| Скачать .docx |
Реферат: Волоконно-оптичні сенсори контролю шкідливих хімічних компонентів
Реферат на тему:
ВОЛОКОННО -ОПТИЧНІ СЕНСОРИ КОНТРОЛЮ ШКІДЛИВИХ ХІМІЧНИХ КОМПОНЕНТІВ
УЖГОРОД -2007
ВСТУП
РОЗДІЛ 1. ОСОБЛИВОСТІ ВОЛОКОННО-ОПТИЧНИХ ДАТЧИКІВ
1.1. Історія розвитку волоконно-оптичних датчиків і актуальність їх використання
1.2. Характеристики оптичного волокна як структурного елемента
Датчика
1.3.Одно- і багатомодові оптичні волокна
1.4.Класифікація волоконно-оптичних датчиків і приклади їхнього застосування
1.5.Волоконні світловоди і вимірювальні пристрої на їхній основі
1.6.Мікрорезонаторні волоконно-оптичні датчики
РОЗДІЛ 2.ІНТЕРФЕРЕНЦІЙНІ ВОЛОКОННО-ОПТИЧНІ ДАТЧИКИ
2.1.Торцевий волоконно-оптичний інтерферометр Фабрі-Перо
2.2. Інтерферометр Маха-Цендера і багатомодовий інтеферометр
РОЗДІЛ 3. ХІМІЧНІ СЕНСОРИ
3.1. Загальні відомості про хімічні сенсори
3.2.Принципи роботи і пристрій хімічних сенсорів
3.3.Волоконно-оптичний сенсор для контролю аміаку в повітрі
3.4.Волоконно-оптичний датчик іонізуючого випромінювання
3.5. Датчик концентрації газу
ВИСНОВКИ
СПИСОК ВИКОРИСТАНИХ ДЖЕРЕЛ
ВСТУП
Метою даної курсової роботи є огляд основної літератури на тему “Волоконно-оптичні сенсори контролю шкідливих хімічних компонентів”.
Сенсорізация виробничої діяльності, тобто заміна органів чуття людини на датчики, повинна розглядатися як третя промислова революція вслід за першими двома - машинно-енергетичної і інформаційно-комп'ютерної. Потреба в датчиках стрімко росте у зв'язку з швидким розвитком автоматизованих систем контролю і управління, упровадженням нових технологічних процесів, переходом до гнучких автоматизованих виробництв. Крім високих метрологічних характеристик датчики повинні володіти високою надійністю, довговічністю, стабільністю, малими габаритами, масою і енергоспоживанням, сумісністю з мікроелектронними пристроями обробки інформації при низькій трудомісткості виготовлення і невеликій вартості. Цим вимогам в максимальному ступені задовольняють волоконно-оптичні датчики.
РОЗДІЛ 1. ОСОБЛИВОСТІ ВОЛОКОННО -ОПТИЧНИХ ДАТЧИКІВ
1.1. Історія розвитку волоконно-оптич них датчиків
і актуальність їх використання
Оптоелектроніка - це досить нова область науки і техніки, що з'явилася на стику оптики й електроніки. Варто помітити, що в розвитку радіотехніки із самого початку ХХ століття постійно простежувалася тенденція освоєння електромагнітних хвиль усе більш високої частоти. Важливим моментом у розвитку оптоелектроніки є створення оптичних волокон. Особливо інтенсивними дослідження стали наприкінці 1960-x років, а розробка в 1970 р. американською фірмою "Корнінг" кварцового волокна з малим загасанням (20 дБ/км) з'явилася епохальною подією і послужила стимулом для збільшення темпів досліджень і розробок на всі 1970-і роки.
Публікації про більш-менш прийнятні розробки й експериментальні зразки подібних датчиків з'явилися в другій половині 1970-х років. Однак вважається, що цей тип датчиків сформувався як один з напрямків техніки тільки на початку 1980-х років. Тоді ж з'явився і термін "волоконно-оптичні датчики" (optіcal fіber sensors). Таким чином, волоконно-оптичні датчики - дуже молода область техніки.
Розробці волоконно-оптических датчиків сприяли і сприяють насамперед досягнення у виготовленні скляних волокон і їхніх системних компонентів (розвітвлень, джерел світла, детекторів і т.п. ). Світловий пучок, що попадає у волоконно-оптический детектор, від джерела світла під дією вимірюваного параметра (наприклад, тиску, температури, рівня, зміни концентрації речовини і т.п. ) терпить в детекторі зміну по інтенсивності, поляризації, фазі або кольору і тим самим забезпечує одержання інформації. Поширення світлових хвиль всередині датчика здійснюється по скляних волокнах. Актуальність викристання волоконно-оптичних датчиків полягає в тому, що ці датчики нових типів знаходять застосування насамперед в умовах, характеризуємих наявністю агресивних випаровувань або вибухонебезпечних газових сумішей, у зонах підвищеної радіоактивності і сильних електромагнітних полів.
1.2. Характеристики оптичного волокна як структурного елемента датчика
Перш ніж оцінювати значимість цих характеристик в даній області застосування, відзначимо загальні переваги оптичних волокон [1]:
- широкосмужність (передбачається до декількох десятків терагерц);
- малі втрати (мінімальні 0,154 дБ/км);
- малий (близько 125 мкм) діаметр;
- мала (приблизно 30 г/км) маса;
- еластичність (мінімальний радіус вигину 2 мм);
- механічна міцність (витримує навантаження на розрив приблизно 7кг);
- відсутність взаємної інтерференції;
- безіндукційність (практично відсутній вплив електромагнітної індукції, а отже, і негативні явища, зв'язані з грозовими розрядами, близькістю
до лінії електропередачі, імпульсами струму в силовій мережі);
- взривобезопасність (гарантується абсолютною нездатністю волокна бути причиною іскри);
- висока електроізоляційна міцність (наприклад, волокно довжиною 20 см витримує напруга до 10000 B);
- висока корозійна стійкість, особливо до хімічних розчинників, олії, води.
У практиці використання волоконно-оптических датчиків мають найбільше значення останні чотири властивості. Досить корисні і такі властивості, як еластичність, малі діаметр і маса. Широкосмужність же і малі втрати значно підвищують можливості оптичних волокон, але далеко не завжди ці переваги усвідомлюються розроблювачами датчиків. Однак, із сучасної точки зору, у міру розширення функціональних можливостей волоконно-оптичних датчиків у найближчому майбутньому ця ситуація потроху виправиться.
Як буде показано нижче, у волоконно-оптичних датчиках оптичне волокно може бути застосоване просто як лінія передачі, а може відігравати роль самого чуттєвого елемента датчика. В останньому випадку використовуються чутливість волокна до електричного поля (ефект Керра), магнітного полю (ефект Фарадея), до вібрації, температури, тиску, деформаціям (наприклад, до вигину). Багато з цих ефектів в оптичних системах зв'язку оцінюються як недоліки, у датчиках же їхня поява вважається скоріше перевагою, яку варто розвивати.
1.3.Одно- і багатомодові оптичні волокна
Оптичне волокно буває одного з двох типів [1]: одномодове, у якому поширюється тільки одна мода (тип розподілу переданого електромагнітного поля), і багатомодовое - з передачею безлічі (біля сотні) мод. Конструктивно ці типи волокон розрізняються тільки діаметром сердечника - світловодної частини, усередині якої коефіцієнт заломлення ледве вище, ніж у периферійній частині - оболонці.
