| Скачать .docx |
Реферат: Біологічна дія іонізуючого випромінювання
РЕФЕРАТ
на тему:”Біологічна дія іонізуючого випромінювання”
План
1. Основи біологічної дії іонізуючих випромінювань.
2. 2. Первинні процеси дії іонізуючих випромінювань.
3. Деякі міри захисту від зовнішнього і внутрішнього опромінення
4. Розрахунок захисту і захисні матеріали
3.7.1 Основи біологічної дії іонізуючих випромінювань
Іонізуюче випромінювання на перший погляд зовсім не еквівалентне величині поглинутої енергії. Дійсно, летальна доза для ссавців складає близько 10 Гр (1 000 рад). Поглинута при цьому тканинами й органами енергія могла б підвищити температуру тіла всього на тисячні частки градуса. Ясно, що таке підвищення температури не може викликати настільки вираженого ефекту руйнування; у той же час безпосередньо прямі порушення в хімічних зв'язках біологічних молекул у клітинах і тканинах, що виникають слідом за опроміненням, незначні. У зв'язку з зазначеними обставинами в даний час висувається гіпотеза про можливість існування в клітинах ланцюгових автокаталітичних реакцій, які підсилюють первинну дію опромінення. Поява в клітинах позитивних зворотних зв'язків, підтримується незалежно від існування причини їх виникнення.
Процеси взаємодії іонізуючого випромінювання з речовиною клітин приводять до утворення в клітинах іонізованих і збуджених атомів й молекул, які тривалий час взаємодіють між собою і з різними молекулярними системами, даючи початок хімічно активним центрам (вільні радикали, іони, іон - радикали й ін.). У цей же період можливе виникнення розривів зв'язків у молекулах як за рахунок безпосередньої взаємодії з іонізуючим агентом, так і за рахунок внутрішньої міжмолекулярної передачі енергії порушення.
Надалі мають місце реакції хімічно активних речовин з різними біологічними структурами, при яких відзначається як деструкція, так і утворення нових не властивих, для організму сполук.
Наступні етапи розвитку променевої хвороби проявляються в порушенні обміну речовин у біологічних системах із зміною відповідних функцій.
Явища, що відбуваються на початкових фізико-хімічних етапах променевого впливу, прийнято називати первинними або пусковими, оскільки саме вони визначають весь подальший хід розвитку променевих ускладнень.
3.7.2 Первинні процесидії іонізуючих випромінювань
При опроміненні біологічних об'єктів, які містять воду, що знаходиться частково у вільному стані, а частково входить до складу органел відповідних біологічних систем, прийнято вважати, що 50% поглиненої дози в пересічній клітині приходиться на воду, інші 50% на її органели і розчинені речовини. Відповідно до локалізації поглиненої енергії (у воді або в основній речовині) можна говорити про пряму і непряму дію іонізуючого випромінювання.
При взаємодії іонізуючого випромінювання з водою в кінцевому підсумку відбувається вибивання електронів з молекул води з утворенням так званих молекулярних іонів, що несуть позитивний і негативний заряд. Схематично цей процес можна подати в такий спосіб:
H2 O → H2 O+ + e - ,
e - + nH2 O → e – гідрат. ,
де е – гідрат. – гідратований електрон.
В більшості випадків електрони, які виникають в першій реакції, стають гідратованими, тобто оточеними нейтральними молекулами води. Гідратований електрон є однією із головних відновних форм в опромінених водних розчинах.
Утворені іони води у свою чергу розпадаються з виникненням цілого ряду радикалів, які також взаємодіють між собою:

Вважається, що основний ефект променевого впливу на водні розчини в біологічних системах обумовлений такими радикалами, як Н+ , ОН- і особливо Н3 О+ . Останній радикал, має високу окисну здатність.
Вихід цього радикала зменшується пропорційно падінню парціального тиску кисню. Цим пояснюється кисневий ефект опромінення, суть, якого полягає в тому , що при зниженні концентрації кисню в клітинах в період опромінення зменшується ефект променевого впливу. Кисневий ефект відсутній при опроміненні біологічних об’єктів нейтронами.
