| Скачать .docx |
Курсовая работа: Курсовая работа: Оптичні властивості некристалічних напівпровідникових халькогенідів
МІНІСТЕРСТВО ОСВІТИ І НАУКИ УКРАЇНИ
УЖГОРОДСЬКИЙ НАЦІОНАЛЬНИЙ УНІВЕРСИТЕТ
ФІЗИЧНИЙ ФАКУЛЬТЕТ
КАФЕДРА ФІЗИКИ НАПІВПРОВІДНИКІВ
ОПТИЧНІ ВЛАСТИВОСТІ НЕКРИСТАЛІЧНИХ НАПІВПРОВІДНИКОВИХ ХАЛЬКОГЕНІДІВ
Курсова робота
Ужгород-2006
ВСТУП
РОЗДІЛ 1.СТРУКТУРНІ ОСОБЛИВОСТІ АМОРФНИХ ХАЛЬКОГЕНІДІВ
1.1.Загальна характеристика аморфного стану
2.2.Структурні моделі
2.2.1.Ge1-х Хх
2.2.2.Аs1-x Хx
1.2. Вплив зміни координації на оптичні властивості халькогенідів
РОЗДІЛ 2.ФОТОІНДУКОВАНІ ЗМІНИ ОПТИЧНИХ ПАРАМЕТРІВ ТОНКИХ ШАРІВ НЕКРИСТАЛІЧНИХ ХАЛЬКОГЕНІДІВ
2.1. Структурні одиниці та фізико-хіміні особливості некристалічних халькогенідів
2.2. Структурні перетворення при фото- і термообробці свіжоприготовлених плівок халькогенідів
2.3. Механізм зворотних фото індукованих змін
РОЗДІЛ 3.КОНЦЕНТРАЦІЙНІ ЗАЛЕЖНОСТІ ОПТИЧНИХ ВЛАСТИВОСТЕЙ МОДИФІКОВАНИХ СТРУКТУР ТИПУ <Ge40 S60 :X> (X-Te,Bi,Pb)
ВИСНОВОК
СПИСОК ВИКОРИСТАНОЇ ЛІТЕРАТУРИ
ВСТУП
Некристалічні напівпровідникові халькогеніди знайшли широке застосування в системах реєстрації, збереження й обробки оптичної інформації. Вони також широко використовуються в електроніці як перемикачі, датчики і т.д. [1] . Останнім часом вони використовуються і при створенні наноструктур методами електронної літографії [2,3]. Як регіструючі структури аналогових і голографічних зображень найбільше поширення одержали сульфіди і селеніди миш'яку, їхні тверді розчини і гетеропереходи на їхній основі [4]. До їхніх переваг, насамперед, варто віднести високу роздільну здатність - (8-10) · 103 мм-1 і відношення сигнал/шум, а також можливість хімічного підсилення і трансформації зображення в рельєфно-фазове, за рахунок селективного травлення. Ці факти дозволяють створювати якісні матриці для тиражування голографічних зображень.
Метою даної роботи є огляд основної літератури на тему “Оптичні властивості некристалічних напівпровідникових халькогенідів”.
РОЗДІЛ 1 СТРУКТУРНІ ОСОБЛИВОСТІ АМОРФНИХ ХАЛЬКОГЕНІДІВ
1.1.Загальна характеристика аморфного стану
Про аморфний стан легше сказати, чим він не є, ніж дати його, точне визначення. Аморфні напівпровідники не кристалічні. У них відсутній дальній порядок у розміщенні утворюючих їх атомів. Але це не означає, що аморфні напівпровідники повністю невпорядковані в атомному масштабі. З допомогою локальних хімічних вимог забезпечується майже суворо фіксована довжина зв'язків і меншою мірою обмеження кутів між зв'язками в найближчому оточенні даного атома. На відміну від аморфних металів в аморфних напівпровідниках немає щільного розміщення атомів. Вони складаються з атомів, з'єднаних ковалентними зв'язками, що утворюють відкриту сітку з кореляцією положень атомів до третього або четвертого найближчого сусіда. Ближній порядок безпосередньо відповідає за спостережувані напівпровідникові властивості, такі як край оптичного поглинання та активаційний механізм електропровідності.
Аморфні матеріали слід відрізняти від полікристалічних. Полікристалічні напівпровідники складаються із зерен, кожне із яких містить періодичну гратку атомів і обмежено міжзерновими або граничними атомами. Чим менше зерно (наприклад, мікрокристаліт), тим більше відношення числа атомів поверхневого шару до числа періодично розміщених внутрішніх атомів. При дуже малих розмірах зерен різниця між поверхневими і внутрішніми атомами зникає і уявлення про мікрокристаліт з визначеною областю періодичного розміщення атомів вже не суттєве.
Як синонім слів "аморфний", "некристалічний" часто використовується термін "склоподібний". Але в деяких випадках склоподібний може означати повністю визначену термодинамічну фазу. Існування склоподібного стану з певною температурою склування продемонстровано для ряду халькогенідів. Халькогенідне скло можна одержувати з напівпровідникового розплаву шляхом швидкого охолодження (закалювання) до температур, нижчих за температуру склування [5].
Підготовлений матеріал вважається аморфним, якщо на рентгено- та електронограмах спостерігаються дифузні кільця, а не різкі брегівські кільця або окремі плями, характерні для полікристалічних чи монокристалічних твердих тіл. Хоча суміш аморфних і кристалічних матеріалів може існувати, неперервний перехід з одного в другий, мабуть, неможливий. Перетворення аморфного матеріалу в кристалічний відбувається в результаті утворення зародків та їх наступного росту, а не однорідної перебудови атомної структури.
2.2.Структурні моделі
Найпростіша структурна модель бінарної системи представляє собою неперервну сітку зв'язку (НСЗ), в якій виконується координаційне "правило 8-N" для обох компонент при довільному їх співвідношенні [5]. Наприклад, у As1-x Sеx при довільному значенні х кожний атом Аs має потрійну координацію, а кожний атом Sе - подвійну. Але навіть у випадку таких порівняно простих сіток виникає питання відносно ступеня хімічного впорядкування. Іншими словами, залишається незрозумілим, якою мірою гетерополярні зв'язки переважають над гомополярними. Сітку, в якій розподіл зв'язків є чисто статистичним, називатимемо "випадковою сіткою зв'язків" (ВСЗ). Якщо порівняти ВСЗ з НСЗ, яка введена для аморфних матеріалів, що з складаються з одного елемента, то ці моделі ідентичні. У ВСЗ один вид хімічного зв'язку не превалює над іншим навіть у складах, що відповідають сполукам кристалічного стану. Однак,якщо сили зв'язків різних пар атомів суттєво відрізняються, причому гетерополярний зв'язок є найсильнішим, то переважаючою може виявитись модель "хімічно упорядкована сітка зв'язку"(УСЗ). В моделі УСЗ зв'язки між різними атомами реалізуються завжди і всюди, якщо це дозволено складом і неперервністю сітки.

Мал.1. Розподіл зв'язків у системі Gе1-x Xx , де X - атом халькогену для випадкової сітки зв'язку(ВСЗ) (суцільні криві) і упорядкованої сітки зв'язку (УСЗ) (пунктирні лінії). Крапками показано залежність від складу висоти максимуму інфрачервоного поглинання, пов’язаного з коливаннями зв’язків Ge-S в сплавах Gе1-x Xx..