У техніці використовуються як багатомодові, так і одномодові оптичні волокна. Багатомодові волокна мають великий (приблизно 50 мкм) діаметр сердечника, що полегшує їхнє з'єднання один з одним. Але оскільки групова швидкість світла для кожної моди різна, то при передачі вузького світлового імпульсу відбувається його розширення (збільшення дисперсії). У порівнянні з багатомодовими в одномодових волокон переваги і недоліки міняються місцями: дисперсія зменшується, але малий (5...10 мкм) діаметр сердечника значно ускладнює з'єднання волокон цього типу і введення в них світлового променя лазера.
Внаслідок цього одномодові оптичні волокна знайшли переважне застосування в лініях зв'язку, що вимагають високої швидкості передачі інформації (лінії верхнього рангу в ієрархічній структурі ліній зв'язку), а багатомодові найчастіше використовуються в лініях зв'язку з порівняно невисокою швидкістю передачі інформації. Це так названі когерентні волоконно-оптичні лінії зв'язку, де придатні тільки одномодові волокна.
У многомодовому оптичному волокні когерентність прийнятих світлових хвиль падає, тому його використання в когерентних лініях зв'язку непрактично, що і визначило застосування в подібних лініях тільки одномодових оптичних волокон.
Навпроти, хоча при використанні оптичних волокон для датчиків вищевказані фактори теж мають місце, але в багатьох випадках їхня роль вже інша. Зокрема , при використанні оптичних волокон для когерентних вимірів, коли з цих волокон формується інтерферометр, важливою перевагою одномодових волокон є можливість передачі інформації про фазу оптичної хвилі, що нездійсненно за допомогою багатомодових волокон.
Отже, у даному випадку необхідно тільки одномодовое оптичне волокно, як і в когерентних лініях зв'язку. Проте, на практиці застосування одномодового оптичного волокна при вимірюванні нетипово через невелику його дисперсію. Тобто у сенсорній оптоелектроніці, за винятком датчиків-інтерферометрів, використовуються багатомодові оптичні волокна. Ця обставина характеризується ще і тим, що в датчиках довжина використовуваних оптичних волокон значно менше, ніж у системах оптичного зв'язку.
1.4.Класифікація волоконно-оптичних датчиків і приклади їхнього застосування
Сучасні волоконно-оптичні датчики дозволяють вимірювати майже усе. Наприклад, тиск, температуру, відстань, положення в просторі, швидкість обертання, швидкість лінійного переміщення, прискорення, коливання, масу, звукові хвилі, рівень рідини, деформацію, коефіцієнт заломлення, електричне поле, електричний струм, магнітне поле, концентрацію газу, дозу радіаційного випромінювання і т.д.
Якщо класифікувати волоконно-оптичні датчики з точки зору застосування в них оптичного волокна, то, як уже було відзначено вище, їх
можна грубо розділити на датчики, у яких оптичне волокно використовується як лінія передачі, і датчики, у яких воно використовується як чуттєвий елемент. У датчиках типу "лінії передачі" використовуються в основному багатомодові оптичні волокна, а в датчиках сенсорного типу найчастіше - одномодові.
За допомогою волоконно-оптических датчиків з оптоволокном як лінією передачі можна вимірювати наступні фізичні величини:
1) датчиком прохідного типу: температуру (на основі вимірювання зміни постійної люмінесценції в багатомодових волокнах, у діапазоні 0...70 0 С с точністю 0,04 0 С;
2) датчиком відбивного типу: концентрацію кисню в крові (відбувається зміна спектральної характеристики, детектується інтенсивність відбитого світла, оптоволокно - пучкове, з доступом через катетер).
Якщо ж оптичне волокно в датчику використовувати як чуттєвий елемент, то можливі наступні застосування:
1) інтерферометр Майкельсона дозволяє вимірювати пульс, швидкість кровотока: використовуючи ефект Доплера можемо детектувати частоту пульсації - використовуються як одномодові, так і багатомодові волокна; діапазон вимірів: 10-4...108 м/с.
2) на основі неінтерферометричної структури можливо побудувати датчик, що дозволяє визначати дозу іонізуючого випромінювання, використовуване фізичне явища - формування центра фарбування, детектируемая величина - інтенсивність світла, що пропускається.
1.5.Волоконні світловоди і вимірювальні пристрої на їхній основі
Волоконний світловод (рис.1.1, а) складається із серцевини й оболонки, що виконуються зі спеціального кварцового скла [2]. Показник заломлення оболонки вибирається трохи більш низьким, ніж у серцевини. Тому світлові промені, що падають під досить великими кутами із серцевини на границю з оболонкою, будуть зазнавати повного внутрішнього відбиванняння.
У результаті ці промені,що називаються направляючими, будуть поширюватися по світловоду по зиґзаґоподібній траєкторії так, як це показано на рис.1.1, а. Сучасна технологія побудови оптичних волокон настільки досконала, що промені, що направляючі промені можуть поширюватися по світловодам на десятки кілометрів без істотних втрат енергії. В даний час волоконні світловоди широко застосовують для оптичного зв'язку (телеграф, телефон і т.п.). Іншим, більш важливим напрямком є використання оптичних волокон як чуттєві елементи приймачів фізичних величин. Розглянемо фізичні основи роботи таких приймачів.
Відомо, що звичайні фотоелектронні прилади реєструють електричний компонент світлової хвилі. Тому нас буде цікавити напруженість саме електричного поля. Для пройденого через світловод випромінювання вона може бути записана як [3]
![]()
де φ – фаза хвилі на виході із волокна рівна:
λ - довжина хвилі, nэф - ефективний показник заломлення для напрямляючого світла, L - довжина світловода, Е0 - амплітуда вектора напруженості, ω - частота електромагнітних коливань, t - час. Кожний зі згаданих параметрів хвилі може змінюватися при зовнішніх впливах на світловод, що можна використовувати для цілей реєстрації. У залежності від того, який параметр перетвориться, волоконні приймачі поділяють на амплітудні (зі зміною абсолютної величини вектора Е0 або, що еквівалентно інтенсивності хвилі, пропорційної \ Ео\ 2 ), поляризаційні (зі зміною напрямку коливань вектора Е0 ), спектральні (зі зміною частотного спектра) і фазові (зі зміною φ).
Найпростішим амплітудним датчиком є відрізок світловода, що згинається під дією тиску, зусилля, переміщення або інших деформаційних величин. Вигин волокна веде до зменшення кута падіння наравляючих променів, на границю розділу серцевина-оболонка (рис.1.1, б), що приводить до порушення умов повного внутрішнього відбивання. У результаті частина направлячого випромінювання потрапляє в оболонку, де гаситься. Тому інтенсивність світла на виході зі світловода зменшується, що можна зарегіструвати звичайним фотодіодом.

