| Скачать .docx |
Курсовая работа: Изучение особенностей электрических свойств магнитных жидкостей
Федеральное агентство по образованию и науке
Ставропольский государственный университет
Кафедра общей физики
Курсовая работа
на тему:
«Изучение особенностей электрических свойств магнитных жидкостей»
Содержание.
Введение………………………………………………………………………….3
Глава 1 «Теория электрической проводимости и методика её измерения» ...............................................................................………………….6
1.1 Понятие электрической проводимости……………………………….6
1.2 Учёт возможных погрешностей при проведении измерений электрической проводимости………………………………………….8
1.3 Особенности измерения электрической проводимости……………..11
1.4 Теория удельной объёмной проводимости применительно к магнитным жидкостям……………………………………………..…..12
Глава 2 «Теория диэлектрической проницаемости и методика её измерения» ………………………………………………………………………17
2.1 Историческая справка и понятие диэлектрической проницаемости…………………………………………………………17
2.2 Зависимость диэлектрической проницаемости от различных физических величин…………………………………………………...19
2.3 Метод измерения диэлектрической проницаемости………………...21
2.4 Диэлектрические характеристики магнитных жидкостей…………..22
Глава 3 «Экспериментальные исследования электрической проводимости и диэлектрической проницаемости магнитной жидкости» ………………………………………………………………………..25
Заключение………………………………………………………………………
Список используемой литературы………………………………………………
Введение.
Магнитные жидкости, синтезированные в середине 20-го века на стыке наук коллоидной химии, физики магнитных явлений и гидродинамики, относятся к магнитоуправляемым материалам и получили широкое практическое применение в машиностроении, медицине, других областях промышленности. Магнитные жидкости обладают уникальными магнитными свойствами: хорошей текучестью и намагниченностью. Важной особенностью ферромагнитных коллоидов, в отличие от большинства известных магнитных систем, является свобода поступательного движения магнитных частиц, которая может быть причиной структурных превращений, связанных с одновременным изменением характера магнитного упорядочения и пространственного расположения частиц в слое жидкости. Наблюдаемые в магнитной жидкости магнитомеханические, магнитооптические и электрофизические явления во многом определяются свойствами малых частиц, их взаимодействием во внешних полях и структурным состоянием системы. Связь макроскопических свойств вещества с его микроскопическими характеристиками является одним из основных вопросов физики жидких дисперсных систем.
Относительно процессов, определяющих электрические свойства магнитных жидкостей на сегодняшний день нет единого мнения; основой МЖ как правило являются полярные или неполярные диэлектрики с проводимостью порядка
См/м, поверхностно-активное вещество, выбираемое в качестве стабилизатора, имеет проводимость порядка
См/м. Частицы магнетита, хоть и имеют проводимость порядка 2×
См/м, однако окружены плотным слоем олеиновой кислоты, поэтому проводимость магнитной жидкости не обусловлена проводимостью частиц магнетита. Проводимость же самой магнитной жидкости имеет значения порядка
См/м, что соответствует электрическим свойствам разбавленных электролитов. Считается, что носителями заряда в МЖ являются ионы примесей – результат химической конденсации при соосаждении солей двух- и трех валентного железа из водного раствора действием водного раствора аммиака.
Для оценки влияния структуры исследуемых систем на электрофизические характеристики рассматриваются электропроводность и диэлектрическая проницаемость МЖ.
Диэлектрическая проницаемость . На диэлектрическую проницаемость магнитных жидкостей влияют стабилизирующие свойства и размер защитных оболочек, размер и материал частиц, концентрация примесей.
Существует большое количество выражений для расчета диэлектрической проницаемости гетерогенных систем как для статистических смесей, так и для матричных систем [49, 65]. МЖ в зависимости от концентрации дисперсной фазы и величины магнитного поля, можно рассматривать как статистическую смесь – при малых концентрациях и без магнитного поля, как матричную систему – при наложении магнитного поля.
Для магнитных жидкостей наблюдается дисперсия диэлектрической проницаемости. При этом проявляется зависимость её от напряженности магнитного поля. Причем для МЖ, отличающихся по компонентному составу и устойчивости, характер этой зависимости различен. Отмечено, что наиболее ярко он проявляется для МЖ с меньшей устойчивостью и вязкостью. С увеличением напряженности магнитного поля диэлектрическая проницаемость увеличивается (рис.1.1) [33]. Описание данного процесса опирается на модель, в которой рассматриваются процессы поляризации за счет перемещения ионов внутри стабилизирующей оболочки [29]. Это возможно при стабилизации дисперсии в результате использования электоростерического механизма.
Электропроводность магнитной жидкости. Электропроводность магнитной жидкости обусловлена несколькими механизмами: объемной и поверхностной проводимостью примесных носителей зарядов, миграцией мицелл.
