| Скачать .docx |
Реферат: Взаємодія елементарних частинок з речовиною
РЕФЕРАТ
на тему:”Взаємодія елементарних частинок
з речовиною ”
План
1. Взаємодія важких заряджених частинок з речовиною.
2. Вільний пробіг важких заряджених частинок у речовині.
3. Взаємодія електронів з речовиною.
4.Взаємодія нейтронів з речовиною.
3.5.1 Взаємодія важких заряджених частинок з речовиною
До важких частинок відносяться частинки, маси яких у сотні разів більші за масу електрона. При русі в речовині важкі заряджені частинки стикаються з електронами атомів і взаємодіють з ними завдяки взаємодії їх електричних полів. Зіткнення важких заряджених частинок з ядрами атомів досить рідке явище, тому що ядра займають в атомах відносно малий об’єм . Ядра мало впливають на гальмування важких заряджених частинок.
Розглянемо якісну взаємодію важкої частинки А із зарядом q , яка рухається із деякою швидкістю повз електрон е (рис. 3.4.1). Якщо швидкість електрона набагато менша швидкості частинки, то електрон можна вважати нерухомим. При дії зарядженої частинки на нерухомий електрон виникає кулонівська сила:
(3.5.1.1)
де r – відстань між зарядами (залежить від часу); εо = 8,85·10-12 Ф/м - діелектрична проникність вакууму.
Кулонівська сила спрямована вздовж радіуса r. Позитивно заряджена частинка притягує електрон, і він починає рухатися у напрямку до частинки. Негативно заряджена частинка, навпаки, відштовхує електрон. Оскільки маса важкої частинки набагато більша маси електрона, то частинка після зіткнення з електроном майже не змінює напрямку свого руху.

Рис.3.4.1
Енергетичні втрати важкої зарядженої частинки на одне зіткнення з електроном оцінюють за формулою:
(3.4.3.2)
де p – найкоротша відстань електрона до траєкторії частинки (параметр зіткнення, рис.3.4.1).
Енергетичні втрати пропорційні квадрату заряду частинки. Із збільшенням швидкості
, час взаємодії частинки з електроном, а разом з ним і втрати енергії на одне зіткнення зменшуються. Енергетичні втрати не залежать від маси частинки, тому що під зіткненням частинки з електроном розуміють взаємодію їх електричних полів. Мінімальні непружні втрати обмежуються енергією збудження електрона в атомі. Частинка може передати електрону лише порцію енергії, що дає можливість перевести його на один із збуджених рівнів атома. Внаслідок цього, починаючи з деякого параметра зіткнення p > pо
,
частинка взаємодіє не з окремим електроном, а з усім атомом. У цьому випадку відбувається пружне зіткнення частинки з атомом.
Максимальний параметр зіткнення pо , при якому атом збуджується або іонізується, залежить від порядкового номера Z , тобто від ступеня зв'язку електронів в атомі.
Енергетичні втрати зарядженої частинки в непружних (збудження й іонізація) і пружних (зіткненнях з атомами) прийнято відносити до іонізаційних втрат . Вони характеризуються питомою іонізацією, рівною числу іонних пар (електрон, іон), які виникають на одиниці шляху руху частинки. На створення однієї іонної пари в одній і тій же речовині всі заряджені частинки витрачають в середньому однакову енергію, з якої приблизно одна половина йде на іонізацію, а інша – на збудження і на пружні зіткнення з молекулами. Наприклад, заряджені частинки витрачають на утворення однієї іонної пари в повітрі приблизно 34 еВ своєї енергії. З цієї енергії на іонізацію молекули йде близько 15 еВ, а інші 19 еВ – на збудження і пружні зіткнення.
