| Скачать .docx |
Реферат: Курсовая работа по теории электрических цепей
Часть 1.
Анализ цепи во временной области методом переменных состояния при постоянных воздействиях.
![]() |
Дано:
Для схемы:
U0 (t)= U0 =constU0 =5 В
i0 (t)=I0 d1 (t) I0 =2 A
1.1 Составить уравнения состояния для цепи при t ³ 0.
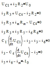
Переменными состояния для данной схемы будут являться напряжения на емкостях С1
и С4
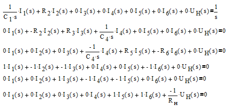
. Для нахождения уравнений состояния запишем уравнения по I и II законам Кирхгофа:
(1)
Для нахождения производных переменных состояния решим следующую систему, полученную из системы (1), приняв за неизвестные все токи, участвующие в системе (1) и первые производные переменных состояния. Переменные состояния примем за известные величины для получения их в правой части уравнений состояния:

(2)
Решаем эту систему в матричном виде с помощью MathCad:

Таким образом, уравнения состояния будут иметь вид:
![]() |
1.2 Найти точные решения уравнений состояния.
Сначала найдем корни характеристического уравнения как собственные числа матрицы, составленной из коэффициентов при переменных состояния в уравнениях состояния:

Общий вид точных решений уравнений состояния:

Вынужденные составляющие найдем как частное решение уравнений состояния, учитывая то, что если в цепи включены только постоянные источники питания, значит, и принужденные составляющие будут константами, соответственно производные принужденных составляющих будут равны нулю. Учитывая выше сказанное, найдем их из уравнений состояния следующим способом:

![]()
Начальные условия (находятся из схемы):
Для нахождения постоянных интегрирования A1 , A2 , A3 , A4 требуется 4 уравнения. Первые два уравнения получим из выражений точного решения уравнений состояния, учитывая законы коммутаций: переменные состояния не меняют своего значения в момент коммутации.


При t=0:
Далее найдем значения производных переменных состояния при t=0 из уравнений состояния:

Выражения эти производных найденные из выражений решения уравнений состояния:


При t=0:
Таким образом имеем 4 уравнения для нахождения постоянных интегрирования, находим их:

Точные решения уравнений состояния:

1.2 Найти решения уравнений состояния, используя один из численных методов.
Для численного решения уравнений состояния воспользуемся алгоритмом Эйлера:

Подставляя выражения производных из уравнений состояния:

h – шаг расчета =2*10-6
с. i=1…100. Переменными с нулевыми индексами являются значения начальных условий.
1.2.2 Найти точные решения уравнений состояния.(второй способ)

e(A)t = a0 + a1 (A) e(A)t =
(X) = [e(A)t -1][A]-1 [B][V]

1.4 Построить точные и численные решения уравнений состояния, совместив их попарно на одном графике для каждой из переменной состояния.
![]() |
Часть 2.
Анализ цепи операторным методом при апериодическом воздействии.
Анализу подлежит следующая цепь:

Параметры импульса: Um
=10 В tu
=6*10-5
c
Форма импульса:

2.1 Определить функцию передачи:
воспользуемся методом пропорциональных величин и определим u(t)=1(t), его Лапласово изображение U0 (s)=1/s.
Запишем уравнения по законам Кирхгофа в операторной форме, учитывая, что начальные условия нулевые:
![]() |
Решаем эту систему:

Таким образом:
![]()
Функция передачи:

2.2 Найти нули и полюсы функции передачи и нанести их на плоскость комплексной частоты.
Полюсы:

Нули:
![]()
Плоскость комплексной частоты:

2.3 Найти переходную и импульсную характеристики для выходного напряжения.
Импульсная характеристика:
Выделим постоянную часть в HU (s):
![]()
Числитель получившейся дроби:
![]()
Упрощенное выражение HU
(s):
![]()
Для нахождения оригинала воспользуемся теоремой о разложении. Для этого найдем производную знаменателя:

Коэффициенты разложения:

Оригинал импульсной характеристики:
![]()
Переходная характеристика:
Этим же методом находим оригинал характеристики:
![]()
![]() |
2.4 Определить изображение по Лапласу входного импульса.
Изабражение по Лапласу фукции f(t):
![]()
![]() |
Входной импульс представляет собой функцию
Поэтому изображение входного сигнала будет
![]() |
2.5 Найти напряжение на выходе схемы, используя HU ( s ).

