| Скачать .docx |
Реферат: Вихровий характер магнітного поля
РЕФЕРАТ
на тему:” Вихровий характер магнітного поля ”
План
1. Закон повного струму. Використання закону повного струму для розрахунку магнітного поля.
2. Магнітний потік. Теорема Гаусса для магнітного поля.
3. Робота переміщення провідника із струмом і контуру із струмом у магнітному полі.
4. Енергія магнітного поля.
1. Закон повного струму. Використання закону повного струму для розрахунку магнітного поля
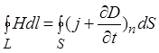
Скористаємось рівнянням Максвелла для циркуляції вектора напруженості магнітного поля
, (1.1)
де j – густина струму провідності вільних електричних зарядів;
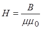
- струм зміщення, не пов’язаний з наявністю вільних електричних зарядів; Н – напруженість магнітного поля.
У провідниках, в яких є вільні електричні заряди, струм зміщення відсутній (він може існувати лише у діелектричному середовищі), тобто
.
У цьому випадку рівняння (1.1) набуває вигляду:
. (1.2)
Рівняння (1.2) називається законом повного струму. Для написання закону повного струму через індукцію магнітного поля слід замінити Н у формулі (1.2) на
.
Закон повного струму у цьому випадку матиме вигляд
. (1.3)
Рівняння (1.3) формулюється так:
Циркуляція вектора індукції магнітного поля уздовж довільного замкнутого контуру дорівнює алгебраїчній сумі всіх струмів, охоплених цим контуром і помноженій на 0 .
Як видно з рівняння (1.3)
.
Таке магнітне поле називається вихровим. Силові лінії магнітного поля є завжди замкнутими.
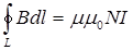
Скористаємось законом повного струму (1.3) для розра-хунку магнітного поля соленоїда і тороїда.
а) знайдемо циркуляцію вектора В вздовж замкнутого контуру ABCD (рис.1). У нашому випадку витки в соленоїді щільно прилягають один до одного. Соленоїд має довжину, значно більшу за діаметр.

Рис.1
.
На ділянках DA і BC
; Тут
а ![]()
На ділянці CD
; Цю ділянку можна вибрати досить далеко від соленоїда, де магнітне поле відсутнє.
Тому з урахуванням цих зауважень маємо:
. (1.4)
де N – число витків, які вкладаються в інтервалі довжини соленоїда АВ; І – струм, який протікає в цих витках.
Але
, де l = AB. Закон повного струму в цьому випадку перепишеться:
. (1.5)
Звідки індукція магнітного поля на осі довгого соленоїда буде дорівнювати:
. (1.6)
Вираз (13.1.6) показує, що на осі довгого соленоїда зі струмом І індукція магнітного поля дорівнює:
В = 0 nI.
б) магнітне поле на осі тороїда.
Розглянемо тороїд, який має вигляд довгого соленоїда, кінець і початок якого збігаються (рис.13.2).

Рис.2
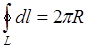
Витки в такій котушці щільно прилягають один до одного, а радіус осьової лінії R. Знайдемо циркуляцію вектора
вздовж осьової лінії тороїда
,
де N - число витків у тороїді; І - струм у витках.
Але
- довжина кола вздовж осьової лінії, тому
,
де
- число витків на одиницю довжини осьової лінії тороїда.
Таким чином, індукція магнітного поля на осі тороїда визначається такою ж формулою, що і для довгого соленоїда, тобто
В = 0 nI . (1.7)
2. Магнітний потік. Теорема Гаусса для магнітного поля
Потоком магнітної індукції або магнітним потоком називають скалярну величину, яка дорівнює:
, (2.1)
де
- вектор індукції магнітного поля у напрямку нормалі до площадки dS (рис.13.3)

Рис.13.3
Повний магнітний потік через поверхню S знаходять шляхом інтегрування.
Магнітному потоку в 1 Вб відповідає 108 силових ліній індукції магнітного поля крізь площадку в 1 м2 .
У випадку замкнутої поверхні слід відрізняти між собою такі особливості:
- силові лінії, які входять у поверхню, мають від’ємний потік, тому в цьому випадку
![]()
- силові лінії, які виходять з поверхні мають
- у загальному випадку
. (2.2)
Вираз (2.2) є теоремою Гаусса для магнітного поля. Суть цієї теореми полягає в тому, що силові лінії магнітного поля не пов’язані з магнітними зарядами. Магнітних зарядів у природі не існує. Описане явище показане на рис. 4.

