| Скачать .docx |
Книга: Електростатика
РЕФЕРАТ
на тему:”ЕЛЕКТРОСТАТИКА”
План
1. Електричний заряд. Закон збереження електричного заряду. Закон Кулона.
2. Електричне поле і його напруженість. Принцип суперпозиції полів. Поле точкового заряду.
3. Теорема Гаусса та її використання.
1 Електричний заряд. Закон збереження електричного заряду. Закон Кулона
Електростатика – вчення про статичні електричні заряди та про властивості полів цих зарядів.
Електричний заряд – це невіддільна властивість деяких елементарних частинок.
До елементарних частинок відносяться такі мікрочастинки, для яких сучасними засобами фізики не можна доказати, що вони є об’єднаннями інших мікрочастинок.
Відомо, що заряди бувають двох видів – позитивні й негативні. Носієм елементарного негативного заряду є електрон. Елементарним позитивним зарядом наділений протон.
За абсолютною величиною елементарні заряди електрона й протона однакові. За одиницю електричного заряду прийнято кулон (Кл).
Один кулон – це електричний заряд, який проходить через поперечний переріз провідника при силі струму в один ампер за час в одну секунду
1Кл = 1 А/с.
Елементарний електричний заряд електрона або протона дорівнює
| e | = 1,6 ּ 10-19 Кл.
Будь-який інший заряд є сукупністю елементарних зарядів
q = Nּe . (6.1.1)
Електричні заряди можуть мати лише дискретні значення, кратні заряду електрона. Таку властивість зарядів називають квантуванням.
В довільних інерціальних системах заряд є інваріантним або незмінним.
Електричні заряди можуть зникати або виникати знову. Пояснити цей факт можна однаковим або різним числом зарядів різних знаків у системі, або їх взаємним перетворенням. Так відомо, що електрон і позитрон можуть анігілювати
е + + е 2 . (6.1.2)
В той же час гамма-кванти високих енергій (Е 1,02Ме) - в полі ядерних сил, або кулонівському полі елементарних заряджених частинок здатні перетворюватись в електрон і позитрон:
е + +
е . (6.1.3)
Сумарний заряд електрично-ізольованої системи є величиною сталою. Це твердження є законом збереження електричного заряду.
Всі основні властивості електричних зарядів знайдені дослідним шляхом. Серед них відмітимо такі:
- однойменні заряди відштовхуються, різнойменні притягуються;
- величина заряду не залежить від системи відліку;
- дискретний характер заряду, тобто кратність до елементарного заряду;
- електричний заряд має властивість адитивності. Це означає, що заряд системи тіл дорівнює сумі зарядів всіх частинок , які входять в систему.
В електростатиці використовується фізична модель точкового джерела.
Точковим джерелом заряду називається заряджене тіло, форма й розміри якого в даних умовах не є суттєвими.
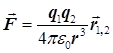
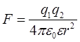
Дослідним способом було доказано, що сила взаємодії двох нерухомих точкових зарядів пропорційна величині кожного із зарядів і обернено пропорційна квадрату відстані між ними.
Закон взаємодії точкових зарядів називається законом Кулона
, (6.1.4)
де q1
і q2
- точкові електричні заряди;
- діелектрична стала; r – відстань між точковими зарядами.
Сила ![]()
напрямлена вздовж прямої, яка з’єднує взаємодіючі заряди. У векторній формі сила, з якою взаємодіють два точкові заряди q1
і q2
записується так
…
. (6.1.5)
Згідно з третім законом Ньютона сили з якими взаємодіють два точкових заряди, рівні за величиною і протилежні за напрямком
1,2
= -
2,1
. (6.1.6)
Діелектрична стала ε0 відноситься до числа фундаментальних фізичних сталих. Її величина дорівнює 8,85ּ10-12 Ф/м.
Якщо взаємодія двох точкових зарядів відбувається у ізотропному діелектричному середовищі, то закон Кулона матиме вигляд
. (6.1.7)
Відносна діелектрична проникність ε показує у скільки разів сила взаємодії між електричними зарядами в даному ізотропному діелектричному середовищі буде меншою сили взаємодії між цими зарядами у вакуумі
, (6.1.8)
де F 0 – сила взаємодії між двома точковими зарядами у вакуумі; F – сила взаємодії між цими зарядами в однорідному діелектричному середовищі.
Відносна діелектрична проникність вакууму
= 1.
2. Електричне поле і його напруженість. Принцип суперпозиції полів. Поле точкового заряду
Будь-яке заряджене тіло можна розглядати як сукупність точкових зарядів подібно до того, як в механіці будь-яке тіло можна вважати сукупністю матеріальних точок.
Тому електростатична сила, з якою одне заряджене тіло діє на інше заряджене тіло, дорівнює геометричній сумі сил, прикладених до всіх точкових зарядів, наприклад другого тіла з сторони всіх точкових зарядів першого тіла.
Часто буває більш доцільно вважати, що заряди розподілені в зарядженому тілі неперервно, а тому слід користуватись поняттями лінійної, поверхневої й об’ємної густини зарядів.
Лінійна густина зарядів у випадку зарядженого стрижня, визначається за допомогою формули
=
, (6.2.1)
де
- лінійна густина зарядів, яка вимірюється в Кл/м.
Поверхнева густина зарядів у випадку рівномірно зарядженої поверхні визначається за формулою
=
, (6.2.2)
де σ – поверхнева густина зарядів, яка вимірюється в Кл/м2 .
Об’ємна густина зарядів, у випадку рівномірно зарядженого тіла по об’єму, визначається за формулою
=
, (6.2.3)
де ρ – об’ємна густина зарядів, яка вимірюється в Кл/м3 .
Взаємодія між двома зарядами, які перебувають у стані спокою, здійснюється за рахунок взаємодії електричних полів цих зарядів. Будь-який заряд змінює властивості оточуючого простору, створюючи в ньому електричне поле .
Поле електричного заряду можна виявити за допомогою іншого заряду з своїм електричним полем.
Електричне поле – це один із видів існування матерії в оточуючому просторі.
Електричне поле будь-якого статичного заряду можна характеризувати векторною величиною – напруженістю електричного поля, і скалярною величиною – потенціалом .
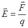
Напруженість електричного поля визначається силою, з якою діє деякий заряд у даній точці його поля на електричне поле точкового заряду, поміщеного в цю точку. Точковий заряд завжди є позитивним. Розміри точкового заряду мають бути такими, щоб він своїм власним електричним полем не спотворював поля основного заряду.

