| Скачать .docx |
Реферат: Дифракція світла
РЕФЕРАТ
на тему:”Дифракція світла”
План
1.Метод зон Френеля. Дифракція Фраунгофера на круглому отворі
2.Дифракція Фраунгофера на щілині
3.Дифракційна решітка. Кутова дисперсія і роздільна здатність дифракційної решітки
4.Дифракція рентгенівських променів на просторовій решітці
1. Метод зон Френеля. Дифракція Фраунгофера на круглому отворі
Дифракцією називають сукупність явищ, які спостерігаються в середовищі з різними неоднорідностями і пов’язані з відхиленням світлових променів від законів геометричної оптики. Це означає, що світлові промені мають властивість огинати перешкоди.
Явища інтерференції і дифракції світла не містять суттєвих відмінностей. В кожному із цих явищ відбувається перерозподіл інтенсивності.
Розрізняють два види дифракцій, дифракція Френеля, ттєвих відмінностей ційної ришітки.яка відбувається на різних неоднорідностях від точкових джерел світла і дифракція Фраунгофера, яка відбувається в паралельних променях від далеких джерел.
За допомогою принципу Гюйгенса-Френеля легко пояснити з точки зору хвильових властивостей світла закон прямолінійного поширення світла в однорідному середовищі. Розглянувши взаємну інтерференцію вторинних хвиль, Френель застосував прийом, який дістав назву методу зон Френеля.
Розглянемо спочатку основні положення принципу Гюйгенса-Френеля:
– кожен елемент хвильової поверхні площею S виступає в ролі точкового джерела вторинних сферичних хвиль, амплітуда яких пропорційна площі цього елемента;
– вторинні джерела, які еквівалентні точковому джерелу
, є когерентними, а тому випромінювання в них дає явище інтерференції;
– з однакових площ хвильових поверхонь випромінюється однакова енергія;
– найбільше енергії від вторинних джерел випромінюється в напрямі нормалі до цієї поверхні.
Розглянемо дифракцію сферичних хвиль, або дифракцію Френеля, яка здійснюється у випадку, коли дифракційна картина спостерігається на скінченій віддалі в від перешкоди, яка викликала дифракцію.
Сферична хвиля, яка поширюється від точкового джерела
, зустрічає на своєму шляху діафрагму Д
з круглим отвором (рис.1).

Рис.1
Дифракційну картину спостерігають на екрані Е, який перебуває на відстані в від хвильової поверхні, на мить зафіксованої в круглому отворі радіусом r .
Вигляд дифракційної картини залежить від кількості зон Френеля, які вкладаються в отворі. Для отримання зон Френеля необхідно до найкоротшої відстані від екрана до хвильової поверхні добавити
, а потім радіусом
на випуклій частині хвильової поверхні нарисувати коло (рис.2). Потім до відстані
додають ще
і радіусом
на хвильовій поверхні рисують наступне коло і т.д. Смуги на хвильовій поверхні називаються зонами Френеля
. Вони побудовані так, що фаза хвиль від початку зони до її кінця змінюється на протилежну.
Це означає, що кожна наступна зона випромінює світло в протилежній фазі до попередньої зони. Побудовані так зони Френеля мають однакові площі, а тому випромінюють однакову енергію. Кут між перпендикуляром до будь-якої зони і напрямком на точку Р зростає, а це означає що енергії від кожної наступної зони прийде в точку Р менше, ніж від попередньої зони.
Амплітуди коливань, які будуть збуджуватись в точці Р світлом від кожної із зон Френеля будуть зменшуватись із ростом числа зон Френеля, тому
. (1)

Рис.2
Але фази коливань від сусідніх зон відрізняються на π, тому амплітуда
результуючого коливання в точці Р буде дорівнювати
(2)
У виразі (2) амплітуди від непарних зон мають один знак, а від парних зон мають протилежний знак. Використовуючи цю умову формулу (2) можна записати так
(3)
Завдяки монотонності зменшення амплітуди коливань від кожної із зон Френеля вирази в дужках наближено дорівнюють нуля, для прикладу
, або
і т.д.
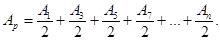
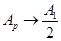
Тому якщо в круглому отворі вкладається n
зон Френеля, то при рості ![]()
. Це означає, що в деякій точці Р
на екрані результуюча амплітуда Ар
від всієї сферичної хвильової поверхні дорівнює половині амплітуди центральної зони Френеля.
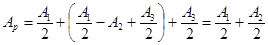
Цей же висновок можна отримати за допомогою графічного додавання амплітуд. Поділимо хвильову поверхню кожної зони Френеля на підзони значно меншої площі, ніж сама зона. Амплітуди коливань в точці Р від таких підзон будуть змінювати свій напрям на протилежний лише під кінець зони.
Графічне зображення результуючої амплітуди
від всіх підзон першої зони Френеля має вигляд

Результуюча амплітуда
від всіх підзон другої зони Френеля має аналогічне графічне зображення, зміщене по фазі на величину![]()

