| Скачать .docx |
Курсовая работа: Курсовая работа: Практичне застосування фоторефрактивного ефекту
ПРАКТИЧНЕ ЗАСТОСУВАННЯ ФОТОРЕФРАКТИВНОГО ЕФЕКТУ
ЗМІСТ
ВСТУП
1. ФОТОРЕФРАКТИВНИЙ ЕФЕКТ ТА УМОВИ ЙОГО СПОСТЕРЕЖЕННЯ
1.1 Фоторефрактивні кристали
1.2 Фоторефрактивний ефект
1.3 Умови спостереження фоторефрактивного ефекту
2. ГОЛОГРАФІЧНА ІНТЕРФЕРОМЕТРІЯ
2.1 Двохекспозиційна голографічна інтерферометрія
2.2 Голографічна інтерферометія в реальному часі
2.3 Голографічна інтерферометія за допомогою двох довжин хвиль
2.4 Голографічна інтерферометія з усередненнямучасі
3. АДАПТИВНІ ІНТЕРФЕРОМЕТРИ НА ОСНОВІ ФРК
3.1 Ефект енергообміну фазомодульованих світлових пучків
3.2 Практичні застосування і експериментальні дослідження адаптивних інтерферометрів на основі ФРК
4. ОБЕРНЕННЯ ХВИЛЬОВОГО ФРОНТУ В НЕЛІНІЙНІЙ ОПТИЦІ
4.1 Поняття про обернену хвилю
4.2 Практичне використання ОХФ
4.2.1 Двохпровідний підсилювач
4.2.2 Резонатори з ОХФдзеркалом
4.2.3 Компенсація спотворень зображення в світловоді
4.2.4 Автофокусування випромінювання
ВИСНОВКИ
ЛІТЕРАТУРА
ВСТУП
Явище фоторефракції було виявлене в 1966 р. при вивченні проходження достатньо потужного лазерного променя через електрооптичні кристали LiNbO3 , LiTaO3 і деякі інші. Виявилось, що під дією лазерного світла, освітлюючого окрему ділянку зразка, відбувалася локальна зміна показника заломлення кристала. Це приводило до спотворення хвильового фронту променя. Таким чином, промінь світла псував до цього високу оптичну якість кристала — з'являлася неоднорідність показника заломлення в освітленій ділянці, що послужило приводом для первинної назви ефекту optical damege (оптичне пошкодження). Проте незабаром звернули увагу і на важливі позитивні сторони ефекту. З'явилися пропозиції про його практичне використання, і почалося його інтенсивне дослідження. Надалі саме явище все частіше почало називатися ефектом фоторефракції. Оскільки при фоторефракції зміна показника заломлення є оборотною, то фоторефрактивні кристали почали розглядатися як реверсивні світлочутливі середовища. Це виявилося цінною знахідкою для вчених-оптиків, які займалися голографією і оптичною обробкою інформації. З іншого боку, вивчення природи явища фоторефракції виявилося цікавим для фізиків — фахівців в області фізики твердого тіла, напівпровідників, когерентної оптики.
Фізична суть ефекту полягає в тому: що падаючий на кристал промінь світла порушує в освітленій області фотоелектрони, які в результаті дифузії або дрейфу в прикладеному електричному полі (або за рахунок фотовольтаїчного ефекту) йдуть з освітленої області. Потім ці електрони захоплюються в пастки в неосвітлених ділянках кристала. В результаті утворюється просторово неоднорідний розподіл заряду, а отже, і електричного поля усередині зразка. Оскільки в розглядуваних кристалах наявний електрооптичний ефект (їх показники заломлення залежать від електричного поля), то в кристалі з'являється неоднорідний розподіл показника заломлення. Таким чином, відбувається запис зображення. З цієї моделі безпосередньо слідує ряд ключових питань, створюючих загальну-проблему фізики фоторефрактивних середовищ.
1. Природа світлочутливих центрів, які поглинаютьсвітло і породжують рухомі носії заряду (у переважній більшості випадків електрони).
2. Процесиформування просторово неоднорідногооб'ємного заряду (дифузія і дрейф носіїв, релаксація об'ємного заряду, вплив поля самого заряду на процес йогоформування).
3. Електрооптичні ефекти в неоднорідному електричномуполі; виникнення просторових варіацій показника заломлення, що відображають характер розподілу заряду в кристалі.
4. Розповсюдження і дифракція світла в кристалах з неоднорідним розподілом показника заломлення
Нарешті самостійний інтерес представляє питання про практичні застосування фоторефрактивних середовищ і конкретних пристроїв обробки інформації і управління лазерним випромінюванням за допомогою розглядуваних кристалів. У цьому аспекті вивчаються функціональні властивості фоторефрактивних середовищ, а також передавальні характеристики, чутливість, динамічний діапазон, швидкодія і ін.
Саме питання про практичне застосування фоторефрактивного ефекту розглядається в даній курсовій роботі.
1. ФОТОРЕФРАКТИВНИЙ ЕФЕКТ ТА УМОВИ ЙОГО СПОСТЕРЕЖЕННЯ
1.1 Фоторефрактивні кристали
Фоторефрактивні кристали характеризуються наявністю досить сильного лінійного електрооптичного ефекту (ефекту Поккельса), тобто зміни показника заломлення δn=-n0 3 rE0 /2, де r- електрооптичний коефіцієнт, Е0 - напруженість статичного поля, n0 - показник заломлення. Сюди відносяться сегнетоелектрики Sn2 P2 S6 , LiNbO3 , LiTaO3 , BaTiO3 і інші, напівпровідники CdS, CdTe, Bi12 SiO20 , Bi12 GeO20 і т.д.Домішки, які є в кристалах, під дією світла можуть іонізуватися, тобто віддавати електрони в зону провідності, і в результаті виникає зміна показника заломлення. З великого числа різних механізмів розглянемо так званий дифузійний механізм.