Рис.1.1. Волоконний світловод і амплітудні датчики на його основі. а - пристрій світловода: 1 - серцевина, 2 - оболонка, 3 - полімерне покриття; б - поширення променів у вигнутому световоде. Видно, що на вигнутій ділянці кут падіння променів, що направляються, зменшується. Тому частина світлової потужності проникає в оболонку оптичного волокна; в - пристрій датчика на мікровигинах світловода: 1 - світловод, 2- шорсткуваті поверхні. г-датчик із брегівською решіткою: 1 -світловод, 2 - решітка. Зовнішній вплив змінює період решітки, що приводить до перенастроювання останньої на нову довжину хвилі.
Дифракційна решітка [4,5] (рис.1.1,в) може бути сформована у волокні, виготовленому з кварцу з домішкою германія. Під впливом ультрафіолетового випромінювання показник заломлення такого волокна міняється. Тому при освітленні ділянки світловода інтерференційним полем двох когерентних ультрафіолетових пучків показник заломлення буде змінюватися вздовж осі волокна по синусоїдальному закону відповідно до розподілу інтенсивності інтерференційного поля. Штрихи решітки не зосереджені на поверхні світловода, а проникають на всю його глибину разом із записуючим випромінюванням. Такі глибокі решітки і називають брегівськими. Вона дає більш високу ефективність дифракції в порівнянні зі звичайною. Кути дифракції залежать від періоду решітки.
1.6.Мікрорезонаторні волоконно-оптич ні датчики
Оптичний сигнал, поширюючись по кварцовому волоконному світловоду, не підданий електромагнітним наведенням. Ця властивість була використана для створення пасивних волоконно-оптичних датчиків, коли інтенсивність світла, що поширюється по волоконномусвітловоду, змінюється пропорційно вимірюваній величині (температурі, тискові, і т.д.). Однак такий аналоговий оптичний сигнал піддається сильним спотворенняміз-за дрейфів потужності випромінювання лазера і випадкових загасань інтенсивності світла при вигинах волокна. З цієї причини виникла ідея використовувати частоту як інформаційний параметр. У цьому випадку вимірювана величина змінює частоту модуляції світла, а не його амплітуду і, тому, такий сигнал не чуттєвий до довгострокових дрейфів і короткочасних флуктуацій інтенсивності світла у волокні.
Як перетворювач тиску, прискорення, сили і т.д у частоту модуляції світла використовують механічні мікрорезонатори. Найчастіше як мікрорезонатор використовують мікромісток, витравлений у пластині з кремнію і закріплений із двох сторін. Вимірюваний вплив змінює механічна напруга усередині мікрорезонатора і, отже, резонансну частоту його коливань.
Коливання мікрорезонатора реєструються за допомогою волоконно-оптичного інтерферометра, утвореного частково відбиваючою поверхнею мікрорезонатора і торцем волоконного світловоду. При коливаннях мікрорезонатора міняється роздільна здатність інтерферометра, і, тому, світло, відбите назад у волоконний світловод, буде промодульоване на частоті коливань мікрорезонатора. По зміні частоти модуляції світла, ми можемо судити про величину вимірюваного сигналу.
Збудження механічних коливань мікрорезонатора здійснюється пульсуючим світлом з волоконного світловоду. Мікромісток покритий шаром металу і, тому, коли його центральна частина нагрівається оптичним випромінюванням з волокна, мікромісток згинається. Коливання мікрорезонатора можуть виникнути, якщо промодулювати світло з частотою, рівною приблизно частоті власних коливань мікрорезонатора. Щоб сигнал інтерферометра не накладався на збудливий оптичний сигнал, їх розділяють по довжинах хвиль випромінювання.
РОЗДІЛ 2. ІНТЕРФЕРЕНЦІЙНІ ВОЛОКОННО -ОПТИЧНІ ДАТЧИКИ
Явище інтерференції світла лежить в основі багатьох високоточних вимірювальних систем і датчиків переміщення. Використання оптичних волокон дозволяє зробити такі пристрої надзвичайно компактними й економічними. Відомі дві основні схеми волоконно-оптических інтерферометрів: Маха-Цендера і Фабрі-Перо. У волоконно-оптичному інтерферометрі Фабрі-Перо інтерференція відбувається на частково відбиваючому відколі волокна і зовнішньому відбивачі.
2.1. Торцевий волоконно-оптичний інтерферометр Фабрі-Перо
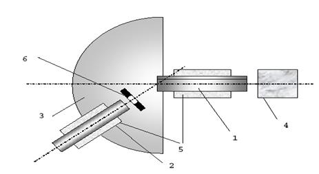
Розглянемо принцип дії торцевого волоконно-оптичного інтерферометра Фабрі-Перо, блок-схема якого зображена на рис.2.1.