Рис 6.1
Нехай у деякому просторі заряд Q створює статичне електричне поле. Для виявлення цього поля в точку А розміщують точковий заряд qо (рис 6.1).
На заряд qо
зі сторони основного зарядуQ
діє кулонівська сила
вздовж лінії, яка з’єднує ці заряди. Якщо в точку А послідовно розміщувати різні точкові заряди q1
, q2
, q3,
..., qn
, то і сили взаємодії будуть відповідно різними
1
,
2
,
3
, ...,
n
. Однак у кожному випадку відношення відповідної сили до величини точкового заряду, залишиться сталим.
Величину цього відношення називають напруженістю електричного
поля і позначають буквою ![]()
. (6.2.4)
Одиницею напруженості електричного поля статичного заряду є Н/Кл або В/м.
Напрям вектора напруженості електричного поля збігається з напрямком вектора сили.
Важливо знати:
- якщо поле створене позитивним зарядом, то напрям вектора
в будь-якій точці цього поля збігається з радіусом-вектором і направлений в протилежну сторону від заряду.
- якщо поле створене негативним зарядом, то напрям вектора
в будь-якій точці цього поля збігається з радіусом-вектором і направлений у сторону до заряду (рис 6.2).

Рис. 6.2
До кулонівських сил застосовується принцип незалежності дії сил – принцип суперпозиції .
Суть принципу суперпозиції полягає в тому, що напруженість результуючого поля, створеного системою електричних зарядів, теж дорівнює геометричній сумі напруженостей полів кожного із зарядів окремо, тобто
=
i
.
(6.2.5)
Формула (6.2.5) виражає принцип суперпозиції (принцип накладання) електростатичних полів. Він дозволяє розрахувати електростатичне поле довільної системи нерухомих електричних зарядів, розглянувши її як сукупність точкових електричних зарядів.
Графічно електростатичне поле зображують за допомогою силових ліній або ліній напруженості, які завжди розпочинаються на позитивному заряді й закінчуються на негативному заряді.
Вектор напруженості електростатичного поля завжди є дотичною до силової лінії у даній точці поля (рис 6.3).

Рис 6.3
Силові лінії окремих електричних зарядів починаються на позитивному заряді і йдуть у безмежність або починаються у безмежності й закінчуються на негативному заряді (рис. 6.4 а,б).

а) б)
Рис. 6.4
Для однорідного диполя (наприклад електричного поля між пластинами конденсатора) лінії напруженості паралельні вектору напруженості (рис. 6.5).

Рис. 6.5
Важливо знати, що силові лінії електричного поля завжди перпендикулярні до поверхні зарядженого тіла. Якби це було не так, то паралельна до поверхні тіла складова напруженості електричного поля привела б до руху зарядів, а це є протиріччям статичності їх розподілу (рис. 6.6).

Рис. 6.6
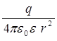
Електричне поле точкового заряду розраховують досить простою формулою, яка одержана з використанням сили Кулона для точкового заряду, тобто
Е =
, (6.2.6)
де q
– точковий заряд, поле якого визначається за цією формулою;
- діелектрична стала;
- відносна діелектрична стала; r
– відстань від заряду до точки, в якій визначається напруженість поля.
3. Теорема Гаусса і її використання
У випадках розрахунків напруженості електричного поля не- точкових зарядів, виникають певні труднощі. В таких випадках напруженість електричного поля розраховують за допомогою методу суперпозиції. Для цього, просторово розміщені заряди ділять на точкові й методом інтегрування (принцип суперпозиції), знаходять відповідну напруженість. Покажемо це на прикладах:
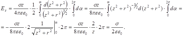
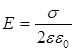
Приклад 1. Визначити напруженість електричного поля біля безмежної, рівномірно зарядженої площини з поверхневою густиною зарядів (рис. 6.7).
Скористаємось формулою напруженості точкового заряду (6.2.6)
dE =
, (6.3.1)
де dq – це заряд заштрихованої безмежно малої ділянки поверхні; x – відстань від цієї ділянки до точки А, в якій розраховується напруженість електричного поля Е .

