| Скачать .docx |
Реферат: Макросвіт і мікросвіт, їх взаємозв'язок. Сучасна картина світу
РЕФЕРАТ
На тему: М акросвіт і мікросвіт, їх взаємозв'язок. Сучасна картина світу
Макросвіт і мікросвіт, їх взаємозв'язок. Сучасна картина світу
Фізика - це наука про природу. Вона виникла, як результат споконвічного прагнення людей зрозуміти й описати світ, що її оточує. Світ надзви-чайно складний і цікавий. Людина, як частина цього світу завжди намага-лася зрозуміти його будову. Чи можливо його пізнати? Сьогодні ми зна-ємо, що світ пізнаваний і що багато чого вже відомо.
Найважливішим є те, що всі навколишні тіла складаються з атомів . Атоми є цеглинками світобудови, вони знаходяться у безперервному русі, притягаються на великих відстанях, але відштовхуються, коли їх нама-гатися наблизити один до одного. Розміри атомів приблизно 10–10 м.
Чи можна побачити атом? Можна – у тунельний мікроскоп (1981 р.). Дивлячись у такий мікроскоп, можна перерахувати атоми поштучно (рис.1).

Рис. 1. Тунельний мікроскоп. Тунельний струм залежить від відстані між голкою й поверхнею
Чи є користь від того, що світ складається з атомів? Користь дуже велика. Лише в цьому випадку можна зрозуміти чому існують тверді, рідкі й газоподібні тіла; з якою швидкістю поширюється звук; чому летить літак; що таке температура і багато іншого.
А з чого складаються атоми? Атоми складаються з позитивно зарядженого ядра й негативно заряджених електронів, які рухаються навколо нього.

Рис. 2.Структура атома
Розміри електронів до цьго часу не піддаються вимірюванню. Відомо лише, що радіус електрона менший 10–18 м. Розмір ядра набагато більший, і має порядок 10–4 ÷ 10–5 Å або 10–14 ÷ 10–15 м. У свою чергу, ядра складаються із протонів і нейтронів.

Рис. 3. Структура ядра
Уся маса атома зосереджена в ядрі. Електрон майже в 2000 разів легший від протона й нейтрона:
mp ≈ mn ≈ 1,67· 10–27 кг. (1)
Можна поставити ще й таке запитання “А з чого складаються протони й нейтрони?” Відповідь відома. Вони складаються з кварків. А електрон? Сам по собі він ні з чого не складається. Однак зупинимося поки що на цьому, інакше можна досить швидко підійти до межі незвіданого.
Атом порожній. Якщо ядро атома збільшити до розмірів яблука, то відстань від ядра до електронів буде порядку 1 км. Якби електрони і ядра не мали заряду, атоми спокійно проходили б один крізь інший, зовсім не заважаючи один одному.
Де все це знаходиться? Де розігруються всі явища природи? Весь цей простір називається Всесвітом . Розміри Всесвіту мають порядок 1030 м або приблизно 1010 світлових років. Для порівняння, відстань від Землі до Сонця дорівнює 1,5· 1015 м (150 млн. км.), а радіус Землі дорівнює 6,4· 106 м (6400 км). Загальне число протонів і нейтронів у Всесвіті дорівнює 1080 (1078 ÷ 1082 ). До складу Сонця входять близько 1057 протонів і нейтронів, у складі Землі їх - 4· 1051 . Число зірок із масою порядку маси Сонця приблизно дорівнює 1023 . Зірка має масу від 0,01 до 100 мас Сонця.
Усе в природі складається з атомів, у тому числі і люди. Життя - це найбільш складне явище у Всесвіті. Людина, як одна з найбільш складних живих істот, складається з ≈ 1016 клітин. Клітина є елементарним фізіологічним осередком, який містить 1012 ÷ 1014 атомів. У будь-яку клітину будь-якого живого організму входить хоча б одна довга молекулярна нитка ДНК (дезоксирибонуклеїнової кислоти). У молекулі ДНК 108 ÷ 1010 атомів, точне розташування яких може змінюватися від індивідууму до індивідууму. Можна сказати, що молекула ДНК є носієм генетичної інформації.