Розподіл зв’язків передбачуваних ВСЗ і УСЗ – моделями (без розгляду можливих обмежень, спричинених топологією) для систем виду Gе1-x Xx , де X - двовалентний атом халькогену, зображено на мал.1. Подібні криві отримані для бінарних систем, що мають координаційні числа, які відрізняються від координаційних чисел системи ІІ-ІV, наведеної для прикладу. Додаткове обмеження в моделі УСЗ може обумовлюватись існуванням у сітці молекулярних областей [6]. Характеристичні коливання, пов'язані з такими атомними кластерами, можуть спостерігатися та ідентифікуватися з допомогою інфрачервоної спектроскопії і комбінаційного розсіювання світла. Можливе також утворення молекулярних одиниць, не пов'язаних з основною сіткою, наприклад, коротких віток або замкнутих кілець халькогенів у бінарних системах, збагачених цими елементами. Значно рідше зустрічається скло повністю молекулярне або матеріали з фазовим розподілом.
Розглянемо схему для характеристики структури бінарного (або по суті багатокомпонентного) скла, в якому враховано вказані логічні можливості. Опис структури проводиться в три етапи: 1) атомна координація кожного складового елемента; 2) розподіл зв'язків; 3) молекулярна структура груп атомів, що утворюють гратку.
Розглянемо детально ряд систем.

Мал. 2.Спектри ІЧ відбивання і КРС лля двох сплавів системи Ge1-х Sх
(х = 0,67, х = 0,63). На малюнку дано схематичне уявлення молекул, пов’язаних з різними максимумаи спектрів. Смуга обумовлена молекулою S3 Ge-GeS3 помітна тільки в спектрі КРС складу, збагаченого германієм і характеризується більшою поляризацією.
2.2.1. Ge1-х Хх . Крапками на мал.1. позначено відносні інтенсивності піків Ge-S, що спостерігаються в інфрачервоних спектрах скла систем Ge1-х Sх ,. У відповідності з передбаченнями моделі УСЗ дає переконливий доказ існування 8-N-координації і хімічного впорядкування в області системи Ge-S, збагаченої S. Підтвердження цього було отримано при використанні сплавів Ge-Sе. Цікаво відзначити, що відомі кристалічні фази цих систем містять структурні одиниці не тільки типу GeХ2 , але і GеХ. В останньому випадку "правило 8-N" не підтверджується: всі атоми мають потрійну координацію. Однак ідея про можливість існування трикоординованих структур в аморфних і GеS, GеSe, GеТе не отримала розвитку, оскільки є докази проти цього припущення.
Наявність молекулярних областей в халькогенідах Gе визначається складом скла. В матеріалі, збагаченому xалькогеном, знаходимо тетраедри GeХ4 , число яких пропорціональне концентрації атомів Gе. Надлишкові атоми халькогену X об'єднуються у вітки, які з'єднують тетраедри між собою. При більш високих конценітраціяx X зростає число молекулярних кілець, які утворюють твердий розчин з сіткою. Наприклад, при дослідженні спектрів комбінаційного розсіювання світла (КРС) в склі Gе0.2 Sе0.8 були виявлені кільця Sе8 . В матеріалах, збагачених Gе, знову починають утворюватися молекули GеХ4 , але поряд з ними можна ідентифікувати також молекули більших розмірів, а саме Х3 Gе-GеХ3 . На мал.2 зображено сильно поляризовану моду КРС при 250см-1 , яка пов'язана з такою молекулою в Ge1-х Sх при х=0.67 (тобто в GeS2 ) і х=0.63. Відсутність відповідної структури в спектрі інфрачервоного відбивання можна очікувати у випадку коливань атомів вздовж напрямку зв'язку Gе-Gе в протифазі. Поряд з цим відсутність структури спектра відбивання можна пояснити також у рамках моделі трикоординованих Gе і S.
Подібну поведінку помічено в склах системи Ge1-х Seх . Спектри КРС сплавів, збагачених Sе (мал.3), мають структуру, що відповідає модам розтягування зв'язків Sе-Sе і коміркам типу GеSе4 . Розтягування зв'язків викликає появу піка при 250см-1 , а наявність комірок - піка при 202см-1 .
Пік при 219см-1 можна пов'язати з 12-атомними кільцями, що містять шість атомів Gе і шість атомів Sе.Малий пік при 180см-1 ,. що з'являється в GеSе2 , імовірно, пов'язаний з наявністю молекул, подібних виявленим у системі Gе-S, а саме Sе3 Gе-GеSе3 .
х Seх , збагачених Sе.Чорними прямокутниками відмічені енергетичні інтервали, в яких структура спектрів зв'язана з коливаннями Sе-Sе і GеSе.
2.2.2. Аs1-x Хx . Інфрачервоні спектри і спектри КРС у системах Аs-S і Аs-Sе зображено на мал.4. Як і для халькогенідів Gе, в цьому випадку також мають місце досить вагомі докази на користь виконання "правила 8-N" і хімічного впорядкування в усіх складах. Молекулярні комірки в сітках Аs1-x Sx аналогічні виявленим у системах Ge1-х Xх , а саме піраміди АsS3 і молекули S2 Аs-АsS2.
Показано молекулярні конфігурації, що пов’язані з певними максимумами. Беручи до уваги «правило валентності 8-N» і тe, що модель УСЗ застосовна до всіх цих сплавів, слід, очевидно, зробити висновок. що молекулярного впорядкування в системі Аs1-x Sex немає.
Однак для системи Аs1-x Sex докази молекулярного впорядкування, є менш переконливими. Це пов'язано, напевно, з малою різницею в електровід'ємності Аs і Sе [7]. В усіх аморфних матеріалах, мабуть, існує різниця в структурі об'ємного скла і випарених тонких плівок. Для Аs2 S3 ці відмінності досліджено досить детально. Так, на мал.5 дано порівняння спектрів КРС випареної плівки, плівки після відпалу при 453 К і об'ємного скла.
Гострі додаткові піки в спектрі напиленої плівки засвідчують присутність молекулярних одиниць, що полімеризуються в сітку при відпалі.
1.2. Вплив зміни координації на оптичні властивості халькогенідів
Багато із спостережуваних оптичних властивостей халькогенідів можна пояснити змінами координаційного числа. Як передбачається в цій моделі, внаслідок електрон-фононної взаємодії виявляється енергетично вигідним електронне спарення на дефектах, які в тому випадку коли вони нейтральні (D°), мають орбіталі, що містять один електрон. Таким чином, реакція 2D0 →D+ + D- є екзотермічною. Тут D+ - пустий дефект, а D- - дефект, що має два електрони.
Халькоген з подвійною координацією містить чотири р-електрони, два з яких знаходяться на зв'язуючих орбіталях, а два інші утворюють окрему пару. Відповідно, дефект " D- " має місце тоді, коли один зв'язок руйнується і зовнішній електрон завершує утворення другої окремої пари. Можливе також утворення дефекту D+ , якщо два електрони вилучити із D- , залишивши пусту орбіталь окремої пари. Але якщо D+ утворює сильний зв'язок з сусіднім халькогенідом, перетворюючи D+ в тричі координований стан, то виділяється енергія. Відповідно, виділенням енергії при зміні характеру зв’язку між D+ і D- обумовлено електрон-фононну взаємодію, яка переборює енергію електронного відштовхування в D- і робить енергетично вигідним спарення електронів. Конфігурація зв’язків цих двох станів зображена на мал.6. Загальне число зв'язуючих електронів і електронів окремих пар таке ж, як і в ідеальній структурі, тому енергія утворення пари D+ і D- мала порівняно з енергією руйнування зв'язку.