В момент іонізації макроскопічна густина заряду не виникає, оскільки заряд електронів точно компенсується позитивним зарядом іонізованих домішок. Але завдяки великій рухливості електрони швидко починають дифундувати від місця збудження, а іони залишаються на місці. В результаті спільної дії просторово неоднорідного збудження і дифузії електронів в напрямку областей з меншою інтенсивністю виникає неоднорідний розподіл об'ємного заряду і, як наслідок, неоднорідне статичне поле, яке через ефект Поккельса модулює показник заломлення.
Дещо інший механізм фоторефрактивного (ФР) відгуку реалізується, якщо на кристал накладено досить сильне статичне електричне поле Е0 . Це поле відносить електрони від позитивних іонів і тим самим створює просторову неоднорідність заряду, поля і показника заломлення.
Цікава властивість ФР середовищ полягає в тому, що в деяких випадках записувані в них динамічні голограми запам'ятовуються на тривалий час при вимиканні дії на них. Записану інформацію можна потім стерти, наприклад, тепловою дією або однорідною засвіткою кристалу.
Ще одна специфічна особливість ФР нелінійності полягає в досить сильній анізотропії коефіцієнта r. Так, у випадку коли хвильовий вектор ФР гратки направлений вздовж оптичної осі в LiNbO3 , коефіцієнт r33 приблизно в 5 разів більший, ніж r22 при орієнтації цього вектора поперек осі.
1.2 Фоторефрактивний ефект
ФР ефект – це зворотня зміна показника заломлення Dn в об’ємі кристалу, як всередині світлового пучка, так і в прилеглих областях. Величина цієї зміни для деяких матеріалів досягає 10-4 – 10-3 (LiNbO3 , LiTaO3 ), час пам’яті ефекту коливається в межах від мілісекунд (ВаТіO3 ) до місяців (LiNbO3 ) [3]. Цю зміну показника заломлення можна стерти шляхом нагріву, однорідного освітлення чи прикладанням сильного електричного поля.
В основному ФР ефект обумовлений наявністю дефектів, що приводять до виникнення в забороненій зоні додаткових рівнів, які виступають як донори або акцептори зарядів. При наявності світла носії заряду (електрони, дірки або ті й інші разом) збуджуються у відповідну зону, де вони дрейфують, дифундують, і знову захоплюються домішками [1,3]. Іншим можливим механiзмом переносу являється активоване свiтлом тунелювання, тобто перескакування iз пастки на пастку.
Яким би не був транспортний механізм, якщо ж кристал опромiнюється неперервно, то в кiнцi – кiнцiв фотоіндуковані носії заряду перерозподiляються у відповідності з розподілом інтенсивності світлового поля. Коли свiтло виключається, то заряди частково залишаються локалізованими (якщо в темнотi кристал є добрим дiелектриком), тобто локалiзованi носiї заряду “запам’ятовують” свiтлову картину.
Iснують деякi загальнi умови, необхiднi для спостереження ФР ефекту: по-перше, для одержання помiтної величини в дослiджуваних кристалах повиннi бути досить великi електрооптичнi коефiцiєнти. Оскiльки ефект має об’ємний характер, необхiдно, щоб довжина хвилi фотозбудження розташовувалась достатньо далеко вiд краю власного поглинання. Тому при дослiдженнi ФР ефекту, його спостерiгають, як правило, в досить широкозонних матерiалах; в якості джерела освiтлення використовують, найчастіше, Не-Nе- (0.6328 мкм) або Ar - (0.448 мкм) лазери. ФР ефект не потребує когерентностi збуджуючого свiтла, а основною умовою помiтної змiни dn являється достатньо висока енергiя випромiнювання. Значення dn залежить також вiд тривалостi експозицiї [1, 3].
Величина зміни показника заломлення під впливом електричного поля Е може бути визначена, використовуючи слідуюче співвідношення:

(1.1)
де rji – електрооптичний коефіцієнт.
Запис голограми здійснюється внаслідок об’ємної модуляції Dn, яка відповідає модуляції інтерференційної картини.

Рис.1.1 Схематичне зображення виникнення зсуву ФР гратки f відносно смуг інтерференційної картини при дифузійному механізмі формування гратки.
На рисунку: I(x), r(x), ESC (x), Dn(x)– просторові розподіли інтенсивності світлового поля інтерференційної картини, фотоіндукованого заряду, електричного поля та зміни показника заломлення, відповідно; f- фазовий зсув між смугами інтерференційної картини та граткою показника заломлення Dn.
Таким чином, інтерференційна картина у фоторефрактивному середовищі приводить до появи світлоіндукованого поля просторового заряду Еsc , яке може досягати декількох кВ/см2 . Домінування дифузії в цьому процесі приводить до фазового зсуву просторового розподілу поля Еsc відносно інтерференційної картини, з максимумами в точках, де градієнт заряду максимальний.
1.3 Умови спостереження фоторефрактивного ефекту
Необхідними умовами для фоторефрактивного ефекту в електрооптичних кристалах є:
1. Фоточутливість на даній довжині хвилі.
2. Існування центрів локалізації заряду.