Изображение выходного сигнала:
Найдем отдельно оригиналы части выражения при
и при части, не имеющей этого множителя:
![]() |
Для части выражения при
![]() |
Для части выражения не имеющей множителя

Функция напряжения на выходе схемы, получена с использованием теоремы о смещении оригинала:

2.6 Построить на одном графике переходную и импульсную характеристики цепи, на другом – входной и выходной сигналы.
Переходная h1 (t) и импульсная h(t) характеристики.

Входной и выходной сигналы.

Часть 3.
Анализ цепи частотным методом при апериодическом воздействии.
3.1 Найти и построить амплитудно-фазовую (АФХ), амлитудно-частотную (АЧХ) и фазо-частотную (ФЧХ) характеристики функций передачи HU (s).
амплитудно-фазовая характеристика:
![]()
амплитудно-частотная характеристика:

фазо-частотная характеристика:
![]()
График АЧХ:

График ФЧХ:
3.2 Определить полосу пропускания цепи по уровню 0.707

.
Из графика АЧХ находим полосу пропускания цепи: ![]()
с-1
.
3.3 Найти и построить амплитудный и фазовый спектры входного сигнала по уровню 0.1
.
Амплитудный спектр входного сигнала:

Фазовый спектр входного сигнала:
![]()
График амплитудного и фазового спектра входного сигнала:
![]() |
Ширина спектра
3.4 Сопоставляя спектры входного сигнала с частотными характеристиками цепи, дать предварительные заключения об ожидаемых искажениях сигнала на выходе цепи.
Существенная часть амплитудного спектра входного сигнала укладывается в полосу пропускания, исключая полосу 0-5*104 с-1 , где и будут наблюдаться основные амплитудные искажения. Фазо-частотная характеристика цепи нелинейна, поэтому здесь будут иметь место фазовые искажения, что видно на рис.
3.5 Найти и построить амплитудный и фазовый спектр выходного сигнала.
Получаются по формулам:
![]()
![]()

3.6 Определить выходной сигнал по вещественной частотной характеристике, используя приближенный метод Гиллемина.
Вещественная характеристика:
![]()
Существенную часть этой характеристики кусочно-линейно аппроксимируем. Начертим первую и вторую производную кусочно-линейной аппроксимирующей функции.

График вещественной характеристики:
![]()
Тогда: ![]()
График напряжения, вычисленного по этой формуле, и полученный в ч.2.
![]() |
Часть 4.
Анализ цепи частотным методом при периодическом воздействии.
Дано: T=18*10-5 c. Um =10 В. tu =6*10-5 c.
форма сигнала u0 (t):

4.1 Разложить в ряд Фурье заданную периодическую последовательность импульсов и построить ее амплитудный и фазовый спектры.
Коэффициенты ряда Фурье для u0 (t) найдём из следующего соотношения:
![]()
где w1 = 2p/Т , k=0, 1, 2, ... w1= 3.491*104 с.
Значения Ak и ak приведены в табл. ,на рис. , построены соответственно амплитудный и фазовый спектры заданной периодически последовательности сигналов u0 (t).
| k | Ak | ak |
| 0 | 0 | 0 |
| 1 | 2.067 | 0.524 |
| 2 | 3.308 | -0.524 |
| 3 | 2.774 | -1.571 |
| 4 | 2.363 | -2.618 |
| 5 | 1.034 | 2.618 |
| 6 | 0 | 1.571 |
| 7 | 0.413 | -2.618 |
| 8 | 0.301 | 2.618 |
| 9 | 0 | 1.571 |

Таким образом, в соответствии с шириной спектра .

![]()
4.2 Построить на одном графике заданную периодическую последовательность импульсов и ее аппроксимацию отрезком ряда Фурье, число гармоник которого определяется шириной амплитудного спектра входного сигнала, найденной в п 3.3.

4.3 Используя рассчитанные в п. 3.1 АЧХ и ФЧХ функции передачи цепи, определить напряжение или ток на выходе цепи в виде отрезка ряда Фурье.
Для определения коэффициентов ряда Фурье выходного напряжения вычислим значения АЧХ и ФЧХ функции передачи для значений kw1 , k=0, 1, 2, ..., 8. Тогда
![]()

![]()
| k | Ak | ak |
| 0 | 0 | 0 |
| 1 | 0.208 | 1.47 |
| 2 | 0.487 | -0.026 |
| 3 | 0.436 | -1.355 |
| 4 | 0.361 | -2.576 |
| 5 | 0.15 | 2.554 |
| 6 | 0 | 1.443 |
| 7 | 0.054 | -2.785 |
| 8 | 0.037 | 2.429 |
| 9 | 0 | 1.371 |
В итоге получим:

4.4 Построить напряжение на выходе цепи в виде суммы гармоник найденного отрезка ряда Фурье.