При опроміненні води важкими частинками іонізаційні ефекти в клітинах досить інтенсивні. Це є причиною локального сполучення радикалів з утворенням Н2
і Н2
О2
. При опроміненні електронами й гамма-квантами води, яка міститься в клітинах спостерігається досить низька густина іонізації. Це призводить до зростання швидкості дифузії радикалів з утворенням НО2
,
і О-
.
В дуже чистій воді не відбувається розкладання молекул під дією гамма-квантів і рентгенівського випромінювання. В цьому випадку спостерігається стійка рівновага швидкості дисоціації й рекомбінації.
3.7.3 Деякі міри захисту від зовнішнього і внутрішнього опромінення
Як уже відзначалося, біологічний вплив різних видів випромінювання є неоднозначним, тобто та сама поглинена доза гамма - й альфа - випромінювання приводить до різного біологічного ефекту. З метою відповідної стандартизації наслідків впливу різних видів випромінювання за їх біологічною ефективністю введено поняття "відносної біологічної ефективності " випромінювання й еквівалентної доза опромінення, одиницею якої є зіверт (Зв).
Характер радіаційного впливу на живий організм визначається не лише видом випромінювання, але й тим, чи було опромінення зовнішнім або внутрішнім.
Радіоактивні речовини можуть знаходитися поза організмом і опромінювати його зовні; у цьому випадку говорять про зовнішнє опромінення. Якщо ж вони є у повітрі, яким дихає людина, або у їжі чи воді і попадають усередину організму, то відбувається внутрішнє опромінення тканин. В середньому приблизно дві третини ефективної еквівалентної дози опромінення, яке людина одержує від природних джерел радіації, надходить від радіоактивних речовин, що потрапили в організм із їжею, водою або повітрям.
Перш ніж потрапити в організм людини радіоактивні речовини проходять по складних маршрутах у навколишньому середовищі і це приходиться враховувати при оцінюванні доз опромінення, отриманих від якого-небудь джерела. Радіоактивні речовини, що випадають на поверхню землі, включаються в біологічний кругообіг речовин, насамперед через рослини. Серед різних продуктів поділу особливо велике значення має включення в біологічний кругообіг речовин радіонуклідів стронцію і насамперед
Sr, що має тривалий період напіврозпаду. При будь-якому способі попадання в організм стронцій міцно фіксується в ньому і дуже повільно виводиться.
Одним з істотних бар'єрів, які перешкоджають включенню продуктів поділу в біологічний цикл, є ґрунт, що їх зв’язує. На відміну від більшості продуктів поділу
Sr порівняно легко зв’язується з катіонами нейтральних солей, що полегшує його надходження в рослини і нагромадження у вирощеному врожаї.
З метою скорочення надходження
Sr і деяких інших радіонуклідів в організм людини і тварин необхідно знижувати інтенсивність їх залучення в біологічний кругообіг через рослини. Оскільки
Sr концентрується, як правило, у верхньому шарі ґрунту товщиною близько 5 см (до 70% - 80%), його можна перевести глибокою оранкою в нижні шари ґрунтового шару, до яких не доходить коренева система рослин. На глибині 25-30 см він не буде сильно впливати на життя рослин. Необхідно відзначити також, що застосування деяких агротехнічних заходів, таких, як внесення в ґрунт органічних добрив суттєво знижує надходження в рослини
Sr.
Необхідно також прийняти заходи, що запобігають надходження в організм радіоактивних речовин із харчовими продуктами і водою. Запаси харчових продуктів і води слід зберігати в закритих - водонепроникних ємностях. Якщо запаси продуктів виявилися забрудненими і виникне необхідність споживання забруднених продуктів, то їх необхідно піддати дезактивації. Наприклад, достатньо свіжі фрукти й овочі обмити водою або зняти з них шкірку. Погано дезактивуються продукти, які мають пористу поверхню, вони підлягають знищенню або тривалому відлежуванню. Молоко від корів, що знаходяться в зоні радіоактивного забруднення, у зв'язку з наявністю в ньому радіоактивного йоду, можливо, виявиться непридатним для вживання в їжу, тому що радіоактивність молока може зберігатися протягом декількох тижнів.
