| Скачать .docx |
Реферат: Магнітне поле рухомого заряду
РЕФЕРАТ
на тему:”МАГНІТНЕ ПОЛЕ РУХОМОГО ЗАРЯДУ. ЯВИЩЕ ЕЛЕКТРОМАГНІТНОЇ ІНДУКЦІЇ ”
План
1. Магнітне поле рухомого заряду. Сила Лоренца. Рух заряджених частинок у магнітному полі
2. Ефект Холла. Магнітогазодинамічний генератор та його використання
3. Явище електромагнітної індукції
4.Самоіндукція. Індуктивність. Е.р.с. самоіндукції
1. Магнітне поле рухомого заряду. Сила Лоренца. Рух заряджених частинок у магнітному полі
Покажемо, що будь-яка заряджена частинка в процесі руху утворює у навколишньому просторі магнітне поле.
Скористаємось законом Біо – Савара – Лапласа для елементу струму:
, (12.1.1)
де - магнітна проникність середовища (для не феромагнетиків наближено дорівнює одиниці); о
– магнітна стала (
); I
– струм у провіднику;
- елемент провідника;
- відстань від елементу струму, до точки знаходження індукції магнітного поля;
- кут між елементом провідника і радіусом-вектором
.
Струм I у провіднику виразимо через густину струму j переріз S, а саме
. (12.1.2)
Густину струму виразимо із електронної теорії
, (12.1.3)
де n – концентрація вільних носіїв струму в провіднику; qo
– елементарний заряд;
- середня швидкість направленого руху носіїв струму в провіднику.
Підставимо (12.1.2) і (12.1.3) у (12.1.1), одержимо
. (12.1.4)
Напрям вектора
збігається з напрямком
, тому
.
Замінимо у співвідношенні (12.1.4) Sdl на dV і ndV на dN , одержимо
, (1 2.1.5)
де dB - індукція магнітного поля, яка створюється dN зарядами на відстані r від елемента струму, у якому рухаються ці заряди.
Магнітне поле одного рухомого заряду легко розрахувати, поділивши ліву і праву частини (12.1.5) на dN :
, (12.1.6)
де B0
- магнітне поле одного рухомого заряду (рис. 12.1); qo
– величина цього заряду;
- середня швидкість направленого руху заряду.

Рис. 12.1
На рис.12.1 індукція магнітного поля одного заряду
є дотичною до силової лінії, яка має напрям обертання правого гвинта.
У векторній формі індукція магнітного поля рухомого заряду записується так
. (12.1.7)
Оскільки рухомий електричний заряд в навколишньому просторі створює магнітне поле, то з сторони зовнішнього поля на цей заряд має діяти магнітна сила. Цю силу називають силою Лоренца .
Величину сили Лоренца визначимо, скориставшись силою Ампера
, (12.1.8)
де
- сила, з якою зовнішнє магнітне поле діє на елемент провідника із струмом
.
Замінюємо струм I на густину струму в провіднику j і його значення з електронної теорії
,
де n
– концентрація носіїв струму в провіднику; q0
– елементарний позитивний заряд;
- середня швидкість направленого руху носіїв струму; S
– переріз провідника.
У цьому випадку сила Ампера буде дорівнювати
, (12.1.9)
де
- сила, з якою зовнішнє магнітне поле діє на магнітні поля всіх рухомих електричних зарядів, які є у виділеному елементі dl провідника.
Оцінимо число рухомих електричних зарядів у елементі струму Idl, яке в нашому випадку дорівнює
nSdl = dN .
Поділимо (12.1.9) на указане число електричних зарядів dN й одержимо
, (12.1.10)
де
- сила Лоренца – сила з якою зовнішнє магнітне поле діє на магнітне поле окремого електричного заряду; qo
- величина елементарного заряду;
- середня швидкість направленого руху носіїв струму; B
- індукція зовнішнього магнітного поля.
У векторній формі сила Лоренца записується так:
.
(12.1.11)
Напрям вектора сили Лоренца визначається правилом лівої руки, аналогічно правилу лівої руки для напрямку сили Ампера.
При дії на рухому заряджену частинку електромагнітного поля сила Лоренца буде складатися із двох складників, електричної сили qE
і магнітної сили
, тобто
. (12.1.12)
Формула (12.1.12) є найбільш загальним виразом сили Лоренцо для малих швидкостей руху заряду.
Розглянемо рух зарядженої частинки в зовнішньому магнітному полі.
а) нехай заряджена частинка влітає перпендикулярно до напрямку силових ліній зовнішнього магнітного поля (рис.12.2).

