| Скачать .zip |
Реферат: Ядерные силы
Содержание
Введение
Ядерные силы являются короткодействующими. Это заключение основано на опытах по рассеянию заряженных и незаряженных частиц ядрами.
Приемлемые значения размеров зеркальных ядер, полученные в предположении, что разность их энергий связи обусловлена только электростатическим взаимодействием, свидетельствуют, по-видимому, о том, что гипотеза зарядовой независимости ядерных сил не находится в противоречии с экспериментальными фактами.
Мы уже обращали внимание на то, что весьма важным свойством ядерных сил является свойство насыщения, проявляющееся в постоянстве плотности ядерного вещества почти во всех ядрах и в линейном возрастании энергии связи с увеличением массового числа.
Существование дейтрона — устойчивой системы протона и незаряженного нейтрона – свидетельствует о наличии действующих между ними сил неэлектрического характера. Эти силы не могут быть силами чисто магнитного взаимодействия (хотя оно и не исключается), поскольку такое взаимодействие не может обусловить среднюю энергию связи нуклона, составляющую около 7,5 Мэв.
Опыты по рассеянию нейтронов протонами указывают на зависимость ядерных сил от спинов нуклонов. Существование электрического квадрупольного момента дейтрона и неаддитивность магнитных моментов протона и нейтрона в дейтроне указывают на тензорный характер ядерных сил. Кроме того, взаимодействие между нуклонами может зависеть и от скоростей нуклонов.
Все перечисленные факты должны быть учтены при изучении природы ядерных сил и должны быть объяснены теорией.
Изотопический спин
Известно, что протон и нейтрон являются двумя различными зарядовыми состояниями нуклона. Зарядовое состояние, описывается с помощью зарядовой координаты t, принимающей два значения: +1/2 для протонного и -1/2 для нейтронного состояния, подобно тому как спиновая переменная s может принимать два значения, соответствующие двум возможным значениям проекции вектора спина на заданное направление. Эта аналогия между спиновой и зарядовой координатами позволяет использовать математический аппарат теории спина.
В![]()
водится
либо оператор
зарядовой
координаты
t
с
компонентами
являющимися
такими же матрицами,
как и компоненты
оператора спина
sx,
sy
и sz,
либо оператор
изотопического
спина , который
связан с t
соотношением:
подобно
тому как оператор
Паули
связан
с оператором
спина S.
О
ператор
изотопического
спина имеет,
как и оператор
Паули
–
три
компоненты
— матрицы
,
ничем
не отличающиеся
от матриц Паули:
«Пространство
»
— пространство
изотопического
спина, — однако
не следует
смешивать с
обычным координатным
пространством,
с которым может
быть связано
направление
обычного спина.
Операторам
можно дать
физическую
интерпретацию;
для этого введем
два новых оператора
,
связанных с
,
следующим
образом:
![]()
В матричной форме эти операторы имеют следующий вид:

Каждый нуклон описывается двухкомпонентной функцией, которую можно представить в виде матрицы-столбца. Протонное и нейтронное состояния нуклона описываются соответственно функциями

Д
ействие
операторов
на
функции
описывается
следующими
соотношениями:

Таким
образом, оператор
«уничтожает»
протонное
состояние и
«превращает»
нейтрон в протон,
а оператор
_
«уничтожает»
нейтронное
состояние и
«превращает»
протон в нейтрон.
Оператор
действует на
следующим
образом:
![]()
И
так,
очевидно, что
соотношения,
встречающиеся
в теории изотопического
спина, ничем
не отличаются
от аналогичных
соотношений
нерелятивистской
теории обычного
спина. Вектор
как
и вектор обычного
спина s,
имеет
только два
значения проекции
на ось Ј. Проекции
+1/2 соответствует
протонное, а
проекции -1/2 —
нейтронное
состояние
нуклона. Переходу
от протонного
к нейтронному
состоянию и
наоборот
соответствует
вращение на
180° в пространстве
изотопического
спина относительно
оси, лежащей
в плоскости
![]()
Ядро, состоящее из А нуклонов (A=Z+N), характеризуется оператором изотопического спина

я![]()
вляющимся
вектором в
изотопическом
пространстве.
Абсолютная
величина Т
этого
вектора согласно
закону сложения
квантовых
векторов может
принимать
значения 0, . . . ,
А/2.
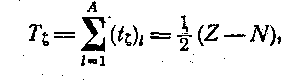
-компонента
изотопического
спина ядра
равна
так как
сумма
всех протонов
равна Z/2,
а сумма
нейтронов
–N/2.
Абсолютная
величина Т
вектора
изотопического
спина не может
быть меньше
абсолютной
величины проекции
его на ось Ј,
т. е.
,
и поэтому должно
выполняться
неравенство:
![]()
Это означает, что ядро может иметь равный нулю изотопический спин Т только в том случае, когда число протонов Z равно числу нейтронов N. Изотопический спин ядра может быть равен единице, либо когда число протонов равно числу нейтронов, либо когда число протонов отличается от числа нейтронов на единицу.
И
зотопический
спин системы,
состоящей из
двух нуклонов,
может быть
равен
либо единице,
либо нулю. Если
Т=1, то
может
принимать три
значения: -1, 0, +1.
Значению Т=
- 1
соответствует
система, состоящая
из двух нейтронов
(каждому, нейтрону
соответствует
); значению Т=0
соответствует
система, состоящая
из протона и
нейтрона (заряд
равен +1). При Г=1
заряд системы
равен +2, т. е. система
состоит из двух
протонов. Итак,
изотопическому
спину Г= 1 соответствует
изобарный
триплет n
– n,
n
– р, р – р. Все.