Рис.2.1. Блок-схема торцевого волоконно-оптичного інтерферометра Фабрі-Перо.
Випромінювання лазерного діода 1 вводиться у волоконний світловод 2 і через розвітлювач 3 передається на волокно 4. При цьому частина випромінювання відбивається від торця волоконного світловода 4, а інша його частина висвічується в повітря, відбивається від дзеркала 5 і повертається назад у волоконний світловод 4. Промінь, відбитий від торця волоконного світловода, інтерферує із променем, відбитим від дзеркала, і на фотоприймачі 5 реєструється інтенсивність випромінювання, що змінюється періодично в залежності від відстані x0 між торцем світловода і дзеркалом:

При цьому зсув дзеркала на половину довжини хвилі світла змінює різницю фаз інтерферуючих променів на 2π, що відповідає одному періодові варіації інтенсивності випромінювання на фотоприймачі.
З іншої сторони ніяке реальне джерело оптичного випромінювання не є ідеально монохроматичним, а отже він має обмежену довжину когерентності. У випромінюванні лазерного діода звичайно присутні кілька мод, а сумарна ширина спектральної лінії дорівнює приблизно 3-5 нм. Довжина когерентності lс зв'язана із шириною спектра Dlу такий спосіб:
lс = l2/Dl.
Із шириною спектра випромінювання (і довжиною когерентності lс ) зв'язана видність (контрастність) інтерференційної картини. При збільшенні різниці ходу інтерферуючих променів видність інтерференційної картини зменшується. При досягненні різниці ходу, рівній довжині когерентності, видність перетворюється в 0.
На рис.2.2 показана залежність інтенсивності інтерференції двох інтерферуючих від їхньої різниці ходу l.

Рис.2.2. Залежність інтенсивності інтерференції двох інтерферуючих від їхньої різниці ходу l.
Ця залежність описується формулою:

де І0 – інтенсивність кожного з інтерферуючих променів, l - довжина хвилі світла.
Приведена вище формула описує повну інтерференцію двох променів однакової інтенсивності. У загальному випадку їх інтенсивності можуть бути істотно різними (наприклад, у волоконно-оптичному інтерферометрі, де промінь, відбитий від торця, виявляється на порядок більш слабким, чим промінь, відбитий від дзеркала і потрапив назад у волокно. У цьому випадку 100-процентна видність інтерференції не досягається навіть при нульовій різниці ходу інтерферуючих променів.
![]()
де φ - різниця фаз інтерферуючих променів, І1 і І2 - їх інтенсивності, g - ступінь когерентності.
У випадку волоконно-оптичного інтерферометра Фабрі-Перо І1 = R1 І0 - інтенсивність світла, відбитого від відколу волокна; І2 = (1-R2 )2 RІ0 - інтенсивність світла відбитого від дзеркала і повернутого у волокно (R1 і R - коефіцієнти відображення торця волокна і дзеркала відповідно). У випадку кварцового волокна R1 =0,04 - френелівський коефіцієнт відображення границі розділу кварц-повітря. Таким чином, інтенсивність світла, що ергіструється фотоприймачем, дорівнює:
![]()
У загальному випадку відсоток випромінювання, відбитого від дзеркала і повернутого у волокно, залежить від відстані між відбивачами. Це зв'язано з тим, що світло, що виходить з волокна, розходиться під деяким кутом і лише частина його, будучи відбитою від дзеркала, попадає назад у волокно і бере участь в інтерференції. Типова залежність оптичної потужності, що регіструється фотоприймачем, від відстані між відбивачами інтерферометра приведена на рис.2.3.
Далі розглянемо сигнал інтерферометра, що виникає в результаті відображення світла від вібруючої поверхні (резонатора). У результаті коливання резонатора, різниця фаз інтерферуючих променів змінюється в такий спосіб:
![]()
де l - довжина хвилі світла, x0 - амплітуда коливань резонатора. Це приводить до слідуючого виразу для інтенсивності світла, відбитого резонатором і торцем волокна:
![]()
де φ0 - різниця фаз інтерферуючих променів, коли резонатор знаходиться в незбуреному стані.

