревновательного периода, регламентируемых учебными программами для ДЮСШ и СДЮШОР. [134, 135]
3.3 Показатели физической подготовленности и организация нагрузок в соревновательном периоде подготовки вратарей 12-16 лет
Годичный цикл подготовки футбольных резервов состоит из подготовительного (январь-середина апреля), соревновательного (середина апреля - середина ноября) и переходного (середина ноября - декабрь) периодов.
С учетом тематики работы нами рассматривались показатели физической подготовленности вратарей за период, совпадающий с окончанием предсоревновательного этапа (апрель) и через пять месяцев соревновательного периода (конец сентября). Обследования проводились на фоне полного восстановления от предшествующих нагрузок. В целом продолжительность этапа составила шесть месяцев.
Обращает на себя внимание (табл. 7) достаточно большое количество недостоверных изменений изучаемых показателей, что может косвенно свидетельствовать о недостаточной эффективности организации нагрузок, направленных на развитие двигательных способностей. Не обнаружено изменений дистанционной скорости во всех изучаемых возрастных группах спортсменов, что вполне логично, поскольку работа, направленная на воспитание данного качества в системе подготовки вратарей ограничивается нагрузками, используемыми только в разминке. Достоверный прирост в возрастном диапазоне 13-16 лет наблюдается по показателям скоростной выносливости. Известно [36, 67, 96, 147], что в период полового созревания наблюдается достаточно интенсивный естественный прирост выносливости, что по-видимому характерно и для контингента вратарей, находящихся под нашем контролем.
Таблица 7 Изменения двигательных способностей вратарей 12-16 лет на этапах подготовки: П - подготовительный период; С - соревновательный период (х±5)
| Двигательные способности | Этапы | Возраст, лет | |||
| 12-13 п-10 | 13-14 п-10 | 14-15 п-12 | 15-16 п-18 | ||
| Стартовая скорость | П С Р% прироста | 2.15±0.07 2.08±0.05 <0.05 3.3 | 2.13±0.08 2.06±0.05 <0.05 3.3 | 2.11±0.08 1.99±0.07 <0.05 5.9 | 1.90±0.07 1.88±0.06 >0.05 1.1 |
| Дистанционная скорость | П С Р% прироста | 8.20±0.26 8.33±0.19 >0.05 -1.6 | 8.19±0.31 7.92±0.28 >0.05 3.3 | 7.84±0.30 7.73±0.17 >0.05 1.4 | 6.99±0.25 6.83±0.18 >0.05 1.1 |
| Скоростная выносливость | П С Р% прироста | 83.2±2.4 81.5±2.1 >0.05 +2.1 |
81.9±2.0 73.4±2.1 <0.01 10.9 | 75.8±1.9 72.1±2.1 <0.01 5.0 | 70.7±1.9 67.9±1.8 <0.05 4.0 |
| Координация | П С Р% прироста | 9.56±0.30 9.66±0.35 >0.01 -1.0 | 10.82±0.45 9.98±0.38 <0.05 3.9 | 10.7U0.47 9.99±0.56 <0.05 3.5 | 10.10±0.31 9.80±0.42 <0.05 3.0 |
| Скоростно-силовые качества | П С Р% прироста | 35±2 37±2 >0.05 5.5 | 33±4 35±3 >0.05 5.8 | 38±3 41±4 <0.05 7.5 | 44±4 45±5 >0.05 2.2 |
| Сила | П СР% прироста | 45.4±3.7 47.2±3.6 >0.05 3.9 | 57.3±3.8. 59.1±4.2 >0.05 3.1 | 78.0±5.1 85.0±5.0 <0.05 8.5 | 101.0±6 104.0±7.2 >0.05 2.8 |
Весьма примечателен факт отсутствия изменений в показателях становой динамометрии. Это положение объясняется минимальными объемами силовых упражнений, выполняемыми вратарями в соревновательных микроциклах.
Если рассмотреть процентные величины прироста показателей тестирования (рис. 10), то наиболее выраженные изменения характерны для возрастного диапазона 13-15 лет, а наименее выраженные для 12-13 и 15-16 летних вратарей.

Рис. 10. Прирост показателей физической подготовленности футбольных вратарей учебно-тренировочных групп 3-6 годов обучения
Уже отмечалось, что возраст 15-16 лет наиболее консервативен по отношению к росту двигательных способностей вратарей в системе многолетней подготовки. По-видимому одним из факторов сложившегося положения является методика тренировки игроков. Анализ распределения различных видов подготовки в соревновательном периоде вратарей 12-16 лет (табл. 8) свидетельствует о низком объеме и отсутствии вариативности средств и методов общефизической подготовки игроков на соревновательном этапе.
В частности объем средств ОФП вратарей 15-16 лет составил лишь 4,6-4,7% от всех используемых средств, в то время как работа, направленная на совершенствование технико-технического мастерства занимала 61-65,8% всех нагрузок.
Отмечена тенденция постоянного снижения времени, отводимого на воспитание двигательных способностей средствами ОФП в возрастном периоде от 12 до 16 лет и несущественного роста объема средств СФП (рис. 11).
Таблица 8 Процентное распределение видов подготовки в соревновательном периоде футболистов 12-16 лет
| Виды подготовки | Возраст, лет | х % | ±6 | ±т | KB, % |
| Общая физическая подготовка (ОФГ) | 12-13 | 9,5 | 1,6 | 0,7 | 16,8 |
| 13-14 | 9,4 | 1,3 | 0,6 | 13,8 | |
| 14-15 | 8,3 | 0,1 | 0,04 | 1,2 | |
| 15-16 | 6,3 | 1,2 | 0,5 | 19,0 | |
| Специальная физическая подготовка (СФП) | 12-13 | 8,8 | 1,2 | 0,5 | 13,6 |
| 13-14 | 9,3 | 1,2 | 0,5 | 12,9 | |
| 14-15 | 9,2 | 2,1 | 0,9 | 22,8 | |
| 15-16 | 11,8 | 1,1 | 0,5 | 9,3 | |
| Техническая подготовка (ТП) | 12-13 | 45,0 | 0,8 | 0,3 | 1,8 |
| 13-14 | 38,8 | 2,1 | 0,9 | 5,4 | |
| 14-15 | 35,6 | 1,5 | 0,6 | 4,2 | |
| 15-16 | 29,3 | 4,1 | 1,7 | 13,8 | |
| Тактическая подготовка | 12-13 | 20,4 | 0,3 | 0,1 | 1,5 |
| 13-14 | 26,4 | 1,0 | 0,4 | 3,8 | |
| 14-15 | 30,5 | 1,6 | 0,7 | 5,2 | |
| 15-16 | 33,9 | 0,8 | 0,5 | 2,3 | |
| Учебно-тренировочные игры | 12-13 | 8,2 | 0,1 | 0,05 | 1,2 |
| 13-14 | 8,2 | 1,2 | 0,5 | 14,6 | |
| 14-15 | 8,3 | 0,08 | 0,03 | 0,9 | |
| 15-16 | 8,9 | ОД | 0,5 | 12,3 | |
| Контрольные соревновательные игры | 12-13 | 8,1 | 0,1 | 0,05 | 1,2 |
| 13-14 | 7,6 | 1Д | 0,5 | 14,4 | |
| 14-15 | 8,3 | 0,08 | 0,03 | 0,9 | |
| 15-16 | 9,4 | 1,1 | 0,5 | П,7 |
Если рассмотреть процентный вклад соревновательных, контрольных и тренировочных игр в структуру средств подготовки спортсменов, то он на протяжении соревновательного периода во всех группах колеблется в пределах 15-18% и достаточно равномерно распределялся по микроциклам соревновательного периода.
Таким образом можно заключить, что специализированные нагрузки составляют 83-87% всех нагрузок соревновательного периода подготовки вратарей разного возраста. При этом наблюдается относительно равномерное распределение разнонаправленной работы в рамках микроциклов соревновательного периода. Если рассмотреть средний процентный вклад работы скоростно-силовой направленности в межигровых циклах, то он составляет не более 10-11% от всей работы (табл. 8). Согласно современным представлениям работа скоростно-силовой направленности должна занимать 30-35% общего объема нагрузок в системе подготовки футбольных резервов. [7, 9, 67, 125, 148] Поскольку доказанность ведущей роли скоростно-силового компонента в структуре физической подготовленности вратарей не вызывает сомнения, можно говорить о недостаточном внимании уделяемом развитию силы и скорости юных вратарей учебно-тренировочных групп, что выражается в незначительном приросте физических качеств на соревновательном этапе.

тОФГ\
ПСФП
Ш техническая подготовка
Штактическая подготовка
Ш игровая и соревновательная подготовка
Рис. 11. Распределение нагрузок по видам подготовки в соревновательном периоде вратарей учебно-тренировочных групп
Таблица 9 Распределение нагрузок различной направленности (%) в межигровых циклах соревновательного периода у вратарей 15-16 лет
| Направленность нагрузки | % |
| Сопряженное развитие технического мастерства и двигательных способностей | 57 |
| Скоростная и скоростно-силовая подготовка | 10 |
| Соревновательные игры | 15 |
| Специальная выносливость + техника | 15 |
| Сила | 3 |
3.4 Методика оценки физической подготовленности вратарей 12-16 лет
Современные методы диагностики, как правило, основываются на большом количестве показателей, численные выражения которых выражаются в различных единицах измерения (скорость, время, метры и т.д.) и поэтому не сопоставимы друг с другом. При этом невозможно объективно оценить интегральный уровень подготовленности и трудно оценить насколько тот или иной показатель теста удовлетворителен по отношению данных конкретного контингента, участвующего в обследовании.
Для практики управления тренировочным процессом важное значение имеет разработка шкал количественной оценки результатов тестирования. [14, 39, 105]
В теории и методике подготовки футболистов широкое распространение получили 10-бальные пропорциональные шкалы [18, 108, 129, 140], где результаты тестов переводятся в очки по следующей формуле:
![]()
Т - оценка результатов в баллах;
х - результат спортсмена;
х - средний результат теста, соответствующий 5 баллам;
5 - стандартное отклонение.
Разработанные шкалы применялись в системе контроля подготовленности полевых игроков разного возраста и квалификации и не учитывали особенности физической подготовленности вратарей, которая, как показано выше, имеет свои особенности, как по уровню проявления двигательных способностей, так и по возрастным закономерностям их становления и развития.
Первым необходимым шагом при разработке оценочных шкал явилось определение усредненных показателей физической подготовленности, полученных на этапах годичного цикла, которые рассматривались в качестве нормативов (табл. 10).
