| Скачать .docx |
Реферат: Исследование резонанса в одиночных колебательных контурах
Белорусский государственный университет информатики и радиоэлектроники
Кафедра теоретических основ электротехники
Отчёт по лабораторной работе №4
ПО ТЕМЕ: “ИССЛЕДОВАНИЕ РЕЗОНАНСА В ОДИНОЧНЫХ КОЛЕБАТЕЛЬНЫХ КОНТУРАХ”
Выполнил:
Студент группы 851003
Куликов С.С.
Проверил:
Преподаватель
Коваленко В.М.
Минск, 1999
1. ЦЕЛЬ РАБОТЫ
Экспериментально исследовать частотные и резонансные характеристики последовательного контура, влияние активного сопротивления на вид резонансных кривых. Ознакомиться с настройкой последовательного контура на резонанс с помощью ёмкости.
2. ПОСЛЕДОВАТЕЛЬНЫЙ КОНТУР

Рис. 1. Схема цепи
Таблица-1 (“Исходные данные”)
| U, В |
rk, Ом |
Lk, Гн |
C, мкФ |
W, витков |
| 3,0 |
35 |
0,25 |
5 |
2400 |
3. ТЕОРЕТИЧЕСКИЙ РАСЧЁТ
Определение угловой частоты:
![]()
Определение циклической частоты:
![]()
Определение характеристического сопротивления:
![]()
Определение добротности:
![]()
; ![]()
Резонансная характеристика тока:

;
Величина тока при резонансе:
![]()

Рис. 2. Резонансная кривая тока.
Частотная характеристика напряжения на ёмкости:

;
Резонансная частота напряжения на ёмкости:
![]()
Напряжение на конденсаторе при резонансе:
;
Частотная характеристика напряжения на индуктивности:
;
Резонансная частота напряжения на индуктивности:

Напряжение на индуктивности при резонансе:
![]()
Полное сопротивление контура:



Рис. 3. Резонансные кривые напряжений на ёмкости и индуктивности
4. ПРАКТИЧЕСКИЙ РАСЧЁТ

Рис.4. Схема
Таблица 2.
Зависимость тока и напряжений на индуктивности и ёмкости от частоты при r1=0
| f0, Гц |
50 |
70 |
90 |
110 |
120 |
130 |
140 |
| I(f), мА |
6 |
9 |
15 |
27 |
36 |
57 |
85 |
| UC(f), B |
3,5 |
3,9 |
4,5 |
6,5 |
9,3 |
14,3 |
20,1 |
| UL(f), B |
0,5 |
0,9 |
1,6 |
3,9 |
6,3 |
11,2 |
19,7 |
| f0, Гц |
150 |
170 |
190 |
210 |
230 |
270 |
300 |
| I(f),мА |
77 |
40 |
25 |
19 |
15 |
10 |
8 |
| UC(f),B |
16,7 |
8,2 |
4,2 |
3,1 |
2,1 |
1,2 |
0,7 |
| UL(f),B |
14,3 |
12,1 |
7,1 |
6,1 |
4,9 |
4,1 |
3,9 |
Таблица 3.
Зависимости тока и напряжений на индуктивности и ёмкости от частоты при r1<>0
| f0, Гц |
50 |
70 |
90 |
110 |
120 |
130 |
140 |
| I(f), мА |
5 |
8 |
14 |
23 |
31 |
41 |
49 |
| UC(f), B |
3,4 |
3,8 |
4,8 |
7,1 |
8,1 |
10,1 |
11,1 |
| UL(f), B |
0,4 |
0,8 |
1,9 |
4,9 |
5,7 |
8,3 |
10,1 |
| f0, Гц |
150 |
170 |
190 |
210 |
230 |
270 |
300 |
| I(f),мА |
46 |
30 |
20 |
16 |
13 |
9 |
7,9 |
| UC(f),B |
9,7 |
5,6 |
3,5 |
2,4 |
1,8 |
1,1 |
0,6 |
| UL(f),B |
9,9 |
7,9 |
6,2 |
5,2 |
4,7 |
4,0 |
3,8 |
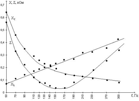
Частотные характеристики Xc(f), XL(f), ZK(f).
Реактивные сопротивления ёмкости и индуктивности и полное сопротивление цепи определяются по формулам:
![]()

