| Скачать .docx |
Реферат: Контрольная работа: Поляризация материи и пространства-времени
В Мироздании поляризация вакуума – это единственный механизм образования материи и информации и их пространственно-временных многообразий, которые нам предстоит изучить. Уравнение Мироздания не требует локальности поляризационных процессов, например, поляризующиеся одновременно частицы могут рождаться на расстоянии друг от друга. Поэтому помимо локальных взаимодействий, на которых основана КТП, возможны и нелокальные. С последними мы сталкиваемся, например, в квантовой механике, в некоторых ее парадоксах, что указывает на связь квантовой механики с поляризационными процессами. Нелокальное взаимодействие предстает как сверхсветовой процесс в 4-пространстве Минковского, где локализованы родившиеся частицы и нет поляризации массы. Поляризация ПВ может происходить без изменения времени I. В этом случае кажущаяся скорость взаимодействия в М4 , например, разлета образовавшейся пары частиц, оказывается бесконечной. Сверхсветовой характер подобных процессов обнаружен в опытах по квантовой телепортации. Сверхсветовое движение масс наблюдается и у некоторых космических объектов. V квазаров зафиксировано относительное движение компонент со скоростью до 40 с. Релятивистский мир современной физики – это лишь часть Мироздания. Другая его часть – мир поляризационных явлений. В нем релятивистски невзаимодействующие области оказываются связанными в единое целое, и существует свое – поляризационное – время ф. Наша поляризующаяся Вселенная включает обе части. Поэтому ее описание посредством ОТО, не содержащей поляризации вакуума, не полно.
Свойства поляризационных процессов в Мироздании весьма просты. Мы обсудим два основных типа поляризации физических величин, как непрерывных, так и дискретных, – линейный и нелинейный. Для скаляров а и векторов Ъ линейная поляризация имеет вид
![]()
Скаляры инвариантны относительно системы координат. Ими, к примеру, являются электрический заряд и масса частиц. Линейная поляризация характерна для однотипных величин – действительных, мнимых или комплексных. Произведение векторов является скаляром и потому возможна совместная поляризация скаляров и векторов, описываемая квадратным уравнением:
![]()
Аналогичные нелинейные соотношения возможны и для скаляров:
![]()
Квадратичная нелинейность приводит к совместной поляризации действительных и мнимых физических величин, т.е. к образованию комплексных величин либо к соотношению между действительной компонентой одной величины и мнимой компонентой другой.
Некоторые комплексные величины известны и исследуются в физике. В качестве примера можно привести волновую функцию Шредингера и некоторые другие поля. Но свойства частиц – их заряды, массы, спины – считаются действительными, как и координаты пространства. Подобная разнотипность базисных физических понятий трудно объяснима и ограничивает возможности понимания многих природных явлений, включая так называемые аномальные. В принципе возможны и другие поляризационные соотношения, скажем, с более высокой степенью нелинейности физических величин, но они не меняют вывода об их комплексности.
Комплексность физических величин следует рассматривать как общее свойство реальности. Действительные величины, которыми в основном оперирует физика, это лишь частное проявление свойств природы. В изучаемом современной физикой релятивистском мире мнимые массы допускаются теорией лишь у сверхсветовых частиц – тахионов. В ПТ мнимые массы возникают и у нерелятивистских частиц, порождая гравитационное взаимодействие.
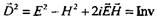
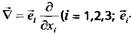
Особое место среди поляризационных векторных величин занимает дифференциальный оператор
– орты координатной системы), принимающий участие в рождении полей. Рассмотрим свойства электромагнитного поля как поляризующегося комплексного вектора
![]()
определенного уравнениями Максвелла через потенциалы – скалярный ц и векторный![]()
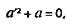
Условие нелинейной поляризации
![]()
приводит к известным инвариантам:
![]()
сохраняющимся при переходе от одной инерциальной системы отсчета к другой. В случаеЙзн= 0 мы имеем поперечную
электромагнитную волну.