Таблица 10 Нормативные показатели физической подготовленности футбольных вратарей 12-16 лет
| Двигательные способности | Тесты | Возрастные нормы (5 баллов) х±5 | |||
| 12-13 | 13-14 | 14-15 | 15-16 | ||
| Стартовая скорость | Бег Юме высокого старта, с | 2.11±0.06 | 2.06±0.06 | 1.96±0.06 | 1.89±0.07 |
| Дистанционная скорость | Бег 50 м с высокого старта, с | 8.08±0.27 | 7.76±0.32 | 7.20±0.29 | 6.89±0.20 |
| Скоростная выносливость | Челночный бег 7x50 м,с | 79.6±3.6 | 75.4±4.6 | 71.5±2.9 | 68.6±2.1 |
| Скоростно-силовые качества (прыгучесть) | Вертикальное выпрыгивание, см | 36±2.0 | 39±3 | 44±4 | 47±4 |
| Сила | Становая динамометрия, нГ | 83±4 | 98±5 | 107±4 | 113±5 |
В таблицах 11, 12 представлены шкалы перевода показателей тестов в баллы, а в таблице 13 рассматривается градация уровня подготовленности футболистов с учетом суммарной оценки и количества тестов. Сумма баллов рассматривалась в качестве интегрального критерия физической подготовленности футболиста.
Согласно ранее опубликованным работам [129, 148] двигательное качество, оцениваемое в 7 баллов - выше рассматривается, как ведущее (сильное) звено физической подготовленности футболистов, а оценка в 4 балла и ниже говорит о наличии слабого (лимитирующего) звена физической подготовленности игрока.
Разработанные количественные оценки двигательной подготовленности нашли применение в системе управления физической подготовкой вратарей на экспериментальном этапе подготовки.
ГЛАВА IV . ЭКСПЕРИМЕНТАЛЬНОЕ ОБОСНОВАНИЕ ПРОГРАММИРОВАННОЙ ФИЗИЧЕСКОЙ ПОДГОТОВКИ ВРАТАРЕЙ 15-16 ЛЕТ НА СОРЕВНОВАТЕЛЬНОМ ЭТАПЕ
В научных исследованиях в области теории и методики спортивной тренировки неоднократно подчеркивалось, что механизм коммулятивного тренировочного эффекта, под которым понимается явление обобщения организмом функциональных реакций, отставленных воздействий комплекса средств с различной преимущественной направленностью, остаются малоизученными. [26, 33, 115] Отсюда разработка принципов рационального построения нагрузки, исходя из такого регулирования ее тренировочного эффекта, которое ориентировано на достижение запланированной цели подготовки, выходит на уровень важнейших задач программирования и с организации тренировочного процесса, как в спорте высших достижений, так и в системе подготовки резервов. [49, 84, 105]
С позиций методологических подходов, программирование тренировки предусматривает оценку исходного состояния, объективный прогноз пределов целевого изменения этого состояния, а также оценку развития переходного процесса системы. [25, 83]
4.1 Теоретико-методические основы экспериментальной программы физической подготовки
В предыдущей главе работы было показано, что существующая система подготовки вратарей 15-16 лет в соревновательном периоде не обеспечивает повышения уровня наиболее значительных для данного амплуа двигательных качеств, таких как стартовая скорость, взрывная сила и сила. При этом обнаружен рост скоростной выносливости, что по-видимому, связано не столько со спецификой тренировочных воздействий, сколько с возрастными особенностями становления функциональных систем организма к окончанию пубертатного периода. [8, 31, 32]
Согласно сложившемуся мнению, основной рост психофизического потенциала организма футболистов должен обеспечиваться на подготовительном этапе. [18, 42, 55, 146] В соревновательном периоде главная задача сохранить накопленный функциональный потенциал. [56]
В системе подготовки спортивного резерва задача совершенствования двигательных способностей - одна из главных, независимо от этапов годичного цикла. [36, 42, 49, 58 и др.].
В разделе подготовка вратарей в монографии венгерских специалистов под общей редакцией Яноша Палфаи [117] справедливо отмечается, что "на тренировочных занятиях с вратарями подросткового и юношеского возраста физическая подготовка является доминирующей. Она решительно влияет на дальнейшую работоспособность вратаря в зрелом возрасте. Чем многостороннее это обучение, чем выше физическая подготовленность, тем лучше проявляются в игре технико-тактические навыки".
Специалисты футбола неоднократно указывают, что соревновательная деятельность юных игроков не является самоцелью, а должна рассматриваться как важное средство качественной подготовки спортсменов. [5, 70, 97] В то же время, в возрасте 15-16 лет проводятся чемпионаты мира и Европы по футболу, что определяет необходимость постоянного повышения качества технико-тактической подготовки молодой футбольной смены. [5]
Общеизвестно, что групповые и командные упражнения являются основной формой организации нагрузок полевых игроков в футболе. Индивидуальная подготовка и индивидуализированные методы тренировки занимают незначительный объем работы. [58, 74, 126]
К сожалению, данный подход характерен и для подготовки вратарей, где согласно проведенным педагогическим наблюдениям, тренировка юных вратарей проходит, как правило, в составе всей команды или группы футболистов и не имеет вратарской направленности.
Стандартная схема построения учебно-тренировочного занятия в футболе следующая: сначала все игроки, в том числе и вратари, делают пробежку, выполняют комплекс общеразвивающих упражнений, несколько рывков и ускорений. Затем тренер разбивает футболистов на группы. Вратари уходят в сторону и начинают бить мяч ногами или бросать его друг другу руками.
Организовав тренировку полевых футболистов, тренер возвращается к вратарям. Одного вратаря ставит в ворота и вдвоем с другим наносит удары по воротам. Через 10-15 минут переключается на полевых игроков и вратари остаются одни и продолжают наносить удары друг другу. В конце занятия тренер выделяет игроков для тренировки вратарей. К этому времени вратари уже выключаются из работы вследствие длительного нахождения на поле при относительной бездеятельности. К тому же выделенные футболисты приходят после интенсивной работы уставшие, производят удары очень неточно и, что самое обидное для вратарей, небрежно. В ворота то посылается два-три мяча, то наступает продолжительная пауза, когда мячи не попадают в ворота. Фактическая загруженность вратарей в тренировке около 30 минут вместе 2-2,5 часов.
Безусловно, что такое построение занятия не обеспечивает должного тренировочного эффекта и требует кардинальной перестройки не в объеме запланированных объемов, а в повышении плотности урока.
Неоднократно отмечалось [40, 126, 143], что тренировка вратаря не соответствует особенностям его соревновательной деятельности, а средства и методы физической подготовки применяются без учета индивидуальных особенностей подготовленности спортсменов разного возраста и квалификации. [2, 41, 58]
Отсюда вытекает первоочередность задачи оценки структуры и уровня подготовленности того или иного вратаря, как необходимого элемента программирования тренировочного процесса.
В таблице 14 представлена балльная оценка двигательных способностей вратарей экспериментальной группы. Тестирование проводилось в середине апреля, т.е. по окончанию подготовительного периода, перед началом эксперимента. Следует отметить, что средние показатели результатов тестов не имели достоверных отличий от данных, полученных при обследовании игроков той же возрастной группы на стадии констатирующего эксперимента.
Таблица 14 Оценка двигательных способностей вратарей 15-16 лет в баллах
| № п/п | Фамилия | Двигательные способности | |||||
| Стартовая скорость | Дистанционная скорость | Прыгучесть | Скоростная выносливость | Сила | Сумма баллов | ||
| 1 | М-ов | 4 | 5 | 4 | 4 | 3 | 20 |
| 2 | Я-ин | 5 | 5 | 3 | 2 | 4 | 19 |
| 3 | А-ов | 5 | 8 | 6 | 5 | 6 | 30 |
| 4 | С-ов | 2 | 5 | 4 | 4 | 5 | 20 |
| 5 | О-ов | 5 | 5 | 3 | 4 | 4 | 21 |
| 6 | П-ев | 5 | 2 | 5 | 2 | 3 | 17 |
| 7 | Н-ов | 3 | 1 | 4 | 1 | 2 | 11 |
| 8 | В-ов | 1 | 5 | 9 | 6 | 4 | 25 |
| 9 | Г-ин | 8 | 6 | 6 | 7 | 8 | 33 |
На основании балльных оценок был определен интегральный уровень физической подготовленности вратарей (табл. 15) и наличие ведущих и лимитирующих звеньев в ее структуре.
Таблица 15 Уровень и структура физической подготовленности вратарей 15-16 лет
| Уровень | № | ||
| физической | Лимитирующие звенья ФП | Ведущие звенья ФП | |
| подготовленности | |||
| (сумма баллов) | |||
| Высокий (40-35) | - | - | - |
| Выше среднего | 9 | скоростно-силовые качества, | дистанционная скорость |
| (34-30) | скоростная выносливость | ||
| 3 | скоростно-силовые качества | нет | |
| Средний (29-25) | 8 | взрывная сила | стартовая скорость, сила |
| Ниже среднего | 1 | скоростно-силовые качества, | дистанционная скорость |
| (24-15) | скоростная выносливость | ||
| 2 | взрывная сила, сила | скоростные качества | |
| 4 | стартовая скорость, взрывная сила | - | |
| 5 | сила, взрывная сила, | скоростные качества | |
| скоростная выносливость | |||
| 6 | дистанционная скорость, | стартовая скорость | |
| скоростная выносливость | |||
| Низкий (<15) | 7 | все качества | - |
Обращает на себя внимание тот факт, что лишь двое из девяти обследованных вратарей имели уровень физической подготовленности выше среднего, что составило 22%, средний уровень был характерен для 11%. Основная группа игроков - 67% характеризовалась по уровню подготовленности, как ниже среднего и низкий.
Если учесть, что обследование проводилось по окончанию подготовительного периода, то можно еще раз отметить низкую эффективность тренировочного процесса по отношению к развитию двигательных качеств вратарей. При этом основным звеном лимитирующим работоспособность спортсменов были скоростно-силовые качества, роль которых в эффективной соревновательной деятельности вратарей первостепенна. [2, 40, 106]
Учитывая вышеизложенное, а также установленный ранее факт о наличии существенных резервов в развитии скоростно-силовых способностей и силы мы предположили, что при планировании объемов разнонаправленных нагрузок на экспериментальном этапе акцент должен быть сделан на воспитании силы и скоростно-силовых способностей, с использованием как специализированных, так и общих средств подготовки.
Данному вопросу в системе тренировки спортсменов игровых видов спорта и футболистов, в частности, уделялось серьезное внимание на протяжении последних десятилетий. Выполнено большое количество теоретических и методических работ [9, 21, 22, 28, 71, 125, 140, 150], что позволяет использовать установленные принципы в наших исследованиях.