компоненты
этого триплета,
состояния
которых удовлетворяют
принципу Паули
) , имеют одинаковые
спины, четности
и одинаковую
внутреннюю
структуру.
Таким
образом, при
T=1
возможны только
такие состояния
системы n
– р, которые
могут иметь
место для систем,
состоящих
из двух протонов
или двух нейтронов:
'S0,
(3Po,
3P![]()
,
3P
)
, т. е.
только четные
синглеты и
нечетные триплеты.
При T=0
существует
только одно
значение
-компоненты
изотопического
спина: T
.
Этому состоянию
системы двух
нуклонов
соответствуют
симметричные
волновые функции
, т. е. четные
триплеты и
нечетные синглеты.
Приведенная классификация состояний дает возможность более четко сформулировать сущность зарядовой независимости, т. е. изотопической инвариантности ядерных сил, для системы, состоящей из двух нуклонов: ядерное взаимодействие любой пары нуклонов в состояниях с Т= 1 одинаково.
Гипотеза
изотопической
инвариантности
ядерных сил
основана на
предположении,
что в изотопическом
пространстве
отсутствуют
физически
выделенные
направления:
трехмерное
изотопическое
пространство
изотропно.
Представление об изотопической инвариантности легко может быть обобщено на случай более сложных систем, состоящих из Z протонов и N нейтронов. В случае строгого выполнения изотопической инвариантности гамильтониан системы не должен меняться при замене любого протона на нейтрон и наоборот. Все состояния системы, в которой произведена такая замена, должны совпадать с состояниями первоначальной системы, если только они не запрещены принципом Паули .
Замена
протона нейтроном
означает уменьшение
Т
на
единицу, т. е.
поворот вектора
Т в
изотопическом
пространстве.
Если в результате
такой замены
гамильтониан
не изменится,
то он инвариантен
относительно
вращения в
изотопическом
пространстве.
Изотопический
спин системы
в этом приближении
является интегралом
движения, т. е.
он сохраняется.
Каждому состоянию
системы соответствует
определенный
изотопический
спин Т,
зависящий
от изотопических
спинов всех
частиц, образующих
систему, и от
их ориентации
в изотопическом
пространстве.
В действительности
протоны по
своим свойствам
(по массе, электрическому
заряду, магнитному
моменту) несколько
отличаются
от нейтронов,
поэтому замена
протона нейтроном
и наоборот
должна приводить
к изменению
гамильтониана
системы. Это
означает, что
изотопический
спин Т не является
точным «квантовым
числом. Вследствие
кулоновского
взаимодействия
в гамильтониан
должны войти
члены, не инвариантные
относительно
вращений в
изотопическом
пространстве.
Однако в легких
ядрах, содержащих
небольшое число
протонов, кулоновское
взаимодействие
значительно
слабее ядерного,
благодаря чему
зарядово-неинвариантные
члены гамильтониана
можно рассматривать
как малое возмущение.
Такое возмущение
приводит к
тому, что состояние
системы может
являться смесью
состояний с
различными
значениями
изотопического
спина. При очень
малых зарядово-неинвариантных
членах состояние
системы можно
характеризовать
изотопическим
спином, играющим
роль неточного
квантового
числа. Из анализа
экспериментальных
данных следует,
что для невозбужденных
состояний ядер
изотопический
спин имеет
смысл квантового
числа вплоть
до Z
20.
Легкие ядра
можно разбить
на две группы:
ядра с целым
и полуцелым
изотопическим
спином Т
(т. е.
ядра соответственно
с четными и
нечетными A).
Каждому значению
Т
соответствует
2Т+1 возможных
значений проекции
изотопического
спина Т
,
образующих
изотопический
мультиплет.
Целочисленному
изотопическому
спину Т
соответствует
нечетное, а
полуцелому
— четное число
компонент
мультиплета.
С увеличением
Г энергетическая
устойчивость
ядер уменьшается,
поэтому основным
состояниям
ядер соответствуют
малые значения
изотопического
спина: Т=0, 1/2 и 1. В
зависимости
от значения
изотопического
спина системы
можно говорить
об изобарных
синглетах (Т
= 0), дублетах
(Т=1/2)
и
триплетах
(Т=1). К изобарным
синглетам
относятся такие
ядра, как 2Не4
и
Н2.
Это
можно обосновать
следующим
образом. Ядру
2Не4,
состоящему
из четырех
нуклонов,
соответствует
компонента
T
=0. Следовательно,
у 2Не4
изотопический
спин Т
может
быть равен 0, 1
или 2.
Если
бы изотопический
спин 2Не4
был равен 1 или
2, то существовали
бы такие ядра,
как 4Н4
и 4Ве4,
причем их энергии
связи, согласно
гипотезе
изотопической
инвариантности,
незначительно
отличались
бы от энергии
связи 2Не4.
Такие ядра,
однако, не
существуют,
и это свидетельствует
о том, что изотопический
спин 2Не4
равен нулю.
Можно показать,
что равен нулю
изотопический
спин дейтрона,
3Li6,
5В10,
6С12,
7N14,
8О16.
Зеркальные
ядра 1H3
и 2Не3
можно рассматривать
как ядра, образующие
изобарный
дублет. Для
этих ядер
изотопический
спин может
принимать
значения 1/2
или
3/2,
так как Т
= ±1/2.