Комплексное исследование электрических характеристик позволяет уточнить механизм изменения структуры дисперсных систем при воздействии на них внешних электрического и магнитного полей.
Как уже отмечалось, магнитные жидкости представляют собой дисперсные системы. Механизм электропроводности дисперсных систем определяется материалом частиц, природой стабилизирующего слоя и свойствами дисперсионной среды [30, 32]. Теории электрических процессов таких систем наиболее полно изложены в работах Духина С.С., Шилова В.Н., Дерягина Б.Ф. [30, 32, 84, 31]. Применительно к магнитным жидкостям дисперсная система состоит из частиц магнетита, покрытых прочной изоляционной оболочкой, в слабом электролите, то есть в жидком неполярном диэлектрике с примесными ионами и полярными молекулами. Концентрация примесных носителей зависит от технологии получения МЖ и качества отмывки дисперсного магнетита.
Глава 1.
Теория электрической проводимости и методика её измерения.
1.1 Понятие электрической проводимости.
Все проводники, существующие в природе, в зависимости от механизма переноса электричества при прохождении через них электрического тока можно разделить на три класса: электронные, ионные и смешанные.
К классу электронных проводников, в которых переносчиками электрических зарядов являются электроны, относятся металлы, полупроводники, большинство металлических сплавов, углерод и некоторые твёрдые соли и окислы.
В класс ионных проводников входят газы и электролиты, в которых переносчиками электрических зарядов являются ионы и прохождение тока сопровождается переносом вещества.
Изоляционные свойства материалов характеризуются электрическим сопротивлением и пробивным напряжением. Электрическое сопротивление жидкости определяет силу тока, проходящего по ней при заданном напряжении. Величина, обратная сопротивлению, называется объёмной электрической проводимостью.
Класс смешанных проводников состоит из веществ, обладающих частично электронной и частично ионной проводимостью. К ним относятся, например, растворы щелочных и щелочноземельных металлов в жидком аммиаке, некоторые жидкие сплавы и соли, характер проводимости которых меняется в определённом интервале температур, и другие вещества.
Область измерения электропроводности электролитов как одна из областей электрохимических измерений охватывает классы ионных и смешанных проводников. К ним относятся следующие типы веществ:
1) чистые вещества в твёрдом состоянии, в жидком состоянии, расплавленные соли и гидриды;
2) растворы одного или нескольких веществ в твёрдом состоянии, в расплаве, коллоидные и истинные жидкие водные и неводные растворы в неорганических и органических растворителях: окислов, солей кислот, оснований и некоторых элементарных веществ.
Измерительные методы классифицируются по большому количеству характеристик, в частности по роду контакта, по типу выходного сигнала, по характеру напряжения, применяемого для измерения.
В данном эксперименте использовался контактный метод измерения, который характеризуется тем, что в процессе измерения исследуемая магнитная жидкость находится в прямом гальваническом контакте с электродами измерительной ячейки. Однако, хотя они и дают возможность производить точные измерения, но не свободны от погрешностей, обусловленных в частности, в большей или в меньшей степени поляризационными явлениями на электродах. Даже использование мостового метода переменного тока, который обладает высокой точностью измерений и даёт возможность получать непосредственный отсчёт измеряемой величины, при измерении концентрированных растворов появляется погрешность из-за наличия поляризационных явлений.
Эти поляризационные явления при переменном токе выражены в сотни раз слабее, чем при постоянном токе (этим и обусловлено использование переменного тока в эксперименте), и зависят от частоты и концентрации раствора, а также в значительной степени от материала электрода и состояния его поверхности. Несмотря на малую величину поляризации, при измерениях электропроводности она может внести погрешность в измеряемую величину.
1.2. Учёт возможных погрешностей при проведении измерений электрической проводимости.
Изучению поляризации растворов электролитов переменным током посвящено много экспериментальных и теоретических работ. Из их результатов можно сделать выводы:
1) при прохождении переменного тока через раствор в отдельных его точках происходят периодические изменения концентрации;
2) частота этих периодических изменений пропорциональна частоте переменного тока;
3) амплитуда периодических изменений концентрации уменьшается по мере удаления от поверхности электрода, причём такое уменьшение происходит быстрее с увеличением частоты и с уменьшением коэффициента диффузии потенциалопределяющих ионов.
Величина поляризационного сопротивления, а следовательно, и величина погрешности, которое вносится в измеряемое сопротивление или электрическую проводимость, зависят от большого числа различных параметров системы: материал электрода, состав и концентрация раствора, частота и другое. В некоторых случаях погрешность от поляризационного сопротивления достигает 20%.