Електронні стани, пов'язані з дефектами, зображено на мал.7. Оскільки D+ утворює зв'язок з трьома іншими атомами, зовнішній електрон у D+ повинен посідати антизв'язуючий стан в зоні провідності. Такий центр діє, як донор з кулонівською енергією зв’язку Е+ . Але в разі утворення D0 електрон-фононна взаємодія понижує енергію донора ще на величину Е+ + Ξ+ , в результаті донорний рівень має глибину Е+ + Ξ+ . Таким же чином можна довести, що D- буде акцептором, який зв'язує дірку з енергією Е- - Ξ- . Відносні величини Ξ+ + Ξ- залежать від того, наскільки велика енергія зв'язку, що виділяється, за період поки приєднується перший електрон, порівнянно з тим, коли добавляється другий електрон. Зрозуміло, шо дефекти амфотерні, так як D0 - і нейтральний донор, і нейтральний акцептор, а скло поводиться як повністю скомпенсований напівпровідник.
Оптичне збудження таких станів природно описується діаграмою в конфігураційних координатах (мал.8), коли ΞР приймає значення Ξ+ і Ξ- для D+ і D- .
Таким чином, виникають вклади в коефіцієнт поглинання виду, що описується формулою:
ά (hν) = const∙exp[(-Ea -hν)2 /ρ2 ],
де ρ2 = 2 ΞР hν0 Еа = Ер + ΞР , Ер - енергія переходу з нульовими фононами. При. цьому поглинання пропорційне концентрації дефектів. На мал.7 зображено деталі цих оптичних (і термічних) переходів. Суцільними лініями показано енергії глибоких донора і акцептора, штриховими - енергії, що відповідають максимальній імовірності переходу для процесів поглинання і випромінювання. Правда, ці заряджені дефекти впливають також на матричні елементи для переходів між нелокалізованими станами поблизу країв рухливості, створюючи флуктуації потенціалу.
РОЗДІЛ 2 ФОТОІНДУКОВАНІ ЗМІНИ ОПТИЧНИХ ПАРАМЕТРІВ ТОНКИХ ШАРІВ НЕКРИСТАЛІЧНИХ ХАЛЬКОГЕНІДІВ
2.1. Структурні одиниці та фізико-хіміні особливості некристалічних халькогенідів
Структура склоподібних і аморфних халькогенідів може бути описана на основі деяких даних про структуру ближнього порядку. Здатність атомів утворювати різні типи хімічних зв'язків спричинює виникнення структурних елементів визначеної симетрії, які збігаються з областями ближнього порядку. Вивчення взаємозв'язку між макроскопічними властивостями і структурними параметрами-характеристиками хімічних зв'язків є достовірним методом класифікації хімічних складів, так як зміна властивостей у відомих межах може інтерпретуватися як передумова структурної хімічної поведінки атомів і груп, що беруть участь у побудові системи. Однак часто, крім композиції, на побудову системи впливає і режим отримання тонких шарів. Як результат, напилена плівка часто являє собою сукупність метастабільних фаз, що поступово релаксують до найбільш рівноважної, характерної для даної композиції.
Дослідження впливу складу на формування структури плівки чітко можна простежити на бінарних сполуках системи Аs-S [6]. Аналізуючи спектр КРС як один з найнадійніших методів визначення структури, можна простежити за зміною структурних одиниць, які викликають зміну фізико-хімічних параметрів.
Як видно із зображених на мал.9 спектрів КРС плівок, що збагачені надстехіометричною сіркою, із зростанням вмісту сірки маємісце послідовне зростання інтенсивності дуплету 470-490 см-1 . Дуплет 470-490 см-1 спостерігаємо і в КРС-спектрах об'ємних стекол, збагачених сіркою. Крім дуплету, при 470-490 см-1 у коливальних спектрах плівок чітко простежується досить інтенсивні смуги при 150 і 280 см-1 . Інтенсивність смуги при 470см-1 із збільшенням вмісту сірки зростає, тоді як при 490см-1 смуга поступово замивається.

Мал.9. Спектри КРС свіжоприготовлених (рівноважний режим) плівок Аs44 S56 (1), Аs40 S60 (2), Аs30 S70 (З) і об'ємного стекла Аs20 S80 (4) [5].
Вважається, що низькочастотна смуга (470 см-1 ) розглядуваного дуплету обумовлена кільцями S8 , в той час як високочастотна компонента (490 см-1 ) Може приписуватиськоливанням S-S зв'язків, полімеризованих у сітку скла у вигляді молекул S2 абоутворень з більшою протяжністю - ланцюжків. Враховуючи те, що зона структурної кореляції стекол із надлишком сірки збільшується (для Аs20 S80 до 9А), можна очікувати формування великих структурних одиниць (зміна проміжного порядку) в збагачених сіркою складах порівняно з стехіометричними. У складах, збагачених атомами з меншим координаційним числом, тобто сіркою, молекулярні структурні одиниці АsS3 (що являють собою основу для стехіометричної сполуки) зв'язуються додатковими атомами сірки. Атоми миш'яку є точками, де відбувається перетин або розгалуження ланцюжків атомів сірки, Така модель розгалуджених ланцюжків допускає також існування дискретних молекулярних утворень, наприклад кілець S8 , при досить високому вмісті халькогену.
Спектри КРС для складів, збагачених миш'яком, складніші порівняно із спектром КРС при надлишку сірки (мал.9). Із збільшенням вмісту миш'яку з'являються не тільки такі смуги, що мають місце в стехіометричному склі Аs2 S3 , наприклад основна мода при 340 см-1 , але й ряд нових ліній. Серед останніх найбільш різко виділяються лінії з частотами 132, 165, 185, 220, 232см-1 . Лінії близьких частот спостерігаються також в кристалічному реальгарі ά-Аs4 S4 . В той же час відхилення від стехіометрії в бік збагачення миш'якомзумовлює деяке розмиття (порівняно із свіжоприготованими шарами спектра КРС плівок). Зазначимо, що спектри рівноважних плівок з надлишком миш'яку, які під дією світла темніють, суттєво не відрізняються від КРС-спектрів стекол аналогічного складу. В стеклах, що містять до 43ат.% миш'яку, не виділяються кристалічні фази, про що свідчать результати електронно-мікроскопічних досліджень, хоч КРС-спектри і вказують на наявність молекул Аs4 S4 . У стеклах х<57ат% молекули Аs4 S4 кластеруються, утворюючи кристалічні області Аs4 S4 , тоді як в стеклах з меншим вмістом Аs ці молекули дисперговані в матриці скла.
Аналіз КРС-спектрів свіжонапиленої (невідпаленої) плівки Аs2 S3 показує, що всі властиві їй спектральні особливості (за винятком смуг при 470-490 см-1 ) присутні і в збагачених миш'яком складах, отже пов'язані з молекулярними структурними одиницями, характерними для цих складів.
Суттєвим є той факт, що не для кожного складу можна визначити однозначно найбільш підходящий тип структури. Так, для Аs50 S50 можна навести шість топологічно різних конфігурацій. Всі вони задовільняють умові мінімуму гомогенних зв'язків. Різняться вони лише порядком розташування цих зв'язків. Відмінності між цими конфігураціями спостерігаються в розподілі пірамідальних структурних одиниць АsS3 , АsS2 Аs, АsSАs2 . Кожна з конфігурацій є метастабільною, тобто невелике порушення структури (наприклад, розрив двох зв'язків Аs-S та утворення зв'язків Аs-Аs та S-S) збільшує енергію (і нерівноважність) системи, в результаті вона прагнутиме повернутись до одного з метастабільних станів. Але, на відміну від Аs4 S6 , в цьому випадку не можна однозначно передбачити результат релаксації системи, не знаючи її початкового стану. Перебудова структури може призвести до будь-якої з цих конфігурацій. Кожна з них має свій локальний мінімум енергії, і система може перебувати в будь-якому з цих станів невизначено довго. Більше того, з допомогою зовнішніх факторів можна перевести систему в інший метастабільний стан, у якому вона залишиться і після припинення дії цих факторів, оскільки відділена енергетичним бар'єром від інших станів. Кожний із цих станів має свої значення фізичних параметрів, а сильна залежність структури від режиму одержання, умов обробки матеріалу, очевидно, служить поясненням розбіжностей в результатах, одержаних різними дослідниками при визначенні деяких параметрів.
