| Скачать .docx |
Реферат: Баттерворт фильтрі
Баттерворт Фильтры
Баттерво́рт Фильтры - электронды фильтрлардың бір түрі. Бұл топтың фильтрлары басқалардан жобалау әдісімен ерекшеленеді. Баттерворт Фильтры өткізу жолағында оның амплитуда-жиіліктік сипаттамасы барынша біртегіс болатындай етіп жобаланады. Мұндай фильтрлер алғаш рет Стефан Баттерворт атты британдық инженердің "Фильтрлейтін күшейткіштер теориясы жайлы" (ағылш. On the Theory of Filter Amplifiers ), Wireless Engineer журналында1930 жылы.
Баттерворт фильтрының амплитуда - жиіліктік сипаттамасы өткізу жолағының жиілігінде барынша біртегіс және басу (полоса подавления) жолағында 0-ге дейін төмендейді. Логарифмді АФЖС (АФЧХ) -да Баттерворт фильтрының жиіліктік отклигінің (частотный отклик) басу жолағында амплитуда минус шексіздікке дейін төмендейді. Бірінші реттік фильтр кезінде АЖС - 6 децибел октаваға (-20 децибел декадаға) жылдамдығымен өшеді (негізінде бірінші реттік фильтрлардың барлығы типке байланыссыз идентипті және де бірдей жиілікті отклик). Екінші реттік Баттерворт фильтры үшін АЖС - 12 дБ октаваға өшеді, үшінші реттік фильтр үшін - 18 дБ т. с. с. Баттерворт фильтрының АЖС-сы - жиіліктің монотонды кемитін функциясы. Баттерворт Фильтры-жоғарғы ретте (басу жолағында сипаттаманың одан да асатындарын есепке алмағанда) АЖС сақтайтын фильтрлардың жалғыз түрі, солай болып тұра фльтрлардың көптеген түрлері (Бессель фильтрі, Чебышев фильтрі, Эллипстік фильтрі) әр түрлі ретті түрлі АЖС болады.
Чебышев фильтрінің І және ІІ типтерімен немесе эллипстік фильтрмен салыстырғанда Баттерворт фильтрінің сипаттамасы оларпдыңкінен де біртегіс түсуі бар және сондықтан оның үлкен реті болуы қажет(орындалуында өте қиын), оның барлығы басу жолағының жиіліктерінде қажетті сипаттамаларды қамтамасыз ету үшін. Бірақ Баттерворт фильтрінің өткізу жолағында аса түзу сызықты фаза-жиіліктік сипаттамасы бар.