Прежде всего мы исходили из положения о многообразии функций силовой подготовки и ее взаимосвязи с различными двигательными способностями, что подробно раскрыто в работах Ю.В. Верхошанского и его учеников. [22, 24, 25, 26, 28]
Доказано, что применение принципов силовой тренировки по типу "бодибилдинга" заметно увеличивает эффективность силовой тренировки, так как развивающими оказываются не 20%, как при обычных тренировочных круговых методах, а 70-80% работы. [21] Достигается это использованием дополнительных отягощений (небольших в первых подходах, и по мере увеличения количества подходов происходит уменьшение веса отягощений), при постоянном количестве повторений. Возможен и другой путь - увеличение отягощения от подхода к подходу и затем его уменьшение при постоянном количестве повторений. Данный принцип описывается следующей логической схемой: внешняя нагрузка - реакция на нагрузку - состояние (утомление) -снижение работоспособности - коррекция нагрузки для восстановления ответной реакции.
Следует подчеркнуть необходимость постоянного творческого поиска нахождения наиболее эффективный путей совершенствования подготовки спортсменов. Применение методического приема, позволяющего постоянно проявлять околомаксимальные усилия в диапазоне 6-12 повторений и тем осуществляющего работу в развивающем режиме, служит эффективным средством развития взрывной силы футболистов, их скоростно-силовой выносливости, реактивной способности мышечного аппарата, окислительных свойств мышц, рекуперации (возврату) механической энергии мышц и сухожилий. [24]
Другим направлением в организации силовой подготовки является увеличение сопряженности силовых свойств мышечного аппарата и его окислительных способностей, что значительно повышает экономичность его функционирования. [29]
Под воздействием упражнений силовой направленности, кроме силовых, совершенствуются упругие и реактивные свойства мышц и их способность к рекуперации механической энергии, что увеличивает экономичность функционирования мышечного аппарата и систем энергообеспечения. [155]
Работоспособность мышц связана с развитием локальной мышечной выносливости, под которой понимается улучшение сократительных и окислительных свойств мышц.
Окислительные способности мышц обусловлены ростом сократительных и несократительных, в частности, митохондриальных белков и метаболическихрезервов ткани, что повышает способность мышечных волокон и утилизации кислорода и эффективному ресинтезу АТФ. [152]
Существуют два мнения на сопряженное развитие сократительных и окислительных способностей мышц. Первое указывает на возможность параллельного развития данных способностей. Второе говорит о разнонаправленное™ между мощностью сокращения мышц и ростом их окислительного потенциала, возникающих в процессе совершенствования специальной выносливости. [27]
Два качества мышечной системы до определенного уровня интенсивности, не выше анаэробного порога (АП) совершенствуются одновременно. Но при увеличении интенсивности упражнений или объема силовых средств значительная гипертрофия миофибрилл может привести к снижению окислительных способностей мышц. [154]
Для разрешения противоречий между ростом мощности функционирования мышечного аппарата, повышением и совершенствованием его окислительных свойств все тренировочные средства применяются так, чтобы работа выполнялась в зоне АП. [28] Ставится задача - на протяжении микроцикла, этапа, периода улучшить обе качественные характеристики мышечной системы. С этой целью структура и режим выполнения упражнений моделируются так, чтобы вес отягощений и количество повторений способствовали развитию сократительных свойств с постоянным включением большого числа мышечных волокон от подхода к подходу, а время повторения и отдыха между ними давали возможность спортсмену работать в зоне АП. Данное теоретическое положение получило свое подтверждение в практике подготовки высококвалифицированных хоккеистов в условиях технико-тактических занятий. [28]
Главной стратегической линией силовой подготовки являются [22, 24, 25, 26]: 1) использование таких форм и методов построения тренировочных занятий, режимов сокращения мышечного волокна спортсменов, при которых происходит наиболее эффективное развитие всех компонентов силовых способностей; 2) одновременное развитие сократительных и окислительных свойств мышечного аппарата; 3) параллельное развитие скорости и скоростной выносливости, силы и выносливости, координационных и силовых способностей.
При разработке модели подготовки на соревновательном этапе вратарей 15-16 лет нами учитывался доказанный факт, что объем средств, как специализированных, так и общеподготовительных, при развитии скоростно-силовых качеств должен составлять не менее 25-30%. [9] Мы планировали данную работу в рамках тех же объемов, которые использовались на этапе констатирующего эксперимента, но существенно изменили распределение средств в сторону увеличения работы, направленной на воспитание различных компонентов силы. Нами учитывались данные о положительном влиянии скоростно-силовой подготовки на освоение двигательных навыков, что в конечном счете положительно отражается на технической подготовленности занимающихся и на их способности к концентрации усилий в пространстве и времени [113, 119, 125], что безусловно важно для футбола, где развитие координационных способностей игроков один из путей повышения экономичности энергообеспечения при выполнении технических приемов. [120, 121]
В рамках экспериментальной программы физической подготовки вратарей принимался во внимание тот факт, что выносливость, под которой, применительно к соревновательной деятельности игроков данного амплуа, можно подразумевать способность к поддержанию скоростно-силового режима выполнения технико-тактических приемов на протяжении игрового времени, определяется не столько ростом поступления кислорода к мышцам, сколько их способностью использовать кислород из артериальной крови. [29]
Данное понимание нашло свое отражение в концепции оптимальной физической подготовки спортсменов высокой квалификации. [27] Доказано, что дистанционные методы тренировки, развивающие вегетативный компонент работоспособности не обеспечивают условий эффективного повышения сократительных и окислительных свойств мышц. Для решения этой задачи как раз применимы скоростно-силовые нагрузки.
В пользу применения силовых упражнений в системе подготовки вратарей, не зависимо от этапа годичного цикла, свидетельствует ряд экспериментов доказанных положений [46, 52, 71, 115]:
- прирост абсолютной силы мышц повышает скорость движений и тем больше, чем большее сопротивление приходится преодолевать спортсмену. Однако, в момент концентрированных силовых нагрузок, скорость движения и способность к проявлению взрывных усилий снижается пропорционально росту объема силовой работы;
- для повышения уровня скоростной (взрывной) силы необходимо предварительное выполнение собственно силовых упражнений. В зависимости от выбранной методики, это дает прирост силы с увеличением или без существенного увеличения мышечной массы. Здесь важна адаптационная перестройка мышц, которая выражается в повышении их энергетического потенциала, как основы для последующего развития взрывной силы;
- если в тренировках используется только взрывной режим работы мышц, а именно такой подход характерен для подготовки юных вратарей, достижение способности к быстрому проявлению максимума усилий ускоряется, но общий эффект развития взрывной силы будет невыполним и сохранение его будет непродолжительным. Наряду с общеметодологическими основами силовой подготовки, при разработке экспериментальной системы тренировки учитывались принципы и положения планирования нагрузок в игровых видах спорта. [6, 30, 36, 40, 58, 67, 74, 98, 117];
- принципы параллельного развития скоростно-силовых способностей и скоростно-силовой выносливости, когда технико-тактические упражнения выполняются в зоне анаэробного порога (ЧСС до 160 уд./мин.);
- равномерное распределение объема силовых и скоростно-силовых упражнений с тенденцией увеличения их интенсивности от этапа к этапу при
достаточно стабильном объеме применения данных средств подготовки (около включение силовых и скоростно-силовых нагрузок на фоне относительно полного восстановления организма от предшествующих нагрузок;
- подбор упражнений с учетом воздействия на основные мышечные группы, обеспечивающие выполнение соревновательных нагрузок;
- чередование средств, направленных на развитие различных компонентов силового потенциала, обеспечивающих эффект контрастности тренирующих воздействий, как фактора, усиливающего функциональную восприимчивость организма.
4.2 Средств подготовки и их организация в макроцикле
Для развития физических качеств юных вратарей использовался дифференцированно-блочный подход: 1) применялись упражнения с дифференцированной целевой направленностью на развитие одного или двух "родственных" качеств; 2) применялись блоки (комплексы) с различной направленностью, как на преимущественное развитие одного физического качества, так и на генерализованную физическую подготовку. [45]
Кратко остановимся на основных упражнениях, которые используются в системе подготовки вратарей 15-16 лет в практической работе тренеров. [40, 42, 106, 120, 134]
Упражнения для развития быстроты:
ОФП. По сигналу рывки на 5-10 метров из различных исходных положений: стоя лицом, спиной, боком к стартовой линии, из приседа, седа, лежа. Эстафеты с элементами старта. Ускорения на 15, 30, 60 метров. Бег с переменной интенсивностью на дистанции 100-150 м (15-20 м с максимальной скоростью, 10-15 м медленно). Челночный бег.
СФП. Из "стойки вратаря" бег на 5-15 м метров с максимальной скоростью, из ворот. Отбивание высоко летящего мяча после рывка. Ловля мячей, пробитых по воротам, ловля теннисных мячей.
Упражнения для развития скоростно-силовых качеств и силы:
ОФП. Упражнения со штангой, гантелями, набивными мячами. Вес отягощений от 40 до 70% веса тела. Выпрыгивания из приседа и полуприседа без отягощений и с отягощениями. Прыжки в глубину (высота спрыгивания 50-70 см) с последующим выпрыгиванием вверх или рывком. Вбрасывание мяча на дальность. Различные варианты многоскоков.
СФП. Упражнения для кистей рук с гантелями и кистевым амортизатором, технико-тактические упражнения с отяжелителями. Многократное повторение упражнений в ловле и бросках набивного мяча от груди двумя руками. Броски футбольного и набивного мяча на дальность. Удар ногой на дальность. Ловля набивных мячей, брошенных партнерами с разных сторон.
Упражнения для развития специальной выносливости.
Повторное выполнение беговых и прыжковых упражнений. Упражнения с отягощением 20-30% от максимума до произвольного отказа. Ловля и отбивание мячей повторным и непрерывным методами. Отбивание мячей в падении, когда удары по воротам выполняются с минимальными интервалами. Все средства, направленные на развитие силы, скорости и выносливости были отнесены к кондиционным. При их организации использовались параметры, выполнения упражнений, разработанные в исследованиях Г.С. Лалакова [74] с учетом возрастных особенностей футболистов (табл. 16). Наряду с развитием кондиционных способностей, одним из важных резервов повышения технико-тактического мастерства вратарей и эффективности их соревновательной деятельности является развитие координационных способностей (ловкости). [2, 41, 106]
Таблица 16 Классификация допустимости нагрузок в процессе подготовки футболистов 13-16 лет [74]
| № п/п | Направленность | Объем нагрузки (%) и длительность серий упражнений (мин) | ||||||||
| 3-4 мин. | 4-5 мин. | 5-6 мин. | ||||||||
| 40 | 70 | 100 | 40 | 70 | 100 | 40 | 70 | 100 | ||
| 1 | Скоростно-силовая выносливость | + | + | |||||||
| 2 | Скоростная выносливость | + | + | + | + | + | ||||
| 3 | Скоростные качества | + | + | + | + | |||||
| 4 | Скоростно-силовые качества | + | + | + | + | + • | + | |||
| 5 | Специальная выносливость | 4+ | 4+ | 4+ | 6+ | 6+ | 6 | 8 | 8 | 8 |
| 6 | Специальная скорость | 4+ | 4+ | 4+ | 6+ | 6+ | 6 | 8+ | 8 | 8 |
| 7 | Обучение и совершенствование технико-тактического мастерства | 4+ | 4+ | 4+ | 6+ | 6+ | 6 | 8+ | 8 | 8 |
Примечание: + - допустимая нагрузка 4, 6, 8 - длительность серий упражнений в мин.