3. Достатньо висока рухливість фотозбуджених носіїв.
Так, в LiNbO3 , легованому залізом, стани Fe2+ є заповненими електронними пастками, а Fe3+ - іонізованими донорами, і поля просторових зарядів виникають завдяки просторовому перерозподілу двох-валентних станів.
Величини світлової енергії, необхідні для збудження фоторефракції, мають порядок 1÷102 Дж/см2 , тобто можуть бути забезпечені звичайними лазерними джерелами. Спостерігається значна відмінність величини фоторефракції в різних матеріалах. В одному й тому ж матеріалі ефект суттєво залежить від довжини хвилі збуджуючого світла і температури, а також від таких факторів, як якість кристалів, характер і концентрація домішок. Відзначалася залежність величини фоторефракції від попереднього опромінення рентгенівськими або гаммапроменями.
Фоторефрактивний ефект можна використовувати для оптичного запису інформації в твердому тілі. В залежності від вибору матеріалу таке середовище може бути або реверсивним, або володіти властивістю довготривалої пам’яті. З другого боку, в ряді випадків фоторефрактивний ефект може виявитися лімітуючим фактором для багатьох застосувань. Наприклад, при експлуатації електрооптичних і нелінійних оптичних пристроїв у ряді випадків необхідно обмежувати величину інтенсивності вхідного світлового пучка, оскільки кристали, які використовуються в цих пристроях, при великих інтенсивностях світла можуть виявляти фоторефрактивний ефект, що приводить до нестійкості робочих характеристик.
2.ГОЛОГРАФІЧНА ІНТЕРФЕРОМЕТРІЯ
Голографічнаінтерферометрія (див. монографії [4—7] вданийчасєоднимзнайважливішихметодівдистанційногонеруйнівноготестуваннявнайрізноманітнішихобластяхпромисловості, науки, вмедициніітакдалі. Вона заснована на порівнянні двох або декількох хвильових фронтів, зяких принаймні один євідновленим з голограми. Відзначимо, що саме застосуванняголографічних методів запису дозволяє інтерферометрувати складні хвильові фронти, у тому числі і відбиті від реальних (не модельних) дифузно розсіюючих об'єктів.
Максимальна точність вимірювань, які виконуються методами голографічної інтерферометрії, може досягати субмікронного рівня. Вона великою мірою визначається використовуваним методом інтерпретації інтерферограми [5], а також точністю визначення положення інтерференційних смуг. Так, при стандартній погрішності таких вимірювань в 0.5—0.1 ширини смуги і при урахуванні того, що зсувсмуги на свою ширину відбуваєтьсяпри зсувівідбивючої тестованої поверхні на відстань приблизно λ/4, характерна точність методу при λ = 633 нм складає приблизно 0.1÷0.02мкм.
Перші успішні спроби використання ФРК для цілей голографічної інтерферометрії послідували відразу за виявленням високочутливого запису в Bi12 SiO20 (BSO) [8]. Даний кристал і по теперішній час залишається одним з найбільш перспективних для таких застосувань. Застосування ФРК в системах голографічної інтерферметрії найдоцільніше в тих випадках. коли проводиться швидкий якісний контроль виробів при поточному виробництві, безперервному спостереженні за об'єктами або процесами, а також при необхідності контролю їх поведінки під дією низки зовнішніх чинників (температури, навантажень, частоти збудження і т. д.) з метою виявлення екстремальних ситуацій. Саме у подібних завданнях такі найважливіші особливості ФРК, як можливість роботи в безперервному режимі або в циклічному режимі з високою швидкістю повторення за відсутності яких-небудь процедур обробки і скільки-небудь помітної деградації самого ФРК, можуть виявитися вирішальними.
2.1 Двохекспозиційна голографічна інтерферометрія
Суть даної методики полягає в послідовній імпульсній реєстрації на одній і тій же ділянці фоточутливого середовища двох голограм одного і того ж об'єкту (рис. 2.1, а). В результаті освітлення подібної складної суперпозиційної голограми початковим опорним пучком відновлюється зображення об'єкту, покрите мережею інтерференційних смуг. У їх розташуванні, орієнтації, частоті полягає інформація про зміни, що відбулися з об'єктом за час Δt між експозиціями, отримання якої і є основною метою даного експерименту.
Дешифровка результуючої ітерферограми, тобто виявлення реальних змін, що відбулися з об'єктом, є окремим і часто вельми складним завданням. Дещо спрощуючи, можна говорити, що у випадку відбиваючого об'єкту, світлі смуги на відновленому зображенні локалізовані на тих його ділянках, які або зовсім не змістилися, або змістилися на величини, кратні λ/2, вздовж так званих напрямків максимальної чутливості (рис. 2.1). Темні ж смуги при. цьому відповідають ділянкам, що змістилися на відстань λ/4 (2L + 1) (L— будь-яке ціле число), де спостерігається когерентне віднімання амплітуд хвильових полів, відновлених з двох послідовно записаних голограм.
Двохекспозиційні ітерферограми теплових потоків над працюючою радіоелектронною схемою і прозорих пластмасових; моделей під навантаженням (рис. 2.1, б, в) були отримані в [9,10] при використанні кристала BSO.


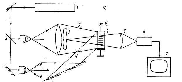
Рис.2.1. Схема установки для двохекспозиційної голографічної інтерферометрії прозорих об'єктів (а) і типові двохекспозиційні голографічні-ітерферограми прозорих об'єктів, отримані в [9,10] при запису в кристалах BSО (б,в).1- лазер, 2- світоподільник, 3- спостережуваний об'єкт, 4 — зразок взірець ФРК, 5 — проектуюча лінза, 6 — видікон, 7 — монітор.