При забрудненні водойм радіоактивні речовини можуть надходити в організм людини завдяки біологічним ланцюжкам вода - водорості, планктон - риба - людина, якщо водойма безпосередньо служить для питного водопостачання, то по ланцюжку вода - людина. На водопровідних станціях питна вода, яка збирається в підземних резервуарах, може бути очищена від радіоактивних речовин шляхом осадження колоїдних частинок з наступною фільтрацією. Питна вода, одержана з підземних криниць або збережена в герметичних ємностях, звичайно не піддається забрудненню радіоактивними речовинами.
Серед заходів щодо скорочення надходження радіоактивних речовин в організм людини важливе місце приділяється використанню засобів захисту органів дихання. Для цієї мети придатні в першу чергу респіратори різних типів (Р-2, Р-2д, "Пелюсток", "Астра" і інші). При відсутності респіраторів можуть бути використані протигази або найпростіші засоби захисту органів дихання , такі, як проти пилова маска, ватно-марлева пов'язка й інші. Застосовуються ці засоби в період випадання радіоактивних опадів і протягом ще декількох наступних діб, доки радіоактивні речовини можуть попадати в повітря у результаті вторинного пилоутворення, маючи при цьому ще досить високу активність.
Основними правилами, які визначають характер захисту від γ - випромінювання на забрудненій території є:
· Потужність дози γ - випромінювання найбільш висока на початку після випадання радіоактивних опадів, тому захист від γ - випромінювання необхідно здійснювати буквально з першої години, навіть з перших хвилин випадання радіоактивних опадів. Початок випадання виявляється різким підвищенням рівня радіації;
· Перебування в будь-якому будинку або споруді знижує дозу γ – опромінення на величину коефіцієнта ослаблення γ – випромінювання будинком або спорудою;
· Внаслідок того, що потужність дози γ - випромінювання знижується швидше на початку забруднення, укриття людини в спорудах з відомим коефіцієнтом ослаблення має бути по можливості тривалим. У першу добу після випадання радіоактивних опадів укриття рятує людину від дії випромінювання в значно більшій мірі, ніж у другу і тим більше в наступну добу.
На підставі цих правил можна зробити важливий висновок:
для надійного захисту людини від зовнішнього γ - випромінювання на забрудненій території доцільно знати, що найвища загроза опромінення існує лише в перші години після забруднення території. Ці перші години слід перебувати в приміщеннях з найвищим коефіцієнтом захисту.
3.7.4 Розрахунок захисту і захисні матеріали
Робота з радіоактивними речовинами повинна виконуватися в окремих спеціально обладнаних приміщеннях. Для роботи з газоподібними речовинами використовуються бокси (шафи) із вмонтованими в них гумовими рукавичками або механічними маніпуляторами. Такі бокси повинні мати закриту систему вентиляції. Роботи з відкритими джерелами (наприклад, радіоактивними пробами ґрунту і т.п.) також проводять у боксах, або використовують індивідуальні захисні засоби, такі як протигази, гумові рукавички і т.п.
Джерела великої активності, рівні дози яких перевищують допустиму межу дози, закривають захисними екранами. Вибір матеріалу і товщини захисного екрана залежить від виду випромінювання, його енергії й активності джерела.
Найбільш розповсюдженим методом розрахунку захисту від зовнішнього опромінення є розрахунок необхідної кратності ослаблення .
Необхідна кратність ослаблення Кнеобх визначається відношенням дози випромінювання у відповідній точці до ліміту дози (ЛД) і показує у скільки разів необхідно понизити рівень радіації за допомогою захисних засобів, щоб забезпечити безпечні умови праці:
Кнеобх
=
, (3.7.4.1)
де Х - експозиційна доза, Р ; ЛД - ліміт дози (задається НРБУ - 97), мЗв; f = 9.3 мЗв/Р – нормувальний коефіцієнт.