2.2. Структурні перетворення при фото- і термообробці свіжоприготовлених плівок халькогенідів
У свіжоприготовлених плівках під дією світла відбуваються фотоіндуковані зміни оптичних констант. При цьому необхідно зазначити, що фотоіндуковані зміни оптичних констант можуть бути поділені на зворотні (реверсивні) і незворотні залежно від того, повертаються в результаті відпалу параметри плівок до вихідних чи ні.
Існуючі моделі пов'язують необоротні процеси фотоіндукованих змін з структурними змінами. В реалізації реверсивної частини фотоіндукованих змін ініціююча роль належить електронно-дірковим процесам з участю локалізованих станів.
З метою дальшої конкретизації фізичних процесів, що відбуваються в плівках халькогенідів під дією інтенсивного випромінювання і розмежування чисто структурних змін і електронно-діркових процесів необхідно провести дослідження структурних перетворень у першому і наступних циклах фотоіндукованих змін. Дослідження комбінаційного розсіювання світла проводились на плівках Аs2 S3 і Аs2 Se3 . Спектр комбінаційного розсіювання світла свіжоприготованих невідпалених плівок Аs2 S3 (d = 20 мкм), отриманих у звичайному режимі термічного випаровування у вакуумі (температура випаровування Твип = 700 К, швидкість осадження ύ=1-2 мкм/хв, температура підкладки Тпідкл = 300 К), представляє собою суперпозицію континуальної складової, подібної до такої ж в об'ємних стеклах, і ряду відносно гострих коливальних смуг. В області спектра комбінаційного розсіювання світла (120 – 400 см-1 ) наявні смуги у свіжоприготованих плівках Аs2 S3 тотожні лініям, що спостерігаються в спектрах КРС кристалічних модифікацій Аs4 S4 . Ідентичні смуги бачимо і в збагачених миш'яком об'ємних стеклах і плівках на їх основі. Широка смуга в області 490 см-1 що має місце в спектрі КРС об'ємних стекол, збагачених сіркою, відповідає за валентні коливання As-S-зв'язків і свідчить про наявність в структурі молекул S2 або більш довгих обривків кільцевих молекул. Лінії в області 300-400 см-1 , що спостерігаються в спектрах КРС невідпаленої плівки Аs2 S3 , обумовлені валентними коливаннями Аs-S зв'язків у молекулах Аs4 S4 і пірамідах АsS3 . При більш низьких частотах відмічаються гострі смуги валентних Аs-Аs коливань (160-240 см-1 ) і деформаційних коливань S-Аs-S зв'язків у молекулах Аs4 S4 (120- 170 см-1 ).
Як свідчить вищенаведене, гострі спектральні смуги свіжонапилених плівок Аs2 S3 (винятком є смуги при 470-490 cм-1 ), а також у збагачених миш'яком складах є похідними від молекулярних структурних одиниць (в основному Аs4 S4 ), що містять Аs-Аs гомополярні зв’язки.
Після відпалу свіжоприготовленої плівки її спектр майже повністю збігається з континуальним спектром об'ємного скла Аs2 S3 , за винятком залишкових смуг валентних коливань Аs-S (360 см-1 ) і Аs-Аs(190, 220, 230 см-1 ) зв'язків, що свідчить про наявність неполімеризованих молекул Аs4 S4 , однак із меншою порівняно з невідпаленою плівкою концентрацією. Деформаційні моди S-Аs-S зв'язків при відпалі дуже розмиваються.
При опроміненні активним світлом невідпаленої плівки спостерігається подібна трансформація спектра комбінаційного розсіюванння світла в області валентних Аs-S і Аs-Аs коливань [5]. Однак при цьому не відбувається суттєвого розширення деформаційних мод, що свідчить про слабий розкид кутів при переключенні зв'язків, тобто структура плівки більш наближена до вихідної,ніж при відпалі.
Відповідно, на основі експериментальних результатів можна вважати, щоструктура свіжоприготовленої в рівноважних умовах плівки Аs2 S3 може бути подана у вигляді основного масиву пірамідальних одниць АsS3 і частковополімеризаційної суміші Аs4 S4 і Sn молекул (обривків кільцевих молекул) невпорядковано упакованих і орієнтованих. Це уможливлює утворення в ній яквеликої кількості дефектних станів, зокрема пов'язаних з порушеннямнормальної координації атомів миш'яку і халькогену, тобто дефектів типу D+ , D- , так і суттєвої концентрації "неправильних" зв'язків (Аs-Аs, S-S). Приопроміненні світлом енергії hν > Е8 невідпаленої плівки, виготовлної врівноважних умовах напилення, трапляються розриви і перемикання зв'язків.
Наприклад, Аs-Аs в молекулах Аs4 S4 і S-S в обривках кільцевих молекул сірки,що призводить до полімеризації молекулярних груп, розміщених найбільшоптимально, в сітку пірамід АsS3 iз слабою зміною кутів зв'язків S-Аs-S, величина яких групується поблизу значення, характерного для молекул Аs4 S4 . При цьому відбувається також оптичне перезарядження названих дефектів і утворення стійких конфігурацій, що не повністю руйнуються відпалом. Навпаки, при відпалі свіжоприготовленої неекспонованої плівки розриви і перемикання зв'язків відбуваються при підвищеній рухливості атомів і великою мірою супроводжуються полімеризацією структури. Це виражається в суттєвій зміні вказаних кутів, яка обумовлює розкид частот деформаційних коливань, властивий спектрам комбінаційного розсіювання світла об'ємного скла Аs2 S3 . В цьому, й іншому випадках, тобто як при засвічуванні, так і при відпалі свіжоприготовленої плівки негативної світлочутливості зменшується концентрація дефектів типу "неправильних" зв'язків і порушених координованих атомів, що узгоджується з фактом зменшення ефективності фотоіндукованих змін фізико-хімічних параметрів у наступних циклах. З цих же позицій, мабуть, можна пояснити різке зменшення селективності розчинності опромінених і неопромінених ділянок попередньо відпалених плівок.
На відміну від об'ємного скла, структура якого визначається в основному швидкістю охолодження, можна очікувати, що технологічні фактори (температура випаровування, склад пару, температура підкладки, швидкість конденсації та ін.) значною мірою визначатимуть ступінь дефектності утворюваного при напиленні тонкого шару халькогеніду та його структурні особливості. Дійсно, дослідження, проведені на шарах халькогенідів миш'яку, які одержані в "форсованому" режимі напилення (Твип. =800-900 К, Vо =30-40мкм/хв), показали, що їх спектри комбінаційного розсіювання світла характеризуються звуженням ліній порівняно із спектрами для плівок рівноважного режиму напилення і зникненням континуальної складової, а також виявляють позитивний характер запису.