Однако
значение Т=3/2
должно быть
отброшено,
поскольку при
Т=3/2
существовали
бы устойчивые
системы из трех
протонов или
трех нейтронов.
Оказывается,
что для основных
состояний всех
ядер с нечетным
А вплоть
до 17Cl33
T=1/2.
Такие
ядра, как 4Ве10,
5В10,
6С10,
образуют
изотопический
триплет, соответствующий
трем возможным
значениям
проекции
изотопического
спина Т=1, причем
ядру 4Ве10.
соответствует
Т
=
– 1, 5В10
— Т
= 0 и 6С10
– Г
= + 1.
Протон
и нейтрон можно
рассматривать
как частицы,
образующие
нуклонный
дублет. Изотопический
спин t
нуклона
равен 1/2, причем
протонному
состоянию
соответствует
компонента
Т
= +1/2,
а нейтронному
Т
= — 1/2 Это позволяет
выразить заряд
Z
нуклона (Z
равен единице
для протона
и нулю для нейтрона)
через
-компоненту
изотопического
спина:

Эта формула может быть обобщена на случай, когда система состоит из нескольких нуклонов, получим:

Таким
образом, заряд
ядра выражается
через Т
и число нуклонов,
входящих в
состав ядра.
Обменные силы
Явление насыщения и короткодействующий характер ядерных сил впервые были объяснены на основе предположения об обменном характере ядерных сил, т. е. что эти силы возникают между двумя частицами благодаря обмену третьей частицей. Такой частицей в случае взаимодействия нуклонов является, по-видимому, мезон. Если состояние двух взаимодействующих нуклонов зависит от их пространственных r1, r2 и спиновых s1, s2 координат, то подобный обмен может осуществляться тремя различными способами.
1) Нуклоны могут обмениваться пространственными координатами, сохраняя неизменными спиновые переменные. Эта возможность была рассмотрена Майорана. Силы, возникающие при таком взаимодействии, получили название сил Майорана.
2) Возможен обмен нуклонов спиновыми переменными при неизменных пространственных координатах. Этот вариант был рассмотрен Бартлеттом. Силы взаимодействия нуклонов при таком обмене получили название сил Бартлетта.
3) Возможен одновременный обмен спиновыми и пространственными координатами. Возникающие при этом обменные силы известны под названием сил Гейзенберга.
Формальное описание обменного взаимодействия осуществляется путем введения в гамильтониан системы таких операторов, которые, действуя на волновую функцию, вызывают перестановку координат или перестановку спинов, либо и тех и других одновременно в зависимости от характера обменных сил.
В случае обменных сил Майорана оператор энергии взаимодействия может быть представлен в виде произведения V(r)PM, где V(r) — функция, зависящая от расстояния между нуклонами, а Pm — оператор, меняющий местами пространственные координаты, входящие в волновую функцию:
![]()
В случае,
если система
состоит только
из двух нуклонов,
оператор
Майорана Pm
представляет
собой оператор
инверсии: Рм
Р,
и уравнение
Шредингера
в ц-системе
приобретает
вид (r
= rl
— г2)
![]()
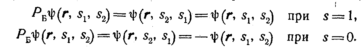
Случаю сил Бартлетта соответствует оператор Рб, действующий на волновую функцию следующим образом:
Уравнение Шредингера для системы, состоящей из двух частиц, в этом случае может быть записано в таком виде:
![]()
Наконец, оператор сил Гейзенберга Рг обладает следующим
свойством:
Уравнение Шредингера для двухнуклонной системы в этом случае имеет вид:
![]()
Отметим, между прочим, что обычные (не обменные) силы в теории ядра иногда называются силами Вигнера.
Указывая
вид операторов
Майорана, Бартлетта
и Гейзенберга,
мы предполагали,
что их координатная
часть V(r)
зависит только
от расстояния
между взаимодействующими
нуклонами.
В этом случае
обменные силы
будут центральными,
благодаря чему
не смогут возникать
состояния,
являющиеся
суперпозицией
состояний с
различными
.
Поэтому введение
o6менных
сил, координатная
часть которых
обладает центральной
симметрией,
не может привести
к асимметрии
поля ядерных
сил и, в частности,
объяснить
возникновение
электрического
квадрупольного
момента у дейтрона;
для описания
последнего
следует ввести
еще тензорный
потенциал.
Сами по себе тензорные силы не приводят к насыщению , в то время как его могут объяснить силы Майорана и Гейзенберга; поэтому тензорные силы обычно комбинируются с операторами обменных сил ).
Остановимся
теперь на
рассмотрении
свойств различных
обменных сил.
Рассмотрим
сначала силы
Майорана, которым
соответствует
оператор Pм.
Действие Pм
на функцию
(r,s1,s2)
на
(
–r,s1,s2)
эквивалентно
изменению знака
компонент
радиуса-вектора
r,
соединяющего
частицы, т. е.
эквивалентно
замене
(r,s1,s2)
на
(
–r,s1,s2).
Поскольку
V(r)
зависит
только от абсолютной
величины r
(поле
обладает центральной
симметрией),
можно, используя
свойство четности
волновой функции,
считать, что
.
B
таком случае
уравнение
(4.14) имеет вид:
![]()
Из уравнения
(4.17) следует, что
для четных
значений
оператор
потенциальной
энергии ничем
не отличается
от оператора
потенциальной
энергии «обыкновенных»
сил — сил Вигнера.
Этот вывод
имеет большое
значение для
теории соударения
двух нуклонов,
так как при
столкновении
медленно движущихся
частиц, когда
наблюдается
практически
только s-рассеяние,
невозможно
определить,
являются ли
ядерные силы
обменными —
силами Майорана
или же «обыкновенными»
— силами Вигнера.