Наряду с развитием кондиционных способностей, одним из важных резервов повышения технико-тактического мастерства вратарей и эффективности их соревновательной деятельности является развитие координационных способностей (ловкости). [2, 41, 106]
При разработке и применении средств для совершенствования координации вратарей мы опирались на теоретические и методические положения достаточно полных измененные в работах В.И. Ляха [79, 80] и Збигнева Витковского [30].
В качестве средств координационной тренировки рекомендуется использовать разнообразные двигательные действия (физические упражнения) если они:
связаны с преодолением координационных трудностей; требуют от исполнителя правильности, быстроты, рациональности при выполнении сложных в координационном отношении двигательных действий, а также находчивости в использовании этих действий в различных условиях; являются новыми и необычными для исполнителя; хотя и являются привычными, но выполняются либо при изменении самих двигательных действий, либо условий.
Исходя из такого понимания, выделяют, прежде всего, общие координационные упражнения. Условно данные упражнения разделяют на: 1) обогащающие фонд жизненно важных умений и навыков; 2) увеличивающие двигательный опыт; 3) общеразвивающие элементы гимнастики и акробатики, упражнения в беге, прыжках и метаниях, подвижные и стартовые игры с высокими требованиями к координации движений; 4) с преимущественной направленностью на отдельные психофизиологические функции, обеспечивающие оптимальное управление и регуляцию двигательных действий (упражнения на выработку чувства пространства, времени, степени развиваемых мышечных усилий, по улучшению сенсомоторных реакций, двигательной памяти и представления движений).
Круг специальных координационных упражнений был ограничен спецификой соревновательной деятельности футбольных вратарей и спецификой технико-тактической подготовки в тренировочном процессе. К ним можно отнести: 1) подводящие, способствующие освоению и закреплению технических навыков (форма движения) и технико-тактических действий; 2) развивающие координационные способности к ориентации, дифференцированию, ритму, сохранению равновесия, вестибулярной устойчивости и др.; 3) вырабатывающие специализированные восприятия.
С определением и классификаций средств и методов координационной тренировки в футболе неразрывно связана проблема планирования вариантов названной тренировки, а также дозирования нагрузок. Среди методических подходов планирования вариантов координационной тренировки выделили следующие [30]:
1) равномерное воздействие с помощью средств и методов в течение всей длительности макро- или мезоцикла;
2) акцентированное воздействие на ведущие КС;
3) использование упражнений повышенной координационной сложности. Параметры нагрузок при использовании координационных упражнений отражены в табл. 17.
Таблица 17 Педагогические параметры координационных упражнений в игровых видах спорта [30]
| Возраст | Показатели нагрузки | |||||
| Продолжи-тельность | Интенсивность | Интервалы отдыха | Характер отдыха | Число повторений | Координацион-ная | |
| лет | упраж- | упраж- | между | упражнения | сложность | |
| нения | нения | упраж- | упраж- | |||
| нениями | нения | |||||
| 8-10-13-14 | от нескольких секунд до нескольких | от низкой до субмаксимальной | от нескольких секунд до полного | любой (пассивный, активный) | от 8 до 40 раз в серии число серий 2-6 | малая и средняя |
| минут | восстанов- | |||||
| ления | ||||||
| от | от средней | от | любой | от 8 до 40 | средняя, | |
| 15-16-17-18 | нескольких секунд до нескольких | до максимальной | нескольких секунд до полного | раз в серии число серий 2-6 | высшая | |
| минут | восстанов- | |||||
| ления | ||||||
| 19 лет и старше | от нескольких минут до нескольких секунд |
от средней до максимальной | от нескольких секунд до полноговосстанов- ления |
любой | от 8 до 40 серий число серий 2-6 | средняя, субмаксимальная, максимальная |
Вышеперечисленные положения и рекомендации принимались нами во внимание при разработке экспериментальной программы тренировки футбольных вратарей 15-16 лет.
Важное значение при выполнении разнонаправленных нагрузок отводилось применению тех методов их организации, которые наиболее эффективны по отношению к развитию различных двигательных способностей. [108] В частности, при совершенствовании выносливости к работе субмаксимальной интенсивности использовался переменный метод. Для развития силы и силовой выносливости применялся интервальный метод. При комплексном совершенствовании двигательных качеств и технико-тактического мастерства ведущим был повторный метод.
Общая стратегия программы физической подготовки на первом этапе соревновательного периода (середина апреля - июнь) сводилась к преимущественному воспитанию силовых и скоростно-силовых способностей. В июле, когда спортсмены тренировались в спортивном лагере (второй подготовительный период) акцент делался на развитие взрывной силы. Во второй воловине соревнований (август - сентябрь) - главная задача подготовки сводилась к совершенствованию скоростно-силовой и общей выносливости. Безусловно здесь представлена лишь самая обобщенная стратегическая линия блочного распределения разнонаправленных нагрузок, среди которых специализированные средства подготовки составляли на менее 65-70% от суммарного объема нагрузки. В промежутке между первым и вторым кругом соревнований соотношение неспецифической и специфической работы составило 40% к 60% соответственно.
Более подробно силовые и специализированные средства подготовки, а также типовые микроциклы представлены в приложениях 1 -5.
Одним из основных инструментов программирования является структурно-логическая схема (СЛС). Она определяет структуру осваиваемого спортсменами материала, его логические связи, порядок изучения в соответствии с определенными алгоритмами.
Согласно определению по отношению к проблеме совершенствования физической подготовки юных спортсменов [111] СЛС представляет собой схематическое структурное описание логического построения процесса тренировки, реализуемого в учебно-тренировочных занятиях, с помощью которого адаптация к нагрузкам выполняемых упражнений преобразуется в физические качества спортсменов.
Она является предпосылкой для эффективной соревновательной деятельности вратарей и содержит систематизированный перечень разделов и направлений физической подготовки, а также перечень средств подготовки непо их содержанию, а по направленности на развитие конкретных качеств (или "блоков" таких качеств) (табл. 18).
Примером СЛС может быть схема построения процесса совершенствования силовой подготовки вратарей при выполнении упражнений с отягощениями, о чем в целом говорилось ранее. С одной стороны, для усвоения этого раздела физической подготовки требуется наличие технических навыков для выполнения сложнокоординационных движений, а также быстроты, реализуемой преимущественно в начальных фазах этих движений, с другой стороны, такие упражнения позволяют развивать не только силу, но и силовую выносливость вратарей.
Таблица 18 Показатели разнонаправленных нагрузок на экспериментальном этапе
| Нагрузки | 1-й | 2-й | 3-й |
| этап | этап | этап | |
| Количество часов | 216 | 87 | 174 |
| Напряженность, % Н Ат\ел&ле.к н.0 с.'Гсэ (•c^u^^Aot^jxuae^ | |||
| - общая выносливость | 12 | 13 | 20 |
| - комплексное совершенствование двигательных способностей | 30 | 25 | 33 |
| - сила, скоростно-силовые качества | 30 | 40 | 20 |
| - скоростная и скоростно-силовая выносливость | 12 | 12 | 20 |
| - соревновательная | 16 | 10 | 17 |
| Методы тренировки, % | |||
| - равномерный | 6 | 5 | 6 |
| - переменный | 27 | 21 | 30 |
| - повторный | 24 | 30 | 20 |
| - интервальный | 43 | 44 | 44 |
| Специфичность, % | |||
| - специфическая | 70 | 15 | 80 |
| - неспецифическая | 30 | 25 | 20 |
| Координационная сложность, % | |||
| - низкая | 15-20 | 15-20 | 15-20 |
| - средняя | 40-50 | 20-30 | 40-50 |
| - высокая | 20-30 | 40-50 | 30-40 |
В предложенной нами СЛС конкретизированная физическая подготовка футбольных вратарей основана на применении средств акцентированного воздействия, направленная на развитие следующих компонентов двигательных способностей: быстрота реакции, быстрота одиночных движений, быстрота сложно-координационных движений, прыгучесть, абсолютная сила, общая выносливость, скоростно-силовая выносливость. Помимо этого, рассматривается комплексное проявление силы, как основы всестороннего развития вратарей 15-16 лет. Специализированность физических качеств рассматривалась нами в следующих проявлениях: быстрота выполнения одиночных игровых операций, стартовый рывок, "взрывная" сила, прыжковая выносливость.
В заключении отметим, что с учетом индивидуальных особенностей физической подготовки вратарей экспериментальной группы (см. табл. 13) были разработаны объемы использования разнонаправленных нагрузок. Содержание рекомендаций было направлено на ликвидацию отстающих качеств физической подготовленности, так как в ранее проведенных исследованиях [30, 81, 126] доказана эффективность такого подхода для юношеского футбола.
4.3 Показатели физической подготовленности вратарей экспериментальной группы
Как правило, в педагогических исследованиях в области спортивной тренировки для оценки эффективности той или иной методики подготовки сопоставляются показатели контрольной и экспериментальной групп испытуемых [10]
В нашем исследовании в качестве контрольных показателей использовались данные, полученные на стадии констатирующего эксперимента. Это связано с тремя основными причинами:
практически невозможно сформировать две репрезентативные выборки вратарей одной возрастной группы, поскольку в команде тренируются не более трех вратарей;
отсутствие изменений в общем объеме нагрузок, а лишь перераспределение их частных объемов позволяет говорить о влиянии последнего фактора на динамику физической подготовленности вратарей;
доказанный факт об отсутствии значительных приростов показателей физической подготовленности вратарей 15-16 лет в результате шестимесячной подготовки свидетельствует об отсутствии вклада возрастных изменений морфофизических особенностей данного периода онтогенеза на результаты исследования.
В таблице 19 отражены показатели физической подготовленности вратарей, полученные на этапе предварительного исследования (контроль) и идентичные исходные данные основного педагогического эксперимента (экспериментальные).