Найважливішою особливістю ФРК, яку необхідно враховувати в подібних експериментах, є динамічний характер записуваних голограм. Прочитування подібної двохекспозиційної голограми опорним пучком на тій же довжині хвилі неминуче призведе до її оптичного стирання. Тому для подовженнячасу спостереження відновленого зображення потрібне або ослаблення інтенсивності зчитуючого пучка, або використання запису телевізійного зображення.
Стираюча дія позначається не тільки в процесі зчитування, але і протягом запису другої з голограм. Стиранню в даному випадку піддається перша раніше записана голограма. Тому для досягнення максимального контрасту інтерференційних смуг перша голограма повинна записуватися до амплітуди, близько в два рази більшої, ніж друга. При роботі на початковій ділянці запису, де амплітуда голограми у ФРК пропорційна часу запису, це фактично означає приблизно подвоєну величину експозиції при запису першої голограми [9,10].
2.2 Голографічна інтерферометія в реальному часі
При використанні даної методики проводиться імпульсний запис одної єдиної голограми спостережуваного об'єкту в деякий початковий момент часу tо . Далі проводиться спостереження об'єкту, що освітлюється початковим світловим пучком, через голограму, що освітлюється опорною хвилею (рис. 2.2). В результаті за площиною голограми відбувається інтерференція реальної об'єктної хвилі, що відбилася або пройшла через об'єкт в даний момент часу t, і відновленої з голограми хвилі, відповідаючої стану об'єкту у момент часу tо . Аналогічно випадку двохекспозиційної голограми, спостерігач бачить об'єкт, покритий мережею інтерференційних смуг, які відображають різницю між станами об'єкту в моменти часу tо і t. Очевидно, що за наявності стійкої голограми і незмінних умовїї (а також об'єкту) освітлення є можливість спостерігати безперервні зміни стану об'єкту в часі, з чим зв'язана назва методу.

Рис. 2.2. Схема установки для отримання голографічних інтерферограмм прозорих об'єктів в реальному часі».
1 — спостережуваний об'єкт, 2 — зразок ФРК, 3 — вихідна площина;пунктирі лінії показують світловий пучок, відновлений з голограми
Використання ФРК як фото чутливого середовища не дозволяє реалізувати дану методику голографічної інтерферометії в чистому вигляді. Дійсно, безперервне відновлення голограми, записаної у ФРК, рано чи пізно приведе до стирання її початкового стану, що, природно, накладає обмеження на максимально можливу тривалість спостереження за об'єктом. Більш того, при одночасному розповсюдженні через ФРК об'єктної хвилі в його об'ємі за відсутності спеціальних засобів застереження додатково записуватимуться голограми всього набору станів за час спостереження об'єкту через голограму. Проте ця методика простіша і швидша, ніж двохекспозиційна.
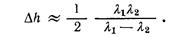
2.3 Голографічна інтерферометія за допомогою двох довжин хвиль
На відміну від розглянутих вище дана методика призначена для контролю рельєфу поверхні і точності позиціонування спостережуваних об'єктів. Інтерферограмма тут також двохекспозиційна, проте голограми записуються не в різні моменти часу, а на різних довжинах хвиль λ1 і λ2 , близьких по величині |λ1 - λ2 | << λ1 , 2 (рис. 2.3, а). Відновлення інтерферограмм здійснюється на одній з довжин хвиль λ1 або λ2 . В результаті інтерференції двох хвильових фронтів, відновлюваних з двох вказаних голограм, відбувається порівняння фазових рельєфів одного і того ж об'єкту, але взятих в різному масштабі. Відновлене зображення буде покрито системою смуг, що відповідають рельєфу поверхні: центр кожної світлої або темної смуги відповідає точкам, що залягають на однаковій глибині щодо плоского хвильового фронту, освітлюючого об'єкт. Перехід з однієї темної смуги на поряд лежачу означає зсув по глибині об'єкту на величину:
(2.1)

Рис. 2.3. Схема установки для голографічної інтерферометії з двома довжинами хвиль, дифузно розсіюючих об'єктів (а) і приклад інтерферограмми рельєфу монети (б, в).А1 (λ1 , λ2 — освітлюючий світловий пучок 1 — спостережуваний об'єкт, 2 — зразок ФРК. 3 — світлодільник, 4 — вихідна площина.
Основні особливості використання ФРК в даній методиці не відрізняються від перерахованих вище для двохекспозиційної голографічної інтерферометії. На рис. 2.3, б приведений результат відновлення двоххвилевої голографічної інтерферограмми поверхні монети.
2.4 Голографічна інтерферометія з усередненняму часі
Дана методика застосовується для контролю просторового розподілу амплітуди коливання вібруючих об'єктів. Голограма в цьому випадку записується протягом достатньо тривалого відрізку часу Δt >> f-1 де f — частота вібрації тестованого об'єкту. При відтворенні подібної «усередненої» за часом голограми відновлюється зображення початкового об'єкту, покрите системою смуг різної яскравості. Найбільш яскраві смуги на відновленому зображенні відповідають лініям нульових коливань (вузловим лініям) на картині розподілу коливань по об'єкту. Очевидно, що для цих областей голографічний запис протікає оптимальним чином, оскільки інтерференційні структури, записувані на голограмі в протягом часу Δt, виявляються нерухомими.
