| Скачать .docx |
Реферат: Додавання гармонічних коливань
РЕФЕРАТ
на тему:”Додавання гармонічних коливань”
План
1. Додавання гармонічних коливань однакового напрямку і однакові частоти. Биття.
2. Додавання взаємно перпендикулярних коливань. Фігури Ліссажу.
3. Диференціальне рівняння вільних затухаючих коливань і його розв’язування.
1. Додавання гармонічних коливань однакового напрямку і однакові частоти. Биття
Розглянемо додавання двох коливань однакового напрямку з однаковими періодами, які відбуваються з деякою різницею фаз і мають різні амплітуди. Нехай ці коливання відбуваються в напрямі осі x. Запишемо рівняння цих коливань
(1)
Циклічні частоти ω в обох випадках однакові. Зміщення x від положення рівноваги, при участі тіла одночасно в двох коливаннях, виражається алгебраїчною сумою
![]()
Або
(2)
Для знаходження результуючої амплітуди А і початкової фази результуючого коливання φ використаємо векторну діаграму (рис.1).
Так-як вектори
і
обертаються з однаковою циклічною частотою ω, то різниця фаз
між ними залишається постійною. Результуючу амплітуду А в цьому випадку визначають за теоремою косинусів, тобто
(3)
або з урахуванням того, що
одержуємо:

Рис.1
(4)
і
(5)
Початкова фаза результуючого коливання φ дорівнює
(6)
Значення амплітуди (5) і початкової фази (6) підставимо в рівняння (2), одержимо
(7)
Як видно з (7), сумарне коливання має такий же напрям і відбувається з тією ж циклічною частотою ω. Амплітуда результуючого коливання залежить від різниці фаз обох коливань.
Якщо
де (
), то
;
Якщо
де (
), то
.
Оскільки
може набувати значень від –1 до +1, то межі зміни амплітуди будуть такими:
(8)
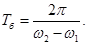
Окремим випадком можна розглядати додавання коливань з близькими циклічними частотами
і
(
). Періодична зміна амплітуди з часом, яка відбувається в цьому випадку, називається биттям. Нехай додаються два гармонічних коливання з амплітудами
і близькими циклічними частотами
і
. Початкові фази таких гармонічних коливань можна вибрати однаковими, тому
(9)
(10)
Різниця фаз двох коливань (9) і (10) буде дорівнювати
.
Скористаємось теоремою косинусів для визначення амплітуди биття
(11)
Замінимо вираз в квадратних дужках у відповідності з формулою ![]()
(12)
Вираз (12) підставимо в (11)
. (13)
або
(14)
Фаза результуючого коливання для довільного проміжку часу знаходиться із графіка (рис.2)
(15)
Результуюче коливання биття матиме вигляд:
(16)
де
– амплітуда биття.

Рис.2
Графік залежності (16) має вигляд (рис 3):
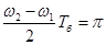
Періодичність зміни амплітуди від максимуму до максимуму дає час, який називається періодом биття
, звідки
(17)
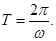
Періодичність зміни амплітуди високочастотних коливань визначається за формулою
, звідки
(18)
Оскільки циклічні частоти досить близькі, то наближено
(19)
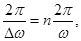
За час
відбувається n гармонічних високочастотних коливань, тому
(20)
З урахуванням співвідношень (17) і (19) вираз (20) перепишеться
(21)
звідки
а для частот ![]()
В процесі биття частоти генераторів визначаються в таких межах:
(22)
Биття використовується для вимірювання частоти невідомого генератора в процесі їх виготовлення. Складання однаково направлених коливань забезпечує амплітудну модуляцію в радіотехніці, а також проміжну частоту супергетеродинного прийому радіо і телепередач.
2. Додавання взаємно перпендикулярних коливань. Фігури Ліссажу
Нехай матеріальна точка С одночасно бере участь у двох гармонічних коливаннях з однаковою циклічною частотою у взаємо перпендикулярних напрямках (рис. 4).
При збудженні коливань матеріальна точка С буде рухатись по деякій криволінійній траєкторії, форма якої залежить від різниці фаз обох коливань.
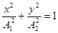
Рівняння коливань точки в напрямках осі x і осі y матимуть вигляд
(23)
де
– спільна різниця фаз цих коливань.
Щоб отримати рівняння траєкторії у звичайному вигляді, треба виключити з цих рівнянь час t.



Рис.4

![]()
В результаті отримаємо
(24)
Рівняння (24) є рівнянням траєкторії результуючого коливання точки С. Це рівняння є еліпсом, осі якого повернуті відносно осей x і y. Орієнтація еліпса і величина його півосей залежить від амплітуд
і
і різниці фаз
.
Розглянемо окремі випадки.
1. Нехай
, де
Тоді

Звідки
(25)
Результуюче коливання є гармонічним коливанням вздовж прямої з частотою ω і амплітудою
(рис.5).

Рис.5
Пряма утворює з віссю x кут ![]()
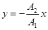
2. Нехай
де ![]()
У цьому випадку
![]()
Звідки
(26)
Результуючий рух – це гармонічне коливання вздовж прямої
(рис.6).
3. Нехай
де
В результаті одержуємо рівняння
(27)
Це рівняння еліпса, осі якого збігаються з осями координат, а його півосі дорівнюють відповідним амплітудам (рис. 7). Якщо
, то еліпс перетворюється в коло.