Электромагнитное поле реализует взаимодействие между электрическими зарядами, меняя состояние их движения, которое имеет трансляционные, колебательные и вращательные компоненты. На первые две воздействует электрическое поле, на третью – магнитное. Из вакуума возникает потенциальное бездиссипативное вращение со скоростьюн = -§гаёфу , гдец– потенциал скорости, сверхтекучей жидкости. Циркуляция скорости описывается известным соотношением:
![]()
Вместе с потенциальным вращением возникает векторное поле
удовлетворяющее поляризационному условию для обобщенного импульса![]()
![]()
которое определяет магнит![]()
и его циркуляцию![]()
В нелинейно поляризующемся согласно комплексном пространстве
магнитном поле
в его мнимом подпространстве остается, как
следует из, действительной величиной, меняя лишь знак, если
Это условие приводит к линейным поляризационным соотношениям
![]()
Здесь
– действительная скорость в мнимом ПВ
. В отличие от электрического поля, которое в мнимом подпространстве становится мнимым, магнитное поле действительно во всем комплексном пространстве, т.е. квадрат магнитного поля
инвариантен относительно![]()
Пятимерное ПВ. Образовавшаяся частица при переходе в пространство
вносит в него параметры своего поляризационного рождения, такие как масса т, спин, поляризационное время ф, которые должны играть роль инвариантов при преобразованиях в Мл
. Однородность и изотропность псевдоевклидова ПВ специальной теории относительности приводят к инвариантности законов природы относительно преобразований группы Пуанкаре, включающих сдвиги в пространстве и времени, пространственные вращения и движения системы координат с постоянной скоростью. Эта инвариантность проявляется в существовании законов сохранения энергии, импульса
углового момента
и лоренцева момента
являющегося полярным вектором в отличие от аксиального вектораЖ.При координатных преобразованиях группы Пуанкаре
,
преобразуются как компоненты 4-векторов
соответственно, аЖи N – как компоненты антисимметричного тензора Јм
н
. При этих преобразованиях инвариантами являются квадрат интервала![]()
, а также
. Таким образом, пространство М4
обладает свойствами, необходимыми для перехода в него из поляризационного ПВ частиц, которые приобретают релятивистские свойства. Поэтому в Природе существуют два связанных мира – мир, где рождаются частицы, и мир, где они «живут». Прекращение в последнем поляризации частиц, энергии, импульса, моментов Г и N приводит к законам их сохранения и, как отмечалось выше, к принципу наименьшего действия, запрещающему деполяризацию частиц.
Релятивистский четырехмерный мир можно рассматривать как предельный случай пятимерного поляризационного мира с векторами

в котором дополнительное измерение фиксируется, отражая факт рождения частицы с параметрами т и ф. Переход частицы в релятивистский мир описывается как поляризационные процессы с
что дает приводившиеся выше релятивистские соотношения ![]()
Скалярное произведение векторов
поляризуется из вакуума, генерируя действие частицы в М4
, которое равно
, и действие в поляризационном пространстве![]()
![]()
Отсюда следует используемое в теории поля значение
выводимое в М» из принципа наименьшего действия. Входящее в время ф называют собственным временем частицы. Оно связано со временем / известным соотношением
Собственные времена частицы действительного подпространствафи мнимогоф'в момент ее рождения связаны посредством поляризационного соотношения ![]()
Для поляризационного ПВ с
. оно дает соотношение
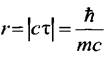
из которого следует, что в момент перехода в Мл
, когда I = 0, частица не является точечным объектом, ее радиус ![]()
Приближение точечной частицы, используемой в КТП, СТО, ОТО, игнорирует ее поляризационное происхождение и приводит к расходимости в КТП и сингулярности в ОТО. Их устранение связано с необходимостью учета внутренней структуры частицы с ее пространственноподобным интервалом. Образование Вселенной является поляризационным процессом, который должен описываться в поляризационном ПВ. Поэтому в силу проблемы сингулярности не возникает. В мнимой части поляризационного ПВ вместе с мнимымф'появляется мнимая масса т' либо с тем же знаком, либо с противоположным. Это соответствует двум типам поляризации действия: внутри поляризационного ПВ, когда
и между поляризационным и релятивистскими мирами, чему соответствует соотношение ![]()
В последнем случае имеет место взаимодействие между материей обоих миров. И в том, и в другом типе поляризации действия из следует, что в момент завершения образования частицы выполняется поляризационное соотношение ![]()
Поскольку оператор импульса
, то его поляризация в комплексном пространстве, определяемом условием
также приводит к квадратичному поляризационному соотношению ![]()
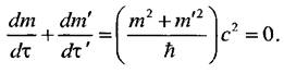
Из и и релятивистского выражения для энергии следует, что ![]()
Таким образом, образование первичной частицы характеризуется квадратичной поляризацией ее собственного времени, массы, импульса и энергии, но линейной поляризацией действия и углового момента.