Невіддільним від атомів є поняття взаємодії . Як атоми скріплюються між собою у твердому тілі? Чому Земля рухається навколо Сонця по коловій орбіті, а не летить від нього? Нарешті, чому протони в ядрі, маючи позитивний заряд, не відштовхуються один від одного і не розлітаються? Що тримає їх разом?
У даний час у природі виявлено чотири основних види взаємодії: електромагнітна, гравітаційна, сильна й слабка.
Перший вид взаємодії відбувається між зарядженими частинками. Коли пальцем намагатися натиснути на стіл, то будемо мати справу з взаємодією електромагнітної природи. Є притягання і є відштовхування.
Гравітаційна взаємодія, основним проявом якої є закон всесвітнього тяжіння, проявляється завжди у вигляді притягання (гравітаційне відштовхування поки що не виявлене). Свідченням цього є ті ж яблука, які завжди падають на Землю. Притягання між Землею й Сонцем змушує Землю рухатися по коловій орбіті навколо Сонця. Сила тяжіння - це та сила, яка змушує світитись зірки. Вона надає ядрам атомів необхідну для зближення кінетичну енергію (для подолання сили електpичного відштовхування), щоб змогла розпочатися реакція термоядерного синтезу - основного джерела енергії більшості зірок у Всесвіті.
Сильна взаємодія, на відміну від перших двох, є дуже короткодію-чою. Радіус дії сильної взаємодії не перевищує радіуса ядра і має порядок 10–14 ÷ 10–15 м. Ця взаємодія проявляється між нуклонами, тобто протонами й нейтронами, і завжди має характер притягання.
Нарешті, остання взаємодія - це слабка взаємодія. За допомогою слабкої взаємодії поглинається речовиною така невловима частинка як нейтрино. Прикладом процесу, у якому відбувається слабка взаємодія, є так званий β -розпад нейтрона. З урахуванням слабкої взаємодії вільний нейтрон нестабільний і розпадається на протон, електрон і антинейтрино приблизно через 15 хвилин:
(2)
Останнім часом завдяки зусиллям теоретиків вдалося об'єднати електромагнітну й слабку взаємодії в одну, що зменшує число основних взаємодій до трьох. Порівняльна сила цих взаємодій така: якщо вважати, що відносна величина взаємодії нуклонів (протонів і нейтронів) у ядрі дорівнює одиниці, то наступною за величиною буде електромагнітна взаємодія - 10–2 , потім слабка - 10–5 . Найслабшою в цьому випадку є гравітаційна взаємодія ~ 10–40 .
Природа сильної взаємодії усе ще залишається не повністю зрозумілою. Точніше, її теорія усе ще недобудована. Проте, людство вже навчилося використовувати ядерні сили, створивши атомну бомбу. Природа давно навчилася використовувати ці сили. Термоядерна реакція на Сонці - джерело тепла на Землі, причина свічення зірок у нічному небі, завдяки чому ми бачимо зірки, що знаходяться від нас на відстані в тисячі й мільйони світлових років.
Одним із найважливіших понять, введених у сучасну фізику, є поняття поля . Простір, у якому немає частинок і тому його можна назвати «порожнім», насправді не є таким. У «порожньому» (від частинок) просторі можуть існувати різні поля, прикладом яких є електромагнітне поле. Ці поля можуть існувати цілком самостійно, незалежно від частинок, які їх породжують. Ця форма існування - тепер добре відомі електромагнітні хвилі. Електромагнітні хвилі ввійшли в наше повсякденне життя. Радіо й телебачення здаються нам настільки ж природними як і автомобіль.
Гравітаційні хвилі поки що не виявлені експериментально, але їх існування впевнено пророкує загальна теорія відносності Ейнштейна. І, очевидно, їх виявлення не за горами. Уже тепер є реальним створення надчутливих детекторів гравітаційних хвиль, які здатні зареєструвати вибух наднових зірок у Галактиці, віддаленої від нас на відстань у мільйони світлових років. І тоді одночасно зі спалахом світла до нас дійде гравітаційна хвиля, яка теж поширюється зі швидкістю світла. Збіг у часі цих подій буде переконливим доказом існування гравітаційних хвиль.