Для позитивних плівок характерна поява ряду нових ліній з частотами 120, 150, 200, 233, 273 см-1 . Опромінення такої плівки помітно не впливає на спектр комбінаційного розсіювання світла, проте відпал спричиняє дальше звуження і розщеплення спектральних ліній, перерозподіл їх відносних інтенсивностей. При цьому характерна поява низькочастотної смуги поблизу , 60 см-1 . Домінуюча в спектрі сильнонерівноважної плівки Аs2 S3 лінія з частотою 273 см-1 відсутня в спектрах кристалів Аs2 S3 , ά-Аs4 S4 і β-Аs4 S4 . Доведено, що в сублімованих шарах Аs4 S3 лінія при 272 см-1 є найбільш інтенсивною, хочвідмічається наявність коливальних мод β-Аs4 S4 і Аs4 O6 . Важливо зазначити, що в цілому характер трансформації спектрів комбінаційного розсіювання світластехіометричних плівок при підсиленні нерівноважності їх напилення подібний до зміни комбінаційного розсіювання світла об'ємних зразків із скла системи As-S при введенні в них надлишку миш’яку. Вважається, що появу в спектрі КРС скла Аs1-x Sx , збагаченого миш’яком (х≤57ат%), низькочастотних ліній при 60 см-1 , а також звуження і розщеплення високочастотних смуг можна пояснити наявністю в його матриці кристалітів β-Аs4 S4 . Додаткові смуги, наприклад при 273 см-1 , приписуються іншим Аs-S утворенням. Можна допустити, що в складах з х≤57ат% ці молекули (тобто Аs4 S4 ) кластеруються і утворюють кристалічні області в матеріалі, тоді як в склах з х≈57-60ат% ці молекулярні кластери дисперговані в матриці скла випадково. Тому спостережуване при збільшенні нерівноважності процесу напилення загострення спектрів комбінаційного розсіювання світла з характерними для поліморфних модифікацій (із збагачених Аs стекол) рисами пов'язується з утворенням кристалітів. Причому в плівці є кристаліти з різною структурою. Відпал таких плівок сприяє процесу кристалізації, в результаті вони стають полікристалічними.
Слід зазначити, що вище розглянуті фото- і термоструктурні зміни в плівках сульфіду миш'яку обумовлені в кінцевому рахунку фото- і термостимульованими процесами полімеризації молекулярних комплексів, присутніх у вихідних (свіжоприготовлених) шарах, меншою мірою виражені в склах системи Аs-Sе, для яких характерна дуже слаба залежність спектра КРС від складу. Однією з причин такої слабої залежності, комбінаційного розсіювання світла від складу може бути те, що вібраційні частоти різних атомних одиниць дуже наближені завдяки подібності мас Аs і Sе. Дослідження комбінаційного розсіювання світла показали, що в напилених плівках Аs-Sе є "неправильні" зв'язки (Аs-Аs і Sе-Sе), концентрація яких зменшується при відпалі і засвічуванні, Електронно-мікроскопічні дослідження засвідчують, що навіть при конденсації Аs2 Sе3 на підкладку з температурою 440 К у плівках є деяка частина молекул Аs4 Se4 . Утворенню різних молекулярних комплексів сприяють і квантовомеханічні властивості атомів миш'яку і селену. Просторова орієнтація ковалентних напрямлених зв'язків Аs і Sе дозволяє їм формувати молекули Аs4 Se3 , Аs4 Se4 (двох типів), Аs4 Se5 , Аs4 Se6 і т.д. При цьому повне насичення валентностей досягається в результаті незначної деформації хімічних зв'язків, а також кутів між ними.
Таким чином, можна зробити висновок, що структура в свіжонапилених аморфних плівках АS-Sе являє собою тією чи іншою мірою пов'язані між собою квазімолекулярні утворення Аsn Sem в неперервній сітці атомів. Співвідношення концентрацій цих двох видів структурних утворень в конденсаті визначається умовами його отримання. Однак, поскільки Аs2 S3 більшою мірою властива тенденція до фазового розкладу, ніж Аs4 Se3 , і молекулярні одиниці Аs4 Se4 менш стабільні при підвищених температурах, ніж Аs4 S4 , то для шарів Аs-Sе фото- і термоструктурні зміни порівняно з такими ж у сульфіді миш'яку менш виражені.
Враховуючи те, що характер хімічної будови визначає оптичну зону напівпровідника, можна стверджувати, що нереверсивний зсув краю пропускання при засвічуванні свіжопригтовленого шару халькогеніду обумовлюється переважно суттєвим зменшенням концентрації "неправильних" зв'язків за рахунок полімеризаційних процесів. У цьому зв'язку зрозуміла роль відхилення від стехіометрії складу у підвищенні реверсивної компоненти запису, що обумовлена меншою полімеризованістю і підвищенням концентрації необхідних дефекто-координаційних станів.
2.3. Механізм зворотних фото індукованих змін
Відомо, що відпалені шари Аs-S(Sе), що піддаються впливу інтенсивного випромінювання з енергією hν≥Еg ,характеризуються зміщенням краю пропускання в довгохвильову область. Було доведено, що максимальне значення фотоіндукованих змін фізикo-хімічних параметрів може частково, релаксувати при засвічуванні меншої інтенсивності, тобто можна отримати позитивний запис. Аналогічно, позитивний запис спостерігається в шарах хадькогенідів отриманих при підвищених температурах випаровування. Уявлення про механізм стимулюючого впливу освітлення на процеси термічної релаксації фотоіндукованих змін фізико-хімічних параметрів і відновлення світлом меншої інтенсивності вихідних властивостей шарів, на яких раніше, сталися фотоіндуковані зміни, при незмінній температурі разом з розглянутими результатами дослідження структурного розупорядкування вихідного скла, що спостерігається при відхиленнях від стехіометричного складу (мал.10), а також визначальний вплив умов напилення на вихідну світлочутливість шарів (мал.11) дозволили звести всі спостережувані ефекти оптичного запису (негатив, позитив, стирання світлом і температурою) до єдиних змін оптичних параметрів світлочутливого шару халькогеніду в режимі запис-стирання.
Діаграма такого реверсивного циклу для Аs-Sе заданої товщини зображена на мал.12. Ділянка кривої 1-2-3-5 відображає температурну залежність оптичного пропускання свіжоприготовленого шару, отриманого при температурі випаровування Твип. =88О К.
Як видно з мал.12, прогрівання такого шару вище 400 К без освітлення призводить до його просвітлення. Ділянка кривої 11-7-6-5-4 визначає максимально досяжну величину фотоіндукованих змін фізико-хімічних параметрів при кожній даній температурі експонованого шару. Вона умовно поділяє всі можливі стани на два типи: А і В. Станам А, тобто таким, що находяться нижче ділянки кривої 11-7-6-5-4, властиве фотопросвітлення. Воно визначається різницею початкового пропускання і відповідного йому значення при даній температурі на кривій ( наприклад, 2-6, 3-5, 8-6). Навпаки, станам В, тобто таким, що знаходяться над кривою 11-7-6-5-4, властиве фотопотемніння, яке визначається так само, як і фотопросвітлення (наприклад, 1-11, 10-7, 9-7). Зазначимо, що нахил ділянки кривої 11-7-6-5-4, положення діаграми стосовно величини пропускання можуть дещо змінюватися при зміні інтенсивності освітлення.
Це узгоджується з уже встановленими фактами, що записуючому випромінюванню меншої інтенсивності відповідає більш низький контраст запису і, як наслідок, стирання певною мірою записаного сигналу світлом меншої інтенсивності, ніж та, при якій він був записаний. У будь-якому випадку, ділянка 11-7-6-5-4 є "характеристичною" кривою оптичного запису для певного складу і товщини шару скла.