Рис. 6.7
З рисунка видно, що x2 = z2 + r2 , а dq = rd dr , й dEz = dEcos.
З урахуванням цих позначень одержуємо:
. (6.3.2)
Але оскільки со
s
=
, тому
.
Інтегруємо цей вираз у межах: для r від 0 до
; для від 0 до 2, одержимо:

З розрахунків видно, що напруженість електричного поля біля безмежної, рівномірно зарядженої площини з поверхневою густиною зарядів , визначається досить простою формулою і не залежить від відстані до самої площини
(6.3.3)
Приклад 2. Визначити напруженість електричного поля на відстані а від тонкої, досить довгої, рівномірно зарядженої, із лінійною густиною зарядів нитки або циліндра (рис 6.8).

Рис. 6.8
Скористаємось формулою (6.2.6)
dE = ![]()
.
З рисунка видно, що: dq = dl і dS = rd , а також dS = dl·cos .
З урахуванням цих залежностей одержуємо величину точкового заряду:
dq =
. (6.3.4)
Тоді напруженість електричного поля у напрямі осі у Ey – буде дорівнювати
dEy
=
dEcos
=
=
.
Величину радіуса-вектора r виразимо через відстань а і кут :
r
=
.
З урахуванням останнього одержимо:
dEy
=
. (6.3.5)
Інтегруємо останній вираз у межах зміни від 0 до
, помноживши весь вираз на 2 (враховується друга, симетрична частина нитки).
.
Таким чином одержано досить просту залежність напруженості електричного поля біля довгої, рівномірно зарядженої нитки або циліндра:
Е
=
. (6.3.6)
Паралельна складова напруженості Е x , завдяки симетричності нитки, буде дорівнювати нулю.
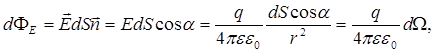
Знайдемо потік вектора
напруженості електричного поля крізь замкнену поверхню ( рис. 6.9)

Рис. 6.9
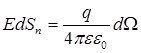
, (6.3.7)
де
- величина площі заштрихованої поверхні,
- нормаль до поверхні (одиничний вектор).
З рисунка видно, що

де
- тілесний кут.
Площа поверхні кулі
(тут
є тілесним кутом).
Таким чином одержуємо:
. (6.3.8)
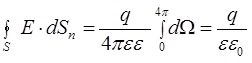
Інтегруємо цей вираз у межах замкнутої поверхні і повного тілесного кута для цієї поверхні, тобто
.
Одержаний вираз носить назву теореми Гаусса
. (6.3.9)
Якщо замкнута поверхня охоплює систему зарядів, теорема Гаусса набуде вигляду
. (6.3.10)
Потік вектора напруженості електричного поля крізь довільну замкнуту поверхню дорівнює алгебраїчній сумі всіх зарядів у середині цієї поверхні, поділених на 0 .
Покажемо на прикладах, як використовується теорема Гаусса у найпростіших випадках.
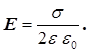
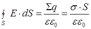
Приклад 1. Електричне поле біля безмежної, рівномірно зарядженої, із поверхневою густиною зарядів σ, площини ( рис. 6.10).

Рис. 6.10
На рисунку заряджена площина спроектована перпендикулярно до площини листка. Замкнена поверхня є циліндром із площею торців S. Потік вектора напруженості в даному випадку слід розрахувати лише крізь торці. Лінії напруженості електричного поля паралельні до бокової поверхні, а тому потоку не створюють, тобто
. (6.3.11)
За теоремою Гаусса
. (6.3.12)
Прирівнявши праві сторони (6.3.11) і (6.3.12) одержимо:
.
Цей висновок збігається з формулою (6.3.3).
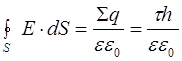
Приклад 2. Електричне поле на відстані a від довгої, рівномірно зарядженої з лінійною густиною зарядів τ, нитки (рис. 6.11).

Рис. 6.11
На рисунку замкнуту поверхню вибрано у вигляді циліндра радіусом а і довжиною h. Потік силових ліній слід розглядати лише крізь бокову поверхню, так як торці перпендикулярні до нитки й паралельні до напрямку силових ліній електричного поля. (Потік крізь торці в цьому випадку дорівнює нулю).
. (6.3.13)
За теоремою Гаусса
. (6.3.14)
Прирівнюємо праві частини (6.3.13) і (6.3.14), одержимо
=
.
Звідки
, (6.3.15)
що збігається з формулою (6.3.6)
Висновок. Теорема Гаусса значно спрощує розрахунки, але має дуже вузькі рамки використання. Більш загальним, універсальним методом розрахунків напруженості електричного поля є метод суперпозиції, який у кінцевому випадку зводиться до інтегрування.