Таблица 19 Показатели физической подготовленности контрольной и экспериментальной групп в начале педагогического эксперимента (х ± 5)
| Показатели физической подготовленности | Вратари 15-16 лет | |||
| контроль | эксперимент | t | Р | |
| Стартовая скорость, с | 1,88±0,06 | 1,92±0,09 | 1,1 | >0,05 |
| Дистанционная скорость, с | 6,83±0,18 | 7,01±0,22 | 2,0 | >0,05 |
| Скоростная выносливость, с | 67,9±1,8 | 69,9±2,5 | 1,9 | >0,05 |
| Взрывная сила, см | 45±5 | 47±4 | 0,9 | >0,05 |
| Силовые способности, кГ | 104±7 | 110±6 | 2,2 | <0,05 |
Практически по всем показателям, характеризующим уровень развития двигательных способностей в сравниваемых группах спортсменов отсутствовали достоверные различия, за исключением данных становой динамометрии, которые были выше у вратарей, участвующих в основном педагогическом эксперименте.
Еще раз отметим, что приведенные характеристики физической подготовленности зарегистрированы по окончании предсоревновательного этапа, когда согласно основам тренировки, спортсмены должны достигнуть околомаксимального уровня двигательного потенциала.
Анализ результатов тестирования до и по окончанию реализации экспериментальной тренировочной программы показал, что выполненные в процессе тренировки нагрузки способствовали достоверному повышению уровня развития двигательных способностей вратарей (табл. 20).
Таблица 20 Динамика показателей физической подготовленности вратарей до и по окончанию педагогического эксперимента (х ± 8)
| Показатели физической подготовленности | До эксперимента | Конец эксперимента | t | Р |
| Стартовая скорость | 1,92±0,09 | 1,84±0,06 | 2,2 | <0,05 |
| Дистанционная скорость | 7,01±0,22 | 6,80±0,14 | 2,4 | <0,05 |
| Скоростная выносливость | 69,9±2,5 | 67,5±1,1 | 2,7 | <0,05 |
| Взрывная сила | 47±4 | 50±3 | 2,14 | <0,05 |
| Силовые способности | 111±6 | 120±3 | 4,0 | <0,01 |
Далее сопоставим приросты двигательных способностей, полученные на этапе констатирующего и основного экспериментов (рис. 12).

Рис. 12. Прирост (%) показателей тестирования двигательных способностей футбольных вратарей 15-16 лет в соревновательном периоде
Полученные данные позволяют сделать ряд заключений: наименьшие изменения получены по результатам оценки дистанционной скорости и скоростной выносливости, где объем нагрузок экспериментального этапа мало отличался от общепринятой программы подготовки; самые высокие приросты были характерны для стартовой скорости, прыгучести и силы мышц разгибателей, т.е. тех двигательных качеств на которые в процессе эксперимента оказывалось акцентированное воздействие на протяжении реализации программы физической подготовки. Рассматривая индивидуальные изменения физической подготовленности вратарей экспериментальной группы (табл. 21) можно констатировать существенный прирост, как интегрального показателя развития двигательных качеств (сумма баллов), так и отдельных его составляющих.
Таблица 21 Оценка индивидуального уровня двигательных способностей вратарей в баллах до начала (I) и по окончанию (II) эксперимента
| № п/п | Фамилия | Этапы | Двигательные способности | |||||
| стартовая скорость | дистанцион. скорость | скоростная выносливость | взрывная сила | сила | сумма баллов | |||
| 1 | М-ов | I II | 4 5 | 5 5 | 4 4 | 4 5 | 3 8 | 20 27 |
| 2 | Я-ин | I II | 5 7 | 5 8 | 2 7 | 3 4 | 4 8 | 19 34 |
| 3 | А-ов | I II | 5 7 | 8 8 | 5 8 | 6 8 | 6 10 | 30 41 |
| 4 | С-ов | I II | 2 4 | 5 5 | 4 8 | 4 5 | 5 8 | 20 30 |
| 5 | О-ов | I II | 5 7 | 5 6 | 4 5 | 3 7 | 4 8 | 21 33 |
| 6 | П-ев | I II | 5 7 | 2 7 | 2 4 | 5 6 | 3 7 | 17 31 |
| 7 | Н-ов | I II | 3 8 | 15 | 17 | 4 5 | 2 6 | 11 31 |
| 8 | В-ов | I II | 15 | 5 7 | 67 | 9 9 | 4 6 | 25 34 |
| 9 | Г-ин | I II | 8 9 | 67 | 7 5 | 67 | 8 9 | 33 37 |
Если до начала реализации экспериментальной программы физической подготовки 56% вратарей имели уровень подготовленности, оцениваемый, как ниже среднего (табл. 22), то после завершения эксперимента уже 56% игроков перешли в группу с уровнем выше среднего, а 33% спортсменов составили группу с высоким интегральным уровнем физической подготовленности.
Таблица 22 Динамика изменения уровня физической подготовленности вратарей экспериментальной группы
| Уровень физической подготовленности | Этапы обследования | |||
| До эксперимента | По окончанию эксперимента | |||
| количество | % | количество | % | |
| Высокий | - | - | 3 | 33 |
| Выше среднего | 2 | 22 | 5 | 56 |
| Средний | 1 | 11 | 1 | 11 |
| Ниже среднего | 5 | 56 | - | - |
| Низкий | 1 | 11 | - | - |
В процессе эксперимента удалось снизить процент рассогласования показателей, характеризующих развитие двигательных способностей вратарей 15-16 лет с данными, характерными для их коллег из команд мастеров (рис. 13). Эти данные еще раз подтвердили ранее сделанное заключение о том, что наибольшие резервы повышения двигательного потенциала футболистов юношеских команд имеются в прогрессивном развитии силовых и скоростно-силовых возможностей. При этом целенаправленное акцентированное развитие последних в 15-16 лет позволяет не только повысить общую и взрывную силу, но и благоприятно сказывается на развитии скоростной выносливости. Так повышение времени выполнения челночного бега 7x50 метров уменьшилось в процессе эксперимента на 2,4 секунды, что составило увеличение скорости пробегания контрольной дистанции около 360 метров на 3,5%.
Безусловно, что для вратарей уровень скоростной выносливости не является ведущим в эффективности соревновательной деятельности, но мощность анаэробного механизма энергообеспечения может играть важную роль в тяжелых играх, где объем работы вратаря высокий, а ее продуктивность зависит от способности проявлять качество быстроты на протяжении основного, а зачастую, и дополнительного времени матча.

Рис. 13. Показатели двигательных способностей вратарей 15-16 лет в % от данных команд мастеров
При рассмотрении возрастной динамики физической подготовленности вратарей (см. гл. III) было показано, что уже к 18 годам развитие основных двигательных способностей игроков достигает уровня, характерного для спортсменов, выступающих в командах мастеров. Исключения составляют лишь показатели силовых возможностей и взрывной силы. Однако лишь единицы из вратарей юниоров попадают в большой футбол. Также следует сказать, что многие выдающиеся вратари достигали расцвета мастерства к 30 и более годам [1, 14], когда большинство полевых игроков заканчивают выступления в большом спорте.
Можно предположить, что мастерство вратаря во многом зависит от факторов специфической работоспособности, среди которых специалисты выделяют такие качества, как быстроту и точность реакции на движущийся объект, простые и сложные двигательные реакции, точность дозировок мышечных усилий. [119, 121, 126, 144]
Все вышеперечисленные качества принято относить к психомоторным. Они непосредственно и опосредованно связаны с физическими качествами. В них проявляются процессы более высокого иерархического уровня по отношению к индивиду. [119]
Определение уровня развития отдельных психических качеств, которые обеспечивают эффективность спортивной деятельности вратарей является предметом специального исследования. В нашей же работе изучалось влияние экспериментальной программы тренировки на динамику отдельных показателей психомоторики вратарей 15-16 лет.
4.4 Показатели психомоторных качеств в процессе экспериментальной подготовки
Как указывалось в обзоре литературы (см. гл. I, раздел 1.2) способность к реагированию, ориентированию, дифференцированию, перестроению, ритму и т.п. являются компонентами координационных способностей, которые являются психомоторными свойствами организма. Они влияют на качество процессов управления и регуляцию движений, обуславливают быстроту и качество моторного обучения, содействуют стабильному освоению основных двигательных умений в конкретных игровых ситуациях. [79]
Последние экспериментальные исследования, выполненные под руководством В.И. Ляха [36] позволили установить, что наиболее характерными компонентами структуры координационных способностей футболистов являются следующие: способность к приспособлению и перестроению двигательных действий, способность к дифференцированию и согласованию, пространственная ориентация, способность к ритму и статическое равновесие.
Показатели, характеризующие уровень координационных способностей группы вратарей, участвующих в экспериментальной программе, до начала и в конце ее реализации представлены в таблице 23.
Таблица 23 Показатели психомоторных качеств и координационных способностей вратарей экспериментальной группы (х + 8)
| no | Показатели | |||
| П/П | Тесты | до | после | Р |
| эксперимента | эксперимента | |||
| 1 | Теппинг тест | |||
| (правая рука) | ||||
| квадрат № 1 | 30.0±0.9 | 36.9±2.6 | <0.05 | |
| квадрат №2 | 24.8±0.9 | 31.9±2.1 | <0.05 | |
| квадрат №3 | 29.8±1.4 | 33.7±2.7 | >0.05 | |
| квадрат №4 | 26.0±1.7 | 32.7±1.7 | <0.05 | |
| квадрат №5 | 31.4±1.6 | 34.3±2.6 | >0.05 | |
| квадрат №6 | 27.9±1.9 | 32.7±1.7 | >0.05 | |
| Суммарный показатель | 169.9±1.4 | 204.6±2.2 | <0.01 | |
| (левая рука) | ||||
| квадрат № 1 | 26.4±1.8 | 32.4±2.4 | <0.05 | |
| квадрат № 2 | 20.3±2.5 | 29.8±1.7 | <0.05 | |
| квадрат № 3 | 23.8±1.7 | 29.7±2.6 | <0.05 | |
| квадрат № 4 | 23.6±2.1 | 28.5±2.6 | <0.05 | |
| квадрат № 5 | 22.4±2.5 | 28.4±2.6 | >0.05 | |
| квадрат № 6 | 24.8±2.1 | 30.3±2.3 | >0.05 | |
| Суммарный показатель | 141.0±2.1 | 179.1±2.4 | <0.01 | |
| 2 | Дифференцировка мышечных усилий, к 2 | |||
| левая рука | 40.9±1.6 | 44.6±1.2 | <0.05 | |
| ошибка | 3.8±1.4 | 4.0±0.9 | >0.05 | |
| правая рука | 42.Ш.4 | 45.7±1.5 | <0.05 | |
| ошибка | 6.0±0.6 | 3.7±0.7 | <0.05 | |
| 3 | Быстрота двигательной реакции, см | 11.0±1.2 | 10.0±0.8 | >0.05 |
| 4 | Точность реакции на движущийся объект, см | 4.5±0.7 | 4.2±0.6 | >0.01 |
| 5 | Прыжок в длину с места, см | |||
| Стандартные условия | 198.5±2.8 | 210.3±2.8 | <0.01 | |
| Усложненные условия | 87.5±2.5 | 111.7±3.4 | <0.01 | |
| 6 | Прыжки через скакалку с двойным | 14.3±1.3 | 18.4±0.8 | <0.01 |
| прокрутом. количество прыжков | ||||
| 7 | Бег по квадрату 4Х 5 м, с | 7.3±0.1 | 6.8±0.1 | <0.05 |
Рассмотрев полученные данные можно сделать следующие заключения: достоверно повысилась частота и стабильность скоростной мануальной координации (рис. 14) как правой, так и левой руки;
не произошли изменения в скорости простой двигательной реакции и реакции на движущийся объект (р>0,01), хотя отмечается тенденция к повышению скорости реагирования на падающую гимнастическую палку;
в тестах на двигательную координацию отмечены улучшения показателей на уровне 99% значимости различий;
улучшилась дифференцировка мышечных усилий ведущей (правой) руки, а также повысился уровень максимальных показателей кистевой динамометрии.