Початковий стан шару визначається температурою випаровування. У міру її підвищення в свіжоприготовленому шарі при кімнатній температурі має місце перехід від негативного до позитивного оптичного запису. На діаграмі цьому відповідає зміщення вниз пунктирної кривої 1’-3’ В точці перетину з кривою 11-7-6-5-4 шар не чутливий до випромінювання даної інтенсивності при температурі Тп . Далі характер і величина утворюваного контрасту або стирання його визначається температурою, при якій проводиться експеримент, і інтенсивністю освітлення. Як бачимо на мал.12, можлива реалізація багатократних циклів запису-стирання світлом без помітного погіршення оптичних параметрів шару (цикл 7-8-6-9-7 і йому подібні).
З розглянутої діаграми випливає, що еквівалентні стани реєструючого шару халькогеніду можна отримати в умовах повільного випаровування і негативного оптичного запису або форсованого випаровування і позитивного оптичного запису, що вказує на спільний механізм зворотних фотоіндукованих змін оптичних констант у халькогенідах [5,6]. Однак, слід зазначити, що в системі Аs-S необхідно бути обережним при отриманні реверсивних позитивних шарів. Позитивні шари, які при відпалі можуть перетворитися в негативні на основі Аs-S, мають місце в дуже вузькому температурному інтервалі. Отримані позитивні шари при вищих температурах мають тільки необоротну компоненту, обумовлену при відпалі кристалізацією. Дослідження комбінаційного розсіювання світла в таких зразках показали, що відпалені засвічені і незасвічені плівки характеризуються структурою, досить близькою до структури об'ємного скла, за винятком деякого підвищеного (≈2ат.%) порівняно з стехіометричним вмістом миш’яку. В частотному діапазоні валентних і деформаційних коливань 100-500 см-1 спектри комбінаційного розсіювання світла засвічених і незасвічених шарів майже ідентичні. Різниця простежується лише в низькочастотній області спектра, де для неекспонованого шару характерне більш різке зростання низькочастотної континуальності. Природа непружного розсіювання світла в халькогенідних склах в області 5-60 см-1 залишається і зараз дискусійною. Згідно з одними моделями низькочастотні властивості спектрів КРС можуть бути описані за участю як електронного розупорядкування, що виявляється в просторовій флуктуації фотопружних постійних, так і механічного, що пов'язується з просторовою флуктуацією тензора напруг. Допускається, що просторові флуктуації всіх величин мають однакову кореляційну протяжність 2JО , поскільки вони є результатом механічного розупорядкування. На практиці для оцінки зони структурної кореляції часто користуються положенням так званого "бозонного" піка. В цій низькочастотній області інтенсивність КРС задається виразом
I(ν) = constν2 exp(νJО /v),
де ν - частота, v - швидкість звукових хвиль. Згідно з експериментальними результатами, "бозонний" пік, що спостерігається у відпалених неекспонованих плівках при частоті 21см-1 , в результаті засвічування зсувається в бік більших частот і "замивається". На основі моделей низькочастотного розсіювання неможливо пояснити зменшенням зони структурної кореляції, тобто фактично частковим розупорядкуванням структури скла при фотоіндукованих змінах або при відпалі, а зменшення частоти максимуму "бозонного" піка при відхиленні від стехіометрії - упорядкуванням структури. Відповідно, збільшення частоти "бозонного" піка некоректно пов'язувати з деяким структурним розупорядкуванням. Крім того, необхідно зазначити, що положення "бозонного" піка може змінюватися також за рахунок фотоіндукованої зміни швидкості поширення звуку.
Таким чином, на основі експериментальних результатів можна з достовірністю констатувати; що зворотні фотоіндуковані зміни оптичних констант безпосередньо пов'язані з процесами локалізації носіїв на рівнях захоплення при фотоіндукованих змінах і досить точно можуть бути описані співвідношенням:
Δ α/ α = (AMβFτ /QM )ּ {1-exp[-tῩּ QM ]} ,
де А - поперечний переріз захоплення кванта світла фотоіндукованим центром; М - концентрація пасток, що захоплюють носії заряду, β - квантовий вихід, α -коефіцієнт поглинання. F - інтенсивність лазерного випромінювання, τ - час життя носіїв заряду, що захоплюються на локальні центри, QM - ефективна густина станів в зоні, приведена до рівня пасток М , Ῡ- усереднений коефіцієнт захоплення, t - час (мал.13). Захоплення носіїв заряду призводить до деякого електричного впорядкування, що виявляється в зменшенні просторової флуктуації випадкового потенціалу.
Якщо температура, за якої відбуваються фотоіндуковані зміни фізико-хімічних параметрів, рівна або більша за температуру відновлення вихідних властивостей шарів, то відповідна складова оптичної пам'яті тут носитиме динамічний характер, тобто обумовлюватиме додаткове відносно постійної зміни оптичних констант при наявності збудження з енергією кванта порядку
ширини забороненої зони.
Стани локалізації, відповідальні за реверсивну оптичну пам'ять (участь центрів 0.4, 0.6-0.8 еВ для Аs-Sе і 0.66, 0.8 еВ для Аs-S у незворотній складовій мала), пов'язані з наявністю дефектів типу атомів з порушеною координацією. Локалізація носіїв на дефектних центрах може спричиняти деяке часткове впорядкування. Свідченням цього можуть бути дані зміщення частоти "бозонного" піка при засвічуванні. Мабуть, частота "бозонного" піка характеризує взаємодію шароподібних кластерів і пов'язана з віддаленістю їх один від одного. Захоплення носіїв на дефектні центри при засвічуванні упорядковує структуру в тому розумінні, що шароподібні кластери укладаються щільніше. В такому випадку зрозуміло і збільшення частоти "бозонного" піка, яке рівнозначне зменшенню міжкластерної відстані.
Поскільки у відпалених плівках халькогенідів не спостерігаються значні структурні зміни при лазерному опроміненні (про це свідчать результати дослідження ядерного квадрупольного резонансу), то при поясненні експериментальних результатів фотоіндукованих змін властивостей використовуватимемо електронний механізм фотоіндукованих змін. Згідно з цим механізмом фотоіндуковані зміни обумовлюються процесами локалізації носіїв на дефектних рівнях, що знаходяться в забороненій зоні. Такі стани локалізації носіїв заряду мають місце як в тонких шарах, так і монолітних зразках халькогенідів і пов'язані із "заморожуванням" при охолодженні розплаву координаційних дефектів типу D+ , D- . При освітленні халькогеніду світлом з області краю фундаментального поглинання генеруються вільні носії. Частина із них рекомбінує, частина локалізується на відповідних центрах і залишається там доти, поки їх термічна енергія не стане достатньою для подолання бар'єру і переходу у відповідну зону. Локалізація носіїв на дефектних центрах може викликати деяке часткове впорядкування структури скла. Свідченням цього можуть бути дані досліджень низькочастотної області спектра комбінаційного розсіювання світла. Для пояснення даного ефекту можна взяти модель, засновану на флуктуаціях потенціалу. Флуктуації потенціалу можуть виникати як за рахунок локальних змін густини і складу, що спричинює пружні флуктуації забороненої зони (несиметричні флуктуації), так і в зв'язку з флуктуаціями густини електронних зарядів, тобто "ізоелектричнi" (симетричні) флуктуації. Флуктуації густини і складу, як свідчать результати вимірювання малокутового рентгенівського розсіювання і дані фотоемісійних досліджень при фотоіндукованих змінах, малі і навряд чи можуть призвести до спостережуваного зсуву краю пропускання та його експоненціальної залежності від енергії фотонів. Крім того, симетричні флуктуації можуть бути змодельовані за допомогою заряджених центрів типу D+ , D- і т.д.
Останні, можливо, "заморожуються" при температурах, нижчих за температуру склування, і набувають характеру потенціальних флуктуацій, подібно до зображеного на мал.14.