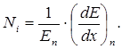
Питому іонізацію неважко розрахувати виходячи з питомих втрат енергії (dЕ/dx) , яка дорівнює зміні кінетичної енергії частинки на одиницю пройденого шляху в речовині. Число іонних пар Nі на одиниці шляху дорівнює питомій втраті енергії, поділеній на середні втрати енергії в речовині на утворення однієї іонної пари:
(3.5.1.2)
Питома втрата енергії частинки, як і зміна енергії електричного поля при зіткненні з електроном, залежить від квадрата заряду частинки і від квадрата її швидкості. Крім того, вона пропорційна числу електронів, з якими відбуваються зіткнення на одиниці шляху. Кількість таких зіткнень в свою чергу пропорційна концентрації атомних електронів у речовині Nе :

(3.5.1.3)
Питомі втрати енергії лінійно залежать від густини атомних електронів Nе . В свою чергу густина атомів N для твердих речовин майже постійна, а Nе1 = Nе2 . Тому іонізаційні питомі втрати енергії в двох простих речовинах відносяться між собою як їх порядкові номери в таблиці Менделєєва:
(3.5.1.4)
Так, іонізаційні втрати протона у свинці (z = 82) приблизно в 16 разів більші, ніж у вуглеці (z =6).
3.5.2 Вільний пробіг важких заряджених частинок у речовині.
Заряджена частинка проходить у речовині деяку відстань, перш ніж вона втратить всю свою кінетичну енергію. Пройдений зарядженою частинкою в речовині шлях до зупинки, називають вільним пробігом R. Величину вільного пробігу визначають за питомими втратами енергії. Чим більша густина атомних електронів і заряд частинки, тим ці втрати більші і тем менший пробіг частинки в речовині. Важкі заряджені частинки, які взаємодіють в основному з атомними електронами, мало відхиляються від напрямку свого початкового руху. Тому пробіг важкої частинки вимірюють відстанню по прямій від джерела частинок до точки її зупинки.
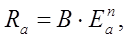
Параметр зіткнення а –частинок з електронами має імовірний характер, а тому вільні пробіги а –частинок у речовині мають деякий розкид. Незначна частина a –частинок проникає далі інших від джерела. Середній пробіг Ra моноенергетичних a –частинок звичайно розраховують за допомогою емпіричних формулах. Так у повітрі при нормальних умовах:
(3.5.2.1)
де Ra – пробіг у см; Ea – кінетична енергія a – частинок у МеВ .
Для a – частинок природних a – випромінювачів (4 МеВ < Ea < 9 МеВ), В = 0.318 , n = 1.5. Для a – частинок з більш високими енергіями Еа ≥ 200( МеВ) В = 0.148 , n = 1.8. Так, a – частинки з енергіями Ea = 5 МеВ пробігають у повітрі відстань 3.51 см, а з енергією Ea = 30 МеВ – 68 см. Відношення лінійних пробігів двох типів частинок, які розпочинають рух у повітрі з однаковими швидкостями, пропорційний відношенню питомих втрат енергії цих частинок:
, (3.5.2.2)
де m1 і m2 – відповідно, маси частинок; z1 і z2 – зарядові числа частинок.
Часто замість лінійного пробігу використовують масовий пробіг зарядженої частки Rm , який виражається у грамах на квадратний сантиметр (г/см2 ). Чисельно масовий пробіг дорівнює масі речовини, яка розміщена в циліндрі, висота якого дорівнює лінійному пробігу частинки R у сантиметрах, з площею поперечного перерізу – 1 см2 .
, (3.5.2.3)
де ρ – густина речовини в г/см3 .
Масовий пробіг зарядженої частинки зручний тим, що він мало залежить від хімічного складу речовини.
3.5.3 Взаємодія бета-частинок з речовиною
При русі в речовині легкі заряджені частинки втрачають свою енергію. Ці втрати можна поділити на іонізаційні й радіаційні.
При русі легких заряджених частинок у речовині питомі іонізаційні втрати зменшуються із збільшенням їх швидкості до кінетичних енергій, які дорівнюють подвоєний енергії спокою електрона, а потім повільно зростають.