Використання ФРК всхемі голографічної інтерферометії з усередненням в часі для цілей голографічної віброметрії виявляється найбільш природним. В даному випадку можливість безпосереднього відновлення голограми в процесі її запису у ФРК являється найважливішою перевагою. Воно дозволяє безперервним чином візуально (або на екрані монітора) контролювати зміну просторового розподілу амплітуди коливань по об'єкту при зміні частоти збудження f її інтенсивності, а також інших чинників: температури, зовнішнього навантаження, змін в конструкці і так далі Відзначимо, що характерним часом усереднювання Δt при подібній безперервній методиці є час запису-стирання голограми у ФРК τsc .
Розглянемо один з методів відновлення усереднених в часі голограм, що формуються у ФРК неперервним чином. Перший з них полягає у використанні додаткової світлової хвилі R2 , що зчитує голограму. Вона розповсюджується строго назустріч плоскій опорній хвилі R1 , що бере участь в записі голограми (рис. 2.4, а) [13, 14], що фактично означає перехід до геометрії 4-хвильової взаємодії. Відновлена світлова хвиля S2 є комплексно-зв'язаною по відношенню до записуваної сигнальної хвилі S1 і тому формує дійсне зображення об'єкту. Для просторового рознесення об'єкту і його відновленого зображення використовується напівпрозоре дзеркало, поміщене між голографіруємим об'єктом і фоторефрактивным зразком.

Рис. 2.4 Схемабезперервноговідновленняголографічноїінтерферограммизусередненнямвчасізвикористаннямзустрічнонаправленогозчитуючогопучка R2 [13, 14] (а) іголографічнаінтерферограммадифузора, щоколиваєтьсянарізнихчастотах (б, в).
1 — вібруючий об'єкт, 2 — зразок ФРК, 3 — світлодільник, 4 — відікон, 5 — монітор.
У роботі розглянуто два дещо різних варіантів такої схеми: з плоским дзеркалом, що відбиває назад пучок R1 після проходження ним кристала, і з незалежно формованим зчитуючим пучком R2 . Перша з них простіша по конструкції і, відповідно, легша в юстируванні, проте накладає жорсткіші вимоги на фазову однорідність кристала і плоскопараллельність його граней. Друга, складніша, допускає отримання оптимального співвідношення між інтенсивністю записуючих і зчитуючих світлових пучків (ISl + IR 1 ≈ IR 2 ), внаслідок чого інтенсивність відновленої інтерферограмми при її використанні виявляється приблизно в 2 рази більшою.
Типовий приклад інтерферограмми вібруючого дифузора, отриманої в, приведений на рис. 2.4, б, в.
3. АДАПТИВНІ ІНТЕРФЕРОМЕТРИ НА ОСНОВІ ФРК
Строго кажучи, термін «адаптивна» в певному значенні може застосовуватися і до звичайної голографічної інтерферометрії, заснованої на використанні стандартних нединамічних фоточутливих середовищ, наприклад звичайних фотоматеріалів. Дійсно, вона дозволяє компенсувати складний рельєф об'єкту, що тестується (тобто адаптуватися до нього) і отримувати інформацію виключно про зміни, що відбулися з ним. У випадку фоторефрактивних кристалів ми матимемо справу з безперервною адаптацією до відносно повільних змін форми хвильового фронту. Як буде показано нижче, це необхідно для оптимальної реєстрації швидких його коливань. Таким чином, очікувані застосування подібної методики лежать в області віброметрії, інтерферометричних .датчиков що швидко змінюються в часі або коливальних процесів і т, д.
Поява цього важливого напряму голографічної інтерферометії практично повністю пов'язана з розробкою і впровадженням високочутливих ФРК.
3.1 Ефект енергообміну фазомодульованих світлових пучків
Нехай зразок ФРК освітлюється інтерференційною картиною двох пересікаючихся плоских когерентних світлових пучків однакової інтенсивності, один з яких промодульований по фазі з деякою частотою Ω (рис. 3.1, а). У випадку, якщо частота коливань значно більша зворотного характерного часу формування голограми у ФРК за даних умов його освітлення (Ω >> τsc -1 ), голограма не встигає «відстежувати» переміщення інтерференційної картини. Проте вона відображає основний ефект, що полягає в перетворенні початкової фазової модуляції одного із світлових пучків на вході ФРК в амплітудну на його виході.
Очевидно, що в іншому граничному випадку при Ω << τsc -1 динамічна фазова голограма встигає відстежувати зсуви інтерференційної картини, тобто адаптуватися до неї. Амплітуда голограми і величина фазового зсуву між гратками і картиною виявляються практично не залежними від часу і співпадають зі своїми стаціонарними значеннями. Якщо проводити аналогію з напівпрозорим дзеркалом, використовуваним зазвичай для спостереження биття між двома лазерними пучками, то в даному випадку ми маємо справу з багатошаровим інтерференційним дзеркалом. Останнє, проте, володіє тією важливою властивістю, що положенння і форма його відзеркалювальних поверхонь, відстежуючи зсув смуг інтерференційної картини, тим самим підтримує величину фазового зсуву між пучками S(d) і R(d)), що інтерферують, на виході схеми постійною. Фактично це і приводить до того, що за наявності достатньо повільної фазової модуляції в одному з вхідних пучків світла інтенсивність вихідних пучків підтримується практично на постійному рівні.