В процесі оптичної генерації вільці носії надалі локалізуються в "ямах" флуктуацій густини станів зони. Припинення освітленості не викликає значне зменшення концентрації захоплених носіїв, оскільки, з одного боку, вони просторово розділені, і ймовірність рекомбінації дуже мала; з іншого боку,-делокалізація не відбувається у зв'язку із значним енергетичним бар'єром (за підрахунками, порядку 0.7-0.8еВ для стекол на основі селеніду миш'яку), що відділяє їх від відповідних зон.
У результаті одержуємо, що локалізація носіїв у певних місцях флуктуаційних потенціалів призводить ніби до згладжування рельєфу таких флуктуацій, дещо зменшує ефективну оптичну зону (на мал.14 це помічено пунктиром). Прогрівання експонованого зразка до температур стирання обумовлює делокалізацію захоплених носіїв заряду. Останні, маючи достатню для подолання бартеру енергію, переходять в зони і потім рекомбінують по одному із можливих каналів. Далі, після стирання оптичного запису, відповідний електростатичний рельєф знову заморожується, обумовлюючи збільшення енергії оптичних міжзонних переходів.
Виходячи з викладеного, можна константувати, що при підсвічуванні відпаленого шару локалізація носіїв в екстремумах флуктуаційного електростатичного потенціалу, що обумовлює існування рівнів у забороненій зоні, викликає експериментальне спостереження змін оптичних і фотоелектричних властивостей. Структурні зміни, наприклад, перемикання або обрив зв'язків, у реверсивних циклах, мабуть, не відбуваються, про що свідчать експериментальні дані по КРС. Можливо, деяке локальне упорядкування структурної сітки поблизу дефектів з локалізованими на них носіями заряду проявляється слабою зміною довжин і кутів валентних зв'язків .
На мал.14 зображено розподіл густини локалізованих станів у забороненій зоні халькогеніду. Розглянемо їх участь в елекгронно-діркових процесах при вимірюванні фотопровідності, дрейфу нерівноважних носіїв, індукованого поглинання і характер впливу на них засвічування. Вважатимемо, що в температурному інтервалі вимірювань провідність здійснюється дірками по делокалізованих станах, тобто нижче Еv . .Значення активаційної енергії темнової провідності визначає енергетичну відстань Е2 станів, локалізованих поблизу Еf відносно Еv . При цьому не виключається участь інших, більш мілких рівнів Е1 <Еf , як це має місце в стеклах Аs2 S3 . Фотопровідність досліджених хальхогенідів носить активаційний характер з енергією Еф ≈ 0.З еВ. Вона пов'язна з характеристичною глибиною локалізованого на краю валентної зони "хвоста" густини станів. У забороненій зоні бінарних халькогенідів типу Аs-S і сполук на їх основі є стани, розміщені на 0.4, 0.6 і 0,7-0,8 еВ від стелі валентної зони. Наявність таких рівнів підтверджується дослідженням термостимульованих струмів, дрейфової рухливості. Засвічування шару халькогеніду при Ткімн. згідно з даною моделлю призводить до локалізації носіїв заряду на глибоких рівнях з Е1 =0.7-0,8 еВ. У такому випадку це повинно відобразитися в експериментах, які "зондують" ці рівні.
Зміну ступеня заповнення рівнів виявлено при дослідженні форми імпульсу перехідного струму, зокрема його післяпрольотної (t>tпр. ) частини, безпосередньо пов'язаної з взаємодією дрейфуючого пакета з глибокими рівнями. Стани, що обумовлюють компоненту з Тстир. = 220 К, проявляються в експериментах за термостимульованим спорожненням пасток (Еt =0.4 еВ), попередньо заповнених в умовах збудження, аналогічних реалізації оптичного запису.
В результаті засвічування шарів халькогеніду зменшується енергетичний інтервал ∆Еv (∆Еc ), заповнений cтанами, локалізованими в "хвостах" зон. Підтвердженням цьому є зменшення "оптичної" забороненої зони, а також активаційної енергії фотопровідності і глибини залягання рівня на ∆Еv . Розглядувані рівні є центрами захоплення дірок, поскільки в експериментах по дрейфу спостерігається сигнал перехідного струму лише при плюсевій (позитивній) полярності верхнього електрода.
Таким чином, можна вважати, що ініціюючим механізмом процесу, фотоіндукованих зворотних змін властивостей халькогенідних склоподібних напівпровідників є локалізація носіїв заряду на дефектних центрах відповідної глибини залягання.
РОЗДІЛ 3
КОНЦЕНТРАЦІЙНІ ЗАЛЕЖНОСТІ ОПТИЧНИХ ВЛАСТИВОСТЕЙ МОДИФІКОВАНИХ СТРУКТУР ТИПУ <Ge40 S60 :X> (X-Te,Bi,Pb)
Відомо, що введення елементів, хімічно відмінних від атомів матриці, змінює фізичні властивості халькогенідних склоподібних напівпровідників (ХСН). Ця зміна спостерігається як при введені домішок в розплав під час синтезу скла, так і при сумісному напилені ХСН і хімічного елементу. Завдяки цьому активно розвивається новий підхід до керування властивостями напівпровідників, що базується на формуванні в напівпровідниковій матриці нанорозмірних атомних утворень, в склад яких можуть входити атоми введених домішок, атоми власних компонентів, а також власні точкові дефекти матриці скла Такі новоутворення викликають зміну енергетичного стану в забороненій зоні при збереженні незмінним фазового стану основної речовини. Тому пошук модифікуючих елементів для створення неоднорідних структур на основі склоподібних халькогенідів, здатних помітно впливати на властивості досліджуваних структур, є актуальною задачею. Викладемо результати досліджень оптичних властивостей градієнтних плівок на основі матриці Ge40 S60 з Те, Bi, Pb і їх зміну зі зміною концентрації модифікатора. Вимірювання виконані в інтервалі концентрацій хімічних елементів 0 ÷15 ат.%.
Методика експерименту. Для одержання градієнтних плівок на основі склоподібних Ge40 S60 з різними модифікаторами використовувався метод термічного випаровування у вакуумі (3⋅10-5 Тор) [8]. Формування градієнтної структури проводилось шляхом одночасного випаровування матричного складу в стаціонарному режимі і хімічного елементу-модифікатора. Динаміка числа атомів модифікатора при дії неоднорідного джерела атомного потоку забезпечувала його прогнозований розподіл по товщині осадженої плівки. Контроль хімічного і кількісного складу одержаних градієнтних плівок проводився методом масспектрометрії пост-іонізованих нейтральних частинок [9].
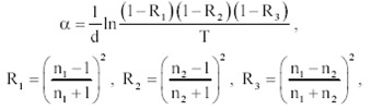
Одержані градієнтні структури <Ge40 S60 :X> (Х-Bi, Pb, Te) є аморфними, мають високу механічну і хімічну стабільність тільки для обмеженої концентрації елементів-модифікаторів. Обмеженість концентрації елемента-модифікатора в склоподібній матриці Ge40 S60 пояснюється як особливостями мікронеоднорідної структури, здатністю до можливого відхилення складу від стехіометрії Ge40 S60 , так і високою спорідненістю та енергетичною вигідністю реакції взаємодії модифікатора і халькогена. До певної концентрації введений модифікатор тільки впроваджується в матрицю Ge40 S60 , насичуючи свої валентні зв’язки. Модифікатор взаємодіє, в основному, з дефектами структури шару, утворюючи різні її фрагменти. В залежності від типу вихідного матеріалу, відбувається формування аморфної структури, що впливає на оптичні параметри. При надлишковому вмісті модифікатора відбувається утворення нових структурних одиниць, що сприяє кристалізації шару [9]. Дослідження краю власного поглинання проводили в спектральному діапазоні 0,33 ÷ 1,10 мкм на спектрофотометрі СФ-46 [10]. Коефіцієнт поглинання визначався по величині коефіцієнтів відбивання і пропускання з урахуванням багаторазового відбивання в шарі:

де d – товщина зразка, T – коефіцієнт пропускання, R1 , R2 , R3 – коефіцієнти відбиванн відповідно підкладка-повітря, плівка-повітря, підкладка-плівка, n1 – показник заломлення скла, n2 – показник заломлення матеріалу.