Наименьшая погрешность наблюдается при измерении с платинными платинированными электродами, которая при частоте 3000 Гц равна погрешности измерения, и следовательно, этой величиной можно пренебречь. Теория явлений, происходящих на поверхности электрода при прохождении переменного тока, и связь этих явлений со свойствами активной поверхности и величиной поляризационного сопротивления ещё не разработана. На основании экспериментальных данных можно предполагать, что величина поляризационного сопротивления связана со строением кристаллической решётки материала электрода, адсорбционными свойствами его активной поверхности.
Состояние поверхности электрода в значительной степени влияет на величину импеданса. Для электродов, изготовленных из двух различных материалов, развитие истинной поверхности приводит к уменьшению поляризационных явлений. Это объясняется тем, что при увеличении истинной поверхности электрода снижается соответственно истинная плотность тока поляризации и, следовательно, поляризационный эффект.
Что касается частоты переменного тока, то многими исследователями было показано, что для обратимых электродов из различных материалов в водных растворах различных концентраций зависимость величины поляризационного сопротивления RS от частоты выражается формулой:
,
где
– константа. Из этого выражения следует, что RS
уменьшается с повышением частоты и достигает незначительной величины при частоте выше 1 кГц. Это было учтено при проведении данного эксперимента. Использовалась частота 1 кГц.
Выше уже отмечалось, что погрешность, создаваемую поляризационным сопротивлением, при измерениях электропроводности можно значительно уменьшить, применяя платиновые электроды, покрытые платиновую чернью. Этот эффект впервые обнаружен Кольраушем, который рекомендовал проводить осаждение платиновой черни электролизом из раствора хлороплатината с добавлением следов ацетата свинца.
Таким образом, на основании изложенного выше, первым способом уменьшения или исключения погрешности ΔRS является применение платинирования. При этом необходимо учитывать, что платинированные электроды возможно применять только в тех случаях, когда измеряют электропроводность нейтральных и слабо разведённых растворов, имеющих концентрацию выше 0.01 н., если отсутствует опасность, что платиновая чернь будет катализатором нежелательной химической реакции в растворе.
Итак, когда есть условия для применения платинированных электродов, то при соответственном выборе степени платинирования и частоты погрешность, создаваемую поляризационным сопротивлением, можно уменьшить до такой величины, что даже при измерениях, производимых с самой высокой точностью, нет необходимости вводить поправку в результаты измерения на поляризационное сопротивление.
Однако, кроме погрешностей, создаваемых за счёт поляризационного эффекта, необходимо учитывать погрешности от теплового эффекта при протекании тока через ячейку и погрешность от паразитных токов. Для устранения данных видов погрешностей необходимо стремиться к уменьшению напряжения , приложенного к ячейке от источника, которое увеличивает тепловой эффект, также следует предельно сократить продолжительность времени отдельного измерения, нужно увеличить константу ячейки А, что достигается увеличением расстояния между электродами и уменьшением поперечного сечения сосуда. Увеличение объёма сосуда ячейки приводит к уменьшению погрешности измерения, так как для нагревания большого объёма электролита требуется длительное время.
1.3 Особенности измерения электрической проводимости.
В данном экспериментальном исследовании измерялась электрическая проводимость магнитной жидкости в зависимости от концентрации твёрдой фазы. Для этого использовалась двухэлектродные ячейки, одна из которых имеет электроды из гладкой платины, а другая из меди.
Для вычисления электропроводности магнитной жидкости необходимо знать константу ячейки А (м-1 ), которую невозможно определить прямым измерением длины сосуда и площади его поперечного сечения вследствие:
а) рассеивания силовых линий тока, которые не ограничиваются столбиком магнитной жидкости, находящейся точно между электродами;
б) невозможности выдержать точно параллельное расположение электродов и строго определённую их форму;
в) сложной формы стеклянного сосуда, ограничивающего распространение силовых линий тока.
На практике принято [Лопатин] для определения константы ячейки А применять стандартные водные растворы хлористого калия, величина электропроводности которых при различных температурах известна с большой точностью. После измерения сопротивления ячейки, заполненной раствором хлористого калия с известной величиной σ, из произведения А=σR легко вычисляется константа ячейки А.
Для вычислений стандартной величины электропроводности нормальных растворов хлористого калия при температурах до 50˚С удовлетворительные результаты даёт формула:
,
где с – константа, зависимость которой от концентрации раствора хлористого калия приведена ниже:
KCl…………………………………..0.01 0.1 0.5
C×104 …………………………………232 228 218
При определении константы ячейки с применением стандартных растворов KCl, концентрация которых ниже 0.1 н., необходимо делать поправку на электропроводность воды, которая при 25˚С должна иметь величину, близкую к 1.1×10-6 сим×см-1 .
1.4 Теория удельной объёмной проводимости применительно к магнитной жидкости.