Рис.6

Рис.7
Два окремі випадки
і
відрізняються напрямком коливання по еліпсу або по колу.
У випадку, коли циклічні частоти взаємно перпендикулярних коливань, що додаються, різні, то замкнута траєкторія результуючого коливання досить складна.
Замкнуті траєкторії, які рисуються одночасно коливальною точкою у взаємно перпендикулярних напрямках, називаються фігурами Ліссажу. Форма цих кривих залежить від співвідношення амплітуд, частот і різниці фаз коливань, які додаються.
На рис. 8 показана одна із найпростіших траєкторій, одержаних при додаванні взаємно перпендикулярних коливань з відношенням циклічних частот 1:2 і різниці фаз
. Рівняння коливань мають вигляд:
,
. (28)

Рис. 8
Якщо відношення частот
дорівнює 1:2, а різниця фаз
то траєкторія коливань точки вироджується в незамкнуту криву (рис. 9), вздовж якої рухається точка то в одну до в протилежну сторони.

Рис. 9
Чим ближче до одиниці буде відношення частот
, тим складнішою буде фігура Ліссажу. Для прикладу на рис. 10, наведена крива фігури Ліссажу з відношенням частот 3:4 і різниці фаз
.

Рис. 10
3. Диференціальне рівняння вільних затухаючих коливань і його розв’язування
Розглянемо вільні затухаючі коливання, амплітуда яких внаслідок втрат енергії реальною коливальною системою зменшується з часом. Найпростішим механізмом зменшення енергії коливань є її перетворення в теплоту внаслідок тертя в механічних коливальних системах, а також омічних втрат і випромінювання електромагнітної енергії в електричних коливальних системах.
Закон затухання коливань визначається властивостями коливальних систем. Як правило розглядають лінійні системи – ідеалізовані реальні системи, у яких параметри, які визначають фізичні властивості системи, у ході процесу не змінюються. Лінійними системами є, наприклад, пружинний маятник при малих деформаціях пружини (в межах дії закону Гука), коливальний контур, індуктивність, ємність і опір якого не залежать ні від струму в контурі, ні від напруги. Різні за своєю природою лінійні системи описуються ідентичними лінійними диференціальними рівняннями, які дозволяє підходити до вивчення коливань різної фізичної природи з єдиної точки зору.
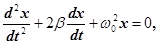
Диференціальне рівняння вільних затухаючих коливань лінійної системи задається у вигляді
(29)
де x – коливна величина, яка описує той або інший фізичний процес,
– коефіцієнт затухання, ω0
– циклічна частота вільних незатухаючих коливань тієї ж коливальної системи, тобто при
(при відсутності втрат енергії).
Щоб знайти розв’язок рівняння (29), слід фізичну величину х виразити через нову змінну z відповідно до рівняння
(30)
де z = z (t). Після підстановки першої і другої похідних від рівності (30) в рівняння (29) одержимо
(31)
Розв’язок рівняння (31) залежить від знака коефіцієнта
перед шуканою величиною. Розглянемо випадок, коли цей коефіцієнт позитивний, тобто
.
Тоді одержимо рівняння типу
(32)
де
. (33)
Розв’язком рівняння (32) є рівняння типу (9) першої теми:
(34)
Після підстановки (34) у (30) для випадку малих затухань
одержуємо розв’язок рівняння (29) у такому вигляді:
(35)
де
─ амплітуда затухаючих коливань, Ао
- початкова амплітуда.
Залежність (35) показана на рис. 11 суцільною лінією, а амплітуда коливань — пунктирними лініями.
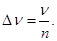
Проміжок часу
, протягом якого амплітуда затухаючих коли- вань зменшується у е разів, називається часом релаксації.
Затухання порушує періодичність коливань, тому затухаючі коливання не є періодичними, а тому до них поняття періоду або частоти незастосовне.
Однак якщо затухання мале, то можна умовно користуватися поняттям періоду як проміжку часу між двома наступними максимумами (або мінімумами) коливної фізичної величини (рис. 11).
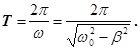
Період затухаючих коливань з урахуванням формули (33) дорівнює
(36)

Рис. 11
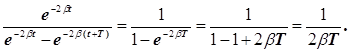
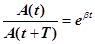
Якщо Α (t) і Α (t + T) – амплітуди двох послідовних коливань, які відповідають моментам часу, що відрізняються на один період, то їх відношення
,
називається декрементом затухання, а його логарифм
(37)
називається логарифмічним декрементом затухання; N — число коливань,
які виконує коливна система за час зменшення амплітуди в е разів.
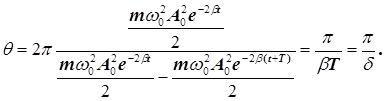
Для характеристики втрат енергії коливальною системою з часом, користуються поняттям добротності
, яка при малих значеннях логарифмічного декремента є помноженому на 2
відношенню повної накопленої системою енергії до середніх втрат енергії цією системою за час в один період, тобто
(38)
де W ─ повна енергія системи; ΔW(T) ─ середні втрати енергії системою за час в один період (t=T).
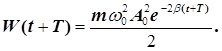
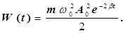
Повна енергія коливної системи в момент часу tдорівнює
(39)
Енергія коливної системи через час в один період
(40)
Втрати енергії системою за час в один період дорівнюють
(41)
Добротність коливної системи одержимо, поділивши (39) на (41) і помноживши одержану величину на 2![]()
(42)
У виразі (42) враховано, що відношення

У випадку, коли
, то в формулі (42) період коливань Tприймають рівним T0
.