Получить сведения
о характере
ядерных сил
можно, лишь
если наблюдается
не только s-,
но и
р-рассеяние.
В случае сил
Майорана при
р-рассеянии
(
=1)
потенциал
взаимодействия
меняет знак,
т. е. вместо
притяжения,
наблюдающегося
при s-рассеянии,
при р-рассеянии
будет иметь
место отталкивание.
Это означает,
что знак фазового
сдвига
,
описывающего
р-рассеяние,
противоположен
знаку
соответствующему
s-рассеянию.
Знаки же фаз
и
могут быть
определены
из экспериментов
по рассеянию.
При рассеянии нейтронов, энергия которых не превосходит нескольких Мэв, практически наблюдается только s-рассеяние, не позволяющее установить обменного характера ядерных сил. Поэтому необходимо исследовать
рассеяние более высоких порядков, наблюдающееся только при
высоких энергиях частиц.
В случае
сил Бартлетта,
если допустить,
что волновая
функция может
быть представлена
в виде произведения
двух функций,
одна из которых
зависит от
пространственных
координат
нуклонов r=r
+r
,
а другая
— от спиновых
переменных,
очевидно; Pb
будет
действовать
только на спиновую
функцию. Последняя,
как известно,
симметрична
относительно
перестановки
спиновых
переменных,
если спин s
системы, состоящей
из нейтрона
и протона, равен
единице, и
антисимметрична,
если s=0.
Поэтому уравнение Шредингера в случае наличия сил Бартлетта может быть представлено в виде
![]()
и отличается от уравнения с «обыкновенным» потенциалом тем, что потенциал имеет различный знак при s=0 и при s=l. Из опытов по рассеянию нейтронов протонами известно, что в три-плетном и в синглетном состояниях системы нейтрон — протон наблюдается рассеяние, которое может быть объяснено силами притяжения, хотя величина этих сил (глубина потенциальной ямы) оказывается различной. Это обстоятельство наряду с тем, силы Бартлетта, не приводят к насыщению, позволяет утверждать, что ядерные силы не могут быть только силами Бартлетта.
После замечаний, сделанных относительно сил Майорана и Бартлетта, мы можем сразу записать уравнение Шредингера для сил Гейзенберга:
![]()
Отсюда
видно, что знак
потенциала
зависит от
того, является
ли l+s
четным
или нечетным
числом. В частности,
при s-рассеянии
нейтронов
протонами (
=0)
знак ( — l)i+s+1V(r)
должен быть
различным в
триплетном
и синглетном
состояниях.
Это также
свидетельствует,
что ядерные
силы не могут
быть только
силами Гейзенберга.
Различное взаимодействие в триплетном и синглетном состояниях системы протон — нейтрон может быть объяснено, если, например, предположить, что обменные силы представляют собой «смесь» сил Гейзенберга и Майорана. В таком случае оператор потенциальной энергии будет иметь вид
![]()
где g
— некоторый
параметр, который
следует выбрать
так, чтобы
получалось
необходимое
для объяснения
рассеяния
взаимодействие
в триплетном
и синглетном
состояниях.
При использовании
модели прямоугольной
ямы ее глубина
оказывается
~20 Мэв
для
триплетногро
состояния и
~11,5 Мэв
для
синглетного.
Легко убедиться,
что для получения
такой глубины
следует положить
g
0,25.
Следовательно,
для объяснения
рассеяния
можно допустить,
что обменные
силы на 25% являются
силами Гейзенберга
и на 75'% —силами
Майорана.
Однако последнее замечание не означает, что комбинация сил Гейзенберга и Майорана является единственно возможной. В частности, можно было бы получить подходящую величину взаимодействия в триплетном и синглетном состояниях дейтрона, предположив, что ядерные силы являются комбинацией сил Вигнера и Майорана. Опыты по рассеянию быстрых нуклонов заставляют сомневаться в том, что комбинация таких сил может быть использована для описания ядерного взаимодействия.
Покажем,
как могут быть
выражены операторы
PМ,
РВ,
РГ
через
операторы Паули
о и операторы
изотопического
спина
.
Обратим внимание
на то, что из
определения
операторов
PМ,
РВ,
РГ
следует,
что двухкратное
применение
каждого из них
оставляет
волновую функцию
неизменной.
Поэтому собственные
значения P
,
Р
,
Р
равны
единице, а
собственные
значения операторов
PМ,
РВ,
РГ
равны
±1.
Если снова ограничиться рассмотрением системы из двух нуклонов, то легко видеть, что такие собственные значения операторов обменных сил (±1) связаны с симметрией или антисимметрией волновой функции системы относительно перестановки переменных, характеризующих систему.
Прежде
всего установим
связь между
оператором
рб
и операторами
Паули
и
протона и нейтрона.
Волновая функция
триплетного
состояния (s=l)
симметрична
относительно
перестановки
спиновых переменных
s
и s2
нуклонов, а для
синглетного
состояния (s=0)
антисимметрична.
Это означает,
что

Собственные
значения оператора
равны
— 3 для синглетного
и +1 для триплетного
состояния.
Поэтому оператор
рБ
может
быть представлен
в виде
![]()
Представим
аналогичным
образом операторы
Майорана и Гей-
зенберга. Поскольку
компоненты
операторов
и
тождественны,
можно утверждать,
что оператор
(
)
имеет, как и
оператор (
),
собственные
значения —3
и +1, а оператор
Р
=1/2[1+(
)]—
значения –1 и
+1, причем он должен
действовать
на зарядовые
координаты
t
и t2
двух
нуклонов точно
так же, как оператор
(4.18) на спиновые
переменные
s1
и s2.