Радіаційні втрати спостерігаються при прискореному русі вільних заряджених частинок в електричному полі ядра. Пролітаючи поблизу ядра, заряджена частинка відхиляється від свого попереднього напрямку під дією кулонівської сили F. Ця сила пов'язана з масою частинки m і її прискоренням a другим законом Ньютона F = ma. Вільний заряд, який рухається з прискоренням a , випромінює електромагнітні хвилі, енергія яких пропорційна порядковому номеру елемента. Оскільки кулонівська сила пропорційна порядковому номеру елемента в таблиці Менделєєва z, то a2 ~ z2 /m2 . Отже, радіаційні втрати важких заряджених частинок значно менші радіаційних втрат електронів і позитронів. Із збільшенням енергії електронів їх електричне поле в перпендикулярному напрямку підсилюється, тому радіаційні втрати ростуть пропорційно до зростання кінетичної енергії електронів Ее- . Отже, питомі радіаційні втрати енергії Ее- пропорційні енергії і квадрату порядкового номера речовини:
. (3.5.3.1)
Іонізаційні втрати в електронів переважають в області порівняно невеликих енергій. Із збільшенням кінетичної енергії внесок іонізаційних втрат у загальних втратах енергії зменшується. Оскільки питомі іонізаційні втрати
, то відношення питомих радіаційних і іонізаційних втрат k енергії пропорційне
, тобто
, (3.5.3.2)
тут Ее- береться у МеВ.
Енергію електронів , при якій питомі іонізаційні і радіаційні втрати рівні (k = 1), називають критичною . Критична енергія для заліза (z = 26) дорівнює 31 МеВ, а для свинцю (z = 82) - приблизно 9.8 МеВ. Практичний інтерес має не дійсний лінійний пробіг, а ефективний . Він дорівнює товщині шару речовини, яка повністю поглинає електрони. Ефективні масові пробіги Rme моно енергетичних електронів знаходять за емпіричними формулами:
для ![]()
для
(3.5.3.3)
де Rme вимірюють у грамах на квадратний сантиметр (г/см2 ); Eе - кінетична енергія електронів у МеВ.
3.5.4 Взаємодія нейтронів з речовиною
Нейтрони, пролітаючи крізь речовину, безпосередньо не іонізують атоми й молекули, подібно до заряджених частинок. Тому нейтрони виявляють за допомогою вторинних ефектів, які виникають при взаємодії їх з ядрами. У результаті зіткнення нейтронів з ядрами речовини, природа останніх не змінюється, а самі нейтрони розсіюються на атомних ядрах.
Зіткнення нейтронів з ядрами можуть бути пружними й не пружними. При непружних взаємодіях відбуваються ядерні реакції типу (n, a ), (n, p ), (n, γ ), (n, 2n ) і т.д., і спостерігаються ядерні реакції поділу важких ядер.
Імовірність проходження тієї чи іншої ядерної реакції визначається мікроскопічним перерізом реакції σ(n, a), σ(n, p), σ(n, y), σ(n, 2n) і т.д. (першою в дужках записується частинка, яка бомбардує нейтрон, другою – частинка, що випускається, або γ-квант).
Мікроскопічний переріз
σ можна уявити як перетин сфери, описаної навколо ядра. Перетинаючи сферу, нейтрон може вступити в реакцію з ядром. Поза сферою радіусом
взаємодії не відбуваються. Мікроскопічний переріз виміряється в квадратних сантиметрах (см2
) і барнах (1барн = 10-24
см2
). Експериментально доведено, що при енергіях нейтронів, більших за 10 МеВ, повний ефективний переріз дорівнює :
, (3.5.4.1)
де R - радіус ядра.
Звідси радіус ядра дорівнює
R =
(3.5.4.2)
Більш точні експериментальні вимірювання радіуса ядра R в залежності від масового числа A були проведені з використанням нейтронів з енергіями 14 і 25 МеВ. Вимірювання показали, що
R = (1,3 ÷1,4)·10-15 A1/3 м. (3.5.4.3)
Помноживши мікроскопічний переріз σ на число ядер у 1 см3 поглинаючої речовини N, одержимо повний переріз усіх ядер у 1 см3 поглинаючої речовини. Макроскопічний переріз Σ в цьому випадку дорівнює:
(3.5.4.4)
Макроскопічний переріз має розмірність, обернено пропорційну до розмірності довжини, см-1
. Тому при
, де Nо
- число Авогадро, маємо
. (3.5.4.5)
В залежності від енергії нейтронів, їх ділять на такі групи:
· ультрахолодні нейтрони;
· нейтрони з енергією меншою 10-7 еВ;
· холодні нейтрони;
· нейтрони з енергією меншою за 5·10-3 еВ.