Рис. 14. Показатели теппинг-теста вратарей 15-16 лет
Таким образом, можно говорить о положительном влиянии повышения физической подготовленности вратарей на различные компонентыкоординационных способностей, характеризующие состояние психомоторики организма спортсменов.
В заключении раздела рассмотрим динамику надежности технико-тактических показателей соревновательной деятельности вратарей, полученных в 10 играх первого и 10 играх второго круга первенства Москвы (табл. 24).
Напомним, что надежность определялась по отношению точно выполненных действий к их суммарному количеству в %.
Таблица 24 Изменения показателей надежности ТТД вратарей 15-16 лет в соревновательном периоде
| ТТД | Надежность ТТД в % | |
| I круг соревнований | II круг соревнований | |
| Игра в воротах | 67 | 78 |
| Игра на выходах | 54 | 62 |
| Организация атаки | 70 | 80 |
Во втором круге первенства Москвы, когда были снижены объемы силовых нагрузок и основной объем специально-подготовительных и специализированных средств подготовки был направлен на совершенствование взрывной силы и скоростно-силовой выносливости, наблюдалось повышение надежности выполнения ТТД вратарями в условиях соревновательной деятельности.
Выводы
1. Наиболее высокие темпы прироста двигательных способностей полевых игроков в футболе отмечаются в возрастном периоде от 13 до 14 лет. Данный этап онтогенеза является сенситивным для развития основных физических качеств. Для футбольных вратарей интенсивный прирост двигательных способностей приходится на возрастной период от 14 до 15 лет, т.е. на год позже, чем у полевых игроков.
2. Для вратарей 12-18 лет характерны следующие особенности возрастной динамики физических качеств: до 15 лет они по всем показаниям двигательных способностей уступают своим сверстникам, играющим в поле, за исключением становой силы. После 15 лет вратари опережают полевых игроков по показателям взрывной силы (высота выпрыгивания) и не имеют достоверных различий по уровню стартовой скорости.
3. Наименее выраженные изменения уровня физических качеств футбольных вратарей характерны для возрастного периода 15-16 лет, где наблюдается несущественное снижение скоростных качеств по отношению к возрасту 14-15 лет. К 18 годам уровень двигательных способностей вратарей достигает показателей, характерных для высококвалифицированных взрослых спортсменов.
4. В возрастном аспекте наиболее высокими темпами формируются скоростные качества юных футболистов, которые уже к 12 годам составляют 80-85% от показателей мастеров. Наибольшие резервы имеются в развитии скоростно-силовых качеств и силы, которые в 15-16 лет составляют 85- и 68% от уровня взрослых вратарей соответственно.
5. Специализированные нагрузки в системе тренировки вратарей 15-16 лет составляют 85-87% всех нагрузок соревновательного периода. Работа скоростно-силового характера занимает не более 10-11%, что не обеспечивает повышения двигательного потенциала вратарей учебно-тренировочных групп. Объем средств общей физической подготовки
вратарей от 12 до 16 лет в соревновательном периоде снижается от 9% (12-13 лет) до 6% (15-16 лет).
6. К основным принципам стратегии программированной физической подготовки вратарей 15-16 лет следует отнести: использование таких форм и методов построения тренировочных занятий при которых происходит наиболее эффективное развитие всех компонентов силовых способностей; одновременное развитие сократительных и окислительных свойств мышечного аппарата (нагрузки на уровне анаэробного порога - ЧСС до 150-160 уд./мин); параллельное развитие скорости и скоростной выносливости, силы и выносливости, координации и силовых способностей.
7. Объем нагрузок скоростно-силовой и силовой направленности в системе подготовки вратарей 15-16 лет должен составлять не менее 25-30%. На этапах соревновательного периода целесообразно планировать переход от силовой работы в первых мезоциклах к развитию взрывной силы и скоростно-силовой выносливости в заключительных мезоциклах. Объем специализированных упражнений в соревновательном периоде должен составлять 70-75% объема нагрузок. В процессе подготовки упражнения высокой координационной сложности занимают до 30-50% от нагрузок различной координационной сложности.
8. Реализация экспериментальной тренировочной программы сопровождалась достоверным повышением показателей стартовой скорости (4,5%), дистанционной скорости (3%), скоростной выносливости (4%), взрывной силы (5,5%) и становой силы (13%). Наименьшие изменения получены по результатам оценки дистанционной скорости и скоростной выносливости, где объем нагрузок экспериментального этапа мало отличался от общепринятой системы подготовки вратарей ДЮСШ.
9. Повышение уровня физической подготовки вратарей 15-16 лет оказывает положительное влияние на показатели психомоторики. В частности, увеличивается частота и стабильность скоростной мануальной координации (теппинг-тест), улучшаются способность к дифференцированию мышечных усилий и результаты тестов на двигательную координацию, что обеспечивает рост надежности технико-тактических показателей соревновательной деятельности.
БИБЛИОГРАФИЯ
1. Акимов A.M. Записки вратаря. - М.: Физкультура и спорт, 1968. - 208 с.
2. Акимов A.M. Игра футбольного вратаря. - М.: Физкультура и спорт, 1978. - 95с.
3. Алабин В.Г. Комплексный контроль в спорте // Теория и практика физической культуры. - 1995. - № 3 - с. 43-46.
4. Алев Н.Л. Эндокринные механизмы регуляции приспособления к физическому напряжению. - Тарту, 1978. - вып. 3-е. 88-89.
5. Андреев С.Н., Пискарев A.M., Игнатьев Б.П. Первенство Европы и Чемпионат мира по футболу среди юношей (16 лет) 1987 года - Методические рекомендации. - М., 1987. - 57 с.
6. Андружейчик М.Я., Семкин А.А., Шукан В.И. Некоторые показатели быстроты и скоростно-силовых качеств у футболистов // Вопросы теории и практики физической культуры. - Минск, 1979. - с. 14-19.
7. Антонио Мария Урибе Кардосо. Средства и методы скоростно-силовой подготовки юных футболистов 11-12 лет: Автореф. дис... канд. пед. наук. - М., 1985.-с. 23.
8. Арестов Ю.М. Анатомо-физиологические особенности детей и подростков / Футбол: Учебник для институтов физ. культуры. М.: Физкультура и спорт, 1978.-с. 208-212.
9. Асович И.М. Исследование скоростно-силовых качеств у подростков и юношей (на примере футбола): Автореф. дис... канд. пед. наук. - М., 1968. -с. 19.
10. Ашмарин Б.М. Теория и методика педагогических исследований в физическом воспитании. - М.: Физкультура и спорт, 1978. - 228 с.
11. Бакаринов Ю.М. Научно-методическое обоснование программирования тренировки в легкоатлетических метаниях: Автореф. дис... доктора пед. наук.-М., 1996.-48с.
12. Бернштейн Н.А. Очередные проблемы физиологии двигательной активности // Проблемы кибернетики / Ред. А.А. Ляпунов, вып. 6. - М.: Наука, 1961.-с. 101-160.
13. Бернштейн Н.А. Очерки по физиологии движений и физиологии активности. - М.: Медицина, 1966. - 348 с.
14. Благуш П. К теории тестирования двигательных способностей: Пер. с чешского - М.: Физкультура и спорт, 1982. - 165 с.
15. Бондаревский Е.Я. Надежность тестов, используемых для характеристики моторики человека // Теория и практика физической культуры. - 1970. - №5.-с. 15-18.
16. Бондаревский Е.Я. и др. Методология построения должных норм физической подготовленности. (Бондаревский Е.Я., Стародубцев М.В., Кочарян Ю.Е.) // Методические рекомендации. - ВНИИФК. - М., 1983. - 34с.
17. Бойко В.В. Целенаправленное развитие двигательных способностей человека. - М.: Физкультура и спорт, 1987. - 144 с.
18. Букуев М.О. Методика этапного программирования тренировочных нагрузок высококвалифицированных футболистов в годичном цикле: Автореф. дис... канд. пед. наук. - М., 1987. - с. 23.
19. Булкин В.А. Методология и технология предсоревновательной подготовки // Построение и содержание тренировочного процесса высоко квалифицированных спортсменов на этапах годичной подготовки. - М., 1988.-с. 32-40.
20. Вайцеховский С.М. Управление процессом тренировки: Книга тренера. - М.: Физкультура и спорт, 1977 - с. 24-28.
21. Вайцеховский С.М., Киселев А.Г. Принципы тренировки "Боди-Билдинг" // Теория и практика физической культуры. - 1989. - № 7. - с. 20.
22. Верхошанский Ю.В. Экспериментальное обоснование скоростно-силовой подготовки в связи с биодинамическими особенностями спортивных упражнений: Автореф. дис... канд. пед. наук. - М., 1963. - с. 22.
23. Верхошанский Ю.В. Ударный метод в развитии взрывной силы // Теория и практика физической культуры. - М., 1968. - № 8. - с. 13-18.
24. Верхошанский Ю.В. Основы специальной силовой подготовки в спорте. - М.: Физкультура и спорт, 1977. - с. 215.
25. Верхошанский Ю.В. Программирование и организация тренировочного процесса. - М.: Физкультура и спорт, 1985. - 239 с.