Жидкими основами в магнитных жидкостях, как правило, являются органические среды, занимающие промежуточное положение между ионными диэлектриками и жидкими ионными проводниками (водными растворами электролитов). Широко используемый в качестве твёрдой фазы магнетит имеет в монолите относительно высокую удельную электрическую проводимость, которая, однако, на несколько порядков ниже, чем у металлов
γ≈2*104 См*м-1
Напомним, что в технических магнитных жидкостях объёмное содержание твёрдых частиц не превышает 25% (иначе наблюдается резкое снижение текучести). При этом магнитные частицы отделены друг от друга слоем ПАВ. Поверхностно активное вещество (например, олеиновая кислота) обычно также органическая жидкость, имеющая химическое сродство к основе и близкие с ней значения подвижности носителей заряда и их концентрации. Так как в качественно приготовленной магнитной жидкости все твёрдые частицы окружены слоем ПАВ, то объёмная проводимость магнитной жидкости должна определяться, по-видимому, концентрацией носителей заряда и их подвижностью в жидкой фазе.
В многочисленных экспериментах не было зарегистрировано существенного влияния магнитного поля, направленного либо параллельно, либо перпендикулярно к постоянному току, проходящему по измерительной ячейке, на электрическую проводимость магнитной жидкости.
Типичные вольт-амперные характеристики качественно приготовленных магнитных жидкостей на основе керосина, снятые без магнитного поля означают:
1) для жидкости с умеренной концентрацией дисперсной фазы (φ=0,008) ток резко возрастает с увеличением напряжения;
2) для жидкости высококонцентрированной (φ=0,3) ток с увеличением напряжения возрастает на очень маленькую величину.
Качественной считалась жидкость, коллоидные частицы Fe3 O4 которой пять раз отмывались дистиллированной водой после осаждения. Для этих жидкостей в исследованном диапазоне концентраций φ=0-0,3, начиная с напряжённости Е=2,5 кВ/м, вольт-амперные характеристики становились линейными. По их углу наклона рассчитывалась удельная электрическая проводимость.
Удельная проводимость исследуемых магнитных жидкостей зависела от объёмной концентрации магнетита немонотонным образом. В области 0<φ≤0.09 проводимость росла с увеличением концентрации магнитных частиц, а в области высоких концентраций (φ>0.16) – падала. Причём графики, полученные разными экспериментаторами, расходятся. Это можно объяснить, по-видимому, температурной зависимостью электрической проводимости жидкости. Различие в значениях γ может быть обусловлено разной степенью отмывки дисперсного магнетита после его получения.
Известно, что аналогичный вид зависимости электрической проводимости свойствен растворам сильных электролитов, и снижение проводимости в области высоких концентраций объяснялось падением подвижности ионов при увеличении общего числа носителей заряда. Это обстоятельство позволяет предположить, что в магнитных жидкостях, полученных методом химической конденсации, существует примесный тип проводимости.
Для уточнения механизма переноса заряда в магнитных жидкостях проводилась серия опытов на жидкостях с магнетитом, который вообще не отмывался после процесса химической конденсации. Вольт-амперные характеристики таких жидкостей снять не удалось, кроме одной, у которой концентрация твёрдой фазы φ=0.27. В экспериментах, проводимых при t=22˚C, наблюдался экспоненциальный рост силы тока с увеличением напряжённости электрического поля. Начиная с Е=15-20 кВ/м, наблюдались скачкообразное увеличение I и нестационарность переноса заряда. Для жидкости, у которой φ=0.27, сила тока увеличивалась пропорционально напряжению до Е=15кВ/м, затем вольт-амперная характеристика теряла линейность. Электрическая проводимость этой жидкости рассчитывалась по линейному участку.
Сделаем оценку гидродинамической концентрации для объёмной концентрации φ=0.27. Для частиц средним диаметром dср =10 нм и толщины адсорбционного слоя δ=2нм (максимальная длина молекулы олеиновой кислоты) получим φr =(dr /dср )*φ=0.74. При такой концентрации покрытые слоем олеиновой кислоты полидисперсные частицы магнетита находятся в непосредственной близости друг к другу. Следовательно, перемещение в электрическом поле примесных ионов, адсорбирующихся на частицах магнетита в процессе химической конденсации и переходящих в раствор после разбавления концентрированной пасты жидкой основой, затруднено из-за их взаимодействия с полярными длинноцепочечными молекулами олеиновой кислоты. Это взаимодействие и могло быть причиной стационарного переноса заряда в жидкости с объёмной концентрацией непромытого магнетита φ=0.27, содержащей избыточное количество примесных ионов. В жидкостях с меньшими концентрациями непромытого магнетита примесные ионы относительно свободно перемещаются по жидкой фазе, вызывая предпробойное состояние при увеличении напряжённости поля. Другая причина падения электрической проводимости в области высоких концентраций магнитных частиц может заключаться в усиливающимся рассеивании примесных ионов на магнитных моментах частиц.