Ультрахолодні й холодні нейтрони мають дуже великі проникні здатності в полікристалічних речовинах. Теплові нейтрони - це нейтрони, які перебувають у термодинамічній рівновазі з атомами навколишнього розсіюючого середовища. Через відносно слабке поглинання в середовищі їх швидкості підпорядковуються максвеллівському розподілу. Тому такі нейтрони називаються тепловими. Енергія теплових нейтронів при кімнатній температурі дорівнює 0,025 еВ. Швидкості теплових нейтронів характеризуються енергією E0 = k·T, де T - абсолютна температура, а k - стала Больцмана.
Надтеплові нейтрони - нейтрони з енергією від 0.1 еВ до 0.3 кеВ. При проходженні надтеплових нейтронів через поглинаючі і розсіюючі середовища, переріз взаємодії підпорядковується закону 1/
, де ![]()
швидкість нейтрона. При цих значеннях енергії нейтронів у речовині відбуваються реакції радіаційного захоплення типу (n, γ).
Нейтрони проміжних енергій - нейтрони з енергією від 0.5 кеВ до 0.2 МеВ. Для нейтронів цих енергій найбільш типовим процесом взаємодії з речовиною є пружне розсіювання.
Швидкі нейтрони - нейтрони з енергією від 0.2 МеВ до 20 МеВ, характеризуються як пружними, так і не пружними розсіюваннями і виникненням граничних ядерних реакцій.
Над швидкі нейтрони - нейтрони, які мають енергією понад 20 МеВ. Вони характеризуються ядерними реакціями з виділенням великого числа частинок. При енергіях нейтронів більших за 300 МеВ, спостерігається слабка їх взаємодія з ядрами (ядра стають прозорими для надшвидких нейтронів). В цьому випадку появляються так звані "реакції сколювання", у результаті яких ядра, у які проникли нейтрони, діляться на кілька осколків.
Нейтрони тієї чи іншої енергетичної групи, проходячи через матеріальне середовище, поводяться досить специфічно. У загальному випадку нейтрони, які проникли в речовину, розсіюються і поглинаються ядрами. Якщо на поверхню плоскої мішені ( речовини, що опромінюється нейтронами ) товщиною d падає паралельний пучок моноенергетичних нейтронів, швидкості яких спрямовані перпендикулярно до поверхні мішені, то після проходження цієї речовини частина нейтронів вибуває з пучка. На глибині x величина потоку первинних нейтронів ослабляється до значення Ф(x ). Зменшення величини потоку нейтронів dФ у шарі dx дорівнює добутку σt · Ndx помножену на величину Ф(x) :
dФ = - σt Ф(х)ndx, (3.5.4.5)
де σt = σs + σa - повний переріз реакції; σs – переріз пружного розсіювання нейтронів; σа – переріз поглинання нейтронів; n – концентрація ядер поглинаючої речовини.
Знак мінус показує на зменшення потоку нейтронів у шарі речовини.
Розділимо змінні та інтегруємо це рівняння, одержимо:
lnФ(х) = - nσt x + C. 3.5.4.6)
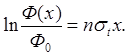
Постійну інтегрування C знайдемо з граничних умов: при x = 0, Ф = Фо і ln Фо = C. Замінимо в рівнянні (3.5.4.6) постійну C й одержимо:
(3.5.4.7)
Потенціюючи останнє рівняння, одержимо закон ослаблення паралельного пучка нейтронів у плоскій мішені речовини, яка ними опромінюється:
(3.5.4.)
Густина потоку Ф(x) зменшується із збільшенням товщини шару речовини за експонентним законом . Розподіл густини потоку первинних нейтронів по товщині мішені залежить від величини перерізу σt і концентрації ядер n .
Переріз σt вимірюється експериментально. Експериментальні дані нейтронних перерізів можна знайти в спеціалізованих збірниках і атласах ядерних констант.