Знаючи необхідну кратність ослаблення, можна розрахувати необхідний захист. Зупинимося в першу чергу на розрахунку захисту від γ-випромінювання, тому що закриті γ - джерела знайшли широке застосування в науці і техніці. Ослаблення інтенсивності γ-випромінювання (вузького пучка) у речовині відбувається за експонентним законом Бугера
Id
= I0
, (3.7.4.2)
де I0
- інтенсивність γ-випромінювання, виміряна приладом при відсутності захисного екрана; Id
- інтенсивність γ - випромінювання при наявності захисного екрана товщиною d см.,
- лінійний коефіцієнт ослаблення γ - променів, см-1
, що характеризує відносну зміну інтенсивності випромінювання на одиницю товщини захисного екрана.
Логарифмуючи вираз (3.7.4.2), одержуємо формулу для визначення лінійного коефіцієнта ослаблення.
. (3.7.4.3)
Відношення K = I0
/Id
називають кратністю ослаблення, що у даному випадку показує у скількох разів послабляється інтенсивність потоку γ - випромінювання захисним матеріалом товщиною d.
Звичайно в довідниках приводять значення масових коефіцієнтів ослаблення різних речовин. Лінійний коефіцієнт ослаблення μ пов'язаний з масовим коефіцієнтом ослаблення
співвідношенням.
, (3.7.4.4)
Врахувавши всі ці зауваження легко розрахувати товщину захисту для вибраного матеріалу
(м). (3.7.4.5)
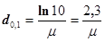
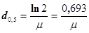
Користаючись виразом (3.7.4.5), можна визначити товщину матеріалу, що забезпечує ослаблення інтенсивності вдвічі - шар половинного ослаблення:
(м), (3.7.4.6)
і в десять разів – товщина шару десятикратного ослаблення
(м). (3.7.4.7)
Якщо виходити з довжини максимального пробігу заряджених частинок в тому або іншому матеріалі, то товщина шару поглинання може виявитись дещо більшою за розраховану. Так шар матеріалу товщиною 0,2 мм повністю затримує
- випромінювання.
Пробіг a - частинок у будь-якій речовині розраховується за такою емпіричною формулою
(см) (3.7.4.8)
де Ареч.
- атомна маса речовини;
- густина речовини, г/см3
; Е - енергія альфа - випромінювання в МеВ.
Для захисту від a - випромінювання достатній шар повітря в кілька сантиметрів або екран з плексигласу чи скла товщиною в кілька міліметрів.
Пробіг a - частинок у повітрі розраховується за емпіричною формулою:
(см), (3.7.4.9)
де К1 - коефіцієнт, що залежить від температури і тиску; К2 - коефіцієнт, рівний 9,67.10-28 ; Е - енергія a - частинок, МеВ; V - швидкість a - частинок, см/с.
Для поглинання
- випромінювання необхідний шар води або пластмаси товщиною не менше 15 мм. Якщо ж в якості поглинаючої речовини використовується речовина з вищим атомним номером, то товщина шару поглинання зменшується.
Для роботи з β - випромінюванням необхідно передбачити захист безпосередньо від β - частинок і захист від гальмового випромінювання, яке виникає при гальмуванні β - частинок у захисному екрані. Гальмівне випромінювання є квантами енергії, аналогічними до γ- квантів.
Захист від β - частинок здійснюється з допомогою комбінованих екранів. У такому екрані з боку джерела розташовують шар матеріалу з малою атомною масою (плексиглас, карболіт і ін.); це дає можливість знизити енергію квантів гальмівного випромінювання. Товщина цього шару повинна відповідати довжині максимального пробігу β - частинок у даному матеріалі. За ним розміщується шар матеріалу з великою атомною масою, що забезпечує ослаблення наведеного гальмівного випромінювання.
Дані про максимальний пробіг β - частинок різної енергії в повітрі, воді (або біологічній тканині) і алюмінії наведені в табл. 5.
Таблиця 5.
Максимальний пробіг β - частинок різної енергії в речовині

Максимальний пробіг β - частинок з максимальною енергією в межах від 0.5 до 20 МеВ розраховують за емпіричною формулою:
, (3.7.4.9)
де Еmax
- максимальна енергія β - частинок, МеВ;
- густина речовини, г/см3
.
В першому наближенні можна вважати, що в повітрі максимальний пробіг β - частинок L = 0,41Емакс
[см], у воді (або біологічній тканині) - L = 5Емакс
[мм], в алюмінії - L = 2Емакс
[мм].