Рис. 3.1 Адаптивний інтерферометр на основі ФРК (a) і його передавальна характеристика (тобто залежність амплітуди вихідного сигналу IR Ω від частоти модуляції F=Ω/2π (б). а: 1 — елемент, в якому здійснюється фазова модуляція снгнального пучка; 2 — зразок ФРК; 3 — фотодетектор, що перетворює модуляцію інтенсивності світлового пучка в електричний сигнал UΩ .
Докладніший аналіз показує, що за наявності: чисто релаксаційного характеру процесу запису-стирання фазової голограми передавальна характеристика подібного адаптивного перетворювача фаза—амплитуда
(3.1)
Тобто вона співпадає з передавальною характеристикою звичайного радіотехнічногоRС-кола з постійною часу RC, рівною τsc .
3.2 Практичні застосування і експериментальні дослідження адаптивних інтерферометрів на основі ФРК
Перш за все слід вказати, що розглянутий ефект «динамічної» самодифракції інтерференційної картини, що коливається, є гарним способом досліджень ФРК [16 -19] і інших динамічних голографічних середовищ. Він вельми простий в юстируванні, не вимагає додаткових зчитуючих пучків і дозволяє визначати як амплітуду гратки і кут фазового розузгодження φ, так і характерний час її запису.
Вперше пропозиція по використанню динамічних голограм у ФРК для цілей адаптивної інтерферометії у волоконно-оптичних датчиках була зроблена в [19]. Автори цієї роботи вказали, що пропонована методика дозволяє використовувати в плечах інтерферометра багатомодові оптичні волокна, значно спростити юстування вихідного вузла інтерферометра, а також забезпечити придушення повільних змін в інтерференційній картині, пов'язаних із зміною зовнішніх умов. Дійсно, у високочутливих волоконно-оптичних датчиках з великою довжиною плечей (102 —103 м) саме повільний дрейф фазової затримки між плечима інтерферометра через зміну температури або тиску може досягати значної величини (≥103 рад) [20]. Через істотно нелінійний режим роботи фотоприймача при вказаній величині випадкового фазового зрушення спектр корисного високочастотного сигналу розширюється. Використання динамічної голограми дозволяє компенсувати вказаний повільний дрейф фазової затримки і пропустити практично без ослаблення корисний сигнал в діапазоні -частот Ω≥τsc -1 .
4. ОБЕРНЕННЯ ХВИЛЬОВОГО ФРОНТУ В НЕЛІНІЙНІЙ ОПТИЦІ
4.1 Поняття про обернену хвилю
Явище інверсії подій в часі має свою аналогію в когерентній оптиці. Нехай лазерний пучок, проходячи через середовище з нерегулярними неоднорідностями показника заломлення, зазнає розсіювання в різних напрямках. Якщо б нам вдалося повернути час назад, то ми побачили б як розбіжний світловий пучок підходить до неоднорідного середовища і, проходячи через нього, “виправляється” до ідеально направленого. В оптиці таку процедуру (інверсія часу) можна здійснити реально.
Існують дві сприятливі обставини реалізації цієї інверсії. По-перше, в лінійній оптиці прозорих середовищ, як геометричній, так і хвильовій, справедливий принцип часової інверсії: рівняння Максвела залишаються інваріантними при заміні знаку часу. Тому для будь-якого розв’язку хвильового рівняння, наприклад для пучка, розсіяного неоднорідним середовищем дійсно існує “обернений” розв’язок того ж рівняння.
По-друге, в оптиці був запропонований і реалізований цілий ряд методів створення оберненої хвилі. В когерентній оптиці дійсно вдається задати такі положення і напрямки, амплітуди і фази елементарних променів, щоб надалі в деталях відтворити поширення оберненої хвилі. Це вдається зробити в тому числі і тому, що когерентний лазерний пучок володіє відносно малим числом ступенів вільності (осциляторів поля), “узагальнені швидкості” яких треба обернути.
Хвильовим фронтом називається гіпотетична поверхня (або сімейство поверхонь), яка визначається умовою постійності фази коливань j(R)=const. Нормалі до цієї поверхні співпадають з променями, які характеризують локальний напрямок хвиль. Пряма і обернена хвилі мають в точності співпадаючі поверхні хвильового фронту, jоб (R)=-const, і поширюються точно назустріч одна одній. У зв’язку з цим операцію отримання оберненої хвилі називають “оберненням хвильового фронту” (ОХФ).
4.2 Практичне використання ОХФ
4.2.1 Двохпровідний підсилювач
Важливою задачею лазерної техніки є створення потужних малорозбіжних пучків. Для підвищення потужності пучка часто використовують оптичний підсилювач. Нажаль, високий енерговихід майже завжди супроводжується значним погіршенням структури випромінювання через оптичні неоднорідності в робочому середовищі підсилювача. Методи ОХФ дозволяють здійснити самокомпенсацію спотворень, які вносяться фазовими неоднорідностями підсилювача. При цьому компенсуються як статичні, так і динамічні (тобто ті які міняються від імпульсу до імпульсу або навіть на протязі імпульсу) спотворення. Двохпрохідна схема самокомпенсації представлена на рис.4.1 Нехай малопотужний, але малорозбіжний пучок спрямовується на вхід підсилювача з оптичними неоднорідностями. Підсилення пучка при першому проході одночасно збільшує його кутову розбіжність. Якщо пучок знов повернути в підсилювач, попередньо здійснивши ОХФ, то ця обернена хвиля, по-перше, додатково підсилиться. По-друге, що теж важливо, що неоднорідності, які на прямому проході спотворювали структуру пучка, при зворотному проході в точності компенсуються в оберненій і підсиленій хвилі. Якщо є два підсилювачі з однотипними неоднорідностями, то розглянуту схему можна модифікувати так, щоб другий прохід (після ОХФ) випромінювання здійснювало по другому підсилювачу.
