| Скачать .docx |
Реферат: Применение криволинейных интегралов в физике
Л екция 10.Криволинейные интегралы первого и второго рода, их свойства и вычисление.
Рассмотрим на плоскости или в пространстве кривую L и функцию f, определенную в каждой точке этой кривой. Разобьем кривую на части Δsi длиной Δsi и выберем на каждой из частей точку Mi. Составим интегральную сумму
. Назовем λ длину наибольшего отрезка кривой.
Определение 10.1. Если существует конечный предел интегральной суммы
, не зависящий ни от способа разбиения кривой на отрезки, ни от выбора точек Mi, то он называется криволинейным интегралом первого рода от функции f по кривой L и обозначается

. (10.1)
Например, если функция f(M) задает плотность в точке М, то интеграл (10.1) равен массе рассматриваемой кривой.
Свойства криволинейного интеграла 1-го рода.
1. Если функция f непрерывна на кривой L, то интеграл
существует.
2. Криволинейный интеграл 1-го рода не зависит от направления движения по кривой, то есть от того, какую из точек, ограничивающих кривую, считать начальной, а какую – конечной. Если назвать эти точки А и В, то
(10.2)
Справедливость этих свойств следует из определения криволинейного интеграла 1-го рода.
Способ вычисления криволинейного интеграла 1-го рода.
Выберем на кривой L направление от начальной точки А и отметим, что положение точки М на кривой определяется длиной дуги АМ = s. Тогда кривую L можно задать параметрически: x = x(s), y = y(s), z = z(s), где
Функция f(x,y,z) становится при этом сложной функцией одной переменной s: f(x(s), y(s), z(s)). Тогда интегральная сумма
,
где
- координата точки Mi, является обычной интегральной суммой для определен-ного интеграла
Следовательно,
=
(10.3)
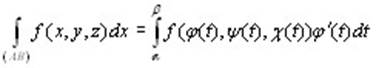
Если же кривая L задана в параметрической форме:
x = φ(t), y = ψ(t), z = χ(t), t0 ≤ t ≤ T,
то, применяя в интеграле (10.3) формулу замены переменной и учитывая, что дифференциал дуги

получим:
(10.4)
Таким образом, вычисление криволинейного интеграла 1-го рода сводится к вычислению обычного определенного интеграла от функции переменной t в пределах, соответствующих изменению значения этой переменной на рассматриваемой кривой.
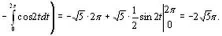
Пример.
Вычислить
где L:
Применяя формулу (10.4), получим:


Криволинейный интеграл второго рода.
Вновь рассмотрим кривую L, в каждой точке которой задана функция f(M), и зададим разбиение кривой на отрезки. Выберем на каждом отрезке точку Mi и умножим значе-ние функции в этой точке не на длину i-го отрезка, как в случае криволинейного инте-грала 1-го рода, а на проекцию этого отрезка, скажем, на ось Ох, то есть на разность xi – xi-1 = Δxi. Составим из полученных произведений интегральную сумму
.
Определение 10.2. Если существует конечный предел при
интегральной суммы
, не зависящий от способа разбиения кривой на отрезки и выбора точек Mi, то от называется криволинейным интегралом второго рода от функции f(M) по кривой L и обозначается

. (10.5)
Подобным образом можно определить и криволинейные интегралы 2-го рода вида

Определение 10.3. Если вдоль кривой L определены функции P(M) = P(x, y, z),
Q(M) = Q(x, y, z), R(M) = R(x, y, z) и существуют интегралы
,
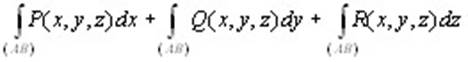
то и их сумму называют криволинейным интегралом второго рода (общего вида) и полагают

. (10.6)
Замечание. Если считать, что сила
действует на точку, движущуюся по кривой (АВ), то работа этой силы может быть представлена как
,
то есть криволинейным интегралом 2-го рода.
Свойства криволинейного интеграла 2-го рода.
1. Если функции P(M), Q(M), R(M) непрерывны на кривой (АВ), то интеграл (10.6) существует (справедливость этого утверждения следует из определения 10.2).
1. При изменении направления кривой (то есть перемены местами начальной и конечной ее точек) криволинейный интеграл 2-го рода меняет знак:
(10.7)
Действительно, при этом изменяется знак Δxi в интегральной сумме.
Способ вычисления криволинейного интеграла 2-го рода.
Теорема 10.1. Пусть кривая L задана параметрическими уравнениями
x = φ(t), y = ψ(t), z = χ(t), α ≤ t ≤ β ,
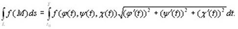
где φ, ψ, χ – непрерывно дифференцируемые функции, и на ней задана непрерывная функция f(x, y, z). Тогда интеграл (10.5) существует и имеет место равенство
. (10.8)
Доказательство.
Запишем Δxi = xi – xi-1 = φ(ti) – φ(ti-1) и преобразуем последнюю разность по формуле Лагранжа: φ(ti) – φ(ti-1) = φ΄(τi)Δti, где τi – некоторое значение t, заключенное между ti-1 и ti. Выберем точку Мi так, чтобы ее координаты соответствовали значению параметра, равному τi : Mi(φ(τi), ψ(τi), χ(τi)). Подставив эти значения в формулу (10.5), получим:
.
Справа получен предел интегральной суммы для функции f(φ(t),ψ(t),χ(t))φ΄(t) на отрезке [α, β], равный определенному интегралу от этой функции:
,
что и требовалось доказать.
Следствие. Аналогичные соотношения можно получить для криволинейных интегра-лов вида
, откуда следует, что

(10.9)
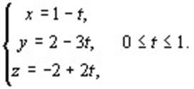
Пример.
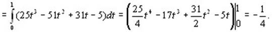
Вычислим интеграл
, где L – отрезок прямой от точки А(1,2,-2) до точки В(0, -1, 0). Запишем уравнение этой прямой в параметрическом виде:

Следовательно, φ΄(t) = -1, ψ΄(t) = -3, χ΄(t) = 2. Тогда