Введение зарядовой координаты t эквивалентно признанию существования у нуклона пяти степеней свободы (три пространственных, спиновая и зарядовая координаты). Поскольку система нуклонов, подчиняющихся статистике Ферми — Дирака, должна описываться волновой функцией, антисимметричной относительно перестановки всех координат любой пары нуклонов, волновая функция системы из двух нуклонов
![]()
Последнее соотношение может быть заменено таким:
![]()
Это позволяет
выразить оператор
Майорана Рм
через
операторы P
и Рб*):
![]()
Если же принять во внимание, что оператор рг связан с опеаторами Рм и Рб соотношением
PГ = PМPB, (4.21) , тo для оператора Гейзенберга получаем:
.
Перестановка зарядовых координат, как и следовало ожидать, эквивалентна перестановке пространственных координат и спиновых переменных нуклонов.
Система из двух одинаковых частиц — нейтронов или протонов — должна характеризоваться волновой функцией, симметричной относительно зарядовых координат; поэтому синглетным состояниям такой системы (антисимметричным относительно спиновых переменных) соответствует четная относительно перестановки пространственных координат функция, а триплет-ным состояниям — нечетная.
Выше было
указано, что
включение в
гамильтониан
слагаемых,
содержащих
операторы Рм,
РБ
и Рг,
не может привести
к возникновению
состояния,
являющегося
суперпозицией
состояний
с различными
.
Поэтому для
объяснения
возникновения
у дейтрона
электрического
квадрупольного
момента в
гамильтониан
должны войти
члены, соответствующие
тензорному
взаимо
действию.
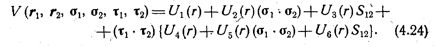
Тензорные силы также могут быть обычными и обменными. При обычных тензорных силах в гамильтониан входит S12 (см (4.3) ) , а в случае обменных сил берется комбинация PГSl2. Произведения же PБSl2 и PМSl2 включать в гамильтониан не имеет смысла в связи с тем, что по (4.6)

Таким образом, оператор потенциальной энергии, учитывающий зависимость от пространственных, спиновых и зарядовых координат, может быть представлен в виде

Входящие
в это выражение
операторы
соответствуют
различным
типам взаимодействия.
Оператор (
)
соответствует
обмену спиновыми
переменными,
(
)
— обмену пространственными
и спиновыми
переменными,
(
)(
)
— обмену пространственными
переменными.
Оператор S
учитывает
тензорное
взаимодействие,
a
(
)S
— тензорное
обменное
взаимодействие.
Следует, наконец, указать, что оператор (4.24) представляет наиболее общий тип оператора потенциальной энергии, удовлетворяющий требованию, инвариантности относительно смещений, вращений и инверсии системы координат, при условии, что взаимодействие не зависит от суммарного спина, скоростей и заряда ядра .
Насыщение ядерных сил
Явление насыщения ядерных сил свидетельствует о том, что каждый нуклон, входящий в состав сложного ядра, взаимодейетвует с ограниченным числом частиц. В противном случае, т. е., если бы каждый нуклон взаимодействовал со всеми нуклонами в ядре, энергия связи, как уже отмечалось, была бы пропорциональной числу взаимодействующих пар нуклонов А (А — 1)/2. Используя вариационный принцип, можно показать, что, независимо от формы потенциальной функции, обычные короткодействующие силы притяжения не могут привести к насыщению .
По-видимому, насыщение может возникнуть в том случае, когда ядерные силы, являющиеся силами притяжения, на малых расстояниях переходят в силы отталкивания, что соответствует конечным размерам нуклонов.
Иная возможность объяснения насыщения заключается в предположении, что между нуклонами действуют обменные силы. Однако, как мы увидим ниже, приводят к насыщению не j любые силы этого типа.
Выясним сначала, могут ли обусловить насыщение силы Майорана, для чего предположим, что состояние каждого нуклона можно описать с помощью функции, зависящей только от его координат. Это допущение не находится в противоречии с опытными фактами.
Потенциальная
энергия W
взаимодействия
любого протона,
находящегося
в состоянии
u(r
,
s
),
с нейтроном
в состоянии
| u(r
,
s
)
при
наличии сил
Майорана имеет
вид

Если
протон и нейтрон
находятся в
различных
состояниях,
функции и(r
)
и v
(r
)
будут
ортогональны
друг другу, а
интеграл W
(это
очевидно, если
предположить,
что V(r)
можно
аппроксимировать
с помощью
прямоугольной
потенциальной
ямы; тогда W=0).
Энергия взаимодействия
двух частиц
будет отлична
от нуля в том
случае, если
протон и нейтрон
находятся в
одном же состоянии.
При взаимодействии
Майорана нейтрон
взаимодействовать
с теми протонами,
у которых
координатная
часть волновой
функции совпадает
с соответствующей
волновой функции
нейтрона. Согласно
принципу Паули
в ядре могут
находиться
два таких протона
(с противоположно
Ориентированными
спинами); поэтому
при силах Майорана
каждый нейтрон
может взаимодействовать
с двумя протонами
и, наоборот,
каждый протон
— с двумя нейтронами.