Ослаблення потоку β - частинок на більшій частині пробігу в речовині має експонентний характер
Id
= I0
,
(3.7.4.10)
де I0 - потік β - частинок при відсутності захисного екрана, частинок/с;
Id - потік β - частинок при наявності захисного екрана товщиною d см;
μ - лінійний коефіцієнт ослаблення β - випромінювання в речовині захисного екрана, см-1 .
Нейтрони й γ- випромінювання не мають певної довжини вільного пробігу. Залежність між товщиною шару поглинання й інтенсивністю випромінювання тут має логарифмічний характер. При будь-якій товщині поглинання у цьому випадку досягається лише часткове зниження інтенсивності.
Для захисту від нейтронного випромінювання застосовують різні матеріали в залежності від його енергії. Нейтрони із енергією більшою за 0.5 МеВ добре поглинаються в результаті процесів непружного розсіювання залізом. Нейтрони з енергією меншою 0.5 МеВ ефективно поглинаються захисним екраном , що містить водень (вода, парафін), а також берилій або графіт. Найбільш ефективно поглинають теплові нейтрони - кадмій, бор і залізо. Процес захоплення теплових нейтронів супроводжується випущенням γ - випромінювання. Для комбінованого захисту від нейтронного і γ- випромінювання застосовують шарові екрани з важких і легких матеріалів.
На підставі розрахункових і експериментальних даних створені таблиці для визначення товщини захисту від γ - випромінювання з різних матеріалів.
Для захисту від γ - випромінювання використовують свинець, бетон, залізо, воду, вольфрам, збіднений уран і осмій. Захист із бетону (
= 2,3 г/см3
) міцний, дешевий, але дуже громіздкий і важкий. Свинець (
= 11,34 г/см3
) ефективний, але має погані механічні властивості. Свинець використовують для виготовлення контейнерів (в комбінації із залізом) для транспортування різних ізотопів. Вольфрам (
= 19.3 г/см3
) і збіднений уран (
= 18.7 г/см3
) використовують в особливо відповідальних пристроях для забезпечення мінімальної ваги захисту.
Як приклад у табл. 6 наведені дані, що дозволяють визначити товщину захисту із свинцю, заліза й бетону для γ - випромінювання різних енергій.
Товщина захисних екранів, см ( для різних енергій)
Таблиця6
| Свинець | Залізо | Бетон | |||||||
| (р=11,34 г/см3 ) | (р = 7,89 г/см3 ) | (р=2,3 г/см) | |||||||
| 1МеВ | 2 МеВ | 3МеВ | 1МеВ | 2МеВ | 3 МеВ | 1 МеВ | 2 МеВ | 3 МеВ | |
| 2 | 1,3 | 2,0 | 2,1 | 3,3 | 3,9 | 4,4 | 12,9 | 14,1 | 15,3 |
| 10 | 3,8 | 5,9 | 6,5 | 8,5 | 11,0 | 12,2 | 29,9 | 37,7 | 43,4 |
| 102 | 7,0 | 11,3 | 12,2 | 14,5 | 19,5 | 22,1 | 50,5 | 65,7 | 77,5 |
| 103 | 10,2 | 16,5 | 18,0 | 20,5 | 27,5 | 31; 7 | 70,4 | 92,7 | 110,9 |
| 104 | 13,3 | 21,3 | 23,5 | 26,0 | 35,5 | 40,9 | 89,2 | 118,6 | 143,2 |
| 105 | 16,5 | 26,2 | 28,9 | 31,5 | 43,2 | 50,0 | 106,8 | 144,4 | 173,8 |
| 106 | 19,5 | 31,0 | 34,3 | 37,0 | 50,6 | 58,8 | 124,4 | 171,4 | 205,4 |
Більшість джерел γ – випромінювання, маючи дискретний лінійчастий характер γ – спектра , випромінюють від одної до кількох десятків окремих ліній. Так в γ – спектрі
, який перебуває у радіоактивній рівновазі з продуктами свого розпаду, нараховується біля 50 характерних ліній, із них відмічається шість найбільш інтенсивних з інтервалом енергії від 0,3 до 1,76 МеВ. Гамма-джерела мають як правило невеликі розміри d. На відстанях r>4d будь яке гамма – джерело можна вважати точковим. Крім того, точкові гамма – джерела відносяться до ізотропних джерел, які випускають гамма – кванти з однаковою імовірністю у всіх напрямках.