26. Верхошанский Ю.В. Теоретико-методические подходы к реализации идеи управления тренировочными процессами // Теория и практика физической культуры. - 1981. - № 4. - с. 8-11.
27. Верхошанский Ю.В. Основы специальной физической подготовки спортсменов. - М.: Физкультура и спорт, 1988. - 330 с.
28. Верхошанский Ю.В., Лазарев В.В. Основные положения организации тренировочного процесса хоккеистов // Тенденции развития спорта высших достижений. - М., 1993. - с. 121-134.
29. Виру А.А. Гормональные механизмы адаптации и тренировки. Л.: Наука, 1981.-156 с.
30. Витковский Збигнев. Координационные способности юных футболистов: диагностика, структура, онтогенез: Автореф. дис.. канд. пед. наук. - М., 2003.-20 с.
31. Волков В.М., Филин В.П. Спортивный отбор. - М.: Физкультура и спорт, 1983.- 176с.
32. Волков В.М. К вопросу о предпосылках развития двигательных способностей // Тезисы докладов XIV Всероссийской научно-практической конференции "Актуальные проблемы совершенствования системы подготовки спортивных резервов". - М.: Комитет РФ по физической культуре и туризму, 1994. -с. 136-137.
33. Волков Н.И. Влияние величины интервалов отдыха на тренировочный эффект, вызываемый повторной мышечной работой // Теория и практика физической культуры. - 1962. - № 2. - с. 32-35.
34. Волков Н.И. Энергетический обмен и работоспособность человека в условиях напряженной мышечной деятельности: Автореф. дис... канд. пед. наук.-М., 1969.-57с.
35. Волков Н.И., Стенин Б.А. Тренировка сильнейших конькобежцев мира. - М.: Физкультура и спорт, 1970. - 120 с.
36. Гакаме Р.З. Функциональное состояние и физическое развитие футболистов 9-22 лет: Автореф дис... конд. пед. наук. Краснодар, 1995. - 22с.
37. Гандельсман А.Б., Смирнов К.М. Физиологические основы методики спортивной тренировки. - М.: Физкультура и спорт, 1970. - 232 с.
38. Гейтл Б. Техническая подготовка футболистов // Подготовка футболистов. - М.: Физкультура и спорт, 1977. - с. 69-93.
39. Годик М.А. Контроль тренировочных и соревновательных нагрузок. - М.: Физкультура и спорт, 1988. - 192 с.
40. Голомазов С.В., Чирова Б.Г. Тренировка вратаря. - М.: РГАФК, 1996. - 203с.
41. Гранаткин В., Фокин Е. Игра вратаря. - М.: Физкультура и спорт, 1953. - 115с.
42. Гриндлер X., Пальке X., Хеммо X. Физическая подготовка футболистов. - М.: Физкультура и спорт, 1976. - с. 229.
43. Грукаленко А.Н. Оптимальное соотношение тренировочных и соревновательных нагрузок в процессе подготовки футболистов высокой квалификации: Автореф. дис... канд. пед. наук. - М., 1983. - с. 18.
44. Гужаловский А.А. Этапность развития физических (двигательных) качеств и проблема оптимизации физической подготовки детей школьного возраста: Автореф. дис... канд. пед. наук. - М., 1978. - 26 с.
45. Джандаров Д.З. Сопряженное развитие физических и психических качеств юных боксеров 13-14 и 15-16 лет: Автореф. дис... канд. пед. наук. - М., 2003.-23 с.
46. Дьячков В.М. Физическая подготовка спортсмена. - 2-е изд., перераб. - М.: Физкультура и спорт, 1967. - 40 с.
47. Дьячков В.М. К вопросу управления процессом совершенствования технического мастерства спортсменов // Проблемы высшего спортивного мастерства. - М., 1969. - с. 1-13.
48. Евстафьев Б.В. Физические способности, как вид способностей человека. - Л.: Просвещение, 1987. - с. 40.
49. Железняк Ю.Д. Проблемы формирования двигательных навыков и тактических умений при обучении школьников волейболу: Автореф. дис... канд. пед. наук. - М., 1962 - 17 с.
50. Зациорский В.М. Физические качества спортсмена. - М.: Физкультура и спорт, 1970.-200с.
51. Зациорский В.М. Основы спортивной метрологии. - М.: Физкультура и спорт, 1979. - 152 с.
52. Зациорский В.М., Райцин Л.М. Перенос кумулятивного тренировочного эффекта в силовых упражнениях // Теория и практика физической культуры. - 1974. - № 6 .- с. 12-15.
53. Захаров Е.Н., Карасев А.В., Сафонов А.А. Энциклопедия физической подготовки (методические основы развития физических качеств) под общей редакцией Карасева А.В. - М.: Лептос, 1994. - с. 338.
54. Зедгинидзе В.И. Программирование учебно-тренировочного процесса в спортивных играх: Сборник науч. трудов. - Л., 1988. - с. 43-52.
55. Зеленцов A.M., Базилевич О.П., Лобановский В.В. К вопросу об управлении развитием физических качеств футболиста в подготовительном периоде // Управление спортивной тренировкой. - Киев, 1974-с. 54-58.
56. Зеленцов A.M., Лобановский В.В. Моделирование тренировки в футболе. - Киев: Здоров'я, 1985. - с. 134.
57. Зимкин Н.В. Физиологическая характеристика силы, быстроты, выносливости. - М.: Физкультура и спорт, 1956. - с. 148.
58. Золотарев А.П. Структура и содержание многолетней подготовки спортивного резерва в футболе: Автореф. дис... док. пед. наук. - Краснодар, 1997. - с. 50.
59. Игнатьева В.Я. Многолетняя подготовка гандболистов (теория, методика и организация): Дис. в виде научного доклада док. пед. наук. - М., 1995. - с. 87.
60. Ильин Е.П. Психофизиология физического воспитания. - М.: Просвещение, 1980. - 194 с.
61. Исаев Л.Н. Педагогическая эффективность программированного обучения // Советская педагогика. - 1963. - № 21. - с. 32-39.
62. Иссурин Б.Б. Потенциальные и актуальные двигательные способности // Теория и практика физической культуры. - 1986. - № 4. - с. 13-16.
63. Имандалиев Т.Т. Сопряженная физическая и технико-тактическая подготовка футболистов на этапе спортивного совершенствования: Автореф. дис... канд. пед. наук. - М., 1993. - с. 24.
64. Келлер B.C. Деятельность спортсменов в вариативных конфликтных ситуациях. - Киев: Здоровье, 1977. - 184 с.
65. Кириллов А.А. Содержание тренировки в подготовительном периоде у футболистов высокой квалификации: Метод. Рекомендации. - М., 1982 - с. 35.
66. Кисилев А.П. Силовая подготовка высококвалифицированных пловцов на основе реализации использования метода субмаксимальных отягощений: Автореф. дис... канд. пед. наук. - М., 1990. - с. 24.
67. Ковалев В.В. Соотношение тренировочных нагрузок у футболистов 14-15 лет с различным биологическим возрастом: Автореф. дис. канд. пед. наук. - М., 1986-26 с.
68. Коренберг В.Б. Проблема физических и двигательных качеств // Теория и практика физической культуры. - 1996. - № 7. - с. 2-5.
69. Кудрявцев В.Д. Исследование физических качеств мальчиков и их прогностическое значение для отбора в группы подготовки юных футболистов: Автореф. дис... канд. пед. наук. - М. - 1978. - 24 с.
70. Кузнецов А.А. Организационно-методическая структура учебно- тренировочного процесса в СДЮШОР по футболу: методические рекомендации. - М., 1990. - 69 с.
71. Кузнецов В.В. Силовая подготовка спортсменов высших разрядов. - М.: Физкультура и спорт, 1970. - 207 с.
72. Кучин В.А. Особенности методики физической подготовки юных регбистов на этапе углубленной спортивной тренировки: Автореф. дис... канд. пед. наук . - М., 1981. - 23 с.
73. Л злаков Г. С. Построение тренировочных микроциклов подготовительного периода для футболистов 17-19 лет: Автореф. дис... канд. пед. наук. - Омск, 1984.-21 с.
74. Л злаков Г. С. Структура и содержание тренировочных нагрузок нэ различных этапах многолетней подготовки: Автореф. дис... док. пед. наук. -Омск, 1998.-54с.
75. Лисенчук Т.А. Соревновзтельные микроциклы в подготовке квалифицированных футболистов. Автореф. дис... канд. пед. наук. - Киев, 1989.-23с.
76. Локтев С.А. Оргзнизационно-педагогическзя концепция преобразовзния системы подготовки спортивного резерва в беге на средние и длинные дистанции: Автореф. дис... док. пед. наук. - СПб, 1994. - 45 с.
77. Луис Герардо Мело Бетнокоурт. Использование комплексных средств и методов скоростно-силовой подготовки юных футболистов: Автореф. дис... канд. пед. наук. - М., 1996. - 24 с.
78. Люкшинов Н.М. Состояние и тенденции развития современного футбола // Футбол: Ежегодник. - М.: Физкультура и спорт, 1981. - с. 20-24.
79. Лях В.И. Координационные способности школьников. - Минск: Полымя, 1989.-160с.
80. Лях В.И. Двигательные способности школьников: основы теории и методики развития. - М.: Терра-Спорт, 2000. - 192 с.
81. Макаренко В.Г. Управление физической подготовленностью юных футболистов на основе модельных характеристик: Автореф. дис... канд. пед. наук. - М., 1982. - 23 с.
82. Малиновский С.В. Применение систем программированного обучения в спорте. // Теория и практика физической культуры. - 1972. - № 3. - с. 15-17.
83. Малиновский С.В. Программированное обучение и спорт. - М.: Физкультура и спорт, 1976. - 112 с.
84. Матвеев Л.П. К теории построения спортивной тренировки // Теория и практика физической культуры. -1991.-№12.-с. 11-20.
85. Матвеев Л.П. Теория и методика физической культуры: Учебник для институтов физ. культуры. - М.: Физкультура и спорт, 1991. - 543 с.
86. Матвеев Л.П., Новиков А.Д. Теория и методика физического воспитания. - Т.П. - М.: Физкультура и спорт, 1976. - 246 с.
87. Мацак А.Б. Построение годичного цикла тренировки квалифицированных баскетболистов на этапе спортивного совершенствования: Автореф. дис... канд. пед. наук. - М., 1988. - 22 с.
88. Михайлов В.В. О возможностях относительно равномерного распределения тренировок при подготовке спортсменов высокой квалификации // Построение и содержание тренировочного процесса высококвалифицированных спортсменов на различных этапах годичной подготовки. -М., 1988. -с. 112-116.