Рис.12.2
Сила Лоренца в цьому випадку виконує роль доцентрової сили, під дією якої заряджена частинка буде рухатися по коловій траєкторії. Рівняння руху зарядженої частинки запишеться
, (12.1.13)
де
; m - маса частинки.
Визначимо радіус траєкторії обертання, а також період обертання, вважаючи, що
, і
.
У цьому випадку радіус кривизни траєкторії й період обертання заряду будуть дорівнювати
;
, (12.1.14)
де R
- радіус кривизни траєкторії; m
- маса частинки;
- лінійна швидкість обертання; qo
- елементарний позитивний заряд; B
- індукція магнітного поля.
б) у випадку руху зарядженої частинки паралельного напрямку силових ліній зовнішнього магнітного поля (рис.12.3) будемо мати.

Рис. 12.3
Сила Лоренца в цьому випадку буде дорівнювати нулю, оскільки кут між векторами
і
дорівнює нулю. Зовнішнє магнітне поле не буде діяти на магнітне поле рухомої зарядженої частинки, якщо вона рухається паралельно силовим лініям зовнішнього магнітного поля.
в) якщо заряджена частинка попадає у зовнішнє магнітне поле під деяким кутом
до напрямку силових ліній поля, то вона буде рухатись уздовж гвинтової траєкторії, як це показано на (рис.12.4).

Рис.12.4
З рисунка видно, що
. (12.1.15)
Рівняння руху по коловій траєкторії буде мати вигляд
, (12.1.16)
де
; R
- радіус колової траєкторії.
Крок гвинтової лінії h , або шлях, який проходить заряджена частинка за один повний оберт у горизонтальному напрямі, можна розрахувати так:
, де
. (12.1.17)
Період обертання визначають із рівняння руху (12.1.16), шляхом заміни лінійної швидкості на кутову, яку в свою чергу виражають через період обертання
.
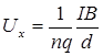
2. Ефект Холла. Магнітогазодинамічний генератор та його використання
Розмістимо провідник зі струмом у перпендикулярне зовнішнє магнітне поле, як це показано на рис.12.5.

Рис. 12.5
Сила Лоренца
зміщує рухомі електричні заряди, створюючи на гранях провідника різницю потенціалів, яку називають холлівською різницею потенціалів
Ux
.
Перерозподіл зарядів буде завершений, якщо сила Лоренца Fл стане дорівнювати електричній силі Fе , тобто
q
B = qE = q
,
(12.2.1)
де b - ширина провідника; Ux – холлівська різниця потенціалів; q – елементарний позитивний заряд.
З (12.2.1) одержуємо
Ux
=
Bb.
Середню швидкість направленого руху зарядів у провіднику знайдемо із електронної теорії, в цьому випадку
, (12.2.3)
звідки
. (12.2.4)
Підставимо (12.2.4) в (12.2.2) і після відповідних скорочень будемо мати
, (12.2.5)
де
- холлівська різниця потенціалів, яка створюється на гранях провідника із струмом у зовнішньому магнітному полі; I
– величина струму у провіднику; d
– товщина провідника; n
– концентрації вільних носіїв; q
– елементарний позитивний заряд.
Величину
- називають сталою Холла.
Ефект Холла має широке практичне використання. За допомогою ефекту Холла легко визначають знак носіїв струму у провіднику або напівпровіднику. Ефект Холла дає можливість визначити концентрацію вільних носіїв, а також будувати датчики Холла, які використовуються для вимірювання індукції зовнішнього магнітного поля.
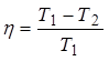
Для підвищення к.к.д. теплових електростанцій може бути використаний магнітогазодинамічний генератор, який працює на принципі ефекту Холла (рис.12.6).

Рис. 12.6
Перерозподіл поперечним магнітним полем електричних зарядів нагрітих відпрацьованих газів (утворюються в котлі при спалюванні палива), приводить до виникнення різниці потенціалів на пластинах конденсатора
, яку можна практично використати для живлення струмом обладнання самої теплової станції. При цьому зниження температури нагрітих газових продуктів горіння від Т1
до Т2
дає можливість підвищити к.к.д. енергетичного блоку
.
Якщо на вході в магнітогазодинамічний генератор (показаний на рис.12.6) продукти горіння матимуть температуру Т1 = 3000К, а на виході - Т2 = 2500К, то к.к.д. блока станції може підвищитись майже на 15%, що суттєво покращує показники роботи самої теплової електростанції.
3. Явище електромагнітної індукції
У 1831 році Фарадей відкрив один із найбільш фундаментальних законів електродинаміки – явище електромагнітної індукції .
З’єднаємо соленоїд з гальванометром, як це показано на рис.12.7. Якщо постійний магніт вводити в котушку і виводити з котушки, то гальванометр покаже в колі наявність електричного струму. Напрям відхилення стрілки гальванометра змінюється при введенні і виведенні постійного магніту.