Рис.2.3. Залежність оптичної потужності, що регіструється фотоприймачем, від відстані між відбивачами інтерферометра.
Розкладаючи І(t) у ряд Фур'є ми знаходимо відповідні члени модуляції світла:
![]()
де Jі ( φω ) - функції Бесселя. Коли φω <<1 і φ0 = π/2+πk (k - ціле число), Jі (φω ) дорівнює приблизно φω /2 і, тому, змінна компонент І(t) буде пропорційна зсувові резонатора з положення рівноваги: Іω ~sіn(ωt).
Розглянемо ще випадок збудження резонатора зовнішньою силою (подібно випадку порушення коливань диффузатора динаміка під дією змінного струму, що протікає по його котушці). У цьому випадку коливання резонатора будуть залежати від частоти прикладеного впливу в такий спосіб:
![]()
![]()
де Q - добротність резонатора, ε0 - амплітуда резонансних коливань, η - залежний від частоти зсув фаз між прикладеним збудливим впливом і коливаннями резонатора ( η змінюється від 0 до π, коли ω змінюється від 0 до нескінченності). З цього рівняння видно, що амплітуда резонансних коливань у Q раз більше, ніж амплітуда коливань на низьких частотах (або при квазістатичному зсуві резонатора тією же силою).
2.2. Інтерферометр Маха-Цендера і багатомодовий інтеферометр
Інтерферометр Маха-Цендера (рис.2.4,а) містить два світловодних плеча. Одне з них є опорним (4), його прагнуть ізолювати від зовнішніх впливів; друге - сигнальним (5), тобто призначеним для цілей прийому. Когерентне випромінювання обох плечей зводиться в одному прийомному світловоді (6), у якому формується інтерференційний сигнал. Інтенсивність цього сигналу описується виразом
![]()
де φ1 і φ2 - фази світлових пучків, що пройшли опорне і сигнальне плечі, І1 і І2 - інтенсивності цих пучків. Як видно, збільшення фази випромінювання в сигнальному плечі перетвориться в зміну інтенсивності сигналу інтерференції, що може бути легко зареєстровано звичайним фотоприймачем.
В даний час конструкція фазових датчиків на основі схеми інтерферометра Маха-Цендера найбільш відпрацьована.