Радіоактивні речовини розміщують у герметичні металеві ампули, стінки яких певним чином змінюють спектр гамма-випромінювання. Стінки ампул, а також матеріали, які використовуються для ампул поглинають частину гамма-ліній і тому називаються фільтрами.
Потужність експозиційної дози в повітрі від точкового ізотропного джерела характеризується іонізаційною гамма-сталою Кγ . Вона чисельно дорівнює потужності експозиційної дози (Р/год) нефільтрованого гамма-випромінювання від точкового ізотропного джерела активністю 1 мКі на відстані 1 см від нього. Величину Кγ виражають в одиницях
. Її величину вимірюють експериментально і приводять в довідниках (таблиця 7).Іонізаційні
γ – сталі й γ – еквіваленти для деяких радіоактивних речовин
Таблиця 7
| Речовина | Т1/2 | Кγ , |
γ- еквівалент 1 мКі речовини, мг-екв. Ra |
| 14,9 роки | 18,55 | 2,20 | |
| 5,27 роки | 12,93 | 1,54 | |
| 127 діб | 1,84 | 0,23 | |
| 2,2 роки | 8,58 | 1,02 | |
| 1622 роки | 9,36 | 1,11 |
Фільтрація γ-випромінювання зменшує Кγ до Кγ(δ), де δ – товщина фільтра. В розрахунках зміна величини Кγ враховується за допомогою коефіцієнта χ, меншого за одиницю, тобто Кγ(δ) =χ Кγ.
Для свинцевих, залізних і алюмінієвих ампул товщиною 0,1 – 0,3 см значення χ перебуває в межах від 0,85 до 0,98 для енергій гамма-квантів більших за 1 МеВ.
Величина Кγ значно спрощує розрахунки експозиційної потужності дози Р( R ) на відстані R від незахищеного точкового гамма-джерела. Оскільки інтенсивність гамма – джерела пропорційна 1/R, то
Р( R) = АּКγ/R2 , (3.7.4.11)
де Р ( R ) –експозиційна доза , Р/год; А – активність гамма – джерела, мКі; R – відстань до гамма – джерела, см.
В дозиметрії гамма – джерела часто порівнюють за іонізацією повітря. Дві радіоактивні речовини, які при однакових умовах створюють однакові потужності експозиційної дози, мають однаковий γ-еквівалент. Гамма – еквівалент вимірюють в міліграм - еквівалентах радію (мг-екв Ra). Ця одиниця дорівнює такій кількості радіоактивної речовини, γ – випромінювання якої при даній фільтрації і тотожних умовах створює таку ж потужність експозиційної дози, що й 1 мг-екв радію. Потужність експозиційної дози в 1 мг-екв. Ra на відстані 1 см дорівнює 8,4 Р/год.
Гамма – еквівалент речовини m (мг-екв Ra) пов’язаний з її активністю А (мКі) і величиною Кγ (Рּсм2 /(год.мКі)) співвідношенням
m = AּKγ /8,4. (З.7.4.12)
Замінимо у формулі (3.7.4.11) АּКγ на 8,4m, одержимо
Р( R ) = 8,4m/R2 , (3.7.4.13)
де Р( R ) – потужність експозиційної дози , Р/год; m – гамма – еквівалент речовини, мг-екв Ra; R – відстань до джерела , см.
ПРИКЛАД.
На якій відстані R від точкового джерела
масою 10-6
г за шестигодинний робочий день доза опромінення не перевищить гранично допустимої дози (ГДП)? Розрахувати також гамма – еквівалент цього джерела.
Кількість атомів у 10-6
г
буде дорівнювати
N = ![]()
Активність кобальту, період піврозпаду якого дорівнює T1/2 = 5,27 років розраховується так
,
враховано, що 3,7.107 відповідає розмірності 1 мКі.
Гранично допустима потужність дози при шестигодинному робочому дні для кобальту – 60 Рг.д = 2,8.10-3 бер/год. Для