4.2.2 Резонатори з ОХФдзеркалом
Якщо в розглянутій вище основній схемі підсилення за два проходи виявляється недостатнім, то можна скористатися схемою з великим числом пар проходів. Нехай частина якісного по структурі випромінювання, покращеного за кожну пару проходів, повертається назад в підсилювач за рахунок відбивання від звичайного дзеркала. Останнє разом з ОХФ дзеркалом утворюють оптичний резонатор.Цей резонатор може працювати як в режимі регенеративного підсилення вхідного сигналу, так і в режимі генерації від власних спонтанних шумів. Для отримання малорозбіжного випромінювання в режимі власної генерації тут, як і в лазері з звичайними дзеркалами, потрібна установка діафрагми, яка усуває генерацію вищих поперечних мод. Але використання ОХФ полегшує отримання вихідного пучка дифракційної якості, якщо в елементах резонатора присутні оптичні неоднорідності, завдяки ефекту самокомпенсації спотворень.
4 .2.3 Компенсація спотворень зображення в світловоді
Припустимо, що на вхід волоконного світловода подається зображення, яке переноситься когерентним монохроматичним променем з розподілом електричного поля в поперечному перерізі E0 (r). Це поле збуджує деяку кількість мод з різними поперечними індексами. В процесі поширення це зображення спотворюється через відмінності фазових швидкостей різних поперечних мод. Якщо випромінювання після проходження довільної довжини L обернути, то після зворотного проходу по світловоду отримаємо початкове зображення в результаті ефекту самокомпенсації. Точніше кажучи, отримаємо відновлене поле E2 (r)~E0 (r), яке дає те ж зображення, тобто картину інтенсивності I2 (r)~|E0 (r)|2 , що і у початкового поля. Дійсно, світловод без втрат можна розглядати в якості спотворюючого елементу. Більш того, якщо світловод ідеально однорідний (однаковий) по всій довжині, то зворотній прохід по тому ж світловоду можна замінити на еквівалентний йому прохід по другому світловоду тієї самої довжини L (рис.4.2).

Рис. 4.1 Двохпрохідна схема самокомпенсації спотворень підсилювача

Рис. 4.2 Схема компенсації спотворень, що вносяться оптоволокном
Тим самим передачу зображень по багатомодовому волоконному світловоду можна здійснити без спотворень, якщо використовувати дві послідовні ділянки світловода однакової довжини з операцією обернення або фазового спряження в проміжку між ними. Якщо ми хочемо відновити не тільки інтенсивність, але і поле, то після другого світловода слід встановити ще один фазоспряжуючий пристрій.
4.2.4 Автофокусування випромінювання
В задачі лазерного термоядерного синтезу (ЛТС) існує проблема фокусування потужних світлових імпульсів на мішень малих розмірів. В установках ЛТС треба одночасно вирішувати дві задачі: по-перше, створити потужний світловий імпульс з малою кутовою розбіжністю і, по-друге, точно сфокусувати його на мішень. Використання ОХФ можливе, передусім, для вирішення першої задачі. Але властивості оберненої хвилі дозволяють в принципі розв’язати обидві ці задачі одночасно. Відповідна схема приведена на рис. 4.3.
Імпульс допоміжного лазера невеликої потужності освітлює мішень М. Частина відбитого мішенню випромінювання попадає в апертуру силового лазера, проходить підсилювач і попадає на пристрій ОХФ. Обернена хвиля повторно підсилюється, причому на зворотному проході автоматично компенсуються спотворення, пов'язані як з неоднорідностями підсилювача, так і з недосконалостями виготовлення і юстування фокусуючої системи. В результаті випромінювання точно подається на мішень так, ніби ні в підсилювачі, ні в фокусуючій системі не існує ніяких спотворень. Більш того, при досить широкому пучку допоміжного лазера нема необхідності знати наперед положення мішені: треба лише, щоб освітлена мішень містилася в межах кута бачення ОХФ - системи. Розглянута схема носить назву “ОХФ - самонаведення”. Можлива також ситуація, коли система “мішень – підсилювач – ОХФ - дзеркало” без допоміжної підсвітки утворює своєрідний генератор з жорстким або м'яким режимом самозбудження.

Рис. 4.3 Схема ОХФ самонаведення (автофокусування)
Схема самонаведення працює і в тому випадку, коли на шляху між лазерною установкою і мішенню є значні фазові неоднорідності, наприклад атмосферні. В задачах лазерного зв'язку через атмосферу досить шкідливий вплив викликають турбулентні неоднорідності показника заломлення, які обмежують допустиму дистанцію зв'язку із-за нерегулярного відхилення променів. Схема, яка використовує ОХФ, могла б виглядати слідуючим чином. В тому місці, куди слід передати світловий сигнал, установлюють сигнальний лазер, направлений в бік передавача. Передавач обертає і підсилює сигнальну хвилю і вносить в неї інформацію, наприклад, шляхом модуляції по часу. Використання ОХФ - самонаведення корисно в двох відношеннях: по-перше, для автоматичного контролю правильного напрямку зв'язку, в тому числі при повільному переміщенні приймача і передавача, і, по-друге, для компенсації шкідливої дії неоднорідностей.