Рис. 2.4. Типи волоконних інтерферометрів: а - інтерферометр Маха-Цендера: 1 - лазер; 2 і 7- підвідний і приймаючий випромінювання світловоди; 3 і 6 - Y-развітлювачі; 4 і 5 - опорний і сигнальний світловоди, 8 - фотоприйомний пристрій; б - інтерферометр Фабрі-Перо: 1 - лазер; 2 і 5 - підвідні і приймаючі випромінювання світловоди; 3 -напівпрозорі дзеркала; 4 - волоконний резонатор, 6- фотоприйомний пристрій; в - багатомодовий інтерферометр: 1 - лазер; 2 - багатомодовый світловод, 3 - фотоприйомний пристрій.
Ще один одноволоконний інтерферометр, що в даний час досить добре розроблений, - багатомодовий показаний на рис.2.4,в. Він представляє світловод, у якому збуджують два або кілька типів направляючих променів (мод), що різняться фазовими швидкостями поширення. На виході зі світловода між цими променями виникає різниця фаз. Вона дорівнює
![]()
де Δnэф - різниця ефективних показників заломлення мод. Як видно, різниця фаз між модами змінюється при зміні довжини волокна. Тому змінюється і картина інтерференції мод (див рис.2.4, в, внизу), що і використовується для реєстрації.
Варто сказати, що в стандартних світловодах різниця між фазовими швидкостями мод мала ( Δnэф << nэф ). Тому різниця фаз між ними в багатомодовому інтерферометрі росте повільно. Як наслідок - датчики на основі такого пристрою менш чуттєві до зовнішніх впливів, чим приймачі на основі інтерферометричних схем Маха-Цендера і Фабрі- Перо. Їхні переваги в простоті оптичної схеми, можливості використання недорогих низькокогерентних джерел, тобто, в низькій вартості.
РОЗДІЛ 3. ХІМІЧНІ СЕНСОРИ
3.1. Загальні відомості про хімічні сенсори
Протягом всієї історії аналітичної хімії одна з найважливіших її задач складалася і полягає в тому, щоб установлювати зв'язок між складом і якою-небудь легко вимірюваною властивістю і використовувати виявлені закономірності, тобто ці зв'язки, для розробки способів визначення концентрації і відповідних пристроїв. До цих пристроїв відносяться і датчики, або хімічні сенсори, що подають пряму інформацію про хімічний склад середовища (розчину), у яку занурений датчик, без добору аналізованої проби і її спеціальної підготовки. Термін "хімічний сенсор" з'явився порівняно недавно. Успіхи в суміжних областях (фізика твердого тіла, мікроелектроніка, мікропроцесорна техніка, матеріалознавство) привели до появи нового напрямку в аналітичній хімії - хімічних сенсорів (ХС). Сенсорні аналізатори можуть працювати автономно, без втручання оператора, причому передбачається, що вони зв'язані із системами нагромадження й автоматизованої обробки інформації. Значення ХС і створених на їхній основі аналізаторів у контролі стану середовища існування й охороні здоров'я людини важко переоцінити.
3.2.Принципи роботи і пристрій хімічних сенсорів
ХС складається з хімічного селективного шару датчика, що дає відгук на присутність обумовленого компонента і зміна його змісту, і фізичного перетворювача (трансдьюсера) [6]. Останній перетворить енергію, що виникає в ході реакції селективного шару з обумовленим компонентом, в електричний або світловий сигнал, що потім вимірюється за допомогою світлочутливого і/або електронного пристрою. Цей сигнал і є аналітичним, оскільки подає пряму інформацію про склад середовища (розчину). ХС можуть працювати на принципах хімічних реакцій, коли аналітичний сигнал виникає внаслідок хімічної взаємодії обумовленого компонента з чуттєвим шаром, або на фізичних принципах, коли виміряється фізичний параметр (поглинання або відображення світла, маса, провідність). У першому випадку чуттєвий шар виконує функцію хімічного перетворювача. Загальна схема функціонування ХС зображена на рис. 3.1.
Рис.3.1. Схема роботи хімічного сенсора: P - хімічно чуттєвий шар, П - перетворювач сигналу, Е - електронний блок.
Для підвищення вибірковості на вхідному пристрої ХС (перед хімічно чуттєвим шаром) можуть розміщатися мембрани, що селективно пропускають частки обумовленого компонента (іонообмінні, діалізні, гідрофобні й інші плівки). У цьому випадку обумовлена речовина дифундує через напівпроникну мембрану до тонкого шару хімічного перетворювача, у якому формується аналітичний сигнал на компонент. На основі ХС конструюють сенсорні аналізатори - прилади, призначені для визначення якої-небудь речовини в заданому діапазоні його концентрацій. Ці аналізатори можуть мати малі габарити (іноді наближаються до розмірів калькулятора або авторучки). Оскільки в їхній конструкції відсутні деталі, що перетерплюють механічний знос, пристрої характеризуются досить тривалим терміном експлуатації (до року і більш). Об'єднані в батарею і підключені до комп'ютера, ХС здатні забезпечити аналіз складних сумішей і дати диференційовану інформацію про зміст кожного компонента. У сенсорних аналізаторах вбудовані мікросхеми дозволяють вводити виправлення на зміну температури, вологості, враховувати вплив інших компонентів середовища, проводити градуюровку і настроювання нульового значення на шкалі показів.
Оптичні ХСпрацюють на принципах поглинання світла, або відображення первинного світлового потоку, або виникаючої люмінесценції. Ці сенсори нечуттєві до електромагнітних і радіаційних полів і здатні передавати аналітичний сигнал без спотворення на великі відстані. Крім того, вони мають невисоку вартість у порівнянні з електрохімічними сенсорами (ЕХС) і можуть конкурувати з останніми, особливо у випадках, коли застосування ЕХС неефективне. З оптичних ХС перспективні сенсори на основі волоконної оптики.
У волоконно-оптичнихх сенсорах (ВОС) на торці світловода закріплюється реагентвміщуюча фаза (РВФ). При описі таких пристроїв іноді використовують термін "оптрод", що є комбінацією слів "оптика" і "електрод". Цим підкреслюється, що ВОС по своєму призначенню близький до електродів, у тому числі і до тих, на основі яких функціонують ЕХС. Однак по природі сигналу і механізмові відгуку вони зовсім відмінні. Характеристика матеріалу світловода визначає оптичний діапазон і відповідно аналітичні можливості всього пристрою. Якщо оптичне волокно виготовлене з кварцу, то такий оптрод працює в широкій області спектра, включаючи ультрафіолетову його частину. Для скловолокна область довжин хвиль охоплює лише видиму область спектра. Якщо оптоволокно виготовлено з полімерного матеріалу (такі пристрої мають невисоку вартість), то діапазон довжин хвиль, у якій працює ВОС, перебуває за межами >450 нм.
Оптосенсори можуть бути оборотними і необоротними [6]. Сенсор оборотний, якщо РВФ не руйнується при її взаємодії з обумовленою речовиною. Якщо частина реагенту споживається в ході визначення, сенсор працює необратимо. На рис.3.2 приведена схема формування відгуку оборотного ВОС для визначення pН середовища, заснованого на поглинанні світла. Пристрій такого сенсора є досить простим: два пластикових волокна вмонтовані в целюлозну трубочку, що містить барвник фіолетовий червоний, іммобілізований за допомогою ковалентного зв'язування на поліакриламідних мікрокульках. Крім цих мікрокульок усередину трубочки поміщені такого ж розміру кульки з полістиролу для кращого розсіювання світла. Через одне волокно світло від вольфрамового джерела випромінювання входить, а через інше виходить. Інтенсивність вихідного потоку світла вимірюється детектором, настроєним на відповідну область довжин хвиль. Пробка на торці трубочки утримує РВФ механічно і перешкоджає її взаємодії з обумовленим компонентом у торцевій частині. Подібний оптрод може бути використаний і для визначення концентрації O2 . У цьому випадку сигнал зв'язаний з гасінням флуоресценції реагенту при взаємодії з киснем. Такого типу оптроди можуть бути використані і для визначення pН у живому організмі.
Необоротні оптроди через витрату РВФ мають обмежений термін служби. Однак його можна продовжити заміною РСФ на нову фазу. Стабільний сигнал від цих ВОС може бути отриманий лише в умовах стаціонарного масопереноса визначаємого компонента в зону його взаємодії з РВФ. Будь-яка перешкода, що порушує масоперенос, дає помилку в показаннях ВОС. На рис.3.3 показана схема роботи необоротного оптрода на кисень.

Рис.3.3. Схема роботи необоротного волоконно-оптичного сенсора на кисень.
Обумовлений компонент дифундує через селективну мембрану з відповідним розміром пор у порожнину, що містить іммобілізований флуоресціюючий барвник. Його світіння гаситься в присутності O2 пропорційно парціальному тискові кисню. Ступінь гасіння фіксується відповідним пристроєм. Якщо резервуар із РВФ досить великий, то споживання реагенту незначно і сенсорний пристрій може служити довго.
3.3.Волоконно-оптичний сенсор для контролю аміаку в повітрі
Плоскохвилеводний оптичний хімічний сенсор чотирьохшарової конструкції [6,7,8]: підкладка з плавленого кварцу, що відіграє роль посередника для введення світла в хвилевід через торець посередника; полімерний хвилевід з поліметилметакрилата товщиною 0,920 ± 0,014 мкм; чуттєвий шар - полідиметилсилоксан функціоналізований катіонами брильянтового зеленого (рис.3.4).