Приведённые результаты позволяют оценить качество магнитной жидкости по её вольт-амперной характеристике. Избыток примесных ионов в концентрате из коллоидных частиц магнетита и стабилизатора затрудняет стабилизацию магнитной жидкости, так как адсорбирующиеся на частицах ионы препятствуют полному покрытию частиц адсорбционной оболочкой. Следовательно, отклонение от линейной вольт-амперной характеристики или нестационарность процесса переноса заряда в жидкости означают неполную отмывку высокодисперсного магнетита, что приводит к снижению агрегативной устойчивости магнитной жидкости.
Удельная электрическая проводимость магнетитовых магнитных жидкостей на углеводородной основе, измеренная на переменном токе f=60Гц, имеет тот же порядок, что и проводимость, измеренная на постоянном токе: γ=10-6 См/м. Такой же результат был получен Б.Капланом и Д.Джейбековым (1976) для магнитной жидкости на основе воды.
По зависимости удельной электрической проводимости магнитной жидкости от температуры можно оценит энергию активации носителей заряда. Обработка данных зависимостей lnγ от 1/Т находят энергию активации

Энергия активации приблизительно равна 0.2 эВ для магнитных жидкостей и 0.6 Эв для керосина. Снижение этой энергии для магнитных жидкостей по сравнению с керосином согласуется с гипотезой о существовании в магнитных жидкостях примесных ионов.
Отметим, что электрическое сопротивление магнитных жидкостей снижается приблизительно на три порядка по сравнению с основой. Однако оно остаётся на несколько порядков выше, чем у традиционных магнитных материалов, и поэтому при воздействии внешних магнитных полей потери в них на индукционные токи будут малы.
Электрическая прочность магнитных жидкостей характеризуется пробивным напряжением. Измерения пробивного напряжения для магнитных жидкостей на углеводородной основе показали его снижение (более чем на 50%) по сравнению с жидкой основой. С увеличением магнитного поля, направленного параллельно электрическому, пробивное напряжение дополнительно уменьшается и достигает Епр ≈0.5 МВ/м при индукции 0.4=0.8 Тл. Эти данные получены для магнетитовых магнитных жидкостей на кремнийорганической основе. Многократное воздействие электрического поля снижало пробивное напряжение испытуемого образца.
Глава 2.
Теория диэлектрической проницаемости и методика её измерения.
2.1. Историческая справка и понятие диэлектрической проницаемости.
Первыми работами, которые послужили основой для использования методов измерения диэлектрической проницаемости, были работы химика Друде (1897), в которых была установлена эмпирическая связь между строением молекул и диэлектрическими потерями, и Дебая (1925-1929), установившего связь между величиной диэлектрической проницаемости и диэлектрических потерь со строением молекул.
Первым аналитическим применением измерений диэлектрической проницаемости было определение содержания влаги (Берлинер, Рютер,1929) в органических соединениях. Позднее были разработаны методы определения чистоты органических соединений, методы анализа бинарных органических систем и в 1950–1960 гг. впервые были опубликованы методы диэлектрометрического титрования органических систем.
Следует отметить, что методы диэлектрометрии разработаны главным образом применительно к анализу непроводящих органических систем, что не исчерпывает всех возможностей диэлектрометрии.
Итак, относительная диэлектрическая проницаемость ε определяется как отношение ёмкости С конденсатора, диэлектриком у которого является в данном случае исследуемая магнитная жидкость, к ёмкости С0 конденсатора, диэлектриком у которого является вакуум:
![]()
Из этого соотношения видно, что относительная диэлектрическая проницаемость ε является величиной безразмерной и не зависит от выбора системы единиц.
Для безвоздушного пространства ε=1, для воздуха ε=1,0006, для остальных веществ ε > 1. При внесении диэлектрика между электродами конденсатора наблюдается увеличение ёмкости в ε раз. Причиной этого является поляризация диэлектрика, вследствие чего на поверхностях соприкосновения электродов с диэлектриком возникают связанные заряды, способствующие уменьшению в ε раз интенсивности поля Е и разности потенциалов:
![]()
Абсолютная диэлектрическая проницаемость εа , в отличие от относительной, имеет размерность [ф·м-1 ]. Между абсолютной и относительной диэлектрическими проницаемостями существует следующая зависимость:
εа = ε ε0 ,
где ε0 – диэлектрическая проницаемость вакуума, имеющая следующую размерность в единицах СИ:
ε0 = 107 /4πС2 ф·м-1 = 8.85·10-12 ф·м-1 ,
где скорость света в вакууме С= 2.998·108 м·сек-1 .