Рис. 5. Зависимость реактивных сопротивлений элементов и полного сопротивления цепи от частоты.
Таблица 4.
Зависимость реактивных сопротивлений элементов и полного сопротивления цепи от частоты при r1=0.
| f, Гц |
50 |
70 |
90 |
110 |
120 |
130 |
140 |
| XC(f), кОм |
0,64 |
0,46 |
0,35 |
0,29 |
0,27 |
0,25 |
0,23 |
| XL(f), кОм |
0,07 |
0,11 |
0,14 |
0,17 |
0,19 |
0,20 |
0,22 |
| Z(f), кОм |
0,56 |
0,33 |
0,22 |
0,12 |
0,09 |
0,05 |
0,04 |
| f, Гц |
150 |
170 |
190 |
210 |
230 |
270 |
300 |
| XC(f), кОм |
0,21 |
0,19 |
0,17 |
0,15 |
0,14 |
0,12 |
0,11 |
| XL(f), кОм |
0,24 |
0,27 |
0,29 |
0,33 |
0,36 |
0,42 |
0,47 |
| Z(f), кОм |
0,04 |
0,09 |
0,14 |
0,18 |
0,23 |
0,30 |
0,37 |
Характеристическое сопротивление r.
Характеристическое сопротивление контура определяется по точке пересечения частотных характеристик на частоте 142 Гц. В точке пересечения реактивные сопротивления катушки индуктивности и ёмкости равны между собой и составляют примерно 210-220 Ом. Теоретическое расчётное значение характеристического сопротивления и экспериментальное значение совпадают с достаточной точностью.
Резонансные характеристики контура I(f), UK(f), UC(f):

Рис.6. Зависимость тока от частоты сигнала

Рис.7. Зависимость напряжения на реактивных элементах от частоты сигнала
Определение добротности Q:
а) При r1=0
По напряжениям на катушке индуктивности и ёмкости в момент резонанса. f0=142 Гц
; ![]()
По ширине полосы пропускания резонансной кривой тока на уровне
I=0,7×I0=0,7×87= 60 мА.
![]()
б) При r1=50 Ом
По напряжениям на катушке индуктивности и ёмкости в момент резонанса
f0=142 Гц.
; ![]()
По ширине полосы пропускания резонансной кривой тока на уровне
I=0,7×I0=0.7*53= 36 мА.
![]()
По отношению характеристического и активного сопротивлений контура.
![]()
Векторная диаграмма тока и напряжений для частоты f<f0.

f=130 Гц, mU=2 В/см.
Векторная диаграмма тока и напряжений для частоты f=f0

f=142 Гц, mU=2 В/см, Ur1=U
Векторная диаграмма тока и напряжений для частоты f>f0

f=150 Гц, mU=2 В/см
Таблица 5.
Зависимости тока и напряжений на катушке и конденсаторе от ёмкости (f=100 Гц).
| C, мкФ |
0 |
1 |
2 |
3 |
4 |
5 |
6 |
7 |
8 |
9 |
10 |
| I(C), мА |
0 |
1 |
5 |
7,5 |
10 |
12,5 |
13,8 |
19 |
40 |
48 |
67 |
| UC(f), B |
3 |
3,4 |
3,5 |
3,7 |
3,8 |
4,1 |
4,6 |
6,5 |
7,5 |
8,3 |
9,5 |
| UL(f), B |
0,1 |
0,3 |
0,6 |
1 |
1,2 |
1,6 |
2,1 |
3,8 |
5,1 |
6,2 |
8,1 |
| C, мкФ |
11 |
12 |
13 |
14 |
15 |
16 |
17 |
18 |
19 |
20 |
|
| I(C), мА |
72 |
74 |
78 |
77 |
73 |
67 |
63 |
57 |
49 |
43 |
|
| UC(f), B |
9,8 |
10 |
10,3 |
9 |
8 |
6,9 |
6,1 |
5,1 |
4,2 |
4,1 |
|
| UL(f), B |
8,4 |
9,5 |
10 |
10 |
9,5 |
8,8 |
8,3 |
7,5 |
7,2 |
7,1 |

Рис. 8 Частотные характеристики тока и напряжений последовательного контура на частоте 100 Гц при изменении ёмкости
ВЫВОД
Последовательный контур представляет собой электрическую цепь, состоящую из последовательно соединённых активного сопротивления, ёмкости и индуктивности. Резонанс напряжений в последовательной цепи возникает на частоте, при которой реактивные сопротивления ёмкости и индуктивности равны. На резонансной частоте сопротивление последовательного контура минимально и равно активному сопротивлению цепи. Падения напряжений на ёмкости и индуктивности и ток в цепи достигают максимальных значений.
На частотах, ниже резонансной, сопротивление последовательного контура имеет ёмкостной характер. На частотах, выше резонансной, ¾ индуктивный характер.
Добротность последовательного контура зависит от величины активного сопротивления и возрастает с уменьшением сопротивления.
Резонанс напряжений в последовательном контуре достигается изменением реактивных параметров схемы или частоты сигнала. Изменение ёмкости ¾ наиболее применяемый способ достижения резонанса.