Отсюда
можно сделать
вывод, что в
таких ядрах,
как 2Не3,
H2
и
![]()
H3,
насыщение
наблюдаться
не должно, но
ядро 2Не4
должно
представлять
замкнутую
систему. Энергия
связи, нриходящаяся
на частицу,
подтверждает
сделанный
вывод. Если
воспользоваться
химической
терминологией,
можно было бы
сказать, что
каждый нуклон
имеет по две
«валентные»
связи).
Иначе
обстоит дело,
когда между
нуклонами
действуют силы
Гейзенберга.
В этом случае
в оператор
потенциальной
энергии входят
операторы
Паули, действующие
на спиновую
переменную,
в результате
чего знак потенциала
различен при
параллельных
и антипараллельных
направлениях
спинов взаимодействующих
частиц. Поэтому
нейтрон может
притягивать
к себе только
один протон,
а протон — только
один нейтрон.
При силах Гейзенберга
систему с насыщенными
ядерными связями
должен был бы
представлять
дейтрон. Большая
энергия связи,
приходящаяся
на каждую частицу
в ядре
Не4,
с этой точки
зрения объяснена
быть не может.
Следовательно,
приняв, что
ядерные силы
являются обменными,
мы должны либо
отдать предпочтение
силам Майорана,
либо считать,
что они представляют
собой «смесь»
сил Майорана
и Гейзенберга,
причем большую
часть этой
«смеси» составляют
силы Майорана.
(Силы же Бартлетта,
при которых
отсутствует
замена пространственных
координат, к
насыщению не
приводят.)
Однако рассеяние нейтронов и протонов, обладающих большими энергиями, говорит о том, что ядерные силы не могут быть чисто обменными силами, а являются, по-видимому, комбинацией обычных и обменных сил. Присутствие же в гамильтониане членов, соответствующих обычным силам, вновь поднимает вопрос объяснения насыщения ядерных сил ).
Для объяснения насыщения в этом случае принимают, что между нуклонами, помимо рассмотренных выше сил, действуют так называемые «множественные» силы, сущность которых заключается в их отсутствии при взаимодействии двух частиц и отталкивании между тремя или большим числом частиц.
Мезоны и ядерные силы
В предыдущем разделе было дано формальное определение обменных сил, причем не затрагивались вопросы, связанные с осуществлением обмена зарядами, спинами или координатами. Представление о механизме обмена базируется на соображениях, аналогичных использованным Дираком при построении теории электромагнитного взаимодействия.
В этой теории двойственная, корпускулярно-волновая природа электромагнитных явлений интерпретируется с помощью волновой аналогии, согласно которой в пространстве, окружающем взаимодействующие заряды или токи, существует поле, характеризуемое в каждой точке потенциалами или векторами на пряженности. С другой стороны, те же явления могут быть истолкованы с помощью понятия квантов. Иначе говоря, с электромагнитным полем связывается представление о фотонах — «квантах этого поля, являющихся «частицами» с равными нулю зарядом и массой покоя и подчиняющихся статистике Бозе — Эйнштейна. Фотоны могут испускаться и поглощаться, т. е. возникать и исчезать; взаимодействие же между зарядами может быть объяснено обменом квантами электромагнитного поля.
Аналогичные представления были использованы и при построении теории взаимодействия нуклонов. Предполагалось, что каждый нуклон характеризуется специфическим «нуклонным зарядом», создающим поле ядерных сил. Этому полю соответствуют кванты, которые, в отличие от квантов электромагнитного поля, могут иметь не равную нулю массу покоя. Впервые эта идея была высказана в 1934 г. Д. Д. Иваненко и И. Е. Таммом, допускавшими, что квантами ядерного поля являются электроны и нейтрино. Предположение, что ядерное взаимодействие осуществляется через электронно-нейтринное поле, позволило объяснить короткодействующий характер ядерных сил, но привело бы к слишком малым значениям энергии связи нуклонов.
Эта идея
нашла дальнейшее
развитие в
работе Юкавы,
который предположил,
что «тяжелым»
квантом поля
ядерных сил
является (в то
время еще
гипотетическая)
частица с массой
покоя, равной
примерно 200
электронным
массам. В 1937 г. в
составе космического
излучения была
обнаружена
частица с массой,
близкой к 200 те,
получившая
название мезона.
Первоначально
считалось, что
квантом ядерного
поля является
именно такой
мезон; однако
дальнейшие
исследования
показали ошибочность
этого. Частица
с m
mе
в настоящее
время известна
под названием
мюзона. Он весьма
незначительно
взаимодействует
с нуклоном —
примерно в 1012
раз слабее, чем
если ,бы он
действительно,
был тяжелым
квантом ядерного
поля.
Определенная
к настоящему
времени масса
мюона m
= 105,659 Мэв
) . Обнаружены
положительные
и отельные
мюоны, причем
по абсолютной
величине их
заряд, по-видимому,
не отличается
от заряда электрона.
Спин мюона
равен Ѕ. Как
положительные,
так и отрицательные
мюоны неустойчивы;
их средняя
продолжительность
жизни в вакууме
в системе
координат,
связанной с
мюоном, равна
=2,2
• 106
сек
). ;
Распад мюона
происходит
по схеме
![]()
где е±
обозначает
электрон или
позитрон, v
и ve
— нейтральные
частицы (мюонное
и электронное
нейтрино) ; черточка
над символом'
обозначает
античастицы.