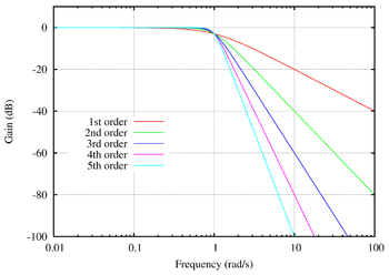
Сурет 1-Фильтрлардың сипаттамалары
Баттерворт фильтрінің 1-ден 5-ке дейінгі төмеңгі жиіліктік реттер үшін АЖС. Сипаттаманың иілуі - 20n дБ/декадаға, мұнда n - фильтрдің реті.
Барлық фильтрлер үшін сияқты олардың АЖС қарастырған кезде төменгі жиілікті фильтрларды пайдаланады, олардан оп-оңай жоғары жиілікті фильтрді алуға болады, ал осындай фильтрлерді тізбектей жалғасақ,--жолақты фильтр немесе режекторды фильтр.
- ші реттегі Баттерворт фильтрінің амплитуда-жиліктік сипаттамасы
жіберуші функциядан
алынуы мүскін (1):
(1)
мұнда
- фильтрдің реті
- үзілістің (срез) жиілігі (амплитудасы −3dB болатын жиілік)
- тұрақты құраушының күшею коэффициенті (нөлдік жиіліктегі күшею)
Шексіз
мағыналары үшін АЖС тікбұрышты функция болатынын, және де үзіліс жиілігінен кем жиіліктер күшейту коэффициенті
-мен өтетінін, ал үзіліс жиілігінен жоғары жиіліктер толығыиен өшеті байқау қиын емес. Соңғы
мағыналары үшін сипаттаманың өшуі біртегіс болады.
формальды ауыстырғыш көмегімен
өрнегін (2) мына түрде
:
(2)
Жіберетін функцияның полюстері радиусы
болатын дөңгелекте бірі-бірінен бірдей алыстықта сол жақ жартылайжазықтықта орналасқан. Яғни, Баттерворт фильтрінің жіберуші функциясын оның сол жақ жартылайжазықтықтың s-жазықтығын анықтай отырып анықтауға болады (3), (4) өрнектер.
-шы полюс келесі өрнектен шығады:
(3)
Мұндағы
(4)
Жіберуші функцияны келесі (5) өрнек түрінде жазуға болады:
(5)
Аналогты түсіндірмелер Баттерворттың сандық фильтрлеріне қолданылады, мұндағы тек айырмашылығы өрнектер s -жазықтық үшін емес z -жазықтық үшін жазылады.
Бұл жіберуші функцияның бөлімі Баттерворттың полиномы деп аталады.
Баттерворттың нормиронған полиномалары
Баттерворттың полиномалары комплексті түрде жазыла алады, жоғарыда айтылғандай, бірақ олар негізінен қатынас түрде затты (вещественный) коэффициенттермен (комплексті-байланысқан жұптар көбейту арқылы біріктіріледі). Полиномалар
үзіліс жилігімен нормиронады. Баттерворттың нормиронған полиномалары, осындай жолмен (6) және (7) өрнектер, канондық формаға ие болады.:
,
- жұп (6)
, (7)
- тақ
Максимальды біртегістік
және
қабылдап, жиілік бойынша амплитудты сипаттаманың тундысы (8) өрнек түрінде:
(8)
Ол барлық
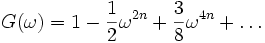
үшін монотонды кемиді, өйткені күшею коэффициенті әрқашан қанағаттанарлық (положителен). Демек, Баттерворт фильтрінің АЖС-да пульсация болмайды. Амплитудты сипаттаманы қатарға жазғанда (9) өрнекті алатынымыз:
(9)
Басқаша айтқанда, амплитудты-жиіліктік сипаттаманың барлық туындылары жиілігі 2n -шіге дейін нольге тең болатындығы нан "максималды біртегістік" шығады.
Сипаттаманың жоғары жиіліктерде түсуі
қабылдап, АЖС-ның жоғары жиіліктегі логарифмнің иілуін табамыз:
(10)
Децибелл түрінде жоғарыжиілікті саимптотаның иілуі −20n дБ/декадаға.
Фильтрдің жобалануы
Топологиялық фильтрлардың түрлі қатарлары бар, олардың көмегімен сызықты аналогты фильтрлер орындалады. Бұл схемалар элементтердің мағынасымен ғана ерекшеленеді, ал олардың құрылымы өзгеріссіз қалады.
Кауэрдің топологиясы
Кауэр топологиясы пассивті элементтерді (сыйымдылық және индуктивтілік) қолданады Баттеворт фильтрі берілген жіберуші функциямен Кауэра 1 тип формасында құрылуы мүмкін, фильтрдің k-ы элементі өрнекпен беріледі:
; k жұп (11)
; k тақ (12)
Саллен-Кей топологиясы
Саллен-Кей топологиясын пассивті элементтерден басқа активті элементтер (операциялық күшейткіштер және сыйымдыылық) де пайдаланады. Саллен-Кей схемасының әрбір каскады математикалық сипатталатын комплексті-байланысқан полюстердің жұбымен сипатталатын фильтр болып табылады. Бүкіл фильтр барлық каскадтардың тізбектей жалғануынан құралады. Егер жарайтын (действительный) полюс түссе, ол жеке орындалуы тиіс, әдетте RC-сымы түрінде және ортақ схемаға қосылған.
Саллен - Кей схемасында әр каскадтың жіберуші функциясының түрі келесі:
(13)
Бөлімі Баттерворттың полиномасының көбейткіштерінің болуы керек.
қабылдап, алатынымыз:
(14)
және
(15)
Соңғы қатынас көлденең таңдалуы мүмкін екі белгісізді береді.
сызықты фильтрлармен салыстыру
Төмендегі сурет Баттерворт фильтрінің АЖС-н басқа белгілі бірдей (бесінші) реттегі фильтрларын салытыра отырып көрсетеді:

Сурет 2-Фильтрлардың амплитуда - жиіліктік сипаттамасы
Суреттен көрініп тұрғандай, Баттерворт фильтрінің түсуі төртеуінен қарағанда ең жайы, бірақ оның АЖС-сы өткізу жолағының жиілігінде ең біртегіс.
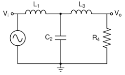
Мысал

Баттерворттың төменгі жиіліктегі (Кауэр топологиясы) аналогты фильтры
үзіліс жиілігімен келесі элементтердің номиналдарымен:
фарад,
ом,
и
генри.