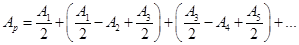
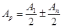
Якщо в круглому отворі вкладається дві зони Френеля, то результуюча амплітуда від цих зон буде дорівнювати А1 - А2

Якщо в круглому отворі вкладається три зони Френеля, то результуюча амплітуда від цих зон буде дорівнювати

В цьому випадку
буде дорівнювати
. (3)
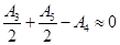
Якщо в круглому отворі вкладається непарне число зон Френеля, то в точці Р буде спостерігатись максимум інтенсивності. У випадку парного числа зон Френеля, наприклад, двох зон Френеля
(4)
одержуємо умову мінімуму дифракції.
В загальному випадку для n зон Френеля амплітуда коливань у точці Р буде дорівнювати
. (5)
Якщо n непарне, в точці Р буде максимум дифракції. Якщо n парне, то у точці Р буде мінімум дифракції.
Якщо на шляху світлових променів від круглого отвору розмістити непрозорий диск, який буде перекривати кілька центральних зон Френеля, то в точці Р буде завжди світла пляма, тобто max дифракції. Амплітуда коливань у точці Р буде дорівнювати половині амплітуди від наступної за диском зони Френеля, тобто
(6)
де n – число перекритих круглим диском зон Френеля.
Якщо на шляху світлових променів розмістити пластинку, яка б перекривала всі парні або всі непарні зони Френеля, то інтенсивність світла в точці p різко зросте. В цьому випадку
(7)
Така пластинка називається зонною пластинкою. Ще більшого ефекту можна добитись, якщо парні, або не парні зони Френеля перекриваються пластинкою, здатною у відповідних місцях змінювати фазу коливань на протилежну. Це досягається зміною товщини самої пластинки у місцях розміщення парних або непарних зон Френеля. В цьому випадку пластинку називають фазною.
Амплітуда коливань у точці Р для фазної пластинки буде дорівнювати
(8)
Фазна пластинка має властивості збірної лінзи.
2. Дифракція Фраунгофера на щілині
Нехай на досить довгу вузьку прямокутну щілину шириною b перпендикулярно до неї падає плоска світлова хвиля. Розмістимо за щілиною збірну лінзу, а у фокальній площині екран для спостережень результатів дифракції (рис. 3).

Рис. 3
Щілину шириною b ділять на N вузьких смуг шириною
(9)
де b
– ширина щілини; N
– число смуг на які поділено щілину;
– ширина однієї смуги.
Оптична різниця ходу двох променів від однієї смуги шириною
буде дорівнювати
. (10)
Оптична різниця ходу
зв’язана з оптичною різницею фаз співвідношення
(11)
де
– хвильове число;
– кут дифракції.
Для знаходження результуючої амплітуди від всіх смуг, яка буде збуджуватися в точці М (рис.3), використаємо формулу результуючої амплітуди при інтерференції багатьох хвиль
(12)
де
– амплітуда хвиль від всієї щілини; N
– число смуг, на які поділена щілина шириною b
;
– кут дифракції.
Розглянемо випадок, коли
. У цьому випадку
. (13)
Формула (12) з урахуванням (13) перепишеться
(14)
Оскільки інтенсивність світлових хвиль
пропорційна
, то
(15)
Знайдемо умови мінімуму й максимуму дифракції світлових хвиль, які приходять у точку М
(рис.3) від однієї щілини. У точці М
інтенсивність світлових хвиль буде дорівнювати нулю, якщо
. Це можливо лише у випадку, коли
, звідки
(16)
де b
– ширина щілини;
– кут дифракції; k
– порядок максимуму;
– довжина хвилі монохроматичного світла.
Умова (16) є умовою мінімуму дифракції від однієї щілини.
У точці М
буде спостерігатись максимум дифракції, якщо
. Це можливо за умови, коли
, звідки
. (17)
Умова (17) є умовою максимуму дифракції від однієї щілини.
Покажемо залежність амплітуди хвиль, які проходять від однієї щілини в точку накладання, від кута дифракції
.
а) Якщо підставити в (12) значення кута дифракції
, то одержимо невизначеність типу
. Для розкривання цієї невизначеності використаємо правило Лопіталя.
(18)
Якщо підставити цей результат в (12) одержимо
(19)

Відповідно інтенсивність хвиль буде дорівнювати
.
б) Якщо
, то як уже відомо,
і
. В цьому випадку амплітуди
від окремих смуг, на які ми поділили щілину, після додавання дають замкнену лінію

в) Якщо
, то додавання амплітуд
в довільній точці накладання не дає замкнутої лінії

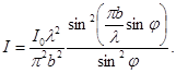
3. Дифракційна решітка. Кутова дисперсія і роздільна здатність дифракційної решітки
Дифракційною решіткою називається оптичний прилад, який складається з великої кількості однакових щілин, розділених між собою однакової ширини непрозорими проміжками. Відстань d між серединами двох сусідніх щілин, називається сталою дифракційної решітки.
Якщо розмістити паралельно решітці збірну лінзу, то в її фокальній площині на екрані можна буде спостерігати результати дифракції світла від решітки (рис.4).
Оптична різниця ходу променів від двох сусідніх щілин дорівнює
(21)
Оптична різниця фаз в цьому випадку буде дорівнювати
(22)
В точку P
на екрані приходять промені від усіх щілин. Всі ці промені зсунуті по фазі на однакову величину
.
Для знаходження результуючої амплітуди всіх хвиль, які прийшли в точку Р слід скористатися формулою результуючої амплітуди при інтерференції багатьох хвиль
(23)