Еліпсометричні дослідження завжди пов’язані з розв’язуванням прямої або оберненої задач еліпсометрії. У прямій задачі еліпсометрії розраховуються вимірювані еліпсометричнікути для обраної моделі структури з відомими оптичними властивостями та геометричними розмірами. Обернена задача використовує виміряні за допомогою еліпсометра кути ∆ та Ψ для знаходження невідомих оптичних параметрів системи, що досліджуються.Оскількирівняннядляпрямоїзадачі є нелінійними і трансцендентними, в більшості випадків не можна аналітичним шляхом одержати обернені рівняння. Розв’язання основного рівняння еліпсометрії проводиться чисельними методами за допомогою комп’ютера. Багатокутові еліпсометричні вимірювання здійснювалися за нульовою методикою на базі еліпсометра ЛЭФ-3М-1 з робочою довжиною хвилі λ = 632,8 нм у діапазоні кутів падіння світла ϕ = 45-80° [9].
На мал.14 представлений край власного поглинання структур на основі склоподібного Ge40 S60 з різними модифікаторами [11]. Для досліджуваних структур спостерігається нелінійна концентраційна залежність, що супроводжується зменшенням ширини оптичної щілини зі збільшенням вмісту модифікатора, яка пояснюється зміною хімічного складу. При дослідженні плівок з вмістом концентрації більше гранично допустимої (для Pb>10 ат.%, Bi>15 ат.%, Те>30 ат.%) спостерігався сильно затягнутий край поглинання та мале пропускання, що говорить про велику кількість домішкових центрів і можливість релеєвського розсіювання світла.
По мірі збагачення шарів модифікатором (Bi, Pb,Те), край поглинання зміщується в довгохвильову область спектру, зменшується різкість наростання поглинання градієнтної плівки з енергією падаючого світла, що характеризує збільшення степені розупорядкування одержаної структури. В таблиці 1 представлені значення ширини оптичної щілини в залежності від типу модифікатора. Видно, що при однаковій концентрації модифікатора найбільша зміна ширини оптичної щілини відносно матриці Ge40 S40 відбувається при введені вісмуту, а найменша при введені свинцю (мал.15).
ВИСНОВОК
В даній курсовій роботі оглянуто основну літературу на тему “Оптичні властивості некристалічних напівпровідникових халькогенідів”.
Було зазначено, що за рахунок цікавих оптичних властивостей набули широкого практичного використання. Вони використовуються в пристроях для запису та обробки інформації. При взаємодії світла з ХСН у ньому відбуваються фотостимульовані перетворення, які приводять до зміни показника заломлення та показника поглинання, тобто ХСН регіструє інформацію, яку несе світловий промінь. Ця інформація може зберігатися на протязі довгого проміжку часу (10-12 років). Процес стирання інформації відбувається при нагріванні ХСН до температури розм'якшення, після чого його можна застосовувати для запису нової інформації. Щільність запису оптичної інформації може досягати 1010 біт на 10x10 см2 , або при голографічному записі- 108 -105 біт на см3 . Для підвищення чутливості регіструючих середовищ використовують композиції ХСН-термопластик, або як їх називають, фототермопластичні носії (ФТПН) інформації, які являють собою композицію з провідного електрода нанесеного на лавсанову підкладку, шарів ХСН і термопластика. ХСН використовують як фотоматеріал для обробки інформації і інше. Цілком зрозуміло, шо найперспективнішими матеріалами в цій прикладній області є композиції, в яких ступінь змін при дії зовнішніх чиників (квантів електромагнітного і корпускулярного випромінювання, електричного і мчгнітних полів, температурних полів і ін.) є максимальною. ХСН використовуються в фотокопіювальних установках - ксерографії, відкриття ефекту перемикання сприяло використанню аморфних матеріалів у обчислюваній техніці. Сприяє більш широкому використанню аморфних напівпровідників створення гібридних структур, аморфні кристалічні гетеропереходи. Гібридні переходи характеризуються меншою, порівняно зкристалічною, щільністю дислокацій, що забезпечує майже ідеальну вольтамперну характеристику.
СПИСОК ВИКОРИСТАНОЇ ЛІТЕРАТУРИ
1.Несеребряные фотографические процессы /Под ред. А.Л. Картужанского . - Л.: Химия, 1984. С. 376.
2.Микаэлян А.Н., Палагушкин А.Н., Прокопенко С.А. //Доклады РАН. 2002.№ 5. С. 621.
3.Andrei Andriesh, Valeriu Bivol, Okan Ersoyet al.//SPIEProceedingV.5581.P. 531–545.
4. Свойства светочувствительных материалов и их применение в голографии / Отв. ред. В.А. Барачевский. Л.: Наука, 1987. С. 100–105.
5.Семак Д.Г., В.М. Різак. Фізика нерівноважних явищ у напівпровідниках (Спецпрактикум).- Ужгород: Вид-во Ужгородського державного університету, 1998. - 183 с.
6.Борец А.Н., Химинец В.В., Туряница И.Д., Кикинеши А.А., Семак Д.Г. Сложные стеклообразные халькогениды. - Львов: Вища школа, 1987.
7. Мотт Н.,Дэвис Э. Электронные процессы в некристаллических веществах: В 2-ох томах. - М.: Мир, 1982.
8.Н.В. Юркович, А.В. Лада, В.Ю. Лоя, И.М. Миголинец, С.С. Крафчик, О.И. Пагулич. Особенности получения неоднородных структур Ge2 S3 +Al (Bi, Pb, Te) заданным распределением компонент // Сборник докладов 14-го Международного симпозиума «Тонкие пленки в оптике и электронике», Харьков, ННЦ ХФТИ, сс. 138-139 (2002).
9.Н.В. Юркович. Моделювання та фізичні властивості модифікованих структур на основі склоподібних халькогенідів германію. Автореферат дис. канд. фіз.-мат. н., Ужгород, 16 с (2004).
10.Н.В. Юркович, І.Й. Росола, І.М. Миголинець, А.В. Лада. Вплив концентрації модифікатора на край власного поглинання структур змінного складу Ge2 S3 +Bi (Pb, Te) // Фізика і хімія твердого тіла. 2 (4),
сс. 669-672 (2001).
11.И.Й. Росола. Дисперсия показателя преломления в стеклах As2 S3 -GeS2 // УФЖ, 27 (9), сс. 1410-1411 (1982).
12.S.H. Wemple. Refractive-index behaviour of amorphous semiconductors and glasses // Phys.Rev.B. 7 (8), рр. 3767-3777 (1973).
13.M.R. Tubbs. A spectroscopic interpretation of crystalline iсonicity // Phys.Stat.Sol., 41 (1), рр. K61-K64 (1970).
14.Н.В. Юркович, І.М. Миголинець, В.Р. Романюк,А.В. Лада, В.Ю. Лоя.Оптичні властивості неоднорідних модифікованих структур на основі склоподібного Ge2 S3 // ІХ Міжнародна конференція “Фізика і технологія тонких плівок”, Івано-Франківськ, 2 , С.133 (2003).