Основною рушійною силою майже всіх процесів, які відбуваються на Землі, є електромагнітні сили і явища, що ними породжені. Знання цих сил є основою для розуміння хімічних реакцій, біологічних процесів, а значить і життя, руху повітря, води і навіть землетрусів. І все це ховається в такій малесенькій часточці, як атом, що складається з позитивно зарядженого ядра і негативно заряджених електронів, які рухаються навколо нього.
Але чому електрони не падають на ядро, адже вони до нього майже доторкаються? Можна було б думати, що причина та ж, що і при обертанні Землі навколо Сонця. Земля обертається і не падає. Але тут є одна проблема. Річ у тому, що електрично заряджена частинка, рухаючись із прискоренням, випромінює електромагнітні хвилі. Ці хвилі несуть із собою енергію. У результаті електрон повинен, зрештою, впасти на ядро, а цього не відбувається - атом відносно стійкий (наше з вами існування - тому доказ). У чому ж причина стабільності атома? Справа в тім, що закони, які керують рухом електрона навколо ядра атома, - це не ті закони класичної механіки, завдяки яким Земля рухається навколо Сонця. В атомі діють закони квантової механіки.
Квантова механіка , або квантова фізика - одне з найбільших наукових досягнень двадцятого століття. Вона описує закони руху частинок у мікросвіті, тобто рух частинок малої маси ( або електронів атома) у малих ділянках простору. Квантова механіка - це більш загальна наука, яка включає в себе класичну механіку як окремий випадок. До чого ж зводиться основне твердження квантової механіки? Воно зводиться до того, що частинки не можуть мати одночасно визначені значення координат й імпульсу, тобто у квантовій механіці не існує поняття траєкторії частинки. Якщо Δ x - це невизначеність координати частинки, а Δ p - невизначеність її імпульсу, то ці величини в квантовій механіці обмежені нерівністю
Δ x Δ p ≥ ħ. (3)
де ħ - постійна Планка (ħ = 1,054· 10–34 Дж·с).
Це співвідношення, називається співвідношенням невизначеності Гейзенберга. Суть цього співвідношення полягає в тому, що якби електрон упав на ядро (а воно дуже маленьке), то його координата визначалася б із точністю Δ x = 0. Але в цьому випадку невизначеність імпульсу Δ p буде дорівнювати безмежності і електрон з такою енергією вилетів би з ядра знову, переборовши сили притягання. Неможливість локалізації електрона на ядрі є в остаточному підсумку наслідком того, що насправді електрон - не частинка, а хвиля, довжина якої
(4)
де p — імпульс електрона.
А, як відомо, хвилю не можна локалізувати в просторі з розмірами, меншими за довжину хвилі. З цих міркувань можна оцінити розмір атома.
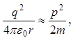
Скористаємося співвідношенням невизначеності Δ r Δ p ≈ ħ, де Δ r — невизначеність координати електрона, а Δ p — невизначеність його імпульсу. Будемо вважати, що величини Δ r ≈ r і Δ p ≈ p , де r - характерна відстань електрона від ядра (тобто розмір атома), а p - значення імпульсу електрона на цій відстані. При русі електрона в кулонівському полі ядра, потенціальна енергія буде такого ж порядку, що й кінетична енергія. Тому маємо два співвідношення для визначення p і r :
(6)
.
З першої умови одержуємо, що
Підставивши цей вираз у друге рівняння, знайдемо радіус атома
(7)
Приблизно ħ ≈ 10–34 Дж·с, m ≈ 10–31 кг і q ≈ 1,6· 10–19 Кл. Підставля-ючи ці величини у формулу (7), одержуємо 0,4 Å.
Таким чином, атом є досить стійким завдяки існуванню принципу невизначеності. Квантова механіка необхідна для розуміння хімічних і біологічних процесів, а значить для розуміння того, як ми улаштовані. Однак, унаслідок її відносної складності, починають вивчати фізику з більш простих речей - із класичної механіки.