Сила взаимодействия наэлектризованных тел, согласно закону Кулона
![]()
зависит как от электрических зарядов этих тел q1 и q2 и расстояния между ними r, так и от среды, в которой находятся взаимодействующие тела, характеризуемой абсолютной и относительной диэлектрическими проницаемостями.
Смещение электрических зарядов в диэлектрике под действием электрического поля обнаруживается как соответствующий ток смещения. Его мерой является величина диэлектрического тока ID , определяющегося как электрический заряд, который в процессе зарядки или разрядки конденсатора пересёк единицу поверхности, находящуюся перпендикулярно направлению перемещения заряда. Между величиной электрического поля Е, плотностью тока смещения ID и относительной диэлектрической проницаемостью существует линейная зависимость
ID = ε ε0 E.
Ток смещения существует и в проводниках. При наложении постоянного напряжения на проводник через него протекает большой ток. В этом случае можно говорить о диэлектрической проницаемости проводящих веществ.
Из сказанного видно, что диэлектрическая проницаемость является мерой поляризации диэлектрика и является константой, присущей данному веществу.
2.2. Зависимость диэлектрической проницаемости от различных физических величин.
При измерении диэлектрической проницаемости исследуемого вещества необходимо помнить и учитывать зависимости проницаемости от различных величин. Например, если диэлектрик находится в переменном электрическом поле, то его поляризация зависит от частоты поля. При низких частотах изменение индукции следует за изменением поля без запаздывания. Изменение электрического поля и поляризация находятся в фазе и относительная диэлектрическая проницаемость имеет максимальную величину (ε = ε’). С повышением частоты ориентация диполей всё больше не успевает следовать за изменением поля. Происходит отставание по фазе ориентационной поляризации молекул от изменений поля и при очень высоких частотах ориентационная поляризация полностью исчезает (ε’ << ε) – наблюдается так называемая дисперсия диэлектрической проницаемости.
Температурная зависимость диэлектрической проницаемости имеет сложный вид, зависит от структуры вещества и применяемой для измерения частоты.
Особенно сильные изменения температурной зависимости диэлектрической проницаемости наблюдаются при структурных изменениях молекул, при фазовых переходах и т.п.
Величина диэлектрической проницаемости в значительной степени зависит от структуры молекулы. Для веществ, имеющих полярные молекулы, и, следовательно, дипольные моменты, диэлектрическая проницаемость велика. У электрически симметричных молекул результирующий дипольный момент практически равен нулю. С уменьшением симметричности молекулы величина диэлектрической проницаемости увеличивается.
Что касается зависимости диэлектрической проницаемости от агрегатного состояния вещества, то здесь нам интересны коллоиды и эмульсии. Эти состояния, в которых могут находиться магнитные жидкости, имеют много общих диэлектрических свойств. Диэлектрическое поведение водных коллоидных растворов определяется структурой коллоидных частиц. На величине диэлектрической проницаемости сказываются также физико-химические свойства коллоидов, такие, как анизотропия, образование мицелл. У гидрофильных коллоидов (желатин) часть молекул воды внедряется в мицеллы и не участвует в ориентационной поляризации. Вода, связанная в мицеллах в отличие от свободной имеет диэлектрическую проницаемость ε ≈ 2.
Для эмульсий, как и для коллоидов, простые уравнения смешения не применимы, так как результаты зависят от степени дисперсности дисперсной фазы.
Если в дисперсной среде, имеющей диэлектрическую проницаемость ε2 , распределена нерастворимая фаза с проницаемостью ε1 , то для получаемой при этом разности диэлектрических проницаемостей Δε=εэм –ε2 применимо уравнение
![]()
где v1 –объёмная доля дисперсной фазы. При постоянной величине v1 Δε растёт с увеличением степени диспергирования твёрдой фазы или степени эмульгирования жидкости.
Использование последней формулы для водных эмульсий показало, что эмульгированная вода даёт значительно меньшую величину Δε, чем растворённая. Этот эффект находит значительное техническое применение, например для определения содержания воды в трансформаторном масле.
2.3. Метод измерения диэлектрической проницаемости.
В современных методах определения величины диэлектрической проницаемости используется как постоянный ток, так и переменный ток в широком диапазоне частот.
Измерения методами переменного тока распространены боле широко. Это связано с тем, что они дают обширную информацию о структуре и свойствах диэлектрика, позволяют определять диэлектрическую проницаемость жидкостей и растворов электролитов, обладающих электропроводностью, и наконец, приборы – диэлектрометрические ячейки – в большинстве случаев являются компактными и более удобными для различных физико-химических исследований.