Слабое
взаимодействие
мюонов с нуклонами
подтверждается,
в частности,
тем, что
может захватываться
ядрами на К-,
L-,
... оболочки
атома, при этом
образуются
мезоатомы
Радиус мюонной
орбиты в 207 раз
меньше радиуса
электронной
орбиты, в результате
чего для элементов
с Z
> 30 размеры
К-орбиты мюона
становятся
сравнимыми
с размерами
ядер. При этом
мюон большую
часть времени
проводит внутри
ядер. Несмотря
на это, не наблюдается
резкого уменьшения
средней продолжительности
жизни мюона,
что можно объяснить
только слабым
взаимодействием
мюонов с нуклонами.
Роль мюона в
ядерных процессах
неясна. Ясно,
однако, что он
не может играть
роли кванта
ядерного поля
из-за слабого
взаимодействия
с нуклонами.
В 1947 г. в
составе космического
излучения были
обнаружены
частицы, сильно
взаимодействующие
с нуклонами.
Их назвали
-мезонами
. Год спустя
они были получены
искусственным
путем бомбардировкой
ядер различных
элементов
быстрыми (300 —
400 Мэв)
-частицами,
протонами и
нейтронами.
Сначала были
обнаружены
только заряженные
-мезоны,
которые распадаются
по схеме
![]()
Такой
распад
-мезона
называется
-распадом.
В 1950 г. были
обнаружены
нейтральные
-мезоны
(
)
, вернее, пары
-
квантов, возникающих
при их распаде:
![]()
Энергия
каждого кванта
70
Мэв.
Спустя
некоторое время
было установлено,
что существует
и другой, на
два порядка
менее вероятный
тип распада:
![]()
И
спользуя
понятие изотопического
спина, можно
рассматривать
+-,
-
и
-мезоны
как три различных
зарядовых
состояния
-мезона.
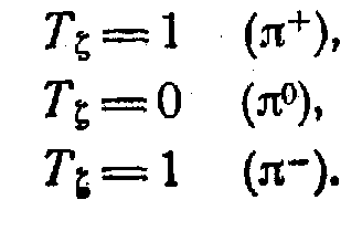
Естественно
поэтому предполагать,
что изотопический
спин
-мезона
равен единице
и различные
-мезоны
соответствуют
трем его проекциям
на ось
:
Такая
связь
-компоненты
изотопического
спина с различными
-мезонами
соответствует
правилу (использованному
и при рассмотрении
нуклонов): заряд
частицы возрастает
с ростом Т
.
В начале 50-х годов были открыты К-мезоны.
В начале 60-х годов была открыта новая разновидность частиц, получившая название резонансов (резонансных состояний). На сегодняшний день открыто более 100 резонансов, причем рост их числа не предвещает пока насыщения.
Классификация элементарных частиц
В 1932 г. в составе космического излучения был обнаружен позитрон, существование которого было предсказано теорией Дирака еще в 1929 г. Этот факт имел очень большое значение не только для подтверждения правильности теории Дирака, но и потому, что позитрон явился первой из открытых античастиц. Последующее открытие других античастиц привело к мысли о том, что законы физики симметричны относительно изменения знака электрического заряда частицы. В результате этого возникло представление о зарядовом сопряжении, т. е. преобразовании, при котором частицы заменяются античастицами с одновременным изменением в уравнениях знаков всех зарядов, магнитных моментов и электромагнитныхполей, причем сами уравнения, описывающие поведение системы, остаются неизменными.
Первоначальная
интерпретация
позитрона как
дырки в сплошь
заполненном
электронном
фоне в настоящее
время оставлена.
Нецелесообразность
такого объяснения
стала очевидной
после того как
в 1934 г. была
создана релятивистская
теория заряженных
частиц со спином,
равным нулю,
применимая,
в частности,
к
-мезонам.
Из этой теории
следовала
возможность
образования
пар
–
-мезонов
-квантами
и аннигиляция
этих пар, причем
вероятность
обоих процессов
могла быть
вычислена по
формулам,
отличающимся
только постоянными
множителями
от соответствующих
формул для
электронов
и позитронов.
Поскольку же
-мезоны
подчиняются
статистике
Бозе — Эйнштейна,
к ним неприменим
принцип Паули,
необходимый
для представления
о заполненном
частицами фоне.
Таким образом,
существование
частиц и античастиц
и характерные
для них процессы
рождения и
аннигиляции
не потребовали
для своего
объяснения
концепции фона.
Электрон и
позитрон во
всех отношениях
являются совершенно
равноправными
частицами.
Известные в настоящее время частицы могут быть разделены на четыре группы:
1. Фотон.
2. Легкие
частицы (лептоны)
с массой, меньшей
массы
-мезона
(нейтрино двух
типов, электрон,
мюон). Все лептоны
являются фермионами,
т. е. имеют спин
Ѕ и подчиняются
статистике
Ферми — Дирака.
3. Мезоны
и мезонные
резонансы, к
которым относятся
-мезоны
и более массивные
частицы с
целочисленным
спином. Все они
являются бозонами,
т. е. подчиняются
статистике
Бозе — Эйнштейна.
4. Барионы и барионные резонансы . К ним относятся нуклоны и более массивные частицы. Все они являются фермионами и имеют полуцелый спин.
После открытия позитрона, являющегося античастицей по отношению к электрону, возник вопрос: существуют ли античастицы у всех «элементарных» частиц?
Представление, что нейтрино имеет античастицу — антинейтрино, возникло почти одновременно с первыми попытками дать теоретическое объяснение электронного и позитронного распада (бета-распада ядер); однако только последние исследования двойного бета-распада дали право утвердительно ответить на этот вопрос.