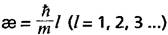
Поляризация пространственно-временных состояний.Р В поляризуется как комплексное многообразие с размерностьюЬ.Каждая его координата является комплексной величиной X + гу, где х\лу – действительные числа, имеющие два знака, которые характеризуют разные поляризационные состояния пространства. Например, изменение знака /их приводит к замене частицы на античастицу и негачастицу*' соответственно. Нетрудно подсчитать число поляризационных пространственно-временных состояний в ЯЯ-мерном ПВ. При линейной поляризации ПВ одно измерение имеет два состояния, различающихся знаком координаты, а ^/-измерений –2Ь состояний. При нелинейной поляризации каждое из них порождает два состояния с мнимыми значениями координат разных знаков. Поэтому общее число ППС, различающихся знаком одной из действительных или мнимых координат, составит величину
![]()
причем для ППС имеет место соотношение
![]()
ППС формируют поляризационные мультиплеты частиц размерностью ка . Заполнение ППС начинается с минимальныхЬи завершается максимально возможными их значениями. Приведем несколько первых значений к^.

Последнее значение близко к числу фермионов во Вселенной. Большой диапазон значений ка определяет важную роль размерности ПВ в структурировании материи.
Поляризация безразмерных величин. Для них возможен канал линейно-нелинейной поляризации. Мы рассмотрим линейно-квадратичную поляризацию из
![]()
играющую важную роль в ряде природных явлений. Здесь возможна поляризация разнотипных физических величин или действительной и мнимой компонент одной величины. В последнем случае мы имеем скаляры
![]()
с равными модулями
![]()
Примером может служить величина
, характеризующая ППС двух комплексных пространств разной размерности. Ими могут быть пятимерное поляризационное ПВ частицы и четырехмерное пространство, куда она переходит после рождения. Этот тип поляризации описывает и рост размерности поляризационных мультиплетов.
Величина А играет важную роль в теории квантовых флуктуации. Под ее мнимой компонентой можно понимать частицы, приходящие из поляризационного ПВ или уходящие в него.
Квантовые спектры. Квантовые величины могут иметь два типа поляризационных спектров. Если спектр физической величины а включает вакуумное значение а = 0, то целочисленное квантование дает спектр
![]()
где а – величина кванта. Если же спектр не содержит вакуумного состояния, то он имеет вид
![]()
Таким энергетическим спектром с ап > 0 обладает квантовый осциллятор. Значениез= 0 соответствует колебаниям физического вакуума. Отрицательные энергетические спектры в физической теории возникают, но не интерпретируются как спектры негаматерии.
Спектры обоих знаков имеют проекции моментов в изотропном пространстве. Целочисленный спектр характеризует бозоны, полуцелый – фермионы. Из-за однозначности волновой функции изменение ее фазы при возвращении в исходную точку может быть лишь целым кратным от2 р,т.е.
. Этот результат дает для углового момента частицы жидкости
значение
![]()
Мы получили условие квантования углового момента, являющееся следствие замкнутости траектории частицы.
Из выражения для циркуляции скорости можно найти изменение действия ДУ при обходе контура:
![]()
Момент и действие имеют одинаковый тип спектра. Соотношение позволяет записать волновую функцию сверхтекучего конденсата Ш = Аёф в квазиклассическом виде:
![]()
Ее можно рассматривать как скалярное волновое поле, фаза которого в вихревом поле жидкости квантуется. Вихревая нить представляет собой аксиально-симметричное вкрапление в потенциальном потоке сверхпроводящей жидкости.
Можно думать, что подобные потенциальные вихревые структуры возникают и в первичном скалярном поле. Их поверхность разделяет поля с разной пространственной симметрией. Ее можно рассматривать как поверхность частицы, где поляризуется новая физическая величина – масса. Такая частица представляет собой часть первичного потенциального поля вращения с осевой особенностью скорости, способная переходить в пространство М4 , где реализуется принцип наименьшего действия, который запрещает деполяризацию частиц, сохраняя их в МА .
Так происходит образование первичного массивного вещества – вихрей, обладающих массой и угловым моментом /. Поскольку образование бозонов не должно нарушать изотропию вакуума, то оно происходит в форме мультиплета разноориентированных бозонов с проекциями на выделенную ось /ж = -/,… О,…/. Такие мультиплеты с различными / представляют собой вихревые возмущения скалярного поля. Из них возникают фермионы – вторичное вещество, которое участвует в образовании структур квантового мира – его /ж-вселенных, принадлежащих с-мирам. Эти вселенные характеризуются двумя мировыми константами с и И. Этого недостаточно для однозначного определения массы бозонов и фермионов. Она может варьировать под влиянием различных факторов, включая информационный. Эта степень свободы отличает Л-мир от гравитирующего мира центрально-симметричных вселенных, к которому принадлежит наша Вселенная.