Рис. 12.7
Відхилення стрілки буде більшим, якщо швидкість введення або виведення магніту збільшувати. Цей же ефект можна спостерігати і у випадку руху не постійного магніту, а котушки.
Відкрите Фарадеєм фізичне явище носить назву явища електромагнітної індукції. Суть явища полягає у тому, що у замкнутому контурі при зміні в ньому потоку магнітної індукції, виникає електричний струм, який був названий індукційним.
Основні властивості індукційного струму такі:
- виникає завжди при зміні в контурі потоку магнітної індукції;
- сила індукційного струму не залежить від способу зміни потоку магнітної індукції, а визначається лише швидкістю зміни потоку.
Відкриття явища електромагнітної індукції підтвердило тісний зв’язок електричних і магнітних явищ та дало можливість побудувати генератори електричного струму з використанням у них змінного магнітного поля.
На основі виявленого фізичного явища був сформульований закон електромагнітної індукції , який називають законом Фарадея-Ленца
, (12.3.1)
де
- зміна магнітного потоку (вимірюється у Вб); dt
– час, за який відбувається ця зміна; і
– електрорушійна сила індукції.
Електрорушійна сила індукції у контурі чисельно дорівнює швидкості зміни магнітного потоку крізь поверхню, обмежену цим контуром. Знак мінус характеризує правило Ленца. Суть цього правила в тому, що в замкнутому контурі виникає індукційний струм такого напрямку, що його власне магнітне поле протидіє будь-якій зміні зовнішнього магнітного поля.
Е.р.с. індукції вимірюється у вольтах
.
На явищі електромагнітної індукції працюють практично всі генератори електричного струму, які діють на різних електростанціях.
4. Самоіндукція. Індуктивність. Е.р.с. самоіндукції
При зміні сили струму в контурі буде змінюватись зчеплений з контуром магнітний потік. Це приводить до виникнення в цьому ж контурі електрорушійної сили, яку назвали е.р.с. самоіндукції . Іншими словами це явище пояснюється так – зменшення або збільшення струму в котушці приводить до утворення власної е.р.с. і, як наслідок, ще одного струму, який називається струмом самоіндукції. Магнітне поле струму самоіндукції перешкоджає зміні основного магнітного поля у відповідності з правилом Ленца.
Електрорушійна сила самоіндукції залежить від швидкості зміни струму в котушці та від кількості в ній витків
, (12.4.1)
де L
- індуктивність котушки (L=0
n2
V
), визначається числом витків на одиницю довжини n
i об’ємом котушки V
, а також наявністю феромагнітного осердя
;
- швидкість зміни струму в котушці.
Знак мінус у формулі (12.4.1) показує, що при зменшенні струму у котушці струм самоіндукції за напрямком збігається з основним струмом і таким чином своїм магнітним полем перешкоджає його зменшенню. При наростанні основного струму у котушці струм самоіндукції миттєво змінює свій напрям на протилежний і створеним струмом самоіндукції магнітним полем протидіє наростанню основного магнітного поля.
Індуктивність котушки є її характеристикою, подібно до ємності конденсатора. Індуктивність вимірюється у генрі (Гн)
Гн.
З іншого боку, якщо в просторі, де перебуває контур зі струмом І, відсутні феромагнетики, то поле В , а це означає і повний магнітний потік Ф через контур, буде пропорційним силі струму, тобто
= LI . (12.4.2)
Тому розмірність індуктивності дорівнює
=Гн.
Визначимо індуктивність соленоїда . Магнітний потік через довгу котушку з витками, яку називають соленоїдом, дорівнює
. (12.4.3)
З другого боку
= LI. (12.4.4)
В обох випадках магнітний потік є повним, тобто зчепленим з усіма витками соленоїду. Прирівняємо праві сторони рівностей (12.4.3) і (12.4.4), одержимо
.
Звідки індуктивність соленоїда буде дорівнювати
,
де
і
.