Як при самонаведенні, так і при зв'язку швидке відносне переміщення джерела і приймача приводить до ряду додаткових ефектів: повздовжнє переміщення з швидкістю v; - до допплерівського зсуву відбитого сигналу Δω/ω=2v; /с, а поперечне переміщення з швидкістю v^--до кутової похибки самонаведення α^ =2v^ /с. Методи ОХФ дозволяють компенсувати і навіть використовувати ці ефекти.
ВИСНОВКИ
1. При фоторефракції зміна показника заломлення є оборотною, фоторефрактивні кристали - реверсивні світлочутливі середовища. Що дозволяє використовувати фоторефрактивні кристали в динамічній гологарафії і в пристроях оптичної обробки інформації.
2. Фоторефрактивний ефект має багато різних застосувань деякі з яких розглянуто в даній курсовій роботі. Асаме:
− Голографічна інтерферометрія. Застосування ФРК в системах голографічної інтерферметрії найдоцільніше в тих випадках. коли проводиться швидкий якісний контроль виробів при поточному виробництві, безперервному спостереженні за об'єктами або процесами.
− Для енергообміну між фазомодульваними світловими пучками. Можна переводити фазову модуляцію в амплітудну.
− Обернення хвильового фронту і його практичне використаня.
3. Через обмеженість обєму роботи не розглянуто ряд інших важливих засстосувань. Наприклад:
− Так званий фільтр новин. Цей пристрій виконує функцію динамічної фільтрації зображень, виділяючи нестаціонарну (рухому) частину картини, причому може виділяти також і фазові об’єкти.
− В системах голографічної памяті. В елементах упавління оптичних схемі т.д.
ЛІТЕРАТУРА
1. Фридкин В.М. Фотосегнетоэлектрики.- Москва: Наука, - 1979.- 264с.
2. Фейберг Дж. Фоторефрактивная нелинейная оптика // Физика за рубежом. Сборник статей. - 1991. - Т.А. - С.162-179.
3. Glass A.M. The photorefractive effect // Opt.Eng. - 1978. - Vol.17. - P.470.
4. Кольер Р., Беркхарт К., Лин Л. Оптическая голография. М: Мир, 1973.- 686 с.
5. Вест Ч. Голографическая интерферометрия;. М.; Мир, 1982. 504 с.
6. Островский Ю.И., Бутусов М.М., Островская Г.В. Голографическая интерферометрия. М.: Наука, 1977. - 336 с.
7. Brandt G.В Holographic interferometry//Handbook of optical holography/Ed, by H.J. Caulfieid. New York etc.: Academic Press, 1979.P. 463—502.
8. Huignагd J.P., Miсherоn F. High-sensitivity read-write volume holographic storage in Bi12 SiO20 and В112 GеО20 crystals//Appl. Phys. Lett. 1976. Vol. 29, N 9. P. 591—593.
9. Huignard J.P., Herriаu J.P. Real-time double-exposure irrterferometry with Bi12 SiO20 crystals in transverse electrooptic configuration//Appl. Opt. 1977. Vol. 16, N 7. P. 1807—1809.
10. Herriau J.P., Marrakchi A., Huignard J.P. Conjugaison de phase dans les cristaux BSO. Application an controle destructif en temps reel//Rev. Techn. Thomson—CSF. 1981 Vol. 13, N3. P. 501-520.
11. Трофимов Г.С., Степанов С.И. Фоторефрактивный кристалл Bi12 TiO20 для голографической интерферометрии на длине волны λ=0.63 мкм//Письма в ЖТФ. 1985. Т. 11, № 10. С. 615—621.
12. Кuchel Е.М., Tiziani H.J. Real-time contour holography using BSO-crystals//Opt. Commun. 1981. Vol. 38, N1. P. 17—20.
13. Huignard J.P., Herriau J.P., Valentin T. Time average holographic interferomeiry with photoconductive electrooptic Bi12 SiO20 crystals/Appl. Opt. 1977. Vol. 16, N 11. P. 2796—2798.
14. Маrrakchi A., Hiugnard J.P., Herriau J.P. Application of phase conjugation in Bi12 SiO20 crystals to mode pattern visualization of diffuse vibrating structures//Opt. Commun. 1980. Vol. 34, N1. P. 15—18.
15. Степaнов С.И. Фоторефрактивные кристаллы для адаптивной интерферометрии// Оптическая голография с записью в трехмерных средах/Под ред. Ю.Н. Денисюка. Л.: Наука. Ленингр. отд-ние, С.64—74.
16. Князьков А.В., Кожевников H.M., Кузьминов Ю.С. и др. Энергообмен фазомодулированных световых пучков в динамической голографии//ЖТФ. 1984. Т. 54, №9. С. 1737—1741.
17. Степанов С.И., Шандаров С.М., Xатьков Н.Д. Фотоупругий вклад в фоторефрактивный эффект в кубических кристаллах//ФТТ. 1987. Т. 29, № Ю- С. 3054—3058.
18. Dos Santos Р.А., Сеsсatо L., Frejlich J. Interference-term real-time measurement for self-stabilized two-wave mixing in photorefractive crystals//Opt. Lett. 1988. Vol. 13, N 11. P. 1014—1016.
19. Hall T.J., FiddуМ.A., Ner M.S. Detector for an optical-fiber acoustic sensor using dynamic holographic interferometry//Opt. Lett. 1980. Vol. 5,N 11, P. 485—487.
20. Jackson D.A., Priest R., Dandridge A., Tveten A,B. Elimination of drift in a single-mode optical fiber interferometer using a piezoelectrically stretched coiled fiber//Appl. Opt. 1980. Vol. 19, N 17, P. 2926— 2929.