Гравитирующие вселенные. В /ж-мирах поляризация времени идет без образования «стрелы времени», т.е. не приводит к разделению вселенных частиц и античастиц, позитонов и негатонов. В отсутствие «стрелы времени» нельзя отличить настоящее от прошлого или будущего. Времени и эволюции в нашем понимании там нет. Реализуются стационарные квантовые состояния, между которыми переходы невозможны. Как будет показано далее, гравитация приводит к образованию «стрелы времени» у нуклонной материи, к разделению нуклонов, антинуклонов, негануклонов и антинегануклонов в подпространствах с разными знакамиЯи ф, а также к асимметрии правой и левой материи. Поскольку гравитация возникает в сферически-симметричном пространстве и, радиус частицы
то
![]()
Эта известная, наверное, каждому формула СТО получает поляризационную интерпретацию. Она означает, что частица реализуется в релятивистском мире. Действительная масса т служит мерой энергии во внешнем пространстве частицы.
Мнимая компонента массы т' характеризует фронт расходящейся волны, распространяющейся во внутреннем мнимом подпространстве частицы. Фронт волны обозначим
, где
– его мнимое собственное время. Реактивная сила этой волны также действительна и проявляет себя во внешнем пространстве. Поэтому поляризация действия определяется, т.е.
![]()
Нулевое суммарное изменение массы в обеих волнах в момент рождения частицы дает

Это обосновывает и в рамках поляризационной модели. Потенциал реактивной силы расходящейся волны

Скалярное поле порождает два типа частиц – первичные и вторичные. Первичные частицы поляризуются в пространстве Вселенной, для которого имеет место квадратичная поляризация. Поэтому их действительный и мнимый она позволяет определить Щг):

Скалярные нейтральные частицы в релятивистском мире.
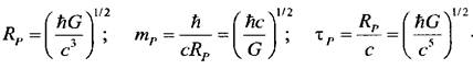
Из и следуют параметры первичной частицы, отмечаемые индексом Р:

Это не что иное, как параметры планковской частицы. В ПТ эта частица является фундаментальной: из них строится Вселенная. Мы будем называть ее массоном, имея в виду ее «тайную» миссию определять массы всех частиц Вселенной. Сегодня эта миссия возлагается Стандартной моделью на гипотетические хиггсовы бозоны, обнаружение которых сегодня считается главной целью экспериментальных исследований в физике элементарных частиц.
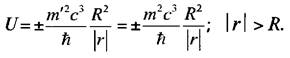
С учетом формула переходит в и определяет гравитационный потенциал частицы
в поляризационном пространстве в момент рождения I = 0. При ее переходе в релятивистский мир, где
и
, потенциал
заполняет со скоростью света его пространство. Когда его фронт достигает другой частицы с массой М, возникает притяжение с энергией
, где
теперь расстояние между частицами. Между мнимыми массами т' разного знака имеет место отталкивание, разделяющее вселенную и негавселенную.
В ПТ гравитация является квантовым взаимодействием поляризационно-реактивной природы и не имеет особенностей приЯ = О. Поэтому нет никакой необходимости ее «вторичного квантования», которое считается нужным при классическом описании гравитации в ОТО для создания правильной картины мира при
Здесь ОТО неприменима, ибо не учитывает размеры частиц. Условие образования частиц можно записать в виде ![]()
Оно означает эквивалентность модулей инерционной и гравитационной (т') масс. Поскольку в принципе эквивалентности Эйнштейна и ОТО гравитационная масса считается положительной, т.е. фактически заменяется ее модулем, а отрицательные инерционные массы не рассматриваются, мы получаем поляризационное обоснование следствия из этого принципа для вещества скалярных бозонов. О поляризационном обосновании принципа наименьшего действия уже говорилось: он является условием отсутствия деполяризации частиц релятивистского мира.
Мы рассмотрели модель поляризационного образования скалярных нейтральных частиц. В ней потенциал реактивной силы, возникающий при образовании мнимой компоненты массы, порождает в релятивистском мире гравитационное или антигравитационное взаимодействие, разделяя вещество и негавещество при образовании 7-вселенных. Модель показывает, что формирование Вселенной сопровождается рождением массонов – ее темной материи, что требует иного, поляризационного, описания ее эволюции.