Рис. 4
З урахуванням (22) результуюча амплітуда
буде дорівнювати
(24)
де
– амплітуда хвиль від однієї щілини;
– число щілин у решітці;
– стала дифракційної решітки;
– довжина хвилі монохроматичного світла.
Проведемо аналіз формули (24).
а) Якщо вираз у знаменнику (24) досягає мінімуму, тобто буде дорівнювати нулю, то амплітуда
буде найбільшою. Ця умова є умовою максимуму дифракції на дифракційній решітці, тобто
,
звідки
. (25)
Формула (25) є умовою головних максимумів дифракції на дифракційній решітці.
б) Побічні максимуми дифракції можна одержати, якщо чисельник у формулі (24) досягає максимуму. Це можливо за умови, коли
(26)
Після скорочення одержимо
(27)
Вираз (27) є умовою побічних максимумів дифракції на дифракційній решітці.
в) Побічні мінімуми дифракції на дифракційній решітці одержуємо із умови коли чисельник формули (25) буде найменшим, тобто коли
(28)
звідки
(29)
Формула (29) є умовою побічних мінімумів на дифракційній решітці.
Дифракція світла на дифракційній решітці, яка має N щілин показана на рис.5.

Рис.5
Розрахунки показують, що
Для достатньо великих значень N
побічні мінімуми і побічні максимуми не проявляються. Число головних максимумів дифракції визначається відношенням d
до λ (
), при цьому
.
Важливо знати:
а) Внаслідок немонохроматичності біле сонячне світло після проходження дифракційної решітки дає максимуми ІІ, ІІІ і більш високих порядків у вигляді спектрів.
б) Хороша решітка з малим d і великим N дає дифракційні спектри з великою роздільною здатністю. Характерною ознакою дифракційних спектрів є рівномірний розподіл кольорів у спектрі. На відміну від дифракційного спектра, призматичний спектр стиснутий в області червоних кольорів і розширений в області фіолетових кольорів.
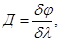
Кожна дифракційна решітка характеризується кутовою дисперсією, яка позначається буквою Д
(30)
де
– кутова відстань між спектральними лініями, які відрізняються за довжиною хвилі на величину
.
Для знаходження кутової дисперсії дифракційної решітки слід продиференціювати формулу головних максимумів дифракції
, тобто
![]()
звідки
![]()
В межах невеликих кутів
, тому можна вважати, що
(31)
Таким чином кутова дисперсія обернено пропорційна періоду решітки d . Чим вищий порядок спектра k , тим більша дисперсія.
Роздільною здатністю спектрального приладу, а таким є дифракційна решітка, називають безрозмірну величину
(32)
де R
– роздільна здатність; λ
– довжина хвилі;
– мінімальна різниця довжин хвиль двох сусідніх спектральних ліній, при якій ці лінії спостерігаються роздільно, якщо виконується умова Релея. Згідно з умовою Релея дві спектральні лінії будуть видимі роздільно у випадку, коли мінімум другої спектральної лінії знаходиться не ближче максимуму першої лінії (рис.6).

Рис.6
Знайдемо роздільну здатність дифракційної решітки. За умовою Релея максимум першої лінії в крайньому випадку співпадає з мінімумом другої спектральної лінії. Якщо спектральні лінії будуть розміщені ближче ніж
, то жоден спектральний прилад розділити їх не зможе.
Запишемо умову головного максимуму для другої спектральної лінії
(33)
Умова першого побічного мінімуму для другої лінії
(34)
Оскільки ліві частини однакові, то прирівняємо праві частини цих рівнянь
![]()
або
![]()
звідки
![]()
де
– порядок спектру;
– число всіх щілин у решітці.
4. Дифракція рентгенівських променів на просторовій решітці. Формула Вульфа-Брегга
Рентгенівське випромінювання має значно менші довжини хвиль ніж видиме світло. Звичайні дифракційні решітки для рентгенівського випромінювання використати не можливо, так як
. У цьому випадку використовують кристалічні структури, стала решітки яких збігається за розмірами з
.
Плоскі вторинні хвилі, які відбиваються від різних атомних шарів є когерентними, а тому будуть давати інтерференцію один з одним (рис.7).
З рис.7 видно, що різниця ходу двох хвиль, відбитих від сусідніх атомних шарів дорівнює АВ + ВС
=
, де d
– стала кристалічної структури;
– кут ковзання. Для максимумів дифракції на просторовій решітці
. (36)

Рис.7
Формула (36), яка має назву формули Вульфа - Брегга, має досить велике практичне використання в спектральному та структурному аналізах при вивченні властивостей твердих тіл.