Рис.3.4.Чотирьохшарова конструкція плоскохвильового оптичного хімічного сенсора.
Зразки для вимірювання й обладнання. В якості підкладки можна використовувати диски плавленого кварцу діаметром 40 мм і товщиною 4 мм із відшліфованою бічною гранню. Товщина полімерних хвилеводів має бути рівною 100, 20 і 0,920 ± 0,014 мкм, ширина - близько 5 мм і довжина - 40 мм. Товщина полідиметилсилоксан (ПДМС) - плівки, визначена за спектрофотометрической методикою, склала 0.22 ± 0.02 мкм.
Вимірювальна система (рис.3.5) [9]. Джерело світла - твердотільний лазер з максимумом випромінювання 645 нм, фотоприймачі - ФЕП-106, спадання напруги на якому зчитувалось вольтметром У7-38, фотодіод ФД-256 і фотоприймач спектрофотометра СФ-46. Напруга живлення ФЕП: 1860 В від стабілізованого випрямляча ВР-22.

Рис.3.5. Вимірювальна система: 1 - зразок, 2- лазер, 3 - поворотний пристрій,
4 -фотоприймач, 5 - тримачі, 6 - діафрагма.
Для виявлення оптимального кута введення світла в зразок джерело світла закріплене на поворотному пристрої. Як аналітичний сигнал сенсора використана величина абсолютного сенсорного ефекту рівна різниці спадів напруги до і після вводу аміаку: ΔU = (U– U0 ); де U0 - значення фотовідгуку сенсора у відсутності аміаку, U - значення фотовідгуку сенсору в присутності аміаку.
Для дослідження сенсорних властивостей функціонального полімеру зразок поміщався у вимірювальну комірку і напускалась аміачно-повітряна суміш. Час повного циклу напуск-регенерація складав близько 18 хвилин (рис.3.6), що відповідає вимогам, пропонованим до засобів контролю повітря населених місць. Аналітичний сигнал (ΔU) зв'язаний з оборотним знебарвленням плівки чуттєвого шару, тобто зниженням його оптичної густини (А) у результаті взаємодії катіона брильянтового зеленого з молекулами аміаку (рис.3.7).

Рис.3.6. Повний цикл напуску аміачно-повітряної суміші.

Рис.3.7. Зміна спектру поглинання плівки ПДМС при взаємодії з аміаком.
Дослідження довгострокової стабільності сенсорних властивостей полімеру (16 місяців) (рис.3.8) показало стабільність роботи в плині перших 8 місяців (дрейф фонового сигналу (U0 - початкове значення фотовідгуку на повітрі) = 1%) [6]. Протягом наступних 8 місяців спостерігався ріст значення фотовідгуку сенсора на 50%, зв'язаний з поступовим знебарвленням барвника, що приводить до просвітління чуттєвої плівки ПДМС.

Рис.3.8. Часовий дрейф фонового сигналу сенсора.

Рис. 3.9. Кінетична залежність зміни аналітичного сигналу сенсора від концентрації аміаку в потоці аміачно-повітряної суміші.
На основі кінетичної кривої (рис.3.9) був побудований градуюровочний графік сенсора на аміак у діапазоні концентрацій 4-37 мг/м3 (рис.3.10) і розрахована межа виявлення, яка склала 1 мг/м.

Рис.3.9.Градуюровочний графік сенсора аміаку в макеті газоаналізатора.
Для подальших досліджень обрана плоскохвилеводна конструкція оптичного сенсора. Для збільшення чутливості аналізу був застосований тонкоплівковий полімерний хвилевід з поліметилметакрилата.
Визначений оптимальний кут введення світла в зразок, що відповідає максимумові інтенсивності вихідного з хвилеводу світла і рівний 360 , причому як для різних фотоприймачів (дослідження проводилися на ФЕП-106, ФД-256 і фотоприймачі СФ-46) (рис.3.10), так і для різних товщин хвилеводів (рис.3.11).

Рис.3.10.Залежність інтенсивності світла, що виходить зі зразка, від кута його введення (при використанні трьох різних фотоприймачів).