89. Михайлов В.В., Панов Т.М. Тренировка конькобежца-многоборца. - М.: Физкультура и спорт, 1975. - 227 с.
90. Моделирование системы построения тренировки в годичном цикле // Научная информация. - М., 1979. - 54 с.
91. Молибог А.Г. Программированное обучение. - М.: Высшая школа, 1967. - 198с.
92. Морозов Ю.А. Оценка специальной работоспособности футболистов // Теория и практика физической культуры. - 1974. - № 8. - с. 35-39.
93. Морозов Ю.А. Предигровая разминка как фактор готовности футболиста к игре: Автореф. дис... канд. пед. наук. - Л., 1982. - 21 с.
94. Мосягин С.И. Эффективность и качество - основа успеха // Ежегодник: Футбол. - М.: Физкультура и спорт, 1982. - с. 28-29.
95. Мотылянская Р.Е., Величенко В.К., Перминов Л.М. Медицинские аспекты спортивного отбора. - М., 1988. - 86 с.
96. Мрус Мазан Ахмед. Совершенствование скоростной выносливости футболистов 14-15 лет на заключительном этапе подготовительного периода: Автореф. дис... канд. пед. наук. - Киев, 1991. - 20 с.
97. Мусагалиева Г.М., Кирина Л.Е. Возрастное становление функциональных показателей детей 12-15 лет, занимающихся футболом, плаванием и гимнастикой // Система многолетней подготовки юных спортсменов. - Алма-Ата, 1985. - с. 38-41.
98. Мусралиев К.И. Соотношение специфических и неспецифических средств подготовки при повышении выносливости юных футболистов: Автореф. дис... канд. пед. наук. - М., 1984. - 20 с.
99. Мынарски В. Факторная структура координационных способностей детей и молодежи 8-18 лет // Теория и практика физической культуры, 1994. - №10.-с. 29-35.
100.Набатникова М.Я. О критериях оптимальности в подготовке юных спортсменов // Особенности построения тренировки юных спортсменов: Сб. Научных трудов ВНИИФК. - М., 1983. - с. 17-27.
101.Набатникова М.Я. Развитие научных основ юношеского спорта // Теория и практика физической культуры. - 1983. - № 1. - с. 45-47.
102.Набатникова М.Я. Система контроля в юношеском спорте: состояние и перспективы // Комплексный контроль в подготовке юных спортсменов: Тез. докл. IXВсесоюзн. научно-практ. конф. (Ворошиловград), М., Спорткомитет СССР, 1984. - с. 27-28.
103. Набатникова М.Я. Взаимосвязь уровня разносторонней физической подготовленности и спортивных результатов у юных спортсменов // Теория и практика физической культуры. - 1984. - № 10. - с. 27-28.
104.Набатникова М.Я. Особенности комплексного педагогического контроля в системе подготовки юных спортсменов // Олимпийский резерв. - Киев: Спорткомитет, 1982. - с. 129-136.
105.Набатникова М.Я. Основы управления подготовкой спортсменов. - М.: Физкультура и спорт, 1982. - 266 с.
106.Набоков Б.П. О тренировке вратаря // Футбол сегодня и завтра. - М., 1963. - с. 160-173.
107.Никитушкин В.Г., Губа В.П. Методы отбора в игровые виды спорта. - М., 1998.-288с.
108.Озеров В.А. Сочетание непрерывного и интервального методов тренировки как фактор управления физической подготовкой футболистов высокой квалификации: Автореф. дис... канд. пед. наук. - М., 1990. - 24 с.
109.Озолин Н.Г. Современная система спортивной тренировки. - М.: Физкультура и спорт, 1970. - 479 с.
110.Петровский В.В. Организация спортивной тренировки. - Киев: Здоров'я, 1978.-96с.
111.Платонов В.А. Программированная физическая подготовка юных баскетболистов 11-16 лет: Автореф. дис. канд. пед. наук. - М., 2001. - 24 с.
112.Платонов В.Н. Современная спортивная тренировка. - Киев: Здоров'я, 1980.-336с.
ПЗ.Палтонов В.Н. Теория и методика спортивной тренировки. Киев: Вища школа, 1984 - 336 с.
114.Платонов В.Н. Подготовка квалифицированных спортсменов. - М.: Физкультура и спорт, 1986. - 288 с.
115.Платонов В.Н. Адаптация в спорте. - Киев: Здоров'я, 1988. - 216 с.
116.Платонов В.Н., Сахновский К.П. Подготовка юного спортсмена. - Киев: Радяньска школа, 1988. - 288 с.
117. Подготовка молодого футболиста / Под ред. Я. Палфаи. - М.: Физкультура и спорт, 1973.- 148с.
118.Программирование учебно-тренировочного процесса в спортивных играх: Сборник научных трудов / ГЦОЛИФК им. Лесгафта. - Л., 1988. - 277 с.
119.Родионов А.В. Психодиагностика спортивных способностей. - М.: Физкультура и спорт, 1973. - 203 с.
120.Романенко А.Н., Джус О.Н., Дагадин М.Е. Книга тренера по футболу. - Киев: Здоров'я, 1988. - 250 с.
121.Савин С.А. Футболист в игре и тренировке. - М.: Физкультура и спорт, 1975.- 108с.
122.Система подготовки спортивного резерва / Под ред. Никитушкина В.Г. - М., 1994.-316с.
123.Скоморохов Е.В. Комплексный контроль и методы совершенствования специальной подготовленности высококвалифицированных футболистов: Автореф. дис... канд. пед. наук. - Малаховка, 1980. - 24 с.
124.Соломонко О.В. Тренировка вратаря в футболе. - Киев: Здоров'я, 1986. - 128с.
125.Сухачев С.Г. Индивидуализация развития скоростно-силовых качеств юных футболистов 15-16 лет с учетом периодических изменений их функциональной готовности: Автореф. дис... канд. пед. наук. - Л., 1989. - 22с.
126.Сучилин А.А. Теоретико-методологические основы подготовки резерва для профессионального футбола : Автореф. дис... док. пед. наук в виде научного доклада. - Волгоград, 1997. - 74 с.
127.Теория и методика физической культуры (курс лекций): Учебное пособие / Под ред. Ю.Ф. Курамшина, В.И. Попова. - СПб, 1999. - 324 с.
128.Тюленьков С.Ю. "Адаптационный барьер" и пути его преодоления в системе управления подготовкой футболистов // Научные труды ВНИИФК за 1996 г. - М., 1997. - с. 369-372.
129. Тюленьков С.Ю., Губа В.П., Прохоров А.В. Теоретико-методические аспекты подготовки футболистов // Учебное пособие. - Смоленск, 1997. - 116с.
130.Удалов А.А. Методика подготовки вратарей // Юный футболист. - М., 1974.-с. 101-110.
Фокин Е.В. Игра вратаря. - М.: Физкультура и спорт, 1967. - 85 с.
131.Фарфаль B.C., Коц Я.М. Физиология человека (с основами биохимии). - М.: Физкультура и спорт, 1970. - 343 с.
132.Фарфель B.C. Двигательные способности // Теория и практика физической культуры. - 1977. - № 12. - с. 93-102.
133.Филин В.П., Фомин Н.А. Основы юношеского спорта. - М.: Физкультура и спорт.- 1980.-255с.
134.Футбол: Учебная программа для спортивных школ. - М., 1881. - 118 с.
135.Футбол. Поурочная программа для учебно-тренировочных групп. - М., 1985.-116с.
136.Футбол. Поурочная программа для учебно-тренировочных групп и групп спортивного совершенствования ДЮСШ и СДЮШОР. - М., 1986. - 261 с.
137.Хачатурян С.Т. Индивидуально-тактическая подготовка вратарей на основе активизации движений футболистов: Автореф. дис... канд. пед. наук. - М., 2000. - 23 с.
138.Хайдайрлиу СХ. Функциональная биохимия адаптации. - Кишинев, 1984. - 265с.
139.Хрущев С.В., Круглый М.А. Тренеру о юном спортсмене. - М.: Физкультура и спорт, 1982. - 195 с.
140.Чебан М.В. Рациональное построение тренировочного этапа преимущественно скоростно-силовой направленности в соревновательном периоде подготовки футболистов высокой квалификации: Автореф. дис... канд. пед. наук. - М., 1989. - 22 с.
141. Шамардин А.И. Исследование игровой деятельности вратаря в футболе и экспериментальное обоснование методики подготовки: Автореф. дис... канд. пед. наук. - М., 1979. - 15 с.
142.Шамардин В.Н. Исследование физических нагрузок юных футболистов (15-17 лет) в годичном цикле тренировки: Автореф. дис. канд. пед... наук. -М., 1980.-21 с.
143.Шамардин А.И. Содержание технико-тактических действий вратарей в условиях игры и тренировки // Футбол: Ежегодник. - М., 1983. - с 48.
144.Шамардин А.И. Технология оптимизации функциональной подготов ленности футболистов: Автореф. дис... док. пед. наук. - М., 2000. - 50 с.
145.Шахов Ш.К. Индивидуально-программированная физическая подготовка в видах спорта группы единоборств: Автореф. дис... док. пед. наук. - М., 1998.-52 с.
146.Шестков М.М. Индивидуализация учебно-тренировочного процесса в командных спортивных играх: Автореф дис... канд. пед. наук. - М., 1992. - 44с.
147.Ченегин В.М. Физическое развитие и половое созревание юных спортсменов. - Волгоград, 1988. - с. 39-40.
148.Чулибаев Д.В., Скоморохов Е.В., Тюленьков С.Ю. Тренировочные микроциклы скоростно-силовой направленности в подготовке юных футболистов: Методические рекомендации. - 1996. - 24 с.
149.Юный футболист: Учебное пособие для тренеров / Под ред. А.П. Лаптева, А.А. Сучилина. - М.: Физкультура и спорт, 1983. - 225 с.
150.Ясер Абделазим Салем. Скоростно-силовая подготовка юных футболистов учебно-тренировочных групп спортивных школ (3-4 года обучения): Автореф. дис. канд. пед. наук. - М., 1989. - 23 с.
Похожие рефераты:
Скоростно-силовая подготовка юных футболистов в возрасте 15-17 лет
Основные вопросы физического воспитания и физической культуры
Основы дозирования физической нагрузки школьников
Влияние агрессивных видов спорта на личность спортсмена
Особенности строения сердца спортсменов
Самооценка спортсменов и ее коррекция средствами самопознания
Структура силовой подготовленности пловцов высокой квалификации на этапе базовой подготовки
особенности скоростно-силовой подготовки дзюдоистов 14 лет
Методика развития силовых качеств учащихся старших классов по национальным прыжкам