Рис.4
. (2.3)
3. Робота переміщення провідника із струмом і контуру із струмом у магнітному полі
Знайдемо роботу, яку слід виконати для переміщення провідника із струмом І у магнітному полі, як це показано на рис. 13.5

Рис.13.5
Провідник, що має довжину l і струм І виготовлений у вигляді коточка і має можливість переміщуватись. На рухому частину провідника з сторони магнітного поля діє сила Ампера, напрям якої визначається правилом лівої руки.
Для переміщення такого коточка вздовж направляючих дротів слід прикладати силу F, яка має бути рівною силі Ампера. Робота в цьому випадку буде дорівнювати:
. (13.3.1)
де FA =IBl – величина сили Ампера, яка діє на рухомий коточок, тому:
A = -Ibldx = -IbdS = -Id (3.2)
Знак мінус показує, що робота виконується проти сили Ампера.
Якщо роботу виконує сила Ампера, то
A= Id (3.3)
де А – позитивна робота, виконана силою Ампера.
Після інтегрування одержуємо роботу сили по переміщенню провідника із струмом у магнітному полі.
A = -I,
або
A =I. (3.4)
У випадку контуру із струмом, який рухається у магнітному полі, слід враховувати як позитивну роботу, так і негативну роботу переміщення двох частин цього контуру (рис.13.6)

Рис.6
При русі частини контуру АС (зліва) робота виконується позитивна. Тому в цьому випадку
A1 = I(d1 + d0 ), (3.5)
де dФ1 – потік, який визначається площею лівої частини контуру АС (заштрихована площа),
dФ0 - потік, який визначається площею самого контуру з струмом.
При переміщенні правої сторони цього контуру робота буде дорівнювати
A2 = -I(d2 + d0 ), (3.6)
де dФ2 – потік, який утвориться переміщенням правої частини контуру; dФ0 – потік за рахунок площі самого контуру.
Ця площа перекривається площею правої сторони контуру. Робота А2 – від’ємна
У загальному випадку робота переміщення контуру з струмом у магнітному полі буде дорівнювати
A = I(d1 - d2 )= Id. (3.7)
Після інтегрування одержимо
А=ІФ. (3.8)
Висновок. Робота переміщення провідника із струмом і контуру із струмом визначається однаковою формулою.
4. Енергія магнітного поля
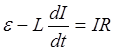
Розглянемо замкнуте коло, в якому є резистор R, котушка L і джерело струму (рис.7)

Рис.7
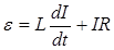
Скористаємось другим правилом Кірхгофа для замкнутого контуру, показаного на рис.7.
У цьому випадку
, (4.1)
або
, (4.2)
де
- електрорушійна сила самоіндукції, діє лише в момент замикання або розмикання кола.
З рівняння (13.4.2) визначимо електрорушійну силу джерела
. (4.3)
Зведемо цей вираз до спільного знаменника
dt = Irdt + LdI . (4.4)
Помножимо вираз (13.4.4) на струм І, одержимо
Idt = I2 rdt + LIdI , (4.5)
де I2 rdt - джоулевe тепло; Idt - робота сторонніх сил джерела струму; LIdI - енергія магнітного поля, локалізована в котушці зі струмом.
Тому
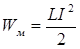
dWм = LIdI . (4.6)
Інтегруємо цей вираз у межах зміни енергії магнітного поля від 0 до Wм , а струму від 0 до І, одержимо
,
або
. (4.7)
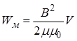
Вираз (13.4.7) визначає енергію магнітного поля котушки зі струмом.
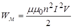
Для довгого соленоїда L=0 n2 V. Підставимо це значення L у (13.4.7), одержимо
. (4.8)
де 2 0 2 n2 І2 =В2 – квадрат індукції магнітного поля соленоїда.
З урахуванням цього зауваження одержуємо:
. (4.9)
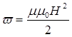
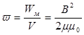
При діленні енергії магнітного поля на об’єм одержимо об’ємну густину енергії магнітного поля, локалізованого в котушці
,
або
. (4.10)