В 1955 г. был
открыт антипротон,
а в 1956 г. было
установлено,
что столкновения
антипротона
с протоном
могут привести
либо к их аннигиляции,
либо к превращению
антипротона
в антинейтрон
в результате
обменного
эффекта. Таким
образом, протон
р и нейтрон n
имеют античастицы:
антипротон
и
антинейтрон
.
В связи с существованием античастиц у нейтрино и нейтрона возникает вопрос: чем отличается незаряженная частица от своей античастицы? Можно предположить, что отличие проявляется в знаке магнитного момента. Однако это не всегда правильно. Магнитный момент антинейтрона действительно должен быть противоположен по знаку магнитному моменту нейтрона; но этот критерий неприменим по отношению к нейтрино, магнитный момент которого равен, по-видимому, нулю. Значит, различие между частицами и античастицами связано с каким-то иным свойством незаряженных частиц, изменяющимся при переходе к их античастицам.
Это свойство может быть установлено, если предположить, что все барионы характеризуются специфическим барионным зарядом A. Он равен +1 для барионов и —1 для антибарионов. Для барионного числа (заряда) выбрано обозначение, совпадающее с обозначением массового числа, поскольку массовое число — это фактически барионное число ядра, состоящего из А протонов и нейтронов. Таким образом, можно считать, что основным отличием протона и нейтрона от соответствующих им античастиц является отличие в знаке барионного заряда, но не в знаке электрического заряда или магнитного момента. Соответственно лептоны и антилептоны отличаются противоположными знаками лептонного заряда (числа), по модулю равного единице . Для мезонов барионный и лептонный, заряды равны нулю.
Cведения о частицах, античастицах и их взаимных, превращениях значительно расширились за последние годы в результате открытия и интенсивного изучения мезонов, барионов и их резонансов. За последнее время появился ряд работ , в которых делаются попытки классифицировать наблюдаемые факты и явления в рамках феноменологической теории..
ГеллМанн обратил внимание на существование следующих типов взаимодействия между элементарными частицами: (если не учитывать гравитации):
1. Сильные взаимодействия, возникающие между барионами, антибарионами и мезонами. Этими взаимодействиями обусловлены ядерные силы между нуклонами и процессы образования мезонов и гиперонов при ядерных столкновениях. Однако учет одних лишь сильных взаимодействий следует рассматривать как первое приближение.
2. Электромагнитные взаимодействия, возникающие при воздействии фотонов на заряженные частицы (второе приближение).
3. Слабые
взаимодействия,
проявляющиеся
при
и
-распадах
и обусловливающие,
кроме того,
медленные
распады гиперонов
и мезонов (третье
приближение).
В этой
теории нуклоны,
антинуклоны
и
-мезоны
считаются
обычными частицами,
в отличие от
«странных»
частиц, к которым
отнесены К-мезоны
и гипероны.
Свойства обычных
частиц изучены
лучше свойств
странных частиц,
поэтому мы
сначала ограничимся
рассмотрением
процессов,
происходящих
с учетом первых.
При учете
только сильного
взаимодействия
справедлив
закон сохранения
изотопического
спина: каждой
частице или
системе частиц
соответствует
изотопический
спин, являющийся
точным квантовым
числом. Состоянию
с изотопическим
спином Т отвечает
кратность
вырождения
2Т+1, причем каждая
компонента
такого мультиплета
соответствует
определенному
зарядовому
состоянию
частицы или
системы частиц.
Как обычно,
будем считать,
что заряд возрастает
с увеличением
Т
.
Центры мультиплетов,
т. е. средние
заряды, различны
для разных
мультиплетов.
Для нуклонного
дублета средний
заряд (полусумма
зарядов протона
и нейтрона)
равен +1/2. Для
антинуклонного
дублета —1/2, а
для
-мезонного
триплета он
равен нулю.
Заряд Z системы частиц определяется соотношением
,
Центр
мультиплета,
соответствующего
такой системе,
равен А/2.
Преобразование
зарядового
сопряжения
меняет знаки
Z,
T
и А.
При учете электромагнитного взаимодействия изотопический спин теряет свойства точного квантового числа и вырождение по изотопическому спину снимается. Так возникает различие между массами частиц, находящихся в разных зарядовых состояниях.
Процессы,
в которых проявляются
только сильные
взаимодействия,
называются
быстрыми. К ним
относятся
процессы,
происходящие
при столкновении
нуклонов с
большой энергией,
например образование
-мезонов,
распад резонансных
состояний,
образующихся
при рассеянии
мезонов барионами,
и т. д. Эти процессы
протекают за
промежутки
времени порядка
10-22
сек.
Процессы,
обусловленные
электромагнитным
взаимодействием,
называют
электромагнитными.
К ним относится,
например, распад
°-мезона
на два
-кванта.
Характерное
время электромагнитных
процессов –
порядка 10
—
10
сек.
Наконец,
процессы, идущие
под влиянием
только слабых
взаимодействий,
например лептонный
распад, и требующие
«больших»
промежутков
времени (~10
сек),
называются
медленными.
Литература
В.В Маляров «Основы теории атомного ядра» Издательство «Наука», М. 1967г.
И.В. Савельев «курс общей физики» том 3. Издательство «Наука», М. 1982 г.
И.В Корсунский «Атомное ядро». Издательство «Наука», М, 1968г
-
Министерство образования Российской Федерации
Московский Государственный Областной Педагогический Институт
Курсовая работа по физике на тему: «Ядерные силы»
Выполнил: студент 4 курса, группы 4-ф-1, физико-математического факультета
Удачин Андрей Анатольевич
Преподаватель: Гусев В.Н.
2004 г.