Мостовые методы по принципу работы делятся на две группы: 1) нерезонансные или простые мосты различного типа, которые используются главным образом при низких частотах и 2) резонансные мосты, условия равновесия которых зависят от частоты и которые могут применяться при высоких частотах . Резонансные мосты, как правило, имеют более высокую чувствительность по сравнению с нерезонансными мостами. Кроме того, мостовые методы измерения позволяют производить отдельный отсчёт активной и реактивной составляющих полного сопротивления.
Для измерения диэлектрической проницаемости могут быть использованы ёмкостные, индуктивные и контактные ячейки.
В данном эксперименте использовались контактные ячейки.
Достоинством таких ячеек является линейная зависимость между измеряемой ёмкостью С и диэлектрической проницаемостью ε исследуемой жидкости. Особенностью таких ячеек является поляризация электродов при низких частотах, которая является причиной погрешностей. Поскольку в настоящее время все методы измерения диэлектрической проницаемости основаны на сравнении ёмкости конденсатора, диэлектриком у которого является исследуемое вещество, обладающее, как правило, проводящими свойствами, то поляризация электродов, возникающая при низких частотах, также создаёт определённые погрешности при измерении ёмкости.
Основным условием использования контактной ячейки для измерения диэлектрической проницаемости является выбор достаточно высокой частоты, при которой поляризационное сопротивление и ёмкость равны нулю.
Вторым условием является необходимость устранения ёмкости двойного слоя СД . Это достигается применением электродов с достаточно развитой поверхностью (например, платинированием).
2.4. Диэлектрические характеристики магнитных жидкостей.
Диэлектрическая проницаемость ε большинства диэлектриков, характеризующая их поляризацию в электрическом поле, не зависит от напряжённости поля, но зависит от его частоты. Для магнитных жидкостей важным физическим параметром является концентрация твёрдой фазы, относительная диэлектрическая проницаемость которой выше, чем проницаемость жидких основ. Присутствие полярных молекул поверхностно-активного вещества в магнитной жидкости также влияет на её диэлектрическую проницаемость.
Р.Розенцвейг и Р.Кайзер (1969) определили относительную диэлектрическую проницаемость порошка из коллоидных частиц магнетита ε≈15 на частотах 400 Гц и 1 кГц. Н.И.Дюповкин и Д.В.Орлов (1983) исследовали магнетитовые магнитные жидкости на основе керосина, стабилизированные олеиновой кислотой, в диапазоне частот 102 -7*104 Гц. При увеличении объёмной концентрации магнетита от 5 до 19.5% относительная диэлектрическая проницаемость монотонно возрастала от 3 до 9 на частоте 100 Гц. С увеличением частоты изменения электрического поля, создаваемого в межэлектродном пространстве ячейки с плоскопараллельными электродами, относительная диэлектрическая проницаемость плавно уменьшалась, причём наиболее резкий спад наблюдался в диапазоне частот 102 -103 Гц. Измерения Г.М.Гордеева с соавторами (1983) относительной диэлектрической проницаемости близких по характеристикам магнитных жидкостей в диапазоне частот 105 -107 Гц согласуются с данными Н.И.Дюповкина и Д.В.Орлова на верхней границе частот. Эта частотная зависимость диэлектрической проницаемости ε и тангенса угла диэлектрических потерь tg δ получена при комнатной температуре. Из полученных графиков видно, что относительная диэлектрическая проницаемость исследованных образцов практически постоянна в указанном диапазоне частот. Графики для керосина и олеиновой кислоты располагаются ниже значений ε для магнитных жидкостей.
Зависимость тангенса угла диэлектрических потерь от частоты электрического поля характеризуется резким падением в диапазоне частот 102 -5*106 Гц, причём на частоте 105 Гц диэлектрические потери для магнитных жидкостей на порядок превышают tg δ для керосина. Одна из причин роста диэлектрических потерь с уменьшением частоты электрического поля может заключаться в джоулевых потерях, связанных с проводимостью магнитной жидкости.
Глава 3.
Экспериментальные исследования электрической проводимости и диэлектрической проницаемости магнитной жидкости.
В данной курсовой работе проводились исследования электрической проводимости и диэлектрической проницаемости магнитной жидкости. Все измерения проводились мостовым методом с помощью прибораЧЧЧЧЧЧЧ
Магнитная жидкость заливалась в измерительные ячейки двух видов. Одна из них имеет платиновые электроды, другая медные. Конструкции ячеек отличаются друг от друга, их схемы приведены на рисунке 1.

Рисунок 1. Схемы применяемых ячеек.
Ячейка с платинированными электродами, как уже отмечалось выше, имеет большую точность результатов измерений. Самым главным её недостатком является необходимость наличия большого объёма магнитной жидкости, что очень трудно осуществить при изучении концентрационных рядов, состоящих из большого количества концентраций. В эту ячейку помещался объём магнитной жидкости равный 50 мл. Исследуемая жидкость разводилась до концентрации φ=1%, имея начальную φ = 16%. С каждой концентрацией отдельно проводились измерения электрической проводимости и диэлектрической проницаемости.