Рис.3.11. Залежність інтенсивності світла, що виходить зі зразка, від кута його введення в торець підкладки (для різних толщин хвилеводів.
Отримано кінетичну криву зміни відгуку сенсора при напуску аміачно-повітряної суміші в діапазоні концентрацій 0,48 - 2.13 мг/м (мал.3.12) [6], на підставі якої побудований градуюровочний графік (мал.3.13) і розрахова межа виявлення аміаку сенсором Про = 0.02 мг/м3 в атмосферному повітрі, що говорить про можливості застосування сенсора для контролю аміаку у повітрі населених областей.
Для оцінки впливу інших газів - основних пріоритетних забруднювачів атмосфери (оксид вуглецю, сірководень, диоксид сірки) на аналітичний сигнал, були досліджені відгуки сенсора у відношенні перерахованих речовин. По отриманим даним побудовані градуюровочні графіки.
3.4.Волоконно-оптичний датчик іонізуючого випромінювання
Принцип дії датчика полягає в реєстрації світлового сигналу, що індукується в сцинтиляційному матеріалі іонізуючим випромінюванням і передається до фотоприймача по волоконному світловоду. Цим опто-волоконний датчик відрізняється від існуючих приладів, у яких сцинтилятор сполучений з фотоприймачем [10]. Переваги оптоволоконного датчика складаються в можливості розміщення прийомної апаратури поза зоною дії радіації й електромагнітних наведень. Мініатюрні розміри датчика роблять його дуже зручним для проведення вимірів з високою просторовою роздільною здатністю, причому у важкодоступних місцях, а також дозволяють створювати многоканальні системи.
За допомогою цього датчика можна досліджувати залежність корисного сигналу від гама поля і визначити величину сигналу стосовно радіолюмінісценції оптичного волокна (фону).
Конструкція датчика і розміри корпуса сцинтилятора (не більш 5 мм у діаметрі і 20 мм у довжину), визначилися з урахуванням передбачуваних вимірів [11] у спеціальних каналах реакторів типу ВВЄР і РБМК, а також у центральних гільзах тепловиділяючих зборок РБМК, призначених для розміщення датчиків енерговиділення.
Основним елементом датчика є радіаційно-стійке оптичне волокно із серцевиною з чистого кварцового скла, насиченого молекулярним воднем [12]. Захисне алюмінієве покриття волокна допускає нагрівання до 400 0 С, не активується і не руйнується нейтронами. Випробовування на ядерному реакторі [13] показали, що такі волокна залишаються досить прозорими (наведене радіацією поглинання світла у видимому діапазоні не більш 0.5 дБ/м) при опроміненні до флюенса швидких (Е>0.1 Мев) нейтронів ~1018 н/см2 і гама дози ~ 20 МГр. Ще одна перевага цих волокон проявилася в багаторазово меншій радіолюмінісценції в порівнянні з іншими аналогічними зразками.
Для дослідів були взяті сцинтилятори з добре вивченими властивостями, а саме NaІ(Tl), CsІ(Tl), ZnS(Ag), p-терфенил у полістиролі і стильбен C14 H12 [11]. Також була виміряна радіолюмінісценція (фон) відрізка, однорідно опромінюваного волокна довжиною 3,5 м, рівній "половині палива" РБМК.
Усі сцинтилятори виявили лінійну залежність корисного сигналу від потужності гама дози в діапазоні 0,03-200 Р/с (потужність поглиненої дози до ~ 2 Гр/с (Sі)). Оптична фільтрація сигналів (виділення за допомогою світлофільтрів спектрального інтервалу в районі максимуму світіння сцинтиляторів) дозволила підняти відношення сигналу до фону до ~ 100 для сцинтиляторів NaІ(Tl) і CsІ(Tl).
3.5. Датчик концентрації газу
На рис. 3.14 представлена структурна схема газового датчика [1]. Світло, випромінюване лазером або світлодіодом, поступає в середовище з вимірюваним газом через багатомодове оптичне волокно. З пройдених через газ світлових хвиль поглинатимуться тільки ті, які входять в спектр поглинання цього газу. Таким чином, подаючи (також за допомогою багатомодового оптичного волокна) пройдене через середовище з газом світло на світловий детектор, можна визначати вид газу і вимірювати його концентрацію. На мал. 3.15 показані робочі спектральні області світловипромінюючих приладів на основі AlGaAs, InGaAsP і світлоприймальних приладів на основі Si, Ge, а також спектр молекулярного поглинання для основних видів газів.
Подібні газові датчики можна використовувати для дистанційного нагляду за ступенем забруднення атмосфери (газами N2 O2 , NH3 , СН4 і ін.) і за концентрацією горючих газів (СН4 , С3 Н8 і ін.). Наприклад, реалізована система нагляду за концентрацією газу СН4 на відстані більше 20 км.
ВИСНОВКИ
В даній курсовій роботі проведено огляд основних питань, які стосуються волоконно-оптичних датчиків, а саме:
1) актуальність використання волоконно-оптичних датчиків;
2) їх основні характеристики і види оптичних волокон, які використовуються в сенсорних технологіях;
Розглянуто основні види інтерференційних волоконно-оптичних датчиків: торцевий волоконно-оптичний інтерферометр Фабрі-Перо, інтерферометр Маха-Цендера і багатомодовий інтеферометр.
Основну увагу звернуто на хімічні волоконно-оптичні датчики. Як приклад, описаний волоконно-оптичний сенсор для контролю аміаку в повітрі. А також дано інформацію про інші сенсори шкідливих хімічних елементів, наприклад, про волоконно-оптичний датчик іонізуючого випромінювання.
СПИСОК ВИКОРИСТАНИХ ДЖЕРЕЛ
1.Окоси Т и др. Волоконно-оптические датчики. Пер. с япон.- Л.:Энергоатомиздат, 1990. - 256 с.
2.Бусурин Б.И., Носов Ю.Р. Волоконно-оптические датчики. М.: Энергоатомиздат, 1990.
3. Мировицкий Д.И. Мультиплексированные системы волоконно-оптических датчиков // Измер. техника. 1992. № 1. С. 40-42.
4. Udd E. Applications of Fiber Optic Smart Structures // Opt. and Photon. News. 1996. Vol. 7, № 5. Р. 17-22.
5. Senior J.M., Moss S.E., Cusworth S.D. Multiplexing Techniques for Noninterferometric Optical Point-Sensor Networks // Fiber and Integr. Opt. 1998. Vol. 17, № 1. P. 3-20.
6.Зубков И.Л., Соборовер Э.И., Добротин С.А. Оптические химические сенсоры для контроля газовых сред // Материалы IV ВНТК "Методы и средства измерений", часть 1, январь 2002 г. - Н. Новгород: МВВО АТН РФ, 2002. С. 19.
7.Соборовер Э.И., Зубков И.Л. Оптический химический сенсор с тонкопленочным планарным волноводом для контроля газовых сред // Там же. С. 18.
8.Соборовер Э.И., Гундорин В.В. Исследование сенсорного эффекта в плосковолноводном оптическом химическом газовом сенсоре трехслойной конструкции // Датчики и системы. 2001. № 6. С. 23-28.
9. Seitz W.R. Fiber Optics Sensors.//Anal.Chem,1984. Vol. 86,№1. P.16A.
10.Акимов Ю.К. // Физика элементарных частиц и атомного ядра. 1994. т. 25. выпуск 1. с. 229-284.
11. Шевченко В.Г., Гарусов Ю.В., Роботько А.В., Комаров М.В. // Атомные электрические станции: Сб. ст. Вып.9 – М.: Энергоатомиздат, 1987. – с.87
12. Tomashuk A.L., Golant K.M., Dianov E.M. et al. // IEEE Transactions on Nuclear Science, 2000, V. 47, No. 3, Part 1, pp. 693-698.
13. А.В.Бондаренко, Кащук Ю.А., Красильников А.В., и др. // Теоретические и экспериментальные исследования, выполненные в 2003 году. Сб. трудов. Вып.3-Троицк, ОНТИ ГНЦ РФ ТРИНИТИ, 2004, с. 175-178.