Комплексті аргумент жазықтығында H (s) жіберуші функцияның тығыздығының логарифмді графигі 3-ретті Баттерворт фильтрінің
үзіліс жиілігімен. Үш полюс бірлік радиустың дөңгелегінің сол жақ жартылайжазықтығында жатады.
Баттерворттың аналогты төмен жиілікті 3 - фильтрін қарастырайық мыналармен қоса
фарад,
ом,
және
генри. C
сыйымдылықтардың толық кедергісін 1/Cs
түрінде және L
индуктивтіліктердің толық кедергісін Ls
түрінде, мұнда
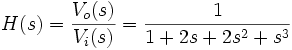
- комплексті айнымалы, және элетр схемаларын есептейтін теңдеулерді қодана отырып, мынадай фильтр үшін келесі жіберуші функцияны аламыз:

АЖС теңдеумен беріледі:
![]()
Ал ФЖС келесі теңдеумен:
![]()
Топтық ауытқу (задержка) дөңгелектік жиіліктегі фазаның туындысының минусы ретінде және де фаза бойынша түрлі жиіліктегі сигналдың ауытқуының өлшемі болып табылады. Осындай фильтрдің логарифмдік
АЖС-ында пульсация не өткізу жолағында, не басу жолағында болмайды.
Комплексті жазықтықтағы жіберуші функция модулінің графигі сол жақтағы үш полюсті көрсетеді. Жіберуші функция толығымен осы полюстардың бірлік дөңгелекте орналасуымен дәл оське қатысы симметриялы анықталады. Әрбір индуктивтілікті сыйымдылықпен, ал сыйымдылықты-индуктивтіліктермен ауыстыра отырып Баттерворттың жоғарыжиілікті фильтрін аламыз.

және 3-ретті Баттерворт фильтрінің топтық ауытқуы
үзіліс жиілігімен.
Әдебиет
1. В.А. Лукас Теория автоматического управления. - M.: Недра, 1990.
2. Б.Х. Кривицкий Справочник по теоретическим основам радиоэлектроники. - М.: Энергия, 1977.
3. Miroslav D. Lutovac Filter Design for Signal Processing using MATLAB© and Mathematica©. - New Jersey, USA.: Prentice Hall, 2001. - ISBN 0-201-36130-2
4. Richard W. Daniels Approximation Methods for Electronic Filter Design. - New York: McGraw-Hill, 1974. - ISBN 0-07-015308-6
5. Steven W. Smith The Scientist and Engineer’s Guide to Digital Signal Processing. - Second Edition. - San-Diego: California Technical Publishing, 1999. - ISBN 0-9660176-4-1
6. Britton C. Rorabaugh Approximation Methods for Electronic Filter Design. - New York: McGraw-Hill, 1999. - ISBN 0-07-054004-7
7. B. Widrow, S.D. Stearns Adaptive Signal Processing. - Paramus, NJ: Prentice-Hall, 1985. - ISBN 0-13-004029-0
8. S. Haykin Adaptive Filter Theory. - 4rd Edition. - Paramus, NJ: Prentice-Hall, 2001. - ISBN 0-13-090126-1
9. Michael L. Honig, David G. Messerschmitt Adaptive Filters - Structures, Algorithms, and Applications. - Hingham, MA: Kluwer Academic Publishers, 1984. - ISBN 0-89838-163-0
10. J.D. Markel, A.H. Gray, Jr. Linear Prediction of Speech. - New York: Springer-Verlag, 1982. - ISBN 0-387-07563-1
11. L.R. Rabiner, R.W. Schafer Digital Processing of Speech Signals. - Paramus, NJ: Prentice-Hall, 1978. - ISBN 0-13-213603-1
12. Richard J. Higgins Digital Signal Processing in VLSI. - Paramus, NJ: Prentice-Hall, 1990. - ISBN 0-13-212887-X
13. A.V. Oppenheim, R.W. Schafer Digital Signal Processing. - Paramus, NJ: Prentice-Hall, 1975. - ISBN 0-13-214635-5
14. L.R. Rabiner, B. Gold Theory and Application of Digital Signal Processing. - Paramus, NJ: Prentice-Hall, 1986. - ISBN 0-13-914101-4
15. John G. Proakis, Dimitris G. Manolakis Introduction to Digital Signal Processing. - Paramus, NJ: Prentice-Hall, 1988. - ISBN 0-02-396815-X