Электроды каждой ячейки соединялись с выходами измерительного прибора на возможно короткое время, что делалось, как было описано выше, во избежание ненужных погрешностей измерений. Все эксперименты проводились при одинаковой температуре. После снятия показаний измерительного прибора для электрической проводимости и значение ёмкости для расчёта диэлектрической проницаемости, ячейка с магнитной жидкостью помещалась в перпендикулярное и параллельное магнитные поля, создаваемые кольцами Гельмгольца. Значения измеряемых величин снимались, когда напряжённость магнитного поля была максимальной. После снятия всех необходимых измерений, магнитная жидкость изымалась из ячейки, разводилась до нужной концентрации и использовалась вновь. Для повторного эксперимента изначально был приготовлен концентрационный ряд, который впоследствии можно использовать многократно.
Первое измерение проводилось в ячейке с платиновыми электродами. Результаты измерений приведены на графиках.

Рисунок 3. Концентрационная зависимость электрической проводимости.
Из графика видно, что концентрационная зависимость электрической проводимости имеет максимум, который приходится на концентрацию магнитной жидкости около 10%. Далее величина электропроводности плавно спадает с уменьшением концентрации.

Рисунок 4. Концентрационная зависимость диэлектрической проницаемости.
График зависимости диэлектрической проницаемости от концентрации магнитной жидкости подтверждает ранее полученные результаты [Ферт], в которых проницаемость вела себя подобным образом, т.е. при уменьшении концентрации величина ε уменьшается. Разница настоящих и ранее полученных измерений не велика, от неё график лишь сдвигается на определённое значение. Эта разница может быть объяснена разными температурами условий измерения.
Следующие графики получены при измерении этих же величин, но для более точного и многоуровневого концентрационного ряда. Здесь использовалась ячейка с медными электродами. Схема эксперимента такая же как и в случае с ячейкой, имеющую платиновые электроды.

Рисунок 5. Зависимость электропроводности от концентрации.
Как видно из рисунка, проводимость и в данном случае ведёт себя также, её величина начинает убывать с концентрации 10%. Этот максимум вызывает множество вопросов у исследователей. Некоторые объясняют его изменением подвижности ионов магнитной жидкости с изменением концентрации. Предполагается, что при больших концентрациях подвижность большая, следовательно, число ионов, участвующих в электропроводности велико. При разбавлении МЖ карасином проводимость, а значит, и подвижность увеличивается до определённого значения количества керосина в МЖ. Далее, начиная приблизительно с концентрации 10%, подвижность ионов падает, и проводимость соответственно уменьшается. Другая теория объясняет такое поведение проводимости увеличением степени электролитической диссоциации при увеличении дисперсной фазы в МЖ. Возможно, эти два механизма осуществляются одновременно, накладывая такой отпечаток на поведение графика.
Диэлектрическая проницаемость ведёт себя следующим образом.

Рисунок 6. Зависимость диэлектрической проницаемости от концентрации МЖ.
Следующие графики изображают зависимости измеряемых величин от изменения направления параллельного и перпендикулярного магнитных полей для различных концентраций.

Рисунок 7. Изменение проводимости в перпендикулярном магнитном поле.

Рисунок 8. Изменение проницаемости в перпендикулярном магнитном поле.

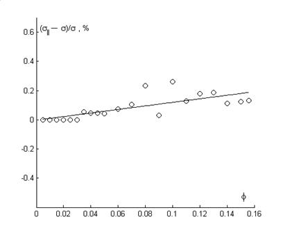
Рисунок 9. Относительное изменение проводимости в параллельном магнитном поле.

Рисунок 10. Изменение проницаемости в параллельном магнитном поле.
Список использованной литературы.
1. Вегера Ж.Г. Эффекты структурной организации коллоидных частиц и микрочастиц дисперсного немагнитного наполнителя в магнитной жидкости при её взаимодействии с электрическими и магнитными полями. Дис. канд. физ.-мат. наук. - Ставрополь, 2004.
2. Духин С.С. Электропроводность и электрокинетические свойства дисперсных систем. – Киев.: Наук. думка, 1975.
3. Лопатин Б.А. «Теоретические основы электрохимических методов анализа» М.: высшая школа, 1975г, 296 с.
4. Сивухин Д.В. Общий курс физики. Том 3- Электричество. Москва, 1977
5. Фертман В.Е., Гордеев Г.М., Матусевич Н.П., Ржевская С.П. Электрические свойства магнитных жидкостей. Свердловск: УНЦ АН СССР, 1983.